Крупнейшая бесплатная информационно-справочная система онлайн доступа к полному собранию технических нормативно-правовых актов РФ. Огромная база технических нормативов (более 150 тысяч документов) и полное собрание национальных стандартов, аутентичное официальной базе Госстандарта. GOSTRF.com - это более 1 Терабайта бесплатной технической информации для всех пользователей интернета. Все электронные копии представленных здесь документов могут распространяться без каких-либо ограничений. Поощряется распространение информации с этого сайта на любых других ресурсах. Каждый человек имеет право на неограниченный доступ к этим документам! Каждый человек имеет право на знание требований, изложенных в данных нормативно-правовых актах!

  


 

Государственная система санитарно-эпидемиологического нормирования Российской Федерации

4.1. МЕТОДЫ КОНТРОЛЯ. ХИМИЧЕСКИЕ ФАКТОРЫ

Измерение концентраций дисперсных полиэфирных моноазокрасителей: желто-коричневого 2Ж (ДЖКП-2Ж), темно-синего 3 (ДТСП-3), красного Ж (ДКП-Ж) методом тонкослойной хроматографии в воздухе рабочей зоны

МУК 4.1.0.366-96

Минздрав России

Москва · 1999

1. Методические указания разработаны с целью обеспечения контроля соответствия фактических концентраций вредных веществ их предельно допустимым концентрациям (ПДК) и ориентировочно безопасным уровням воздействия (ОБУВ) - санитарно-гигиеническим нормативам и являются обязательными при осуществлении санитарного контроля.

2. Методические указания по измерению концентраций вредных веществ в воздухе рабочей зоны (выпуск 32) утверждены и. о. Председателя Госкомсанэпиднадзора России - заместителем Главного государственного санитарного врача Российской Федерации 8 июня 1996 г.

3. Введены впервые.

4. Включенные в данный выпуск методики контроля разработаны и подготовлены в соответствии с требованиями ГОСТа 12.1.005-88 ССБТ «Воздух рабочей зоны. Общие санитарно-гигиенические требования», ГОСТа 12.1.016-79 ССБТ «Воздух рабочей зоны. Требования к методикам измерения концентраций вредных веществ», ГОСТа Р 1.5-92 п. 7.3, ГОСТа 8.101-90 «Государственная система обеспечения единства измерений. Методики выполнения измерений». Методические указания одобрены комиссией по государственному санитарно-эпидемиологическому нормированию Госкомсанэпиднадзора России и Проблемной комиссией «Научные основы гигиены труда и профпатологии».

Методические указания по измерению концентраций вредных веществ в воздухе рабочей зоны (выпуск 32) предназначены для центров Госсанэпиднадзора, санитарных лабораторий промышленных предприятий при осуществлении контроля за содержанием вредных веществ в воздухе рабочей зоны, а также заинтересованных министерств и ведомств.

Ответственный исполнитель: Г.А. Дьякова

Исполнители: Г.А. Дьякова, Л.Г. Макеева, Е.М. Малинина, С.М. Попова, Н.С. Горячев, М.И. Аржанова, Т.В. Рязанцева, Е.Н. Грицун.

УТВЕРЖДЕНО

И. о. Председателя Госкомсанэпиднадзора

России - заместителем Главного

государственного санитарного врача

Российской Федерации

Г.Г. Онищенко

8 июня 1996 г.

МУК 4.1.0.366-96

Дата введения: с момента утверждения

4.1. МЕТОДЫ КОНТРОЛЯ. ХИМИЧЕСКИЕ ФАКТОРЫ

Измерение концентраций дисперсных полиэфирных моноазокрасителей: желто-коричневого 2Ж (ДЖКП-2Ж), темно-синего 3 (ДТСП-3), красного Ж (ДКП-Ж) методом тонкослойной хроматографии в воздухе рабочей зоны

       М. м. 450,0

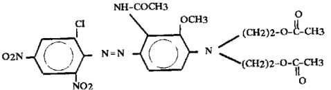
(ДЖКП-2Ж; 2,6-дихлор-4-нитро-4¢N-ацетоксиэтил-N-цианэтиламиноазобензол). ПДК в воздухе - 0,5 мг/м3.

                                                                                               М. м. 570,5

(ДТСП-3; 2,4-динитро-6-хлор-2¢-ацетаамино-3¢-метокси-4¢ N-диацетоксиэтиламиноазобензол). ПДК в воздухе - 1,0 мг/м3.

(ДКП-Ж; 4-нитро-2¢-ацетамино-4¢N¢-пропионилоксимэтил-N, b-ацетоксиэтиламиноазобензо. ПДК в воздухе - 1,0 мг/м3.

