Крупнейшая бесплатная информационно-справочная система онлайн доступа к полному собранию технических нормативно-правовых актов РФ. Огромная база технических нормативов (более 150 тысяч документов) и полное собрание национальных стандартов, аутентичное официальной базе Госстандарта. GOSTRF.com - это более 1 Терабайта бесплатной технической информации для всех пользователей интернета. Все электронные копии представленных здесь документов могут распространяться без каких-либо ограничений. Поощряется распространение информации с этого сайта на любых других ресурсах. Каждый человек имеет право на неограниченный доступ к этим документам! Каждый человек имеет право на знание требований, изложенных в данных нормативно-правовых актах!

  


 

ОРДЕНА ТРУДОВОГО КРАСНОГО ЗНАМЕНИ НАУЧНО-ИССЛЕДОВАТЕЛЬСКИЙ ИНСТИТУТ ОСНОВАНИЙ И ПОДЗЕМНЫХ СООРУЖЕНИЙ имени Н.М. ГЕРСЕВАНОВА ГОССТРОЯ СССР

РЕКОМЕНДАЦИИ ПО ПРИМЕНЕНИЮ БУРОИНЪЕКЦИОННЫХ СВАЙ

МОСКВА-1984

Содержание

1. ОБЩЕ ПОЛОЖЕНИЯ

2. ОБЛАСТЬ ПРИМЕНЕНИЯ БУРОИНЪЕКЦИОННЫХ СВАЙ

3. ТЕХНОЛОГИЯ ИЗГОТОВЛЕНИЯ

4. КОНСТРУИРОВАНИЕ БУРОИНЪЕКЦИОНЫХ СВАЙ И СВАЙНЫХ ФУНДАМЕНТОВ

5. РАСЧЕТ БУРОИНЪЕКЦИОННЫХ СВАЙ ПО НЕСУЩЕЙ СПОСОБНОСТИ

6. ИНЖЕНЕРНЫЙ МЕТОД РАСЧЕТА УСИЛЕНИЯ ОСНОВАНИЙ СУЩЕСТВУЮЩИХ ЗДАНИЙ И СООРУЖЕНИЙ

7. ПРИМЕРЫ РАСЧЕТА

8.РАСЧЕТ УСИЛЕНИЯ ОСНОВАНИЙ СУЩЕСТВУЩИХ ЗДАНИЙ И СООРУЖЕНИЙ НА ЭВМ

Приложение 1

Приложение 2

Приложение 3

Приложение 4

Приложение 5

Приложение 6

Настоящие Рекомендации разработаны в развитие выпущенных в 1982 г. "Рекомендаций по проектированию и устройству фундаментов из буроинъекционных свай". Рекомендации предназначены для расчета свай и фундаментов, а также содержат сведения по рациональной области применения и вопросам технологии производства работ. Применение Рекомендаций позволит в большинстве случаев снизить стоимость работ и производить работы без остановки действующих предприятий.

Рекомендации разработаны в НИИ оснований и подземных сооружений им. Н.М. Герсеванова Госстроя СССР старшим научным сотрудником Джантимировым Х.А. при участии к.т.н. Бахолдина Б.В., к.т.н. Вронского А.В., к.т.н. Фаянса Б.Л., инж. Лурье В.М. под руководством к.т.н. Федорова Б.С.

1. ОБЩЕ ПОЛОЖЕНИЯ

1.1. Настоящие Рекомендации распространяются на расчет и проектирование фундаментов из буроинъекционных свай и технологию их изготовления. Разработаны в развитие главы СНиП II-17-77 "Свайные фундаменты. Нормы проектирования" и СНиП III-9-74 "Основания и фундаменты. Правила производства и приемки работ".

1.2. Буроинъекционные сваи являются одной из разновидностей набивных свай. Они отличаются большой гибкостью (l/d = 80-120); малым диаметром (d = 120-250 мм); материалом ствола (цементный раствор); способом изготовления (инъекция раствора в скважину).

1.3. Существует несколько видов свай, отличающихся по конструкции и способу изготовления:

изготавливаемые вытеснением бурового бентонитового раствора с опрессовкой давлением 0,2-0,4 МПа;

изготавливаемые под защитой обсадных труб с опрессовкой 0,2-0,4 МПа;

изготавливаемые путем инъекции раствора в сухие пробуренные скважины;

изготавливаемые путем сброса бетона в пробитые скважины;

винтонабивные (см. "Рекомендации по проектированию и устройству фундаментов из винтонабивных свай", М., НИИОСП, 1979).

1.4. В зависимости от свойств грунтов, залегающих под нижним концом, буроинъекционные сваи подразделяются на сваи-стойки и висячие сваи. К сваям-стойкам относятся сваи, которые опираются нижними концами на скалу. Висячие сваи изготавливаются в сжимаемых грунтах и передают нагрузку на грунт боковой поверхностью и нижним концом.

1.5. Целесообразность применения буроинъекционных свай должна определяться конкретными условиями строительной площадки на основе результатов технико-экономического сравнения возможных вариантов проектных решений.

При усилении оснований существующих фундаментов буроинъекционными сваями рекомендуется выполнять сравнения со способами химического и термического упрочнения грунтов основания, задавливания свай под существующие фундаменты, подведения новых фундаментов и другими. При строительстве новых объектов, сравнение выполняется с различными видами свай.

1.6. В рабочих чертежах свайных фундаментов должны быть указаны виды, количество и параметры свай (сечение и длина, а также несущая способность и соответствующая ей допустимая нагрузка на сваю), которые требуют дополнительных уточнений путем статического испытания свай в грунте до начала или в процессе строительства.

При необходимости проектная организация должна своевременно скорректировать проект свайных фундаментов по результатам испытаний, не задерживая выполнение строительных работ.

1.7. В проектах усиления оснований и других случаях применения буроинъекционных свай при реконструкции сооружений должно быть предусмотрено проведение натурных измерений деформаций оснований и фундаментов по специальным маркам и реперам.

Программа и результаты наблюдений, проводившихся в период строительства должны вплетаться в состав проектной документации, передаваемой заказчику после завершения работ.

2. ОБЛАСТЬ ПРИМЕНЕНИЯ БУРОИНЪЕКЦИОННЫХ СВАЙ

2.1. Буроинъекционные сваи рекомендуется применять в сведущих случаях:

- усиление перегруженных оснований;

- усиление оснований в связи с повышением или изменением характера эксплуатационных нагрузок;

- строительство новых объектов рядом с существующими;

- строительство в стесненных условиях внутри действующих предприятий;

- исправление крена здания, или отдельного фундамента;

- усиление фундаментов;

- решение сложных задач при реконструкции фундаментов;

- строительство новых объектов в сложных грунтовых условиях.

