|
|
|
МИНИСТЕРСТВО ТРАНСПОРТА РОССИЙСКОЙ ФЕДЕРАЦИИ
МЕТОДИЧЕСКИЕ
РЕКОМЕНДАЦИИ Москва Методические рекомендации по формированию тарифов и сборов на работы и услуги, выполняемые промышленным железнодорожным транспортом, предназначены для определения экономически обоснованных тарифов на работы и услуги, выполняемые на железнодорожных подъездных путях организациями и предприятиями промышленного железнодорожного транспорта, действующими на правах самостоятельных хозяйственных субъектов, независимо от их юридического статуса. Настоящие Методические рекомендации разработаны творческим коллективом института «Промтрансниипроект» под руководством доктора техн. наук, профессора И. Козлова и канд. техн. наук В.К. Суворова и позволяют рассчитать и обосновать величину тарифа на работы и услуги, выполняемые организациями промышленного железнодорожного транспорта. СОДЕРЖАНИЕ 1. ОБЩИЕ ПОЛОЖЕНИЯ1.1. Настоящие Методические рекомендации предназначены для определения экономически обоснованных тарифов на работы и услуги, выполняемые на железнодорожных подъездных путях организациями и предприятиями промышленного железнодорожного транспорта (ОПЖТ), не входящими в систему федерального железнодорожного транспорта, действующими на правах самостоятельных хозяйствующих субъектов, независимо от их юридического статуса. К работам и услугам, выполняемым ОПЖТ, относятся: подача и уборка вагонов к грузовым фронтам; другие технологические операции, обеспечивающие завоз, вывоз, внутреннюю транспортировку грузов и погрузочно-разгрузочные работы. Под другими технологическими операциями понимаются: холостые пробеги локомотивов, перемещение порожних вагонов, маневровые операции по подбору групп вагонов, расформирование и формирование маршрутов и т.п. Под погрузочно-разгрузочными работами понимаются операции транспортировки грузов со складов или с подвижного состава других видов транспорта в вагоны и из вагонов на склады или в подвижной состав других видов транспорта, операции по транспортировке грузов вне и внутри складов, а также другие технологические операции, связанные с погрузкой и разгрузкой грузов. Методические рекомендации позволят рассчитать и обосновать величину тарифа на работы и услуги, выполняемые организациями промышленного железнодорожного транспорта. 1.2. Формирование экономически обоснованных тарифов и сборов на промышленном железнодорожном транспорте должно способствовать решению следующих основных задач: стимулировать внедрение прогрессивных технологий на промышленном железнодорожном транспорте; обеспечить рентабельную работу организаций и предприятий промышленного железнодорожного транспорта; повысить конкурентоспособность продукции отраслей, пользующихся услугами промышленного железнодорожного транспорта. 1.3. Условия функционирования промышленного железнодорожного транспорта разнообразны. Поэтому рыночное положение ОПЖТ не может быть описано какой-нибудь одной моделью. Однако в любой рыночной ситуации основой для установления тарифа являются издержки предприятия и необходимая прибыль. 1.4. Дифференциация тарифов и сборов на работы и услуги, выполняемые конкретной организацией или предприятием промышленного железнодорожного транспорта, должна отражать следующие основные факторы: конкретные условия выполнения работы или предоставления услуги; используемую технологию выполнения работы или предоставления услуги; качество выполнения работы и предоставления услуги. 1.5. Государственное регулирование тарифов включает в себя следующие основные функции: установление предельного уровня тарифов и сборов, других параметров, предусмотренных соответствующим законодательством; контроль правильности применения тарифов на практике; мониторинг текущих издержек и инвестиционной деятельности ОПЖТ; определение перечня клиентов, подлежащих обязательному обслуживанию. 1.6. Расчетным периодом для определения тарифов является 1 год. Тарифы и сборы пересматриваются по предложению ОПЖТ или исполнительных органов власти субъектов РФ в случае изменения: цен на материалы, запасные части, топливо и другие ресурсы, потребляемые промышленным железнодорожным транспортом для осуществления транспортировки грузов и погрузочно-разгрузочных работ; стоимости услуг, оказываемых ОПЖТ сторонними организациями и предприятиями; уровня оплаты труда (с учетом инфляционных процессов); налоговой политики; норм начислений на оплату труда; объемов транспортировки и погрузочно-разгрузочных работ; технологии выполнения работ с целью повышения качества предоставляемых услуг и др. 1.7. В зависимости от измерителя тарифы подразделяются на сдельные и повременные. Сдельные тарифы представляют собой плату за единицу выполненной для клиента работы. Повременные тарифы представляют собой плату за использование клиентами технических и других средств ОПЖТ за единицу времени. Применение повременных тарифов обусловливается, как правило, неопределенностью количественных характеристик отдельных операций по транспортировке грузов и нестабильностью временных интервалов, в течение которых возможно использование подвижного состава и трудовых ресурсов. Вид тарифа определяется ОПЖТ исходя из условий работы. Тарифы на производство работ и оказание услуг ОПЖТ в общем виде определяются по следующей формуле:
где Т - тариф на работу, услугу; З - затраты ОПЖТ на производство работ (оказание услуг) за определенный период времени; rпр - норматив прибыли; Q - объем работ (услуг) в соответствующих измерителях за тот же период времени. Одна и та же организация (предприятие) промышленного железнодорожного транспорта в один и тот же период выполняет разнообразные работы и услуги множеству клиентов. Тарифы на работы (услуги) устанавливаются дифференцированно по видам работ (оказываемым услугам). Таким образом, приведенная выше формула применяется для каждого вида работ (услуг). Затраты ОПЖТ для определения тарифов рассчитываются отдельно по каждому виду работ (оказываемых услуг). Некоторые виды затрат ОПЖТ непосредственно сопоставляются с выполняемыми работами (зависящие от объемов выполненных работ затраты). Другие же виды затрат (независящие) распределяются между работами лишь с некоторой степенью условности. 1.8. В качестве основного метода определения затрат на период действия тарифов рекомендуется использовать нормативно-статистический метод. В современных условиях (не отличающихся высокой стабильностью как внешних, так и внутренних условий функционирования предприятий) затраты на расчетный период в соответствии с нормативно-статистическим методом можно определить по формуле:
где З - затраты на расчетный период; Зот - затраты в отчетном (базовом) периоде; DЗ - изменения затрат в расчетном периоде в зависимости от объективно действующих факторов. Нормативно-статистический метод учитывает специфику работы каждой конкретной организации ОПЖТ. Эта специфика отражена в величине затрат за отчетный период Зот и в учете предстоящих изменений для конкретного ОПЖТ в расчетном периоде DЗ. В составе DЗ учитываются не только изменения существующих элементов затрат, но также вновь появившиеся элементы. Расчет последних осуществляется по действующим нормативам. Для использования нормативно-статистического метода необходимо на ОПЖТ обеспечить учет (в базовом году) расходов по видам работ (оказываемых услуг). Существующая бухгалтерская отчетность не всегда позволяет непосредственно отнести как зависящие, так и независящие затраты на определенный вид работы или услуги. Поэтому некоторые виды затрат распределяются по видам работ расчетным путем. Одно из важнейших требований к установлению тарифов - обеспечить рентабельную работу организации промышленного железнодорожного транспорта. Это может быть достигнуто за счет соответствующего нормирования прибыли и обоснованного прогнозирования условий выполнения предстоящих работ. В соответствии с п. 5 постановления Правительства РФ от 07.03.95 № 239 и постановлением Правительства РФ от 07.05.2001 № 350 органы исполнительной власти субъектов РФ осуществляют государственное регулирование тарифов на транспортные услуги, оказываемые организациями (предприятиями) промышленного железнодорожного транспорта, в том числе путем установления максимального фиксированного уровня рентабельности работы ОПЖТ. 1.9. При формировании тарифов на работы и услуги промышленного железнодорожного транспорта необходимо учесть множество факторов, отражающих технологию работы, фактическое состояние технических средств, внешнюю экономическую ситуацию и др. Ниже представлена общая схема расчетов при установлении тарифов и сборов на промышленном железнодорожном транспорте. Схема расчетов по формированию тарифов на работы и услуги промышленного железнодорожного транспорта
2. ПРОГНОЗИРОВАНИЕ ОБЪЕМОВ РАБОТ И УСЛУГ ОПЖТ НА РАСЧЕТНЫЙ ПЕРИОД2.1. Прогнозирование объемов
работ и услуг ОПЖТ,
|
|||||||||||||||||||||||||||||||||||||||||||||||||||||||||||||||||||||||||||||||||||||||||||||||||||||||||||||||||||||||||||||||||||||||||||||||||||||||||||||||||||||||||||||||||||||||||||||||||||||||||||||||||||||||||||||||||||||||||||||||||||||||||||||||||||||||||||||||||||||||||||||||||||||||||||||||||||||||||||||||||||||||||||||||||||||||||||||||||||||||||||||||||||||||||||||||||||||||||||||||||||||||||||||||||||||||||||||||||||||||||||||||||||||||||||||||||||||||||||||||||||||||||||||||||||||||||||||||||||||||||||||||||||||||||||||||||||||||||||||||||||||||||||||||||||||||||||||||||||||||||||||||||||||||||||||||||||||||||||||||||||||||||||||||||||||||||||||||||||||||||||||||||||||||||||||||||||||||||||||||||||||||||||||||||||||||||||||||||||||||||||||||||||||||||||||||||||||||||||||||||||||||||||||||||||||||||||||||||||||||||||||||||||||||||||||||||||||||||||||||||||||||||||||||||||||||||||||||||||||||||||||||||||||||||||||||||||||||||||||||||||||||||||||||||||||||||||||||||||||||
|
п/п |
Объемы и направления транспортировки |
Требования клиентов |
Количество переработок вагонов на ОПЖТ |
|||||
|
Q |
jн |
jк |
p |
N |
|
|
Nпер |
|
|
1 |
2 |
3 |
4 |
5 |
6 |
7 |
8 |
9 |
|
1 |
|
|
|
|
|
|
|
|
|
2 |
|
|
|
|
|
|
|
|
|
i |
|
|
|
|
|
|
|
|
|
… |
|
|
|
|
|
|
|
|
|
т |
|
|
|
|
|
|
|
|
Условные обозначения:
Q - общий объем транспортировки на расчетный период, в тоннах;
jн - начальный пункт транспортировки;
jк - конечный пункт транспортировки;
р - тип вагона;
N - количество перевозимых вагонов с грузом (расчетная величина);
- максимальная
величина одновременной подачи вагонов клиенту;
- максимальный
интервал между очередными подачами вагонов;
Nпер - количество переработок вагонов на ОПЖТ (количество маневровых операций, приходящихся на один вагон).
Дополнительные, по отношению к перечисленным, требования грузовладельцев относительно регулярности, сохранности и безопасности транспортировки потребуют дополнительных затрат промышленного железнодорожного транспорта, которые также учитываются при определении тарифов.
Однако затраты, связанные с дополнительными требованиями грузовладельцев, не должны включаться в основной тариф на транспортные услуги. Эти требования можно рассматривать как оказание дополнительных услуг и их оплата осуществляется по отдельным дополнительным тарифам.
