Крупнейшая бесплатная информационно-справочная система онлайн доступа к полному собранию технических нормативно-правовых актов РФ. Огромная база технических нормативов (более 150 тысяч документов) и полное собрание национальных стандартов, аутентичное официальной базе Госстандарта. GOSTRF.com - это более 1 Терабайта бесплатной технической информации для всех пользователей интернета. Все электронные копии представленных здесь документов могут распространяться без каких-либо ограничений. Поощряется распространение информации с этого сайта на любых других ресурсах. Каждый человек имеет право на неограниченный доступ к этим документам! Каждый человек имеет право на знание требований, изложенных в данных нормативно-правовых актах!

  


 

УТВЕРЖДЕНО

И. о. Председателя

Госкомсанэпиднадзора России –

заместителем Главного государственного

санитарного врача Российской Федерации

Г. Г. Онищенко

8 июня 1996 г.

МУК 4.1.102-96

Дата введения: с момента утверждения

4.1. МЕТОДЫ КОНТРОЛЯ. ХИМИЧЕСКИЕ ФАКТОРЫ

МЕТОДИЧЕСКИЕ УКАЗАНИЯ ПО ИЗМЕРЕНИЮ
КОНЦЕНТРАЦИЙ АТФ И НАТРИЕВОЙ СОЛИ
п-ТОЛУОЛСУЛЬФОМОЧЕВИНЫ В ВОЗДУХЕ РАБОЧЕЙ
ЗОНЫ МЕТОДОМ ВЫСОКОЭФФЕКТИВНОЙ
ЖИДКОСТНОЙ ХРОМАТОГРАФИИ

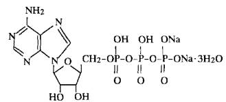
М. м. 605,2

АТФ (двухзамещенная натриевая соль аденозинтрифосфорной кислоты) - кристаллическое вещество белого цвета. Хорошо растворим в воде. Не растворяется в спирте, хлороформе, эфире.

М. м. 236,2

Натриевая соль п-толуолсульфомочевины - кристаллическое вещество белого цвета. Хорошо растворима в воде. Не растворяется в хлороформе, гексане.

В воздухе находятся в виде аэрозолей.

Обладают раздражающим и общетоксическим действием.

ОБУВ в воздухе - 5 мг/м3.

Характеристика метода

Метод основан на высокоэффективной жидкостной хроматографии с применением УФ-детектора.

Отбор проб производится с концентрированием на фильтр.

Нижний предел измерения АТФ в хроматографируемом объеме пробы (50 мкл) - 0,25 мкг, нижний предел измерения натриевой соли п-толуолсульфомочевины в хроматографируемом объеме пробы (50 мкл) - 0,1 мкг.

Нижний предел измерения АТФ в воздухе - 2,5 мг/м3, нижний предел измерения натриевой соли п-толуолсульфомочевины в воздухе - 1 мг/м3 (при отборе 10 л воздуха).

Диапазон измеряемых концентраций АТФ в воздухе от 2,5 до 50 мг/м3, натриевой соли п-толуолсульфомочевины от 1 до 20 мг/м3.

Суммарная погрешность измерения не превышает ±20 %.

Время выполнения измерения, включая отбор пробы, - 30 мин.

Приборы, аппаратура, посуда

Микроколоночный жидкостный хроматограф «Милихром» или другие модели с УФ-детектором

 

Хроматографическая колонка длиной 120 мм, внутренним диаметром 2 мм, заполненная сорбентом «Силасорб SPH С18» с размером зерен 6,0 мкм (ЧССР)

 

Электроаспиратор ЭА-1

ГОСТ 95-10052-84

Фильтродержатель

 

Колбы мерные, вместимостью 100 мл

ГОСТ 1770-74

Пипетки, вместимостью 1, 10 мл

ГОСТ 20292-74

Пробирки с пришлифованными пробками, вместимостью 10 мл

ГОСТ 10515-75

Реактивы, растворы, материалы

АТФ, натриевая соль двухзамещенная, фармакопейный

 

Натриевая соль п-толуолсульфомочевины, согласно регламенту

 

Ацетонитрил, фирма «Мерк» (ФРГ), для хроматографии

 

Ортофосфорная кислота, х. ч., 0,1 %ый раствор

ГОСТ 6552-58

Элюент 1: 0,1 %-ный раствор ортофосфорной кислоты

 

Элюент 2: 0,1 %-ный раствор ортофосфорной кислоты - ацетонитрил (1:5)

 

Основной стандартный раствор с концентрацией АТФ двухзамещенной натриевой соли 200 мкг/мл и натриевой соли п-толуолсульфомочевины 100 мкг/мл готовят растворением смеси 0,02 г АТФ двухзамещенной натриевой соли и 0,01 г натриевой соли п-толуолсульфомочевины в воде в мерной колбе, вместимостью 100 мл.