2.2. Усиление оснований существующих зданий и сооружений (рис. 2.1) производится обычно в следующих случаях:

при недопустимых по величине или неравномерных осадках сооружения или его части, вызванных уплотнением под нагрузкой сильно сжимаемых грунтов, замачиванием просадочных грунтов, гниением деревянных свай, перегруженностью оснований и пр.;

при увеличении эксплуатационных нагрузок (замена оборудования более тяжелым, увеличение этажности зданий, расширение проезжей части мостов, эстакад и пр.).

Применение буроинъекционных свай в этих случаях допускается в любых грунтовых условиях.

 

Рис.2.1. Применение буроинъекционных свай:
а - усиление основания при аварийных осадках; б - усиление основания при недопустимых горизонтальных перемещениях;
1 - существующий фундамент; 2 - буроинъекционные сваи; 3 - слабый грунт; 4 - плотный грунт

2.3. Строительство новых объектов над, под, рядом с существующими или внутри их (рис. 2.2) вызывает необходимость в усилении оснований последних для предотвращения их деформаций как при производстве работ, так и во время эксплуатации. Применение буроинъекционных свай в этих случаях позволяет предотвратить подвижки и утечки грунта, вибрации, удары и шумы при производстве работ. Кроме того, использование буроинъекционных свай позволяет исключить влияние рядом сооруженных объектов на существующие и выполнять работы в стесненных условиях.

 

Рис.2.2. Применение буроинъекционных свай:
а - строительство туннеля рядом с существующими зданиями; б - надстройка существующего здания:
1 - существующие фундаменты; 2 - новые фундаменты на сваях

2.4. Исправление крена может осуществляться двумя способами:

- усиление основания фундаментов в зоне максимальных осадок с последующим (с разрывом во времени до нескольких лет) усилением оснований фундаментов, оседающих под нагрузкой до необходимой отметки (рис. 2.3);

Рис.2.3. Исправление крена здания:
1 - положение фундаментов до начала усиления; 2 - буроинъекционные сваи I стадии усиления; 3 - сваи II стадии усиления; 4 - сваи III стадии усиления

- подведение свай под просевшую часть фундаментов с последующей принудительной посадкой остальных путем ослабления их основания, временно используя буроинъекционные сваи как анкера (рис.2.5б). Для ослабления оснований применяют замачивание, вибрацию, направленную выборку грунта и другие способы.

2.5. Условия, при которых применение буроинъекционных свай для вновь сооружаемых объектов может оказаться эффективным:

наличие крупнообломочного материала в слабых грунтах (рис.2.4);

наличие плотных слоев грунта ограниченной толщины;

фундирование малонагруженных сооружений в грунтовых условиях II типа по просадочности.

Рис.2.4. Применение буроинъекционных свай:
а - усиление оснований фундаментов под оборудование; б - фундамент мостовой опоры в сложных грунтовых условиях;
1 -сваи; 2 - крупнообломочный материал; 3 - фундамент

2.6. Буроинъекционные сваи используются, также в качестве элемента "сетчатых стен в грунте", применяемых как подпорные стены, в том числе для противооползневой защиты (рис.2.5).

Рис.2.5. Применение буроинъекционных свай:
а - противооползневая защита: б - сваи-анкера как элемент стены в грунте

3. ТЕХНОЛОГИЯ ИЗГОТОВЛЕНИЯ

3.1. Технологическая последовательность изготовления буроинъекционных свай следующая:

бурение скважин;

установка арматурного каркаса;

инъекция цементно-песчаного раствора.

Рекомендуемый парк сместительного, бурового и инъекционного оборудования помещен в приложениях 1-4.

3.2. В зависимости от грунтовых условий, а также от области применения рекомендуются следующие технологические схемы изготовления буроинъекционных свай:

а) в маловлажных глинистых грунтах (обычно I или II тип грунтовых условий по просадочности) наиболее целесообразно применять технологию, показанную на рис. 3.1а. Скважина диаметром 13-18 см бурится установкой шнекового бурения. При этом необходимо, чтобы диаметр бурового долота превышал диаметр шнека не более чем на 0,6-1,0 см. Это обеспечивает затирание стенок скважины более влажным грунтом, поднимающимся по шнеку из забоя и препятствует осыпанию грунта после извлечения бурового инструмента из скважины. Скважины могут также пробиваться станком БС-1М или пневмопробойниками. В готовую скважину опускается каркас, затем производится инъекция цементно-песчаного раствора через шланг или бетонолитную трубу, опущенные в забой скважины;

Рис. 3.1. Технологическая схема изготовления буроинъекционных свай в маловлажных глинистых грунтах:
а - при диаметре сваи 13-18 см; б - при диаметре более 18 см.
I - бурение скважины, II - установка армокаркаса, III - бетонирование сваи;
1 - буровой став, 2 - армокаркас, 3 - инъекционный шланг, 4 - готовая свая, 5 - бункер для выбуренного грунта, 6 - бункер для бетона, 7 - "дыхательная" трубка

б) в грунтовых условиях по п. а при диаметре вертикальной скважины более 18 см целесообразно бетонировать скважину свободным сбрасыванием раствора с осадкой конуса 13-18 см. При этом каркасы длиной до 5 м можно устанавливать в свежеуложенный раствор (рис. 3.1б);

в) в слабых, оплывающих грунтах необходимы специальные меры по укреплению скважин. На рис. 3.2 показана технология изготовления свай с помощью обсадных труб. Станком вращательного или ударно-вращательного бурения бурится скважина, обсаженная трубами.

После извлечения бурового инструмента и установки каркаса обсаженная скважина заполняется раствором через инъекционную трубу или гибкий шланг. После заполнения скважины раствором инъекционная труба извлекается, на верхнюю секцию обсадных труб навинчивается крышка со штуцером для шланга к растворонасосу или компрессору, через который свежеуложенный раствор опрессовывается по мере извлечения обсадных труб. Регулируя давление и расход раствора, можно получить уширение в свае на необходимом уровне.

Рис.3.2. Технологическая схема изготовления буроинъекционных свай с помощью извлекаемых обсадных труб (I-IV в водонасыщенных грунтах; I,V,VI - в сухих):
I - бурение скважины; II, VI - установка армокаркаса; III, V - бетонирование сваи; IV - опрессовка скважины и извлечение обсадных труб
(1 - обсадные трубы; 2 - армокаркас; 3 - инъекционная труба; 4 - оголовок со штуцером; 5 - шланг растворонасоса; 6 - готовая свая)

В тех случаях, когда забой скважины сухой, раствор заливается в обсадные трубы сверху без инъекционной трубы или шланга.