При прогнозировании объемов погрузочно-разгрузочных работ определяющее значение имеют параметры погрузочно-разгрузочных фронтов, так как именно с погрузочно-разгрузочным фронтом идентифицируются и средства механизации и схема выполнения работ. Поэтому прогнозирование объемов погрузочно-разгрузочных работ Q должно осуществляться по пунктам погрузки-выгрузки. Номер пункта погрузки-выгрузки обозначен через i. Информация о расположении пунктов погрузки-выгрузки имеется в техническом паспорте ОПЖТ. Характеристики устройств и средств механизации погрузочно-разгрузочных работ для каждого пункта также приводятся в техническом паспорте.
Номенклатура грузов, с которыми производятся грузовые операции, оказывает решающее влияние и на способы выполнения этих операций, и в конечном итоге на их стоимость. Для прогнозирования объемов погрузочно-разгрузочных работ обычно применяется своя номенклатура грузов. Род груза при прогнозировании погрузочно-разгрузочных работ обозначен через p. В Единых нормах выработки и времени на вагонные, автотранспортные и складские погрузочно-разгрузочные работы (в дальнейшем - Единые нормы) используется следующая номенклатура грузов:
1. Тарно-упаковочные и штучные грузы;
2. Мясные грузы;
3. Тяжеловесные грузы;
4. Металлы и металлические изделия;
5. Лесоматериалы;
6. Огнеупорные грузы;
7. Зерновые грузы россыпью;
8. Овощные грузы россыпью;
9. Навалочные грузы.
Схема выполнения погрузки-выгрузки зависит от рода выполняемой грузовой операции, которую обозначим через g. Нормы выработки и нормы времени разработаны для различных схем производства погрузочно-разгрузочных работ. Для каждого погрузочно-разгрузочного пункта параметр g может принимать различные значения. В целом различные схемы выполнения грузовых работ определяются комбинацией мест начального и конечного положения груза. Например:
g1 - погрузка груза со склада в железнодорожный подвижной состав;
g2 - выгрузка груза из железнодорожного подвижного состава на склад:
g3 - перегрузка груза из одного подвижного состава в другой подвижной состав и т.д.
Множество схем грузовых работ, которые выполняются на грузовом пункте i, обозначено через Gi.
Таким образом, прогнозирование объемов погрузочно-разгрузочных работ на расчетный период представляет собой определение совокупности данных следующего вида: Qipg.
Технология работы ОПЖТ в части оказания транспортных услуг может быть описана в виде следующих основных блоков:
перемещение груженых и порожних вагонов по подъездному пути;
маневровая работа по формированию и расформированию групп (маршрутов) вагонов на технической станции ОПЖТ;
техническое обслуживание и ремонт подвижного состава;
техническое обслуживание и ремонт путевых устройств;
техническое обслуживание устройств сигнализации и связи;
прочие работы (охрана предприятия, организация работы и др.).
В случаях когда разрабатывается Единый технологический процесс работы станции федеральных железных дорог и подъездного пути или технологический процесс работы ОПЖТ, все параметры, определяющие потребность в ресурсах на перемещение вагонов и маневровую работу (локомотивах, бригадах и т.д.), должны приниматься на основе указанных документов. В тех случаях, когда технологические процессы не разрабатываются, предлагается применять обобщенные характеристики технологических процессов.
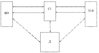
Ниже представлена последовательность технологических операций, выполняемых ОПЖТ при всех видах передвижений вагонов на подъездных путях.
При завозе грузов:
Рис. 1. Схема передвижения вагонов при завозе грузов:
ВП - выставочные пути; С1 - станция ОПЖТ; П-В - места погрузки-выгрузки грузов; Д - деповские устройства
На рис. 1 сплошными стрелками показано направление движения груженых вагонов; пунктирными стрелками показано направление движения порожних вагонов, освобожденных после выгрузки. Штрихпунктирными линиями показаны «холостые» рейсы локомотива.
На схеме представлен случай, когда поступающие вагоны перерабатываются на одной станции ОПЖТ. Это соответствует ситуации, когда на станции расформировываются группы вагонов с подборкой вагонов по пунктам погрузки-выгрузки. Необходимо иметь в виду, что если вагоны поступают разрозненными группами, то в одной группе могут быть вагоны различных назначений. Поэтому и возникает необходимость сортировочной работы на станциях (парках путей) ОПЖТ. Такая же ситуация может быть и при поступлении вагонов техническими маршрутами. Часто встречаются ситуации, когда переработка вагонов осуществляется не на одной станции ОПЖТ. Также не исключаются случаи, когда поступающие вагоны непосредственно могут подаваться к местам погрузки-выгрузки.
Возможно, вместо выставочных путей станции федеральных железных дорог, с которых поступают и на которые сдаются вагоны с подъездного пути, могут выступать стыковые пункты с другими видами транспорта.
Для случаев, когда вагоны перерабатываются на одной станции ОПЖТ, перечень технологических операций включает в себя:
прием вагонов работниками ОПЖТ на выставочных путях;
заезд локомотива ОПЖТ на выставочные пути;
передвижение локомотива с вагонами до промышленной станции ОПЖТ;
расформирование группы вагонов (технического или отправительского маршрута) по пунктам назначения груза;
подача группы вагонов от технической станции до мест выгрузки груза;
подача порожних вагонов от мест выгрузки до технической станции ОПЖТ, формирование группы вагонов для передачи на выставочные пути;
передвижение группы порожних вагонов на выставочные пути станции железной дороги;
сдача порожних вагонов на выставочных путях приемщику станции железной дороги;
возвращение локомотива с выставочных путей на станцию ОПЖТ.
При вывозе груза. Схема передвижения вагонов и локомотивов при вывозе груза практически полностью повторяет аналогичную схему при завозе груза. Единственное отличие состоит в том, что стрелки, обозначающие движение вагонов, должны быть изменены на обратные.
При внутренних перевозках будем различать следующие виды операций технологического процесса:
формирование группы порожних вагонов (маршрута) на промышленной станции ОПЖТ для погрузки грузов;
передвижение группы вагонов (маршрута) от промышленной станции ОПЖТ до места погрузки;
возвращение локомотива от места погрузки до промышленной станции ОПЖТ;
заезд локомотива за погруженными вагонами;
передвижение погруженных вагонов (маршрута) к месту выгрузки;
возвращение локомотива от места выгрузки на промышленную станцию ОПЖТ;
заезд локомотива за выгруженными вагонами;
передвижение локомотива с выгруженными вагонами от мест выгрузки до станции ОПЖТ.
Перечень технологических операций является типовым, соответствующим наиболее часто встречающимся на практике случаям. Возможные отклонения от типового случая состоят в следующем.
В некоторых случаях подача-уборка вагонов от выставочных путей до мест погрузки-выгрузки осуществляется непосредственно, без переработки на станциях подъездного пути. В таком случае операции «формирование-расформирование» составов на станции ОПЖТ будут отсутствовать. Для других случаев требуется двойная переработка вагонов: сначала состав расформировывается на первой станции ОПЖТ, а затем передается на следующую станцию, где и производится подборка вагонов по местам погрузки-выгрузки.
Таким образом, каждое из прогнозируемых перемещений вагонов на подъездных путях может осуществляться по своей технологии, отличной как составом технологических операций, так и затратами ресурсов на их выполнение. Для того чтобы технологический процесс представить вполне определенным, необходимо указать конкретные станции подъездного пути, на которых осуществляется переработка вагонов. Место расположения станций и их технические параметры определены техническим паспортом ОПЖТ.
Анализ состава технологических операций типового технологического процесса показывает, что все операции в основном сводятся к 8 видам. Эти виды операций и влияющие на их выполнение параметры представлены в табл. 2. Однако следует иметь в виду, что для конкретного ОПЖТ технологическая схема может отличаться от представленной в табл. 2. Технологическая схема определяет хотя и большую, но только часть затрат, связанных с выполнением транспортных услуг. Это свидетельствует о том, что использование настоящих Методических рекомендаций в конкретных случаях потребует вносить определенные коррективы.
Таблица 2
Типовой перечень технологических операций по транспортировке грузов ОПЖТ
|
п/п |
Наименование операции |
Влияющие параметры |
|
1 |
Обработка подачи (вагонов) по прибытии на промышленную станцию ОПЖТ |
Количество вагонов Nваг |
|
2 |
Прием-сдача вагонов работниками ОПЖТ на выставочных путях |
Количество вагонов Nваг |
|
3 |
Холостой пробег локомотивов от промышленной станции ОПЖТ до выставочных путей и обратно |
Количество пробегов п, длина пробега l |
|
4 |
Прием (сдача) вагонов работниками ОПЖТ от работников (работникам) обслуживаемых предприятий |
Количество вагонов Nваг |
|
5 |
Передвижение груженых вагонов от выставочных путей до промышленной станции ОПЖТ и обратно |
Масса
брутто груженых вагонов |
|
6 |
Передвижение порожних вагонов от выставочных путей до технической станции ОПЖТ и обратно |
Масса
брутто порожних вагонов |
|
7 |
Передвижение груженых вагонов от промышленной станции ОПЖТ до мест выгрузки и обратно |
Масса
брутто груженых вагонов |
|
8 |
Передвижение порожних вагонов от промышленной станции ОПЖТ до мест погрузки-выгрузки и обратно |
Масса
брутто порожних вагонов |
|
9 |
Расформирование поступивших групп вагонов (технических или отправительских маршрутов) на технической станции ОПЖТ с подбором групп вагонов по местам погрузки-выгрузки |
Маневровые
локомотиво-часы при расформировании |
|
10 |
Формирование групп вагонов (технических или отправительских маршрутов) на технической станции ОПЖТ для сдачи их на ФЖД |
Маневровые
локомотиво-часы при формировании |
|
11 |
Перестановка вагонов с фронта выгрузки (погрузки) на фронт погрузки (выгрузки) |
Количество сдвоенных операций Ксдв |
Затраты, образующие себестоимость продукции (работ, услуг), группируются в соответствии с их экономическим содержанием по следующим пяти элементам:
затраты на оплату труда работников ОПЖТ;
отчисления на социальные нужды;
материальные затраты, включая затраты на топливо и горюче-смазочные материалы (ГСМ);
амортизация основных фондов;
прочие затраты.
Прогнозирование заработной платы рекомендуется представить в виде табл. 4.1.
Из представленных в таблице столбцов только 3 и 7 определяются расчетным путем. Значения остальных столбцов либо принимаются по отчетным данным, либо корректируются на основе экспертных соображений.
Корректировка среднегодовой численности осуществляется на основе прогнозируемого значения (графа 3) и проводимой на предприятии кадровой политики.
Среднемесячная зарплата для всех категорий работников устанавливается на основе трудовых договоров и соглашений, в которых учитывается отчетная величина среднемесячной зарплаты, а также планируемые инфляция и индексация.
Прогнозируемая численность работников определяется с учетом предстоящих объемов работ.
