Крупнейшая бесплатная информационно-справочная система онлайн доступа к полному собранию технических нормативно-правовых актов РФ. Огромная база технических нормативов (более 150 тысяч документов) и полное собрание национальных стандартов, аутентичное официальной базе Госстандарта. GOSTRF.com - это более 1 Терабайта бесплатной технической информации для всех пользователей интернета. Все электронные копии представленных здесь документов могут распространяться без каких-либо ограничений. Поощряется распространение информации с этого сайта на любых других ресурсах. Каждый человек имеет право на неограниченный доступ к этим документам! Каждый человек имеет право на знание требований, изложенных в данных нормативно-правовых актах!

  


 

РОССИЙСКОЕ АКЦИОНЕРНОЕ ОБЩЕСТВО ЭНЕРГЕТИКИ И ЭЛЕКТРИФИКАЦИИ
РАО «ЕЭС РОССИИ»

ДЕПАРТАМЕНТ НАУЧНО-ТЕХНИЧЕСКОЙ ПОЛИТИКИ И РАЗВИТИЯ

МЕТОДИЧЕСКИЕ УКАЗАНИЯ
ПО ДИАГНОСТИКЕ
РАЗВИВАЮЩИХСЯ ДЕФЕКТОВ
ТРАНСФОРМАТОРНОГО ОБОРУДОВАНИЯ
ПО РЕЗУЛЬТАТАМ
ХРОМАТОГРАФИЧЕСКОГО АНАЛИЗА ГАЗОВ,
РАСТВОРЕННЫХ В МАСЛЕ

РД 153-34.0-46.302-00

МОСКВА, 2001

РАЗРАБОТАНО:            Департаментом научно-технической политики и развития РАО «ЕЭС России», Научно-исследовательским институтом электроэнергетики (АО ВНИИЭ), раздел 9 - совместно с ЗАО Московский завод «Изолятор» им. А. Баркова

ИСПОЛНИТЕЛИ:          Ю.Н. Львов, Т.Е. Касаткина, Б.В. Ванин, М.Ю. Львов, В. С. Богомолов, Ю.М. Сапожников - (АО ВНИИЭ), С.Д. Кассихин, Б.П. Кокуркин, С.Г. Радковский, А.З. Славинский - (ЗАО «МОСИЗОЛЯТОР»), К.М. Антипов, В.В. Смекалов - (Департамент научно-технической политики и развития РАО «ЕЭС России»)

УТВЕРЖДАЮ:               Начальник Департамента научно-технической политики и развития РАО «ЕЭС России»

Ю.Н. Кучеров

12.12.2000 г.

СОДЕРЖАНИЕ

Список использованных обозначений. 1

1. Общие положения. 2

2. Дефекты, обнаруживаемые в трансформаторах с помощью арг. 3

3. Эксплуатационные факторы, способствующие росту или уменьшению концентраций растворенных газов в масле трансформаторов. 4

4. Критерий граничных концентраций газов, растворенных в масле трансформаторов. 5

5. Определение вида и характера развивающегося дефекта по критериям отношений концентраций пар газов. 6

6. Критерий скорости нарастания газов в масле. 7

7. Периодичность контроля. 8

8. Диагностика эксплуатационного состояния трансформаторов по результатам арг. 8

9. Определение наличия дефекта в высоковольтных герметичных вводах трансформаторов по результатам анализа растворенных в масле газов. 10

Литература. 11

Приложение 1 Примеры влияния эксплуатационных факторов на результаты АРГ. 11

Приложение 2 Примеры диагностики эксплуатационного состояния трансформатора по результатам АРГ. 12

Приложение 3 Определение графическим способом развивающихся в трансформаторах дефектов по результатам АРГ. 14

Приложение 4 Примеры построения графиков дефектов по результатам АРГ. 19

СПИСОК ИСПОЛЬЗОВАННЫХ ОБОЗНАЧЕНИЙ

МAi                - предел обнаружения в масле i-го газа, %об;

A0i                 - начальное значение концентрации io газа, %об;

Ai                  - измеренное значение концентрации io газа, %об;

Агрi               - граничная концентрация io газа, %об;

ai                   - относительная концентрация io газа;

amaxi               - максимальная относительная концентрация io газа;

FLi                  - интегральная функция распределения;

PLi                  - вероятность;

N                   - общее число трансформаторов;

L                    - интервал измерения концентрации io газа;

nLi                  - число трансформаторов с концентрацией газа А(1-1)i < А1i;

Vабсi             - абсолютная скорость нарастания io газа, %об/мес;

Ami, A(m-1)i - два последовательных измерения концентрации io газа, %об;

Td                 - периодичность диагностики, мес.;

Vотнi             - относительная скорость нарастания io газа, %/мес;

b                    - коэффициент кратности последовательных измерений (принимать b = 5);

T1d                 - минимальное время до повторного отбора пробы масла, мес.;

Агi                 - концентрация io газа в равновесии с газовой фазой, %об;

Bi                   - коэффициент растворимости io газа в масле

МЕТОДИЧЕСКИЕ УКАЗАНИЯ ПО ДИАГНОСТИКЕ
РАЗВИВАЮЩИХСЯ ДЕФЕКТОВ ТРАНСФОРМАТОРНОГО
ОБОРУДОВАНИЯ ПО РЕЗУЛЬТАТАМ
ХРОМАТОГРАФИЧЕСКОГО АНАЛИЗА ГАЗОВ,
РАСТВОРЕННЫХ В МАСЛЕ

РД 153-34.0-46.302-00

Срок действия установлен

с 01.01.2001 г.                    

до 01.01.2011 г.                 

Настоящие Методические указания составлены на основе накопленного в России опыта применения «Методических указаний по диагностике развивающихся дефектов по результатам хроматографического анализа газов, растворенных в масле силовых трансформаторов» РД 34.46.302-89 (М: СПО Союзтехэнерго, 1989), с учетом рекомендаций публикации МЭК 599 и СИГРЭ и вводятся взамен упомянутого выше РД 34.46.302-89 и взамен противоаварийного циркуляра Ц-06-88(Э) «О мерах по повышению надежности герметичных вводов 110-750 кВ» от 27.07.1988 г.

Настоящие Методические указания распространяются на трансформаторы напряжением 110 кВ и выше, блочные трансформаторы, трансформаторы собственных нужд с любым видом защиты масла от атмосферы и высоковольтные герметичные вводы напряжением 110 кВ и выше, залитые трансформаторным маслом любой марки.

В Методических указаниях изложены: критерии диагностики развивающихся в трансформаторах дефектов (критерий ключевых газов, критерий граничных концентраций газов, критерий отношения концентраций пар газов для определения вида и характера дефекта, критерий скорости нарастания газов в масле); эксплуатационные факторы, влияющие на результаты АРГ; дефекты, обнаруживаемые в трансформаторах с помощью АРГ; основы диагностики эксплуатационного состояния трансформаторов по результатам АРГ; определение наличия дефекта в высоковольтных герметичных вводах по результатам анализа растворенных в масле газов.

Вероятность совпадения прогнозируемого и фактического дефектов в трансформаторах при использовании настоящих Методических указаний - 95 %.

Методические указания рекомендуются к применению персоналу электрических станций, электрических сетей, подстанций, а также наладочных и ремонтных предприятий.

1. ОБЩИЕ ПОЛОЖЕНИЯ

1.1 Хроматографический анализ растворенных в масле газов проводится в соответствии с методикой «Методические указания по подготовке и проведению хроматографического анализа газов, растворенных в масле силовых трансформаторов» (РД 34.46.303-98), обеспечивающей:

1.1.1 Определение концентраций следующих газов, растворенных в масле: водорода (H2), метана (СН4), ацетилена (C2H2), этилена (C2H4), этана (C2H6), оксида углерода (СО), диоксида углерода (CO2).

1.1.2 Предел обнаружения определяемых в масле газов (МAi) должен быть не выше:

- для водорода                                                  - 0,0005 % об.

- для метана, этилена, этана                           - 0,0001 % об.

- для ацетилена                                                - 0,00005 % об.

- для оксида и диоксида углерода                  - 0,002 % об.

1.1.3 Применяемые аппаратура и методики анализа должны обеспечивать погрешность измерения газов в масле не хуже указанной в таблице 1:

Таблица 1

Область измеряемых концентраций, %об.