Установка фирмы "Бауэр" выполняет сваи по указанной технологии с обсадными трубами с теряемым наконечником;

г) в грунтовых условиях по п. в устойчивость оплывающих стенок скважины может быть обеспечена применением бентонитового раствора в качестве промывочной жидкости при бурении шарошечным долотом (рис. 3.3). В этом случае опрессовка выполняется через инъекционную трубу, оборудованную сальником с тампоном, устанавливаемым в устье скважины;

Рис.3.3. Технологическая схема изготовления буроинъекционных свай с промывкой скважин бентонитовым раствором:
I - бурение скважин шарошечным долотом; II - установка арматурного каркаса; III- установка инъекционной трубы и заполнение скважины раствором: IV - установка тампона и опрессовка скважины с забоя: IVа - опрессовка скважины с устья
(1 - буровой став 2 - армокаркас; 3 - инъекционная труба; 4 - усиливаемый фундамент; 5 - устьевой лоток; 6 - тампон с сальником; 7 - уширенная часть сваи; 8 - готовая свая)

д) при наличии в пределах длины сваи сильнопоглощающего слоя грунта применяется технология изготовления буроинъекционных свай с трубчатым армированием (рис. 3.4). По этой технологии пробуренная скважина заполняется цементно-бентонитовым (обойменным) раствором. Затем в скважину опускается труба-арматура с закрытым нижним концом и отверстиями в стенках, закрытыми резиновыми рукавами. Через 10-24 ч после схватывания обойменного раствора в трубу-арматуру опускается инъекционная труба с двойными тампонами и подается цементный раствор. При этом резиновые рукава расходятся и разрывают обойменный раствор, образуя уширение в нужном месте;

Рис.3.4. Схема устройства свай с трубчатой арматурой:
I - устройство скважины; II - заполнение скважины инъекционным раствором; III - установка арматуры; IV - опрессовка скважины;
1 - обсадная труба; 2 - инъекционная труба; 3 - трубчатая арматура; 4 - инъектор с двойным тампоном

е) при изготовлении буроинъекционных свай с винтовой навивкой по стволу (так называемых винтонабивных) скважина образуется путем ввинчивания в грунт полого формирующего наконечника, соединенного с вращательной инъекционной трубой (рис. 3.5), в которой устанавливается арматурный каркас. Свая образуется при вывинчивании наконечника и подаче растворонасосом в полость, образующуюся в грунте, цементно-песчаного раствора под давлением 0,2-0,3 МПа.

Рис.3.5. Технологическая схема устройства винтонабивных свай:
I - устройство скважины; II - вывинчивание винтового наконечника на высоту 5-10 см над забоем скважины и отделение теряемого башмака; III - бетонирование (формирование) сваи; IV - бетонирование и дополнительное армирование головы сваи:
1- ведущая труба; 2 - винтовой формирующий наконечник; 3 - резинотканевый рукав; 4 - теряемый башмак; 5 - арматура; 6 - дополнительный арматурный каркас

3.3. В тех случаях, когда скважина бурится в каменных или бетонных фундаментах или стенах, бурение выполняется трехшарошечным долотом с продувкой воздухом или промывкой водой. Арматура железобетонных элементов разбуривается твердосплавными шарошками или вырезается вместе с керном колонковым снарядом.

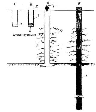
При усилении фундамента (трещины, выветрелые швы бутовой кладки и пр.), а также при наличии полостей под подошвой, работы выполняются в следующей последовательности (рис. 3.6):

- бурение лидерной скважины глубиной 0,6-0,8 м;

- замоноличивание трубы-кондуктора на цементном растворе с временной пробкой в нижней части;

- бурение скважины через кондуктор на участке фундамента, требующем усиления;

- заполнение скважины цементным раствором пол давлением 0,2-0,5 МПа. Вместо замоноличивания теряемой трубы-кондуктора можно использовать тампоны (см. приложение 4), что значительно упрощает и убыстряет производство работ.

В случае, когда необходимо выполнять усиление основания и фундамента, скважины под сваи бурятся через укрепленный фундамент через 2-3 суток после заполнительной цементации.

Рис.3.6. Усиление бутового фундамента.
I - бурение лидерной скважины; II - установка трубы-кондуктора; III - бурение инъекционной скважины и бетонирование полостей и трещин; IV - изготовление буроинъекционной сваи.
1 - лидерная скважина, 2 - труба-кондуктор, 3 - раствор омоноличивания 4 - временная пробка, 5 - раствор в трещинах кладки, 6 - труба с сальником, 7 - буроинъекционная свая

3.4. Буроинъекционные сваи в зависимости от характера и действующих нагрузок армируются на всю длину или в пределах верхней части.

Длина секций арматуры определяется в основном высотой помещения, в котором производятся работы (не более 4,5 м).

3.5. После установки арматурного каркаса или параллельно с его установкой в скважину опускается инъекционная труба или гибкий шланг. Диаметр инъекционных труб зависит от консистенции и состава перекачиваемого раствора и должен составлять не менее 30 мм при цементном растворе и 40 мм - при цементно-песчаном.

3.6. Для инъекционных растворов рекомендуется применять портландцемент активностью не ниже 400 с нормальной густотой цементного теста в пределах 22-29%.

Для раствора применяется песок крупностью не более 1 мм. Подвижность свежеприготовленного раствора должна составлять не менее 12 см по стандартному конусу. Соотношение цемент:песок:вода в растворе должно быть 1:(1-2):(0,4-0,7). Водоотделение раствора через 24 ч не должно превышать 2% первоначального объема. Прочность раствора по испытаниям кубиков размером 7´7´7 см при нормальных условиях вызревания должна быть не менее 15 МПа в 7-дневном возрасте и 30 МПа в 28-дневном.

3.7. Состав инъекционного раствора подбирается путем опытных замесов с различным водоцементным отношением (В/Ц). Наименьшее В/Ц определяется исходя из требования подвижности по п.3.6 данных Рекомендаций, наибольшее - из требования прочности. Принимая В/Ц близким к среднему в найденных границах значению, можно получить достаточный запас прочности на всевозможные неточности при производстве работ. Принятый состав проверяется на прочность и морозостойкость в соответствии с действующими нормами.

3.8. Приготовлять растворы следует в скоростных турбулентных лопастных или пропеллерных смесителях с частотой вращения не менее 200 об/мин (см. прил.7).

3.9. Необходимо обеспечивать точное дозирование компонентов раствора, особенно воды, так как небольшие отклонения от требуемого В/Ц могут существенно изменить свойства раствора.

