Крупнейшая бесплатная информационно-справочная система онлайн доступа к полному собранию технических нормативно-правовых актов РФ. Огромная база технических нормативов (более 150 тысяч документов) и полное собрание национальных стандартов, аутентичное официальной базе Госстандарта. GOSTRF.com - это более 1 Терабайта бесплатной технической информации для всех пользователей интернета. Все электронные копии представленных здесь документов могут распространяться без каких-либо ограничений. Поощряется распространение информации с этого сайта на любых других ресурсах. Каждый человек имеет право на неограниченный доступ к этим документам! Каждый человек имеет право на знание требований, изложенных в данных нормативно-правовых актах!

  


 

ФГУП ВСЕРОССИЙСКИЙ НАУЧНО-ИССЛЕДОВАТЕЛЬСКИЙ ИНСТИТУТ СЕРТИФИКАЦИИ (ВНИИС) ГОССТАНДАРТА РОССИИ

 

РЕКОМЕНДАЦИИ
Методика менеджмента процессов в системе качества

 

Р 50-601-46-2004

 

Москва 2004

СОДЕРЖАНИЕ

АННОТАЦИЯ

Вместо предисловия.

1 Общие положения

2 Обозначения и сокращения

3 Термины и определения

4 Ключевые понятия менеджмента, относящиеся к процессному подходу

4.1 Процессный и функциональный подход к менеджменту

4.2 Содержание понятия процесса в менеджменте качества

4.3 Система процессов

4.4 Структурирование (декомпозиция) процессов

4.5 Результативность и эффективность процесса

4.6 Целеполагание

4.7Добавление ценности

5 Менеджмент процесса с позиций стандартов ИСО серии 9000

5.1 Планирование процесса

5.2 Обеспечение процесса

5.3 Управление процессом

5.4 Улучшение процесса

5.5 Цикличность этапов менеджмента процессов

6 Инструментарий для менеджмента процесса

6.1 Использование цикла PDCA (цикла Деминга) для менеджмента процесса

6.2 Цикл В.Н.И.И.С.

6.2.1 Выявите проблему

6.2.2 Найдите решение

6.2.3 Исполните запланированное

6.2.4 Исследуйте результат

6.2.5 Стандартизуйте обновлённый процесс

6.3 Методика описания процесса для анализа и стандартизации

6.3.1 Методы схематического изображения процесса

6.3.2 Построение диаграммы последовательности (алгоритма) процесса

6.3.3 Описание неопределённых процессов

6.3.4 Составление карты процесса

7 Библиография

Приложение.

 

АННОТАЦИЯ

В Рекомендациях в простой форме рассматриваются вопросы практического применения процессного подхода к планированию и обеспечению процессов в системе менеджмента качества, управлению ими и их улучшению. Они адресованы широкому кругу специалистов и руководителей как производственных, так и функциональных подразделений организации и в первую очередь тем из них, кто принимает участие в разработке, внедрении или совершенствовании системы менеджмента качества.

Вместо предисловия.

Как использовать рекомендации «Методика менеджмента процессов в системе качества»

Настоящие Рекомендации предназначены, прежде всего, для руководителей, ответственных за процессы разного уровня, а также исполнителей, участвующих в планировании и обеспечении процессов, управлении ими и их улучшении, организаций любого размера, видов деятельности и любой степени развития системы менеджмента.

Содержание Рекомендаций разделено на три основные части. В первой раскрыты ключевые понятия, с которыми необходимо ознакомиться для понимания сущности процессного подхода. Во второй части раскрыто содержание предлагаемого подхода к менеджменту процессов в системе качества. Третья часть содержит описание инструментов, применяемых для менеджмента процессов.

С практической точки зрения могут быть предложены следующие шаги по постановке менеджмента процессов на основе изложенного в Рекомендациях подхода.

ШАГ 1 - Формирование системы процессов

Шаг 1 выполняется командой высших руководителей.

Приступая к работе «с нуля», организация должна определить всю совокупность процессов, необходимых для СМК на макроуровне, и их взаимодействие. Подробнее об этом см. в п. 4.3 Рекомендаций. На этом шаге необходимо определить лиц, ответственных за процессы макроуровня. Часто этих людей называют менеджерами процесса или хозяевами, владельцами процесса (далее в Рекомендациях - менеджер процесса). При необходимости руководство организации может провести декомпозицию процессов макроуровня (подробнее об этом см. в п. 4.4) для уточнения ответственности и полномочий (определения менеджеров процессов).

ШАГ 2 - Планирование процесса

Работа Шага 2 организуется группой, определённой менеджером процесса. Для каждого процесса, определённого на первом шаге, должен быть выполнен этап планирования, включая формулировку цели процесса (п. 4.6). Подробнее об этапе планирования процесса см. в п. 5.1.

ШАГ 3 - Обеспечение процесса

Работа Шага 3 организуется группой, определённой менеджером процесса. Для каждого процесса, определённого на первом шаге, должен быть выполнен этап обеспечения. Подробнее об этапе обеспечения см. в п. 5.2.

Для оценки действий на этом и последующих шагах необходимо оценивать результативность процесса, а лучше - и его результативность, и эффективность (п. 4.5).

ШАГ 4 - Управление процессом

Работа Шага 4 организуется группой, определённой менеджером процесса. Каждый процесс, определённый на первом шаге, необходимо поддерживать в управляемом состоянии. Подробнее об этом см. в п. 5.3.

ШАГ 5 - Улучшение процесса

Работа Шага 5 выполняется группой по улучшению.

Для каждого процесса, определённого на первом шаге и находящегося в управляемом состоянии, для достижения целей улучшения (п. 4.6) необходимо инициировать проведение улучшения в соответствии с п. 5.4. При этом должна быть сформирована группа по улучшению. В зависимости от сложности процесса и размера организации в состав группы могут включаться специалисты и руководители подразделений, участвующих в процессе. Все участники этой деятельности должны принять идеологию PDCA (п. 6.1), выбрать один из практических циклов улучшения для планирования работы группы, например, цикл В.Н.И.И.С. (п. 6.2), освоить и применить на практике методику описания процесса для его анализа и стандартизации (п. 6.3).

Деятельность по менеджменту процессов в системе качества организации многогранна и непрерывна. В действующей организации с установившимися процессами деятельности большинство работ, описанных в данных Рекомендациях, возможно уже выполнено или постоянно выполняется. Там, где система качества соответствует ГОСТ Р ИСО 9001 [2], уже определены процессы, необходимые для СМК, их взаимосвязь, методы оценки результативности и т.д. На практике возможны ситуации, когда первые шаги выполнены и работа начинается с шага 2, 3 или другого. В таком случае необходимо убедиться в полноте реализации предыдущих шагов.

Пройдя все шаги для каждого процесса и используя положения данных Рекомендаций, с большой уверенностью можно будет говорить о надлежащей постановке в организации менеджмента процессов СМК. Дальнейшая задача будет состоять в поддержании этой системы в рабочем состоянии путём периодического повторения этапов планирования, обеспечения, управления и улучшения всех её процессов (рис. 10).

Текст Рекомендаций содержит большое количество перекрёстных ссылок в связи с тесной взаимосвязью различных элементов предлагаемого подхода. В целях лучшего восприятия содержания Рекомендаций при первом ознакомлении с ними целесообразно последовательно прочитать весь текст, не обращая внимания на ссылки. Уже в практической работе ссылки помогут быстрее найти материал, связанный с рассматриваемой темой.

Авторы рекомендуют обратиться к содержанию названных выше шагов ещё раз после прочтения всего текста Рекомендаций.

РЕКОМЕНДАЦИИ

РЕКОМЕНДАЦИИ
Методика менеджмента процессов в системе качества

Р 50-601-46-2004

Дата введения 2004-03-31

1 Общие положения

Процессный подход является в настоящее время одним из доминирующих методических подходов, применяемых в менеджменте. Поэтому естественно, что он положен в основу стандартов ИСО серии 9000 версии 2000 г. как один из восьми принципов менеджмента качества.

Пункт 2.4 «Процессный подход» ГОСТ Р ИСО 9000 [1] устанавливает:

«Любая деятельность или комплекс деятельности, в которой используются ресурсы для преобразования входов в выходы, может рассматриваться как процесс.

Чтобы результативно функционировать, организации должны определять и управлять многочисленными взаимосвязанными и взаимодействующими процессами. Часто выход одного процесса образует непосредственно вход следующего. Систематическая идентификация и менеджмент применяемых организацией процессов и прежде всего обеспечение их взаимодействия могут считаться "процессным подходом".

Назначение настоящего стандарта - побуждать принятие процессного подхода к менеджменту организации».

Ещё один из восьми принципов менеджмента качества - принцип «системного подхода к менеджменту» раскрывается через систему процессов:

«Выявление, понимание и менеджмент взаимосвязанных процессов как системой вносят вклад в результативность и эффективность организации при достижении ее целей» [7].

Концепция процессного подхода подробно рассмотрена в документе ИСО/ТК 176/ПК 2 № 544R «Руководящие указания по процессному Подходу к системам менеджмента качества» [6].

В п. 4.1 ГОСТ Р ИСО 9001 определены общие требования, которые организация должна реализовать по отношению к процессам системы менеджмента качества.

«Организация должна:

а) определять процессы, необходимые для системы менеджмента качества, и их применение во всей организации;

б) определять последовательность и взаимодействие этих процессов;

в) определять критерии и методы, необходимые для обеспечения результативности как при осуществлении, так и при управлении этими процессами;

г) обеспечивать наличие ресурсов и информации, необходимых для поддержки этих процессов и их мониторинга;

д) осуществлять мониторинг, измерение и анализ этих процессов;

е) принимать меры, необходимые для достижения запланированных результатов и постоянного улучшения этих процессов.

Организация должна осуществлять менеджмент этих процессов в соответствии с требованиями настоящего стандарта».

