Крупнейшая бесплатная информационно-справочная система онлайн доступа к полному собранию технических нормативно-правовых актов РФ. Огромная база технических нормативов (более 150 тысяч документов) и полное собрание национальных стандартов, аутентичное официальной базе Госстандарта. GOSTRF.com - это более 1 Терабайта бесплатной технической информации для всех пользователей интернета. Все электронные копии представленных здесь документов могут распространяться без каких-либо ограничений. Поощряется распространение информации с этого сайта на любых других ресурсах. Каждый человек имеет право на неограниченный доступ к этим документам! Каждый человек имеет право на знание требований, изложенных в данных нормативно-правовых актах!

  


 

Государственное санитарно-эпидемиологическое нормирование
Российской Федерации

4.1. МЕТОДЫ КОНТРОЛЯ. ХИМИЧЕСКИЕ ФАКТОРЫ

Фотометрическое измерение концентраций тетракарбамидохлората кальция дигидрата "Хает" в воздухе рабочей среды

МУК 4.1.257-96

Минздрав России

Москва 2000

1. Методические указания по измерению концентрации вредных веществ в воздухе рабочей зоны (выпуск 30) разработаны с целью обеспечения контроля соответствия фактических концентраций вредных веществ их предельно допустимым концентрациям (ПДК) и ориентировочно безопасным уровням воздействия (ОБУВ) - санитарно-гигиеническим нормативам и являются обязательными при осуществлении санитарного контроля.

2. Методические указания по измерению концентраций вредных веществ в воздухе рабочей зоны утверждены и. о. Председателя Госкомсанэпиднадзора России - заместителем Главного государственного санитарного врача Российской Федерации 8 июня 1996 г.

3. Введены впервые.

4. Включенные в данный выпуск 74 методики контроля вредных веществ в воздухе рабочей зоны разработаны и подготовлены в соответствии с требованиями ГОСТа 12.1.005-88 ССБТ "Воздух рабочей зоны. Общие санитарно-гигиенические требования", ГОСТа 12.1.016-79 ССБТ "Воздух рабочей зоны. Требования к методикам измерения концентраций вредных веществ" и ГОСТа Р 1.5-92 п. 7.3.

Методические указания одобрены на совместном заседании группы Главного эксперта Федеральной комиссии по санитарно-гигиеническому нормированию "Лабораторно-инструментальное дело и метрологическое обеспечение" и методбюро п/секции "Промышленно-санитарная химия" Проблемной комиссии "Научные основы гигиены труда и профпатологии".

Ответственные исполнители: Г. А. Дьякова, C. И. Муравьева

Исполнители: Г. А. Дьякова, Н. С. Горячев. Л. Г. Макеева, Г. В. Муравьева, Е. М. Малинина, Е. В. Грыжина, Е. Н. Грицун.

УТВЕРЖДЕНО

И. о. Председателя Госкомсанэпиднадзора

России - заместителем Главного

государственного санитарного врача

Российской Федерации

Г.Г. Онищенко

8 июня 1996 г.

МУК 4.1.257-96

Дата введения: с момента утверждения

4.1. МЕТОДЫ КОНТРОЛЯ. ХИМИЧЕСКИЕ ФАКТОРЫ

Фотометрическое измерение концентраций тетракарбамидохлората кальция дигидрата "Хает" в воздухе рабочей среды

М. м. 83

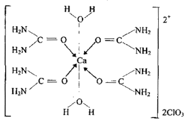
Са(СlO3)2×4СО(NH2)2×2O - тетракарбамидохлорат кальция дигидрат (диакватетракарбамидохлорат кальция) - "Хает" - кристаллы белого цвета. Удельная масса - 1,88 г/см3. Не летуч, без запаха. Тпл. - 155 °С, при нагревании до 290 °С разлагается.

Хорошо растворяется в воде, не растворяется в гексане, ацетоне, частично растворяется в спирте при нагревании.