4. КОНСТРУИРОВАНИЕ БУРОИНЪЕКЦИОНЫХ СВАЙ И СВАЙНЫХ ФУНДАМЕНТОВ

4.1. Армирование буроинъекционных свай выполняется по расчету или назначается конструктивно. Сваи армируются одиночными арматурными стержнями, сварными каркасами, жесткой арматурой в виде проката черных металлов или металлическими трубами. Арматура сваи может быть однородной на всю длину (например, сваи-стойки в окружающих слабых грунтах) комбинированной (например, труба или прокат в зоне действия изгибающего момента и каркас или одиночный стержень на всю остальную длину). В однородных грунтах допускается не армировать нижнюю часть висячих свай.

4.2. Арматура буроинъекционных свай должна иметь фиксирующие элементы, центрирующие ее в скважине (рис. 4.1а) и обеспечивающие требуемую толщину защитного слоя бетона. Фиксирующие элементы должны привариваться с четырех сторон арматурного стержня или каркаса на расстоянии один от другого, равном шести диаметрам скважины.

4.3. Толщина защитного слоя бетона должна быть не менее 2,5 см.

4.4. Сварной стык рабочей арматуры сваи должен соответствовать изображенному на рис. 4.1б или быть любой другой конструкции, обеспечивающей его равнопрочность и удобство производства работ по инъецированию бетона.

Рис.4.1. Армирование буроинъекционных свай:
а) арматурные каркасы; б) конструкция стыка;
1- арматурный стержень или каркас; 2 - фиксирующие элементы; 3 - стыковочная труба L=15-25 см

4.5. При конструировании вновь сооружаемых фундаментов на буроинъекционных сваях необходимо руководствоваться правилами и требованиями, предъявляемыми к конструированию фундаментов на буронабивных сваях и изложенных в главе СНиП II-17-77 "Свайные фундаменты. Нормы проектирования" и настоящими Рекомендациями.

4.6. Если на фундамент действуют горизонтальная и вертикальная нагрузки, то при проектировании необходимо стремиться, чтобы центр тяжести сечений свай в любом разрезе, перпендикулярном к линии равнодействующей, находился на этой линии (рис. 4.2).

Рис.4.2. Схема расположения свай в фундаменте, нагруженном вертикальной и горизонтальной нагрузкой

4.7. При необходимости срочного выполнения работ нулевого цикла и в других случаях допускается обратный порядок устройства свайного фундамента. Вначале устраивается ростверк, а затем через специально оставляемые закладные детали изготовляются буроинъекционные сваи. При этом обязательна опрессовка свежеуложенного раствора, если скважина сооружалась шнековым бурением без циркуляции глинистого раствора для обеспечения уширения ствола сваи в грунте в месте сопряжения с ростверком.

4.8. При усилении оснований у существующих фундаментов необходимо стремиться к максимальному использованию несущей способности усиливаемого фундамента. Расчет по I и II группам предельных состояний необходимо производить с учетом совместной работы буроинъекционных свай и усиливаемого фундамента.

4.9. При усилении оснований необходимо учитывать возможное изменение статической схемы работы конструкции, например, фундаментной плиты, в связи с переносом части нагрузки на головы буроинъекционных свай (рис. 4.3).

4.10. При невозможности пробуривания скважин через тело фундамента допускается их устройство рядом с фундаментом с передачей нагрузки на сваи с помощью системы балок (рис. 4.4).

4.11. Для обеспечения совместной работы вновь вводимых свай с усиливаемым фундаментом в проекте должна быть предусмотрена надежная заделка сваи в фундаменте.

При применении глинистого раствора длина заделки сваи в фундаменте принимается равной пяти диаметрам сваи, при бурении с продувкой воздухом - четырем диаметрам.

Рис.4.3. Трансформация эпюры изгибающих моментов в фундаментной плите при усилении буроинъекционными сваями:
а -до усиления; б -после усиления и повышения нагрузки

Рис.4.4. Усиление ленточного фундамента буроинъекционными сваями

4.12. При невозможности выполнения требований п.4.11 необходимо предусмотреть уширение ствола сваи в месте примыкания к ростверку. Отношение диаметра сваи в месте примыкания к диаметру скважины в фундаменте должно составлять не менее 1,15. Расширить ствол сваи можно промывочной жидкостью при бурении или опрессовкой свежеуложенного раствора.

4.13. Для временного использования в качестве анкеров буроинъекционные сваи выполняются в следующей технологической последовательности:

-бурение через фундамент скважины с заглублением на расчетную глубину lр;

- установка арматурного каркаса с приваренной в его верхней части устьевой трубой диаметром на 5-6 см меньше диаметра скважины длиной на 1,5-2,0 м больше толщины фундаментной плиты и оборудованной сальником на отметке низа фундамента (рис. 4.5);

- инъекция цементно-песчаного раствора в забой скважины через устьевую трубу.

После набора прочности раствором производится принудительная посадка фундамента с помощью гидравлических домкратов, используя сваи как анкера. После посадки фундаментов на проектную отметку полость между стенками скважины в фундаменте и наружными стенками устьевой трубы заливается цементным раствором.

Рис.4.5. Исправление крена фундаментов принудительной посадкой:
1 - фундамент; 2 - сваи; 3 - свая-анкер; 4 - металлическая труба; 5 - шнековый бур; 6 - гидравлические домкраты

4.14. Понижение отметки пола существующих сооружений выполняется в следующей технологической последовательности (рис. 4.6):

- через существующий фундамент устраиваются сваи ниже предполагаемой отметки пола на глубину, обеспечивающую несущую способность равную несущей способности существующего фундамента;

- разбираются полы и удаляется лишний грунт;

- на новой отметке бетонируется ростверк, и монтируется или бетонируется колонна до упора с подошвой существующего фундамента;

- разбираются свободные отрезки свай и существующий фундамент, и оформляется стык колонн.

Рис. 4.6. Применение буроинъекционных свай при понижении пола промздания:
I - положение до реконструкции; II - устройство буроинъекционных свай; III - понижен уровень пола; IV - забетонированы ростверк и колонна; V - положение после реконструкции;
1 - существующий фундамент; 2 - буроинъекционные сваи; 3 - ростверк; 4 - новая часть колонны; 5 - стык

5. РАСЧЕТ БУРОИНЪЕКЦИОННЫХ СВАЙ ПО НЕСУЩЕЙ СПОСОБНОСТИ

5.1. При расчете несущей способности буроинъекционных свай надлежит руководствоваться требованиями главы СНиП II-17-77 "Свайные фундаменты. Нормы проектирования" и настоящими Рекомендациями.

