Крупнейшая бесплатная информационно-справочная система онлайн доступа к полному собранию технических нормативно-правовых актов РФ. Огромная база технических нормативов (более 150 тысяч документов) и полное собрание национальных стандартов, аутентичное официальной базе Госстандарта. GOSTRF.com - это более 1 Терабайта бесплатной технической информации для всех пользователей интернета. Все электронные копии представленных здесь документов могут распространяться без каких-либо ограничений. Поощряется распространение информации с этого сайта на любых других ресурсах. Каждый человек имеет право на неограниченный доступ к этим документам! Каждый человек имеет право на знание требований, изложенных в данных нормативно-правовых актах!

  


 

Государственная система санитарно-эпидемиологического нормирования Российской Федерации

4.1. МЕТОДЫ КОНТРОЛЯ. ХИМИЧЕСКИЕ ФАКТОРЫ

Измерение концентраций аденин сульфата и этадена методом высокоэффективной жидкостной хроматографии в воздухе рабочей зоны

МУК 4.1.0.344-96

Минздрав России

Москва · 1999

1. Методические указания разработаны с целью обеспечения контроля соответствия фактических концентраций вредных веществ их предельно допустимым концентрациям (ПДК) и ориентировочно безопасным уровням воздействия (ОБУВ) - санитарно-гигиеническим нормативам и являются обязательными при осуществлении санитарного контроля.

2. Методические указания по измерению концентраций вредных веществ в воздухе рабочей зоны (выпуск 32) утверждены и. о. Председателя Госкомсанэпиднадзора России - заместителем Главного государственного санитарного врача Российской Федерации 8 июня 1996 г.

3. Введены впервые.

4. Включенные в данный выпуск методики контроля разработаны и подготовлены в соответствии с требованиями ГОСТа 12.1.005-88 ССБТ «Воздух рабочей зоны. Общие санитарно-гигиенические требования», ГОСТа 12.1.016-79 ССБТ «Воздух рабочей зоны. Требования к методикам измерения концентраций вредных веществ», ГОСТа Р 1.5-92 п. 7.3, ГОСТа 8.101-90 «Государственная система обеспечения единства измерений. Методики выполнения измерений». Методические указания одобрены комиссией по государственному санитарно-эпидемиологическому нормированию Госкомсанэпиднадзора России и Проблемной комиссией «Научные основы гигиены труда и профпатологии».

Методические указания по измерению концентраций вредных веществ в воздухе рабочей зоны (выпуск 32) предназначены для центров Госсанэпиднадзора, санитарных лабораторий промышленных предприятий при осуществлении контроля за содержанием вредных веществ в воздухе рабочей зоны, а также заинтересованных министерств и ведомств.

Ответственный исполнитель: Г.А. Дьякова

Исполнители: Г.А. Дьякова, Л.Г. Макеева, Е.М. Малинина, С.М. Попова, Н.С. Горячев, М.И. Аржанова, Т.В. Рязанцева, Е.Н. Грицун.

УТВЕРЖДЕНО

И. о. Председателя Госкомсанэпиднадзора

России - заместителем Главного

государственного санитарного врача

Российской Федерации

Г.Г. Онищенко

8 июня 1996 г.

МУК 4.1.0.344-96

Дата введения: с момента утверждения

4.1. МЕТОДЫ КОНТРОЛЯ. ХИМИЧЕСКИЕ ФАКТОРЫ

Измерение концентраций аденин сульфата и этадена методом высокоэффективной жидкостной хроматографии в воздухе рабочей зоны

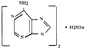
                         М. м. 368,34

Аденин сульфат - кристаллическое вещество белого цвета. Хорошо растворим в воде. Тпл. - 285 °С (с разл.).

         М. м. 293,13

Этаден - кристаллическое вещество белого цвета. Хорошо растворим в воде. Тпл. - 240 - 243 °С (с разл.).

В воздухе находятся в виде аэрозолей.

Обладают общетоксическим действием.

ПДК в воздухе - 3,0 мг/м3.

Характеристика метода

Метод основан на использовании высокоэффективной жидкостной хроматографии с применением УФ-детектора.

Отбор проб производится с концентрированием на фильтр.