Потребное количество локомотивных бригад и составителей непосредственно зависит от числа эксплуатируемых локомотивов. Эта зависимость выражается следующей формулой:
где tмес - установленная законом месячная норма выработки локомотивной бригады с учетом выходных дней и отпусков, часов;
30,5 - среднее количество дней в месяце;
24 - число часов в сутках;
Млок - число эксплуатируемых локомотивов.
По технологическим условиям на некоторых ОПЖТ локомотивы могут работать не на всех путях, а только на определенной их совокупности. Такие обособленные совокупности путей ОПЖТ в соответствии со сложившейся практикой назовем участком. Для каждого участка количество потребных локомотивов должно определяться отдельно.
Таблица 4
Заработная плата
|
Категории работников |
Среднегодовая численность |
Среднемесячная зарплата с начислениями, руб |
Общая прогнозируемая годовая зарплата, руб. |
|||
|
отчетная |
прогнозируемая |
откорректированная |
отчетная |
прогнозируемая |
||
|
Машинисты |
|
|
|
|
|
|
|
Составители |
|
|
|
|
|
|
|
Приемосдатчики |
|
|
|
|
|
|
|
Диспетчеры |
|
|
|
|
|
|
|
Ремонтники подвижного состава, |
|
|
|
|
|
|
|
в т.ч.: |
|
|
|
|
|
|
|
начальник депо |
|
|
|
|
|
|
|
зам. начальника депо |
|
|
|
|
|
|
|
слесари |
|
|
|
|
|
|
|
токари |
|
|
|
|
|
|
|
электромонтеры |
|
|
|
|
|
|
|
Ремонтники пути, |
|
|
|
|
|
|
|
в т.ч.: |
|
|
|
|
|
|
|
начальник участка |
|
|
|
|
|
|
|
зам. начальника участка |
|
|
|
|
|
|
|
дорожные мастера |
|
|
|
|
|
|
|
монтеры пути |
|
|
|
|
|
|
|
электросварщики |
|
|
|
|
|
|
|
машинисты экскаваторов |
|
|
|
|
|
|
|
машинисты путевых машин |
|
|
|
|
|
|
|
водители дрезин |
|
|
|
|
|
|
|
машинисты автокранов |
|
|
|
|
|
|
|
Ремонтники устройств сигнализации и связи |
|
|
|
|
|
|
|
Работники автотранспорта |
|
|
|
|
|
|
|
Прочие работники |
|
|
|
|
|
|
|
Административно-управленческий персонал |
|
|
|
|
|
|
|
Итого |
|
|
|
|
|
|
Потребность в локомотивах рабочего парка для каждого участка определяется количеством локомотиво-часов: а) в движении; б) на выполнение маневровых работ; в) на межоперационные простои.
Локомотиво-часы в движении в соответствии с описанной выше технологией определяются временем на выполнение рейсов:
холостых от технической станции ОПЖТ до выставочных путей и обратно;
с вагонами (гружеными или порожними) от выставочных путей до технической станции ОПЖТ и обратно;
с вагонами (гружеными или порожними) от технической станции ОПЖТ до мест погрузки-выгрузки вагонов и обратно.
Каждая из перечисленных величин определяется по однотипной формуле вида:
, (4.2)
где Т - затраты локомотиво-часов при выполнении рейсов каждого типа;
п - количество рейсов, необходимых для выполнения операций, связанных с транспортировкой грузов;
l - протяженность соответствующего рейса, км;
v - скорость передвижения, км/ч.
Протяженность рейсов и скорости передвижения принимаются в соответствии с данными технического паспорта и технологического процесса. Порядок определения количества рейсов, необходимых для выполнения операций, связанных с транспортировкой грузов, зависит от типа рейса. Ниже приводятся формулы для определения количества рейсов каждого типа.
Количество холостых рейсов локомотивов с промышленной станции ОПЖТ до выставочных путей и обратно (nx) определяется по формуле
где Nпр-сд - количество принимаемых и сдаваемых на магистральный транспорт вагонов для рассматриваемого участка ОПЖТ;
тгр - среднее количество вагонов в группе;
aсовм - коэффициент (меньше 1), учитывающий, что некоторая часть заездов (выездов) локомотивов совмещаются с подачей или уборкой вагонов.
Число принимаемых и сдаваемых вагонов складывается из груженых и порожних вагонов. При завозе грузов принимаются груженые вагоны и сдаются порожние; при вывозе груза принимаются порожние вагоны и сдаются груженые вагоны. Таким образом,
Для каждой заданной транспортировки (i) род груза определен однозначно. Без большой погрешности можно принять, что для фиксированной транспортировки используется один тип вагона. Тогда число груженых вагонов, используемых при i-й транспортировке, определится по формуле
, (4.5)
где Qi(Qотчi) - объем транспортировки прогнозируемый (отчетный), в тоннах;
- отчетное количество
груженых вагонов.
При повагонных отправках средняя статическая нагрузка на вагон (qст) определяется по формуле
. (4.6)
Число порожних вагонов, связанных с конкретной транспортировкой, определяется по формуле
Коэффициент сдвоенных
операций (
) определяется на основе отчетных данных.
Количество рейсов с вагонами от выставочных путей до промышленной станции ОПЖТ и обратно nв.п-т.ст,
. (4.8)
Значение тгр принимается на основе отчетных данных.
Количество рейсов от промышленной станции ОПЖТ до мест
погрузки-выгрузки вагонов и обратно
. Перемещение вагонов от промышленной станции ОПЖТ до мест
погрузки-выгрузки производится для каждой отдельной транспортировки. Поэтому и
количество необходимых рейсов определяется для каждой прогнозируемой
транспортировки отдельно по следующей формуле:
где
- средняя величина подачи вагонов к месту
погрузки-выгрузки. Значение средней величины подачи определяется по отчетным
данным. Затраты локомотиво-часов на передвижение будут равны:
где lx, li - расстояние от выставочных путей до технической станции ОПЖТ и расстояние от технической станции ОПЖТ до соответствующего i-й транспортировке погрузочно-разгрузочного пункта;
vi, vв, vп - скорости передвижения локомотива при холостом рейсе, при передвижении локомотива с вагонами от выставочных путей до технической станции ОПЖТ и при движении локомотива от технической станции до мест погрузки-выгрузки соответственно. Затраты локомотиво-часов на передвижение, отнесенные к конкретной транспортировке, определяются по формуле
Введем обозначение 
Коэффициент Ri выражает долю i-й транспортировки в общем объеме транспортировок.
С учетом введенного обозначения
(4.12)
Локомотиво-часы на маневровые операции определяются по формуле
где
- количество
перерабатываемых вагонов, определяемое по формуле
где tм - время на маневровые операции, отнесенное на 1 переработанный вагон;
ki - среднее количество переработок одного вагона на технических станциях ОПЖТ.
Обозначим:
. Тогда локомотиво-часы маневровые, отнесенные к
транспортировке i, будут равны
(4.15)
Простои локомотивов, связанные с экипировкой, текущим обслуживанием, ремонтами, а также межоперационные простои локомотивов определяются как определенная доля от суммы локомотиво-часов в движении и локомотиво-часов маневровых. Коэффициент пропорциональности адоп устанавливается следующим образом. Для базового (отчетного) периода по приведенным выше формулам (4.10) и (4.13) вычисляются значения Лфпер и Лфман. Коэффициент адоп определяется по формуле
адоп=1-(Лфпер+Лфман)/Лфобщ. (4.16)
На прогнозируемый период значение коэффициента адоп принимается таким же, как и для отчетного периода. Таким образом,
Лд=адоп(Лпер +Лман). (4.17)
Дополнительные локомотиво-часы, отнесенные к конкретной транспортировке, определятся по формуле
Таким образом, общие затраты локомотиво-часов будут равны:
а затраты локомотиво-часов на конкретную транспортировку
Лi=Лiпер+Лiман+Лiд. (4.20)
Обозначим долю локомотиво-часов, приходящуюся на конкретную транспортировку, через Рi, величину которой можно определить по формуле
(4.21)
Требуемое количество локомотивов в прогнозируемом периоде определяется по формуле
(4.22)
где Крем - коэффициент, учитывающий различные виды ремонта, принимается равным в соответствии с Методическими указаниями по планированию и анализу себестоимости перевозок и погрузочно-разгрузочных работ на предприятиях промышленного железнодорожного транспорта (Москва, 1986 г., МПС). Его величина колеблется в пределах 1,1 - 1,2;
Кпер - коэффициент неравномерности транспортировок, величина которого колеблется в пределах 1.1-1.2.
Общее потребное количество округляется в большую сторону до ближайшего целого.
Количество требуемых локомотивных бригад определяется в зависимости от количества локомотивов по формуле (4.1).
Количество составителей можно принять равным количеству локомотивных бригад. Следовательно, годовые затраты на оплату локомотивных бригад и составителей определятся по формуле
Збр=12Кбр(Сл.бр+Ссост), (4.23)
а годовые затраты на оплату труда локомотивных бригад и составителей, отнесенные к конкретной транспортировке, определятся по формуле
Зiбр=ЗбрРi. (4.24)
Количество приемосдатчиков вагонов зависит от максимально допустимого времени простоя вагонов под приемосдаточными операциями (Тmax), максимально допустимого количества вагонов в подаче (Nmax) и норматива времени на прием (сдачу) 1 вагона (tmax) и определяется по формуле
(4.25)
Коэффициент sнер учитывает неравномерность выполнения операций по приему-сдаче вагонов.
Общие затраты на оплату труда приемосдатчиков определяются по формуле
Зпр-сд=12Кпр-сдСпр-сд, (4.26)
где Кпр-сд - среднемесячное количество приемосдатчиков;
Спр-сд - месячная оплата труда одного приемосдатчика.
Затраты на оплату труда приемосдатчиков, приходящиеся на конкретную транспортировку, определяются пропорционально величине принятых и сданных вагонов для этой транспортировки. Таким образом
Зiпр-сд=Зпр-сдRi. (4.27)
Среднемесячное количество диспетчеров в прогнозируемом периоде определяется по формуле
, (4.28)
где
- среднемесячное
количество диспетчеров в отчетном периоде;
- количество
перерабатываемых вагонов в прогнозируемом и отчетном периодах соответственно.
Затраты на оплату труда диспетчеров определяются по формуле
. (4.29)
Затраты на оплату труда диспетчеров распределяются между конкретными транспортировками пропорционально числу перерабатываемых вагонов на технической станции ОПЖТ.
Таким образом,
Зiд=ЗдФi. (4.30)
Работники по обслуживанию и ремонту подвижного состава. Если ОПЖТ содержит несколько
участков, то оплата труда начальника депо и заместителя начальника депо делится
между ними пропорционально числу эксплуатируемых локомотивов. Доля использования
(по времени) начальника депо и его заместителя (
), относящаяся к расчетному участку, определяется по формуле
, (4.31)
где Nнф - доля использования (по времени) начальника депо и его заместителя в отчетном периоде.