Растворы устойчивы при хранении в холодильнике в течение недели.

Фильтры АФА-ВП-10

ТУ 85-743-80

Отбор пробы воздуха

Воздух с объемным расходом 2 л/мин аспирируют через фильтр АФА-ВП-10. Для определения 1/2 ОБУВ достаточно отобрать 10 л воздуха. Пробы можно хранить в закрытых сосудах в холодильнике в течение месяца.

Подготовка к измерению

Хроматографическая колонка промышленного изготовления. Инжектируют в хроматограф от 0,25 до 5 мкг АТФ двухзамещенной натриевой соли и от 0,1 до 2 мкг натриевой соли п-толуолсульфомочевины из основного стандартного раствора при максимальном объеме вводимой пробы 50 мкл. Пропускают 1300 мкл элюента 1 (длина волны УФ-детектора 264 нм), затем меняют элюент и одновременно длину волны УФ-детектора (элюент 2,236 нм).

Условия хроматографирования градуировочных смесей и анализируемых проб:

Температура термостата колонки                                                                      +20 °С

Скорость подачи элюента:

(элюент 1: 0,1 %ый раствор ортофосфорной кислоты                                 1300 мкл;

элюент 2: 0,1 %-ный раствор ортофосфорной кислоты – ацетонитрил (1:5)                                                                                                                               200 мкл/мин

Длина УФ-детектора для АТФ                                                                           264 нм

натриевой соли п-толуолсульфомочевины                                                       236 нм

Скорость движения диаграммной ленты                                                          6 мм/мин

Чувствительность детектора                                                                               0,4-0,8

Диапазон измерения самописца                                                                        100 мВ

Максимальный объем вводимой пробы                                                            50 мкл

Время удерживания АТФ                                                                                    2 мин 40 с

натриевой соли п-толуолсульфомочевины                                                       8 мин

Элюирующий объем для АТФ                                                                            524 мкл

натриевой соли п-толуолсульфомочевины                                                       1600 мкл

Эффективность колонки по АТФ                                                                      160 тт

натриевой соли п-толуолсульфомочевины                                                       4240 тт

На полученной хроматограмме измеряют площади пиков, относящихся к АТФ и натриевой соли п-толуолсульфомочевины и строят градуировочные кривые, выражающие соответственно зависимость площади пиков (мм2) от содержания АТФ и натриевой соли п-толуолсульфомочевины в хроматографируемом объеме пробы (мкг).

Построение градуировочных графиков необходимо проводить не менее, чем по 6-ти точкам, выполняя по 5 параллельных измерений для каждого инжектируемого объема. Проверку градуировочных графиков следует проводить при изменении условий анализа, но не реже 1 раза в месяц.

Проведение измерения

Фильтр с отобранной пробой помещают в пробирку с пришлифованной пробкой, добавляют 5 мл воды и оставляют на 15 минут при комнатной температуре, периодически помешивая. Затем фильтр отжимают и удаляют. Степень десорбции с фильтра - 97 %.

Хроматографирование анализируемого раствора проводят в тех же условиях по отношению к тому же элюенту, что и при построении градуировочных графиков.

Количественное определение содержания АТФ и натриевой соли п-толуолсульфомочевины в хроматографируемом объеме проводят по предварительно построенным градуировочным графикам.

Расчет концентрации

Концентрацию АТФ и натриевой соли п-толуолсульфомочевины «С» в воздухе (в мг/м3) вычисляют по формуле:

, где

а - содержание АТФ или натриевой соли п-толуолсульфомочевины в хроматографируемом объеме пробы, найденное по соответствующему градуировочному графику, мкг;

б - объем пробы, взятой на хроматографирование, мл;

в - общий объем анализируемого раствора, мл;

V - объем воздуха, отобранного для анализа и приведенного к стандартным условиям, л (см. приложение 1).

Методические указания разработаны НИО «Экотокс», г. Москва.

Приложение 1

Приведение объема воздуха к условиям по ГОСТу 12.1.016-79
(температура 20 °С, давление 760 мм рт. ст.)

Приведение объема воздуха к стандартным условиям проводят по следующей формуле:

, где

V - объем воздуха, отобранный для анализа, л;

Р - барометрическое давление, кПа (101,33 кПа = 760 мм рт. ст.);

t - температура воздуха в месте отбора пробы, °С.

Для удобства расчета V20 следует пользоваться таблицей коэффициентов (приложение 2). Для приведения воздуха к стандартным условиям надо умножить V на соответствующий коэффициент.

