Крупнейшая бесплатная информационно-справочная система онлайн доступа к полному собранию технических нормативно-правовых актов РФ. Огромная база технических нормативов (более 150 тысяч документов) и полное собрание национальных стандартов, аутентичное официальной базе Госстандарта. GOSTRF.com - это более 1 Терабайта бесплатной технической информации для всех пользователей интернета. Все электронные копии представленных здесь документов могут распространяться без каких-либо ограничений. Поощряется распространение информации с этого сайта на любых других ресурсах. Каждый человек имеет право на неограниченный доступ к этим документам! Каждый человек имеет право на знание требований, изложенных в данных нормативно-правовых актах!

  


 

Государственная система
санитарно-эпидемиологического нормирования

4.1. МЕТОДЫ КОНТРОЛЯ. ХИМИЧЕСКИЕ ФАКТОРЫ

Измерение концентраций вредных веществ
в воздухе рабочей зоны

МЕТОДИЧЕСКИЕ УКАЗАНИЯ ПО ФОТОМЕТРИЧЕСКОМУ
ИЗМЕРЕНИЮ КОНЦЕНТРАЦИЙ
п-α-ХЛОРМЕТАЦИКЛИНА ТОЗИЛАТА В ВОЗДУХЕ
РАБОЧЕЙ ЗОНЫ

МУК 4.1.180-96

Выпуск № 29

Минздрав России
Москва 1998

Измерение концентраций вредных веществ в воздухе рабочей зоны: Методические указания. - М: Информационно-издательский центр Минздрава России, 1998.

1. Методические указания по измерению концентраций вредных веществ в воздухе рабочей зоны (выпуск № 29) разработаны с целью обеспечения контроля соответствия фактических концентраций вредных веществ их предельно допустимым концентрациям (ПДК) и ориентировочным безопасным уровням воздействия (ОБУВ) - санитарно-гигиеническим нормативам и являются обязательными при осуществлении санитарного контроля.

2. Методические указания по измерению концентраций вредных веществ в воздухе рабочей зоны утверждены и. о. Председателя Госкомсанэпиднадзора России - заместителем Главного государственного санитарного врача Российской Федерации 8 июня 1996 г.

3. Введены впервые.

4. Включенные в данный выпуск 98 методик контроля вредных веществ в воздухе рабочей зоны разработаны и подготовлены в соответствии с требованиями ГОСТа 12.1.005-88 ССБТ «Воздух рабочей зоны. Общие санитарно-гигиенические требования», ГОСТа 12.1.016-79 ССБТ «Воздух рабочей зоны. Требования к методикам измерения концентраций вредных веществ» и ГОСТ Р 1.5-92 п. 7.3. Методические указания одобрены на совместном заседании группы Главного эксперта Федеральной комиссии по санитарно-гигиеническому нормированию «Лабораторно-инструментальное дело и метрологическое обеспечение» и методбюро п/секции «Промышленно-санитарная химия» Проблемной комиссии «Научные основы гигиены труда и профпатологии».

Ответственные исполнители: ГА. Дьякова, С. И. Муравьева.

Исполнители: Г. А. Дьякова, Е. М. Малинина, С. М. Попова, Е. Н. Грицун.

УТВЕРЖДЕНО

И. о. Председателя

Госкомсанэпиднадзора России –

заместителем Главного государственного

санитарного врача Российской Федерации

Г. Г. Онищенко

8 июня 1996 г.

МУК 4.1.180-96

Дата введения: с момента утверждения

4.1. МЕТОДЫ КОНТРОЛЯ. ХИМИЧЕСКИЕ ФАКТОРЫ

МЕТОДИЧЕСКИЕ УКАЗАНИЯ ПО ФОТОМЕТРИЧЕСКОМУ
ИЗМЕРЕНИЮ КОНЦЕНТРАЦИЙ
п-α-ХЛОРМЕТАЦИКЛИНА ТОЗИЛАТА В ВОЗДУХЕ
РАБОЧЕЙ ЗОНЫ

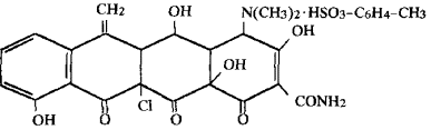
М. м. 649,1

п-α-хлорметациклина тозилат - аморфный порошок желтого цвета с зеленоватым оттенком, без запаха, хорошо растворим в воде, водных растворах кислот и щелочей, низших спиртах.

п-α-хлорметациклина тозилат - антибиотик, обладает аллергенным действием.

В воздухе находится в виде аэрозоля.

ПДК в воздухе - 3 мг/м3.

Характеристика метода

Определение основано на фотометрическом измерении продуктов щелочного гидролиза п-αлорметациклина тозилата при 315 нм.

