Крупнейшая бесплатная информационно-справочная система онлайн доступа к полному собранию технических нормативно-правовых актов РФ. Огромная база технических нормативов (более 150 тысяч документов) и полное собрание национальных стандартов, аутентичное официальной базе Госстандарта. GOSTRF.com - это более 1 Терабайта бесплатной технической информации для всех пользователей интернета. Все электронные копии представленных здесь документов могут распространяться без каких-либо ограничений. Поощряется распространение информации с этого сайта на любых других ресурсах. Каждый человек имеет право на неограниченный доступ к этим документам! Каждый человек имеет право на знание требований, изложенных в данных нормативно-правовых актах!

  


 

госстрой ссср

центральный научно исследовательский
и проектно-экспериментальный институт организации,
механизации и технической помощи строительству

(цнииомтп)

МЕТОДИЧЕСКИЕ РЕКОМЕНДАЦИИ
ПО КОМПЛЕКТНО-БЛОЧНОМУ
СТРОИТЕЛЬСТВУ ОБЪЕКТОВ

МОСКВА - 1987

Рекомендовано решением секции "Организация строительного производства" Научно-технического совета ЦНИИОМТП Госстроя СССР.

Даны рекомендации по проектированию, организации и управлению строительством объектов в комплектно-блочном исполнении. Приведены основные определения и термины, рассмотрены принципы организации строительства комплектно-блочным методом. Сформулированы требования к разработке организационно-технологической документации, приведены примеры ее составления.

Рекомендации разработаны кандидатами техн. наук Берсеневым А.А., Бродским В.И., Гриффом М.И., Фомилем Л.Ш.; инженерами Янкиным Л.А., Лябиной Н.В., Поповым В.В., Поляховой Н.А., Ярымовым Ю.А., Галямовой Н.С., Габроне B.C., Турчинским Я.М., Шепелевой Е.А. (ЦНИИОМТП Госстроя СССР); инж. Эйдельманом В.Я., канд. техн. наук Кушниром М.Э. (ВНИИмонтажспецстрой Минмонтажспецстроя СССР); кандидатами архитектурн.наук Череповым И.А., Блинковым С.В. (ЦНИИПромзданий Госстроя СССР); канд. эконом. наук Бобровой К.Н., кандидатами техн. наук Дидковским В.М., Остринским B.C., Слуцким Ю.Б. (НИИЭС Госстроя СССР); инженерами Абовским В.П., Богдановым В.А. (Красноярский Промстрой-НИИпроект Минтяжстроя СССР); кандидатами техн. наук Новиком B.C., Богдановичем И.И. (БелНИИОУС Госстроя БССР); кандидатом техн. наук Расторгуевым Г.А. (СибНИПИгазстрой Миннефтегазстроя СССР).

Общее руководство подготовкой рекомендаций осуществляли кандидаты техн. наук Андриенко В.Г., Шахпаронов В.В.

Работа предназначена для инженерно-технических работников проектных, проектно-технологических, строительных и монтажных организаций.

СОДЕРЖАНИЕ

1. ОБЩИЕ ПОЛОЖЕНИЯ

2. ТИПЫ И НАЗНАЧЕНИЕ БЛОКОВ

3. ОСНОВНЫЕ ТРЕБОВАНИЯ К ПРОЕКТИРОВАНИЮ ОБЪЕКТОВ В КОМПЛЕКТНО-БЛОЧНОМ ИСПОЛНЕНИИ

4. ТРЕБОВАНИЯ К РАЗРАБОТКЕ ОРГАНИЗАЦИОННО-ТЕХНОЛОГИЧЕСКОЙ ДОКУМЕНТАЦИИ КОМПЛЕКТНО-БЛОЧНОГ0 МЕТОДА

5. ИЗГОТОВЛЕНИЕ, КОМПЛЕКТАЦИЯ И СБОРКА БЛОКОВ

6. ТРАНСПОРТИРОВАНИЕ БЛОКОВ

7. УСТАНОВКА БЛОКОВ В ПРОЕКТНОЕ ПОЛОЖЕНИЕ

8. ДОПОЛНИТЕЛЬНЫЕ ТРЕБОВАНИЯ К ОРГАНИЗАЦИИ ИНЖЕНЕРНОЙ ПОДГОТОВКИ СТРОИТЕЛЬНОЙ ПЛОЩАДКИ

9. ДОПОЛНИТЕЛЬНЫЕ ТРЕБОВАНИЯ К ОРГАНИЗАЦИИ УПРАВЛЕНИЯ ПРОИЗВОДСТВОМ РАБОТ ПРИ ВОЗВЕДЕНИИ ОБЪЕКТОВ КОМПЛЕКТНО-БЛОЧНЫМ МЕТОДОМ

