Крупнейшая бесплатная информационно-справочная система онлайн доступа к полному собранию технических нормативно-правовых актов РФ. Огромная база технических нормативов (более 150 тысяч документов) и полное собрание национальных стандартов, аутентичное официальной базе Госстандарта. GOSTRF.com - это более 1 Терабайта бесплатной технической информации для всех пользователей интернета. Все электронные копии представленных здесь документов могут распространяться без каких-либо ограничений. Поощряется распространение информации с этого сайта на любых других ресурсах. Каждый человек имеет право на неограниченный доступ к этим документам! Каждый человек имеет право на знание требований, изложенных в данных нормативно-правовых актах!

  


 

Государственное санитарно-эпидемиологическое нормирование
Российской Федерации

4.1. МЕТОДЫ КОНТРОЛЯ. ХИМИЧЕСКИЕ ФАКТОРЫ

Спектрофотометрическое измерение концентраций флакозида в воздухе рабочей зоны

МУК 4.1.262-96

Минздрав России

Москва 2000

1. Методические указания по измерению концентрации вредных веществ в воздухе рабочей зоны (выпуск 30) разработаны с целью обеспечения контроля соответствия фактических концентраций вредных веществ их предельно допустимым концентрациям (ПДК) и ориентировочно безопасным уровням воздействия (ОБУВ) - санитарно-гигиеническим нормативам и являются обязательными при осуществлении санитарного контроля.

2. Методические указания по измерению концентраций вредных веществ в воздухе рабочей зоны утверждены и. о. Председателя Госкомсанэпиднадзора России - заместителем Главного государственного санитарного врача Российской Федерации 8 июня 1996 г.

3. Введены впервые.

4. Включенные в данный выпуск 74 методики контроля вредных веществ в воздухе рабочей зоны разработаны и подготовлены в соответствии с требованиями ГОСТа 12.1.005-88 ССБТ "Воздух рабочей зоны. Общие санитарно-гигиенические требования", ГОСТа 12.1.016-79 ССБТ "Воздух рабочей зоны. Требования к методикам измерения концентраций вредных веществ" и ГОСТа Р 1.5-92 п. 7.3.

Методические указания одобрены на совместном заседании группы Главного эксперта Федеральной комиссии по санитарно-гигиеническому нормированию "Лабораторно-инструментальное дело и метрологическое обеспечение" и методбюро п/секции "Промышленно-санитарная химия" Проблемной комиссии "Научные основы гигиены труда и профпатологии".

Ответственные исполнители: Г. А. Дьякова, C. И. Муравьева

Исполнители: Г. А. Дьякова, Н. С. Горячев. Л. Г. Макеева, Г. В. Муравьева, Е. М. Малинина, Е. В. Грыжина, Е. Н. Грицун.

УТВЕРЖДЕНО

И. о. Председателя Госкомсанэпиднадзора

России - заместителем Главного

государственного санитарного врача

Российской Федерации

Г.Г. Онищенко

8 июня 1996 г.

МУК 4.1.262-96

Дата введения: с момента утверждения

4.1. МЕТОДЫ КОНТРОЛЯ. ХИМИЧЕСКИЕ ФАКТОРЫ

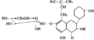
Спектрофотометрическое измерение концентраций флакозида в воздухе рабочей зоны

М.м. 518,5

Флакозид 8-(3-метилбут-2-енил)-5,4-диокси-7-0-В-Д-глюкопиранозилфлавенанол фелавип.

Аморфный порошок серовато-кремового или серовато-кремового с зеленым оттенком цвета. При растирании электризуется. Мало растворим в 95 % этаноле, практически не растворим в воде, хлороформе и эфире.

В воздухе находится в виде аэрозоля.

Вещество малотоксичное. Раздражающим действием на слизистые оболочки глаз не обладает. Обладает слабым раздражающим действием на кожу. Кумулятивным действием не обладает.

ОБУВ в воздухе - 2 мг/м3.

Характеристика метода

Определение основано на измерении светопоглощения растворов флакозида в 0,1 н NaOH при длине волны 288 нм.