Отбор проб проводят с концентрированием на фильтр.

Нижний предел измерения в анализируемом объеме пробы - 10 мкг.

Нижний предел измерения в воздухе - 1,5 мг/м3 (при отборе 8 л воздуха).

Диапазон измеряемых концентраций в воздухе от 1,5 до 30 мг/м3.

Определению мешают: тетрациклин и его аналоги.

Суммарная погрешность измерения не превышает ±15 %.

Время выполнения измерения, включая отбор проб, - 30 мин.

Приборы, аппаратура, посуда

Фотоколориметр

 

Аспирационное устройство

 

Колбы мерные, вместимостью 100 мл

ГОСТ 1770-74

Пробирки колориметрические, высотой 120 мм и внутренним диаметром 15 мм

ГОСТ 10515-75

Пипетки, вместимостью 1 и 5 мл, с ценой деления 0,01 и 0,1 мл

ГОСТ 20292-74

Стаканы химические, вместимостью 50 мл

ГОСТ 1770-74

Секундомер

ГОСТ 5072-79

Фильтры аэрозольные АФА-ВП-20

 

Реактивы, растворы, материалы

П-α-хлорметациклина тозилат

 

Стандартный раствор № 1 с концентрацией 100 мкгл готовят растворением п-α-хлорметациклина тозилата 0,01 г препарата в дистиллированной воде, в колбе, вместимостью 100 мл. Раствор устойчив 2 суток.

Натрия гидрооксид, х. ч., 18 %-ный водный раствор

ГОСТ 4328-77

Отбор пробы воздуха

Воздух с объемным расходом 2 л/мин аспирируют через фильтр АФА-ВП-20, закрепленный в фильтродержателе. Для определения 1/2 ПДК необходимо отобрать 8 л воздуха. Срок хранения проб - 3-е суток.

Подготовка к измерению

Градуировочные растворы готовят согласно таблице.

Таблица

Шкала градуировочных растворов

№ стандарта

Стандартный раствор № 1, мл

Вода дистиллированная, мл

Содержание препарата, мкг

1

0

5,0

0

2

0,1

4,9

10

3

0,2

4,8

20

4

0,4

4,6

40

5

0,5

4,5

50

6

1,0

4,0

100

7

1,5

3,5

150

8

2,0

3,0

200

Во все растворы добавляют 0,12 мл 18 %-ного раствора щелочи и тщательно перемешивают. Через 10 минут измеряют оптическую плотность градуировочных растворов при использовании синего светофильтра с максимумом пропускания 315 нм. Измерение проводят в кюветах с толщиной поглощающего слоя 10 мм по отношению к раствору сравнения, не содержащему препарата.

Строят градуировочный график: на ось ординат наносят значения оптических плотностей градуировочных растворов, на ось абсцисс - соответствующие им величины содержания препарата в градуировочном растворе (в мкг). Проверка градуировочного графика проводится в случае использования новой партии реактивов.

Проведение измерения

Фильтр с отобранной пробой пинцетом переносят в химический стакан, обрабатывают 6 мл дистиллированной воды, тщательно перемешивая раствор стеклянной палочкой в течение 15 минут. Аликвоту объемом 5 мл переносят в колориметрическую пробирку и обрабатывают аналогично градуировочным растворам. Оптическую плотность раствора пробы измеряют аналогично градуировочным растворам по сравнению с контролем, который готовят одновременно и аналогично пробе.

Степень десорбции препарата с фильтра - 97 %.

Количественное содержание п-αлорметациклина тозилата (в мкг) в анализируемой пробе находят по градуировочному графику.

Расчет концентрации

Концентрацию п-α-хлорметациклина тозилата «С» в воздухе (в мг/м3) вычисляют по формуле:

, где

а - содержание п-α-хлорметациклина тозилата в анализируемом объеме пробы, найденное по градуировочному графику, мкг;

б - объем раствора пробы, взятой для анализа, мл;

в - общий объем раствора пробы, мл;

V - объем воздуха, отобранного для анализа и приведенного к стандартным условиям, л (см. приложение 1).

Методические указания разработаны НПО «Экотокс», г. Москва.

Приложение 1

Приведение объема воздуха к условиям по ГОСТу 12.1.016-79
(температура 20 °С, давление 760 мм рт. ст.)

Приведение объема воздуха к стандартным условиям проводят по следующей формуле:

, где

V - объем воздуха, отобранный для анализа, л;

Р - барометрическое давление, кПа (101,33 кПа = 760 мм рт. ст.);

t - температура воздуха в месте отбора пробы, °С.

