Крупнейшая бесплатная информационно-справочная система онлайн доступа к полному собранию технических нормативно-правовых актов РФ. Огромная база технических нормативов (более 150 тысяч документов) и полное собрание национальных стандартов, аутентичное официальной базе Госстандарта. GOSTRF.com - это более 1 Терабайта бесплатной технической информации для всех пользователей интернета. Все электронные копии представленных здесь документов могут распространяться без каких-либо ограничений. Поощряется распространение информации с этого сайта на любых других ресурсах. Каждый человек имеет право на неограниченный доступ к этим документам! Каждый человек имеет право на знание требований, изложенных в данных нормативно-правовых актах!

  


 

Государственное санитарно-эпидемиологическое нормирование
Российской Федерации

4.1. МЕТОДЫ КОНТРОЛЯ. ХИМИЧЕСКИЕ ФАКТОРЫ

Хроматографическое измерение концентраций n-этил-n, b-цианэтил-м-толуидина в воздухе рабочей зоны

МУК 4.1.269-96

Минздрав России

Москва 2000

1. Методические указания по измерению концентрации вредных веществ в воздухе рабочей зоны (выпуск 30) разработаны с целью обеспечения контроля соответствия фактических концентраций вредных веществ их предельно допустимым концентрациям (ПДК) и ориентировочно безопасным уровням воздействия (ОБУВ) - санитарно-гигиеническим нормативам и являются обязательными при осуществлении санитарного контроля.

2. Методические указания по измерению концентраций вредных веществ в воздухе рабочей зоны утверждены и. о. Председателя Госкомсанэпиднадзора России - заместителем Главного государственного санитарного врача Российской Федерации 8 июня 1996 г.

3. Введены впервые.

4. Включенные в данный выпуск 74 методики контроля вредных веществ в воздухе рабочей зоны разработаны и подготовлены в соответствии с требованиями ГОСТа 12.1.005-88 ССБТ "Воздух рабочей зоны. Общие санитарно-гигиенические требования", ГОСТа 12.1.016-79 ССБТ "Воздух рабочей зоны. Требования к методикам измерения концентраций вредных веществ" и ГОСТа Р 1.5-92 п. 7.3.

Методические указания одобрены на совместном заседании группы Главного эксперта Федеральной комиссии по санитарно-гигиеническому нормированию "Лабораторно-инструментальное дело и метрологическое обеспечение" и методбюро п/секции "Промышленно-санитарная химия" Проблемной комиссии "Научные основы гигиены труда и профпатологии".

Ответственные исполнители: Г. А. Дьякова, C. И. Муравьева

Исполнители: Г. А. Дьякова, Н. С. Горячев. Л. Г. Макеева, Г. В. Муравьева, Е. М. Малинина, Е. В. Грыжина, Е. Н. Грицун.

УТВЕРЖДЕНО

И. о. Председателя Госкомсанэпиднадзора

России - заместителем Главного

государственного санитарного врача

Российской Федерации

Г.Г. Онищенко

8 июня 1996 г.

МУК 4.1.269-96

Дата введения: с момента утверждения

4.1. МЕТОДЫ КОНТРОЛЯ. ХИМИЧЕСКИЕ ФАКТОРЫ

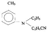
Хроматографическое измерение концентраций n-этил-n, b-цианэтил-м-толуидина в воздухе рабочей зоны

М.м. 188

N-этил-N, b-цианэтил-м-толуидин (ЭЦЭМТ)

ЭЦЭМТ - жидкость, растворяется в этаноле, этилцеллозольве, диметилсульфоксиде; в воде не растворима.

В воздухе находится в виде паров и аэрозоля.

ЭЦЭМТ является гематоксическим ядом, проникает в организм через неповрежденную кожу.

ПДК в воздухе - 1 мг/м3.

Характеристика метода

Методика основана на использовании газожидкостной хроматографии с применением пламенно-ионизационного детектора.

Отбор проб проводится с концентрированием на фильтры и в этанол.

Нижний предел измерения в хроматографируемом объеме - 0,01 мкг (при работе электрометра - 4 ´ 109).

Нижний предел измерения в воздухе - 0,5 мг/м3 (при отборе 10 л воздуха).

Диапазон измеряемых концентраций - от 0,5 до 5 мг/м3.

Измерению не мешают N-этил-м-толуидин, 3,4-дихлорнитробензол и акрилонитрил.

Суммарная погрешность измерения не превышает ± 14 %.

Время выполнения анализа, включая отбор проб, - около 40 мин.