ДЖКП-2Ж, ДТСП-3, ДКП-Ж - мелкодисперсные порошки, разлагаются при Т выше 100 °С. Не растворимы в воде, частично растворимы в концентрированных минеральных кислотах, хорошо - в разбавленных, диметилсульфоксиде, этиленгликоле, ацетоне, спиртово-кислотной смеси.

В воздухе находятся в виде аэрозоля.

ДЖКП-2Ж, ДТСП-3, ДКП-Ж относятся к малотоксичным и малоопасным соединениям при однократном воздействии (4-й класс опасности).

Характеристика метода

Метод основан на хроматографировании ДЖКП-2Ж, ДТСП-3, ДКП-Ж в тонком слое силикагеля на пластинках «Силуфол УФ-254» в системе бензол - ацетон (5 : 2).

Для количественной оценки хроматограмм использован спектрометрический метод.

Отбор проб проводят с концентрированием на фильтр.

Нижний предел измерения - 1 мкг в анализируемом объеме.

Нижний предел измерения в воздухе - 0,25 мг/м3 (при отборе 80 л воздуха).

Диапазон измеряемых концентраций в воздухе от 0,25 до 5 мг/м3.

Суммарная погрешность измерения не превышает ±11 %.

Время выполнения анализа, включая отбор проб - 1,5 ч.

Приборы, аппаратура, посуда

Спектрофотометр СФ-26

Аспирационное устройство

Фильтродержатель

Хроматографические камеры                                                                ГОСТ 20565-75

Микрошприц МШ-10                                                                             ГОСТ 8043-75

Стаканы химические, вместимостью 50 мл                                         ГОСТ 10394-72

Колбы мерные, вместимостью 25, 50, 100 мл                                     ГОСТ 1770-74

Пипетки, вместимостью 0,1; 1,0; 2,0; 5,0 мл                                        ГОСТ 20292-74

Пробирки                                                                                                 ГОСТ 10515-69

Пластины хроматографические «Силуфол УФ-254»,

размером 15 ´ 15 см (ЧСФР)

Реактивы, растворы, материалы

Бензол, х. ч.                                                                                             ГОСТ 5955-68

Хлороформ, х. ч.                                                                                     ГОСТ 20015-74

Ацетон, ч. д. а.                                                                                        ГОСТ 2603-79

Спирт этиловый, 96 %-ный                                                                  ГОСТ 5963-67

Кислота уксусная, х. ч., 50 %-ный раствор                                          ГОСТ 61-75

Кислота соляная, х. ч., концентр.                                                         ГОСТ 1318-67

Растворитель: хлороформ - бензол - ацетон 3 : 2 : 1

Подвижный растворитель: бензол - ацетон 5 : 2

Основной стандартный раствор ДЖКП-2Ж, ДТСП-3, ДКП-Ж с содержанием 20 мг/мл готовят в смеси растворителей хлороформ - бензол - ацетон (3 : 2 : 1) в мерных колбах на 100 мл. Расчет концентраций проводят с учетом процентного содержания основного компонента в выпускной форме.

Рабочие стандартные растворы ДЖКП-2Ж, ДТСП-3, ДКП-Ж с концентрацией 0,1; 0,3; 0,5; 0,8; 1,0 и 2,0 мг/мл готовят в мерных колбах на 25 мл путем соответствующего разбавления основного стандартного раствора смесью растворителей хлороформ - бензол - ацетон. Растворы устойчивы в течение 3-х суток.

Фильтры АФА ВП-20

Отбор проб воздуха

Воздух со скоростью 5 л/мин аспирируют через фильтр АФА-ВП-20, помещенный в фильтродержатель.

Для определения 1/2 ПДК ДЖКП-2Ж следует отобрать 80 л воздуха, для ДТСП-3 и ДКП-Ж - 40 л воздуха. Пробы устойчивы в течение 1 недели.

Подготовка к измерению

На хроматографическую пластинку на расстоянии 15 мм друг от друга наносят стандартные растворы с концентрацией от 0,1 до 2,0 мг/мл по 10 мкл.

Пластину помещают в хроматографическую камеру, в которую за 30 минут наливают подвижный растворитель в таком количестве, чтобы пластина была погружена на 0,5 - 0,8 см. После того, как подвижный растворитель поднимается на 120 мм, пластину извлекают из камеры, отмечают линию фронта растворителя и высушивают на воздухе.

