Крупнейшая бесплатная информационно-справочная система онлайн доступа к полному собранию технических нормативно-правовых актов РФ. Огромная база технических нормативов (более 150 тысяч документов) и полное собрание национальных стандартов, аутентичное официальной базе Госстандарта. GOSTRF.com - это более 1 Терабайта бесплатной технической информации для всех пользователей интернета. Все электронные копии представленных здесь документов могут распространяться без каких-либо ограничений. Поощряется распространение информации с этого сайта на любых других ресурсах. Каждый человек имеет право на неограниченный доступ к этим документам! Каждый человек имеет право на знание требований, изложенных в данных нормативно-правовых актах!

  


 

Государственное санитарно-эпидемиологическое нормирование
Российской Федерации

УТВЕРЖДЕНО

И. о. Председателя Госкомсанэпиднадзора

России - заместителем Главного

государственного санитарного врача

Российской Федерации

Г.Г. Онищенко

8 июня 1996 г.

МУК 4.1.211-96

Дата введения: с момента утверждения

4.1. МЕТОДЫ КОНТРОЛЯ. ХИМИЧЕСКИЕ ФАКТОРЫ

Спектрофотометрическое измерение концентраций витамина Е в воздухе рабочей зоны

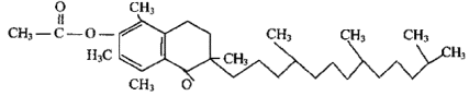
С31Н51О3                                                                                                                                                                                   М.м. 472,8

6-ацетокси-2,5,7,8-тетраметил-2-(4,8,12-триметилтридецил) хроман (витамин Е).

Светло-желтая прозрачная вязкая маслянистая жидкость,  = 0,95 - 0,97,  = 1,4960 - 1,4985; легко растворим в жирах, эфире, хлороформе, ацетоне. Совершенно не растворяется в воде.

В воздухе находится в виде аэрозоля, действует на воспроизводящую систему.

ПДК в воздухе - 0,5 мг/м3.

Характеристика метода

Методика основана на спектрофотометрическом измерении бутанольного раствора витамина Е и УФ-области при длине волны 287 нм.

Отбор проб проводят с концентрированием вещества на фильтр АФА-ВП-20.

Нижний предел измерения концентрации вещества в спектрофотометрируемом растворе составляет 10 мкг/мл.

Нижний предел измерения вещества в воздухе - 0,25 мг/м3 (при отборе 200 л воздуха).

Диапазон измеряемых концентраций - от 0,25 мг/м3 до 5 мг/м3.

Определению мешают примеси, поглощающие в близлежащей области спектра.

Суммарная погрешность не превышает ± 15 %.

Время выполнения измерения, включая отбор пробы, - 25 - 30 мин.

Приборы, аппаратура, посуда

Спектрофотометр СФ-26 или СФ-46

ТУ 3-3-1314-77

Аспирационное устройство

 

Пипетки любого исполнения, вместимостью 1, 2, 5, 10

ГОСТ 20292-74

Колбы мерные 1 или 2 класса точности, вместимостью 25 мл

ГОСТ 1770-74

Пробирки любого исполнения

ГОСТ 25336-82

Фильтры АФА-ВП-20

ТУ 95-17186-76

Стаканы химические, вместимостью 50 мл

ГОСТ 10394-72

Реактивы, растворы, материалы

Витамин Е,  = 1,4960 - 1,4985

Стандартный раствор с концентрацией вещества 1 мг/мл готовят растворением 25 мг вещества в 25 мл бутанола-1 в мерной колбе, вместимостью 25 мл.

Раствор устойчив в течение 15 суток

Бутиловый спирт, ч. д. а.

ГОСТ 6006-78

Отбор пробы воздуха

Воздух с объемным расходом 10 л/мин аспирируют через фильтр АФА-ВП-20.

Для измерения 1/2 ПДК следует отобрать 200 л воздуха.

Пробы могут быть проанализированы через 3 суток, при условии хранения в стаканчике, в котором будут производить экстракцию, в холодильнике.

Подготовка к измерению

Градуировочные растворы (устойчивы в течение 5 дней при условии хранения в холодильнике) готовят согласно таблицы.

Таблица

Шкала градуировочных растворов

№ стандарта

Стандартный р-р, мл

Бутанол, мл

Концентрация вещества в градуировочном р-ре, мкг/мл

1

0

25

0

2

0,25

24,75

10

3

0,50

24,50

20

4

1,0

24,00

40

5

1,50

23,50

60

6

2,0

23,00

80

7

2,50

22,50

100

8

3,75

21,25

150

9

5,0

20,00

200

Подготовленные градуировочные растворы перемешивают и через 10-15 мин измеряют оптическую плотность на спектрофотометре при длине волны 287 нм. Измерение проводят в кюветах с толщиной поглощающего слоя 10 мм.

Раствор сравнения - бутанол.

Для построения градуировочного графика: на ось абсцисс откладывают величины содержания витамина Е в градуировочных растворах (мкг/мл); на ось ординат - значения оптических плотностей соответствующих градуировочных растворов.

Проверка градуировочного графика проводится 1 раз в месяц или в случае использования новых партий реактивов.