Суммарная погрешность измерения, %отн

< 0,001

> 50

0,001 - 0,005

£ 50

0,005 - 0,05

£ 20

> 0,05

£ 10

1.2 Появлением газов в масле трансформатора считается значение концентрации, превышающее предел обнаружения в 5 раз.

2. ДЕФЕКТЫ, ОБНАРУЖИВАЕМЫЕ В ТРАНСФОРМАТОРАХ С ПОМОЩЬЮ АРГ

С помощью АРГ в трансформаторах можно обнаружить две группы дефектов.

2.1 Группа 1. Перегревы токоведущих соединений и элементов конструкции остова.

Основные газы: C4H4 - в случае нагрева масла и бумажно-масляной изоляции выше 600 °С или C2H2 - в случае перегрева масла, вызванного дуговым разрядом.

Характерными газами в обоих случаях являются: H2, CH4 и C2H6.

2.1.1 Перегрев токоведущих соединений может определяться нагревом и выгоранием контактов переключающих устройств; ослаблением и нагревом места крепления электростатического экрана; обрывом электростатического экрана; ослаблением винтов компенсаторов отводов НН; ослаблением и нагревом контактных соединений отвода НН и шпильки проходного изолятора; лопнувшей пайкой элементов обмотки; замыканием параллельных и элементарных проводников обмотки и др.

2.1.2 Перегрев металлических элементов конструкции остова может определяться: неудовлетворительной изоляцией листов электротехнической стали; нарушением изоляции стяжных шпилек или накладок, ярмовых балок с образованием короткозамкнутого контура; общим нагревом и недопустимыми местными нагревами от магнитных полей рассеяния в ярмовых балках, бандажах, прессующих кольцах и винтах; неправильным заземлением магнитопровода; нарушением изоляции амортизаторов и шипов поддона реактора, домкратов и прессующих колец при распрессовке и др.

2.2 Группа 2. Электрические разряды в масле

Электрические разряды в масле могут быть разрядами большой и малой мощности.

2.2.1 При частичных разрядах основным газом является H2 характерными газами с малым содержанием - CH4 и C2H2.

2.2.2 При искровых и дуговых разрядах основными газами являются Н2 или C2H2; характерными газами с любым содержанием - СН4 и C2H4.

2.3 Превышение граничных концентраций СО и СО2 может свидетельствовать об ускоренном старении и/или увлажнении твердой изоляции. При перегревах твердой изоляции основным газом является диоксид углерода.

2.4 Основные (ключевые) газы - наиболее характерные для определенного вида дефекта:

2.4.1 Дефекты электрического характера:

водород - частичные разряды, искровые и дуговые разряды;

ацетилен - электрическая дуга, искрение;

2.4.2 Дефекты термического характера:

этилен - нагрев масла и бумажно-масляной изоляции выше 600 °С;

метан - нагрев масла и бумажно-масляной изоляции в диапазоне температур (400-600) °С или нагрев масла и бумажно-масляной изоляции, сопровождающийся разрядами;

этан - нагрев масла и бумажно-масляной изоляции в диапазоне температур (300-400) °С;

оксид и диоксид углерода - старение и увлажнение масла и/или твердой изоляции;

диоксид углерода - нагрев твердой изоляции.

2.5 Определение основного и характерных газов по результатам хроматографического анализа растворенных в масле газов производится следующим образом:

2.5.1 Рассчитываются относительные концентрации газов (аi) по формуле:

аi = Ai /Aгpi                                                               (1)

Здесь и далее буквенные обозначения параметров в расчетных формулах приведены в списке использованных обозначений.

2.5.2 По расчетным относительным концентрациям максимальное значение amaxi соответствует основному газу (кроме CО2; CО2 - основной газ, если CО2 > 1);

аi > 1               - характерный газ с высоким содержанием;

0,1 < аi < 1      - характерный газ с малым содержанием;

аi < 0,1            - нехарактерный газ

2.6 Перед включением в работу новых или прошедших ремонт трансформаторов необходимо определить начальные концентрации растворенных газов (A0i) и последующие результаты анализов оценить по сравнению с этими значениями.

При этом, если измеренные концентрации A0i превышают предел обнаружения (МАi, см. п. 1.1.2), то, по возможности, провести дегазацию масла. Если такой возможности нет, то следует принять за исходные значения, измеренные перед включением.

3. ЭКСПЛУАТАЦИОННЫЕ ФАКТОРЫ, СПОСОБСТВУЮЩИЕ РОСТУ ИЛИ УМЕНЬШЕНИЮ КОНЦЕНТРАЦИЙ РАСТВОРЕННЫХ ГАЗОВ В МАСЛЕ ТРАНСФОРМАТОРОВ

3.1 При анализе состава растворенных в масле газов для диагностики эксплуатационного состояния трансформаторов необходимо учитывать условия их эксплуатации за предыдущий промежуток времени и факторы, вызывающие изменения этого состава газов нормально работающих трансформаторов.

3.2 Эксплуатационные факторы, вызывающие увеличение концентрации растворенных в масле газов бездефектных трансформаторов:

- остаточные концентрации газов от устраненного дефекта во время ремонта трансформатора (если не была проведена дегазация масла),

- увеличение нагрузки трансформатора,

- перемешивание свежего масла с остатками старого, насыщенного газами, находящегося в системе охлаждения, баках РПН, расширителе и т.д.,

- доливка маслом, бывшим в эксплуатации и содержащим растворенные газы,

- проведение сварочных работ на баке,

- повреждения масляных насосов с неэкранированным статором,

- перегревы из-за дефектов системы охлаждения (засорение наружной поверхности охладителей, отключение части масляных насосов и др.),

- перегрев масла теплоэлектронагревателями при его обработке в дегазационных и других установках,

- переток газов из бака расширителя контактора РПН в бак расширителя трансформатора, имеющего РПН типа РС-3 или РС-4,

- сезонные изменения интенсивности процесса старения,

- воздействие токов короткого замыкания и др.

3.3 Эксплуатационные факторы, вызывающие уменьшение концентрации растворенных в масле газов бездефектных трансформаторов:

- продувка азотом в трансформаторах с азотной защитой масла,

- уменьшение нагрузки трансформатора,

- замена силикагеля,

- длительное отключение,

- дегазация масла,

- доливка дегазированным маслом,

- частичная или полная замена масла в баке трансформатора,

- заливка маслом под вакуумом, в том числе - частичным вакуумом,

- замена масла в маслопроводах, навесных баках, расширителе, избирателе устройств РПН и т.д.

В приложении 1 приведены примеры влияния эксплуатационных факторов на результаты АРГ.

4. КРИТЕРИЙ ГРАНИЧНЫХ КОНЦЕНТРАЦИЙ ГАЗОВ, РАСТВОРЕННЫХ В МАСЛЕ ТРАНСФОРМАТОРОВ

4.1 Критерий граничных концентраций позволяет выделить из общего количества трансформаторного парка трансформаторы с возможными развивающимися дефектами.

Такие трансформаторы следует взять под хроматографический контроль с учащенным отбором проб масла и проведением АРГ.

4.2 Для бездефектных трансформаторов концентрации газов за срок службы не должны превысить граничных значений.

4.3 Рекомендуется определять граничные концентрации растворенных газов в масле нормально работающих трансформаторов как минимум через 5 лет.

4.4 Значения граничных концентраций газов, учитывая различные условия их эксплуатации в разных регионах, рекомендуется определять для каждой энергосистемы по группам однотипных трансформаторов (блочные, сетевые, с регулированием напряжения или без регулирования, одного класса напряжения и т.д.). Рекомендуется, чтобы в каждой группе было не менее 50 трансформаторов.

Для каждого трансформатора в статистическую обработку включаются все измеренные концентрации i-oгo газа за последний год эксплуатации.

4.5 За граничную концентрацию любого газа следует принимать такое значение, ниже которого оказывается концентрация этого газа у 90 % общего числа обследованных трансформаторов принятой группы.

4.6 Граничные концентрации определяются по интегральной функции распределения (Fi) следующим образом:

4.6.1 Измеренные концентрации i-го газа от 0 до Аmax по всем трансформаторам, кроме тех, которые были выведены в ремонт по результатам АРГ, следует разбить на L интервалов (можно принять L = 10-15).