Отбор проб проводят с концентрированием на фильтры типа АФА.

Нижний предел измерения концентрации вещества в объеме анализируемого раствора - 20 мкг.

Нижний предел измерения вещества в воздухе - 1 мг/м3 (при отборе 20 л воздуха).

Диапазон измеряемых концентраций в воздухе - от 1 до 9 мг/м3.

Метод специфичен в условиях производства.

Суммарная погрешность не превышает ± 20 %.

Время выполнения измерения, включая отбор проб, - 40 мин.

Приборы, аппаратура, посуда

Спектрофотометр

 

Аспирационное устройство

 

Фильтродержатели

 

Пробирки колориметрические, вместимостью 10 мл

ГОСТ 10515-75

Стаканы химические, вместимостью 50 мл

ГОСТ 10394-72

Колбы мерные, вместимостью 25 и 100 мл

ГОСТ 1770-74

Пипетки, вместимостью 1, 2, 5 и 10 мл

ГОСТ 20292-74

Реактивы, растворы, материалы

Флакозид, сухой ВФС

 

Натр едкий, 0,1 н раствор

ГОСТ 4328-77

Стандартный раствор № 1 с концентрацией 500 мкг/мл готовят растворением 0,05 г сухого вещества в 100 мл 0,1 %-ного раствора NaOH. Раствор устойчив в течение недели, при хранении в холодильнике.

Стандартный раствор № 2 с концентрацией вещества 100 мкг/мл, готовят соответствующим разбавлением стандартного раствора № 1 0,1 н NaOH. Раствор устойчив в течение суток.

Фильтры АФА-ВП-10

Отбор пробы воздуха

Воздух с объемным расходом 5 л/мин аспирируют через фильтр АФА-ВП-10.

Для измерения 1/2 ОБУВ следует отобрать 20 л воздуха. Срок хранения отобранных проб - 3 суток.

Подготовка к измерению

Градуировочные растворы (устойчивы в течение 8 часов) готовят согласно таблице.

Таблица

Шкала градуировочных растворов

№ стандарта

Стандартный р-р № 2, с содержанием флакозида 100 мкг/мл, мл

0,1 н р-р NaOH, мл

Содержание флакозида в градуировочном р-ре, мкг

1

0,0

10

0

2

0,2

9,8

2

3

0,4

9,6

40

4

0,8

9,2

80

5

1,4

8,6

140

6

1,6

8,4

160

7

1,8

8,2

180

Подготовленные градуировочные растворы перемешивают и через 10 мин измеряют оптическую плотность на спектрофотометре при длине волны 288 нм. Измерение проводят в кюветах с толщиной поглощающего слоя 10 мм по отношению к 0,1 н раствору NaOH.

Строят градуировочный график: на ось ординат наносят значения оптических плотностей градуировочных растворов, на ось абсцисс - соответствующие им концентрации.

Проверка градуировочного графика проводится 1 раз в 3 месяца.

Проведение измерения

Фильтр с отобранной пробой переносят в стакан (или пробирку), приливают в нее 10 мл 0,1 н раствора NaOH. Оставляют на 10-15 мин, периодически встряхивая для лучшего растворения вещества.

Оптическую плотность полученного анализируемого раствора пробы измеряют аналогично градуировочным растворам по сравнению с 0,1 н NaOH.

Количественное определение концентраций вещества в анализируемой пробе проводят по предварительно построенному градуировочному графику.

Расчет концентрации

Концентрацию вещества (С) в воздухе (мг/м3) вычисляют по формуле:

, где

а - концентрация вещества в анализируемом растворе пробы, найденная по градуировочному графику, мкг;

в - общий объем пробы, мл;

б - объем раствора пробы, взятой для анализа, мл;

V - объем воздуха, отобранного для анализа и приведенного к нормальным условиям, л (см. приложение 1).

Методические указания разработаны ВНЦ БАВ, НИО «Экотокс», г. Москва.

Приложение 1

Приведение объема воздуха к стандартным условиям (температуре 20 °С и давление 760 мм рт. ст.)