Проведение измерений

Фильтр с отобранной пробой помещают в стаканчик вместимостью 50 мл, приливают к нему 5 мл бутанола. Витамин Е экстрагируют с помощью стеклянной палочки в течение 5-7 мин.

Определяют оптическую плотность анализируемого раствора пробы аналогично градуировочным по сравнению с бутанольным экстрактом чистого фильтра АФА.

Расчет концентрации

Концентрация вещества (С) в воздухе (мг/м3) вычисляется по формуле:

, где

а - концентрация вещества в анализируемом растворе, найденная по градуировочному графику, мкг/мл;

б - общий объем пробы, мл;

 - объем воздуха, отобранного для анализа и приведенного к стандартным условиям, л (см. приложение 1).

Методические указания разработаны ВНИИ ТИАФ, г. С.-Петербург.

Приложение 1

Приведение объема воздуха к стандартным условиям (температуре 20 °С и давление 760 мм рт. ст.)

Приведение объема воздуха к стандартным условиям проводят по формуле:

, где

Vt - объем воздуха, отобранного для анализа, л;

Р - барометрическое давление, мм рт. ст. (760 мм рт. ст. = 101,33 кПа);

t° - температура воздуха в месте отбора пробы, °С.

Для удобства расчета Vст следует пользоваться таблицей коэффициентов (приложение 2). Для приведения объема воздуха к температуре 20 °С и давлению 760 мм рт. ст. (101,33 кПа) надо умножить Vt на соответствующий коэффициент.

Приложение 2

Коэффициент К для приведения объема воздуха к стандартным условиям

Давление Р, кПа/мм рт. ст.

°С

730

734

738

742

746

750

754

758

760

764

-30

1,1582

1,1646

1,1709

1,1772

1,1836

1,1899

1,1963

1,2026

1,2058

1,2122

-26

1,1393

1,1456

1,1519

1,1581

1,1644

1,1705

1,1768

1,1831

1,1862

1,1925

-22

1,1212

1,1274

1,1336

1,1396

1,1458

1,1519

1,1581

1,1643

1,1673

1,1735

-18

1,1036

1,1097

1,1158

1,1218

1,1278

1,1338

1,1399

1,1400

1,1490

1,1551

-14

1,0866

1,0926

1,0986

1,1045

1,1105

1,1164

1,1224

1,1284

1,1313

1,1373

-10

1,0701

1,0760

1,0819

1,0877

1,0986

1,0994

1,1053

1,1112

1,1141

1,1200

-6

1,0540

1,0599

1,0657

1,0714

1,0772

1,0829

1,0887

1,0945

1,0974

1,1032

-2

1,0385

1,0442

1,0499

1,0556

1,0613

1,0669

1,0726

1,0784

1,0812

1,0869

0

1,0309

1,0366

1,0423

1,0477

1,0535

1,0591

1,0648

1,0705

1,0733

1,0789

+2

1,0234

1,0291

1,0347

1,0402

1,0459

1,0514

1,0571

1,0627

1,0655

1,0712

+6

1,0087

1,0143

1,0198

1,0253

1,0309

1,0363

1,0419

1,0475

1,0502

1,0557

+10

0,9944

0,9999

1,0054

1,0108

1,0162

1,0216

1,0272

1,0326

1,0353

1,0407

+14

0,9806

0,9860

0,9914

0,9967

1,0027

1,0074

1,0128

1,0183

1,0209

1,0263

+18

0,9671

0,9725

0,9778

0,9880

0,9884

0,9936

0,9989

1,0043

1,0069

1,0122

+20

0,9605

0,9658

0,9711

0,9783

0,9816

0,9868

0,9921

0,9974

1,0000

1,0053

+22

0,9539

0,9592

0,9645

0,9696

0,9749

0,9800

0,9853

0,9906

0,9932

0,9985

+24

0,9475

0,9527

0,9579

0,9631

0,9683

0,9735

0,9787

0,9839

0,9865

0,9917

+26

0,9412

0,9464

0,9516

0,9566

0,9618

0,9669

0,9721

0,9773

0,9799

0,9851

+28

0,9349

0,9401

0,9453

0,9503

0,9655

0,9605

0,9657

0,9708

0,9734

0,9785

+30

0,9288

0,9339

0,9891

0,9440

0,9432

0,9542

0,9594

0,9645

0,9670

0,9723

+34

0,9167

0,9218

0,9268

0,9318

0,9368

0,9418

0,9468

0,9519

0,9544

0,9595

+38

0,9049

0,9099

0,9149

0,9198

0,9248

0,9297

0,9347

0,9397

0,9421

0,9471

 

 




ГОСТЫ, СТРОИТЕЛЬНЫЕ и ТЕХНИЧЕСКИЕ НОРМАТИВЫ.
Некоммерческая онлайн система, содержащая все Российские Госты, национальные Стандарты и нормативы.
В Системе содержится более 150000 файлов нормативно-технической документации, действующей на территории РФ.
Система предназначена для широкого круга инженерно-технических специалистов.

Рейтинг@Mail.ru Яндекс цитирования

Copyright © www.gostrf.com, 2008 - 2026