В воздухе находится в виде аэрозоля.

Кожно-резорбтивным действием не обладает. По величинам среднесмертельных доз относится к IV классу опасности.

ПДК в воздухе - 10 мг/м3.

Характеристика метода

Методика основана на реакции взаимодействия дефолианта "Хает" с диацетилмонооксимом в присутствии тиосемикарбазида и ионов трехвалентного железа в сильнокислой среде с последующим фотометрическом измерением окрашенного в красный цвет продукта реакции при длине волны 525 нм.

Отбор проб проводят с концентрированием на фильтр.

Нижний предел содержания вещества в анализируемом объеме раствора - 1 мкг.

Нижний предел измерения вещества в воздухе - 5 мг/м3 (при отборе 4 л воздуха).

Диапазон измеряемых концентраций в воздухе - от 5 до 50 мг/м3.

Измерению не мешает 20-ти кратный избыток аммиака, ионов кальция, натрия, калия, 2-х кратный избыток ионов магния, 50-ти кратный избыток ионов хлора и нитратов, 10-ти кратный сульфатов и аммофос. Измерению мешают амиды.

Суммарная погрешность не превышает ± 20 %.

Время выполнения измерения, включая отбор проб, - 50 мин.

Приборы, аппаратура, посуда

Спектрофотометр

 

Аспирационное устройство

 

Колбы мерные, вместимостью 50 и 100 мл

ГОСТ 1770-74

Баня водяная

 

Пробирки с пришлифованными пробками, вместимостью 10 мл

ГОСТ 10515-75

Пипетки, вместимостью 1, 2, 5 мл

ГОСТ 20292-74

Реактивы, растворы, материалы

Спирт этиловый, ректификат

ГОСТ 18300-72

Тиосемикарбазил, 0,5 % водный раствор (запасной р-р)

МРТУ 6-09-6401

Диацетилмонооксим, 2,5 % водный раствор (запасной р-р)

ТУ 6-09-2288-72

Серная кислота, х. ч., плотность 1,84, растворы 1:1, 0,5 н., 10 %

ГОСТ 4204-77

Фосфорная кислота, 85 % раствор

ГОСТ 6552-80

Хлорное железо, ч.

ГОСТ 4147-74

Фильтр "синяя лента"

ТУ 6-09-1678-77

Растворяют 1,5 г FeCl3×2O в 30 мл 85 % Н3РO4 и прибавляют 15 мл дистиллированной воды (запасной раствор). Запасные растворы сохраняются в холодильнике при 4 °С неограниченно долго.

Рабочий раствор диацетилмонооксима № 1: в мерной колбе на 500 мл смешивают 34 мл 0,5 % запасного раствора тиосемикарбазида и 34 мл 2,5 % запасного раствора диацетилмонооксима и доливают до метки дистиллированной водой.

Рабочий раствор хлорного железа № 2: в мерную колбу на 500 мл наливают 0,5 мл запасного раствора FeCl3×2O и доливают до метки 10 %-ным раствором серной кислоты. Рабочие растворы сохраняются в бутылях из темного стекла, устойчивы в течение 3 месяцев.

Вместо рабочих растворов № 1 и № 2 можно пользоваться набором химических реактивов для определения мочевины производства о. п. "Лахема", Брно, ЧСФР, в котором имеются таблетки, содержащие диацетилмонооксим, тиосемикарбазид и хлорное железо. Одну таблетку при умеренном нагревании растворяют в 50 мл дистиллированной воды. Наличие небольшого осадка не мешает определению. Раствор реактива из таблетки устойчив в течение нескольких дней.

Рабочий раствор реактива из таблетки готовят смешением 1 доли раствора реактива с 1 долей раствора серной кислоты (1:1). Рабочий раствор реактива должен быть свежеприготовленным.