К сожалению, опыт показывает, что у специалистов (теоретиков и практиков) нет единого понимания того, как именно практически применять процессный подход в повседневной деятельности, что именно необходимо выполнять, чтобы осуществлять менеджмент процессов.

Цель данной методики - предложить руководителям и специалистам, участвующим в разработке и улучшении процессов организации, воспользоваться простой логикой и последовательностью применения известных приемов для менеджмента процессов.

2 Обозначения и сокращения

СМК

- система менеджмента качества

ГОСТ Р

- государственный стандарт Российской Федерации

ИСО

- Международная организация по стандартизации

ИСО/ТК176/ПК2

- второй подкомитет 176-го технического комитета ИСО

PDCA

- цикл «планирование - действие - проверка - воздействие» (цикл Деминга: Plan - Do - Check - Act)

PDPC

- диаграмма процесса принятия решения (Process Decision Program Chart)

IDEF0

- методология функционального моделирования (Integrated Computer Aided Manufacturing Definition)

DFD

- диаграмма потоков данных (Data Flow Diagram)

FMEA

- анализ видов и последствий отказов (Failure Mode and Effects Analysis)

QFD

- развёртывание функций качества (Quality Function Deployment)

3 Термины и определения

В настоящих Рекомендациях используются термины с соответствующими определениями, приведённые в ГОСТ Р ИСО 9000, включая перечисленные ниже:

менеджмент: скоординированная деятельность по руководству и управлению организацией;

менеджмент качества: скоординированная деятельность по руководству и управлению организацией применительно к качеству.

Примечание - Руководство и управление применительно к качеству обычно включает разработку политики в области качества и целей в области качества, планирование качества, управление качеством, обеспечение качества и улучшение качества:

система: совокупность взаимосвязанных и взаимодействующих элементов;

система менеджмента: система для разработки политики и целей и достижения этих целей;

система менеджмента качества: система менеджмента для руководства и управления организацией применительно к качеству;

процесс: совокупность взаимосвязанных и взаимодействующих видов деятельности, преобразующая входы в выходы.

Примечания

1 Входами к процессу обычно являются выходы других процессов.

2 Процессы в организации, как правило, планируются и осуществляются в управляемых условиях с целью добавления ценности.

3 Процессов котором подтверждение соответствия конечной продукции затруднено или экономически нецелесообразно, часто относят к «специальному процессу»;

продукция: результат процесса.

Примечания

1 Имеются четыре общие категории продукции:

- услуги (например перевозки);

- программные средства (например компьютерная программа, словарь);

- технические средства (например узел двигателя);

- перерабатываемые материалы (например смазка).

2 Услуга является результатом, по меньшей мере, одного действия, обязательно осуществленного при взаимодействии поставщика и потребителя, она, как правило, нематериальна;

планирование качества: часть менеджмента качества, направленная на установление целей в области качества и определяющая необходимые операционные процессы жизненного цикла продукции и соответствующие ресурсы для достижения целей в области качества.

Примечание - Разработка планов качества может быть частью планирования качества;

управление качеством: часть менеджмента качества, направленная на выполнение требований к качеству;

обеспечение качества: часть менеджмента качества, направленная на создание уверенности, что требования к качеству будут выполнены;

улучшение качества: часть менеджмента качества, направленная на увеличение способности выполнить требования к качеству.

Примечание - Требования могут относиться к любым аспектам, таким как результативность, эффективность или прослеживаемость;

цели в области качества: цели, которых добиваются или к которым стремятся в области качества.

Примечания

1 Цели в области качества обычно базируются на политике организации в области качества.

2 Цели в области качества обычно устанавливаются для соответствующих функций и уровней организации;

несоответствие: невыполнение требования;

результативность: степень реализации запланированной деятельности и достижения запланированных результатов;

эффективность: связь между достигнутым результатом и использованными ресурсами;

коррекция: действие, предпринятое для устранения обнаруженного несоответствия.

Примечания

1 Коррекция может осуществляться в сочетании с корректирующим действием.

2 Коррекция может включать, например переделку или снижение градации;

корректирующее действие: действие, предпринятое для устранения причины обнаруженного несоответствия или другой нежелательной ситуации.

Примечания

1 У несоответствия может быть несколько причин.

2 Корректирующее действие предпринимается для предотвращения повторного возникновения события, тогда как предупреждающее действие - для предотвращения возникновения события.

3 Существует различие между коррекцией и корректирующим действием;

предупреждающее действие: действие, предпринятое для устранения причины потенциального несоответствия или другой потенциально нежелательной ситуации.

Примечания

1 У потенциального несоответствия может быть несколько причин.

2 Предупреждающее действие предпринимается для предотвращения возникновения события, тогда как корректирующее действие - для предотвращения повторного возникновения события.

Кроме того, в Рекомендациях используются следующие термины:

цель процесса: цель по достижению установленных характеристик процесса и его результатов, которой добиваются по завершении процесса или его цикла;

цель улучшения: цель по улучшению установленных характеристик процесса и его результатов, к которой стремятся и которую планируют достичь через определённый промежуток времени;

подход: форма и методы работы, применяемые в рамках деятельности;

качество процесса: степень соответствия присущих характеристик процесса требованиям;

характеристика процесса: отличительное свойство процесса.

Примечания

1 Характеристика процесса может быть присущей или присвоенной.

2 Характеристика процесса может быть качественной или количественной.

3 «Присущая» означает имеющаяся в чём-то. Прежде всего, это относится к постоянной характеристике. Присущая характеристика процесса, вытекающая из требований к нему, называется характеристикой качества процесса. К таким характеристикам можно отнести характеристики результата процесса (продукции). Примеры присущих характеристик: скорость, температура, время процесса, повторяемость процесса, вариабельность процесса, затраты на процесс.

4 Присвоенные характеристики процесса (например, цена процесса, ответственный за процесс, название или код процесса) не являются характеристиками качества этого процесса.

5 Требования к процессу устанавливаются при его планировании, в том числе в виде цели процесса;

менеджер процесса: должностное лицо, ответственное за менеджмент процесса (планирование, обеспечение, управление и улучшение), имеющее необходимые полномочия и ресурсы для принятия решений на любом из перечисленных этапов;

сильные стороны: достигнутое улучшение в деятельности и ее результатах, выходящее за рамки требований, установленных в системе менеджмента качества;

область, где возможно улучшение: потенциально возможное улучшение в деятельности, направленное на повышение результативности и/или эффективности системы менеджмента качества;

мониторинг: постоянные слежение, надзор, наблюдение, а также измерение или испытание через определённые интервалы времени главным образом с целью регулирования и управления.

4 Ключевые понятия менеджмента, относящиеся к процессному подходу

4.1 Процессный и функциональный подход к менеджменту

В менеджменте превалируют два основных подхода к анализу и построению деятельности организации - функциональный и процессный.

Прежде всего, необходимо отметить, что и функции (подразделения), и процессы существуют в любой организации независимо от подходов, применяемых в менеджменте.

Следуя логике функционального подхода, вся организация рассматривается как набор самостоятельных функций (подразделений), специализирующихся на выполнении отдельных работ. Эти функции пронизываются вертикальными связями иерархической системы подчинённости. Отличительная особенность такого подхода - акцент на оценку, анализ и оптимизацию функции (работы подразделения). При этом предполагается, что оптимизированная работа каждого подразделения однозначно приведёт к оптимальной работе организации в целом.

Применение процессного подхода подразумевает акцент на процессы, выполняемые организацией для достижения главных целей. При этом подразделения рассматриваются не как структурные единицы со своими обособленными целями, а как участники единого бизнес-процесса (см. стрелки на рис. 1). Деятельность всей организации рассматривается как комплекс (сеть) взаимосвязанных процессов. Оценка, анализ и оптимизация проводятся по отношению к процессу в целом, невзирая на возможное снижение эффективности работы отдельной функции (подразделения), ради повышения эффективности всего процесса и создания продукции (результата процесса), более ценной для потребителя.

На практике мы чаще всего имеем дело с сочетанием этих двух подходов при превалировании одного из них. Это часто является источником разногласий и проблем. Например, руководитель, оптимизирующий деятельность своего подразделения исходя из его функций и без оглядки на других участников процесса (т.е. исповедуя функциональный подход), входит в противоречие с менеджером, отвечающим за реализацию договора с конкретным заказчиком, то есть за процесс в целом.

Субоптимизация (псевдооптимизация) - недостаток функционального подхода к менеджменту. За видимым улучшением работы отдельных подразделений могут стоять огромные проблемы и потери для организации в целом. «Преимущество процессного подхода состоит в непрерывности управления, которое он обеспечивает на стыке отдельных процессов в рамках их системы, а также при их комбинации и взаимодействии» [2]. Вот почему «Желаемый результат достигается эффективнее, когда деятельностью и соответствующими ресурсами управляют как процессом» [1].

Это не означает полного отказа от функциональной структуры организации. При построении системы менеджмента организационная структура может оставаться функциональной. Принятие процессного подхода - это, прежде всего, изменение мышления руководителей и работников и расстановка новых акцентов в менеджерской деятельности: главным становится весь процесс, адресованный потребителю, а не удобство работы отдельных подразделений.

Основной выгодой при применении процессного подхода является решение межфункциональных проблем, разрушение невидимых барьеров между подразделениями. Таким образом, в первую очередь при анализе и улучшении надо рассматривать межфункциональные процессы. Обычно это макропроцессы организации. Участниками этих макропроцессов являются многие подразделения организации, результат которых передаётся внешнему потребителю и составляет главную цель деятельности организации, основу её бизнеса.

Рис. 1. Процесс в функциональной структуре

4.2 Содержание понятия процесса в менеджменте качества

Исходя из определения, принятого в разделе 3, процесс можно изобразить, как показано на рис. 2. Входами в процесс обычно являются материальные, информационные и другие потоки, а также услуги. Сам процесс представляет собой преобразование всего того, что представляло собой вход процесса, в его результат, то есть выход. Выходом процесса также могут быть материальные потоки, информация, услуги и т.д.