Приборы, аппаратура, посуда

Хроматограф с пламенно-ионизационным детектором

 

Колонка стеклянная длиной 1 м и диаметром 3 мм

 

Аспирационное устройство

 

Поглотительные приборы с пористой пластинкой № 2

 

Микрошприцы, вместимостью 1 мкл

ТУ 2.833.106

Секундомер

ГОСТ 5072-79

Водяная баня

 

Колбы мерные, вместимостью 25 мл

ГОСТ 1770-74

Пробирки градуированные, с пришлифованными пробками, высотой 100 мм и внутренним диаметром 17 мм

ГОСТ 10515-75

Пипетки, вместимостью 1,5 мл

ГОСТ 20292-74

Лупа измерительная

 

Реактивы, растворы, материалы

N-этил-N, b-цианэтил-м-толуидин, х. ч.

 

Этанол, 96 %

ГОСТ 5963-67

Стандартный раствор ЭЦЭМТ № 1 готовят в мерной колбе, вместимостью 25 мл, в которую вносят 10 мл этанола, взвешивают, добавляют 1-2 капли ЭЦЭМТ и вторично взвешивают. Доводят объем до метки этанолом и рассчитывают количество ЭЦЭМТ в 1 мл. Раствор устойчив в течение 10 суток.

Стандартный раствор ЭЦЭМТ № 2 с содержанием вещества 100 мкл/мл готовят соответствующим разбавлением стандартного раствора № 1 этанолом. Раствор устойчив 10 суток.

Хроматон N-AW-DMCS, 0,16-0,20 мм, пропитанный 5 % SE-30

 

Аргон газообразный, в баллонах с редуктором

ГОСТ 10151-79

Водород технический, в баллонах с редуктором

ГОСТ 3022-80

Воздух сжатый

ГОСТ 11882-73

Фильтры бумажные

 

Отбор пробы воздуха

Воздух с объемным расходом 1 л/мин аспирируют через последовательно соединенные фильтр и поглотительный прибор, содержащий 5 мл этанола, при охлаждении смесью измельченного льда с хлоридом натрия. Для измерения 1/2 ПДК достаточно отобрать 10 л воздуха. Срок хранения проб - 10 суток в пробирках с пришлифованными пробками или в бюксах.

Подготовка к измерению

Хроматографическую колонку заполняют готовой насадкой и кондиционируют при температуре 250 °С до прекращения дрейфа нулевой линии. Общую подготовку прибора проводят согласно инструкции.

Градуировочные растворы с содержанием ЭЦЭМТ - от 5 до 100 мкг/мл готовят соответствующим разбавлением стандартного раствора № 2 этанолом, согласно таблице. Градуировочные растворы устойчивы в течение 10 суток в пробирках с пришлифованными пробками.

Таблица

Шкала градуировочных растворов

№ стандарта

Стандартный р-р ЭЦЭМТ № 2, 100 мкг/мл

Этанол, мл

Содержание, мкг/мл

1

0

5,0

0

2

0,5

4,5

10

3

1,5

3,5

30

4

2,5

2,5

50

5

3,5

1,5

70

6

5,0

0

100

Вводят 1 мкл каждого градуировочного раствора в хроматограф через самоуплотняющуюся мембрану, проводят 5 параллельных определения для каждой концентрации. Строят градуировочную кривую, выражающую зависимость высоты пика (мм) от количества компонента (мкг).

Условия хроматографирования градуировочных смесей и анализируемых проб:

температура термостата колонки

150 °С;

температура испарителя

150 °С;

скорость потока водорода

35 мл/мин;

скорость потока газа-носителя

35 мл/мин;

скорость потока воздуха

350 мл/мин;

скорость движения диаграммной ленты

200 мм/ч;

время удерживания этанола

0 мин 45 с;

N-этил-м-толуидина

4 мин 25 с;

3,4-дихлорнитробензола

4 мин 55 с;

N-этил-N, b-цианэтил-м-толуидина

5 мин 42 с.

Проведение измерения

Пробу из фильтра экстрагируют этанолом 3 раза порциями по 5 мл, экстракт соединяют с пробой из поглотительного прибора, сливают в мерную пробирку и с помощью ротационного вакуум-насоса или на водяной бане при температуре 50-55 °С упаривают до объема 0,5 мл. С помощью микрошприца 1 мкл пробы вводится в хроматограф через самоуплотняющуюся мембрану испарителя. Затем записывают хроматограмму и измеряют высоту пика и по градуировочному графику находят количество определяемого компонента.

