Крупнейшая бесплатная информационно-справочная система онлайн доступа к полному собранию технических нормативно-правовых актов РФ. Огромная база технических нормативов (более 150 тысяч документов) и полное собрание национальных стандартов, аутентичное официальной базе Госстандарта. GOSTRF.com - это более 1 Терабайта бесплатной технической информации для всех пользователей интернета. Все электронные копии представленных здесь документов могут распространяться без каких-либо ограничений. Поощряется распространение информации с этого сайта на любых других ресурсах. Каждый человек имеет право на неограниченный доступ к этим документам! Каждый человек имеет право на знание требований, изложенных в данных нормативно-правовых актах!

  


 

Система нормативных документов в строительстве

СВОД ПРАВИЛ
ПО ПРОЕКТИРОВАНИЮ И СТРОИТЕЛЬСТВУ

МЕХАНИЗАЦИЯ СТРОИТЕЛЬСТВА.
ОРГАНИЗАЦИЯ ДИАГНОСТИРОВАНИЯ
СТРОИТЕЛЬНЫХ И ДОРОЖНЫХ МАШИН

Часть 1. ОБЩИЕ ТРЕБОВАНИЯ

СП 12-105-2003

ГОСУДАРСТВЕННЫЙ КОМИТЕТ РОССИЙСКОЙ ФЕДЕРАЦИИ
ПО СТРОИТЕЛЬСТВУ И ЖИЛИЩНО-КОММУНАЛЬНОМУ КОМПЛЕКСУ
(ГОССТРОЙ РОССИИ)

Москва

2004

ПРЕДИСЛОВИЕ

1 РАЗРАБОТАН рабочей группой технического комитета по стандартизации ТК 376 «Эксплуатация строительно-дорожных машин и оборудования» в составе: Владимирский государственный университет (ВлГУ), Военно-технический университет Спецстроя России, Московский государственный университет путей сообщения (МИИТ), Московский государственный строительный университет (МГСУ) и Управление государственной строительной политики (в том числе лицензирование) Госстроя России

ВНЕСЕН Управлением государственной строительной политики (в том числе лицензирование) Госстроя России

2 ОДОБРЕН И РЕКОМЕНДОВАН К ПРИМЕНЕНИЮ в качестве нормативного документа Системы нормативных документов в строительстве постановлением Госстроя России от 27.06.2003 № 116

3 СОГЛАСОВАН с Госстроем Украины в соответствии с Соглашением между Госстроем России и Госстроем Украины о согласовании и участии в совместной разработке нормативных документов в области эксплуатации и ремонта строительных машин

ВВЕДЕНИЕ

В настоящее время усилилась актуальность вопросов, связанных с проблемой повышения эффективности использования строительных и других мобильных машин (далее - машин), в частности повышения уровня технической готовности парков. Традиционные методы обеспечения надежности, основанные на системе планово-предупредительных ремонтов, не обеспечивают в полной мере необходимый результат и ведут, как правило, к большим материальным и финансовым издержкам.

Уменьшение затрат на техническое обслуживание и поддержание машин в исправном состоянии возможно за счет применения технической диагностики, что позволяет более точно устанавливать сроки и объем работ по обслуживанию и ремонту, исключить ненужные разборочно-сборочные работы, определить действительную потребность в регулировках, выявить и проконтролировать основные эксплуатационные показатели машин во время работы, определить целесообразность постановки машины в ремонт, установить готовность машины для выполнения заданного цикла работ, маневрировать сроками технического обслуживания в зависимости от напряженности работ, прогнозировать остаточный ресурс и наработку узлов и отдельных аппаратов.

Развитие процессов механизации строительных работ требует совершенствования теории и практики эксплуатации техники, в частности в области диагностики, поиска отказов и прогнозирования остаточного ресурса.

Целью Свода правил является улучшение использования технического ресурса строительных машин при снижении себестоимости строительно-монтажных работ.