Общие затраты по оплате труда начальника депо и его заместителя определятся по формуле
(4.32)
Заработная плата начальника депо и заместителя начальника депо, относящаяся к конкретной транспортировке, распределяется пропорционально заработной плате локомотивных бригад. Таким образом,
(4.33)
Количество слесарей, токарей, электромонтеров, электросварщиков и других работников на прогнозируемый период определяется по следующей формуле:
![]()
Затраты на оплату труда этой категории работников определяются по формуле
Зс.т.э=12
Сс.т.э. (4.34)
Доля затрат на оплату труда этой категории работников, относимых на конкретную транспортировку, распределяется пропорционально числу локомотивов, относящихся к конкретной транспортировке. Таким образом,
Зiс.т.э=Зс.т.эРi. (4.35)
Работники, занятые на текущем содержании и ремонте путей. Затраты на оплату труда начальника участка, заместителя начальника участка, дорожного мастера распределяются между участками ОПЖТ. Количество этих категорий работников, приходящихся на рассматриваемый участок, в прогнозируемом периоде определяется по формуле
(4.36)
где
Lобщ - длина
путей рассматриваемого участка в прогнозируемом периоде и общая длина путей
ОПЖТ соответственно.
Годовая зарплата начальника участка и его заместителя равна
(4.37)
Затраты на оплату труда этой категории работников распределяются между конкретными транспортировками пропорционально выполняемой тонно-километровой работе брутто.
Тонно-километры брутто,
относимые к конкретной транспортировке, складываются из двух частей:
тонно-километры брутто от вагонов
(i) и
тонно-километры от локомотивов
(i).
Указанные составляющие тонно-километров брутто определяются по следующим
формулам
, (4.38)
(4.39)
где qi - средняя статическая нагрузка на вагон для i-й транспортировки, т/ваг;
qiт - средняя масса тары вагона для i-й транспортировки, т/ваг.
Средняя масса тары вагонов qiт принимается в соответствии с характеристиками используемых при i-й транспортировке вагонов. Обозначим долю тонно-километровой работы брутто, относящейся к конкретной транспортировке, через Si.
(4.41)
Таким образом,
(4.42)
Количество монтеров пути, обеспечивающих текущее содержание путей, определяется по формуле
(4.43)
где
- количество монтеров
пути в отчетном периоде или величина, определяемая произведением норматива
(потребность монтеров пути на 1 км пути) на фактическую протяженность путей в
отчетном периоде;
протяженность путей
участка в прогнозируемом и отчетном периодах соответственно.
Общие годовые затраты на оплату труда монтеров пути определяются по формуле
(4.44)
где Смон - среднемесячная зарплата монтера пути.
Годовые затраты на оплату труда монтеров пути, относимые на конкретную транспортировку, составят
(4.45)
Количество электросварщиков, машинистов экскаваторов, машинистов путевых машин, водителей дрезин, машинистов автокранов, занятых на ремонте пути собственными силами (соответственно и затраты на их оплату труда), определяется планом проведения ремонтных работ на прогнозируемый период. Необходимый объем ремонтных работ определяется исходя из общего наличия путей и действующих нормативов периодичности проведения ремонтов.
Обозначим количество этих категорий работников на прогнозируемый период через Кэ.с., Кмаш.эк, Кмаш.п, Кдр, Ка.кр соответственно. Годовые затраты на оплату труда перечисленных категорий работников на прогнозируемый период определятся по формуле
Зрем=12(Кэ.сСэ.с+Кмаш.экСмаш.эк+Кмаш.пСмаш.п+КдрСдр+Ка.крСа.кр). (4.46)
Затраты на оплату труда перечисленных ремонтных работников распределяются между конкретными транспортировками пропорционально выполняемому грузообороту. Таким образом,
(4.47)
Работники, занятые на обслуживании и ремонте устройств сигнализации и связи. Количество работников, занятых на обслуживании устройств сигнализации и связи определяется по формуле
(4.48)
где
- количество работников, занятых на
обслуживании устройств сигнализации и связи в отчетном периоде, или величина,
определяемая произведением норматива (потребность указанных видов работников на
1 км пути) на фактическую протяженность путей в отчетном периоде.
Общие затраты на содержание и ремонт устройств сигнализации и связи Зсв определяются по формуле
(4.49)
где Ссв - среднемесячная зарплата одного работника СЦБ и связи.
Этот вид затрат распределяется между конкретными транспортировками пропорционально объему выполняемых транспортировок. Таким образом,
(4.50)
Среднемесячное количество работников автотранспорта определяется по формуле
(4.51)
Годовые затраты на оплату труда работников автотранспорта определяются по формуле
(4.52)
где Сатр - среднемесячная зарплата одного работника автотранспорта.
Величина затрат на оплату труда этой категории работников, относимая на конкретную транспортировку, будет равна
(4.53)
Работники административно-управленческого аппарата Зауп. Численность административно-управленческого аппарата принимается в соответствии со штатным расписанием. Численность АУП, приходящаяся на рассматриваемый участок Кауп, представляет собой долю общей численности АУП ОПЖТ, пропорциональную объему выполняемых транспортировок. Средняя заработная плата по каждой категории работников Сауп определяется исходя из сложившихся условий оплаты труда в предыдущем отчетном периоде, индекса роста средней заработной платы по стране и фактической инфляции. Годовые затраты на содержание АУП определяются по формуле
(4.54)
Затраты на содержание АУП распределяются между конкретными транспортировками пропорционально объему выполняемых перевозок, т.е.
(4.55)
Таким образом, общие затраты на оплату труда, относимые на все выполняемые транспортировки, будут равны:
(4.56)
Общие затраты на оплату
труда, относимые на конкретную транспортировку i,
, определяются по аналогичной формуле - все составляющие в
правой части имеют дополнительный индекс i.
Начисления на фонд оплаты труда определяются ставкой единого социального налога ас.нал. В прогнозируемых расчетах ставку единого социального налога можно принять одинаковой для всех работников ОПЖТ на уровне отчетного периода.
Таким образом, общая величина начислений на фонд оплаты труда составит:
(4.57)
и на конкретную транспортировку i
(4.58)
В методическом плане расчет затрат на топливо и горюче-смазочные материалы имеет много специфических особенностей. Поэтому указанные затраты предлагается определять с помощью табл. 4.2.
Таблица 4.2
Затраты на топливо и горюче-смазочные материалы
|
Измеритель |
Величина изм. |
Норма расхода |
Расход топлива |
Цена единицы |
Общая стоимость |
|
|
Передвижение локомотива с вагонами и без |
ткм брутто |
Qбр |
Нбр |
Тбр |
Цбр |
Sбр |
|
Па маневровую работу |
лок-час |
Tман |
Нман |
Тман |
Цман |
Sман |
|
Простои лок. в горячем состоянии |
лок-час |
Tг.с |
Нг.с |
Тг.с |
Цг.с |
Sг.с |
|
На путейские работы |
км |
Lп |
Нп |
Тп |
Цп |
Sп |
|
На эксплуатацию автотранспорта |
к-во авт. |
Nавт |
Навт |
Тавт |
Цавт |
Sавт |
|
Прочие виды деятельности |
|
|
|
|
|
|
|
Всего |
|
|
|
|
|
|
Остальные виды материальных затрат определяются примерно одинаковым образом с помощью табл. 4.3.
При определении расхода топлива на передвижение локомотивов рекомендуется использовать норматив расхода на совершенную локомотивами тонно-километровую работу брутто.
Норматив расхода топлива на
тонно-километровую работу (Нбр) определяется на 10000 ткм брутто.
Поэтому расход топлива определяется по формуле
Норматив расхода
топлива на тонно-километровую работу брутто определяется по формуле: ![]()
Коэффициенты kл и kз выражают доли летнего и зимнего периодов для района расположения ОПЖТ. Нормы расхода топлива зависят от эксплуатируемого локомотива и принимаются в соответствии со Справочником по тепловозам промышленного железнодорожного транспорта, под редакцией Н. Залита (издательство «Транспорт», 1974 г.). Общие затраты на топливо для передвижения локомотивов определяются по формуле
(4.59)
Затраты на топливо для передвижения локомотивов, отнесенные на конкретную транспортировку, определяются по формуле
(4.60)
Затраты топлива для
маневровой работы пропорциональны времени производства маневров. Их величина
определяется по формуле: ![]()
Норматив расхода топлива принимается на основе натурных обследований или в соответствии со Справочником по тепловозам промышленного железнодорожного транспорта под редакцией Н. Залита (издательство «Транспорт», 1974 г.). Он имеет различное значение для разных типов локомотивов, зависит также от времени года.
Затраты на топливо для маневровой работы определяются по формуле
(4.61)
Расход топлива для маневровой работы, отнесенный на конкретную транспортировку, определяется по формуле
(4.62)
Расход топлива при простое
локомотивов в горячем состоянии также пропорционален времени простоя и
определяется по аналогичной формуле
Норматив Нгор
определяется по справочнику.
Затраты на топливо, расходуемое локомотивами при простое в горячем состоянии, определяется по формуле
(4.63)
Затраты на топливо при простое локомотива в горячем состоянии, отнесенные к конкретной транспортировке, определяются по формуле
. (4.64)
Расход топлива на проведение
путейских работ (
) определяется по формуле
(4.65)
где (
) - расход топлива на проведение путейских работ в отчетном
периоде. Затраты на топливо, расходуемое при проведении путейских работ,
определяются по формуле
(4.66)
Величина этого показателя, отнесенного к конкретной транспортировке, определяется по формуле
(4.67)
При определении затрат на топливо, потребляемое автомобильным транспортом, за основу рекомендуется брать расходы базового периода с корректировкой на изменение цен и изменения автомобильного парка.
Таким образом, затраты на топливо на эксплуатацию автотранспорта определяются по формуле
(4.68)
Затраты на топливо и горюче-смазочные материалы, потребляемые автотранспортом, отнесенные к конкретной транспортировке, определяются по формуле
(4.69)
Материальные затраты на текущее содержание путей в прогнозируемом периоде определяются по формуле
(4.70)
где kинф - коэффициент, учитывающий инфляционные процессы;
fпр - коэффициент, учитывающий изменение в прогнозируемом периоде протяженности путей. Величина fпр определяется по формуле
(4.71)
Распределение материальных затрат на текущее содержание путей между конкретными транспортировками осуществляется пропорционально выполняемому грузообороту. Таким образом,
. (4.72)
Таблица 4.3
Материальные затраты
|
Отчет |
Прогноз |
|
|
1. Текущее содержание путей |
|
|
|
2. Капитальный ремонт пути |
|
|
|
3. Средний ремонт пути |
|
|
|
4. Смена стрелочных переводов |
|
|
|
5. На эксплуатацию локомотивов |
|
|
|
6. На эксплуатацию автотранспорта |
|
|
|
7. На эксплуатацию устройств сигнализации и связи |
|
|
|
8. На ремонт и содержание зданий и сооружений |
|
|
|
9. Прочие материальные затраты |
|
|
|
Итого |
|
|
Материальные затраты, связанные с капитальным ремонтом пути, определяются планом проведения капитального ремонта пути или нормативами затрат на 1 км пути. Обозначим сумму этих затрат через Мк. Этот вид материальных затрат распределяется между конкретными транспортировками пропорционально выполняемому грузообороту. Таким образом,
(4.73)
При определении затрат на смену стрелочных переводов Мстр.п необходимо учитывать стоимость самого стрелочного перевода, стоимость шпал и переводных брусьев, стоимость подкладок, костылей и балласта. Затраты на смену стрелочного перевода можно достаточно точно скалькулировать, учтя при этом местные цены на потребляемые материалы. Между конкретными транспортировками затраты на смену стрелочных переводов распределяются пропорционально объему транспортировок. Таким образом,
(4.74)
Затраты на эксплуатационные материалы и запчасти для текущих и средних ремонтов путей, подвижного состава, стрелочных переводов, текущего ремонта зданий и сооружений и прочих объектов определяются в зависимости от их балансовой стоимости, которая устанавливается как средняя величина по отчетным данным предприятия за прошедшие 5 лет. Материальные затраты, связанные с эксплуатацией локомотивов, определяются по формуле
(4.75)
При выполнении ремонтов локомотивов собственными силами стоимость материалов принимается на основе сметы расходов, которая составляется на каждый вид ремонта. Необходимый объем среднего и капитального ремонта пути определяется по нормативам межремонтных сроков. Распределение материальных затрат, связанных с эксплуатацией локомотивов, между конкретными транспортировками осуществляется пропорционально времени использования локомотивов. Таким образом,
(4.76)
При определении затрат на
материалы на прогнозируемый период по остальным статьям можно ориентироваться
на отчетный период с учетом возможного изменения цен на потребляемые материалы.