10. ЭКОНОМИЧЕСКАЯ И СОЦИАЛЬНАЯ ЭФФЕКТИВНОСТЬ КОМПЛЕКТНО-БЛОЧНОГО МЕТОДА

Приложение 1 ОСНОВНЫЕ ПОНЯТИЯ, ТЕРМИНЫ И ОПРЕДЕЛЕНИЯ

Приложение 2 ПРИМЕРНЫЙ ПЕРЕЧЕНЬ ОБЪЕКТОВ РАЗЛИЧНОГО ОТРАСЛЕВОГО НАЗНАЧЕНИЯ, СТРОИТЕЛЬСТВО КОТОРЫХ ТЕХНИЧЕСКИ ВОЗМОЖНО ОСУЩЕСТВЛЯТЬ В КОМПЛЕКТНО-БЛОЧНОМ ИСПОЛНЕНИИ

Приложение 3 МЕТОДИКА ОЦЕНКИ ЭКОНОМИЧЕСКОЙ И СОЦИАЛЬНОЙ ЭФФЕКТИВНОСТИ КОМПЛЕКТНО-БЛОЧНОГО МЕТОДА СТРОИТЕЛЬСТВА

1. ОБЩИЕ ПОЛОЖЕНИЯ

1.1. Главный принцип комплектно-блочного строительства объектов состоит в перенесении строительных и монтажно-наладочных работ в сферу промышленного производства. Для решения этой задачи требуется выполнение взаимоувязанных технических и организационных мероприятий. Основные рекомендуемые термины и определения, связанные с применением комплектно-блочного метода, приведены в приложении 1.

1.2. Технические мероприятия включают:

проектирование предприятий, зданий и сооружений в комплектно-блочном исполнении;

технологическое и строительное проектирование блоков с их унификацией и типизацией;

транспортирование блоков на строительную площадку с применением различных видов транспорта и их сочетаний;

устройство фундаментов и внешних коммуникаций;

установку блоков, а также доборных конструкций и элементов в проектное положение, их соединительный монтаж и создание, таким образом, полностью законченных объектов в комплектно-блочном исполнении;

комплектацию заводского изготовления блоков необходимыми материалами, изделиями, строительными конструкциями и технологическим оборудованием;

разработку средств изготовления, доставки и установки блоков в проектное положение.

1.3. Экономические мероприятия включают:

обоснование целесообразности строительства объекта (группы объектов в регионе) комплектно-блочным методом и при необходимости создания регионального сборочно-комплектовочного предприятия по изготовлению блоков;

планирование материально-технических ресурсов строительного производства в связи с увеличением в структуре строительно-монтажных работ доли промышленных предприятий (заводов-поставщиков технологического оборудования или предприятий стройиндустрии).

1.4. Организационные мероприятия включают:

организацию производства блоков и их доставки;

комплектацию объектов блоками различных типов и назначения, а также доборными конструкциями и элементами, соответствующей номенклатуры, высокой заводской готовности и монтажной технологичности;

подготовку строительного производства к реализации комплектно-блочного метода;

формирование организационной структуры управления сборочно-комплектовочными предприятиями и строительно-монтажными подразделениями при строительстве объектов комплектно-блочным методом;

организацию установки блоков в проектное положение, монтажа коммуникаций, пусконаладочных работ и комплексного опробования.

1.5. Реализация комплектно-блочного метода направлена на повышение эффективности капитальных вложений за счет повышения индустриализации строительства путем превращения производственных комплексов в комплекты блоков и переноса основных затрат труда (особенно непроизводительных) со строительной площадки в сферу индустриального заводского производства. При этом значительно сокращаются сроки возведения объектов, снижается стоимость работ на единицу мощности, сокращается число подрядных, субподрядных организаций, а также общее количество работающих.

1.6. Перечень объектов, строительство которых целесообразно осуществлять с применением комплектно-блочного метода, определяется совместно строительными министерствами, министерствами и ведомствами-заказчиками при участии проектных организаций (примерный перечень объектов, строительство которых целесообразно осуществлять комплектно-блочным методом, приведен в приложении 2).