СП 12-105-2003

СВОД ПРАВИЛ ПО ПРОЕКТИРОВАНИЮ И СТРОИТЕЛЬСТВУ

МЕХАНИЗАЦИЯ СТРОИТЕЛЬСТВА.
ОРГАНИЗАЦИЯ ДИАГНОСТИРОВАНИЯ СТРОИТЕЛЬНЫХ
И ДОРОЖНЫХ МАШИН

Часть 1. ОБЩИЕ ТРЕБОВАНИЯ

Mechanisation of construction.
Organization of diagnosis of construction and road machines.

Part 1. General requirements

1 ОБЛАСТЬ ПРИМЕНЕНИЯ

Настоящий Свод правил распространяется на строительные и дорожные машины (далее - машины) и устанавливает общие правила и порядок организации их диагностирования.

Диагностирование отдельных систем машин проводится с учетом настоящего Свода правил и требований методических документов в строительстве (МДС) на конкретные системы (например, требования к диагностированию гидропривода - МДС 12-20).

Настоящий Свод правил предназначен для применения во всех организациях строительной отрасли, а также других отраслях, где эксплуатируется строительная техника.

2 НОРМАТИВНЫЕ ССЫЛКИ

В настоящем документе использованы ссылки на следующие нормативные документы:

СНиП 3.01.01-85* Организация строительного производства

СНиП 12-03-2001 Безопасность труда в строительстве. Часть 1. Общие требования

СНиП 12-04-2002 Безопасность труда в строительстве. Часть 2. Строительное производство

ГОСТ 12.1.005-88 ССБТ. Общие санитарно-гигиенические требования к воздуху рабочей зоны

ГОСТ 12.3.033-84 ССБТ. Строительные машины. Общие требования безопасности при эксплуатации

ГОСТ 17.2.2.02-98 Охрана природы. Атмосфера. Нормы и методы определения дымности отработавших газов дизелей, тракторов и самоходных сельскохозяйственных машин

ГОСТ 17.2.2.03-87 Охрана природы. Атмосфера. Нормы и методы измерений содержания оксида углерода и углеводородов в отработавших газах автомобилей с бензиновыми двигателями. Требования безопасности

ГОСТ 18322-78 Система технического обслуживания и ремонта техники. Термины и определения

ГОСТ 20911-89 Техническая диагностика. Термины и определения

ГОСТ 21046-86 Нефтепродукты отработанные. Общие технические условия

ГОСТ 21623-76 Система технического обслуживания и ремонта техники. Показатели для оценки ремонтопригодности. Термины и определения

ГОСТ 25044-81 Техническая диагностика. Диагностирование автомобилей, тракторов, сельскохозяйственных, строительных и дорожных машин. Основные положения

ГОСТ 25646-95 Эксплуатация строительных машин. Общие требования

ГОСТ 25866-83. Эксплуатация техники. Термины и определения

ГОСТ 26656-85. Техническая диагностика. Контролепригодность. Общие требования

ГОСТ 27518-87 Диагностирование изделий. Общие требования

МДС 12-20.2004 Механизация строительства. Организация диагностирования строительных и дорожных машин. Диагностирование гидроприводов

3 ТЕРМИНЫ И ОПРЕДЕЛЕНИЯ

В настоящем Своде правил применяются термины и определения, приведенные в ГОСТ 20911, ГОСТ 18322, ГОСТ 25866, ГОСТ 21623, ГОСТ 25646, ГОСТ 26656, а также термины и определения, приведенные ниже.

3.1 метод технического диагностирования: Совокупность технологических и организационных правил выполнения операций технического диагностирования.

3.2 безразборный метод: Метод диагностирования, при котором для измерения диагностических параметров машины и (или) ее составных частей (двигателя, гидропривода и т.п.) не требуются демонтажно-монтажные работы.

3.3 общее техническое диагностирование: Диагностирование по обобщенным параметрам для интегральной оценки состояния проверяемого объекта в целом.

3.4 углубленное техническое диагностирование: Диагностирование для более точной по сравнению с общим диагностированием оценки технического состояния составных частей объекта и установления места и причин отказа (неисправности).

