Крупнейшая бесплатная информационно-справочная система онлайн доступа к полному собранию технических нормативно-правовых актов РФ. Огромная база технических нормативов (более 150 тысяч документов) и полное собрание национальных стандартов, аутентичное официальной базе Госстандарта. GOSTRF.com - это более 1 Терабайта бесплатной технической информации для всех пользователей интернета. Все электронные копии представленных здесь документов могут распространяться без каких-либо ограничений. Поощряется распространение информации с этого сайта на любых других ресурсах. Каждый человек имеет право на неограниченный доступ к этим документам! Каждый человек имеет право на знание требований, изложенных в данных нормативно-правовых актах!

  


 

ГОСУДАРСТВЕННОЕ САНИТАРНО-ЭПИДЕМИОЛОГИЧЕСКОЕ НОРМИРОВАНИЕ
РОССИЙСКОЙ ФЕДЕРАЦИИ

4.1. МЕТОДЫ КОНТРОЛЯ. ХИМИЧЕСКИЕ ФАКТОРЫ

ИЗМЕРЕНИЕ КОНЦЕНТРАЦИЙ ВРЕДНЫХ ВЕЩЕСТВ
В ВОЗДУХЕ РАБОЧЕЙ ЗОНЫ

СПЕКТРОФОТОМЕТРИЧЕСКОЕ ИЗМЕРЕНИЕ
КОНЦЕНТРАЦИИ НАТРИЕВОЙ СОЛИ 1,1-ДИОКСИДА
ПЕНИЦИЛЛАНОВОЙ КИСЛОТЫ (СУЛЬБАКТАМА)
В ВОЗДУХЕ РАБОЧЕЙ ЗОНЫ

МУК 4.1.0.506-96

 

МИНЗДРАВ РОССИИ

Москва 2003

1. Методические указания разработаны с целью обеспечения контроля соответствия фактических концентраций вредных веществ их предельно допустимым концентрациям (ПДК) и ориентировочно безопасным уровням воздействия, санитарно-гигиеническим нормативам и являются обязательными при осуществлении санитарного контроля.

2. Методические указания по измерению концентраций вредных веществ в воздухе рабочей зоны (выпуск 34) утверждены и. о. председателя Госкомсанэпиднадзора России, заместителем Главного Государственного санитарного врача Российской Федерации Беляевым Е. Н. 8 июня 1996 г.

3. Введены впервые.

4. Включенные в данный выпуск методики контроля разработаны и подготовлены в соответствии с требованиями ГОСТ 12.1.005-88 ССБТ «Воздух рабочей зоны. Общие санитарно-гигиенические требования», ГОСТ 12.1.016-79 ССБТ «Воздух рабочей зоны. Требования к методикам контроля измерения концентраций вредных веществ», ГОСТ Р 1.5-92 п. 7.3, ГОСТ 8.010-90 «Государственная система обеспечения единства измерений. Методики выполнения измерений». Методические указания одобрены комиссией по государственному санитарно-эпидемиологическому нормированию Госкомсанэпиднадзора России и Проблемной комиссией «Научные основы гигиены труда и профпатологии».

Методические указания по измерению концентраций вредных веществ в воздухе рабочей зоны (выпуск 34) предназначены для центров Госкомсанэпиднадзора, санитарных лабораторий промышленных предприятий при осуществлении контроля за содержанием вредных веществ в воздухе рабочей зоны, а также заинтересованных министерств и ведомств.

Ответственный исполнитель: Г. А. Дьякова

Исполнители: Г. А. Дьякова, Л. Г. Макеева, Е. М. Малинина, С. М. Попова, Е. Н. Грицун, Т. В. Рязанцева, Г. Ф. Громова.

УТВЕРЖДЕНО

И. о. Председателя

Госкомсанэпиднадзора России –

заместитель Главного государственного

санитарного врача Российской Федерации

Е. Н. Беляев

8 июня 1996 г.