Вероятность PLi приближенно оценивается как частота наблюдения концентрации в интервале от AL-1 до ALi.

4.6.2 На каждом интервале определяем вероятность

                                                               (2)

4.6.3 Значения интегральной функции распределения с учетом (2) находятся как

                                                          (3)

где k < L

4.6.4 Граничная концентрация i-го газа (Aгpi) определяется при FLi = 0,9 наиболее просто графически (рис. 1)

Рис. 1. Определение граничной концентрации по интегральной функции распределения

4.7 При отсутствии достаточных статистических данных для определения граничных концентраций (п. 4.4) растворенных в масле трансформаторов газов можно пользоваться данными таблицы 2.

Таблица 2

Граничные концентрации растворенных в масле газов

 

Концентрации газов, %об.

Оборудование

Н2

СН4

С2Н2

С2Н4

С2Н6

СО

СО2

Трансформаторы напряжением 110-500 кВ

0,01

0,01

0,001

0,01

0,005

Трансформаторы напряжением 750 кВ

0,003

0,002

0,001

0,002

0,001

0,05

0,40

Реакторы напряжением 750 кВ

0,01

0,003

0,001

0,001

0,002

0,05

0,40

* для СО - в числителе приведено значение для трансформаторов с азотной или пленочной защитами масла, в знаменателе - для трансформаторов со свободным дыханием; для СО2 - в числителе приведены значения для трансформаторов со свободным дыханием при сроке эксплуатации до 10 лет, в знаменателе - свыше 10 лет, в скобках приведены те же данные для трансформаторов с пленочной или азотной защитами масла

5. ОПРЕДЕЛЕНИЕ ВИДА И ХАРАКТЕРА РАЗВИВАЮЩЕГОСЯ ДЕФЕКТА ПО КРИТЕРИЯМ ОТНОШЕНИЙ КОНЦЕНТРАЦИЙ ПАР ГАЗОВ

Вид и характер развивающихся в трансформаторе повреждений определяется по отношению концентраций следующих газов: Н2, СН4, С2Н2, С2Н4 и С2Н6.

При этом рекомендуется использовать такие результаты АРГ, в которых концентрация хотя бы одного газа (из пяти перечисленных выше газов) была больше соответствующего граничного значения в 1,5 раза.

5.1 Вид развивающихся в трансформаторах дефектов (тепловой или электрический) можно ориентировочно определить по отношению концентраций пар из четырех газов: Н2, СН4, С2Н2 и С2Н4.

5.1.1 Условия прогнозирования «разряда»:

5.1.2 Условия прогнозирования «перегрева»:

Если при этом концентрация СО < 0,05 %об, то прогнозируется «перегрев масла», а если концентрация СО > 0,05 %об - «перегрев твердой изоляции».

5.1.3 Условия прогнозирования «перегрева» и «разряда»:

или

5.2 Характер развивающихся в трансформаторах дефектов определяется согласно таблице 3 по отношению концентраций пар из пяти газов: Н2, СН4, С2Н2, С2Н4 и С2Н6 или графически (Приложение 3).

5.3 Отношение СО2/СО дополнительно уточняет характер дефектов, приведенных в табл. 3:

- если повреждением не затронута твердая изоляция, то

5 £ СО2/СО £ 13;

- если повреждением затронута твердая изоляция, то

СО2/СО < 5     или   СО2/СО > 13

При интерпретации полученных значений отношений СО2/СО следует учитывать влияние эксплуатационных факторов п. 3.

5.3.1 Следует иметь в виду, что СО2 и СО образуются в масле трансформаторов при нормальных рабочих температурах в результате естественного старения изоляции.

Таблица 3

Определение характера дефекта в трансформаторе по отношению концентраций пар газов

N п/п

Характер прогнозируемого дефекта

Отношение концентраций характерных газов

Типичные примеры

1.

Нормально

< 0,1

0,1-1

£ 1

Нормальное старение

2.

Частичные разряды с низкой плотностью энергии

< 0,1

< 0,1

£ 1

Разряды в заполненных газом полостях, образовавшихся вследствие не полной пропитки или влажности изоляции.

3.

Частичные разряды с высокой плотностью энергии

0,1-3

< 0,1

< 1

То же, что и в п. 2, но ведет к оставлению следа или пробою твердой изоляции.

4.

Разряды малой мощности

> 0,1

0,1-1

1-3

Непрерывное искрение в масле между соединениями различных потенциалов или плавающего потенциала. Пробой масла между твердыми материалами.

5.

Разряды большой мощности

0,1-3

0,1-1

³ 3

Дуговые разряды; искрение, пробой масла между обмотками или катушками или между катушками на землю.

6.

Термический дефект низкой температуры (< 150 °С)

< 0,1

0,1-1

1-3

Перегрев изолированного проводника.

7.

Термический дефект в диапазоне низких температур (150-300 °С)

< 0,1

³ 1

< 1

Местный перегрев сердечника из-за концентрации потока. Возрастание температуры «горячей точки».

8.

Термический дефект в диапазоне средних температур (300-700 °С)

< 0,1

³ 1

1-3

То же, что и в п. 7, но при дальнейшем повышении температуры «горячей точки».

9.

Термический дефект высокой температуры (> 700 °С)

< 0,1

³ 1

³ 3

Горячая точка в сердечнике; перегрев меди из-за вихревых токов, плохих контактов; циркулирующие токи в сердечнике или баке.

5.3.2 Содержание СО2 в масле зависит от срока работы трансформатора и способа защиты масла от окисления.

В трансформаторах со «свободным дыханием» СО2 может попасть в масло из воздуха приблизительно до 0,03 %об.

6. КРИТЕРИЙ СКОРОСТИ НАРАСТАНИЯ ГАЗОВ В МАСЛЕ

6.1 Критерий скорости нарастания газов в масле определяет степень опасности развивающегося дефекта для работающих трансформаторов.

6.2 Изменение во времени концентрации отдельных газов в масле бездефектных трансформаторов может происходить под воздействием различных факторов (пп. 2.4.1 и 2.4.2), а также вследствие естественного старения изоляции.

6.3 Наличие развивающегося дефекта в трансформаторе, накладываясь на эти факторы, приводит, как правило, к заметному росту концентрации одного или нескольких газов.

6.4 Абсолютная скорость нарастания i-го газа определяется по формуле:

                                     (4)

6.5 Относительная скорость нарастания i-го газа определяется по формуле:

                                         (5)

6.6 Степень опасности развития дефекта устанавливается по относительной скорости нарастания газа/газов.

Если относительная скорость нарастания газа/газов превышает 10 % в месяц, то это указывает на наличие быстро развивающегося дефекта в трансформаторе.

В случае выявления дефекта повторные анализы следует провести через короткие промежутки времени с целью подтверждения наличия дефекта и определения скорости нарастания газов.

Отбор проб масла для определения скорости нарастания газов рекомендуется проводить 1 раз в 7-10 дней в течение месяца для медленно развивающихся дефектов и через 2-3 дня - для быстро развивающихся дефектов.

7. ПЕРИОДИЧНОСТЬ КОНТРОЛЯ

7.1 Хроматографический контроль должен осуществляться в следующие сроки [1]:

● трансформаторы напряжением 110 кВ мощностью менее 60 МВА и блочные трансформаторы собственных нужд - через 6 мес. после включения и далее не реже 1 раза в 6 мес.;

● трансформаторы напряжением 110 кВ мощностью 60 МВА и более, а также все трансформаторы 220-500 кВ в течение первых суток, через 1, 3 и 6 мес. после включения и далее - не реже 1 раза в 6 мес.

● трансформаторы напряжением 750 кВ - в течение первых суток, через 2 недели, 1, 3 и 6 месяцев после включения и далее - не реже 1 раза в 6 мес.

7.2 Периодичность АРГ для трансформаторов с развивающимися дефектами определяется динамикой изменения концентраций газов и продолжительностью развития дефектов.

Все дефекты в зависимости от продолжительности развития можно подразделить на:

7.2.1 Мгновенно развивающиеся дефекты - продолжительность развития которых имеет порядок от долей секунды до минут.

7.2.2 Быстро развивающиеся дефекты - продолжительность развития которых имеет порядок от часов до недель.

7.2.3 Медленно развивающиеся дефекты - продолжительность развития которых имеет порядок от месяцев до нескольких лет.