3.5 непрерывное техническое диагностирование: Диагностирование, которое осуществляется непрерывно встроенными средствами технического диагностирования.

3.6 периодическое техническое диагностирование: Диагностирование, выполняемое через установленные в эксплуатационной документации интервалы времени или наработки.

3.7 регламентированное техническое диагностирование: Диагностирование, при котором номенклатура, объем и периодичность диагностических операций устанавливаются в соответствии с нормативной и эксплуатационной документацией в зависимости от наработки объекта.

3.8 диагностирование по техническому состоянию: Диагностирование, при котором номенклатура и объем диагностических операций определяются в зависимости от технического состояния объекта.

3.9 комбинированное (смешанное) диагностирование: Диагностирование, представляющее совокупность регламентированного технического диагностирования и диагностирования по техническому состоянию.

3.10 плановое техническое диагностирование: Диагностирование, которое осуществляется в соответствии с требованиями нормативно-технической и (или) эксплуатационной документации.

3.11 неплановое техническое диагностирование: Диагностирование, которое осуществляется без предварительного назначения.

3.12 внешнее средство технического диагностирования (СТД): Средство диагностирования, выполненное отдельно от объекта диагностирования. Внешние СТД подразделяются на стационарные, передвижные и переносные.

3.13 встроенное средство технического диагностирования: Средство диагностирования, являющееся составной частью объекта диагностирования.

3.14 парк строительных и дорожных машин: Совокупность строительных и дорожных машин, находящихся в эксплуатации в различных организациях строительной отрасли.

3.15 диагностическая операция: Часть процесса диагностирования, выполнение которой позволяет определить один или несколько диагностических параметров объекта.

3.16 технический диагноз (диагноз): Заключение о техническом состоянии объекта с указанием, при необходимости, места, вида и причины отказа и (или) дефекта. Диагноз является результатом диагностирования.

3.17 технология диагностирования: Совокупность методов, параметров и операций диагностирования, выполняемых планомерно и последовательно в соответствии с технологической документацией для получения конечного диагноза.

3.18 поиск отказа (неисправности): Диагностирование с целью определения места и, при необходимости, причины и вида отказа или неисправности объекта.

3.19 глубина поиска отказа (неисправности): Уровень структуры объекта (машина, составная часть, сборочная единица, деталь), на котором определяется место отказа или неисправности.

3.20 структура объекта: Условная схема его строения, образуемая последовательным расчленением объекта на элементы структуры (составные части, сборочные единицы и т.п.).

4 ОБЩИЕ ПОЛОЖЕНИЯ

4.1 Техническое диагностирование строительно-дорожных машин (далее - машин) организуют и проводят в соответствии с требованиями СНиП 3.01.01, ГОСТ 25646, ГОСТ 25044 и настоящего Свода правил.

4.2 Техническое диагностирование представляет собой комплекс организационно-технических мероприятий, обеспечивающих выполнение задач по контролю и прогнозированию технического состояния машины и (или) ее составных частей, а также поиску места и определению причин отказа (неисправности).

4.3 Техническое диагностирование проводится при:

- вводе машин в эксплуатацию;

- техническом обслуживании (ТО);

- текущем и капитальном ремонтах (ТР и КР);

- использовании по назначению;

- возникновении отказов (неисправностей).

4.4 Результаты диагностирования являются основанием для решения вопроса о дальнейшем режиме эксплуатации машины, времени постановки ее в ремонт, номенклатуре и объеме ремонтно-профилактических работ, включая замену составных частей машины.

4.5 Диагностирование машин должно производиться в соответствии с требованиями техники безопасности (в том числе электро- и пожаробезопасности) и производственной санитарии и экологических норм, регламентированных ГОСТ 25646, ГОСТ 12.3.033, СНиП 12-03 и СНиП 12-04.

4.5.1 При диагностировании машин содержание вредных веществ и дымность в выхлопных газах двигателей внутреннего сгорания не должны превышать допустимых норм, установленных соответственно ГОСТ 17.2.2.03 и ГОСТ 17.2.2.02.