Стандартный раствор дефолианта "Хает " № 1 с концентрацией 1 мг/мл готовят растворением 0,1 г вещества в мерной колбе на 100 мл в воде. Раствор устойчив в течение 3 месяцев.

Стандартный раствор № 2 с концентрацией 10 мкг/мл готовят соответствующим разбавлением стандартного раствора № 1 водой. Раствор устойчив в течение 1 месяца.

Отбор пробы воздуха

Воздух с объемным расходом 1 л/мин аспирируют через фильтр "синяя лента".

Для измерения 1/2 ПДК "Хает" следует отобрать 4 л воздуха.

Отобранные пробы хранятся в течение 5 дней.

Подготовка к измерению

Градуировочные растворы (устойчивы в течение 15 мин) готовят согласно таблице.

Таблица

Шкала градуировочных растворов

№ стандарта

Стандартный р-р "Хает" № 2, мл

Вода дистиллированная, мл

Содержание карбамида в градуировочном р-ре, мкг

1

0,0

2,0

0

2

0,1

1,9

1

3

0,2

1,8

2

4

0,4

1,6

4

5

0,6

1,4

6

6

0,8

1,2

8

7

1,0

10

10

В растворы добавляют по 1 мл рабочего раствора диацетилмонооксима № 2, 1 мл рабочего раствора хлорного железа № 2 и 1 мл серной кислоты (1:1) и дистиллированную воду, как указано в таблице.

Нагревают на кипящей водяной бане в течение 10 мин. Градуировочные растворы фотометрируют при 525 нм. Измерение должно быть проведено до истечения 15 мин после охлаждения растворов

При использовании набора (н. п. "Лахема", ЧСФР) вместо 1 мл рабочего раствора диацетилмонооксима и 1 мл рабочего раствора хлорного железа добавляют 2 мл рабочего раствора реактива. Далее определение ведут как указано выше.

Измерение проводят в кюветах с толщиной поглощающего слоя 10 мм по отношению к раствору сравнения, не содержащему определяемого вещества.

Строят градуировочный график: на ось ординат наносят величины оптических плотностей градуировочных растворов, на ось абсцисс - величины содержания вещества в градуировочном растворе (мкг). Проверка градуировочного графика проводится в случае использования новой партии реактивов, но не реже 1 раза в квартал.

Проведение измерения

Фильтр с отобранной пробой переносят в стакан, заливают 10 мл воды, тщательно перемешивают с помощью стеклянной палочки. Фильтр отжимают и удаляют. 0,5 мл фильтрата отбирают в пробирку. Степень десорбции вещества с фильтра составляет 0,95 %.

Далее в пробирки с аликвотами растворов "Хает" добавляют все растворы и проводят определение, как при построении градуировочного графика.

Оптическую плотность полученных анализируемых растворов проб измеряют аналогично градуировочным растворам по сравнению в контролем, который готовят одновременно и аналогично пробе.

Количественное определение содержания вещества (мкг) во взятой аликвоте проводят по предварительно построенному градуировочному графику.

Расчет концентрации

Концентрацию вещества (С) в воздухе (мг/м3) вычисляют по формуле:

, где

а - содержание вещества в анализируемом объеме раствора пробы, найденное по градуировочному графику, мкг;

в - общий объем раствора пробы, мл;

б - объем раствора пробы, взятой для анализа, мл;

V - объем воздуха, отобранного для анализа и приведенного к нормальным условиям, л (см. приложение 1).

Методические указания разработаны институтом химии АН Узбекистана.

Приложение 1

Приведение объема воздуха к стандартным условиям (температуре 20 °С и давление 760 мм рт. ст.)

Приведение объема воздуха к стандартным условиям проводят по формуле:

, где

Vt - объем воздуха, отобранного для анализа, л;

Р - барометрическое давление, мм рт. ст. (760 мм рт. ст. = 101,33 кПа);

t° - температура воздуха в месте отбора пробы, °С.