Нижний предел измерения аденин сульфата и этадена в хроматографируемом объеме пробы (10 мкл) - 0,1 мкг.

Нижний предел измерения аденин сульфата и этадена в воздухе - 0,5 мг/м3 (при отборе 100 л воздуха).

Диапазон измеряемых концентраций аденин сульфата и этадена в воздухе от 0,5 до 10,0 мг/м3.

Суммарная погрешность измерения не превышает ±20 %.

Время выполнения измерения, включая отбор проб - 50 мин.

Приборы, аппаратура, посуда

Микроколоночный жидкостной хроматограф

«Милихром» или другие модели с УФ-детектором

Хроматографическая колонка длиной 120 мм,

внутренним диаметром 2 мм, заполненная сорбентом

«Силасорб SPHC18» с размером зерен 6,0 мкм (ЧСФР)

Электроаспиратор ЭА-1                                                                        ОСТ 95.10052-84

Фильтродержатель

Колбы мерные, вместимостью 100 мл                                                 ГОСТ 1770-74

Пипетки, вместимостью 1,0, 10,0 мл                                                    ГОСТ 20292-74

Пробирки с пришлифованными пробками,

вместимостью 10 мл                                                                              ГОСТ 10515-75

Реактивы, растворы, материалы

Аденин сульфат, фармакопейный

Этаден, фармакопейный

Спирт метиловый, х. ч.                                                                          ГОСТ 6995-77

Элюент: вода - метиловый спирт (25 : 1)

Стандартный раствор с концентрацией аденин сульфата и этадена по 0,200 мг/мл каждого готовят растворением смеси 0,020 г аденина сульфата и 0,020 г этадена в воде в мерной колбе, вместимостью 100 мл.

Раствор устойчив при хранении в холодильнике 1 неделю.

Фильтры АФА-ВП-10                                                                            ТУ 85-743-80

Отбор проб воздуха

Воздух с объемным расходом 5 л/мин аспирируют через фильтр АФА-ВП-10. Для определения 0,5 ПДК достаточно отобрать 34 л воздуха. Пробы можно хранить в закрытых сосудах в холодильнике в течение месяца.

Подготовка к измерению

Жидкостный хроматограф готовят к работе согласно приложенной к нему инструкции. Для работы используют хроматографическую колонку промышленного изготовления.

Из стандартного раствора готовят соответствующим разбавлением водой градуировочные растворы с концентрациями аденин сульфата и этадена от 0,01 до 0,20 мг/мл (готовят не менее 6 растворов). Для построения градуировочного графика из каждого градуировочного раствора в колонку жидкостного хроматографа вводят по 10 мкл, что будет соответствовать от 0,1 до 2,0 мкг аденин сульфата и этадена.

Условия хроматографирования градуировочных смесей и анализируемых проб:

Температура термостата колонки                                                         +20 °С

Скорость подачи элюента (вода - метиловый спирт) (25 : 1)            200 мкл/мин

Длина волны УФ-детектора для аденин сульфата                              264 нм

для этадена                                                                                              284 нм

Скорость движения диаграм. ленты                                                     6 мм/мин

Чувствительность детектора                                                                 0,4 - 0,8

Диапазон измерения самописца                                                           100 мВ

Максим. объем вводимой пробы                                                          50 мкл

Время удерживания аденин сульфата                                                   14 мин

этадена                                                                                                     19 мин

Элюирующий объем аденин сульфата                                                 2800 мкл

этадена                                                                                                     3800 мкл

Эффект. колонки по аденин сульфату                                                   1440 тт

по этадену                                                                                               1130 тт

На полученной хроматограмме измеряют площади пиков, относящихся к аденин сульфату и этадену, и строят градуировочные кривые, выражающие соответственно зависимость площади пиков (мм2) от содержания аденин сульфата и этадена в хроматографируемом объеме пробы, (мкг).

Построение градуировочных графиков необходимо проводить не менее, чем по 6 точкам, выполняя по 5 параллельных измерений для каждого инжектируемого объема. Проверку градуировочных графиков следует проводить при изменении условий анализа, но не реже 1 раза в месяц.