1.7. Решение о разработке проектно-сметной документации объектов в комплектно-блочном исполнении должно приниматься генеральной проектной организацией по согласованию с заказчиком, генеральной подрядной, транспортной и монтажной организациями, а также заводом-изготовителем блоков.

1.8. Решение об организации строительства предприятий, зданий и сооружений комплектно-блочным методом следует принимать для тех объектов, для которых технически возможно и экономически целесообразно перенести со строительной площадки процесс изготовления блоков и их частей (поставочных элементов) на промышленные предприятия (поставщики технологического оборудования, строительных конструкций или базы строительной индустрии).

1.9. Целесообразность применения комплектно-блочного метода при строительстве предприятий, зданий и сооружений должна обосновываться технико-экономическими расчетами на стадии разработки схем развития и размещения производительных сил по экономическим районам и союзным республикам, а также на стадии технико-экономического обоснования необходимости проектирования и строительства объектов.

2. ТИПЫ И НАЗНАЧЕНИЕ БЛОКОВ

2.1. Блоки различаются по типам и назначению в составе производственных комплексов. Существуют следующие типы блоков: агрегированного оборудования, строительные, строительно-технологические, коммуникаций.

2.2. Блоки по своему назначению подразделяются на блоки основного производственного, подсобно-вспомогательного и обслуживающего назначения, а также административно-бытовые.

2.3. Разделение блоков по типам и назначению позволило сформулировать для каждой из полученных таким образом групп свои характерные особенности, которые приведены в табл. 1.

Таблица 1

Систематизационные признаки блоков

Тип

Назначение

Функциональные особенности

1

2

3

Блоки агрегированного оборудования

Основное производственное

Блоки оборудования, выполняющего законченный технологический передел в составе производственного процесса

Подсобно-вспомогательное

Блоки оборудования, выполняющего вспомогательные функции в составе производственного процесса

Блоки строительные

То же

Пространственно-жесткие здания или самостоятельные их части, предназначенные для размещения в них хозяйств, обслуживающих производственные процессы

Административно-бытовое

Пространственно-жесткие здания или их самостоятельные части, предназначенные для расположения в них административных и бытовых помещений

Строительно-технологические блоки

Основное производственное

Пространственно-жесткие здания или их самостоятельные части, в которых располагается агрегированное оборудование, выполняющее законченный технологический передел в составе производственного процесса.

Подсобно-вспомогательное

Пространственно-жесткие здания или их самостоятельные части, в которых располагается агрегированное оборудование, выполняющее вспомогательные функции в составе производственного процесса

Обслуживающее

Пространственно-жесткие здания или их самостоятельные части, предназначенные для расположения в них оборудования и аппаратуры, выполняющих функции контроля, управления и др. обслуживания производственного процесса

Административно-бытовое

Пространственно-жесткие здания или их самостоятельные части, предназначенные для расположения в них санитарно-гигиенического, санитарно-технического и др. оборудования бытового назначения

Блоки коммуникаций

Подсобно-вспомогательное

Пространственно-жесткие части эстакад, галерей, проходных и полупроходных коллекторов, в которых располагаются коммуникации различного назначения, непосредственно обслуживающие производственный процесс

Обслуживающее

Пространственно-жесткие части эстакад, галерей, проходных или полупроходных коллекторов, в которых располагаются коммуникации контроля, управления и др. обслуживающего назначения

2.4. Разнообразие блоков различных типов и назначения, а также многообразие технологических процессов основного и вспомогательного производственного назначения, реализация которых возможна на объектах в комплектно-блочном исполнении, потребовали систематизации блоков. В основу систематизационных признаков были положены типы блоков; их назначение; номенклатура технологических процессов основного и подсобно-вспомогательного производственного назначения; номенклатура помещений различного назначения, располагаемых в блоках. Систематизация блоков по перечисленным признакам приведена на рис. 1.

Рис. 1. Типы и назначение блоков

3. ОСНОВНЫЕ ТРЕБОВАНИЯ К ПРОЕКТИРОВАНИЮ ОБЪЕКТОВ В КОМПЛЕКТНО-БЛОЧНОМ ИСПОЛНЕНИИ

3.1. Решение о разработке проектно-сметной документации на строительство с применением комплектно-блочного метода принимается генеральной проектной организацией по согласованию с заказчиком, генеральной подрядной строительной и ведущей специализированной (субподрядной) организациями.