Для удобства расчета Vст следует пользоваться таблицей коэффициентов (приложение 2). Для приведения объема воздуха к температуре 20 °С и давлению 760 мм рт. ст. (101,33 кПа) надо умножить Vt на соответствующий коэффициент.

Приложение 2

Коэффициент К для приведения объема воздуха к стандартным условиям

Давление Р, кПа/мм рт. ст.

°С

730

734

738

742

746

750

754

758

760

764

-30

1,1582

1,1646

1,1709

1,1772

1,1836

1,1899

1,1963

1,2026

1,2058

1,2122

-26

1,1393

1,1456

1,1519

1,1581

1,1644

1,1705

1,1768

1,1831

1,1862

1,1925

-22

1,1212

1,1274

1,1336

1,1396

1,1458

1,1519

1,1581

1,1643

1,1673

1,1735

-18

1,1036

1,1097

1,1158

1,1218

1,1278

1,1338

1,1399

1,1400

1,1490

1,1551

-14

1,0866

1,0926

1,0986

1,1045

1,1105

1,1164

1,1224

1,1284

1,1313

1,1373

-10

1,0701

1,0760

1,0819

1,0877

1,0986

1,0994

1,1053

1,1112

1,1141

1,1200

-6

1,0540

1,0599

1,0657

1,0714

1,0772

1,0829

1,0887

1,0945

1,0974

1,1032

-2

1,0385

1,0442

1,0499

1,0556

1,0613

1,0669

1,0726

1,0784

1,0812

1,0869

0

1,0309

1,0366

1,0423

1,0477

1,0535

1,0591

1,0648

1,0705

1,0733

1,0789

+2

1,0234

1,0291

1,0347

1,0402

1,0459

1,0514

1,0571

1,0627

1,0655

1,0712

+6

1,0087

1,0143

1,0198

1,0253

1,0309

1,0363

1,0419

1,0475

1,0502

1,0557

+10

0,9944

0,9999

1,0054

1,0108

1,0162

1,0216

1,0272

1,0326

1,0353

1,0407

+14

0,9806

0,9860

0,9914

0,9967

1,0027

1,0074

1,0128

1,0183

1,0209

1,0263

+18

0,9671

0,9725

0,9778

0,9880

0,9884

0,9936

0,9989

1,0043

1,0069

1,0122

+20

0,9605

0,9658

0,9711

0,9783

0,9816

0,9868

0,9921

0,9974

1,0000

1,0053

+22

0,9539

0,9592

0,9645

0,9696

0,9749

0,9800

0,9853

0,9906

0,9932

0,9985

+24

0,9475

0,9527

0,9579

0,9631

0,9683

0,9735

0,9787

0,9839

0,9865

0,9917

+26

0,9412

0,9464

0,9516

0,9566

0,9618

0,9669

0,9721

0,9773

0,9799

0,9851

+28

0,9349

0,9401

0,9453

0,9503

0,9655

0,9605

0,9657

0,9708

0,9734

0,9785

+30

0,9288

0,9339

0,9891

0,9440

0,9432

0,9542

0,9594

0,9645

0,9670

0,9723

+34

0,9167

0,9218

0,9268

0,9318

0,9368

0,9418

0,9468

0,9519

0,9544

0,9595

+38

0,9049

0,9099

0,9149

0,9198

0,9248

0,9297

0,9347

0,9397

0,9421

0,9471

 

 




ГОСТЫ, СТРОИТЕЛЬНЫЕ и ТЕХНИЧЕСКИЕ НОРМАТИВЫ.
Некоммерческая онлайн система, содержащая все Российские Госты, национальные Стандарты и нормативы.
В Системе содержится более 150000 файлов нормативно-технической документации, действующей на территории РФ.
Система предназначена для широкого круга инженерно-технических специалистов.

Рейтинг@Mail.ru Яндекс цитирования

Copyright © www.gostrf.com, 2008 - 2026