Рис. 2. Простейшее изображение процесса

Процессы в организации, как правило, планируются и осуществляются в управляемых условиях с целью добавления ценности (п. 4.7 настоящих Рекомендаций).

Требования к результату процесса и его характеристикам идут от потребителя процесса, которым может быть или внешний по отношению к организации субъект, или структурное подразделение самой организации (рис. 3). В свою очередь, руководители и участники процесса предъявляют требования к входам процесса и, соответственно, его поставщикам - внешним поставщикам организации или её структурным подразделениям. Со сторонними организациями требования обсуждаются в рамках договорной работы и устанавливаются в договорах (контрактах). Требования к структурным подразделениям устанавливаются в документированных процедурах СМК или иных внутренних документах организации, например в технологических регламентах.

Внутри процесса проводятся все те действия, которые необходимы для достижения цели процесса, получения его результата. Часто такие действия представляют собой строгую последовательность, которую можно представить в виде алгоритма процесса (п. 6.3.2).

Обычно имеется возможность измерять и осуществлять мониторинг характеристик входа процесса, самого процесса, а также его выхода (результата) для подтверждения соответствия установленным требованиям (рис. 3). Процесс, в котором подтверждение соответствия конечного результата предъявляемым требованиям затруднено или экономически нецелесообразно, часто относят к «специальному процессу» [1].

МОНИТОРИНГ И ИЗМЕРЕНИЯ

Рис. 3. Процесс в цепочке поставок

4.3 Система процессов

Стандарт ГОСТ Р ИСО 9001 требует от организации, чтобы она осуществляла менеджмент процессов, необходимых для СМК, в соответствии с его требованиями. Модель системы менеджмента качества, основанной на процессном подходе, изображенная на рис. 1 ГОСТ Р ИСО 9001, показывает основные процессы организации, на которые распространяется этот стандарт. К таким процессам, в соответствии с примечанием к п. 4.1 ГОСТ Р ИСО 9001, следует относить процессы управленческой деятельности высшего руководства, обеспечения ресурсами, процессы жизненного цикла продукции и измерения, анализа и улучшения (рис. 4).

Каждая организация определяет свою систему (сеть) процессов, необходимых для СМК. На состав и вид системы процессов будут влиять такие факторы как:

- особенности деятельности организации;

- виды выпускаемой продукции и предоставляемых услуг;

- размер организации;

- область применения СМК (в соответствии с п. 1.2 ГОСТ Р ИСО 9001).

На рис. 4 показаны примеры процессов, относящихся к четырём блокам модели СМК. К большинству из них стандарт ГОСТ Р ИСО 9001 [2] предъявляет требования, а в стандарте ГОСТ Р ИСО 9004 [3] содержатся рекомендации по их проведению и улучшению. Приведённые на рис. 4 примеры не исчерпывают всего перечня процессов СМК организации, так, например, на схеме не представлен процесс управления документацией (включая записи).

Рис 4. Типичная структура процессов СМК

Определив процессы, необходимые для системы качества, организации желательно построить их в виде законченной модели, например, изобразив получившуюся систему (сеть) процессов в виде блок-схемы или диаграммы потоков. Пример условного изображения сети процессов организации, приведённый в [6], представлен на рис. 5.

Рис. 5. Схематичное изображение сети процессов СМК организации

4.4 Структурирование (декомпозиция) процессов

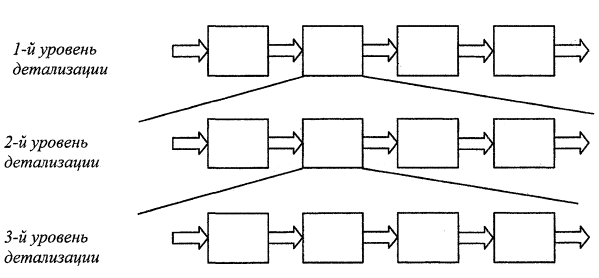
Выбирая поочередно для анализа какой-либо процесс одного из представленных на рис. 4 блоков, необходимо сначала рассмотреть этот процесс на макроуровне, чтобы было удобно проследить его взаимосвязь с другими процессами системы или заинтересованными сторонами, а далее осуществлять его структурирование (декомпозицию) до уровня, определяемого поставленной задачей, имеющимися в процессе проблемами, неясностями и т.п. Например, определяя участие подразделений в процессе закупок, следует детализировать весь процесс до уровня, на котором проявится их взаимодействие - это будет первый уровень декомпозиции. Если же в какой-то части процесса возникла проблема, то эту часть необходимо детализировать до уровня, на котором будет видна причина проблемы, вплоть до отдельных операций конкретного исполнителя.

Условное изображение декомпозиции процессов по уровням анализа приведено на рис. 6.

В первую очередь и наиболее глубоко и подробно целесообразно проанализировать ключевые процессы, имеющие максимальное влияние на результаты деятельности организации.

В менеджменте качества нет необходимости детализировать каждый процесс до элементарного уровня (в отличие, например, от задач автоматизации процесса). Критериями необходимости детализации описания и анализа процесса могут быть:

- наличие проблемы в процессе, частые сбои в работе процесса, его низкая результативность;

- высокий риск возникновения ошибок в процессе;

- необходимость определить роль участников процесса.

Рис. 6. Структурирование (декомпозиция) процессов

4.5 Результативность и эффективность процесса

Степень достижения цели процесса - это его результативность. Результативность определяется через сопоставление плановых и фактических значений характеристик деятельности (процесса) и достигнутых результатов.

Примером такой оценки может быть сопоставление в процессе термообработки металлических деталей фактической и запланированной (заданной технологией) температур термообработки и сопоставление фактической и заданной характеристик твёрдости материала детали на выходе процесса. Другой промер - процесс обучения персонала. В данном случае оценку результативности можно провести сопоставив количество и состав тем, предусмотренных программой обучения, и фактически прочитанных преподавателем, а также сопоставив количество слушателей, успешно сдавших тест по окончании обучения с численным составом группы.

Набор характеристик, используемых для оценки результативности процесса определяется требованиями, установленными при планировании процесса. Количество таких характеристик зависит от сложности процесса и его результата. Кроме того, для объективной оценки необходима обоснованная выборки фактических значений характеристик или постоянный мониторинг таких значений. Пункт 8.2.3 стандарта ГОСТ Р ИСО 9001 содержит требование проводить мониторинг (измерения) процессов для демонстрации их способности достигать запланированных результатов.

В большинстве случаев набор характеристик процесса, методы и средства, применяемые для оценки результативности, индивидуальны для каждого процесса. Можно назвать лишь несколько универсальных характеристик, например, количество несоответствий, время выполнения процесса, объём произведённой продукции (предоставленных услуг). Однако для всесторонней оценки результативности и принятия решений при управлении и улучшении процесса этого набора характеристик недостаточно. Поэтому целесообразно определить методы и средства, с помощью которых будут определяться фактические характеристики конкретного процесса для оценки его результативности и принятия решений.

Вопрос эффективности процесса чаще всего остаётся за рамками требований потребителя процесса и требований ГОСТ Р ИСО 9001. Задача более эффективного использования ресурсов для достижения цели процесса ставится, прежде всего, руководителями организации, менеджером процесса и другими заинтересованными сторонами. Оценка эффективности процесса - задача более сложная, для её решения требуются дополнительные усилия, новые критерии и методы оценки. Необходимо оценить (по возможности, измерить) объёмы ресурсов, использованных для выполнения процесса — финансовых, временных, информационных, человеческих и т.д., сопоставив их с полученными результатами. К наиболее распространённым методам оценки эффективности процесса с финансовой точки зрения можно отнести анализ затрат на качество и функционально-стоимостной анализ.

Подходы к оценке и повышению как результативности, так и эффективности процессов (и системы процессов в целом) рассматриваются в стандарте ГОСТ Р ИСО 9004 [3].

4.6 Целеполагание

Следует разделять два вида целей - цель процесса и цель улучшения процесса (см. раздел 3 «Термины и определения»).

Цель процесса явно или неявно установлена для любого процесса - это то, ради чего процесс выполняется, то есть его планируемые результаты. Цель процесса устанавливается на этапе его планирования (п. 5.1 Рекомендаций). Этапы обеспечения процесса и управления им направлены, прежде всего, на достижение цели процесса (пп. 5.2 и 5.3).

Цели улучшения процесса различаются по направленности улучшения. Один из видов таких целей - цель перехода процесса и его результата на новый плановый уровень. Например, сокращение времени обработки детали, повышение надёжности узла, увеличение количества обучающихся на данном курсе. Другая группа целей улучшения - цели повышения результативности (например, доведение доли готовой продукции первого сорта с 80 % до 90 %, повышение точности доставки груза по времени) и/или эффективности процесса (например, снижение себестоимости работ, повышение доли повторно переработанных отходов, снижение энергоёмкости процесса). Иногда цель работает и на то, и на другое, например:

- снижение доли продукции, вернувшейся с претензиями потребителей (напрямую этот показатель характеризует результативность процесса, но по достижении данной цели повысится и его эффективность).

- сокращение на 20 % времени выполнения процесса (время выполнения процесса - показатель результативности, однако это ещё и ресурс, при сокращении потребления которого повышается его эффективность).

Цели улучшения процесса устанавливаются на этапе улучшения процесса (п. 5.4 Рекомендаций) и детализируются при планировании улучшения в цикле PDCA (п. 6.1).

Цели процесса и цели улучшения процесса должны быть установлены исходя из политики и стратегии организации в сочетании с потребностями и ожиданиями потребителя процесса, например с использованием метода QFD.