МУК 4.1.0.506-96

Дата введения: с момента утверждения

4.1. МЕТОДЫ КОНТРОЛЯ. ХИМИЧЕСКИЕ ФАКТОРЫ

СПЕКТРОФОТОМЕТРИЧЕСКОЕ ИЗМЕРЕНИЕ
КОНЦЕНТРАЦИИ НАТРИЕВОЙ СОЛИ 1,1-ДИОКСИДА
ПЕНИЦИЛЛАНОВОЙ КИСЛОТЫ (СУЛЬБАКТАМА)
В ВОЗДУХЕ РАБОЧЕЙ ЗОНЫ

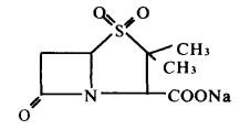
М. м. 255,23

Натриевая соль 1,1-диоксида пенициллановой кислоты (сульбактам) - белый или почти белый кристаллический порошок, легко растворим в воде, мало растворим в спирте, не растворим в эфире, хлороформе.

В воздухе находится в виде аэрозоля дезинтеграции.

Сульбактам проявляет аллергенные свойства, может способствовать развитию дисбактериоза. В больших концентрациях способен вызвать нарушение функции печени и почек.

ОБУВ в воздухе - 1 мг/м3.

Характеристика метода

Определение сульбактама основано на измерении величины оптической плотности растворов сульбактама при 260 нм после его щелочного гидролиза.

Отбор проб производится с концентрированием на фильтр.

Нижний предел измерения вещества в анализируемом объеме - 2 мкг.

Нижний предел измерения концентрации вещества в воздухе (при отборе 8 л воздуха) - 0,5 мг/м3.

Диапазон измеряемых концентраций в воздухе - от 0,5 до 20 мг/м3.

Определению не мешают присутствие бензилпенициллина и 6-АПК.

Суммарная погрешность измерения не превышает ±15 %.

Время выполнения измерений, включая отбор проб, - 55 мин.

Приборы, аппаратура, посуда

Спектрофотометр

 

Аспирационное устройство

 

Фильтродержатели

ТУ 95-72-05-77

Секундомер

ГОСТ 5072-79

Штатив для пробирок

 

Пинцет

 

РН-метр

 

Термостат водяной с температурой 40±0,5 °С

 

Колбы мерные, вместимостью 50, 100 и 1000 мл

ГОСТ 1770-74

Цилиндры мерные, вместимостью 100, 500 и 1000 мл

ГОСТ 1770-74

Пробирки с пришлифованными пробками, вместимостью 10 мл

 

Пипетки, вместимостью 1, 2, 5 и 10 мл

ГОСТ 1770-74

Стаканы химические, вместимостью 50 мл

ГОСТ 19908-85

Воронки с пористой пластинкой № 1 ПС-1

 

Насос водоструйный

 

Фильтры АФА-ВП-20

 

Реактивы, растворы и материалы

Сульбактам

 

Натрия гидроксид 1 М и 0,1 М, растворы в воде

ГОСТ 4328-77

Борная кислота 0,2 М раствор: 12,4 г борной кислоты помещают в мерную колбу, вместимостью 1000 мл и растворяют в 100 мл 1 М раствора натрия гидроксида. Объем в колбе доводят до метки водой и перемешивают.

 

Боратный буферный раствор, рН 12,5±0,1: в мерную колбу, вместимостью 1000 мл помещают 200 мл 0,2 М раствора борной кислоты и 550 мл 0,1 М раствора натрия гидроксида, перемешивают и добавляют М раствор натрия гидроксида до установления рН 12,5±0,1, после чего объем раствора в колбе доводят до метки водой и перемешивают.

 

Стандартный раствор № 1 с концентрацией 1000 мкг/мл готовят растворением точной навески образца сульбактама с известным содержанием вещества в воде.

Раствор устойчив 5 дней.

Стандартный раствор № 2 с концентрацией сульбактама 20 мкг/мл готовят разведением раствора № 1 в боратном буферном растворе рН 12,5.

Готовят перед употреблением.