Приложение 2

Коэффициент K для приведения объема воздуха к условиям по ГОСТу 12.1.016-79

Давление Р, кПа/мм рт. ст.

°С

97,33/730

97,86/734

98,4/738

98,93/742

99,46/746

100/750

100,53/764

101,06/758

101,33/760

101,86/764

-30

1,1582

1,1646

1,1709

1,1772

1,1836

1,1899

1,1963

1,2026

1,2038

1,2122

-26

1,1393

1,1456

1,1519

1,1581

1,1644

1,1705

1,1768

1,1831

1,1862

1,1925

-22

1,1212

1,1274

1,1336

1,1396

1,1458

1,1519

1,1581

1,1643

1,1673

1,1735

-18

1,1036

1,1097

1,1158

1,1218

1,1278

1,1338

1,1399

1,1400

1,1490

1,1551

-14

1,0866

1,0926

1,0986

1,1045

1,1105

1,1164

1,1224

1,1284

1,1313

1,1373

-10

1,0701

1,0760

1,0819

1,0877

1,0986

1,0994

1,1053

1,1112

1,1141

1,1200

-6

1,0540

1,0599

1,0657

1,0714

1,0772

1,0829

1,0887

1,0946

1,0974

1,1032

-2

1,0385

1,0442

1,0499

1,0556

1,0613

1,0669

1,0726

1,0784

1,0812

1,0869

0

1,0309

1,0366

1,0423

1,0477

1,0635

1,0591

1,0648

1,0705

1,0733

1,0789

+2

1,0234

1,0291

1,0347

1,0402

1,0459

1,0514

1,0571

1,0627

1,0655

1,0712

+6

1,0087

1,0143

1,0198

1,0253

1,0309

1,0363

1,0419

1,0475

1,0502

1,0357

+10

0,9944

0,9999

1,0054

1,0108

1,0162

1,0216

1,0272

1,0326

1,0353

1,0407

+14

0,9806

0,9860

0,9914

0,9967

1,0027

1,0074

1,0128

1,0183

1,0209

1,0263

+18

0,9671

0,9725

0,9778

0,9880

0,9884

0,9936

0,9989

1,0043

1,0069

1,0122

+20

0,9605

0,9658

0,9711

0,9783

0,9816

0,9868

0,9921

0,9974

1,0000

1,0053

+22

0,9539

0,9592

0,9645

0,9696

0,9749

0,9800

0,9853

0,9906

0,9932

0,9985

+24

0,9475

0,9527

0,9579

0,9631

0,9683

0,9735

0,9787

0,9839

0,9865

0,9917

+26

0,9412

0,9464

0,9516

0,9566

0,9618

0,9669

0,9721

0,9773

0,9799

0,9851

+28

0,9349

0,9401

0,9453

0,9503

0,9655

0,9605

0,9657

0,9708

0,9734

0,9785

+30

0,9288

0,9339

0,9891

0,9440

0,9432

0,9542

0,9594

0,9645

0,9670

0,9723

+34

0,9167

0,9218

0,9268

0,9318

0,9368

0,9418

0,9468

0,9519

0,9544

0,9595

+38

0,9049

0,9099

0,9149

0,9198

0,9248

0,9297

0,9347

0,9397

0,9421

0,9471

Приложение 3

Вещества, определяемые по ранее утвержденным и опубликованным Методическим указаниям

Наименование вещества

Ссылка на опубликованные Методические указания

1. Аммония метаваданат

МУ на фотометрическое определение ванадия и его соединений в воздухе рабочей зоны. Вып. 1-5 (переизданный), М., 1981, с. 7

2. Вольфрама диселенид

МУ на фотометрическое определение вольфрама в воздухе рабочей зоны. Вып. 19, М., 1984, с. 13

3. Диэтилентриамина метилфенол (УП-583)

МУ на фотометрическое определение концентраций полиэтиленполиаминов, этилендиамина, диэтилентриамина в воздухе рабочей зоны. Вып. 22, М., 1988, с. 317

4. Диэтилентриамин моноцианэтилированный (аминный отвердитель 0633Н)

МУ на фотометрическое определение концентраций полиэтиленполиаминов, этилендиамина, диэтилентриамина в воздухе рабочей зоны. Вып. 22, М., 1988, с. 317

5. Этилендиамина метилфенол (агидол-АФ-2)

МУ на фотометрическое определение концентраций полиэтиленполиаминов, этилендиамина, диэтилентриамина в воздухе рабочей зоны. Вып. 22, М., 1988, с. 317