4.7 Добавление ценности

Как правило, процесс планируется и реализуется для того, чтобы создать дополнительную ценность для кого-либо (потребителя, других заинтересованных сторон). То, что является входом процесса, уже имеет некоторую ценность, она увеличивается в результате преобразования в данном процессе. В качестве примера можно привести процесс изготовления детали, когда из заготовки токарь изготавливает деталь, имеющую большую ценность для потребителя, чем заготовка. Другой пример - процесс планирования количественных параметров производства, когда на основе информации о заказах менеджер формирует производственную программу, имеющую большую ценность для производства, чем первоначальная разрозненная информация. А в процессе внутреннего аудита, сравнивая полученные свидетельства с установленными критериями, аудитор формирует наблюдения аудита, которые имеют большую ценность для руководителей, ответственных за проверяемые области деятельности.

Примечание

Следует разделить понятия «ценность продукции» и «стоимость продукции» (хотя оба они могут быть выражены через денежный эквивалент). Лишь в сбалансированных рыночных условиях стоимость может адекватно отражать ценность объекта.

Добавленная ценность характеризует привлекательность продукции для потребителя, составляет основу долгосрочной конкурентоспособности продукции как товара, в то время как добавленная стоимость - важный показатель для владельцев бизнеса и налоговых органов.

Добавленная ценность в общем виде представляет собой разность ценности продукции на выходе процесса и ценности того, что было подано на его вход. Следует отметить, что ряд объектов имеет отрицательную ценность - вредность (например, отходы, мусор, выбросы), В этом случае добавленная ценность может выражаться в снижении вредности входа процесса для потребителя или другой заинтересованной стороны. На такой добавленной ценности строятся различные виды бизнеса по уборке и вывозе мусора, утилизации и переработке отходов, борьбе с преступностью, борьбе с инфекционными заболеваниями и т.п.

Добавленная ценность обусловливает большую стоимость результата процесса по отношению к исходным ресурсам и составляет основу бизнеса.

Следует учесть, что ценность для потребителя составляют только требуемые или ожидаемые им свойства продукции (результата процесса). На рис. 7 показано, что, с одной стороны, не всё то, что получает потребитель, является для него ценностью (особенно это карается продукции с дефектами), с другой - не все потребности и ожидания Потребителя бывают обычно реализованы в продукции. Это приводит к дополнительным затратам потребителя на полное удовлетворение своих потребностей и ожиданий.

Рис. 7. Ценность результатов процесса с точки зрения производителя и потребителя

Эти рассуждения очень важны для определения целей улучшения процесса. Потребителю часто приходится платить и за ненужные ему свойства продукции, и за её дефекты. С этой точки зрения улучшение процесса заключается в:

- снижении потерь процесса (ошибок и затрат на их исправление, а также других действий, не добавляющих ценности);

- сокращении разрыва между ценностью результата процесса для потребителя и его ценностью с точки зрения производителя (увеличении нужных потребителю свойств продукции и сокращении ненужных, снижении дефектности);

- уменьшении дополнительных затрат потребителя; связанных с использованием продукции или необходимостью докупать другую, дополнительную продукцию.

Эти же рассуждения важны при выборе ключевых процессов 2-го и 3-го уровней для анализа (см. рис. 6). В таком контексте ключевым можно считать процесс, вносящий наибольший вклад в. итоговую ценность продукции, то есть имеющий наибольший относительный коэффициент добавленной ценности:

Кд.ц.добдоб.общ.,

где:          Кд.ц. - коэффициент добавленной ценности процесса;

                Цдоб - ценность, добавленная процессом;

                Цдоб.общ. - ценность добавленная процессами организации;

                Идеальный вариант - полное соответствие ценности продукции тем требованиям, которые составляют ценность для потребителя.

5 Менеджмент процесса с позиций стандартов ИСО серии 9000

Для раскрытия содержания понятия менеджмента процесса возможно и удобно воспользоваться логикой стандарта ГОСТ Р ИСО 9000, в соответствии с которой менеджмент качества обычно включает в себя планирование качества, обеспечение качества, управление качеством и улучшение качества.

Поскольку в соответствии с вышеназванным стандартом и менеджмент качества, и процесс - это деятельность, то по отношению к процессу менеджмент также исчерпывается этапами его планирования, обеспечения, управления и улучшения.

Рис. 8. Менеджмент процесса в системе качества

В данной методике речь идёт о менеджменте процессов в системе качества, поэтому эти четыре этапа далее будут рассматриваться в контексте качества процесса.

5.1 Планирование процесса

Основное содержание этапа. В результате любого вида планирования устанавливаются цель процесса, ожидаемый результат (характеристики процесса и его продукции, что в дальнейшем будет использовано для оценки результативности и эффективности процесса), последовательность действий, необходимые ресурсы, ответственность и полномочия участников процесса.

Под планированием понимается как планирование нового процесса, так и планирование выполнения уже существующего. Планирование нового процесса часто называют проектированием процесса.

Планирование процесса в системе менеджмента качества направлено на установление целей процесса с точки зрения качества его результатов, установление (разработку) способа (процедуры) его осуществления, включая определение последовательности, взаимодействия и характеристик операций, составляющих процесс, а также ресурсов, необходимых для его результативного и эффективного выполнения.

Результаты планирования процесса, в том числе его цели и процедуры осуществления, могут как документироваться, так и устанавливаться в устной форме.

Степень документированности результатов планирования зависит от таких факторов, как сложность процесса, его важность для организации, связанные с ним риски, наличие устоявшейся практики его выполнения, компетентность персонала, требований потребителя.

Например, процесс перевозки пассажиров в такси, как правило, планируется установлением во внутренних документах таксопарка норматива выручки, которую водитель должен заработать за смену, правилами обслуживания пассажиров, путевым листом. Однако процесс перевозки конкретного пассажира документально не планируется, хотя водитель, конечно, планирует маршрут поездки.

Планирование сложного производственного процесса завершается разработкой технологической документации, например, технологического регламента: именно в этом документе определяются планируемые характеристики технологического процесса.

Кроме того, осуществляется повторяющееся планирование выполнения процесса в конкретный период времени (например, составление месячного плана производства).

Документация, определяющая процесс, может быть в любом виде - текстовое описание, программа обучения, схематическое изображение процесса (п. 6.3.1 Рекомендаций). Она может быть представлена на любом носителе и иметь вид бумажного или электронного документа, видеофильма, мультимедийного диска. Часто планирование процесса документируют в виде плана качества или плана управления.

При планировании процесса надо ответить на следующие вопросы.

1.Зачем нам этот процесс? Чего мы ждём от него? С какой целью мы его проводим?

2. Какое место данный процесс занимает в системе процессов (п. 4.3) и на каком уровне в структуре процессов он находится (п. 4.4)? Как назвать процесс? Где его границы?

3. Кто является потребителем процесса, каковы у него требования к процессу и его результату?

4. Кто является менеджером процесса, то есть лицом, ответственным за планирование и обеспечение процесса, управление им и его улучшение, имея для этого необходимые ресурсы и полномочия?

5. Что нужно для процесса (вход процесса, включая необходимые ресурсы), кто будет поставщиками этого и какие требования следует предъявить к ним и к их продукции, чтобы наш процесс проходил результативно?

6. Какова последовательность действий, проводимых в процессе для получения результата, и кто эти действия выполняет?

7. Какие параметры необходимо отслеживать (подвергать мониторингу) для того, чтобы управлять процессом, а какие для того, чтобы оценивать его результативность и/или эффективность (п. 4.5). Какие измерители (средства и методы измерения) понадобятся для управления процессом?

8. Какова система управления процессом? Какие действия мы планируем в случае отклонения характеристик процесса от требований или (для статистического управления процессом) при выходе процесса за пределы статистически управляемых условий?

Методы, применяемые на данном этапе: карта процесса, сетевой график, диаграмма потока (п. 6.3.1), а также FMEA процесса и QFD.

5.2 Обеспечение процесса

Основное содержание этапа. В рамках обеспечения качества планируются и систематически осуществляются виды деятельности, необходимые для создания достаточной уверенности в том, что требования к процессу и его результатам будут выполнены.

Необходимо отметить, что основные действия по обеспечению процесса должны быть определены в рамках его планирования. Если требования к процессу, определённые на этапе планирования, не полностью отражают потребности и ожидания потребителя процесса, то обеспечение процесса не достигнет результата.

Деятельность по обеспечению запланированного уровня качества процесса может включать в себя как разовые действия (выделение финансовых ресурсов, закупки оборудования, обеспечивающего запланированные характеристики процесса, обучение персонала и др.), так и многократно повторяющиеся действия по обслуживанию и предупредительному ремонту оборудования, постоянному обеспечению необходимой производственной среды и т.д.

Некоторые действия по обеспечению качества взаимосвязаны с управлением процессом, например, установленные в процессе методы и параметры системы управления могут создать уверенность в выполнении требований.

Обеспечение процесса ресурсами завершается их предоставлением исполнителю в соответствии с установленными требованиями.

Согласно требованиям стандарта ГОСТ Р ИСО 9001, тремя основными видами ресурсов, на которые необходимо обратить особое внимание при обеспечении процесса, являются:

- человеческие ресурсы (включая компетентность, осведомленность и подготовку персонала);

- инфраструктура (в том числе здания, рабочее пространство, средства труда, оборудование, транспортные коммуникации, каналы связи и передачи информации);

- производственная среда (условия, в которых будет протекать процесс).

Кроме того, стандарт ГОСТ Р ИСО 9004 рекомендует проанализировать влияние на процесс и обеспечить такие ресурсы, как:

- информация;

- партнёрские взаимоотношения, в том числе с поставщиками;

- природные ресурсы;

- финансовые ресурсы.

Уверенность, в том, что требования к процессу будут выполнены, создаётся не только через обеспечение всех необходимых условий его реализации, но и через получение свидетельств, подтверждающих способность процесса достигать запланированных результатов. Такое подтверждение в стандартах ИСО серии 9000 называется валидацией процесса.