Для удобства расчета V20 следует пользоваться таблицей коэффициентов (приложение 2). Для приведения воздуха к стандартным условиям надо умножить V на соответствующий коэффициент.

Приложение 2

Коэффициент K для приведения объема воздуха к условиям по ГОСТу 12.1.016-79

Давление Р, кПа/мм рт. ст.

°С

97,33/730

97,86/734

98,4/738

98,93/742

99,46/746

100/750

100,53/764

101,06/758

101,33/760

101,86/764

-30

1,1582

1,1646

1,1709

1,1772

1,1836

1,1899

1,1963

1,2026

1,2038

1,2122

-26

1,1393

1,1456

1,1519

1,1581

1,1644

1,1705

1,1768

1,1831

1,1862

1,1925

-22

1,1212

1,1274

1,1336

1,1396

1,1458

1,1519

1,1581

1,1643

1,1673

1,1735

-18

1,1036

1,1097

1,1158

1,1218

1,1278

1,1338

1,1399

1,1400

1,1490

1,1551

-14

1,0866

1,0926

1,0986

1,1045

1,1105

1,1164

1,1224

1,1284

1,1313

1,1373

-10

1,0701

1,0760

1,0819

1,0877

1,0986

1,0994

1,1053

1,1112

1,1141

1,1200

-6

1,0540

1,0599

1,0657

1,0714

1,0772

1,0829

1,0887

1,0946

1,0974

1,1032

-2

1,0385

1,0442

1,0499

1,0556

1,0613

1,0669

1,0726

1,0784

1,0812

1,0869

0

1,0309

1,0366

1,0423

1,0477

1,0635

1,0591

1,0648

1,0705

1,0733

1,0789

+2

1,0234

1,0291

1,0347

1,0402

1,0459

1,0514

1,0571

1,0627

1,0655

1,0712

+6

1,0087

1,0143

1,0198

1,0253

1,0309

1,0363

1,0419

1,0475

1,0502

1,0357

+10

0,9944

0,9999

1,0054

1,0108

1,0162

1,0216

1,0272

1,0326

1,0353

1,0407

+14

0,9806

0,9860

0,9914

0,9967

1,0027

1,0074

1,0128

1,0183

1,0209

1,0263

+18

0,9671

0,9725

0,9778

0,9880

0,9884

0,9936

0,9989

1,0043

1,0069

1,0122

+20

0,9605

0,9658

0,9711

0,9783

0,9816

0,9868

0,9921

0,9974

1,0000

1,0053

+22

0,9539

0,9592

0,9645

0,9696

0,9749

0,9800

0,9853

0,9906

0,9932

0,9985

+24

0,9475

0,9527

0,9579

0,9631

0,9683

0,9735

0,9787

0,9839

0,9865

0,9917

+26

0,9412

0,9464

0,9516

0,9566

0,9618

0,9669

0,9721

0,9773

0,9799

0,9851

+28

0,9349

0,9401

0,9453

0,9503

0,9655

0,9605

0,9657

0,9708

0,9734

0,9785

+30

0,9288

0,9339

0,9891

0,9440

0,9432

0,9542

0,9594

0,9645

0,9670

0,9723

+34

0,9167

0,9218

0,9268

0,9318

0,9368

0,9418

0,9468

0,9519

0,9544

0,9595

+38

0,9049

0,9099

0,9149

0,9198

0,9248

0,9297

0,9347

0,9397

0,9421

0,9471

Приложение 3

Вещества, определяемые по ранее утвержденным и опубликованным Методическим указаниям

Наименование вещества

Ссылка на опубликованные Методические указания

1. Аммония метаваданат

МУ на фотометрическое определение ванадия и его соединений в воздухе рабочей зоны. Вып. 1-5 (переизданный), М., 1981, с. 7

2. Вольфрама диселенид

МУ на фотометрическое определение вольфрама в воздухе рабочей зоны. Вып. 19, М., 1984, с. 13

3. Диэтилентриамина метилфенол (УП-583)

МУ на фотометрическое определение концентраций полиэтиленполиаминов, этилендиамина, диэтилентриамина в воздухе рабочей зоны. Вып. 22, М., 1988, с. 317

4. Диэтилентриамин моноцианэтилированный (аминный отвердитель 0633Н)

МУ на фотометрическое определение концентраций полиэтиленполиаминов, этилендиамина, диэтилентриамина в воздухе рабочей зоны. Вып. 22, М., 1988, с. 317

5. Этилендиамина метилфенол (агидол-АФ-2)

МУ на фотометрическое определение концентраций полиэтиленполиаминов, этилендиамина, диэтилентриамина в воздухе рабочей зоны. Вып. 22, М., 1988, с. 317