3.2. Объемно-плакировочные и конструктивно-технологические решения объектов должны основываться на:

повышении единичной мощности оборудования;

уменьшении его массы и габаритов;

интенсификации технологических процессов;

совмещении функций различных конструктивно-технологических элементов;

миниатюризации средств контроля, автоматики и др.;

замене зданий и технологических установок малообъемными блоками различных типов и назначения;

упрощении вспомогательных технологических систем и систем инженерного обеспечения;

автоматизации и телемеханизации технологических процессов;

централизации ремонтно-эксплуатационных служб с применением агрегатно-узлового ремонта.

3.3. Характерная особенность комплектно-блочного метода - принципиально новый подход к проектированию объекта. При этом исходным элементом формирования объекта является блок, доведенный до уровня изделия высокой заводской готовности с максимально агрегированным функционально взаимосвязанным оборудованием. Следующей стадией совершенствования системы проектирования объектов должна быть унификация объемно-планировочных и конструктивных решений отдельных блоков, а также объектов из них с последующей типизацией. Реализация комплектно-блочного проектирования должна основываться на системе структурных модулей, предназначенных для компоновки предприятий, зданий и сооружений из блоков различных типов и назначения (рис. 2 и 3).

Рис. 2. Модульная координация блоков

Рис. 3. Структурный модуль для компоновки генерального плана предприятия

3.4. Проектно-сметная документация на объекты в комплектно - блочном исполнении разрабатывается на общем основании в соответствии с действующими нормативными и методическими документами.

В случае, если агрегирование технологического оборудования, элементов коммуникаций предусматривается на сборочно-комплектовочных предприятиях строительной индустрии или базах строительно-монтажных организаций, в составе проектно-сметной документации должны быть разработаны чертежи этих блоков и их опорных конструкций.

В чертежах блоков должны быть приведены все необходимые сведения и данные для их изготовления на сборочно-комплектовочных предприятиях и последующего монтажа на месте установки.

3.5. Проектно-сметная документация на строительство объектов в комплектно-блочном исполнении на стадии рабочего проекта (проекта) перед утверждением в установленном порядке в соответствии с требованиями СНиП 1.02.01-85 должна быть согласована с организацией-генподрядчиком, а также ведущей монтажной организацией.

3.6. В ведомостях потребности материалов, которые составляются по каждому разделу рабочего проекта (проекта), должна быть выделена потребность в материалах на агрегирование оборудования, коммуникаций и строительных конструкций в блоки.

Задание на проектирование объектов в комплектно-блочном исполнении

3.7. В задании на проектирование предприятия, здания и сооружения производственного назначения, намечаемого к строительству в комплектно-блочном исполнении, должны быть предусмотрены требования по разработке проекта, учитывающие специфику, а также региональные и природно-климатические условия строительства. Там же должны быть приведены ссылки на соответствующие проекты блоков различных типов и назначения, а также разработаны технические условия на их присоединение к источникам энергетического снабжения, инженерный сетям и коммуникациям.

3.8. В задании на проектирование должны быть определены генеральные проектировщики и головные поставщики технологических комплексов и оборудования.

Требования и технические условия к заданию на проектирование составляются заказчиком с участием генпроектировщика и разработчика основного технологического оборудования и согласуются с генподрядчиком и организациями Минмантажспецстроя СССР, осуществляющими монтаж технологического оборудования проектируемого промышленного предприятия по исходным данным, подготовленным генподрядчиком.

3.9. В требованиях к заданию на проектирование должны быть представлены данные, характеризующие техническую и экономическую целесообразность применения комплектно-блочного метода, основные принципы организации возведения проектируемого объекта в комплектно-блочном исполнении, а также организационно-технологические схемы производства строительно-монтажных работ.

Требования должны обеспечивать с учетом региональных условий строительства проектируемого объекта разработку наиболее эффективных конструктивных и компоновочных решений предприятия, здания, сооружения и блоков, что создает предпосылки для применения наиболее эффективных методов технологии и организации производства строительных и монтажных работ, экономического использования трудовых и материально-технических ресурсов в строительстве, сокращения фактической продолжительности возведения объекта.

3.10. В случаях применения блоков с габаритными размерами, превышающими установленные нормативы для железнодорожного и автомобильного транспорта, при перевозке их по общей сети дорог, а также речным транспортом, к подготовке требований привлекается проектная организация объединения "Спецтяжавтотранса" Минавтотранса РСФСР, являющаяся головной по разработке проектов перевозки крупногабаритного и тяжеловесного оборудования.