5.2. При расчете буроинъекционных свай по прочности материала сваю следует рассматривать как упругий стержень с начальным прогибом, жестко защемленный в грунте в сечении, где модуль деформации грунта Е ³ 5 МПа. Учет продольного изгиба производится по методу, предполагающему потерю устойчивости сваи в слабом грунте (Е < 5 МПа) по нескольким полуволнам, причем число полуволн зависит от соотношения жесткостей сваи и окружающего грунта и практически не зависит от вида заделки в ростверке.

5.3. Метод расчета прочности ствола свай составлен на основании и в развитие главы СНиП II-21-75 "Бетонные и железобетонные конструкции. Нормы проектирования". Прочностные и деформационные характеристики инъекционных растворов (мелкозернистых бетонов) следует определять в соответствии с "Рекомендациями по проектированию бетонных и железобетонных конструкций из мелкозернистого бетона" (письмо Госстроя СССР № HK-3388-I от 1 июля 1977 г.).

5.4. При расчете по прочности бетонных и железобетонных свай на воздействие сжимающей продольной силы N помимо эксцентриситета, определяемого из статического расчета конструкций, должен приниматься во внимание случайный эксцентриситет ес, обусловленный возможным искривлением скважины при бурении. Эксцентриситет ес определяется умножением относительного искривления оси сваи (табл. 5.1) на расчетную длину полуволны ее изгиба lо (табл. 5.2 настоящих Рекомендаций).

5.5. Расчет буроинъекционных свай по прочности выполняется в соответствии с требованиями раздела 3 главы СНиП II-21-75, при этом значение коэффициента h, учитывающего влияние прогиба на эксцентриситет продольного усиления е, следует определять по формуле

где N - осевая сжимающая нагрузка на сваю;

Nkp - условная критическая сила, определяемая по указаниям главы СНиП II-21-75.

5.6. Несущая способность буроинъекционной сваи-стойки (см. п. 1.4) следует определять в соответствии с п. 5.4 главы СНиП II-17-77.

5.7. Несущую способность висячей буроинъекционной сваи f работающей на осевую сжимающую нагрузку, следует определять по формуле

f = m(mrRF + uSmfifili)                                                                            (5.1)

где m - коэффициент условий работы свай в грунте, принимаемый равным 1;

mr - коэффициент условий работы грунта под нижним концом сваи, принимаемый равным 1;

R - расчетное сопротивление грунта под нижним концом, принимаемое для винтонабивных и свай в пробитых скважинах по табл. 1 СНиП П-17-77, а для остальных типов свай - по п. 5.1 указанной главы СНиП;

F - площадь опирания сваи, принимаемая равной: для свай без уширения - площади поперечного сечения сваи, для свай с уширением - площади поперечного сечения уширения, для винтонабивных свай - площади поперечного сечения по диаметру винтового выступа;

u - периметр ствола сваи, определяемый по диаметру скважины или обсадной трубы, а для винтонабивной сваи - по диаметру винтового выступа;

mfi - коэффициент условий работы i-го слоя грунта на боковой поверхности ствола набивной сваи, принимаемый по табл. 5.4 настоящих Рекомендаций;

fi - расчетное сопротивление i-го слоя грунта на боковой поверхности ствола, принимаемое по табл. 2 СНиП II-17-77;

li - толщина i-го слоя грунта, соприкасающегося с боковой поверхностью свай.

Таблица 5.1

Относительное искривление осей свай при различных способах проходки скважин

Способы проходки

Относительное искривление

Шнековое бурение без обсадных труб

0,002

Желонирование с обсадными трубами

0,002

Пробивка станком БС-1M со снарядом длиной 11 м

 

Пробивка пневмопробойником

0,03

Бурение шарошкой под бентонитовым раствором

0,005

Завинчивание формирующего наконечника

0,002

Таблица 5.2

Расчетные длины полуволн изгиба при потере устойчивости буроинъекционных свай

модуль деформации грунта, МПа

Расчетная длина lо, см, для свай диаметром, см

10

15

20

25

30

0,5

310

465

620

775

930

1,0

250

375

500

625

750

1,5

224

336

448

560

672

2,0

202

303

404

505

606

2,5

190

285

380

475

570

3,0

180

270

360

450

540

3,5

172

258

344

430

516

4,0

165

248

330

412

486

4,5

160

240

320

400

480

5,0

155

232

310

387

465

Примечания: 1. Модуль деформации слабых водонасыщенных глинистых грунтов определяют по данным компрессионных испытаний. Модуль деформации илов допускается определять по табл. 5.4

2. Модуль деформации просадочных грунтов определяют по данным компрессионных испытаний образцов, отбираемых в горизонтальном направлении по методике, изложенной в "Руководстве по лабораторному определению деформационных и прочностных характеристик просадочных грунтов", Москва, Стройиздат, 1975.

Таблица 5.3

Коэффициенты условий работы грунта mf

Виды свай

Значения коэффициента mf, для различных видов грунта

пески

супеси

суглинки

глины

Винтонабивные

1,0

1,0

1,0

0,9

Устраиваемые сбросом бетона в сухие пробуренные скважины

-

0,8

0,8

0,8

Устраиваемые сбросом бетона в сухие пробитые скважины

1,0

0,9

0,9

0,8

Устраиваемые инъекцией раствора в сухие пробуренные скважины

-

0,9

0,9

0,9

Изготовленные под защитой обсадных труб с опрессовкой давлением 0,2-0,4 МПа

0,9

0,8

0,8

0,8

Изготовленные под защитой бентонитового раствора с опрессовкой давлением 0,2-0,4 МПа

0,9

0,8

0,8

0,8

Таблица 5.4

Строительная классификация морских илов (морские четвертичные отложения) по Г.В. Сорокиной

Показатели физических свойств

Супесчаный

Суглинистый

Глинистый

Характеристики плотности (средние)

W = 38±6%

g = 1,82±0,06 г/см3

e = 1,038± 0,168

W = 44±13%

g = 1,77±0,12 г/см3

e = 1,206±0,325

W = 88±29%

g = 1,5±0,10 г/см3

e = 2,390±74

Консистенция

1,0

2,0

3,0

1,0

2,0

2,0

1,0

2,0

Коэффициент пористости

0,8-1,1

0,85-1,2

0,9-1,3

0,9-1,2

1,2-1,6  

1,6

1,2-1,6

1,6-2,0

2-3 

3

Модуль деформации, MПa

5,7-5,1

3,6-3,3

3,1-2,9

3,2-1,9

1,6-1,2

1,2

2,3-1,6

1,3-0,8

0,6-0,4

0,4

6. ИНЖЕНЕРНЫЙ МЕТОД РАСЧЕТА УСИЛЕНИЯ ОСНОВАНИЙ СУЩЕСТВУЮЩИХ ЗДАНИЙ И СООРУЖЕНИЙ

6.1. Предварительные размеры (диаметр и длина) буроинъекционных свай назначаются с учетом инженерно-геологических условий площадки, нагрузки, которую должны воспринимать сваи, и их несущей способности, вычисленной в соответствии с требованиями раздела 5 настоящих Рекомендаций.