7.2.4 Методом хроматографического анализа растворенных в масле газов обнаруживаются медленно развивающиеся дефекты, возможно - быстро развивающиеся дефекты и нельзя определить мгновенно развивающиеся дефекты.

7.3 В случае выявления дефекта (Ai > Aгpi. и/или Vотнi > 10 % в мес.) необходимо выполнить 2-3 повторных анализа растворенных газов (с периодичностью анализов по п.п. 6.6) для подтверждения вида и характера дефекта и принятия решения о дальнейшей эксплуатации трансформатора и/или выводе его из работы.

Минимальное время повторного отбора пробы масла (T1d) для проведения анализа можно рассчитать по формуле:

                                                             (6)

8. ДИАГНОСТИКА ЭКСПЛУАТАЦИОННОГО СОСТОЯНИЯ ТРАНСФОРМАТОРОВ ПО РЕЗУЛЬТАТАМ АРГ

8.1 Если в результате анализа Аi < Агрi и Viотн < 10 % в месяц, то нет данных, указывающих на наличие развивающегося дефекта в этом трансформаторе; контроль по АРГ проводится по графику - один раз в 6 мес.

8.2 Если в результате анализа Аi > Агрi и Viотн < 10 % в месяц, то провести повторный отбор пробы масла и хроматографический анализ растворенных в нем газов для подтверждения результатов измерения и соответственно:

8.2.1 Проанализировать условия предшествующей эксплуатации трансформатора с учетом факторов, влияющих на изменение концентраций газов в нормально работающих трансформаторах (п. 3).

8.2.2 По критериям отношений концентраций пар характерных газов (п.п. 5.1 и 5.2) установить вид и характер дефекта.

8.2.3 Определить время повторного отбора пробы масла (п. 7.3) и провести АРГ.

8.2.4 Если в результате выполнения операций по п. 8.2.3 скорость Viотн растет, то трансформатор оставить на учащенном контроле с периодичностью АРГ, определяемой по п. 7.3.

8.2.5 По данным последующих результатов АРГ выполнить мероприятия п.п. 8.2.1-8.2.2 и определить Viотн.

8.2.6 Если при выполнении п.п. 8.2.5 получается неравенство Аi > Агрi и Viотн > 10 % в месяц, а скорость Vотнi, продолжает увеличиваться (быстро развивающийся дефект), то планировать вывод трансформатора из работы.

8.2.6.1 Если при выполнении п.п. 8.2.5 сохраняется неравенство Аi > Агрi и Viотн остается постоянной и меньше 10 % в мес., то для выяснения наличия повреждения рекомендуется провести дегазацию масла и выполнить несколько последовательных анализов.

Если после проведения дегазации концентрации газов меньше соответствующих граничных значений и не увеличиваются, то это свидетельствует об отсутствии повреждения. Такой трансформатор снимается с контроля, и дальнейшая периодичность отбора проб масла устанавливается один раз в 6 мес.

Если же после проведения дегазации масла вновь наблюдается рост концентрации растворенных газов при повторных АРГ со скоростью:

- Vотн > 10 % в мес., то следует планировать вывод трансформатора из работы;

- Vотн < 10 % в мес., то трансформатор остается в работе на учащенном контроле по АРГ.

8.2.7 Если Аi > Агрi и Viотн £ 0, то следует проверить влияние эксплуатационных факторов согласно п. 3.4 и при их отсутствии можно предположить, что дефект развивается «вглубь» (выгорание контактов переключающих устройств, листов магнитопровода, металлических шпилек и т.д.). В этом случае следует планировать вывод трансформатора из работы.

8.3. Для трансформаторов с РПН, учитывая особенности их конструктивного выполнения, рекомендуется:

8.3.1 Для РПН в навесных баках в целях определения возможного перетока газов вследствие нарушения герметичности между баками контактора и трансформатора необходимо отобрать одновременно пробу масла из баков контактора и трансформатора.

8.3.2. Если измеренные концентрации одного или нескольких углеводородных газов в обоих пробах масла одинаковые, то это может указывать на переток газов.

В этом случае следует проверить состояние контактов контактора и состояние уплотнения между баками контактора и трансформатора. Если дефект выявлен, то его следует устранить.

8.3.3. Для РПН погружного типа может быть три вида дефектов:

- переток из бака контактора в бак трансформатора,

- переток в расширителе по уровню масла,

- переток газовой фазы по надмасляному пространству, если перегородка в общем расширителе выполнена не до самого верха.

8.3.3.1. Для РПН погружного типа отборы проб масла в целях выявления перетока следует производить одновременно из бака трансформатора и из расширителя контактора.

8.3.3.2. Если концентрации газов в пробе масла из бака трансформатора выше, чем в пробе масла из расширителя, то «перетока» нет и в этом случае диагностика по АРГ выполняется в соответствии с п. 8.2.6.

8.4. При срабатывании газового реле на сигнал или на отключение для диагностики возможного дефекта следует:

8.4.1. Отобрать пробу газа из газового реле (свободный газ) и одновременно пробу масла из бака трансформатора.

8.4.2. Определить концентрации газов отдельно в каждой из отобранных проб (Асi - концентрации газов в свободном газе, Аi - концентрации газов в масле).

8.4.3. По полученным концентрациям газов, растворенных в масле из бака трансформатора рассчитать концентрации этих же газов, соответствующих равновесному состоянию с газовой фазой, по формуле:

                                                              (7)

Коэффициент растворимости io газа в масле принимается по табл. 4.

Таблица 4

Значения коэффициентов растворимости (Вi) газов в масле (при температуре 20 °С и давлении 760 мм рт. ст.)

Наименование газа

Bi

Наименование газа

Bi

Водород

0,05

Оксид углерода

0,12

Метан

0,43

Диоксид углерода

1,08

Ацетилен

1,20

 

 

Этилен

1,70

 

 

Этан

2,4

 

 

8.4.4. Сравнить концентрации свободного газа (Асi) с расчетными значениями Агi и соответственно:

8.4.4.1 Если концентрации Асi примерно равны Агi, то это свидетельствует о том, что газ в реле выделился в равновесном состоянии в результате подсоса воздуха в газовое реле или в систему охлаждения трансформатора, или резкого снижения уровня масла в расширителе бака трансформатора и др. причин.

В этом случае следует определить причину срабатывания газового реле и устранить дефект.

8.4.4.2 Если концентрация Асi значительно больше, чем Агi, то это свидетельствует о быстро развивающемся дефекте, как правило, электрического вида. Обычно такие дефекты характеризуются высокими концентрациями водорода и ацетилена в пробе газа из газового реле.

В этом случае трансформатор требуется немедленно вывести из работы для устранения дефекта.

8.5. Во всех случаях при решении вопроса о дальнейшей эксплуатации трансформатора, в котором подозревается наличие того или иного дефекта, следует учитывать:

- возможность появления характерных газов, не связанных с дефектом трансформатора (например, неисправности в системе охлаждения, повреждения системы защиты масла и т.п.);

- особенности эксплуатации трансформатора;

- рекомендации завода-изготовителя.

8.6. Примеры диагностики эксплуатационного состояния трансформатора по результатам АРГ приведены в приложении 2.

9. ОПРЕДЕЛЕНИЕ НАЛИЧИЯ ДЕФЕКТА В ВЫСОКОВОЛЬТНЫХ ГЕРМЕТИЧНЫХ ВВОДАХ ТРАНСФОРМАТОРОВ ПО РЕЗУЛЬТАТАМ АНАЛИЗА РАСТВОРЕННЫХ В МАСЛЕ ГАЗОВ

9.1 С помощью АРГ в высоковольтных герметичных вводах трансформаторов можно обнаружить нарушение контактных соединений (искрение), проявление острых краев деталей (микроразряды в масле), ослабление контактных соединений верхней контактной шпильки (термическая деструкция масла) и локальные дефекты остова (микроразряды в остове).

В таблице 5 приведен перечень обнаруживаемых с помощью АРГ дефектов и их хроматографические признаки.

9.2 Основные газы, свидетельствующие о наличии дефектов: ацетилен (С2H2) и сумма концентраций углеводородных газов (ΣСxHy); метан - СH4, этан - С2H6, этилен - С2H4 и ацетилен - С2H2.