Рабочий проект (проект), на строительство объектов в комплектно-блочном исполнении

Технологические решения

3.11. Генпроектировщик в составе проектно-сметной документации, кроме заказных спецификаций, должен разрабатывать с участием заказчика, ведомства-изготовителя монтируемого технологического оборудования с привлечением при необходимости строительно-монтажных организаций, изготавливающих блоки, технические условия на поставку комплектуемого оборудования. Технические условия должны содержать данные о необходимой комплектности, объемах контрольной заводской сборки и испытаний, других мероприятиях, обеспечивающих выполнение планируемых сроков строительства проектируемого объекта.

Важнейшим видом машиностроительной продукции, разрабатываемой и поставляемой в блочном исполнении с высоким уровнем заводской готовности и монтажной технологичности, являются технологические комплексы, в состав которых должны входить все согласованные по технико-экономическим параметрам машины, аппараты, изделия и материалы, необходимые для получения конечного продукта. Проектирование, производство, поставка, ввод в эксплуатацию, наладка и доводка технологических комплексов производится в соответствии с требованиями Постановления от 12 декабря 1966 г. № 53 Государственного строительного комитета CCСP, подготовленного совместно с Государственным комитетом СССР по науке и технике, Государственным плановым комитетом СССР, Государственным комитетом СССР по стандартам, Государственным комитетом СССР по материально-техническому снабжению.

3.12. Сроки поставки оборудования и строительных конструкций должны быть увязаны с графиками изготовления блоков на сборочно-комплектовочных предприятиях, сроками перевозки их на строительную площадку и установки в проектное положение. Эти сроки следует увязывать с рациональной последовательностью изготовления и монтажа блоков.

Разработка технологических решений рабочего проекта (проекта) на строительство объектов производственного назначения в комплектно-блочном исполнении осуществляется в соответствии с принципиальной схемой, приведенной на рис. 4.

3.13. Компоновка технологической части объектов в комплектно-блочном исполнении должна обеспечивать: сборку технологических линий и систем из минимального количества блоков (поставочных элементов), размещение блоков в строгой последовательности вдоль технического коридора, возможность удобного доступа к оборудованию блоков и коммуникациям для технического обслуживания и ремонта.

Рис. 4. Структура технологической части объекта в комплектно-блочном исполнении:

К-1 - коммуникации между технологическими линиями;

К-2 - коммуникации между технологическими переделами;

К-3 - межблочные коммуникации

3.14. Блоки агрегированного оборудования должны располагаться предпочтительно на нулевой отметке вдоль технического коридора. Вводы и выводы трубопроводов, а также других коммуникаций блоков должны быть сориентированы в сторону технического коридора.

3.15. Блоки должны проектироваться без использования строительных конструкций объекта. Через пространство блоков не допускается пропускать несущие конструкции (колонны, балки, ригели) зданий, сооружений и коммуникаций.

3.16. Для более рационального использования площадей, а также для увязки опорных конструкций блоков с несущими строительными конструкциями зданий и сооружений габаритные размеры блоков должны быть кратными 1,5 м в плане и по высоте.

3.17. Конструкция блоков, проектируемых для сборки на сборочно-комплектовочных предприятиях и базах строительно-монтажных организаций, должна учитывать технологические возможности этих предприятий, обеспечивать минимальную трудоемкость монтажных работ, расходы и номенклатуру используемых материалов (в том числе за счет максимального использования несущей способности оборудования для крепления труб, площадок и другого оборудования, применения стандартных составных частей трубопроводов, КИПиА, фильтров и др., унификации технических решений).

3.18. Блоки должны иметь техническую готовность, обеспечивающую возможность их испытания и опробования в заводских условиях.

3.19. В блоки коммуникаций должны быть включены:

опорные конструкции под все виды межблочных коммуникаций (технологических, КИПиА, электроснабжения, противопожарные и т.п.);

все виды трубопроводных коммуникаций;

средства защиты кабельных проводок от внешних воздействий;

переходные площадки.

3.20. Необходимо, чтобы конструкция блока коммуникаций обеспечивала:

возможность зонирования размещения коммуникаций различного назначения (трубопроводов, кабелей, коробов и пр.);

максимальный уровень унификации пролетных строений и конструкций под коммуникации;

минимальный расход материалов на изготовление пролетного строения, опорных и соединительных частей;

требуемую жесткость конструкций пролетного строения для обеспечения полной сохранности элементов блока при его транспортировании и монтаже;

возможность производства сварочных работ при монтаже на строительной площадке;

возможность соединения блоков в местах пересечения коммуникаций.