Обозначим сумму материальных затрат
через Мпр. Эта сумма материальных
затрат распределяется между конкретными транспортировками пропорционально
объему транспортировок. Таким образом,
(4.77)
Общая сумма материальных затрат, связанная с транспортировкой грузов, будет равна
(4.78)
По аналогичной формуле
определяются материальные затраты, отнесенные на конкретную транспортировку ![]()
Стоимость основных фондов на прогнозируемый период определяется экспертным путем с учетом переоценки основных фондов. Нормы амортизационных отчислений принимаются в соответствии с установленными постановлениями Правительства РФ.
Величина амортизационных
отчислений на все операции, связанные с транспортировкой грузов, будет равна Zам и
на конкретную транспортировку i-ю
Амортизационные
отчисления рекомендуется определять с помощью табл. 4.4.
Таблица 4.4
Амортизационные отчисления
|
Балансовая стоимость |
Норма амориз. |
Амортизационные отчисления |
Показатель отнесения на i-ю транспортировку |
||
|
отчет |
прогноз |
||||
|
Ж.-Д. пути |
|
|
0,04 |
Аж.п |
Si; Аiж.п |
|
Локомотивы |
|
|
0,05 |
Алок |
Pi; Аiлок |
|
Депо, здание |
|
|
0,012 |
Ад |
Pi и т.д. |
|
Оборудование депо |
|
|
0,056 |
Ао.д |
Pi |
|
Путейская техника, в т.ч.: |
|
|
|
Ап.т |
|
|
базовый тягач |
|
|
0,083 |
Аб.т |
Si |
|
тракторный прицеп |
|
|
0,125 |
Ат.пр |
Si |
|
дрезина |
|
|
0,048 |
Адр |
Si |
|
хоппер-дозатор |
|
|
0,04 |
Ах-д |
Si |
|
экскаватор |
|
|
0,125 |
Аэ |
Si |
|
автопогрузчик |
|
|
0,189 |
Аап |
Si |
|
автокран |
|
|
0,091 |
Аак |
Si |
|
снегоочиститель |
|
|
0,083 |
Ас-о |
Si |
|
Здания |
|
|
0,025 |
Азд |
Ri |
|
Автотранспорт |
|
|
0,12 |
Аатр |
Ri |
|
Сигнализация и связь |
|
|
0,06 |
Ас-св |
Ri |
|
Прочие основные фонды |
|
|
0,04 |
Апр |
Si |
|
Итого |
|
|
|
Zам |
|
В основу определения прочих
расходов следует положить прочие расходы базового периода, откорректировав их с
учетом изменений в законодательстве о налогах, планируемых мероприятий, которые
не могут найти отражение в прямых затратах. Общая величина прочих затрат на все
операции, связанные с транспортировкой грузов, составляет Zпр, а отнесенная на транспортировку i-ю ![]()
Таблица 4.5
Прочие расходы
|
Отчет |
Прогноз |
Коэффициенты распределения затрат по транспортировкам |
|
|
Содержание автотранспорта |
|
Пс.ат |
Si, Пiавт |
|
Ремонт оргтехники |
|
Пр.о.т |
Ri |
|
Подготовка кадров |
|
Пп.к |
Ri |
|
Налог на землю |
|
Пз.н |
Si |
|
Налог на пользователей дорог |
|
Пн.а.д |
Si |
|
Налог на пользователей транспортных средств |
|
Пп.ат |
Si |
|
Налог на загрязнение окружающей среды |
|
Пэк |
Ri |
|
Охрана предприятия |
|
По.пр |
Ri |
|
Остальные прочие |
|
По.пр |
Si |
|
Итого |
|
Zпр |
|
Условия выполнения погрузочно-разгрузочных работ разнообразны.
Основная технология выполнения работ зависит от местных условий. При определении затрат на выполнение погрузочно-разгрузочных работ следует руководствоваться постановлением Правительства Российской Федерации от № 552 и Едиными нормами выработки и времени на вагонные, автотранспортные и складские погрузочно-разгрузочные работы.
Единые нормы выработки и времени разработаны при прогрессивной технологии производства погрузочно-разгрузочных работ и наилучшей организации работы. Поэтому рекомендуется использовать приведенные там решения. Для каждой схемы погрузки-выгрузки в Единых нормах определен состав основных работ. Едиными нормами выработки и времени предусмотрено выполнение вспомогательных операций. К таким операциям относятся:
подкатка и откатка груженого и порожнего железнодорожного подвижного состава по фронту погрузки (выгрузки) до 15 м с расцепкой вагонов,
накладка и снятие закруток с дверей вагонов;
укладка прокладок между рядами грузов;
установка и снятие хлебных щитов;
подноска и уборка инструментов;
очистка вагона после выгрузки;
укрытие грузов брезентом;
экипировка погрузочно-разгрузочных машин;
смена грузозахватных приспособлений;
передвижка и установка транспортеров и др.
В тех случаях, когда выполняются работы, не предусмотренные Едиными нормами, следует применять поправочные коэффициенты, значения которых приведены в Единых нормах.
Нормы выработки и времени разработаны при условии производства работ бригадами. Состав бригад определен из технологических требований производства работ. Нормы выработки определены на один механизм, нормы времени - на бригаду, исходя из 7-часового рабочего дня.
Затраты предлагается
определять для каждого погрузочно-разгрузочного пункта. При определении затрат
за основу берутся единые нормы выработки и времени, которые обозначим через
и
. Нормы выработки и времени зависят в основном от двух
факторов: рода груза и схемы выполнения грузовых операций.
Норма выработки
определяет количество
тонн перерабатываемого груза за единицу времени (как правило, за рабочую
смену). Это означает, что норма выработки однозначно определяет фонд заработной
платы персонала, обслуживающего устройства механизмов и машин, а также расход
топлива или электроэнергии на весь перерабатываемый в течение смены груз. Пусть
- фонд оплаты труда
персонала, обслуживающего устройства механизмов и машин,
- стоимость энергии
(топлива) за смену работы погрузочно-разгрузочного пункта. Обозначим далее
величину оплаты труда бригады грузчиков за смену через
. При принятых обозначениях величина оплаты труда на
выполнение грузовой работы Q (i, p, g) в
течение расчетного периода будет равна
(4.79)
а стоимость топливно-энергетических ресурсов -
(4.80)
При определении расчетной величины прибыли в регулируемой цене (тарифе) ОПЖТ может использовать один из следующих подходов.
1-й подход
Определяется тарифная база, которая измеряет величину капитала, используемого ОПЖТ для осуществления регулируемого вида деятельности.
Устанавливается норма прибыли на капитал, равная стоимости привлечения капитала (его альтернативным затратам).
Для обоснования нормы прибыли на капитал, используемый при регулировании деятельности ОПЖТ, следует учитывать величину прибыли, необходимую для обеспечения средствами на обслуживание привлеченного капитала, развитие производства, социальное развитие, дивиденды по акциям и финансирование за счет прибыли, других обоснованных расходов.
Эта норма может также устанавливаться регулирующим органом на уровне нормы прибыли, существующей в конкурентных отраслях со сходным хозяйственным риском. При этом установленная норма прибыли должна быть достаточная, чтобы удержать капитал в данном применении.
Регулируемая цена (тариф) равна текущим затратам плюс прибыль, исчисленная по ставке нормы прибыли на капитал, примененный к установленной тарифной базе. Необходимо отметить, что отдельные элементы капитала (активы) включаются в тарифную базу, на которую может быть начислена прибыль, лишь при условии, что они признаны регулирующим органом «используемыми и полезными». В тарифную базу не включаются строящиеся объекты до ввода их в эксплуатацию.
2-й подход
Расчетная прибыль определяется сначала по организации (предприятию) в целом, а затем дифференцируется по видам работ и технологиям.
Уровень рентабельности по соответствующему виду деятельности исчисляется путем отнесения прибыли к затратам.
При определении прибыли следует учитывать темпы развития и модернизации материально-технической базы и инфраструктуры основного производства данного предприятия.
Расчет прибыли производится по следующим составляющим:
развитие производства, в том числе капитальные вложения, исходя из программы производственного развития;
социальное развитие, включая капитальные вложения и образование фонда потребления, исходя из программы социального развития;
дивиденды по акциям, с учетом развития производства;
налоги, уплачиваемые за счет прибыли;
расходы на прочие цели.
В расчетной прибыли выделяются две составляющие по направлениям ее использования
(4.81)
где Пор - прибыль, остающаяся в распоряжении организации (предприятия), руб.;
Потч - отчисляемая прибыль, руб.
В свою очередь, в отчисляемой прибыли выделяются следующие составляющие:
(4.82)
где Пн.пр - налог на прибыль;
Пн.им - налог на имущество;
Ппр - прочие налоги и отчисления из прибыли в соответствии с федеральным и региональным законодательством. В прибыли, остающейся в распоряжении предприятия, выделяются две составляющие:
(4.83)
где Ппн - часть прибыли производственного назначения;
Псн - часть прибыли социального назначения.
Прибыль, направляемая на расширенное воспроизводство, определяется исходя из требуемых капитальных вложений.
(4.84)
где Кпотр - общая сумма требуемых капитальных вложений на расчетный период;
Зам - амортизация основных фондов.
Оценку размера прибыли производственного назначения рекомендуется производить по коэффициенту, характеризующему ее отношение к сумме затрат на амортизацию,
(4.85)
Прибыль, направляемая на содержание социальной сферы, определяется на основе детального анализа и с учетом реализации коллективных договоров в части социальных гарантий, предоставляемых работникам организации промышленного транспорта.