Отбор проб воздуха

Воздух с объемным расходом 10 л/мин аспирируют на фильтр типа АФА-ВП-20. Для измерения 1/2 ОБУВ следует отобрать 8 л воздуха.

Срок хранения отобранных проб - 10 дней при хранении в сухом, защищенном от света месте при комнатной температуре.

Подготовка к измерению

Градуировочные растворы готовят согласно таблице.

Таблица

Шкала градуировочных растворов

№ стандарта

Стандартный р-р № 2, мл

Буферный р-р рН 12,5

Содержание сульбактама, мкг

1

0

5

0

2

0,1

4,9

2

3

1

4

20

4

2

3

40

5

3

2

60

6

4

1

80

Нагревают в водяном термостате с температурой 40±0,5 °С в течение 20 мин и быстро охлаждают под струей водопроводной воды.

Измеряют на спектрофотометре оптическую плотность бесцветных растворов при длине волны 260 нм в кюветах с толщиной поглощающего слоя 10 мм по отношению к раствору, не содержащему определяемого вещества (стандарт № 1 по таблице). Растворы шкалы устойчивы в течение 45 мин.

Строят градуировочный график: на ось ординат наносят значение оптической плотности градуировочных растворов, на ось абсцисс - соответствующие им величины содержания вещества в градуировочных растворах (в мкг).

Проверку градуировочного графика проводят 1 раз в 3 месяца или в случае использования новой партии реактивов.

Проведение измерения

Фильтр с отобранной пробой при помощи пинцета помещают в химический стакан, заливают 10 мл боратного буферного раствора рН 12,5, выдерживают при интенсивном перемешивании 30 мин. При необходимости раствор фильтруют через воронку с пористой пластинкой. Для анализа в пробирку с пришлифованной пробкой отбирают 5 мл раствора сульбактама и обрабатывают аналогично градуировочным растворам. Оптическую плотность полученного анализируемого раствора измеряют по отношению к контрольному раствору, который готовят одновременно и аналогично пробам.

Количественное определение содержания сульбактама во взятой аликвоте проводят по предварительно построенному градуировочному графику.

Расчет концентрации

Концентрацию сульбактама С в воздухе в мг/м3 вычисляют по формуле:

, где

а - содержание сульбактама в анализируемом растворе пробы, найденное по градуировочному графику, мкг;

б - объем раствора пробы, взятой для анализа, мл;

в - общий объем раствора пробы, мл;

V - объем воздуха, отобранного для анализа и приведенного к стандартным условиям, л (см. приложение 1).

Приложение 1

Приведение объема воздуха к стандартным условиям

Приведение объема воздуха к стандартным условиям (температура 20 °С и давление 760 мм рт. ст.) проводят по формуле:

, где

Vt - объем воздуха, отобранный для анализа, л;

Р - барометрическое давление, кПа (101,33 кПа = 760 мм рт. ст.);

t - температура воздуха в месте отбора пробы, °С.

Для удобства расчета V20 следует пользоваться таблицей коэффициентов (приложение 2). Для приведения воздуха к стандартным условиям надо умножить Vt на соответствующий коэффициент.

Приложение 2

Коэффициенты для приведения объема воздуха к стандартным условиям

Давление Р, кПа/мм рт. ст.