3.21. Блоки должны поставляться на строительную площадку в виде полной и готовой к эксплуатации технологической единицы из одного или нескольких поставочных узлов.

Строительные решения

3.22. В качестве укрытий блоков, как правило, должны применяться легкие металлические и сборные железобетонные ограждающие конструкции повышенной индустриальности или здания из них.

Выбор наиболее эффективных конструкций осуществляется на основе технико-экономических расчетов с учетом суммарного эффекта, получаемого от сокращения сроков производства строительно-монтажных работ, досрочного ввода промышленного объекта в эксплуатацию, а также дополнительных затрат на изготовление блоков.

Необходимо предусматривать возможность переработки проектных решений строительных конструкций с учетом дополнительных требований, которые могут быть выявлены в ходе разработки технологической части рабочего проекта (проекта).

3.23. Конструкции зданий в необходимых случаях должны предусматривать возможность подачи блоков различных типов и назначения к месту их установки в проектное положение через монтажные проемы в стенах или покрытиях.

3.24. Оборудование систем электроснабжения, отопления и вентиляции, контроля и управления, бытовые помещения и помещения технического обслуживания должны решаться в виде блоков агрегированного оборудования, размещаемого во встроенных или пристроенных помещениях.

3.25. Необходимо, чтобы технические решения, принимаемые при разработке строительной части рабочего проекта (проекта) объектов в комплектно-блочном исполнении, предусматривали конструктивное и технологическое разделение работ по устройству подземной и надземной частей объектов.

Все работы нулевого цикла следует выполнять в полном объеме до начала работ по возведению надземной части здания, сооружения.

3.26. При монтаже крупногабаритных блоков с применением колесных и гусеничных транспортных и монтажных средств прорабатывается вариант решения фундаментов в виде единой "силовой плиты".

3.27. Для объектов, сооружаемых в малоосвоенных районах, объемы работ нулевого цикла должны быть сведены к минимуму за счет применения свайных (безростверковых) и плитных фундаментов, вынесения технологических трубопроводов и энергетических коммуникаций на эстакады, в коммуникационные коридоры и т.п.

3.28. При проектировании строительно-технологических блоков транспортного габарита целесообразно применять унифицированные габариты в соответствии с модульной координацией блоков.

При проектировании каждого строительного объекта перечень допущенных к применению блоков уточняется на стадии подготовки задания на проектирование с учетом рекомендуемой номенклатуры изделий.

В необходимых случаях конструкцию блоков можно дорабатывать с учетом специфики их взаимной компоновки и условий эксплуатации.

3.29. Проектирование объектов из строительно-технологических блоков транспортного габарита должно производиться в соответствии со следующими основными требованиями:

соблюдение норм технологического проектирования (в необходимых случаях для обслуживания и ремонта смонтированного в блоках технологического оборудования в конструкциях блоков могут быть предусмотрены смотровые люки, съемные панели и т.п.) с учетом противопожарных норм и требований техники безопасности;

количество блоков должно быть минимальным за счет компактности оборудования и трубопроводов с учетом безопасности и удобства обслуживания;

максимальное сокращение межблочных и внутриблочных коммуникаций;

выполнение максимально возможных объемов сборочных работ в заводских условиях.

3.30. При проектировании на одной площадке нескольких объектов в комплектно-блочном исполнении с применением строительно-технологических блоков транспортного габарита должны применяться, как правило, однотипные блоки, обеспечивающие возможность блокирования в одно здание.

3.31. Конструкции блоков должны иметь достаточную прочность для сохранения требуемых центровок осей подшипников (роторов) соединенных между собой агрегатов, паспортных величин зазоров между их движущимися и неподвижными частями.

Конструкция блоков должна предусматривать пуск смонтированного в нем технологического оборудования без дополнительной разборки и ревизии.

Для увеличения жесткости конструкций блоков при транспортировке допускается применять съемные инвентарные элементы усиления.

3.32. При проектировании блоков, оснащенных технологическим оборудованием, вызывающим вибрацию, следует учитывать дополнительные динамические нагрузки.