Несущая способность буроинъекционных свай должна уточняться по результатам их статических испытаний согласно ГОСТ 5686-78.

6.2. На основе результатов статических испытаний буроинъекционных свай должны устанавливаться:

начальный коэффициент жесткости свай C0, кН/м;

критическая нагрузка на сваю Ркр, кН;

расчетная нагрузка, допускаемая на сваю, Р*, кН.

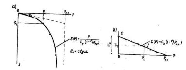
6.3. Значения коэффициента жесткости сваи C0 и критической нагрузки на сваи Ркр определяются по формулам (6.1) и (6.2) как параметры прямой, построенной методом наименьших квадратов в координатах "Ci - Рi" (рис. 6.1б)

Рис.6.1. Графики зависимостей осадки (а) и жесткости (б) от статической нагрузки

                                                              (6.1)

                                                               (6.2)

где Рi и Si - нагрузка и соответствующая стабилизированная осадка сваи на i ступени;

Сi = Рi / Si - коэффициент жесткости сваи на i ступени;

k - число опытных, пар точек "Рi - Si".

Значения C0 и Ркр используются для описания зависимости осадки сваи S от нагрузки Р (рис. 6.1а):

                                                                                        (6.3)

6.4. Для получения расчетной нагрузки, допускаемой на сваю, Р* результаты испытаний обрабатываются следующим образом.

Осадка сваи S(t) на каждой ступени нагрузки Рi в произвольный момент времени t от начала приложения нагрузки представляется в виде

                                                                                                (6.4)

где S0 - осадка сваи при нагрузке Рi за время t = 2-3 ч;

yi - параметр, постоянный для каждой ступени нагрузки, определяемый на основе статистической обработки результатов испытаний по формуле:

                                                                                 (6.5)

где и - число опытных пар "S(tji) - tji"

Примечание. Параметр y является угловым коэффициентом прямой в координатах , проходящей через начало координат (рис. 6.2а). С увеличением нагрузки значения параметра y уменьшаются (рис. 6.2б).

6.5. Зависимость параметра y от нагрузки P аппроксимируется функцией следующего вида (см. рис. 6.2б):

                                                                                                  (6.6)

где а и в - коэффициенты, определяемые по формулам:

                                                             (6.7)

                                                                      (6.8)

                                                                                   (6.9)

                                                                                                            (6.10)

K - число ступеней нагрузки, при которых зависимости осадки сваи от времени являются затухающими.

Примечание. Коэффициенты а и в являются параметрами прямой, построенной методом наименьших квадратов в координатах  (см. рис. 6.2в)

Рис.6.2. К определению параметра y (Р)

6.6. В качестве предельного сопротивления сваи Фпр принимается нагрузка, которая вызовет к концу срока службы сооружения Т осадку S(Т), равную предельно допустимой средней осадке сооружения Sпр.ср по табл.18 главы СНиП II-15-74. Значение Фпр вычисляется по формуле:

                                                                                                      (6.11)

                                                                                                    (6.12)

где а и в - коэффициенты, определяемые по формулам (6.7) и (6.8);

Sок - осадки сваи за время tок = 2-3 ч после приложения последней ступени нагрузки Рк, при которой зависимость Sк(t) имеет затухающий характер.

Значение Фпр, вычисленное по формуле (6.11), не должно превышать значение критической нагрузки на сваю 0,7Ркр  по п.6.3. В противном случае принимается Фпр = 0,7Ркр.

6.7 Расчетная нагрузка, допускаемая на сваю, Р*, кН, в соответствии с пп. 4.3 и 6.3 СНиП II-17-77 определяется по формуле:

                                                                                                       (6.13)

 где Фпр - предельное сопротивление сваи, определяемое по п. 6.6, кН;

m - коэффициент условий работы (принимается равным единице);

Кг - коэффициент надежности по грунту, принимаемый по п. 6.4 СНиП II-17-77;

Кн - коэффициент надежности, принимаемый по п.4.3 СНиП II-17-77.

6.8. Количество буроинъекционных свай nн, требуемое для усиления существующего фундамента на естественном основании в связи с увеличением на него нагрузки, определяется по формуле:

                                                                          (6.14)

где DN - приращение нагрузки на фундамент, кН;

Рн - нагрузка, принятая на одну сваю, кН;

 - коэффициент жесткости существующего фундамента, кН/м, равный отношению вертикальной нагрузки на фундамент N1, кН, к его стабилизированной (расчетной или замеренной) осадке S1, м;

Сон и Ркр.н - начальный коэффициент жесткости сваи, кН/м и критическая нагрузка на сваю, кН, определяемые по указаниям п. 6.3.

6.9. При заданном числе свай nн для усиления фундамента на естественном основании нагрузка на одну сваю Рн определяется при решении квадратного уравнения

                                                                                        (6.15)

по формуле

                                                                                     (6.16)

где

a1 = nн;

a3 = DN·Ркр.н

Осадка S фундамента, усиленного буроинъекционными сваями, от дополнительной нагрузки DN определяется по формуле:

                                                                            (6.17)

6.10. Количество буроинъекционных свай nн, требуемое для усиления существующего свайного фундамента в связи с увеличением нагрузки, определяется по формуле:

                                                     (6.18)

где DN - приращение нагрузки (по сравнению с действующей на свайный фундамент нагрузкой Nс), кН;

Рн - заданная нагрузка на новую сваю, кН;

nс - число свай в существующем фундаменте;

 - существующая нагрузка на сваю, кН;

Ркр.с - критическая нагрузка на существующую (старую) сваю, кН;

Ркр.н - то же на новую сваю, кН, определяемая по указаниям п. 6.3;

Сос - начальный коэффициент жесткости старой сваи, кН/м;

Сон - то же новой сваи, определяемый по указаниям п. 6.3.

В случае, если зависимость "нагрузка-осадка" для существующих свай можно считать линейной, необходимое для усиления фундамента число свай допускается определять по формуле:

                                                                                         (6.19)

Примечание. При отсутствии опытных данных допускается принимать:

Ркр.с = Фпр - несущей способности существующей сваи, определяемой в соответствии с требованиями главы СНиП II-17-77;

  - отношению нагрузки, действующей на фундамент, к его расчетной или прогнозируемой по данным наблюдений осадке.