Приведение объема воздуха к стандартным условиям проводят по формуле:

, где

Vt - объем воздуха, отобранного для анализа, л;

Р - барометрическое давление, мм рт. ст. (760 мм рт. ст. = 101,33 кПа);

t° - температура воздуха в месте отбора пробы, °С.

Для удобства расчета Vст следует пользоваться таблицей коэффициентов (приложение 2). Для приведения объема воздуха к температуре 20 °С и давлению 760 мм рт. ст. (101,33 кПа) надо умножить Vt на соответствующий коэффициент.

Приложение 2

Коэффициент К для приведения объема воздуха к стандартным условиям

Давление Р, кПа/мм рт. ст.

°С

730

734

738

742

746

750

754

758

760

764

-30

1,1582

1,1646

1,1709

1,1772

1,1836

1,1899

1,1963

1,2026

1,2058

1,2122

-26

1,1393

1,1456

1,1519

1,1581

1,1644

1,1705

1,1768

1,1831

1,1862

1,1925

-22

1,1212

1,1274

1,1336

1,1396

1,1458

1,1519

1,1581

1,1643

1,1673

1,1735

-18

1,1036

1,1097

1,1158

1,1218

1,1278

1,1338

1,1399

1,1400

1,1490

1,1551

-14

1,0866

1,0926

1,0986

1,1045

1,1105

1,1164

1,1224

1,1284

1,1313

1,1373

-10

1,0701

1,0760

1,0819

1,0877

1,0986

1,0994

1,1053

1,1112

1,1141

1,1200

-6

1,0540

1,0599

1,0657

1,0714

1,0772

1,0829

1,0887

1,0945

1,0974

1,1032

-2

1,0385

1,0442

1,0499

1,0556

1,0613

1,0669

1,0726

1,0784

1,0812

1,0869

0

1,0309

1,0366

1,0423

1,0477

1,0535

1,0591

1,0648

1,0705

1,0733

1,0789

+2

1,0234

1,0291

1,0347

1,0402

1,0459

1,0514

1,0571

1,0627

1,0655

1,0712

+6

1,0087

1,0143

1,0198

1,0253

1,0309

1,0363

1,0419

1,0475

1,0502

1,0557

+10

0,9944

0,9999

1,0054

1,0108

1,0162

1,0216

1,0272

1,0326

1,0353

1,0407

+14

0,9806

0,9860

0,9914

0,9967

1,0027

1,0074

1,0128

1,0183

1,0209

1,0263

+18

0,9671

0,9725

0,9778

0,9880

0,9884

0,9936

0,9989

1,0043

1,0069

1,0122

+20

0,9605

0,9658

0,9711

0,9783

0,9816

0,9868

0,9921

0,9974

1,0000

1,0053

+22

0,9539

0,9592

0,9645

0,9696

0,9749

0,9800

0,9853

0,9906

0,9932

0,9985

+24

0,9475

0,9527

0,9579

0,9631

0,9683

0,9735

0,9787

0,9839

0,9865

0,9917

+26

0,9412

0,9464

0,9516

0,9566

0,9618

0,9669

0,9721

0,9773

0,9799

0,9851

+28

0,9349

0,9401

0,9453

0,9503

0,9655

0,9605

0,9657

0,9708

0,9734

0,9785

+30

0,9288

0,9339

0,9891

0,9440

0,9432

0,9542

0,9594

0,9645

0,9670

0,9723

+34

0,9167

0,9218

0,9268

0,9318

0,9368

0,9418

0,9468

0,9519

0,9544

0,9595

+38

0,9049

0,9099

0,9149

0,9198

0,9248

0,9297

0,9347

0,9397

0,9421

0,9471

 

 




ГОСТЫ, СТРОИТЕЛЬНЫЕ и ТЕХНИЧЕСКИЕ НОРМАТИВЫ.
Некоммерческая онлайн система, содержащая все Российские Госты, национальные Стандарты и нормативы.
В Системе содержится более 150000 файлов нормативно-технической документации, действующей на территории РФ.
Система предназначена для широкого круга инженерно-технических специалистов.

Рейтинг@Mail.ru Яндекс цитирования

Copyright © www.gostrf.com, 2008 - 2026