Стандарт ГОСТ Р ИСО 9001 требует проведения валидации тех процессов, результаты которых не могут быть проверены посредством последовательного мониторинга или измерения. К ним относятся все процессы, недостатки которых становятся очевидными только после начала использования продукции или после предоставления услуги. Для этого необходимо до начала выполнения процесса убедиться в том, что там, где приемлемо:

а) определены критерии для анализа и утверждения процессов;

б) утверждено соответствующее оборудование;

в) утверждена необходимая квалификация персонала;

г) определены конкретные методы и процедуры;

д) установлены требования к записям (их составу, формам регистрации данных);

е) определена процедура повторной валидации.

Дополнительную уверенность в том, что требования будут выполнены, дает наличие документированной процедуры выполнения процесса. При принятии решения о необходимости документирования процесса следует воспользоваться рекомендациями п. 2.7 ГОСТ Р ИСО 9000, требованиями п. 4.2 ГОСТ Р ИСО 9001 и положениями п. 4.2 ГОСТ Р ИСО 9004.

5.3 Управление процессом

Основное содержание этапа. Управление процессом направлено на его поддержание в таком состоянии, чтобы выполнялись все установленные требования к процессу и его результатам, то есть чтобы значения характеристик процесса и его продукции имели приемлемые значения.

На этапе управления проводится мониторинг процесса (по показателям его результативности и собственным характеристикам процесса). При отклонении характеристик процесса от его цели выполняются коррекция и корректирующие действия.

Самым простым и наглядным примером управления процессом является поддержание параметра технологического процесса (например, температуры в рабочей зоне печи) в рамках установленного допуска. Датчик, регистрируя измеренную температуру печи, даёт информацию для принятия решения (человеком, автоматом или компьютером) о необходимости изменения подачи энергоресурса (электричества или газа) в печь. Система управления данным процессом обеспечивает изменение параметров процесса для поддержания температуры в приемлемых пределах.

Другой пример - отслеживание (мониторинг) движения транспорта с продукцией к заказчику и принятие диспетчером, при необходимости, мер, направленных на соблюдение сроков поставки (например, изменение маршрута движения при получении информации о заторе на дороге, замена сломавшейся машины на другую).

В любом случае система управления процессом отслеживает его выход за допустимые пределы и, реагируя на это, возвращает процесс в норму. Таким образом, действия по управлению являются важной составляющей процесса и должны быть продуманы на этапе его планирования. Процесс, протекающий так, что без постороннего вмешательства и перепланирования действий выполняются все требования к процессу и его результату, называют управляемым процессом (или процессом, проходящим в управляемых условиях). Поддержание процесса в управляемых условиях - главная задача этапа управления.

Наиболее эффективным подходом является управление процессом на основе статистических данных о нем. Данный подход не связывает управляющие воздействия только с выходом характеристик процесса за допустимые пределы. Он основан на статистическом мышлении и делает акцент на предупреждении отклонения процесса от нормы в отличие от подхода, связанного с ожиданием такого отклонения и реакцией на него.

Статистический подход к управлению процессом основан на глубоком понимании сути изменчивости процесса и управлении им на основе мониторинга его основных статистических характеристик. Важным обстоятельством при этом является выявление причин изменений в процессе и его результате и разделение причин возникновения отклонений от идеального протекания процесса на обычные и особые.

Обычные причины изменчивости связаны со стабильными и предсказуемыми источниками изменчивости в процессе (например, люфт в исправном подшипнике, ошибка в вычислении последней цифры дробных чисел на калькуляторе). Такие причины существуют в любом процессе, что обусловливает его стабильные (предсказуемые) статистические характеристики (разброс реальных значений, положение и форма их частотного распределения).

Особые причины изменчивости - это неслучайные причины отклонения процесса от идеального результата. Такие причины часто непредсказуемы, нестабильны. Пока не устранены все особые причины изменчивости процесса, он находится в непредсказуемом (статистически неуправляемом) состоянии.

Поддержание процесса в статистически управляемых условиях - главная задача статистического управления процессом (Statistical Process Control). Это сводится, прежде всего, к следующему:

- подготовке процесса так, чтобы обычные причины его изменчивости вызывали приемлемые отклонения, а особые причины были устранены (это можно назвать «настройкой процесса»);

- мониторингу процесса с целью выявления и устранения особых причин его изменчивости.

Поддержание процесса в управляемых условиях часто требует проведения корректирующих и предупреждающих действий, организованных в соответствии с подходом цикла PDCA (п. 6.1 Рекомендаций).

Методы, применяемые на данном этапе: см. таблицу 1 п. 6.2 настоящих Рекомендаций.

5.4 Улучшение процесса

Основное содержание этапа. Улучшение процесса направлено на изменение значений характеристик процесса и его продукции в соответствии с целями улучшения.

Принцип постоянного улучшения деятельности заложен в суть систем менеджмента качества, построенных в соответствии со стандартами ИСО серий 9000. Постоянство улучшения связано, прежде всего, с периодичностью, цикличностью действий по улучшению. Базовый цикл проведения улучшений - цикл PDCA (п. 6.1).

Улучшение процесса непосредственно связано с целями улучшения (п. 4.6). Достижение целей улучшения процесса в запланированный срок может потребовать от группы по улучшению неоднократного прохождения цикла PDCA.

В контексте статистического мышления улучшение процесса - это работа над обычными причинами его изменчивости, при этом процесс должен находиться в статистически управляемом состоянии (п. 5.3). Устранение обычных причин изменчивости требует глубокого анализа процесса и его системы управления, изменения тех элементов системы, которые вносят наибольший вклад в отклонение процесса от идеального состояния.

Что улучшать?

Главный ожидаемый результат улучшения должен быть спланирован на этапе целеполагания через цель улучшения процесса. Постоянное повышение результативности и эффективности процесса - это та основа, на которой базируются цели улучшения.

Ответом на вопрос «Что улучшать?» является перечень целей улучшения, поставленных перед организацией, процессом, подразделением, работником, то есть развёрнутых по структуре процессов и организации. Этот перечень должен быть логическим продолжением цепочки «стратегическая цель - прогноз - стратегия - развёртывание целей - плановые показатели».

Как улучшать?

Решение этого вопроса связано с решением нескольких других:

- в какой среде (обстановке, атмосфере) планируется проведение проекта улучшения, то есть насколько подход к этой работе предусматривает поддержку руководства, создана ли в организации атмосфера доверия и работы без страха, существует ли мотивация, в том числе к принятию персоналом инициативы и ответственности на себя;

- какие цели установлены, насколько чётко они сформулированы, измеримы и развёрнуты по уровням и подразделениям организации;

- какими инструментами менеджмента владеют люди, задействованные в проекте улучшения, насколько результативно прошло обучение методам менеджмента;

- как обеспечен ресурсами проект улучшения, то есть в полной ли мере участники проекта обеспечены полномочиями, временем, необходимой информацией, знаниями и т.д.;

- как организован проект улучшения: как и из кого сформирована группа по реализации проекта, спланированы ли действия группы в соответствии с идеологией PDCA или практическим подходом В.Н.И.И.С. (пп. 6.1 и 6.2 настоящих Рекомендаций).

Проработка всех этих вопросов обеспечит надёжную базу для улучшений любой сложности и любого масштаба (рис. 9).

Рис. 9. Факторы, влияющие на успех проекта улучшения

Формирование группы по реализации проекта улучшения процесса

Как правило, один процесс «пронизывает» деятельность разных подразделений. Например, процесс создания новой продукции может потребовать участия отдела маркетинга, конструкторского отдела, отдела закупок и др. Поскольку, как уже отмечалось выше, преимущество процессного подхода состоит в обеспечении непрерывности управления на стыках между процессами, выполняемыми отдельными подразделениями, то при анализе процесса в целом необходимо иметь общий, широкий взгляд на процесс, который может обеспечить только группа специалистов, собранная из представителей всех подразделений, участвующих в процессе.

В данной методике не рассматриваются вопросы организации самой групповой работы, однако можно дать несколько подсказанных практикой рекомендаций:

- должен быть назначен координатор работы группы;

- в число участников группы следует включать хотя бы одного специалиста, знакомого с приемами групповой работы;

- необходимо организовать для всех членов группы специальное обучение;

- число участников группы должно быть в пределах 5-9 человек;

- работу группы необходимо чётко спланировать;

- результаты работы группы должны оформляться принятыми в организации способами и получать одобрение менеджера процесса.

Методы, применяемые на данном этапе: см. таблицу 1 п. 6.2 настоящих Рекомендаций.

5.5 Цикличность этапов менеджмента процессов

Работа по планированию и обеспечению процесса, управлению им и его улучшению неизбежно повторяется с необходимой для организации периодичностью (рис. 10). Постоянно меняющиеся требования рынка и конкретного потребителя требуют постоянно совершенствовать продукцию и услуги, что порождает необходимость совершенствовать процесс, а это в свою очередь ведёт к перепланированию процесса, системы его обеспечения и управления.

Менеджмент процесса

Рис. 10. Цикл менеджмента процесса

В рамках этапов управления процессом и его улучшения деятельность чаще всего носит циклический характер в соответствии с последовательностью PDCA (п. 6.1 Рекомендаций).

Периодичность цикла менеджмента процесса сильно зависит от характера деятельности организации и её стратегии. Так, например, в малой организации, работающей на рынке современной компьютерной техники, потребность в совершенствовании продукции и процессов, а значит и перепланировании процессов, перестройке системы обеспечения и/или управления возникает ежеквартально.

6 Инструментарий для менеджмента процесса

6.1 Использование цикла PDCA (цикла Деминга) для менеджмента процесса

Цикл Деминга (рис. 11) в своё время принципиально изменил отношение к деятельности по улучшению, прежде всего, как к циклически повторяющемуся процессу.