Проведение измерения

Фильтр с отобранной пробой помещают в пробирку с пришлифованной пробкой, добавляют 5 мл воды и оставляют на 15 минут при комнатной температуре и периодическом перемешивании. Степень десорбции с фильтра - 97 %.

Хроматографирование анализируемого раствора проводят в тех же условиях и с тем же элюентом, что и при построении градуировочных графиков.

Количественное определение содержания аденин сульфата и этадена в хроматографируемом объеме проводят по предварительно построенным градуировочным графикам.

Расчет концентрации

Концентрацию аденин сульфата и этадена (С) в воздухе (мг/м3) вычисляют по формуле:

а - содержание аденин сульфата или этадена в хроматографируемом объеме пробы, найденное по соответствующему градуировочному графику, мкг;

б - объем пробы, взятой на хроматографирование, мл;

в - общий объем анализируемого раствора, мл;

V - объем воздуха, отобранного для анализа и приведенного к стандартным условиям, л (см. приложение 1).

Методические указания разработаны НИО «Экотокс», г. Москва.

Приложение 1

Приведение объема воздуха к стандартным условиям (температура 20 °С и давление 760 мм рт. ст.) проводят по формуле:

Vt - объем воздуха, отобранный для анализа, л;

Р - барометрическое давление, кПа (101,33 кПа = 760 мм рт. ст.);

t - температура воздуха в месте отбора пробы, °С.

Для удобства расчета V20 следует пользоваться таблицей коэффициентов (приложение 2). Для приведения воздуха к стандартным условиям надо умножить Vt на соответствующий коэффициент.

Приложение 2

Коэффициенты для приведения объема воздуха к стандартным условиям

°С

Давление Р, кПа/мм рт. ст.