Оценку размера прибыли социального назначения рекомендуется производить по коэффициенту, характеризующему ее отношение к фонду оплаты труда (ФОТ),
(4.86)
По итогам расчета абсолютной массы прибыли определяется расчетный уровень рентабельности
(4.87)
где Rн - уровень рентабельности;
Sсеб - себестоимость работ.
В настоящее время в соответствии с п. 5 постановления Правительства РФ от 07.03.95 № 239 и постановлением Правительства РФ от 07.05.2001 № 350 право осуществлять государственное регулирование тарифов на работы и услуги организаций промышленного железнодорожного транспорта предоставлено местным органам исполнительной власти субъектов Российской Федерации, которые в том числе могут устанавливать максимальный уровень рентабельности для ОПЖТ.
Для грузовых перевозок, выполняемых федеральным железнодорожным транспортом, в настоящее время уровень рентабельности не превышает 35 %. Это значение рентабельности в качестве максимального рекомендуется принимать и для промышленного железнодорожного транспорта.
Обозначим общую сумму всех затрат на i-ю транспортировку через Z(i). Очевидно, что
(4.88)
Тогда тариф на i-ю транспортировку будет равен
(4.89)
Прейскурант № 10-01 включает в себя гл. IV «Сборы», в которой даны перечень и фиксированные ставки сборов, применяемые на федеральном железнодорожном транспорте.
На промышленном железнодорожном транспорте понятие «сбор», как правило, не применяется. Плата за использование локомотивов и вагонов организации промышленного транспорта, за взвешивание и хранение груза и другие операции определяется расчетным путем и представляется и виде тарифа за дополнительные услуги, оказываемые предприятием промышленного железнодорожного транспорта.
Таким образом, под сборами на промышленном железнодорожном транспорте понимаются тарифы на дополнительные услуги, оказываемые клиенту организацией промышленного железнодорожного транспорта.
Принципы формирования тарифов за дополнительные услуги, оказываемые ОПЖТ, полностью соответствуют приведенной на стр. 7 схеме расчетов по формированию тарифов на работы и услуги промышленного железнодорожного транспорта.
В основу определения затрат на дополнительные услуги положен нормативно-статистический метод, на базе которого строятся все расчеты, приведенные в настоящих Методических рекомендациях.
Практические рекомендации по расчету тарифов
После того как рассчитаны расходы по статьям затрат (табл. 4.1-4.5) рекомендуется все статьи расходов отнести на соответствующие измерители и рассчитать расходные ставки на измерители. Это можно сделать с помощью табл. 4.6.
Таблица 4.6
|
Обозначение суммы расходов |
Перечень расходов, относимых на измеритель |
|
|
Грузооборот брутто, ткм |
З1 |
Зарплата работников службы пути, расходы на топливо и ГСМ на передвижение локомотива и путейские работы, прочие материальные затраты - все виды ремонта пути, амортизация всей путевой техники, зданий и автотранспорта |
|
Грузооборот нетто, ткм нетто |
З2 |
Амортизация пути, зданий депо, сооружений сигнализации и связи, прочие расходы - подготовка кадров, налог на землю, налог на пользователей дорог, налог на охрану окружающей среды. |
|
Объем транспортировки, т |
З3 |
Зарплата водителей автотранспорта, прочие расходы - содержание автотранспорта, ремонт оргтехники, налог на транспортные средства, охрана предприятия, остальные прочие |
|
Общие локомотиво-часы, лок-час |
З4 |
Зарплата машинистов и составителей, начальника и зам. начальника депо, работников депо, прочие материальные затраты на эксплуатацию локомотивов, амортизация локомотивов, оборудования депо |
|
Количество переработанных вагонов, ваг. |
З5 |
Зарплата приемосдатчиков, АУП, расходы на топливо и ГСМ на эксплуатацию автотранспорта, прочие материальные затраты на смену стрелочных переводов, на эксплуатацию автотранспорта, на содержание устройств сигнализации и связи, зданий и сооружений |
|
Количество вагоно-переработок, ваг-опер. |
З6 |
Зарплата диспетчеров, расходы на топливо и ГСМ на маневровой работе |
Величина расходных ставок определяется делением суммарных затрат, отнесенных на измеритель, на величину измерителя
(4.90)
где Ик - величина к-го измерителя в целом по участку.
Тогда тариф на i-ю транспортировку Тi может быть определен по формуле
(4.91)
где Иiк - величина к-го измерителя для i-й транспортировки.
В соответствии с Методическими рекомендациями были проведены расчеты по установлению величины предельных тарифов на транспортировку грузов для ОПЖТ, условия работы которых можно считать типичными для многих ОПЖТ. Исходная информация, характеризующая условия работы ОПЖТ, приведена в табл. 4.7-4.11.
Приведены результаты расчета:
в табл. 4.12 - измерителей;
в табл. 4.13-4.17 - годовых расходов по элементам затрат;
в табл. 4.18 - расходных ставок;
в табл. 4.19 - тарифов на одну тонну и тонно-км дифференцированно по транспортировкам (клиентам).
Исходная информация
Таблица 4.7
Технологические параметры, коэффициенты и др. показатели
|
Условные обозначения |
Значение |
Примечания |
|
|
Коэффициент сдвоенных операций |
ψсдв |
0,05 |
|
|
Коэффициент, учитывающий совмещение заездов по подаче и уборке вагонов |
асовм |
0,95 |
|
|
Среднее количество вагонов в подаваемой (убираемой) группе, ваг. |
mгр |
5 |
|
|
Среднее расстояние от выставочных путей до технической станции ОПЖТ, км |
lход |
5 |
|
|
Скорость передвижения локомотива при холостом рейсе, км/ч |
vх |
10 |
|
|
Скорость передвижения локомотива с вагонами от выставочных путей до технической станции ОПЖТ, км/ч |
vв |
7 |
|
|
Скорость передвижения локомотива с вагонами от технической станции до мест погрузки-выгрузки, км/ч |
vп |
8 |
|
|
Коэффициент начисления на заработную плату |
Aначис |
0,375 |
|
|
Время маневровых операций, отнесенных на 1 вагон, мин |
tман |
5 |
|
|
Коэффициент межоперационных простоев локомотива |
aдоп |
0,1 |
|
|
Коэффициент, учитывающий различные виды ремонта локомотива |
kрем |
1,1 |
|
|
Месячная норма времени работы локомотивной бригады, час |
tмес |
176 |
|
|
Норматив времени на прием (сдачу) 1-го вагона, мин |
tнорм |
0,7 |
|
|
Коэффициент, учитывающий неравномерность выполнения операций по приему-сдаче вагонов |
sнер |
1,1 |
|
|
Среднемесячное число диспетчеров в отчетном периоде, чел. |
Кд.ф |
1,7 |
|
|
Масса локомотива в груженом состоянии, т |
Рлок |
90 |
|
|
Количество перерабатываемых вагонов в отчетном периоде |
|
0,4 |
|
|
Общие локомотиво-часы, отчетные |
|
7500 |
|
|
Количество слесарей, токарей, электромонтеров и электросварщиков по отчету |
|
6 |
|
|
Количество монтеров пути, отчетное |
|
11 |
|
|
Грузооборот в отчетном периоде, тыс. км |
Qlоб.ф |
3200 |
|
|
Развернутая длина собственных путей в отчетном периоде, км |
Lф |
50 |
|
|
Развернутая длина собственных путей в прогнозируемом периоде, км |
Lпр |
50 |
|
|
Число работников на обслуживании устройств СЦБ и связи в отчетном периоде, чел. |
Ксв.ф |
3 |
|
|
Число работников автотранспорта в отчетном периоде, чел. |
Кавт.ф |
3 |
|
|
Число работников АУП, приходящееся на рассматриваемый участок, чел. |
Кауп |
11 |
|
Таблица 4.8
Цена топлива, руб/т
|
Виды операций |
Условные обозначения |
Значение |
Примечание |
|
Передвижение локомотива с вагонами и без |
Цпер |
6000 |
|
|
Маневровая работа |
Цман |
6000 |
|
|
Простой локомотива в горячем состоянии |
Цгор/сост |
6000 |
|
|
Путейские работы |
Цпр |
6000 |
|
|
Эксплуатация автотранспорта |
Цавт |
7500 |
|
Таблица 4.9
Масса тары вагонов, т/вагон
|
Тип вагона |
Обозначение |
Масса |
Примечание |
|
Полувагон |
пв |
20 |
|
|
Крытый |
кр |
18 |
|
|
Платформа |
пл |
15 |
|
|
Цистерна |
цс |
25 |
|
|
Прочие |
пр |
20 |
|
Таблица 4.10
Зарплата работников ОПЖТ
|
Должность |
Условное обозначение |
Значение |
Примечания |
|
Зарплата члена локомотивной бригады, руб/мес. |
Сл.бр |
3000 |
|
|
Зарплата составителя, руб/мес. |
Ссост |
2800 |
|
|
Зарплата 1-го приемщика вагонов, руб/мес. |
Спр-сд |
2800 |
|
|
Зарплата диспетчера, руб/мес. |
Сд |
2800 |
|
|
Зарплата начальника локомотивного депо, руб/мес. |
Сн |
3500 |
|
|
Зарплата зам. начальника локомотивного депо, руб/мес. |
Сз |
3200 |
|
|
Средняя зарплата рабочего локомотивного депо, руб/мес. |
Сстэ |
2000 |
|
|
Зарплата начальника участка по ремонту пути (начальника службы пути), руб/мес. |
Сн.сл.п |
3500 |
|
|
Зарплата зам. начальника участка по ремонту пути, руб/мес. |
Сз.н.сл.п |
3200 |
|
|
Зарплата бригадира по ремонту пути (зам. начальника службы пути), руб/мес. |
Сбр.п |
3000 |
|
|
Средняя зарплата монтера по ремонту пути, руб/мес. |
Смон |
2500 |
|
|
Средняя зарплата работника СЦБ и связи, руб/мес. |
Ссв |
2200 |
|
|
Средняя зарплата водителя автотранспорта, руб/мес. |
Савт |
2200 |
|
|
Средняя зарплата 1-го работника АУП, руб/мес. |
Сауп |
2500 |
|
Таблица 4.11
Данные, дифференцированные по конкретным транспортировкам
|
i |
Основной тип вагона |
Расстояние транспортировки, li, км |
Объем транспортировки, т |
Отчетное количество переработанных вагонов Niгрф |
Кол-во переработок одного вагона на технических станциях ki |
|
|
прогнозируемый Qi |
отчетный Qiф |
|||||
|
1 |
пл |
1 |
163 |
125 |
2 |
3 |
|
2 |
пв |
1 |
181 |
139 |
2 |
3 |
|
3 |
пв |
1 |
243 |
187 |
3 |
3 |
|
4 |
пв |
1 |
822 |
632 |
15 |
3 |
|
5 |
кр |
1 |
234 |
180 |
4 |
3 |
|
6 |
пв |
1 |
4233 |
3256 |
48 |
3 |
|
7 |
пв |
3 |
23540 |
18108 |
274 |
3 |
|
8 |
пв |
3 |
3838 |
2952 |
59 |
3 |
|
9 |
кр |
4 |
625 |
481 |
8 |
3 |
|
10 |
кр |
4 |
66 |
51 |
1 |
3 |
|
11 |
кр |
4 |
6191 |
4762 |
116 |
3 |
|
12 |
пв |
4 |
3011 |
2316 |
37 |
3 |
|
13 |
пв |
4 |
1559 |
1199 |
18 |
3 |
|
14 |
пв |
5 |
34228 |
26329 |
423 |
3 |
|
15 |
кр |
5 |
250 |
192 |
3 |
3 |
|
16 |
пв |
6 |
4062 |
3125 |
51 |
3 |
|
17 |
кр |
6 |
1179 |
907 |
14 |
3 |
|
18 |
цс |
11 |
21368 |
16437 |
270 |
3 |
|
19 |
цс |
12 |
2278 |
1752 |
29 |
3 |
|
20 |
кр |
12 |
252 |
194 |
3 |
3 |
|
21 |
кр |
12 |
5483 |
4218 |
94 |
3 |
|
22 |
пв |
14 |
66794 |
51380 |
770 |
3 |
|
23 |
пл |
19 |
1087 |
836 |
15 |
3 |
|
24 |
кр |
19 |
332 |
255 |
9 |
3 |
|
25 |
цс |
19 |
316 |
243 |
7 |
3 |
|
26 |
пл |
21 |
706 |
543 |
12 |
3 |
|
27 |
кр |
21 |
560 |
431 |
7 |
3 |
|
28 |
пв |
21 |
11419 |
8784 |
139 |
3 |
|
29 |
цс |
22 |
8980 |
6908 |
120 |
3 |
|
30 |
кр |
22 |
230 |
177 |
3 |
3 |
|
31 |
цс |
22 |
3524 |
2711 |
75 |
3 |
|
32 |
кр |
22 |
7056 |
543 |
9 |
3 |
|
По участку |
0 |
|
214810 |
160353 |
2640 |
|
Выполнение расчетов:
Данные в табл. 4.12 определяются в следующей последовательности.