В 20-х годах прошлого столетия Вальтер Шухарт создал цикл PDCA для использования в производственном процессе. В 40-х годах Эдвард Деминг предложил использовать его для более общих целей: для общего описания процесса улучшения. С тех пор этот цикл носит его имя.

Цикл PDCA представляет собой четыре постоянно повторяющихся этапа улучшения. Этапы располагаются в такой последовательности: Plan (планирование), Do (действие), Check (проверка), Act (воздействие), а затем повторяются.

Рис. 11. Цикл PDCA (цикл Деминга)

На практике применяется множество разных циклов совершенствования, базирующихся на цикле PDCA. В приложении Б стандарта ГОСТ Р ИСО 9004 описан один из таких циклов, часто называемый «методом семи шагов» или «методом решения проблемы».

Можно предложить и более простой цикл - В.Н.И.И.С. Проводя деятельность по улучшению, за основу организации работ в этом случае надо принять пять этапов этого цикла (п. 6.2 Рекомендаций).

Все эти применяемые на практике циклы объединяет то, что они соответствуют духу и этапности цикла PDCA и детализируют его до уровня планирования работы группы.

6.2 Цикл В.Н.И.И.С.

Цикл В.Н.И.И.С. представляет собой практический подход к организации работ по улучшению деятельности в соответствии с идеологией PDCA. Основу процесса улучшения при этом составляют пять циклически повторяющихся этапов (рис. 12):

Рис. 12. Цикл В.Н.И.И.С.

6.2.1 Выявите проблему

В организации должны быть продуманы процедуры выявления и четкого формулирования проблем и/или несоответствий в процессах. Прежде всего должны быть выявлены проблемы, касающиеся выполнения требований потребителя процесса (результативности процесса) и эффективного использования ресурсов (эффективности процесса), например:

- есть претензии потребителя - очевидная проблема, низкая результативность процесса;

- цели процесса достигаются, но за счёт чрезмерного потребления ресурсов (человеческих, финансовых, временных, информационных и т.д.) - низкая эффективность процесса;

- частые сбои в процессе, что не влияет на его результативность, но отрицательно сказывается на эффективности;

- негативные тенденции в показателях результативности процесса;

- у участников процесса складывается мнение или возникает ощущение, что что-то идёт не так;

- недостижение цели улучшения;

- установлена новая цель улучшения.

Всё это говорит о наличии проблемы, и задача этого этапа - выявить и конкретизировать её, то есть определить суть проблемы. В этом поможет информация, собранная о процессе. Главная информация должна поступать из записей, предусмотренных в СМК для данного процесса. Ведение целого ряда записей по осуществлению процессов и их результатам требует стандарт ГОСТ Р ИСО 9001.

Данный этап - первый шаг работы группы по улучшению. Часто на этом этапе важно точно определить (описать) процесс в том виде, в каком он осуществляется на данный момент, то есть ситуацию «как есть» (рис. 13). При этом важно собрать необходимые данные о процессе без искажения и без обсуждения «правильности» или «неправильности» текущего положения дел. Для эффективной работы на данном этапе желательно использовать один из методов схематического изображения процесса (п. 6.3.1).

Примечание.

Бытует мнение, что описание и анализ ситуации «как есть» мешает творческому, инновационному подходу к улучшению процесса, особенно значительному его улучшению, перепроектированию (реинженирингу). Практика показала, что причина отсутствия творческого, инновационного, нестандартного подхода заключается не в «ориентации на сегодняшний день», а в недостатке информации и знаний, мотивации участников группы, проблеме нехватки «инструментов» для творческой работы. Анализ же ситуации «как есть» позволяет, с одной стороны, учесть сильные стороны в работе и наработанные ноу-хау, а с другой - не повторять ошибок.

Когда картина ясна, группа анализирует текущую ситуацию. Результат её работы на данном этапе - однозначное единое мнение группы о наличии и сути проблемы, о необходимости её устранения, а также принятое решение, сформулированная цель улучшения и перечень показателей для проверки (оценки) результативности решения проблемы.

6.2.2 Найдите решение

Группа, продолжает рассмотрение проблемы, но уже под другим углом зрения. На данном этапе важно понять первопричину проблемы. Этому способствует описание процесса, сделанное на предыдущем этапе.

Предложения по улучшению процесса генерируют все участники группы. Эти предложения могут касаться двух уровней улучшения: «как должно быть», «как могло бы быть» (рис. 13).

«Как должно быть» - определение уровня развития процесса, которого организация может достичь при условии, что не потребуется дополнительных инвестиций в оборудование, программное и аппаратное обеспечение, персонал и т.д. Основа данного уровня - устранение несоответствий в действиях процесса, исключение ненужных, не добавляющих ценность действий.

«Как могло бы быть» - определение уровня развития процесса, которого организация может достичь при вложении значительных дополнительных ресурсов и инвестиций. Основа этого уровня - инновации, использование новых технологий, оборудования, методов работы.

Несмотря на кажущуюся простоту перехода на уровень «как должно быть», эта работа может принести значительный результат (значительное улучшение показателей процесса), особенно если планирование процесса ранее проводилось с использованием функционального подхода или по принципу «сделаем, как получится».

Для эффективной работы на данном этапе желательно использовать один из методов схематического изображения процесса (п. 6.3.1).

Все предложения участников группы анализируются на результативность и эффективность. В итоге группа должна остановиться на лучшем варианте и спланировать все действия, которые он предусматривает. Сложные действия можно представить в виде плана или сетевого графика с указанием ответственных лиц, сроков и, при необходимости, ресурсов.

Результат этапа - выявленная первопричина проблемы и спланированные корректирующие действия, в том числе ресурсы для их реализации, а также прогноз результата в виде плановых (контрольных) показателей.

Рис. 13. Уровни развития процесса

6.2.3 Исполните запланированное

На данном этапе необходимо организовать выполнение действий, запланированных на предыдущем. Потребуется мобилизация энергии и знаний для достижения цели улучшения. Индикаторы процесса (измерители) и другие источники данных, например, записи, которые ведутся в рамках процесса, помогут отслеживать изменения в процессе и его результатах. Наилучший вариант, когда по результатам изменённого процесса проводится оценка удовлетворённости потребителей (внешних и/или внутренних) введёнными изменениями.

Этап желательно завершить общим обменом мнений членов группы о степени полноты и завершённости запланированных действий. Для перехода на следующий этап необходимо, чтобы у всех членов команды сложилось мнение, что сделано всё возможное для выбранного варианта улучшений.

6.2.4 Исследуйте результат

Когда группа решит, что все запланированные мероприятия выполнены, все изменения в процесс внесены и опробованы, можно перейти к анализу результатов улучшения, информация о которых формируется на предыдущем этапе в виде записей характеристик процесса и его результатов. Группа должна ответить на главный вопрос: «Достигнута ли цель улучшения?». Ответ может быть как положительным, так и отрицательным.

В любом случае на данном этапе желательно проанализировать работу группы: сильные стороны и области для улучшения, выявленные в работе данной команды на этапах выявления проблемы, поиска решения, исполнения и измерения.

6.2.5 Стандартизуйте обновлённый процесс

При положительных результатах выполнения предыдущих этапов следует «закрепить» результат.

С этой целью группа оформляет итоги своей работы в форме, сложившейся в организации. Это может быть отчёт, презентация, совещание с высшим руководством и т.д. В отчёт желательно включить формулировку проблемы, предлагаемые варианты решения и их обоснование, план действий и результаты исполнения запланированного улучшения.

Если целью является совершенствование процесса, то на малом предприятии, где работает несколько человек, возможно, будет достаточно в устной форме довести до исполнителей процедуру выполнения процесса на уровне «как должно быть».

На крупном предприятии для перевода процесса на уровень «как должно быть», скорее всего, потребуется документированное оформление процедуры и, возможно, составление соответствующего плана мероприятий.

В тех случаях, когда требуется документирование процесса, следует помнить, что определение термина «документ», данное в ГОСТ Р ИСО 9000, и примечание к нему допускают использовать самые разные носители информации (от бумажного носителя до эталонного образца). Информация может быть представлена в текстовой форме, в виде таблицы, диаграммы, блок-схемы или их сочетания.

В качестве формы определения процедуры (последовательности составляющих ее действий) можно использовать карту процесса (п. 6.3.4), которая сочетает в себе схему (алгоритм) процесса и определение его входов и выходов. При этом следует не забыть описать в документе требования к входам и выходам процесса. Первый проект такой карты может быть сделан на этапе анализа. На этапе стандартизации окончательная версия карты согласуется с заинтересованными лицами и, как правило, включается в документ по процессу.

Что касается оформления выводов относительно того, каким «могло бы быть» осуществление процесса, то оно может иметь в вид предложений в планы и программу предприятия с формулировкой усовершенствований, их целей, необходимых ресурсов и сроков реализации.

Таблица 1

Методы

Выявите проблему

Найдите решение

Исполните запланированное

Исследуйте результат

Стандартизуйте обновлённый процесс

Семь простых методов контроля качества

*

*

*

*

 

Семь новых инструментов менеджмента качества

*

*

*

 

*

QFD

*

*

 

 

*

SPC

*

*

*

*

 

Анализ затрат на качество

*

*

 

 

 

Бенчмаркинг

 

*

*

*

 

Мозговой штурм

*

*

 

*

 

Интервью

*

 

 

*

 

Самооценка

*

 

 

*

 

Карта процесса

*

*

 

*

*

6.3 Методика описания процесса для анализа и стандартизации

6.3.1 Методы схематического изображения процесса

Схематическое изображение помогает определить процесс и в лаконичной форме представить его как в целом, так и по основным составляющим и параметрам. Особую роль схематическое изображение процесса играет при:

- анализе процесса (этап «планирование» цикла PDCA);

- обсуждении процесса группой специалистов, когда должен быть выработан единый взгляд на него;

- стандартизации процесса или внесении изменений в существующий процесс (этап «воздействие» цикла PDCA).