4.5.2 Содержание вредных газов, паров и пыли в воздухе рабочей зоны не должно превышать допустимых концентраций по ГОСТ 12.1.005.

4.5.3 При подготовке к диагностированию необходимо предотвратить возможность загрязнения окружающей природной среды утечками топлива, масел и технических жидкостей. С этой целью под машину устанавливаются поддоны или емкости и определяются специальные места слива рабочей жидкости. Категорически запрещается сливать горючесмазочные материалы и рабочую жидкость на землю, в канализационную сеть и водоемы. Сбор отработанных горючесмазочных материалов и рабочей жидкости и требования безопасности при работе с ними регламентируются ГОСТ 21046.

Необходимо исключить контакт топлива, масел и технических жидкостей с открытым огнем и другими объектами, способными вызвать воспламенение. Категорически запрещается проводить работы с огнем, курение и т.п. рядом с диагностируемой машиной.

5 МЕТОДЫ И ВИДЫ ДИАГНОСТИРОВАНИЯ

5.1 Диагностирование проводится безразборным методом, который подразделяется на:

- диагностирование без непосредственного воздействия на объект (например, по уровню шума, степени загрязнения рабочей жидкости и т.п.);

- диагностирование с воздействием на объект, но без снятия его с машины (например, с приложением внешней нагрузки);

- диагностирование на специализированных стендах.

5.2 Диагностирование подразделяют на следующие виды:

5.2.1 По полноте контроля:

- общее (Д);

- углубленное (ДУ).

5.2.2 По характеру воздействия:

- тестовое;

- рабочее.

5.2.3 По периодичности выполнения:

- постоянное;

- периодическое (ежесменное, сезонное и т.п.).

5.2.4 По регламентации выполнения:

- регламентированное;

- по техническому состоянию;

- комбинированное (смешанное).

5.2.5 По планированию:

- плановое;

- неплановое.

5.3 При тестовом диагностировании техническое состояние объекта устанавливается по «отклику» на тестовое воздействие; при рабочем диагностировании - путем сравнения допустимых значений проверочных параметров, установленных в нормативной и конструкторской документации, с полученными на рабочие воздействия.

5.4 Постоянное диагностирование осуществляется непрерывно действующими встроенными средствами диагностирования, которые имеют собственную шкалу измерений (циферблат, экран и т.п.), либо их показания отражаются на общей для нескольких средств шкале измерений. Периодическое диагностирование осуществляется как встроенными, так и внешними средствами диагностирования.

5.5 При регламентированном диагностировании, как правило, проводится общее диагностирование, где диагностические операции выполняются в процессе технических обслуживаний и ремонтов, периодичность которых установлена в эксплуатационных документах:

- диагностирование при ежесменном ТО-Д-Е0;

- диагностирование при ТО-1 - Д-1;

- диагностирование при ТО-2 - Д-2;

- диагностирование при ТО-3 - Д-3;

- диагностирование при ТР - Д-ТР;

- диагностирование при КР - Д-КР.

5.6 При диагностировании по техническому состоянию диагностические операции проводятся независимо от видов ТО и Р.

5.7 При комбинированном диагностировании диагностические операции проводятся как совместно с ТО и Р, так и между видами ТО и Р в зависимости от технического состояния объекта.

5.8 Плановое диагностирование является периодическим и регламентированным.

5.9 При неплановом диагностировании сроки и объемы работ устанавливаются в зависимости от результатов предыдущего обследования, т.е. по техническому состоянию объекта или вследствие технической или технологической необходимости (например, при отказе).

6 СРОКИ ДИАГНОСТИРОВАНИЯ

6.1 На срок действия гарантийных обязательств периодичность и вид диагностирования устанавливаются заводом-изготовителем.

6.2 При регламентированном диагностировании его сроки определяются сроками мероприятий по ТО и Р.

6.3 При диагностировании по техническому состоянию сроки диагностирования устанавливаются исходя из фактического технического состояния объекта или по заявкам его владельца.