6. Железа оксид

МУ по полярографическому измерению концентраций железа в воздухе рабочей зоны. Вып. 23/1, М., 1988, с. 60

7. Кобальта диселенид

МУ на фотометрическое определение кобальта и его соединений в воздухе рабочей зоны. Вып. 1-5 (переизданный), М., 1981, с. 14

8. Липрин

МУ на фотометрическое определение БВК в воздухе рабочей зоны. Вып. 18, М., 1983, с. 139

9. Молибдена диселенид

МУ по полярографическому измерению концентрации молибдена в воздухе рабочей зоны. Вып. 19, М., 1984, с. 97

10. Ниобия диселенид

МУ на фотометрическое определение концентраций ниобия и его соединений в воздухе рабочей зоны. Вып. 28 (в печати).

11. Пыльца бабочек зерновой моли

МУ на фотометрическое определение БВК в воздухе рабочей зоны. Вып. 18, М., 1983, с. 139.

12. Полиамидное волокно «Армос»

МУ на гравиметрическое определение пыли в воздухе рабочей зоны, и в системах вентиляционных установок. М., 1981, с. 235 (переизданный сборник МУ вып. 1-5)

13. Пыль доменного шлака

МУ на гравиметрическое определение пыли в воздухе рабочей зоны, и в системах вентиляционных установок. М., 1981, с. 235 (переизданный сборник МУ вып. 1-5)

14. Метасол

МУ на гравиметрическое определение пыли в воздухе рабочей зоны, и в системах вентиляционных установок. М., 1981, с. 235 (переизданный сборник МУ вып. 1-5)

15. Сополимер акрилонитрила и 2-метил-5-винилпиридина (волокно ВИОН-АН-1)

МУ на гравиметрическое определение пыли в воздухе рабочей зоны, и в системах вентиляционных установок. М., 1981, с. 235 (переизданный сборник МУ вып. 1-5)

16. Соли неорганических кислот меди

МУ на фотометрическое определение меди в воздухе рабочей зоны. Вып. 1-5 (переизданный), М., 1981, с. 18

17. Смолы сланцевые дифенольные ДФК-8, ДФК-9, ДФК-АМ (контроль по ацетону)

МУ, вып. 1-5 (переизданный), М., 1981, с. 88

18. Фталат меди-свинца

Фталат свинца

Свинец-олово-теллур (контроль по свинцу)

МУ по полярографическому измерению концентраций свинца в воздухе рабочей зоны. Вып. 9, М., 1986, с. 139

МУ по измерению свинца в воздухе рабочей зоны методом атомно-абсорбционной спектрофотометрии. Вып. 21, М., 1986, с. 168

19. 1,-(2,4,6-трихлорфенил)-3-аминопиразолон-5

МУ на фотометрическое определение концентраций компоненты 3П-24 Вып. 25, М., 1989, с. 182

20. Хлорсодержащие кремнийорганические соединения (алкильные) (контроль по HCl)

МУ на фотометрическое определение хлористого водорода в воздухе рабочей зоны. Вып. 1-5 (переизданный) М., 1981, с. 83

21. Хлорсодержащие кремнийорганические соединения (аррильные)

Методические указания на фотометрическое определение триэтоксисисилана и тетраэтоксисилана в воздухе рабочей зоны. Вып. 1-5 (переизданный) М., 1981, с. 170

22. Цинка ацетат

МУ на фотометрическое определение цинка и его соединений в воздухе рабочей зоны. Вып. 1-5, (переизданный) М., 1981, с. 51.

СОДЕРЖАНИЕ

Характеристика метода. 2

Приборы, аппаратура, посуда. 2

Реактивы, растворы, материалы.. 2

Отбор пробы воздуха. 2

Подготовка к измерению.. 2

Проведение измерения. 3

Расчет концентрации. 3

Приложение 1 Приведение объема воздуха к условиям по ГОСТу 12.1.016-79 (температура 20 °С, давление 760 мм рт. ст.) 3

Приложение 2 Коэффициент K для приведения объема воздуха к условиям по ГОСТу 12.1.016-79. 3

Приложение 3 Вещества, определяемые по ранее утвержденным и опубликованным Методическим указаниям.. 4

 

 




ГОСТЫ, СТРОИТЕЛЬНЫЕ и ТЕХНИЧЕСКИЕ НОРМАТИВЫ.
Некоммерческая онлайн система, содержащая все Российские Госты, национальные Стандарты и нормативы.
В Системе содержится более 150000 файлов нормативно-технической документации, действующей на территории РФ.
Система предназначена для широкого круга инженерно-технических специалистов.

Рейтинг@Mail.ru Яндекс цитирования

Copyright © www.gostrf.com, 2008 - 2026