9.3 Вводы подлежат отбраковке при достижении концентраций ацетилена - 0,0005 %об и более, либо при достижении суммы концентраций углеводородных газов:

- вводы (110-220) кВ - 0,03 %об и более;

- вводы (330-750) кВ - 0,015 %об и более

9.4 В процессе эксплуатации герметичных вводов, имеющих удовлетворительные результаты измерений в соответствии с [1] рекомендуется следующая периодичность измерений растворенных газов в масле вводов:

- вводы (110-220) кВ - 1 раз в четыре года;

- вводы (330-750) кВ - 1 раз в два года

Для всех вновь вводимых в работу высоковольтных герметичных вводов - через два года после начала их эксплуатации.

Таблица 5

Дефекты высоковольтных герметичных вводов трансформаторов, обнаруживаемые с помощью АРГ

№ п/п

Дефект

Основные хроматографические признаки дефекта

1.

Механические примеси

Образование углеродосодержащих частиц вследствие разрядов - ацетилен. Появление незавершенных искровых разрядов - водород. Возможно отложение загрязнений по поверхностям и прорастание по ним разряда - водород и ацетилен.

2.

Острые края деталей в масле

Появление незавершенных искровых разрядов - водород. Накопление продуктов деструкции масла по поверхностям и прорастание по ним разряда - водород и ацетилен.

3.

Нарушение контактных соединений

Появление искрового разряда в масле - водород и ацетилен. Отложение продуктов деструкции масла по поверхностям и прорастание по ним разряда - водород и ацетилен. Накопление продуктов деструкции масла - водород и ацетилен.

4.

Ослабление контактных соединений верхней контактной шпильки

Термическая деструкция масла (осмоление) - метан, этан.

5.

Локальные дефекты остова

Микроразряды в остове - ацетилен и водород.

Литература

1. Объем и нормы испытаний электрооборудования. РД 34.45-51.300-97. М.: НЦ ЭНАС, 1998

Приложение 1

ПРИМЕРЫ ВЛИЯНИЯ ЭКСПЛУАТАЦИОННЫХ ФАКТОРОВ НА РЕЗУЛЬТАТЫ АРГ

Приведены случаи появления в трансформаторном масле газов разложения, которые к дефектам активных частей отнести нельзя. Недостаточно внимательное интерпретирование результатов АРГ может привести к необоснованному выводу оборудования из работы и тем самым к серьезному экономическому ущербу в особенности, когда речь идет о мощном или диспетчерски ответственном трансформаторе.

1. В случае перегрузки или перенапряжения увеличиваются, как правило в два и более раза концентрации СО2 и СО по сравнению с граничными значениями, например, вследствие отказа или неправильной работы разрядников, выключателей, грозовых и коммутационных перенапряжений, перекоса фаз, короткого замыкания в электрически связанной сети и т.д. За таким трансформатором необходимо проследить. Если причина роста концентраций относится к вышеупомянутым случаям, то через 1-2 мес. концентрации вернутся к исходным; если же они будут увеличиваться или тем более появятся углеводородные газы, то причиной этого может быть развивающееся повреждение, интерпретация которого будет зависеть от состава газов и их соотношений.

2. В случае отказа системы охлаждения происходит активное газовыделение с превалированием этана над всеми остальными газами и резким ростом содержания СО2.

3. При сгорании двигателя маслонасоса может появиться весь состав газов, включая ацетилен. Одним из косвенных подтверждений этого дефекта может быть резкий рост их концентраций с последующим быстрым убыванием в случае трансформатора со свободным дыханием и стабилизация этих концентраций у трансформаторов с азотной и пленочной защитами масла.

4. Одной из причин появления газов в масле может быть предшествующее повреждение. Если при этом масло после аварии долго находилось в трансформаторе, то целлюлозная изоляция могла абсорбировать значительное количество газов разложения. После устранения повреждения и смены масла при включении трансформатора в работу из пор целлюлозной изоляции в масло будут выделяться ранее поглощенные газы, состав которых будет соответствовать предшествующему повреждению (кроме водорода, которого, как правило, при этом не бывает, так как он просто улетучивается). Этот процесс зависит от нагрузки трансформатора. Если нагрузка значительна, то газы активно выделяются в масло, а затем либо сравнительно быстро исчезают у трансформаторов со свободным дыханием, либо стабилизируются у трансформаторов с азотной и пленочной защитой.

При незначительной нагрузке выделение газов может начаться не сразу после включения, а примерно через месяц, и нарастание концентраций может продолжаться до 2-3 мес. и лишь после этого начнет убывать. В этом случае требуется особое внимание, чтобы не вывести в ремонт трансформатор без фактических показателей к этому.

5. Появление газов разложения масла и твердой изоляции, наблюдаемое после доливки масла, также должно нацелить на тщательную проверку масла, которое доливалось в трансформатор, так как доливка масла из поврежденного трансформатора может создать иллюзию возникновения повреждения.

Если подтвердится, что в доливаемом масле были растворены газы, характерные для того или иного дефекта, трансформатор должен быть все равно взят под учащенный контроль, чтобы убедиться, что концентрации газов убывают или хотя бы не растут, так как возможно случайное наложение двух факторов: доливка плохим маслом и возникновение дефекта. Только отсутствие роста концентраций газов позволяет считать причиной их появления доливку маслом из аварийного трансформатора.

6. Как правило, заливаемое в трансформатор масло проходит обработку через маслоочистительную установку, снабженную электроподогревателем. При сгорании одного из элементов электроподогревателя или нарушении режима подогрева масло, находящееся в этот момент в контакте с ним, перегревается с выделением газов, характерных для температуры, при которой произошел перегрев. Этот дефект легко устанавливается проверкой масла из трансформатора на газосодержание непосредственно перед включением его в работу. Поэтому это измерение должно быть проведено обязательно.

Если есть основание подозревать, что причина появления в масле газов разложения вызвана эксплуатационными факторами, самым эффективным способом уточнения этой причины является дегазация масла с помощью передвижной установки.

Если причина была установлена правильно, то выделение газов после дегазации не будет. В противном случае в трансформаторе имеется очаг повреждения.

Приложение 2

ПРИМЕРЫ ДИАГНОСТИКИ ЭКСПЛУАТАЦИОННОГО СОСТОЯНИЯ ТРАНСФОРМАТОРА ПО РЕЗУЛЬТАТАМ АРГ

Пример 1.

В трансформаторе ТДЦГ-400000/330 при очередном анализе по графику были зарегистрированы следующие концентрации газов (%об):

1-ый анализ СО2 = 0,17; СО = 0,02; СН4 = 0,0045; С2Н4 = 0,005; С2Н2 - отсутствует; С2Н6 = 0,002; Н2 = 0,008. Так как концентрации каждого из газов не превышают граничные значения (Ai < Aгpi), следующий анализ был проведен через 6 мес. и дал следующие результаты:

2-й анализ СО2 = 0,16; СО = 0,02; СН4 = 0,017; С2Н4 = 0,05; С2Н2 = 0,003; С2Н6 = 0,0048; Н2 = 0,0075.

Для подтверждения результатов АРГ следующий анализ проведен через 6 дней. Получили следующие результаты:

3-й анализ СО2 = 0,15; СО = 0,02; СН4 = 0,016; С2Н4 = 0,048; С2Н2 = 0,003; С2Н6 = 0,0047; Н2 = 0,01.

Анализ условий эксплуатации за предшествующий период показал, что отсутствуют факторы, которые могли бы вызвать рост концентраций углеводородных газов (п. 3.2).

По полученным концентрациям углеводородных газов определим характер развивающегося в трансформаторе дефекта по таблице 3 текста РД:

На основании полученных данных прогнозируется дефект термического характера - «термический дефект высокой температуры, > 700 °С».

Так как СО2/СО = 0,16/0,02 = 8, то делаем вывод, что дефект не затрагивает твердую изоляцию и относится к группе 1 (п. 2.1).

Определим минимальную периодичность следующего отбора проб масла по формуле 6:

- рассчитаем величины абсолютных скоростей нарастания концентраций каждого газа:

Так как максимальная абсолютная скорость нарастания у водорода, то Т1d определяем по ней:

T1d = 5 ´ 5 ´ 104/0,0125 = 0,2 мес., т.е. 6 дней

Фактически следующий отбор пробы масла и АРГ были проведены через 7 дней и получены следующие концентрации газов:

4-й анализ СО2 = 0,15; СО = 0,02; СН4 = 0,018; С2Н4 = 0,051; С2Н2 = 0,0035; С2Н6 = 0,0053; Н2 = 0,01.