6.4 Плановое диагностирование может проводиться по жесткому или гибкому графику, когда очередное мероприятие планируется с учетом результатов предыдущего обследования.

6.5 Периодические диагностирования проводятся по плану или графику исходя из заданной заводами-изготовителями периодичности для проверяемых моделей машин, с целью получения рекомендаций для дальнейшей эксплуатации техники.

6.6 Периодичность проверок измеряется в единицах наработки - в ч, мото-ч, км пробега и т.п.

7 ОРГАНИЗАЦИЯ ДИАГНОСТИРОВАНИЯ МАШИН

7.1 Диагностирование машин проводится:

- организациями, эксплуатирующими машины;

- исполнителями технического сервиса: заводами-изготовителями машин и их филиалами, фирмами-дилерами, ремонтными и другими специализированными предприятиями;

- совместно организациями, эксплуатирующими машины, и исполнителями технического сервиса и т.п.

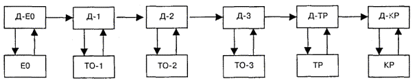
7.2 При проведении диагностирования совместно с ТО и Р в результате диагностирования определяются необходимые работы по ТО и Р данного вида, а после выполнения операции ТО и Р, при необходимости, оценивается качество выполнения работ и прогнозируется остаточный ресурс машин. Схема выполнения диагностирования совместно с видами ТО и Р приведена на рисунке 1.

7.3 При проведении диагностирования, независимого от вида ТО и Р, на основе общего диагностирования принимается решение о проведении углубленного диагностирования, в результате которого определяются необходимость и объем мероприятий на ТО и Р, прогнозируется остаточный ресурс машины и оценивается качество выполнения технического обслуживания и ремонта после их проведения. Схема взаимосвязи диагностирования, технического обслуживания и ремонта при независимом от видов ТО и Р диагностировании приведена на рисунке 2.

7.4 Ежесменное диагностирование проводится машинистом на основании показаний встроенных средств технической диагностики с целью проверки соответствия основных эксплуатационных параметров машины нормативным.

Рисунок 1 - Схема выполнения диагностирования совместно с видами ТО и Р

Рисунок 2 - Схема взаимосвязи диагностирования, технического обслуживания и ремонта при независимом от видов ТО и Р диагностировании

7.5 Общее и углубленное диагностирование выполняется специалистами-диагностами с привлечением, при необходимости, машиниста.

7.6 Примерный перечень работ, входящих в общее диагностирование машин, включает определение параметров и проверку работоспособности следующих систем:

- по двигателям внутреннего сгорания - мощность двигателя, расход топлива;

- по электрооборудованию - уровень электролита в аккумуляторах, заряд аккумуляторной батареи, показатели зарядного тока генератора, функционирование электроприборов (фары, стеклоочиститель, звуковой сигнал и т.п.), состояние кабелей и проводов;

- по гидросистеме - объемный КПД гидромашин, номинальное и максимальное давления на различных участках гидросистемы, температура рабочей жидкости, концентрация и гранулометрический состав механических примесей и т.д.

Примечание - Полный перечень диагностируемых параметров приведен в МДС 12-20;

- по пневмосистеме - давление воздуха в системе и отдельных элементах, интенсивность падения давления, опробование включения исполнительных органов пневмосистемы;

- по системе автоматики - проверка соответствия функционирования средств автоматики нормативным материалам;

- по механической части - уровень шума и вибрации в передачах, нагрев корпусов передач, свободный ход педалей и рукояток, состояние цепей, канатов, лент.

7.7 В зависимости от объемов диагностических работ и их номенклатуры диагностирование может осуществляться:

- службой технической диагностики;

- звеном диагностирования, в том числе специализированным;

- специалистом-диагностом.

7.8 Служба технической диагностики состоит из звеньев, которые, как правило, формируются в следующем составе: мастер-диагност, слесарь-диагност, электрик-диагност и т.д.