Расчет концентрации

Концентрацию ЭЦЭМТ (С) в воздухе (мг/м3) вычисляют по формуле:

, где

a - количество ЭЦЭМТ, найденное в анализируемом объеме пробы, мкг;

в - общий объем пробы, мл;

б - объем пробы, взятой для анализа, мл;

V - объем воздуха, отобранного для анализа и приведенного к стандартным условиям, л (см. приложение 1).

Методические указания разработаны Харьковским НИИ ГТ и ПЗ.

Приложение 1

Приведение объема воздуха к стандартным условиям (температуре 20 °С и давление 760 мм рт. ст.)

Приведение объема воздуха к стандартным условиям проводят по формуле:

, где

Vt - объем воздуха, отобранного для анализа, л;

Р - барометрическое давление, мм рт. ст. (760 мм рт. ст. = 101,33 кПа);

t° - температура воздуха в месте отбора пробы, °С.

Для удобства расчета Vст следует пользоваться таблицей коэффициентов (приложение 2). Для приведения объема воздуха к температуре 20 °С и давлению 760 мм рт. ст. (101,33 кПа) надо умножить Vt на соответствующий коэффициент.

Приложение 2

Коэффициент К для приведения объема воздуха к стандартным условиям

Давление Р, кПа/мм рт. ст.

°С

730

734

738

742

746

750

754

758

760

764

-30

1,1582

1,1646

1,1709

1,1772

1,1836

1,1899

1,1963

1,2026

1,2058

1,2122

-26

1,1393

1,1456

1,1519

1,1581

1,1644

1,1705

1,1768

1,1831

1,1862

1,1925

-22

1,1212

1,1274

1,1336

1,1396

1,1458

1,1519

1,1581

1,1643

1,1673

1,1735

-18

1,1036

1,1097

1,1158

1,1218

1,1278

1,1338

1,1399

1,1400

1,1490

1,1551

-14

1,0866

1,0926

1,0986

1,1045

1,1105

1,1164

1,1224

1,1284

1,1313

1,1373

-10

1,0701

1,0760

1,0819

1,0877

1,0986

1,0994

1,1053

1,1112

1,1141

1,1200

-6

1,0540

1,0599

1,0657

1,0714

1,0772

1,0829

1,0887

1,0945

1,0974

1,1032

-2

1,0385

1,0442

1,0499

1,0556

1,0613

1,0669

1,0726

1,0784

1,0812

1,0869

0

1,0309

1,0366

1,0423

1,0477

1,0535

1,0591

1,0648

1,0705

1,0733

1,0789

+2

1,0234

1,0291

1,0347

1,0402

1,0459

1,0514

1,0571

1,0627

1,0655

1,0712

+6

1,0087

1,0143

1,0198

1,0253

1,0309

1,0363

1,0419

1,0475

1,0502

1,0557

+10

0,9944

0,9999

1,0054

1,0108

1,0162

1,0216

1,0272

1,0326

1,0353

1,0407

+14

0,9806

0,9860

0,9914

0,9967

1,0027

1,0074

1,0128

1,0183

1,0209

1,0263

+18

0,9671

0,9725

0,9778

0,9880

0,9884

0,9936

0,9989

1,0043

1,0069

1,0122

+20

0,9605

0,9658

0,9711

0,9783

0,9816

0,9868

0,9921

0,9974

1,0000

1,0053

+22

0,9539

0,9592

0,9645

0,9696

0,9749

0,9800

0,9853

0,9906

0,9932

0,9985

+24

0,9475

0,9527

0,9579

0,9631

0,9683

0,9735

0,9787

0,9839

0,9865

0,9917

+26

0,9412

0,9464

0,9516

0,9566

0,9618

0,9669

0,9721

0,9773

0,9799

0,9851

+28

0,9349

0,9401

0,9453

0,9503

0,9655

0,9605

0,9657

0,9708

0,9734

0,9785

+30

0,9288

0,9339

0,9891

0,9440

0,9432

0,9542

0,9594

0,9645

0,9670

0,9723

+34

0,9167

0,9218

0,9268

0,9318

0,9368

0,9418

0,9468

0,9519

0,9544

0,9595

+38

0,9049

0,9099

0,9149

0,9198

0,9248

0,9297

0,9347

0,9397

0,9421

0,9471

 

 




ГОСТЫ, СТРОИТЕЛЬНЫЕ и ТЕХНИЧЕСКИЕ НОРМАТИВЫ.
Некоммерческая онлайн система, содержащая все Российские Госты, национальные Стандарты и нормативы.
В Системе содержится более 150000 файлов нормативно-технической документации, действующей на территории РФ.
Система предназначена для широкого круга инженерно-технических специалистов.

Рейтинг@Mail.ru Яндекс цитирования

Copyright © www.gostrf.com, 2008 - 2026