По данным этого анализа в трансформаторе подтвердилось наличие быстроразвивающегося дефекта термического характера, не затрагивающего твердую изоляцию - «термический дефект высокой температуры, > 700 °С» и относящегося к 1 группе дефектов «Перегревы токоведущих соединений и элементов конструкции остова».

Трансформатор был выведен в ремонт. Во время ремонта в нем было обнаружено выгорание меди отвода обмотки 330 кВ, что подтвердило правильность поставленного диагноза.

Пример 2.

В трансформаторе ТДТГ - 10000/110 после срабатывания газовой защиты на отключение (отбор пробы масла был проведен из бака трансформатора) определен следующий состав растворенных в масле газов (концентрации в %об.):

СО2 = 0,45; СО = 0,04; СН4 = 0,021; С2Н4 = 0,027; С2Н2 = 0,134; С2Н6 = 0,006; Н2 = 0,20.

Из результатов анализа следует, что концентрации метана и этилена более, чем в 2 раза превышают соответствующие граничные значения (табл. 2 РД), концентрация водорода в 20 раз превышает граничное значение, а ацетилена - более, чем в 100 раз.

Анализ условий эксплуатации за предшествующий период показал, что отсутствуют факторы, которые могли бы вызвать рост концентраций углеводородных газов (п. 3.2).

По полученным концентрациям углеводородных газов определим характер развивающегося в трансформаторе дефекта по таблице 3 текста РД:

На основании полученных данных прогнозируется дефект электрического характера - «разряды большой мощности».

Трансформатор был выведен в ремонт, в нем был обнаружен обрыв токопровода переключателя.

Пример 3.

В трансформаторе ТДТН-31500/110 газовая защита сработала на сигнал.

Отобрали пробу газа из газового реле и пробу масла из бака трансформатора. Определили концентрации растворенных в масле газов и газа из газового реле; результаты анализов приведены в таблице:

Характеристика пробы

Концентрации газов, %об.

Н2

СН4

С2Н4

С2Н6

С2Н2

СО2

СО

Масло из бака

0,016

0,0024

0,015

0,0006

0,040

0,162

0,05

Газ из реле, (Асi)

31,4

4,42

1,52

0,03

3,34

0,58

5,78

Расчетное значение газа из реле, (Ari)

0,32

0,056

0,009

0,00025

0,033

0,15

0,42

1. По концентрациям углеводородных газов в масле из бака трансформатора определим характер развивающегося в нем дефекта по таблице 3 текста РД:

По критерию отношения в трансформаторе прогнозируется дефект электрического характера - дуговой разряд, затрагивающий твердую изоляцию.

2. По концентрациям газов, растворенных в масле бака трансформатора, рассчитаем концентрации этих же газов, соответствующих равновесному состоянию с газовой фазой (Ari) по формуле 7 РД и результаты расчета занесем в третью строку таблицы:

      

  

 

При сравнении концентраций Ari и Aci по каждому газу (строка 2 и 3 таблицы примера 3) получаем неравенство: Ari < Aci, т.е. можно заключить, что газ в реле выделился в неравновесных условиях в результате быстро развивающегося дефекта (дуговой разряд, затрагивающий твердую изоляцию).

Было дано заключение о выводе трансформатора из работы. При осмотре был обнаружен пробой витковой изоляции.

Приложение 3

ОПРЕДЕЛЕНИЕ ГРАФИЧЕСКИМ СПОСОБОМ РАЗВИВАЮЩИХСЯ В ТРАНСФОРМАТОРАХ ДЕФЕКТОВ ПО РЕЗУЛЬТАТАМ АРГ

Вид развивающихся в трансформаторах дефектов можно ориентировочно определить графически по основным газам: водороду, метану, этилену и ацетилену.

А. Построение графиков по относительным концентрациям.

Основной газ определяется по п. 2.5 РД.

1. Для дефектов электрического характера основным газом может быть водород или ацетилен (п. 2.4.1 текста РД).

На рис. 3.1-3.5 - изображены графики дефектов электрического характера.

2. Для дефектов термического характера (перегревы при плохих контактах, токах утечки, от магнитных полей рассеяния в ярмовых балках, бандажах, прессующих кольцах и винтах и т.п.) основным газом является метан или этилен в зависимости от температуры нагрева в зоне развития дефекта (см. п. 2.4.2 текста РД).

На рис. 3.6-3.12 изображены графики дефектов термического характера. Графики строятся следующим образом:

- по результатам хроматографического анализа масла (Аi) по формуле 1 настоящих РД рассчитать относительные концентрации (ai) водорода и углеводородных газов;

- определить основной газ в данном анализе (по расчетным относительным концентрациям максимальное значение amaxi соответствует основному газу);

- определить величину отношения ai/amaxi по углеводородным газам и водороду, причем для основного газа это отношение равно единице;

- по оси X отложить пять равных отрезков и обозначить полученные точки соответствующими газами в следующей последовательности:

- по оси Y отложить отрезок произвольной величины и обозначить его цифрой «1»;

- далее для каждого газа по оси Y отложить соответствующую величину отношения - ai/amaxi;

- полученные точки соединить прямыми линиями;

- построенный график сравнить с графиками рис. 3.1-3.12 и определить характер дефекта.

При сравнении графиков необходимо учитывать модальность и основной газ.

Б. Построение графиков по абсолютным концентрациям

1. По результатам хроматографического анализа масла газ с максимальной концентрацией (Amaxi ) принимается за основной газ.

2. Определить величину отношения измеренной концентрации газового компонента к максимальной концентрации (Ai/Amaxi), причем для основного газа это отношение равно единице.

3. Далее для каждого газа на оси ординат отложить соответствующие величины отношения Ai/Amaxi для каждого газа, построить график в соответствии с п. А и определить характер дефекта.

Рекомендуется для построения графиков использовать только такие результаты АРГ, в которых концентрации водорода и углеводородных газов в несколько раз превышают соответствующие граничные значения (при этом возможно отсутствие в масле ацетилена и/или наличие низких концентраций водорода).

Графики дефектов электрического характера

Основной газ - водород

Дефекты, вызванные разрядами

Рис. 3.1. Разряды малой мощности

Рис. 3.2. ЧР с низкой плотностью энергии

Рис. 3.3. Дефекты, вызванные искрением

Рис. 3.4. Дефекты, вызванные дугой

Основной газ - ацетилен

Рис. 3.5. Дефекты, вызванные дугой

Графики дефектов термического характера

Основной газ - метан

Дефекты термического характера в диапазоне средних температур

Рис. 3.6

Рис. 3.7

Рис. 3.8. Дефекты термического характера, переходящие в ЧР

Основной газ - этилен

Дефекты термического характера в диапазоне высоких температур

Рис. 3.9

Рис. 3.10

Рис. 3.11

Рис. 3.12. Высокотемпературный нагрев, переходящий в дугу

Приложение 4

ПРИМЕРЫ ПОСТРОЕНИЯ ГРАФИКОВ ДЕФЕКТОВ ПО РЕЗУЛЬТАТАМ АРГ

При построении графиков учитывалось отсутствие эксплуатационных факторов, способствующих росту растворенных в масле газов (п. 3.2 РД).

Граничные концентрации растворенных в масле газов взяты из таблицы 2 РД.

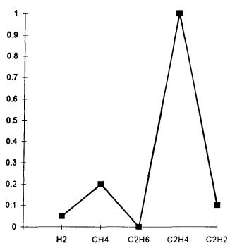
Пример 1

В трансформаторе ТРДЦН-63000/110 по результатам АРГ получили следующие концентрации растворенных в масле газов:

Н2 = 0,004 %об, СН4 = 0,084 %об, С2Н2 = 0 %об, С2Н4 = 0,02 %об, С2Н6 = 0,011 %об, СО = 0,05 %об, СО2 = 0,48 %об.