7.9 Службу технической диагностики возглавляет старший механик или инженер-диагност.

7.10 В задачи руководителя службы технической диагностики входят:

- определение перечня машин, подлежащих диагностированию;

- руководство подчиненным персоналом;

- соблюдение правил охраны труда и техники безопасности;

- ведение документации по производству проверочных работ и загрузке персонала;

- организация сбора и обработки статистической информации по результатам диагностических работ;

- обучение рабочих правилам пользования диагностическим оборудованием;

- проведение мероприятий по оснащению подразделения соответствующими средствами и укомплектованию ими стационарных участков и передвижных станций;

- согласование времени проведения проверочных работ с руководителями ремонтных и эксплуатационных подразделений;

- обеспечение надлежащего функционирования подразделения и экипировки его работников;

- своевременное доведение до соответствующих служб результатов диагностирования и рекомендаций по режиму дальнейшего использования строительной техники;

- формирование и переформирование специализированных звеньев.

7.11 Блок-схема структуры управления диагностированием, техническим обслуживанием и ремонтом в механизированной строительной организации приведена на рисунке 3.

Рисунок 3 - Блок-схема управления диагностированием, техническим обслуживанием и ремонтом в механизированной строительной организации

7.12 Диагностирование может осуществляться в полевых условиях (на местах работы машины) или на стационарных участках.

7.12.1 Диагностирование в полевых условиях осуществляется с помощью передвижных диагностических станций или специалистами-диагностами, оснащенными специальными комплектами диагностических приборов и приспособлений.

7.12.1.1 Передвижные диагностические станции в зависимости от выполняемых задач комплектуются оборудованием:

- универсальным - для диагностирования всего парка строительных и дорожных машин, находящихся в эксплуатации;

- специальным - для диагностирования отдельных видов техники, например башенных кранов;

- специализированным - для диагностирования конкретных систем машин, например гидравлического привода.

7.12.1.2 Диагностическое оборудование может входить также в состав передвижных мастерских для выполнения ТО и Р.

7.12.2 Стационарные участки подразделяются на:

- специализированные - для проведения только диагностических работ;

- совмещенные - для проведения диагностических работ и работ по ТО и Р.

7.13 Количество стационарных участков и/или передвижных станций для диагностирования рассчитывается следующим образом:

где Sг - годовая трудоемкость диагностических работ для парка машин, выполняемых стационарными участками и/или передвижными средствами, чел.-ч;

Kдм - коэффициент, учитывающий долю выполнения диагностических работ машинистом обслуживаемой машины (рекомендуемое значение Кдм = 0,15 - 0,20);

т - среднечисленный состав диагностических звеньев, чел.;

tсм - средняя продолжительность рабочей смены, ч;

nсм - число рабочих смен в 1 сут;

Кисп - коэффициент использования диагностического оборудования в течение смены (рекомендуемое значение Кисп = 0,8 - 0,85);

Д - число рабочих дней в году.

7.14 При реформировании службы технического обслуживания и ремонта для внедрения средств и методов технической диагностики следует учитывать:

- наличие диагностического оборудования для передвижных станций и стационарных участков, его возможности для проверки конкретных видов эксплуатирующейся техники;

- работы, выполняемые строительной организацией, и распределение машин, подлежащих диагностированию, по сооружаемым объектам;

- структуру машинного парка (номенклатуру машин, их возраст, ресурс, изношенность) и его использование;

- наличие специальных требований к строительству объектов и эксплуатации машин.

8 УЧЕТ РЕЗУЛЬТАТОВ ПРОВЕДЕНИЯ ДИАГНОСТИРОВАНИЯ СТРОИТЕЛЬНЫХ МАШИН

8.1 Для учета результатов проведения диагностирования, накопления и обработки информации об эффективности проведения диагностических работ в организации, осуществляющей диагностирование машин, разрабатываются и/или ведутся, как правило:

- план-график работы службы технической диагностики;

- журнал работы службы технической диагностики;

- диагностическая карта машины;

- накопительная карта диагностирования;

- технологические карты диагностирования.