Красители проявляются в виде цветных пятен: ДТСП-3 - сине-фиолетового цвета (Rf = 0,82); ДЖКП-2Ж - желтого цвета (Rf = 0,67); ДКП-Ж - оранжево-красного цвета (Rf = 0,69). Окраска устойчива в течение 3-х суток.

Окрашенные пятна счищают с пластин в пробирки и заливают 1 мл 50 %-ного раствора уксусной кислоты и оставляют на 15 минут. Затем приливают 2 мл этилового спирта, 1 мл концентрированной соляной кислоты и через 20 минут измеряют оптическую плотность при длине волны ДТСП-3 - 580 нм; ДЖКП-2Ж - 425 нм; ДКП-Ж - 490 нм. По полученным данным строят калибровочную кривую зависимости концентрации раствора от оптической плотности.

Проведение измерения

Фильтр с отобранной пробой промывают трижды по 2 мл смесью растворителей хлороформ - бензол - ацетон и упаривают с помощью ротационного испарителя до объема 0,2 мл. Степень десорбции вещества с фильтра для ДТСП-3 - 98,3 %; ДЖКП-2Ж - 98,5 %; ДКП-Ж - 97,5 %. Пробу в количестве 0,01 мл переносят на пластину «Силуфол УФ-254» и в дальнейшем проводят разделение и количественное определение как было указано выше при построении калибровочного графика.

Расчет концентрации

Концентрации пигментов ДЖКП-2Ж, ДТСП-3 ДКП-Ж (С) в воздухе (мг/м3) вычисляются по формуле:

а - количество ДЖКП-2Ж, ДКП-Ж, ДТСП-3, найденное по калибровочному графику, мкг;

в - общий объем раствора пробы, мл;

б - объем пробы, взятой для анализа, мл;

V - объем воздуха, отобранного для анализа и приведенного к стандартным условиям, л (см. приложение 1).

Методические указания разработаны НИИ ГТиПЗ г Харьков, Украина.

Приложение 1

Приведение объема воздуха к стандартным условиям (температура 20 °С и давление 760 мм рт. ст.) проводят по формуле:

Vt - объем воздуха, отобранный для анализа, л;

Р - барометрическое давление, кПа (101,33 кПа = 760 мм рт. ст.);

t - температура воздуха в месте отбора пробы, °С.

Для удобства расчета V20 следует пользоваться таблицей коэффициентов (приложение 2). Для приведения воздуха к стандартным условиям надо умножить Vt на соответствующий коэффициент.

Приложение 2

Коэффициенты для приведения объема воздуха к стандартным условиям

°С

Давление Р, кПа/мм рт. ст.