6. Железа оксид

МУ по полярографическому измерению концентраций железа в воздухе рабочей зоны. Вып. 23/1, М., 1988, с. 60

7. Кобальта диселенид

МУ на фотометрическое определение кобальта и его соединений в воздухе рабочей зоны. Вып. 1-5 (переизданный), М., 1981, с. 14

8. Липрин

МУ на фотометрическое определение БВК в воздухе рабочей зоны. Вып. 18, М., 1983, с. 139

9. Молибдена диселенид

МУ по полярографическому измерению концентрации молибдена в воздухе рабочей зоны. Вып. 19, М., 1984, с. 97

10. Ниобия диселенид

МУ на фотометрическое определение концентраций ниобия и его соединений в воздухе рабочей зоны. Вып. 28 (в печати).

11. Пыльца бабочек зерновой моли

МУ на фотометрическое определение БВК в воздухе рабочей зоны. Вып. 18, М., 1983, с. 139.

12. Полиамидное волокно «Армос»

МУ на гравиметрическое определение пыли в воздухе рабочей зоны, и в системах вентиляционных установок. М., 1981, с. 235 (переизданный сборник МУ вып. 1-5)

13. Пыль доменного шлака

МУ на гравиметрическое определение пыли в воздухе рабочей зоны, и в системах вентиляционных установок. М., 1981, с. 235 (переизданный сборник МУ вып. 1-5)

14. Метасол

МУ на гравиметрическое определение пыли в воздухе рабочей зоны, и в системах вентиляционных установок. М., 1981, с. 235 (переизданный сборник МУ вып. 1-5)

15. Сополимер акрилонитрила и 2-метил-5-винилпиридина (волокно ВИОН-АН-1)

МУ на гравиметрическое определение пыли в воздухе рабочей зоны, и в системах вентиляционных установок. М., 1981, с. 235 (переизданный сборник МУ вып. 1-5)

16. Соли неорганических кислот меди

МУ на фотометрическое определение меди в воздухе рабочей зоны. Вып. 1-5 (переизданный), М., 1981, с. 18

17. Смолы сланцевые дифенольные ДФК-8, ДФК-9, ДФК-АМ (контроль по ацетону)

МУ, вып. 1-5 (переизданный), М., 1981, с. 88

18. Фталат меди-свинца

Фталат свинца

Свинец-олово-теллур (контроль по свинцу)

МУ по полярографическому измерению концентраций свинца в воздухе рабочей зоны. Вып. 9, М., 1986, с. 139

МУ по измерению свинца в воздухе рабочей зоны методом атомно-абсорбционной спектрофотометрии. Вып. 21, М., 1986, с. 168

19. 1,-(2,4,6-трихлорфенил)-3-аминопиразолон-5

МУ на фотометрическое определение концентраций компоненты 3П-24 Вып. 25, М., 1989, с. 182

20. Хлорсодержащие кремнийорганические соединения (алкильные) (контроль по HCl)

МУ на фотометрическое определение хлористого водорода в воздухе рабочей зоны. Вып. 1-5 (переизданный) М., 1981, с. 83

21. Хлорсодержащие кремнийорганические соединения (аррильные)

Методические указания на фотометрическое определение триэтоксисисилана и тетраэтоксисилана в воздухе рабочей зоны. Вып. 1-5 (переизданный) М., 1981, с. 170

22. Цинка ацетат

МУ на фотометрическое определение цинка и его соединений в воздухе рабочей зоны. Вып. 1-5, (переизданный) М., 1981, с. 51.

СОДЕРЖАНИЕ

Характеристика метода. 2

Приборы, аппаратура, посуда. 2

Реактивы, растворы, материалы.. 2

Отбор пробы воздуха. 3

Подготовка к измерению.. 3

Проведение измерения. 3

Расчет концентрации. 4

Приложение 1 Приведение объема воздуха к условиям по ГОСТу 12.1.016-79 (температура 20 °С, давление 760 мм рт. ст.) 4

Приложение 2 Коэффициент K для приведения объема воздуха к условиям по ГОСТу 12.1.016-79. 4

Приложение 3 Вещества, определяемые по ранее утвержденным и опубликованным Методическим указаниям.. 5

 

 




ГОСТЫ, СТРОИТЕЛЬНЫЕ и ТЕХНИЧЕСКИЕ НОРМАТИВЫ.
Некоммерческая онлайн система, содержащая все Российские Госты, национальные Стандарты и нормативы.
В Системе содержится более 150000 файлов нормативно-технической документации, действующей на территории РФ.
Система предназначена для широкого круга инженерно-технических специалистов.

Рейтинг@Mail.ru Яндекс цитирования

Copyright © www.gostrf.com, 2008 - 2026