Существует большое количество методов схематического изображения процесса. Каждый из них имеет свои преимущества и недостатки, обусловленные сферой распространения того или иного метода и его направленностью. Наиболее популярными в последнее время стали следующие методы:

- блок-схема (Block-Diagram);

- диаграмма последовательности (алгоритм, Flow Chart);

- диаграмма потоков (например, DFD, IDEF0);

- карта процесса (Process Map);

- сетевой график (Activity Network Diagram);

- процессно-функциональная диаграмма (Process/function Diagram);

- диаграмма процесса принятия решения (Process Decision Program Chart);

- объектно-событийное описание.

Примечание. Перечисленные методы выделены из огромного количества методов моделирования процессов. Наряду с ними можно назвать большую группу методов моделирования систем (информационных, финансовых, механических и др.). Наибольшее распространение в последнее время получили UML-модели (Unified Modeling Language) для моделирования и анализа сложных информационных систем. Однако чаще всего эти методы не делают акцент на процессы в этих системах, а при необходимости анализа процессов используют один из перечисленных методов.

Область применения, преимущества и недостатки некоторых методов приведены в таблице 2. Необходимо выбрать метод описания и анализа процесса в соответствии с особенностями этого процесса. Универсального метода для описания процессов не существует. Ни один из них не даёт полной картины процесса, поэтому главный критерий выбора метода - общее понимание членов группы полезности применения данного метода для решения конкретной задачи.

Таблица 2

Метод

Область применения

Преимущества

Недостатки

1

2

3

4

Блок-схема (Block-Diagram)

Описание любой системы процессов или отдельного процесса

1. Наиболее универсальный метод.

2. Легко строится.

3. Даёт быстрый эффект при обсуждений процесса группой

1. Дает только общую картину процесса.

2. Допускает разночтения и неточности

Диаграмма последовательности (Flow Chart)

Описание повторяемого процесса с установленным алгоритмом действий или случаи, когда последовательность действий является решающим фактором достижения результата

1. Простота и доходчивость для исполнителя процесса.

2. Точно определяет последовательность действий в процессе

1. Не показывает потоки (информационные, материальные и др.) процесса.

2. Не показывает выходы (результаты) процесса

Диаграмма потоков

Схема движения материального, финансового или информационного потока в процессе.

Часто применяемый вариант для информационных процессов - диаграмма потоков данных (Data Flow Diagram)

1. Метод хорош для технологических документов, особенно часто диаграмму привязывают к технологическому оборудованию.

2. Хорошо видны входы и результаты процесса

1. Обычно рассматривается один вид потока (только материальный, только информационный или только финансовый).

2. Не показывает алгоритм процесса

IDEF0 (Функциональное моделирование)

Разновидность диаграммы потоков, применяется в случае, если система менеджмента в определённой степени автоматизирована и/или в перспективе установлены цели по её комплексной автоматизации, а также если имеются необходимые ресурсы для обучения персонала и приобретения необходимого программного обеспечения для построения диаграмм

1. Диаграммы позволяют проследить сразу несколько потоков процесса (информационных, финансовых, материальных).

2. Методика осуществления проекта по внедрению IDEF0 в организации, в том числе построения диаграмм, подробно описана в [4].

3. Метод адаптирован к задачам автоматизации процесса

1. Перегружен формальными правилами, излишними с точки зрения менеджмента процесса требованиями.

2. Не показывает алгоритм (последовательность действий) сложных процессов.

3. Требует серьёзной подготовки персонала, вовлечённого в работу с процессом и его диаграммой,

4. Требует значительных затрат.

5. В названии метода применён термин «функциональное», хотя по сути метода функции (подразделения) не играют ключевой роли

Карта процесса (Process Map)

Применяется в случае, когда процесс надо изобразить в координатах двух его параметров (например, исполнители и время, местоположение и участники, координатные оси).

Чаще всего применяется для процессов, одним из важных показателей которых является время выполнения

1. Двухмерное изображение наиболее информативно при благоприятном восприятии человеком.

2. Удобен в обсуждении процесса группой.

3. Выбор параметров процесса (осей карты) может быть осуществлён в соответствии с целями анализа процесса

1. Показывает лишь один «срез» из различных аспектов процесса

Сетевой график (Activity Network Diagram)

То же, что и диаграмма последовательности + решающее значение имеет время выполнения процесса в целом и отдельных его этапов при временной зависимости этапов процесса друг от друга. Типичный пример случая, когда поможет сетевой график, - поставки «точно в срок» (just in time)

1. Незаменим для управления сложным процессом, которое должно проводится в реальном времени.

2. Оптимален для планирования разветвлённых, протяжённых во времени процессов

1. Имеет избыточные данные для линейных (неразветвляющихся) процессов и процессов, в которых время не является важной характеристикой

Процессно-функциональная диаграмма (Process/function Diagram)

Разновидность карты процесса, когда последовательность действий процесса раскладывается по функциям (подразделениям) организации

1. Позволяет провести анализ загруженности функций (подразделений) организации.

2. Ясно показывает взаимодействие подразделений в рамках процесса

1. Не показывает потоки процесса

Диаграмма процесса принятия решения (Process Decision Program Chart)

Применяется для процессов, в которых присутствует большое количество неопределённостей и возможно появление большого количества проблем. Необходим для прогнозирования и планирования контрмер по возможным проблемам протекания процесса

1. Даёт возможность наглядно описать процесс, последовательность и характер действий которого не определены

1. Имеет ограниченное применение и ограниченное количество рассматриваемых нештатных ситуаций

Объектно-событийное описание

Применяется для процесса с непредсказуемой последовательностью действий, но с однозначно определенным набором этих действий

1. Эффективно устанавливает алгоритм действия для неопределённых процессов,

2. Адаптирован для объектно-событийного программирования для компьютеров. 3. Удобен при проведении анализа рисков в процессе (например FMEA-процесса)

1. Мало нагляден для обсуждения группой

Далее более подробно рассмотрены некоторые из названных методов.

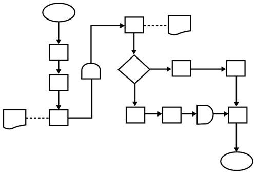
6.3.2 Построение диаграммы последовательности (алгоритма) процесса

Одним из эффективных и часто применяемых приемов анализа является построение схематического изображения составляющих этапов процесса с помощью определенных графических символов. Существует много систем графических символов, большая часть которых создана для процессов обработки информации (например, [4], [5], пакет библиотек «Flowchart» графического редактора VISIO). Простейшие символы, которые можно использовать для обозначения этапов процесса, приведены в приложении. С помощью таких символов можно изобразить последовательность этапов процесса, как это показано на рис. 14. Для построения такого алгоритма с помощью компьютера удобно использовать программные продукты, например, графический редактор VISIO.

Подобный алгоритм удобно использовать для построения карты процесса (п. 6.3.4).

Рис. 14. Возможный вариант алгоритма процесса

Построенный алгоритм (диаграмму последовательности действий) можно использовать для дальнейшего анализа и планирования процесса. Приведём примеры использования алгоритма для решения задач выявления проблем и поиска их решений.

Прежде всего, для уточнения степени и последовательности участия подразделений и должностных лиц в процессе целесообразно построить его алгоритм, распределив этапы процесса по его участникам, как это показано на рис. 15. Такое наглядное изображение поможет наиболее рационально распределить ответственность и последовательность действий участников процесса и за счет этого сократить время его выполнения и снизить издержки.

Алгоритм процесса рентгеновского обследования

Рис. 15. Пример алгоритма процесса с распределением действий по исполнителям

Другой приём заключается в построении алгоритма процесса, в котором этапы разнесены по расположению мест, где они выполняются. Получается карта процесса, координатную плоскость которой образуют географические координаты или координаты здания или помещения, в котором проводится процесс. Условный пример такой карты, отражающей передвижение клиента по офису, приведён на рис. 16. В случае, если дистанция между местами выполнения этапов настолько велика, что оказывает влияние на время выполнения процесса и транспортные расходы, вызывает риск повреждения продукции при транспортировке и другие издержки, такой метод анализа позволит найти возможность улучшить процесс.

Рис. 16. Пример алгоритма процесса с распределением по месту выполнения действий

Особенно важно провести анализ этапов процесса с точки зрения добавления ими ценности для потребителя (внешнего и внутреннего). Очевидно, что любой этап, действие, операция процесса, которые не создают ценности, пользы для потребителя или других заинтересованных сторон, приводят только к лишним затратам и, следовательно, должны быть устранены за счёт более рациональной организации «полезных» этапов. Пример алгоритма, построенного для такого анализа, приведён на рис. 17. В данном примере очевидно, что если, например, форма приема заявки от потребителя будет составлена так, чтобы не упустить какой-либо информации, важной для выполнения заказа, следующий контакт с этим потребителем будет не нужен.

Алгоритм процесса сборки комплекта по заказу

Рис. 17. Пример алгоритма процесса с распределением действий по добавлению ценности

Следует отметить, что алгоритмирование применимо в основном к тем процессам, которые представляют собой цепочку заранее определённых последовательно выполняемых действий. В иных случаях могут потребоваться методы, приведённые в п. 6.3.3.

6.3.3 Описание неопределённых процессов

Алгоритмирование обычно используется для процессов, заранее определённых и по составу действий, и по последовательности и времени их выполнения. Но есть процессы, которые либо невозможно с необходимой степенью подробности описать с помощью уже перечисленных методов, либо это будет нерезультативно для реализации целей анализа. Примерами неопределённых процессов являются:

- некоторые научно-исследовательские работы;

- процессы, проходящие в неопределённых внешних условиях или с неопределёнными ресурсами;

- выполнение Корректирующих действий по новой выявленной проблеме с невыявленной причиной;

- диагностика неисправностей сложного оборудования.