97,33/730

97,86/734

98,4/738

98,93/742

99,46/746

100/750

100,53/754

101,06/758

101,33/760

101,86/764

-30

1,1582

1,1646

1,1709

1,1772

1,1836

1,1899

1,1963

1,2026

1,2038

1,2122

-26

1,1393

1,1456

1,1519

1,1581

1,1644

1,1705

1,1768

1,1831

1,1862

1,1925

-22

1,1212

1,1274

1,1336

1,1396

1,1458

1,1519

1,1581

1,1643

1,1673

1,1735

-18

1,1036

1,1097

1,1158

1,1218

1,1278

1,1338

1,1399

1,1460

1,1490

1,1551

-14

1,0866

1,0926

1,0986

1,1045

1,1105

1,1164

1,1224

1,1284

1,1313

1,1373

-10

1,0701

1,0760

1,0819

1,0877

1,0986

1,0994

1,1053

1,1112

1,1141

1,1200

-6

1,0540

1,0599

1,0657

1,0714

1,0772

1,0829

1,0887

1,0945

1,0974

1,1032

-2

1,0385

1,0442

1,0499

1,0556

1,0613

1,0669

1,0726

1,0784

1,0812

1,0869

0

1,0309

1,0366

1,0423

1,0477

1,0535

1,0591

1,0648

1,0705

1,0733

1,0789

+2

1,0234

1,0291

1,0347

1,0402

1,0459

1,0514

1,0571

1,0627

1,0655

1,0712

+6

1,0087

1,0143

1,0198

1,0253

1,0309

1,0363

1,0419

1,0475

1,0502

1,0557

+10

0,9944

0,9999

1,0054

1,0108

1,0162

1,0216

1,0272

1,0326

1,0353

1,0407

+14

0,9806

0,9860

0,9914

0,9967

1,0027

1,0074

1,0128

1,0183

1,0209

1,0263

+18

0,9671

0,9725

0,9778

0,9830

0,9884

0,9936

0,9989

1,0043

1,0069

1,0122

+20

0,9605

0,9658

0,9711

0,9783

0,9816

0,9868

0,9921

0,9974

1,0000

1,0053

+22

0,9539

0,9592

0,9645

0,9696

0,9749

0,9800

0,9853

0,9906

0,9932

0,9985

+24

0,9475

0,9527

0,9579

0,9631

0,9683

0,9735

0,9787

0,9839

0,9865

0,9917

+26

0,9412

0,9464

0,9516

0,9566

0,9618

0,9669

0,9721

0,9773

0,9799

0,9851

+28

0,9349

0,9401

0,9453

0,9503

0,9555

0,9605

0,9657

0,9708

0,9734

0,9785

+30

0,9288

0,9339

0,9391

0,9440

0,9432

0,9542

0,9594

0,9645

0,9670

0,9723

+34

0,9167

0,9218

0,9268

0,9318

0,9368

0,9418

0,9468

0,9519

0,9544

0,9595

+38

0,9049

0,9099

0,9149

0,9199

0,9248

0,9297

0,9347

0,9397

0,9421

0,9471

Приложение 3

Вещества, определяемые по ранее утвержденным методическим указаниям по измерению концентраций вредных веществ в воздухе рабочей зоны

Определяемое вещество

Ссылка на источник

Аммония полифосфат

Методические указания на фотометрическое определение аммиака в воздухе, в. 1 - 5. - М., 1981. - С. 58

Алюминия сульфат

Методические указания на фотометрическое определение алюминия, окиси алюминия и алюмоникелевого катализатора в воздухе, в. 1 - 5. - М., 1981. - С. 3

2,5-бифенилилендиацетат

Методические указания на гравиметрическое определение пыли в воздухе рабочей зоны и в системах вентиляционных установок, в. 1 - 5. - М., 1981. - С. 235

Виндидат

Методические указания по измерению концентраций сульфата калия, калийной магнезии и хлорида калия в воздухе рабочей зоны методом пламенной фотометрии, в. 22. - М., 1988. - С. 182

Диэтилентриамин

Методические указания по фотометрическому измерению концентраций третичных жирных аминов и аминоспиртов в воздухе рабочей зоны, в. 19. - М., 1984. - С. 137

Дубитель хромовый

Методические указания на фотометрическое определение окиси хрома в воздухе рабочей зоны, в. 14. - М., 1979. - С. 108

Дуниты

Методические указания на гравиметрическое определение пыли в воздухе рабочей зоны и в системах вентиляционных установок, в. 1 - 5, - М., 1981, - С. 235

Кобазол

Методические указания по фотометрическому определению кобальта, в. 1 - 5. - М., 1981. - С. 14

Кремния карбид

Методические указания на гравиметрическое определение пыли в воздухе рабочей зоны и в системах вентиляционных установок, в. 1 - 5. - М., 1981. - С. 235

Полибутилентерефталат

Методические указания на гравиметрическое определение пыли в воздухе рабочей зоны и в системах вентиляционных установок, в. 1 - 5. - М., 1981. - С. 235

Полимер кубовых остатков ректификации стирола (термополимер «КОРС»)

Методические указания на гравиметрическое определение пыли в воздухе рабочей зоны и в системах вентиляционных установок, в. 1 - 5. - М., 1981. - С. 235

В-фенилэтиламидхлоруксусная кислота (контроль по бензолу)

Методические указания по газохроматографическому измерению ацетона, дихлорметана, дихлорэтана, трихлорэтилена, бензола в воздухе рабочей зоны, в. 9. - М., 1986. - С. 23

Фториды редкоземельных металлов

Методические указания по ионометрическому измерению концентраций солей фтористоводородной кислоты, в. 21. - М., 1986. - С. 269

Хлопковая мука

Методические указания по фотометрическому определению БВК в воздухе рабочей зоны, в. 18. - М., 1983. - С. 139

Целлюлоза микрокристаллическая

Методические указания на гравиметрическое определение пыли в воздухе рабочей зоны и в системах вентиляционных установок, в. 1 - 5. - М., 1981. - С. 235

Приложение 4

Рис. 1

Ловушка-концентратор. Общий вид

Рис. 2

Ловушка-концентратор

 




ГОСТЫ, СТРОИТЕЛЬНЫЕ и ТЕХНИЧЕСКИЕ НОРМАТИВЫ.
Некоммерческая онлайн система, содержащая все Российские Госты, национальные Стандарты и нормативы.
В Системе содержится более 150000 файлов нормативно-технической документации, действующей на территории РФ.
Система предназначена для широкого круга инженерно-технических специалистов.

Рейтинг@Mail.ru Яндекс цитирования

Copyright © www.gostrf.com, 2008 - 2026