1. Определяем относительные концентрации (аi) для каждого газа:

аН2 = 0,004/0,01 = 0,4, аСН4 = 0,084/0,01 = 8,4, аС2Н2 = 0, аС2Н4 = 0,02/0,01 = 2,0, аС2Н6 = 0,011/0,005 = 2,2

2. По полученным относительным концентрациям определяем основной газ:

8,4 = аСН4 > аС2Н6 > аС2Н4 > аН2, т.е. основной газ - метан

3. Определяем величины отрезков по оси Y для каждого газа

СН4 = 1, Н2 = 0,4/8,4 = 0,05, С2Н4 = 2/8,4 = 0,24, С2Н2 = 0, С2Н6 = 2,2/8,4 = 0,26

4. Строим график (рис. 4.1).

5. По основному газу СН4 находим график рис. 3.7, Приложение 3, похожий на построенный график (рис. 4.1). При сравнении делаем заключение - в трансформаторе по данным АРГ прогнозируется дефект термического характера в диапазоне средних температур.

6. Для решения вопроса, затронута ли дефектом твердая изоляция, определим отношение концентраций СО2/СО:

СО2/СО = 0,48/0,05 = 9,6 < 13 (см. п. 5.3. РД), следовательно, дефектом не затронута твердая изоляция.

7. Для проверки диагноза (в последующих примерах эта проверка не приведена) определим прогнозируемый в трансформаторе дефект по критерию отношения (п. 5.2, табл. 3 РД):

Рассчитываем величины отношения концентраций газов:

На основании полученных данных прогнозируется дефект термического характера - «термический дефект в диапазоне средних температур (300-700) °С».

Так как СО2/СО = 0,16/0,02 = 8 < 13 ( см. п. 5.3. РД), то делаем вывод, что дефект не затрагивает твердую изоляцию и относится к группе 1 (п. 2.1).

Таким образом, получили совпадение характера прогнозируемого дефекта, определенного графическим способом и по критерию отношения газов.

По результату этого анализа была дана рекомендация вывести трансформатор в ремонт в ближайшее время. Во время ремонта в нем был обнаружен сильный подгар контактов избирателя.

Рис. 4.1. График дефекта термического характера в диапазоне средних температур, вызванного подгаром контактов избирателя

Пример 2

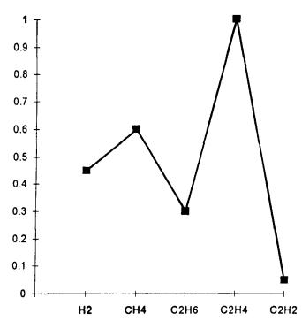
В автотрансформаторе АТДЦТГ-240000/220 по результатам АРГ получили следующие концентрации растворенных в масле газов:

Н2 = 0,01 %об, СН4 = 0,09 %об, С2Н2 = 0,008 %об, С2Н4 = 0,167 %об, С2Н6 = 0,03 %об, СО = 0,019 %об, СО2 = 0,24 %об.

1. Определяем относительные концентрации (аi) для каждого газа:

аН2 = 0,01/0,01 = 1, аСН4 = 0,09/0,01 = 9, аС2Н2 = 0,008/0,001 = 8, аС2Н4 = 0,167/0,01 = 16,7,  = 0,03/0,005 = 6,0

2. По полученным относительным концентрациям определяем основной газ:

16,7 = аС2Н4 > аСН4 > аС2Н2 > аС2Н6 > аН2, т.е. основной газ - этилен.

3. Определяем величины отрезков по оси Y для каждого газа

С2Н4 = 1, Н2 = 1/16,7 = 0,06, СН4 = 9/16,7 = 0,54, С2Н2 = 8/16,7 = 0,45, С2Н6 = 6,0/16,7 = 0,36

4. Строим график (рис. 4.2).

5. По основному газу С2Н4 находим график рис. 3.10, Приложение 3, похожий на построенный график (рис. 4.2 ). Следовательно, в автотрансформаторе по данным АРГ прогнозируется дефект термического характера - высокотемпературный перегрев масла.

6. Для решения вопроса, затронута ли дефектом твердая изоляция, определим отношение концентраций СО2/СО:

СО2/СО = 0,24/0,019 = 12,6, следовательно, дефектом не затронута твердая изоляция.

По результату этого анализа была дана рекомендация вывести автотрансформатор в ремонт в ближайшее время, но руководство системы оставило его в работе под контролем АРГ.

Автотрансформатор проработал еще 4 мес. и был выведен в ремонт.

Во время ремонта в нем было обнаружено замыкание прессующего кольца обмотки СН на прессующее кольцо обмотки НН через упавший стакан домкрата.

Рис. 4.2. График дефекта термического характера - высокотемпературный перегрев, вызванный короткозамкнутым контуром в остове

Пример 3

В автотрансформаторе АТДЦТН-250000/500 по результатам АРГ получили следующие концентрации растворенных в масле газов:

Н2 = 0,03 %об, СН4 = 0,18 %об, С2Н2 = 0 %об, С2Н4 = 0,3 %об, С2Н6 = 0,043 %об, СО = 0,016 %об, СО2 = 0,19 %об.

1. Определяем относительные концентрации (ai) для каждого газа:

аН2 = 0,03/0,01 = 3, аСН4 = 0,18/0,01 = 18, аС2Н2 = 0, аС2Н4 = 0,3/0,01 = 30, аС2Н6 = 0,043/0,005 = 8,6

2. По полученным относительным концентрациям определяем основной газ:

30 = аС2Н4 > аСН4 > аС2Н6 > аН2, т.е. основной газ - этилен.

3. Определяем величины отрезков по оси Y для каждого газа

С2Н4 = 1, Н2 = 3/30 = 0,1, СН4 = 18/30 = 0,6, С2Н2 = 0, С2Н6 = 8,6/30 = 0,29

4. Строим график (рис. 4.3).

5. По основному газу С2Н4 находим график рис. 3.9, Приложение 3, похожий на построенный график (рис. 4.3). Следовательно, в автотрансформаторе по данным АРГ прогнозируется дефект термического характера - высокотемпературный перегрев масла.

6. Для решения вопроса, затронута ли дефектом твердая изоляция, определим отношение концентраций СО2/СО:

СО2/СО = 0,19/0,016 = 11,9 < 13 (см. п. 5.3. РД), следовательно, дефектом не затронута твердая изоляция.

По результату этого анализа была дана рекомендация вывести автотрансформатор в ремонт. Во время ремонта в нем был обнаружен короткозамкнутый контур - касание нижней консоли с шипом.

Рис. 4.3. График дефекта термического характера - высокотемпературный нагрев (> 700 °С), вызванный касанием нижней консоли с шипом

Пример 4

В трансформаторе ТДТН-40000/110 по результатам АРГ получили следующие концентрации растворенных в масле газов:

Н2 = 0,011 %об, СН4 = 0,036 %об, С2Н2 = 0 %об, С2Н4 = 0,152 %об, С2Н6 = 0,039 %об, СО = 0,04 %об, СО2 = 0,45 %об.

1. Определяем относительные концентрации (аi) для каждого газа:

аН2 = 0,011/0,1 = 1,1, аСН4 = 0,036/0,01 = 3,6, аС2Н2 = 0, аС2Н4 = 0,152/0,01 = 15,2, аС2Н6 = 0,039/0,005 = 7,8

2. По полученным относительным концентрациям определяем основной газ:

15,2 = аС2Н4 > аС2Н6 > аСН4 > аС2Н6 > аН2, т.е. основной газ - этилен.

3. Определяем величины отрезков по оси Y для каждого газа

С2Н4 = 1, Н2 = 1,1/15,2 = 0,072, СН4 = 3,6/15,2 = 0,24, С2Н2 = 0, С2Н6 = 7,8/15,2 = 0,5

4. Строим график (рис. 4.4).

5. По основному газу С2Н4 находим график рис. 3.11, Приложение 3, похожий на построенный график (рис. 4.4). Следовательно, в трансформаторе по данным АРГ прогнозируется дефект термического характера - высокотемпературный перегрев масла.

6. Для решения вопроса, затронута ли дефектом твердая изоляция, определим отношение концентраций СО2/СО:

СО2/СО = 0,45/0,04 = 11,25 < 13 (см. п. 5.3. РД), следовательно, дефектом не затронута твердая изоляция.

По результату этого анализа была дана рекомендация вывести трансформатор в ремонт. Во время ремонта в нем был обнаружен подгар контактов переключателя.