8.2 План-график работы службы технической диагностики, форма которого приведена в приложении А, служит для планирования деятельности передвижных диагностических станций и стационарных участков диагностирования, составляется руководителем службы и согласовывается с соответствующими службами организаций.

8.3 Журнал работы службы технической диагностики, форма которого приведена в приложении Б, предназначен для фиксации функционирования отдельных звеньев диагностирования, заполняется мастером-диагностом и содержит, как правило, следующие данные:

- дату диагностирования;

- время проведения диагностирования;

- наименование машины (объекта), подвергшейся проверке;

- марку машины, заводской и инвентарный номера;

- причину диагностирования;

- результаты диагностирования;

- фамилию диагноста и его роспись.

Для передвижных диагностических станций добавляется графа «Объект работы проверяемой машины».

8.4 Диагностическая карта машины, форма которой приведена в приложении В, служит для регистрации результатов диагностирования, заключения диагноста о техническом состоянии проверяемых объектов и решения о необходимых работах.

Диагностическая карта машины заполняется во всех случаях проведения диагностирования и является исходным документом для выполнения накопительной карты диагностирования.

8.5 Примерный перечень диагностических параметров для включения в диагностическую карту приводится в соответствующих частях настоящего Свода правил, устанавливающих требования к диагностированию конкретных составных частей и систем машины. Например, требования к диагностированию гидропривода установлены в МДС 12-20.

8.6 Накопительная карта диагностирования, форма которой приведена в приложении Г, применяется для накопления информации об изменениях диагностических параметров в процессе эксплуатации машины, сбора исходных данных для прогнозирования остаточного ресурса и вероятности безотказной работы в пределах межконтрольного периода.

8.7 Накопительная карта диагностирования ведется на каждую строительную машину в течение всего срока ее эксплуатации. При передаче машин в другую организацию накопительная карта передается вместе с машиной.

8.8 Технологическая карта диагностирования, форма которой приведена в приложении Д, представляет собой детальное описание диагностических операций с указанием методов и средств их проведения, а также примерной трудоемкости.

По форме технологические карты диагностирования должны соответствовать технологическим картам на ТО и Р машин.

8.9 Разработка и ведение учетной документации по диагностированию могут вестись с применением ЭВМ.

ПРИЛОЖЕНИЕ А

ФОРМА ПЛАНА-ГРАФИКА РАБОТЫ СЛУЖБЫ ТЕХНИЧЕСКОЙ ДИАГНОСТИКИ

Утверждаю:

Гл. механик ___________________ (________)

_______________________________ 200 ___г.

План-график работы службы технической диагностики на ________________________ 200 ___ г.

№ участка станции

Дни работы

Примечание

1

2

...

30

31

 

 

 

 

 

 

 

1-су

 

 

 

 

 

 

 

 

 

 

 

 

 

2-су

 

 

 

 

 

 

 

 

 

 

 

 

 

...

 

 

 

 

 

 

 

 

 

 

 

 

 

1-пс

 

 

 

 

 

 

 

 

 

 

 

 

 

2-пс

 

 

 

 

 

 

 

 

 

 

 

 

 

 

 

 

 

 

 

 

 

 

 

 

 

 

 

Руководитель службы технической

диагностики (старший механик,

инженер-диагност) __________________

___________________________________

Примечание - Су - стационарный участок, пс - передвижная станция.

ПРИЛОЖЕНИЕ Б

ФОРМА ЖУРНАЛА РАБОТЫ СЛУЖБЫ ТЕХНИЧЕСКОЙ ДИАГНОСТИКИ

Журнал работы службы технической диагностики

№ п.п.

Дата диагностирования

Наименование машины

Марка машины

Инв. №

Время диагностирования

Причина диагностирования

Результаты диагностирования

Ф. И. О. диагноста

Роспись диагноста

1

2

3

4

5

6

7

8

9

10

 

 

 

 

 

 

 

 

 

 

 

 

 

 

 

 

 

 

 

 

 

 

 

 

 

 

 

 

 

 

 

 

 

 

 

 

 

 

 

 

 

 

 

 

 

 

 

 

 

 

Примечание - Для передвижных станций вводится графа «Объект работы проверяемой машины».