1. По формулам (4.4)-(4.7) рассчитываются соответственно данные в графах 2-5.
2. По формулам (4.3) и (4.9) рассчитываются соответственно данные в графах 6 и 7.
3. По формуле (4.14) рассчитываются данные в графе 8.
4. По формулам (4.11), (4.13), (4.18) и (4.19) соответственно рассчитываются данные в графах 9, 10, 11 и 12.
5. Грузооборот нетто (графа 14) определяется умножением дальности транспортировки на прогнозируемый объем транспортировки, грузооборот брутто (графа 15) рассчитывается по формуле (4.40).
Таблица 4.12
Показатели работы (измерители)
|
Стат. нагрузка qi |
Кол-во груженых вагонов Niгр |
Кол-во порожних вагонов Niпор |
Общее кол-во вагонов Nпр-сд |
Кол-во рейсов |
Кол-во переработок вагонов Nперi |
Локомотиво-часы |
Грузооборот |
|||||||
|
холостых nxi |
с вагонами nтс-пвi |
на передвижение вагонов Лпер |
на маневровые операции Лманi |
на другие операции Лдi |
общие Лi |
отчетный нетто Qliф |
Прогнозируемый нетто Qli |
Прогнозируемый брутто Гбрi, |
||||||
|
1 |
2 |
3 |
4 |
5 |
6 |
7 |
8 |
9 |
10 |
11 |
12 |
13 |
14 |
15 |
|
1 |
62,5 |
2,6 |
2,5 |
5,1 |
1,93 |
1,02 |
15 |
3,29 |
1,27 |
0,46 |
5,02 |
125 |
163 |
1200,5 |
|
2 |
69,5 |
2,6 |
2,5 |
5,1 |
1,93 |
1,02 |
15 |
3,29 |
1,27 |
0,46 |
5,01 |
139 |
181 |
1242,4 |
|
3 |
62,3 |
3,9 |
3,7 |
7,6 |
2,89 |
1,52 |
23 |
4,92 |
1,90 |
0,68 |
7,51 |
187 |
243 |
1831,8 |
|
4 |
42,1 |
19,5 |
18,5 |
38,0 |
14,46 |
7,61 |
114 |
24,64 |
9,51 |
3,42 |
37,57 |
632 |
822 |
8773,1 |
|
5 |
45,0 |
5,2 |
4,9 |
10,1 |
3,85 |
2,03 |
30 |
6,57 |
2,54 |
0,91 |
10,01 |
180 |
234 |
2333,0 |
|
6 |
67,8 |
62,4 |
59,3 |
121,7 |
46,24 |
24,34 |
365 |
78,82 |
30,42 |
10,92 |
120,16 |
3256 |
4233 |
29665,3 |
|
7 |
66,1 |
356,2 |
338,4 |
694,6 |
263,94 |
138,92 |
2084 |
484,61 |
173,64 |
65,83 |
724,09 |
54324 |
70620 |
268574,8 |
|
8 |
50,0 |
76,7 |
72,9 |
149,6 |
56,84 |
29,92 |
449 |
104,36 |
37,40 |
14,18 |
155,94 |
8856 |
11514 |
54144,5 |
|
9 |
60,1 |
10,4 |
9,9 |
20,3 |
7,70 |
4,05 |
61 |
14,65 |
5,07 |
1,97 |
21,69 |
1924 |
2500 |
8885,1 |
|
10 |
51,0 |
1,3 |
1,2 |
2,5 |
0,96 |
0,50 |
8 |
1,82 |
0,63 |
0,25 |
2,70 |
204 |
264 |
1058,9 |
|
11 |
41,1 |
150,8 |
143,3 |
294,1 |
111,75 |
58,82 |
882 |
212,53 |
73,52 |
28,61 |
314,66 |
19048 |
24764 |
117398,9 |
|
12 |
62,6 |
48,1 |
45,7 |
93,8 |
35,64 |
18,76 |
281 |
67,79 |
23,45 |
9,12 |
100,37 |
9264 |
12044 |
42341,8 |
|
13 |
66,6 |
23,4 |
22,2 |
45,6 |
17,34 |
9,13 |
137 |
32,98 |
11,41 |
4,44 |
48,83 |
4796 |
6236 |
20977,3 |
|
14 |
62,2 |
549,9 |
522,4 |
1072,3 |
407,48 |
214,46 |
3217 |
801,78 |
268,08 |
106,99 |
1176,85 |
131645 |
171140 |
558245,5 |
|
15 |
64,0 |
3,9 |
3,7 |
7,6 |
2,89 |
1,52 |
23 |
5,70 |
1,90 |
0,76 |
8,36 |
960 |
1250 |
3923,6 |
|
16 |
61,3 |
66,3 |
63,0 |
129,3 |
49,12 |
25,85 |
388 |
99,89 |
32,32 |
13,22 |
145,43 |
18750 |
24372 |
75950,4 |
|
17 |
64,8 |
18,2 |
17,3 |
35,5 |
13,49 |
7,10 |
106 |
27,42 |
8,87 |
3,63 |
39,92 |
5442 |
7074 |
20807,5 |
|
18 |
60,9 |
351,0 |
333,4 |
684,4 |
260,09 |
136,89 |
2053 |
614,44 |
171,11 |
78,55 |
864,10 |
180807 |
235048 |
638187,2 |
|
19 |
60,4 |
37,7 |
35,8 |
73,5 |
27,94 |
14,71 |
221 |
67,84 |
18,38 |
8,62 |
94,85 |
21024 |
27336 |
73438,0 |
|
20 |
64,7 |
3,9 |
3,7 |
7,6 |
2,89 |
1,52 |
23 |
7,01 |
1,90 |
0,89 |
9,80 |
2328 |
3024 |
7606,2 |
|
21 |
44,9 |
122,2 |
116,1 |
238,3 |
90,54 |
47,65 |
715 |
219,86 |
59,57 |
27,94 |
307,37 |
50616 |
65796 |
209474,4 |
|
22 |
66,7 |
1001,0 |
951,0 |
1952,0 |
741,74 |
390,39 |
5856 |
1898,68 |
487,99 |
238,67 |
2625,34 |
719320 |
935116 |
2307336,9 |
|
23 |
55,7 |
19,5 |
18,5 |
38,0 |
14,45 |
7,61 |
114 |
41,75 |
9,51 |
5,13 |
56,38 |
15884 |
20653 |
51002,5 |
|
24 |
28,3 |
11,7 |
11,1 |
22,8 |
8,68 |
4,57 |
69 |
25,08 |
5,71 |
3,08 |
33,87 |
4845 |
6308 |
25844,2 |
|
25 |
34,7 |
9,1 |
8,6 |
17,8 |
6,75 |
3,55 |
53 |
19,49 |
4,44 |
2,39 |
26,31 |
4617 |
6004 |
21855,3 |
|
26 |
45,3 |
15,6 |
14,8 |
30,4 |
11,56 |
6,08 |
91 |
34,92 |
7,61 |
4,25 |
46,78 |
11403 |
14826 |
41112,6 |
|
27 |
61,6 |
9,1 |
8,6 |
17,7 |
6,74 |
3,55 |
53 |
20,36 |
4,43 |
2,48 |
27,27 |
9051 |
11760 |
28200,8 |
|
28 |
63,2 |
180,7 |
171,7 |
352,4 |
133,90 |
70,47 |
1057 |
404,41 |
88,09 |
49,25 |
541,75 |
184464 |
239799 |
581234,7 |
|
29 |
57,6 |
156,0 |
148,2 |
304,2 |
115,59 |
60,84 |
913 |
356,72 |
76,05 |
43,28 |
476,05 |
151976 |
197560 |
503875,8 |
|
30 |
59,0 |
3,9 |
3,7 |
7,6 |
2,89 |
1,52 |
23 |
8,91 |
1,90 |
1,08 |
11,90 |
3894 |
5060 |
12380,4 |
|
31 |
36,1 |
97,5 |
92,6 |
190,1 |
72,24 |
38,02 |
570 |
222,94 |
47,53 |
27,05 |
297,52 |
59642 |
77528 |
268967,6 |
|
32 |
60,3 |
117,0 |
111,1 |
228,1 |
86,66 |
45,61 |
684 |
267,44 |
57,01 |
32,45 |
356,90 |
11946 |
155232 |
374847,1 |
|
По участку |
60,7 |
3537,3 |
3360,4 |
6897,7 |
2621,12 |
1379,54 |
20693 |
6184,92 |
1724,42 |
790,93 |
8700,28 |
169154 |
2338704 |
6362717,9 |
Таблица 4.13
Заработная плата
|
Условное обозначение |
Зарплата в год без начисл., руб. |
Зарплата в год с начисл., руб. |
Относится на измеритель |
|
|
Начальник и зам. начальника службы пути |
Зн.сл.п |
61530 |
84604 |
Гб |
|
Мастера и монтеры пути |
Змон |
382812 |
526367 |
Гб |
|
Ремонтники устройств сигнализации и связи |
Зсв |
79200 |
108900 |
Гб |
|
Итого относится на грузооборот брутто |
719871 |
|
||
|
Водители автотранспорта и др. работники |
Завт |
106097 |
145883 |
Q |
|
Машинисты и составители |
Збр |
578945 |
796050 |
(лок-час) |
|
Начальник и зам. начальника депо |
Зн,зам |
37307 |
51297 |
(лок-час) |
|
Слесари, токари, электромонтеры депо и др. |
Зс,т,э |
167045 |
229687 |
(лок-час) |
|
Итого относится на локомотиво-часы |
1077034 |
|
||
|
Административно-управленческий персонал |
Зауп |
330000 |
453750 |
Nпр-сд |
|
Приемосдатчики |
Зпр-сд |
16899 |
23237 |
Nпр-сд |
|
Итого относится на вагонооборот |
476987 |
|
||
|
Диспетчеры |
Зд |
76534 |
105234 |
Nпер |
|
Всего по заработной плате |
1836370 |
2525009 |
|
|
Таблица 4.14
Затраты на топливо и ГСМ
|
Затраты топлива |
Условное обозначение |
Измеритель |
Величина измерителя |
Норма на измеритель |
Расход, тонн |
Затраты, руб. в год |
Относится на измеритель |
|
На передвижение локомотива с вагонами и без |
Зтдв |
Гбр |
6362717,9 |
4,02Е-06 |
25,58 |
153469 |
Гбр |
|