6.13. При заданном количестве свай nн для усиления свайного фундамента нагрузка на одну сваю Рн определяется решением квадратного уравнения

                                                                                         (6.20)

по формуле:

                                                                                     (6.21)

где

в3 = DN

6.14. Приращение нагрузки на одну сваю существующего фундамента DРс после усиления его буроинъекционными сваями определяется по формуле:

                                                                                            (6.22)

6.15. Осадка S свайного фундамента, усиленного буроинъекционными сваями, от дополнительной нагрузки DN определяется по формуле:

                                                   (6.23)

где DРс - определяется по указаниям п. 6.14.

В случае линейной зависимости "нагрузка-осадка" для существующих свай осадку допускается вычислять по формуле:

                                                                          (6.24)

7. ПРИМЕРЫ РАСЧЕТА

Пример 1. Требуется определить количество буроинъекционных свай, необходимое для усиления фундамента на естественном основании при следующих исходных данных: существующая нагрузка на фундамент N1 = 800 кН = 0,8 МН; предполагаемое приращение нагрузки DN = 800 кН = 0,8 МН; осадка существующего фундамента (при нагрузке N1) S1 = 3,2 см = 0,032 м; жесткость фундамента C1 = 800/0,032 = 25 МН/м.

На основе статических испытаний свай получено: начальный коэффициент жесткости сваи Сон = 50 МН/м; расчетная нагрузка, допускаемая на сваю Р* = 100 кН = 0,1 МН; критическая нагрузка на сваю Ркр.н = 200 кН = 0,2 МН.

Необходимое число буроинъекционных свай определяется по формуле (6.14) при Р = Р*.

Дополнительная осадка усиленного фундамента от нагрузки DN = 800 кН при nн = 7 и Р* = 100 кН по формуле (6.17) составит

Построим зависимости нагрузки на одну сваю Р и суммарной нагрузки на все сваи SР от количества свай nн по уравнению (6.15). В данном случае коэффициенты этого уравнения будут равны:

a1 = nн;

a2 = 0,2·(0,5 + nн) + 0,8 = 0,9 + 0,2· nн;

a3 = 0,8´0,2 = 0,16.

Полученные результаты представлены в таблице и на рис. 6.3. Так, если принять 7 дополнительных буроинъекционных свай, то они воспримут на себя суммарную нагрузку 700 кН, дополнительная нагрузка на "старый" фундамент при этом составит 100 кН.

nн

3

5

8

10

15

20

a2 , кН

1,50

1,90

2,50

2,90

3,90

4,90

Рн, кН

154

126

90

74

51

39

DРн, кН

462

630

720

740

765

780

Пример 2. Требуется определить нагрузку на одну буроинъекционную сваю после усиления существующего свайного фундамента при следующих исходных данных.

Существующий фундамент, воспринимающий нагрузку Nс= 1 МН, включает 10 свай (nс = 10), т.е. нагрузка на одну сваю в существующем фундаменте Рс = 0,1 МН. На основе испытаний установлено: Сон = 50 МН/м, Ркр.с = 0,2 МН.

Предполагается увеличить вдвое нагрузку на фундамент (D= 1 МН), введя дополнительно 10 буроинъекционных свай.

Статические испытания опытных свай показали: Сон = 50 МН/м и Ркр.н = 0,2 МН.

Согласно п. 6.13 нагрузку на одну буроинъекционную сваю определяем исходя из уравнения (6.20), вычислив предварительно коэффициенты:

в3 = 1.

Тогда уравнение (6.20) принимает вид:  -15·Рн + 1 = 0, откуда Рн = 0,067 МН = 67 кН. Суммарная нагрузка, воспринимаемая буроинъекционными сваями Рн = 10´0,067 = 0,67 МН.

Приращение нагрузки на старую сваю определяем по формуле (6.22):

т.е. суммарная нагрузка на старую сваю равна

0,1 + 0,033 = 0,133 МН = 13,3 кН.

Суммарная нагрузка, воспринимаемая усиленным фундаментом 10´0,067+10+0,133=2,0 МН. Осадка усиленного фундамента от дополнительной нагрузки по формуле (6.23) равна:

Рис.6.3. Зависимости суммарной нагрузки, воспринимаемой новыми сваями SРн (а), и нагрузки на одну сваю (б) от числа буроинъекционных сваи

8.РАСЧЕТ УСИЛЕНИЯ ОСНОВАНИЙ СУЩЕСТВУЩИХ ЗДАНИЙ И СООРУЖЕНИЙ НА ЭВМ

Представленные в этом разделе вычислительные программы для решения задач, связанных с усилением фундаментов на естественном основании (alfA1) и свайных фундаментов (ALFA2), составлены на алгоритмическом языке фортран.

Необходимость разработки этих программ обусловлена значительным объемом вычислений и громоздкостью выражений, представленных в разделе 6 настоящих Рекомендаций для случая нелинейной зависимости "нагрузка-осадка".

8.1. Программа alfa1 приведена в приложении 5. Обозначения, принятые в исходных данных программы, соответствуют следующим параметрам, рассмотренным в разделе 6:

ANS = N1 - нагрузка, воспринимаемая существующим фундаментом, МН

SS = S1 - осадка существующего фундамента, м;

PRIN = DN - предполагаемое приращение нагрузки, МН;

tfiN = T - срок службы сооружения, час;

SFIN = Sпр.ср - предельно допустимая средняя осадка сооружения, м;

CKR = Kг - коэффициент надежности по грунту;

СКН = Кн - коэффициент надежности;

СМ = m - коэффициент условий работы;

К = К  - число опытных пар точек "Pi - si"

JU = u - число опытных пар точек "S(tj) - tj" на i-й ступени;

8.2. Программа alfa2 приведена в приложении 6. Обозначения, принятые в исходных данных программы, соответствуют следующим параметрам, рассмотренным в разделе 6:

ANS = Nc - нагрузка, воспринимаемая существующим фундаментом, МН;

STN = nc - количество свай в существующем фундаменте;

PRIN = DN - приращение нагрузки, МН;

tfiN = T - срок слукбы сооружения, час;

SFIN = Sпр.ср - предельно допустимая средняя осадка сооружения, м;

CKR = Kг - коэффициент надежности по грунту;

СКН = Кн - коэффициент надежности;

СМ = m - коэффициент условий работы;

К = К - число опытных пар точек "Pi - si" для сваи существующего фундамента;

L = К - число опытных пар точек "Pi - si" для буроинъекционной сваи;

JU = u - число опытных пар точек "S(tj) - tj" для буроинъекционной сваи на i-й ступени;

Примечание к п.8.1 и 8.2. Величины всех параметров, приводимых в исходных данных, за исключением К, L, JU представляются действительными числами; подчеркнутые буквенные обозначения заменяются соответствующими числовыми значениями.