Большинство из этих процессов выполняется впервые, а многие из них - только один раз.

К неопределённым также необходимо отнести процессы, которые должны проходить постоянно и одинаково, но внешние обстоятельства часто заставляют менять их ход для достижения запланированного результата. Описание и анализ таких процессов проводится с помощью других методов.

Один из методов описания подобных процессов - диаграмма процесса принятия решения (Process Decision Program Chart - PDPC), является одним из «Семи инструментов менеджмента качества». Такая диаграмма представляет собой иерархическую структуру в виде дерева, «корни» которого - это конкретные решения поставленной задачи.

Диаграмма процесса принятия решения позволяет спланировать возможную цепочку событий, которые могут произойти, и действий, которые необходимо выполнить, чтобы достигнуть цели процесса.

Рис. 18. Пример структуры диаграммы процесса принятия решения

Другая возможность анализа неопределённого процесса - использование метода описания процесса как системы объектов и событий.

Этот метод полезен в тех случаях, когда известны действия (возможности) процесса, но не известно, какие именно действия и в какой последовательности необходимо будет совершить для получения ожидаемого результата.

Появление событий обычно имеет вероятностный характер. Произошедшее событие имеет определённую степень важности с точки зрения его влияния на достижение цели процесса. На более важные события должна последовать незамедлительная реакция в виде действия или набора действий. Реакция на событие в данном методе называется прерыванием.

Прерывания обычно имеют свои приоритеты. Действия, на которые нужно отреагировать незамедлительно, имеют высший приоритет и по происшествии запускающего события приостанавливают выполнение всех действий с низким приоритетом.

Многие процессы состоят исключительно из действий в ответ на событие. В сфере разработки программных средств данный подход называется объектно-событийным программированием. В нём рассматриваются объекты, участвующие в процессе, и события, которые порождают действия, вносящие изменения в объекты. Таким образом, весь процесс - это наблюдение (мониторинг) за событиями и изменение объектов в соответствии с этими событиями.

Примером построения данной модели может быть таблица объектов и свойств (табл. 3) и диаграмма событий и действий (рис. 19).

Таблица 3

Объекты и свойства (пример)

Объект

Свойства

Допустимые значения

Объект 1

Свойство 1.1

«Да» или «Нет»

Свойство 1.2

«Да» или «Нет»

Объект 2

Свойство 2.1

От 0 до 100

Свойство 2.2

«Да» или «Нет»

Свойство 2.3

1, 2 или 3

Свойство 2.4

«Красный», «жёлтый», «зелёный»

Объект 3

Свойство 3.1

«Да» или «Нет»

Свойство 3.2

От 1 до 6 усл. ед.

Объект 4

Свойство 4.1

«Да» или «Нет»

События и действия (прерывания)

Рис. 19. Фрагмент объектно-событийной модели

В данном случае важную роль играют три момента:

- чёткое описание свойств объектов, так как действия будут направлены на изменение этих свойств;

- наблюдение (мониторинг) за происходящими событиями. Возможно, для этого потребуется расставить в процессе «индикаторы» работы - аппаратные средства (устройства для мониторинга) или организационные процедуры сбора данных (например, записи);

- необходимость расставить приоритеты для всех событий и связанных с ними действий (приоритет прерываний), так как следует быть готовыми к ситуации, когда два события происходят одновременно или событие происходит в то время, когда мы отрабатываем другое. В нашем примере приоритеты определяются по трехбалльной шкале:

1 - высший приоритет, то есть действия провести незамедлительно;

2 - средний приоритет, то есть действия провести, если отработаны все прерывания первого приоритета;

3 - низший приоритет, то есть действия провести, если отработаны все прерывания первых двух приоритетов.

Одна из разновидностей неопределённого процесса - процесс с определёнными набором и последовательностью действий, проводимых по «наилучшему сценарию», и большим количеством внешних и внутренних факторов, отклоняющих процесс от «наилучшего сценария». В этом случае целесообразно применять несколько методов описания процессов совместно, например, диаграмму последовательности с диаграммой процесса принятия решений или карту процесса с описанием объектов и прерываний.

6.3.4 Составление карты процесса

Особенность метода построения карты процесса - использование двух осей, определяющих её двухмерное пространство (рис. 20).

Первая ось - это перечень действий процесса (в случае, если для процесса возможно построение алгоритма, то ось становится осью последовательности действий или осью времени), вторая - это цепочка добавления ценности (в общем случае может иметь вид «поставщик - вход процесса - действие - выход процесса - потребитель»).

Поставщик, потребитель, вход и выход рассматриваются в данном случае как внешние по отношению к процессу объекты: входы поставляются другими процессами самой организации или внешними поставщиками, а выходы (результаты) необходимы другим процессам самой организации или внешним потребителям. Таким образом, поставщики и потребители могут быть как внешними, так и внутренними относительно самой организации.

Рис. 20. Логика и форма карты процесса

Порядок составления карты процесса для анализа

1. Соберите информацию о процессе. Такая информация может быть получена из существующей документации на процесс и интервью с руководителями подразделений, задействованных в данном процессе, и его исполнителями. Вся информация должна относиться к ситуации «как есть». Все предложения и мнения по улучшению процесса, высказанные на этом этапе, надо записать, но не учитывать при построении карты «как есть»;

2. Определите место данного процесса в сети процессов организации (лучше, если сеть процессов организации изображена в виде блок-схемы). Уточните название процесса, исходя из его места в сети процессов и информации, полученной на первом этапе, а также сформулируйте цель(и) процесса.

3. Определите начало процесса (событие, определяющее его старт) и окончание процесса (событие, означающее его завершение).

4. Запишите все действия процесса на отдельных карточках (наклейках), не обращая внимания на их исполнителей.

5. Впишите в карточки должности исполнителей. Если в действии занято несколько исполнителей (участников), то в карточку следует вписать должность лица, ответственного за выполнение данного действия. После заполнения карточка должна выглядеть примерно так:

Согласовать с бухгалтерией срок оплаты

 

Менеджер по продажам

6. Расчертите большой лист бумаги в виде карты процесса (рис. 21).

7. Расположите заполненные карточки в центральной части карты сверху вниз в виде алгоритма процесса или простого перечня необходимых действий.

Алгоритм должен отражать ситуацию «как есть» (п. 6.3.2 Рекомендаций). При построении алгоритма пользуйтесь символами из приложения.

В качестве перечня действий может быть использована объектно-событийная модель (п. 6.3.3 и рис. 19).

8. Определите и впишите в соответствующие графы карты основные внешние входы и выходы процесса, их поставщиков и потребителей, а также требования к ним или ссылки на соответствующий нормативный документ.

9. В графу «Записи» впишите названия документов, содержащих записи о результатах процесса.

10. Определите показатели результативности процесса, исходя из цели процесса и его выходов (результатов).

Рис. 21. Пример карты процесса

Карта процесса поможет в работе на различных этапах цикла улучшения:

- на этапе выявления проблемы (п. 6.2.1) карта представляет собой согласованный взгляд группы на ситуацию «как есть»;

- на этапе поиска решения (п. 6.2.2) карта отражает мнение группы о том, каким должен быть процесс (или каким он мог бы быть). Окончательный вариант карты согласовывается с заинтересованными сторонами и утверждается менеджером процесса. Обычно такая карта включается в документ, определяющий процесс;

- на этапе измерения результата (п. 6.2.4) утверждённый вариант карты используется для аудита процесса и оценки его результативности;

- на этапе стандартизации (п. 6.2.5) утверждённый вариант карты может быть использован в качестве документированной процедуры, например, для обучения персонала, обеспечения процесса ресурсами, распространения полученного опыта на другие процессы.

7 Библиография

1. ГОСТ Р ИСО 9000-2001

Системы менеджмента качества. Основные положения и словарь.

2. ГОСТ Р ИСО 9001-2001

Системы менеджмента качества. Требования.

3. ГОСТ Р ИСО 9004-2001

Системы менеджмента качества. Рекомендации по улучшению деятельности.

4. Р 50.1.028-2001

Информационные технологии поддержки жизненного цикла продукции. Методология функционального моделирования.

5. ГОСТ 19.701-90 (ИСО 5807-85)

Схемы алгоритмов, программ, данных и систем.

6. ИСО/ТК176/ПК2 № 544R

Руководящие указания по процессному подходу к системам менеджмента качества.

7. Брошюра ИСО «Принципы менеджмента качества»

 

Приложение.

Символы, используемые для построения алгоритма процесса

Символ

Элементы процесса

Примеры

Событие, определяющее начало или окончание процесса

Поступление запроса о предложениях, поступление нового требования клиента

Действие и исполнитель

Проведение встречи - директор, телефонный звонок - менеджер по продажам

Момент выбора альтернативных решений. Вопрос, на который надо ответить: да/нет, принято/отвергнуто, соответствует/ не соответствует критериям

Допущена ошибка? Бланк заполнен полностью? Сообщение пришло?

Документ

Отчёт, заполненный бланк, протокол собрания

Задержка

Ожидание прихода сообщения, ожидание решения ответственного лица

Переход к следующему элементу процесса

После распечатки документа необходимо его зарегистрировать

Продолжение

Надо перейти на другую страницу или другую часть таблицы

 

 




ГОСТЫ, СТРОИТЕЛЬНЫЕ и ТЕХНИЧЕСКИЕ НОРМАТИВЫ.
Некоммерческая онлайн система, содержащая все Российские Госты, национальные Стандарты и нормативы.
В Системе содержится более 150000 файлов нормативно-технической документации, действующей на территории РФ.
Система предназначена для широкого круга инженерно-технических специалистов.

Рейтинг@Mail.ru Яндекс цитирования

Copyright © www.gostrf.com, 2008 - 2026