На простои локомотивов в горячем состоянии |
Згор |
Лд |
790,93 |
0,007 |
5,54 |
33219 |
Гбр |
|
На путейские работы |
Зтпр |
Lп |
|
|
18,092 |
108552 |
Гбр |
|
Итого относится на грузооборот брутто |
580552 |
|
|||||
|
На эксплуатацию автотранспорта |
Завт |
Тавт |
|
|
17,731 |
132983 |
Nпр-сд |
|
На маневровую работу |
Зт.ман |
Лман |
1724,42 |
2,00Е-02 |
34,49 |
206931 |
Nпер |
|
На прочие нужды |
|
|
1 |
1 |
1047134 |
1047134 |
Nпер |
|
Итого относится на число переработок вагонов |
1254065 |
|
|||||
|
Всего затраты на топливо и ГСМ |
1682287 |
|
|||||
Таблица 4.15
Другие материальные затраты
|
Вид работ |
Затраты по отчету, руб. в год |
Затраты по прогнозу, руб. в год |
Относится на измеритель |
|
Текущее содержание пути |
366728 |
366728 |
Гбр |
|
Капитальный ремонт пути |
224983 |
336000 |
Гбр |
|
Средний ремонт пути |
75595 |
150000 |
Гбр |
|
Итого относится на грузооборот брутто |
852728 |
|
|
|
На эксплуатацию локомотивов |
36885 |
40000 |
лок-час |
|
Смена стрелочных переводов |
70599 |
142000 |
Nпр-сд |
|
На эксплуатацию автотранспорта |
92384 |
100000 |
Nпр-сд |
|
На эксплуатацию СЦБ и связи |
137037 |
140000 |
Nпр-сд |
|
На содержание зданий и сооружений |
187200 |
200000 |
Nпр-сд |
|
Прочие материальные затраты |
|
|
Nпр-сд |
|
Итого относится на вагонооборот |
582000 |
|
|
|
Всего затрат на другие материалы |
1191411 |
1474728 |
|
Таблица 4.16
Амортизационные отчисления
|
Фонды |
Балансовая стоимость |
Доля участка |
Норма амортизации |
Отчисления |
Относится на измеритель |
|
|
отчет |
прогноз |
|||||
|
Путевая техника |
||||||
|
Базовый тягач |
196174 |
196174 |
1 |
0,083 |
16282 |
Гбр |
|
Тракторный прицеп |
11162 |
11162 |
0,6 |
0,125 |
837 |
Гбр |
|
Дрезина |
244688 |
244688 |
1 |
0,048 |
11745 |
Гбр |
|
Хоппер-дозатор |
83200 |
83200 |
0,6 |
0,04 |
1997 |
Гбр |
|
Экскаватор |
10630 |
10630 |
0,6 |
0,125 |
797 |
Гбр |
|
Сварочные аппараты |
3512 |
3512 |
1 |
0,11 |
386 |
Гбр |
|
Автопогрузчик |
18090 |
18090 |
0,2 |
0,189 |
684 |
Гбр |
|
Автокран |
208400 |
208400 |
0,2 |
0,091 |
3793 |
Гбр |
|
Снегоочиститель |
589557 |
589557 |
0,8 |
0,083 |
39147 |
Гбр |
|
Здания |
482463 |
482463 |
1 |
0,025 |
12062 |
Гбр |
|
Автотранспорт |
|
|
|
|
42587 |
Гбр |
|
Итого относится на грузооборот брутто |
130317 |
|
||||
|
Здание депо |
776472 |
776472 |
1 |
0,012 |
9318 |
Ql |
|
Железнодорожные пути |
13275000 |
13275000 |
1 |
0,04 |
531000 |
Ql |
|
Сигнализация и связь |
|
|
|
|
18511 |
Ql |
|
Итого относится на грузооборот нетто |
558829 |
|
||||
|
Локомотивы |
1509491 |
1509491 |
1 |
0,05 |
75475 |
(лок-час) |
|
Оборудование депо |
440721 |
440721 |
1 |
0,056 |
24680 |
(лок-час) |
|
Прочие основные фонды |
|
|
|
|
|
(лок-час) |
|
Итого относится на локомотиво-часы |
|
|
100155 |
|
||
|
Всего амортизационных отчислений |
789301 |
|
||||
Таблица 4.17
Прочие расходы
|
Затраты по отчету, руб. в год |
Затраты по прогнозу, руб. в год |
Относится на измеритель |
|
|
Подготовка кадров |
7348 |
8818 |
Ql |
|
Налог на землю |
62091 |
74509 |
Ql |
|
Налог на пользователей дорог |
97274 |
116729 |
Ql |
|
Налог на охрану окруж. среды |
2438 |
2926 |
Ql |
|
Итого относится на грузооборот нетто |
202982 |
|
|
|
Налог на транспортные средства |
3407 |
4088 |
Q |
|
Содержание автотранспорта |
17970 |
21564 |
Q |
|
Ремонт оргтехники |
2906 |
3487 |
Q |
|
Охрана предприятия |
46226 |
55471 |
Q |
|
Остальные прочие |
24143 |
28972 |
Q |
|
Итого относится на перевезенные тонны |
113582 |
|
|
|
Всего прочих затрат |
263803 |
316564 |
|
Таблица 4.18
Расходные ставки
|
Ед. измерения |
Расходы, руб/год |
Величина измерителя |
Расходная ставка, руб/изм. |
|
|
Грузооборот брутто Гбр |
ткм брутто |
1998156 |
6362718 |
0,31 |
|
Грузооборот нетто Ql |
ткм нетто |
761811 |
2338704 |
0,33 |
|
Объем транспортировки Q |
тонн |
259465 |
214810 |
1,21 |
|
Общие локомотиво-часы Л |
лок-ч |
1217189 |
8700 |
139,90 |
|
Количество переработанных вагонов Nпр-сд |
ваг |
1191969 |
6898 |
172,81 |
|
Число операций по переработке Nпер |
опер. |
1359299 |
20693 |
65,69 |
|
Итого |
|
6787889 |
|
|
Таблица 4.19
Тарифные ставки
|
Дальность транспортировки, км |
Прогнозируемый объем транспорт., т |
Тариф на тонну, без прибыли |
Тариф на тонну с рентабельностью 35 % |
Тариф на тонно-км с рентабельностью 35 % |
Прогнозируемый годовой доход, руб. |
|
|
1 |
1 |
163 |
19,7 |
26,6 |
26,6 |
4334 |
|
2 |
1 |
181 |
17,9 |
24,2 |
24,2 |
4384 |
|
3 |
1 |
243 |
19,8 |
26,7 |
26,7 |
6493 |
|
4 |
1 |
822 |
28,4 |
38,3 |
38,3 |
31513 |
|
5 |
1 |
234 |
26,7 |
36,0 |
36,0 |
8428 |
|
6 |
1 |
4233 |
18,3 |
24,8 |
24,8 |
104797 |
|
7 |
3 |
23540 |
21,0 |
28,3 |
9,4 |
666883 |
|
8 |
3 |
3838 |
26,7 |
36,1 |
12,0 |
138417 |
|
9 |
4 |
625 |
23,8 |
32,2 |
8,0 |
20103 |
|
10 |
4 |
66 |
27,4 |
37,0 |
9,3 |
2443 |
|
11 |
4 |
6191 |
33,1 |
44,7 |
11,2 |
277028 |
|
12 |
4 |
3011 |
23,1 |
31,2 |
7,8 |
93951 |
|
13 |
4 |
1559 |
21,9 |
29,6 |
7,4 |
46190 |
|
14 |
5 |
34228 |
24,4 |
32,9 |
6,6 |
1125449 |
|
15 |
5 |
250 |
23,7 |
32,0 |
6,4 |
8003 |
|
16 |
6 |
4062 |
25,8 |
34,8 |
5,8 |
141555 |
|
17 |
6 |
1179 |
24,6 |
33,2 |
5,5 |
39114 |
|
18 |
11 |
21368 |
31,7 |
42,8 |
3,9 |
913734 |
|
19 |
12 |
2278 |
33,0 |
44,6 |
3,7 |
101499 |
|
20 |
12 |
252 |
31,2 |
42,1 |
3,5 |
10611 |
|
21 |
12 |
5483 |
41,0 |
55,4 |
4,6 |
303711 |
|
22 |
14 |
66794 |
32,9 |
44,4 |
3,2 |
2968849 |
|
23 |
19 |
1087 |
42,3 |
57,1 |
3,0 |
62117 |
|
24 |
19 |
332 |
71,6 |
96,6 |
5,1 |
32079 |
|
25 |
19 |
316 |
61,5 |
83,1 |
4,4 |
26255 |
|
26 |
21 |
706 |
51,5 |
69,6 |
3,3 |
49127 |
|
27 |
21 |
560 |
42,4 |
57,2 |
2,7 |
32046 |
|
28 |
21 |
11419 |
42,1 |
56,8 |
2,7 |
648751 |
|
29 |
22 |
8980 |
45,9 |
62,0 |
2,8 |
556940 |
|
30 |
22 |
230 |
44,7 |
60,4 |
2,7 |
13892 |
|
31 |
22 |
3524 |
64,1 |
86,5 |
3,9 |
304988 |
|
32 |
22 |
7056 |
44,1 |
59,5 |
2,7 |
419968 |
|
|
|
214810 |
|
|
|
9163651 |
|
ГОСТЫ, СТРОИТЕЛЬНЫЕ и ТЕХНИЧЕСКИЕ НОРМАТИВЫ. Некоммерческая онлайн система, содержащая все Российские Госты, национальные Стандарты и нормативы. В Системе содержится более 150000 файлов нормативно-технической документации, действующей на территории РФ. Система предназначена для широкого круга инженерно-технических специалистов. Copyright © www.gostrf.com, 2008 - 2026 |