Приложение 1

 Техническая характеристика станков вращательного бурения

Параметры

Стационарные

Самоходные

 

ЗИВ-150

3ИФ-300М

ЗИФ -650А

СБА-500

СКБ-4

СБУ-100Н-35

СБУ-300-ЗИВ

УГБ-50А (М)

БУЛИЗ-15

Глубина бурения, м

150

300

650

300

300

25

300

50

15

Диаметр бурения, мм

59-111

59-150

79-250

151

151-300

100-150

76-131

76-300

64-150

Угол бурения к горизонту, град

0-360

45-90

45-90

45-90

0-360

0-90°

90

90

90

Тип мачты и ее высота, мм

H-18

H-18

Н-22

-

-

-

9430

8000

-

Тип ходовой части

-

-

-

-

-

-

МАЗ-200

ГАЗ-63А

УАЗ-69

Габаритные размеры установки,

мм

 

 

 

 

 

 

 

 

 

длина

2018

5570

2690

1670

1800

2170

8200

7200

2600

ширина

1774

2430

1360

1130

1000

1000

2800

2000

1750

высота

800

1940

2260

1620

1600

2730

3640

3000

3500

Масса установки, кг

900

1380

2500

1318

1800

500

12500

5100

2000

Приложение 2

Параметры пневмоударников

М-1900

П-1-75

П-150

М-48

Диаметр коронки, мм

110-115

100-10

150

105-110

Диаметр ствола, мм

86

90

110-112

92

Диаметр цилиндра, мм

62

75

98

74

Длина с коронкой, мм

528

-

455

-

Длина без коронки, мм

-

450

-

-

Мощность ударника, кВт

2,59

2,16

3,7-4,4

3,1

Число ударов в минуту

1900

2300

2500

1800

Расход воздуха при давлении 0,5 МПа, м3/мин

4-6

4,3

4,5

6,8

Масса пневмоударника без коронки, кг

12,8

14,5

20,7

16,1

Механическая скорость бурения по крепким породам, мм/мин

33

35

40

40

Параметры сместителей

РМ-300

РМ-500

РМ-750

Турбо-80

Полезная вместимость, л

300

500

750

135

Частота вращения турбины, об/мин

350

475

570

400

Мощность электродвигателя, кВт

4,5

4,5

7,5

15

Число оборотов электродвигателя, об/мин

950

950

1440

 

Направление вращения турбины

Правое

Правое

Правое

 

Габаритные размеры, мм

 

 

 

 

высота

1431

1544

2000

 

ширина

1110

1158

1100

 

длина

1393

1672

1450

 

Приложение 3

Параметры растворонасосов

 

СО-48

С0-49

Производительность на выходе м3

2,0

4,0

Максимальное давление, МПа, не менее

1,5

1.5

Консистенция перекачиваемых растворов по конусу СтройЦНИИЛ, см, не менее

7

7

Крупность фракций в растворе, мм, не более

5

5

Дальность подачи (при консистенции 10 см), м

 

 

по горизонтали

50

150

по вертикали

15

30

Характеристика вибросита:

 

 

производительность, м3

4

4

вместимость бункера, м3 ,

0,16

0,16

размер ячейки сетки, мм , 5´5

 

 

Габаритные размеры комплекта, мм

 

 

длина

3000

 

ширина

800

 

высота

1200

 

Общая масса комплекта, кг

450

587

 

Параметры  вибросит

Параметры ситогидроциклонных установок

 

CB-1

CBC-1

СВ-2

 

2СТУ

4СТУ

ОГХ-8Б

Пропускная способность, л/сек

20

50-55

50-60

Производительность, л/сек

30

60

5

Рабочая площадь сетки, м2

1,25

2,5

2,6

Число сит

1

2

-

Число гидроциклонов

2

4

1

Число отверстий на 1 дюйм при диаметре

 

 

 

Насосная установка:

ВШН-150

ВШН-150

ВН-4

0,25 мм

40

40

40

Габариты, мм

 

 

 

0,35 мм

30

30

30

длина

2100

2175

1670

Число колебаний в минуту

1400

1400¸2000

1600¸2000

ширина

1700

2250

420

высота

2465

2150

1425

Мощность электродвигателя. кВт

2,8

2,8´2

2,8´2

Мощность, кВт

28

28

45

Приложение 4

Принципиальная схема работы пневматического и гидравлического тампонов.
(тампон "Вашкур" с резиновым: кольцами, тампон C-1 конструкции Солодилова Е.А., тампон унифицированный УДТ-1)
1-напорный трубопровод; 2-тройник; 3-манометр; 4-инъекционная труба; 5-шланг для нагнетания в тампон воздуха или воды; 6-уплотнительные кольца; 7-резиновая камера

Приложение 5

Приложение 6

10. Примечания к приложениям № 5,6

1. Многоточия в вычислительных программах определяют границы исходных данных; на бланках представлены формы их записи.

2. В процессе реализации на ЭВМ на печать выводятся следующие величины:

а) для программы ALFA1

Co, мH/м - начальный коэффициент жесткости сваи (СО);

Ркр, мН - критическая нагрузка на сваю (RKR);

Р*, мН - расчетная нагрузка на сваю (PZV);

nн - количество буроинъекционных свай, требуемое для усиления существующего фундамента на естественном основании (ANH);

S, м - осадка фундамента, усиленного буроинъекционными сваями, от дополнительной нагрузки DN (SL);

б) для программы ALPA2

Coс, мH/м - начальный коэффициент жесткости сваи существующего фундамента (CoS);

Coн, мH/м - то же для буроинъекционной сваи (СоN);

Ркр.с, мН - критическая нагрузка на сваю существующего фундамента (РКRS);

Ркр.н, мН - то же для буроинъекционной сваи (РКRN);

Р*, мН - расчетная нагрузка на сваю (PZV);

nм - количество буроинъекционных свай, требуемое для усиления существующего свайного фундамента (ANH);

DРo, мH - приращение нагрузки на одну сваи существующего фундамента (PRPSI);

S, м - осадка свайного фундамента, усиленного буроинъекционными сваями, от дополнительной нагрузки DN (SID).

 




ГОСТЫ, СТРОИТЕЛЬНЫЕ и ТЕХНИЧЕСКИЕ НОРМАТИВЫ.
Некоммерческая онлайн система, содержащая все Российские Госты, национальные Стандарты и нормативы.
В Системе содержится более 150000 файлов нормативно-технической документации, действующей на территории РФ.
Система предназначена для широкого круга инженерно-технических специалистов.

Рейтинг@Mail.ru Яндекс цитирования

Copyright © www.gostrf.com, 2008 - 2026