°С

97,33/730

97,86/734

98,4/738

98,93/742

99,46/746

100/750

100,53/754

101,06/758

101,33/760

101,86/764

-30

1,1582

1,1646

1,1709

1,1772

1,1836

1,1899

1,1963

1,2026

1,2058

1,2122

-26

1,1393

1,1456

1,1519

1,1581

1,1644

1,1705

1,1768

1,1831

1,1862

1,1925

-22

1,1212

1,1274

1,1336

1,1396

1,1458

1,1519

1,1581

1,1643

1,1673

1,1735

-18

1,1036

1,1097

1,1158

1,1218

1,1278

1,1338

1,1399

1,1460

1,1490

1,1551

-14

1,0866

1,0926

1,0986

1,1045

1,1105

1,1164

1,1224

1,1284

1,1313

1,1373

-10

1,0701

1,0760

1,0819

1,0877

1,0986

1,0994

1,1053

1,1112

1,1141

1,1200

-6

1,0540

1,0599

1,0657

1,0714

1,0772

1,0829

1,0887

1,0945

1,0974

1,1032

-2

1,0385

1,0442

1,0499

1,0556

1,0613

1,0669

1,0726

1,0784

1,0812

1,0869

0

1,0309

1,0366

1,0423

1,0477

1,0535

1,0591

1,0648

1,0705

1,0733

1,0789

+2

1,0234

1,0291

1,0347

1,0402

1,0459

1,0514

1,0571

1,0627

1,0655

1,0712

+6

1,0087

1,0143

1,0198

1,0253

1,0309

1,0363

1,0419

1,0475

1,0502

1,0557

+10

0,9944

0,9999

0,0054

1,0108

1,0162

1,0216

1,0272

1,0353

1,0326

1,0407

+14

0,9806

0,9860

0,9914

0,9967

1,0027

1,0074

1,0128

1,0183

1,0209

1,0263

+18

0,9671

0,9725

0,9778

0,9830

0,9884

0,9936

0,9989

1,0043

1,0069

1,0122

+20

0,9605

0,9658

0,9711

0,9783

0,9816

0,9868

0,9921

0,9974

1,0000

1,0053

+22

0,9539

0,9592

0,9645

0,9696

0,9749

0,9800

0,9853

0,9906

0,9932

0,9985

+24

0,9475

0,9527

0,9579

0,9631

0,9683

0,9735

0,9787

0,9839

0,9865

0,9917

+26

0,9412

0,9464

0,9516

0,9566

0,9618

0,9669

0,9721

0,9773

0,9799

0,9851

+28

0,9349

0,9401

0,9453

0,9503

0,9555

0,9605

0,9657

0,9708

0,9734

0,9785

+30

0,9288

0,9339

0,9391

0,9440

0,9432

0,9542

0,9594

0,9645

0,9670

0,9723

+34

0,9167

0,9218

0,9268

0,9318

0,9368

0,9418

0,9468

0,9519

0,9544

0,9595

+38

0,9049

0,9099

0,9149

0,9199

0,9248

0,9297

0,9347

0,9397

0,9421

0,9471

Приложение 3

Вещества, определяемые по ранее утвержденным методическим указаниям

Наименование вещества

Опубликованные методические указания

Гексаметилендиаминадипинат (соль АГ)

Методические указания по хроматографическому измерению концентраций гексаметилендиаммонийсебацината в воздухе рабочей зоны. Вып. XXII., М., 1988. - 85 с.

Натрия перкарбонат

Методические указания по фотометрическому измерению концентраций едких щелочей и карбоната натрия в воздухе рабочей зоны, переработанные и дополненные технические условия. Вып. 10. М., 1988. - 49 с.

Ванадиевые катализаторы

Методические указания на фотометрическое определение ванадия и его соединений в воздухе. Вып. 1-5. М., 1981. - 7 с.

Полисульфоны (ПСК-1, ПСФ-КС, ПСФ-150-1, ПСФ-150, ПСФ-200, ПСБ-220, ПСБ-230, ПСФ-180-1, ПСФ-190)

Методические указания на гравиметрическое определение пыли в воздухе рабочей зоны и в системах вентиляционных установках. Вып. 1-5. М., 1981. - 235 с.

Абомин

Методические указания по фотометрическому определению БВК в воздухе. Вып. XVIII. М., 1983. - 139 с.

СОДЕРЖАНИЕ

 

 




ГОСТЫ, СТРОИТЕЛЬНЫЕ и ТЕХНИЧЕСКИЕ НОРМАТИВЫ.
Некоммерческая онлайн система, содержащая все Российские Госты, национальные Стандарты и нормативы.
В Системе содержится более 150000 файлов нормативно-технической документации, действующей на территории РФ.
Система предназначена для широкого круга инженерно-технических специалистов.

Рейтинг@Mail.ru Яндекс цитирования

Copyright © www.gostrf.com, 2008 - 2026