Рис. 4.4. График дефекта термического характера - высокотемпературный нагрев (> 700 °С), вызванный подгаром контактов переключателя

Пример 5

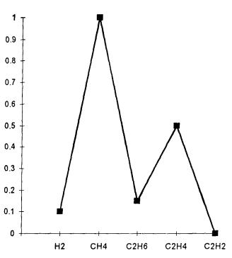
В автотрансформаторе ОДТГА-80000/220 по результатам АРГ получили следующие концентрации растворенных в масле газов:

Н2 = 0,097 %об, СН4 = 0,019 %об, С2Н2 = 0,013 %об, С2Н4 = 0,024 %об, С2Н6 = 0,0023 %об, СО = 0,064 %об, СО2 = 0,27 %об.

1. Определяем относительные концентрации (аi) для каждого газа:

аН2 = 0,097/0,01 = 9,7, аСН4 = 0,019/0,01 = 1,9, аС2Н2 = 0,013/0,001 = 13, аС2Н4 = 0,024/0,01 = 2,4, аС2Н6 = 0,0023/0,005 = 0,46

2. По полученным относительным концентрациям определяем основной газ:

13 = аС2Н2 > аН2 > аС2Н4 > аСН4 > аС2Н6, т.е. основной газ - ацетилен

3. Определяем величины отрезков по оси Y для каждого газа

С2Н2 = 1, Н2 = 9,7/13 = 0,75, СН4 = 1,9/13 = 0,15, С2Н6 = 0,46/13 = 0,035, С2Н4 = 2,4/13 = 0,19

4. Строим график (рис. 4.5).

5. По основному газу С2Н2 находим график рис. 3.5, Приложение 3, похожий на построенный график (рис. 4.5). Следовательно, в трансформаторе по данным АРГ прогнозируется дефект электрического характера - дефект, вызванный дугой.

6. Для решения вопроса, затронута ли дефектом твердая изоляция, определим отношение концентраций СО2/СО:

СО2/СО = 0,27/0,064 = 4,2 < 5 (см. п. 5.3. РД), следовательно, дефектом затронута твердая изоляция.

По результату этого анализа была дана рекомендация вывести автотрансформатор в ремонт в ближайшее время.

Автотрансформатор был выведен в ремонт. Во время ремонта в нем было обнаружено: выгорание изоляции шпилек, касание стягивающих шпилек консоли, выгорание металла шпильки.

Рис. 4.5. График дефекта электрического характера (дуга), вызванного короткозамкнутым контуром в остове

Пример 6 (см. Приложение 2, пример 2 для случая, когда газовая защита сработала на отключение)

В трансформаторе ТДТГ-10000/110 по результатам АРГ получили следующие концентрации растворенных в масле газов:

Н2 = 0,20 %об, СН4 = 0,021 %об, С2Н2 = 0,134 %об, С2Н4 = 0,027 %об, С2Н6 = 0,0006 %об, СО = 0,04 %об, СО2 = 0,45 %об.

1. Определяем относительные концентрации (аi) для каждого газа:

аН2 = 0,20/0,01 = 20, аСН4 = 0,021/0,01 = 2,1, аС2Н2 = 0,134/0,001 = 134, аС2Н4 = 0,027/0,01 = 2,7, аС2Н6 = 0,0006/0,005 = 0,12

2. По полученным относительным концентрациям определяем основной газ:

134 = аС2Н2 > аН2 > аС2Н4 > аСН4 > аС2Н6, т.е. основной газ - ацетилен

3. Определяем величины отрезков по оси Y для каждого газа

С2Н2 = 1, Н2 = 20/134 = 0,15, СН4 = 2,1/134 = 0,016, С2Н6 = 0,12/134 = 0,12, С2Н4= 2,7/134 = 0,02

4. Строим график (рис. 4.6).

5. По основному газу С2Н2 находим график рис. 3.5, Приложение 3, похожий на построенный график (рис. 4.6). Следовательно, в трансформаторе по данным АРГ прогнозируется дефект электрического характера - дефект, вызванный дугой.

6. Для решения вопроса, затронута ли дефектом твердая изоляция, определим отношение концентраций СО2/СО:

СО2/СО = 0,45/0,04 = 11,25 < 13 (см. п. 5.3. РД), следовательно, дефектом не затронута твердая изоляция.

По результату этого анализа была дана рекомендация вывести трансформатор в ремонт.

Во время ремонта в нем обнаружили обрыв токопровода переключателя.

Рис. 4.6. График дефекта электрического характера (дуга)

Пример 7

В трансформаторе ТДТН-63000/110 по результатам АРГ получили следующие концентрации растворенных в масле газов:

Н2 = 0,053 %об, СН4 = 0,02 %об, С2Н2 = 0,0013 %об, С2Н4 = 0,049 %об, С2Н6 = 0,009 %об (концентрации оксида и диоксида углерода не определялись).

1. Определяем относительные концентрации (ai) для каждого газа:

аН2 = 0,053/0,01 = 5,3, аСН4 = 0,02/0,01 = 2,0, аС2Н2 = 0,0013/0,001 = 1,3, аС2Н4 = 0,049/0,01 = 4,9, аС2Н6 = 0,009/0,005 = 1,8

2. По полученным относительным концентрациям определяем основной газ:

5,3 = аН2 > аС2Н4 > аСН4 > аС2Н6 > аС2Н2, т.е. основной газ - водород

3. Определяем величины отрезков по оси Y для каждого газа

H2 = 1, СН4 = 2,0/5,3 = 0,38, С2Н6 = 1,8/5,3 = 0,34, С2Н4 = 4,9/5,3 = 0,92, С2Н2 = 1,2/5,3 = 0,24

4. Строим график (рис. 4.7).

5. По основному газу Н2 находим график рис. 3.3, Приложение 3, похожий на построенный график (рис. 4.7). Следовательно, в трансформаторе по данным АРГ прогнозируется дефект электрического характера - дефект, вызванный искрением.

По результату этого анализа была дана рекомендация вывести трансформатор в ремонт.

Во время ремонта в трансформаторе обнаружили подгар подвижных и неподвижных контактов предызбирателя РПН РС-4.

Рис. 4.7. График дефекта электрического характера (искрение)

Пример 8

В трансформаторе ТДЦ-400000/330 по результатам АРГ получили следующие концентрации растворенных в масле газов:

Н2 = 0,27 %об, СН4 = 0,025 %об, С2Н2 = 0,024 %об, С2Н4 = 0,030 %об, С2Н6 = 0,007 %об (концентрации оксида и диоксида углерода не определялись).

1. Определяем относительные концентрации (ai) для каждого газа:

аН2 = 0,27/0,01 = 27,0, аСН4 = 0,025/0,01 = 2,5, аС2Н2 = 0,024/0,001 = 24,0, аС2Н4 = 0,030/0,01 = 3,0, аС2Н6 = 0,007/0,005 = 1,4

2. По полученным относительным концентрациям определяем основной газ:

27 = аН2 > аС2Н2 > аС2Н4 > аСН4 > аС2Н62, т.е. основной газ - водород

3. Определяем величины отрезков по оси Y для каждого газа

Н2 = 1, СН4 = 2,5/27 = 0,093, С2Н6 = 1,4/27 = 0,052, С2Н4 = 3,0/27 = 0,11, С2Н2 = 24/27 = 0,89

4. Строим график (рис. 4.8).

5. По основному газу Н2 находим график рис. 3.4, Приложение 3, похожий на построенный график (рис. 4.8). Следовательно, в трансформаторе по данным АРГ прогнозируется дефект электрического характера - дефект, вызванный дугой.

По результату этого анализа была дана рекомендация вывести трансформатор в ремонт.

Во время ремонта в нем обнаружили следы разряда и выгорание магнитопровода.

Рис. 4.8 График дефекта электрического характера (дуга)

 




ГОСТЫ, СТРОИТЕЛЬНЫЕ и ТЕХНИЧЕСКИЕ НОРМАТИВЫ.
Некоммерческая онлайн система, содержащая все Российские Госты, национальные Стандарты и нормативы.
В Системе содержится более 150000 файлов нормативно-технической документации, действующей на территории РФ.
Система предназначена для широкого круга инженерно-технических специалистов.

Рейтинг@Mail.ru Яндекс цитирования

Copyright © www.gostrf.com, 2008 - 2026