97,33/730

97,86/734

98,4/738

98,93/742

99,46/746

100/750

100,53/754

101,06/758

101,33/760

101,86/764

-30

1,1582

1,1646

1,1709

1,1772

1,1836

1,1899

1,1963

1,2026

1,2038

1,2122

-26

1,1393

1,1456

1,1519

1,1581

1,1644

1,1705

1,1768

1,1831

1,1862

1,1925

-22

1,1212

1,1274

1,1336

1,1396

1,1458

1,1519

1,1581

1,1643

1,1673

1,1735

-18

1,1036

1,1097

1,1158

1,1218

1,1278

1,1338

1,1399

1,1460

1,1490

1,1551

-14

1,0866

1,0926

1,0986

1,1045

1,1105

1,1164

1,1224

1,1284

1,1313

1,1373

-10

1,0701

1,0760

1,0819

1,0877

1,0986

1,0994

1,1053

1,1112

1,1141

1,1200

-6

1,0540

1,0599

1,0657

1,0714

1,0772

1,0829

1,0887

1,0945

1,0974

1,1032

-2

1,0385

1,0442

1,0499

1,0556

1,0613

1,0669

1,0726

1,0784

1,0812

1,0869

0

1,0309

1,0366

1,0423

1,0477

1,0535

1,0591

1,0648

1,0705

1,0733

1,0789

+2

1,0234

1,0291

1,0347

1,0402

1,0459

1,0514

1,0571

1,0627

1,0655

1,0712

+6

1,0087

1,0143

1,0198

1,0253

1,0309

1,0363

1,0419

1,0475

1,0502

1,0557

+10

0,9944

0,9999

1,0054

1,0108

1,0162

1,0216

1,0272

1,0326

1,0353

1,0407

+14

0,9806

0,9860

0,9914

0,9967

1,0027

1,0074

1,0128

1,0183

1,0209

1,0263

+18

0,9671

0,9725

0,9778

0,9830

0,9884

0,9936

0,9989

1,0043

1,0069

1,0122

+20

0,9605

0,9658

0,9711

0,9783

0,9816

0,9868

0,9921

0,9974

1,0000

1,0053

+22

0,9539

0,9592

0,9645

0,9696

0,9749

0,9800

0,9853

0,9906

0,9932

0,9985

+24

0,9475

0,9527

0,9579

0,9631

0,9683

0,9735

0,9787

0,9839

0,9865

0,9917

+26

0,9412

0,9464

0,9516

0,9566

0,9618

0,9669

0,9721

0,9773

0,9799

0,9851

+28

0,9349

0,9401

0,9453

0,9503

0,9555

0,9605

0,9657

0,9708

0,9734

0,9785

+30

0,9288

0,9339

0,9391

0,9440

0,9432

0,9542

0,9594

0,9645

0,9670

0,9723

+34

0,9167

0,9218

0,9268

0,9318

0,9368

0,9418

0,9468

0,9519

0,9544

0,9595

+38

0,9049

0,9099

0,9149

0,9199

0,9248

0,9297

0,9347

0,9397

0,9421

0,9471

Приложение 3

Вещества, определяемые по ранее утвержденным методическим указаниям по измерению концентраций вредных веществ в воздухе рабочей зоны

Определяемое вещество

Ссылка на источник

Аммония полифосфат

Методические указания на фотометрическое определение аммиака в воздухе, в. 1 - 5. - М., 1981. - С. 58

Алюминия сульфат

Методические указания на фотометрическое определение алюминия, окиси алюминия и алюмоникелевого катализатора в воздухе, в. 1 - 5. - М., 1981. - С. 3

2,5-бифенилилендиацетат

Методические указания на гравиметрическое определение пыли в воздухе рабочей зоны и в системах вентиляционных установок, в. 1 - 5. - М., 1981. - С. 235

Виндидат

Методические указания по измерению концентраций сульфата калия, калийной магнезии и хлорида калия в воздухе рабочей зоны методом пламенной фотометрии, в. 22. - М., 1988. - С. 182

Диэтилентриамин

Методические указания по фотометрическому измерению концентраций третичных жирных аминов и аминоспиртов в воздухе рабочей зоны, в. 19. - М., 1984. - С. 137

Дубитель хромовый

Методические указания на фотометрическое определение окиси хрома в воздухе рабочей зоны, в. 14. - М., 1979. - С. 108

Дуниты

Методические указания на гравиметрическое определение пыли в воздухе рабочей зоны и в системах вентиляционных установок, в. 1 - 5, - М., 1981, - С. 235

Кобазол

Методические указания по фотометрическому определению кобальта, в. 1 - 5. - М., 1981. - С. 14

Кремния карбид

Методические указания на гравиметрическое определение пыли в воздухе рабочей зоны и в системах вентиляционных установок, в. 1 - 5. - М., 1981. - С. 235

Полибутилентерефталат

Методические указания на гравиметрическое определение пыли в воздухе рабочей зоны и в системах вентиляционных установок, в. 1 - 5. - М., 1981. - С. 235

Полимер кубовых остатков ректификации стирола (термополимер «КОРС»)

Методические указания на гравиметрическое определение пыли в воздухе рабочей зоны и в системах вентиляционных установок, в. 1 - 5. - М., 1981. - С. 235

В-фенилэтиламидхлоруксусная кислота (контроль по бензолу)

Методические указания по газохроматографическому измерению ацетона, дихлорметана, дихлорэтана, трихлорэтилена, бензола в воздухе рабочей зоны, в. 9. - М., 1986. - С. 23

Фториды редкоземельных металлов

Методические указания по ионометрическому измерению концентраций солей фтористоводородной кислоты, в. 21. - М., 1986. - С. 269

Хлопковая мука

Методические указания по фотометрическому определению БВК в воздухе рабочей зоны, в. 18. - М., 1983. - С. 139

Целлюлоза микрокристаллическая

Методические указания на гравиметрическое определение пыли в воздухе рабочей зоны и в системах вентиляционных установок, в. 1 - 5. - М., 1981. - С. 235

Приложение 4

Рис. 1

Ловушка-концентратор. Общий вид

Рис. 2

Ловушка-концентратор

 




ГОСТЫ, СТРОИТЕЛЬНЫЕ и ТЕХНИЧЕСКИЕ НОРМАТИВЫ.
Некоммерческая онлайн система, содержащая все Российские Госты, национальные Стандарты и нормативы.
В Системе содержится более 150000 файлов нормативно-технической документации, действующей на территории РФ.
Система предназначена для широкого круга инженерно-технических специалистов.

Рейтинг@Mail.ru Яндекс цитирования

Copyright © www.gostrf.com, 2008 - 2026