ПРИЛОЖЕНИЕ В

ФОРМА ДИАГНОСТИЧЕСКОЙ КАРТЫ МАШИНЫ

Диагностическая карта машины

Организация _______________________________ Дата ____________________________

Машина, марка __________ Зав. № _______________ Инв. № ______________________

Год изготовления _____________________ Наработка _____________________________

Вид диагностирования _______________________________________________________

Замечания машиниста по техническому состоянию машины _______________________

№ п.п.

Объект диагностирования и диагностические параметры

Единица измерения

Значение параметров

Заключение о техническом состоянии и необходимый вид воздействия

Номинальное

Предельное

При замере

После регулировки (ремонта)

1

2

3

4

5

6

7

8

 

 

 

 

 

 

 

 

 

 

 

 

 

 

 

 

 

 

 

 

 

 

 

 

 

 

 

 

 

 

 

 

 

 

 

 

 

 

 

 

 

 

 

 

 

 

 

 

ПРИЛОЖЕНИЕ Г

ФОРМА НАКОПИТЕЛЬНОЙ КАРТЫ ДИАГНОСТИРОВАНИЯ

Накопительная карта диагностирования

Организация ________________________________________________________________

Машина, марка _______________ Зав. № __________________ Инв. № ______________

Год изготовления ___________________________ Наработка _______________________

№ п.п.

Объект диагностирования и диагностические параметры

Значение параметров

Наработка (ч, км)

Предельное

Номинальное

Дата /

ч (км)

Дата /

ч (км)

и т.д.

Значение параметров при диагностировании

1

2

3

4

5

6

7

 

 

 

 

 

 

 

 

 

 

 

 

 

 

 

 

 

 

 

 

 

 

 

 

 

 

 

 

 

 

 

 

 

 

 

 

 

 

 

 

 

 

ПРИЛОЖЕНИЕ Д

ФОРМА ТЕХНОЛОГИЧЕСКОЙ КАРТЫ ДИАГНОСТИРОВАНИЯ

Технологическая карта диагностирования

Объект диагностирования ___________________________________________________

Исполнители _______________________________________________________________

Оборудование, приборы, инструмент __________________________________________

№ п.п.

Рабочее место исполнителя

Содержание работ и технические условия

Трудоемкость, мин

 

 

 

 

 

 

 

 

 

 

 

 

 

 

 

 

 

 

 

 

 

 

 

 

 

 

 

 

Ключевые слова: организация диагностирования строительных машин, методы и виды диагностирования, технический ресурс строительных машин, снижение себестоимости строительно-монтажных работ

СОДЕРЖАНИЕ

Введение. 1

1 Область применения. 2

2 Нормативные ссылки. 2

3 Термины и определения. 3

4 Общие положения. 4

5 Методы и виды диагностирования. 5

6 Сроки диагностирования. 6

7 Организация диагностирования машин. 6

8 Учет результатов проведения диагностирования строительных машин. 9

Приложение А. Форма плана-графика работы службы технической диагностики. 10

Приложение Б. Форма журнала работы службы технической диагностики. 11

Приложение В. Форма диагностической карты машины.. 11

Приложение Г. Форма накопительной карты диагностирования. 12

Приложение Д. Форма технологической карты диагностирования. 12

 

 




ГОСТЫ, СТРОИТЕЛЬНЫЕ и ТЕХНИЧЕСКИЕ НОРМАТИВЫ.
Некоммерческая онлайн система, содержащая все Российские Госты, национальные Стандарты и нормативы.
В Системе содержится более 150000 файлов нормативно-технической документации, действующей на территории РФ.
Система предназначена для широкого круга инженерно-технических специалистов.

Рейтинг@Mail.ru Яндекс цитирования

Copyright © www.gostrf.com, 2008 - 2026