3.33. Блоки агрегированного оборудования, создающие динамические нагрузки, должны устанавливаться на амортизирующие опоры для снижения воздействия нагрузок, передаваемых на конструкцию блока и фундаменты. При этом в трубопроводной обвязке должны быть предусмотрены компенсаторы.

3.34. Для транспортирования и хранения блоков с открытыми проемами необходимо предусмотреть съемные щиты, исключающие возможность доступа во внутреннее пространство блоков.

Организация строительства

3.35. В разделе проекта "Организация строительства" для объекта в комплектно-блочном исполнении должны быть решены задачи, изложенные в разделе 4 настоящей работы.

4. ТРЕБОВАНИЯ К РАЗРАБОТКЕ ОРГАНИЗАЦИОННО-ТЕХНОЛОГИЧЕСКОЙ ДОКУМЕНТАЦИИ КОМПЛЕКТНО-БЛОЧНОГ0 МЕТОДА

4.1. Разработка организационно-технологической документации комплектно-блочного метода должна производиться в соответствии с требованиями, предъявляемыми к составу и содержанию проектов организации строительства и проектов производства работ, изложенными в СНиП 3.01.01-85 "Организация строительного производства", а также "Указаниями о порядке составления и утверждения проектов организации строительства и проектов производства работ" (утверждены Госстроем СССР, Госпланом СССР и Стройбанком СССР 31 декабря 1981 г.).

4.2. Организационно-технологическую документацию комплектно-блочного метода следует разрабатывать по следующим организационным уровням: проектирование объекта в комплектно-блочном исполнении, изготовление блоков, комплектация блоков и их частей, сборка блоков на сборочно-комплектовочных предприятиях, доставка блоков на строительную площадку, подготовка строительной площадки к установке блоков в проектное положение, установка блоков в проектное положение. В зависимости от этих уровней изменяется состав и содержание задач, решаемых при разработке проектов организации строительства и проектов производства работ.

4.3. В составе проекта организации строительства (ПОС) предприятия, здания или сооружения в комплектно-блочном исполнении должны разрабатываться организационно-технологические документы, приведенные в табл. 2.

Таблица 2

Особенности проектирования организации строительства зданий и сооружений в комплектно-блочном исполнении

Организационный уровень

Организационно-технологическая документация

Задачи, решаемые при разработке проектов организации строительства

1

2

3

Проектирование объекта в комплектно-блочном исполнении

Комплексный укрупненный сетевой график

Продолжительность основных этапов проектирования

Продолжительность изготовления блоков (частей блоков)

Сроки поставки блоков на строительную площадку

Продолжительность основных этапов возведения объекта (установки блоков и их частей в проектное положение)

Планирование капитальных вложений по срокам изготовления, доставки, укрупнительной сборки блоков и возведения зданий и сооружений

Планирование объемов строительно-монтажных работ, в том числе работ подготовительного периода

Планирование материально-технического обеспечения строительства

Календарный план строительства объектов

Очередность строительства зданий и сооружений (установки блоков в проектное положение)

Сроки строительства зданий и сооружений

Очередность строительства пусковых комплексов.

Сроки строительства пусковых комплексов

Очередность работ подготовительного периода

Сроки работ подготовительного периода

Распределение капитальных вложений по этапам строительства

Распределение капитальных вложений, во времени

Распределение объемов строительно-монтажных работ по этапам строительства

Распределение объемов строительно-монтажных работ во времени

Организационно-технологические схемы возведения зданий и сооружений, методы производства основных строительно-монтажных работ

Последовательность монтажа зданий, сооружений и их частей из блоков

Структура монтажных работ и их взаимоувязка во времени

Методы установки блоков в проектное положение

Методы производства межблочного технологического монтажа

Ведомость объемов строительных, монтажных и специальных работ

Определение объемов строительных и специальных работ

Определение объемов работ по укрупнительной сборке блоков

Определение объемов работ по монтажу блоков

Определение объемов работ по межблочному технологическому монтажу

График потребности в блоках, материалах, конструкциях и полуфабрикатах

Потребность в блоках и материально-технических ресурсах

Сроки поставки блоков и материально-технических ресурсов

Распределение блоков и материально-технических ресурсов по объектам строительства

Распределение блоков и материально-технических ресурсов по пусковым комплексам

График потребности в основных строительных машинах и средствах доставки блоков, в том числе специальных и уникальных

Потребность в строительных машинах и средствах доставки блоков

Потребность в основных строительных машинах по типам и мощностям

Потребность в специальных (уникальных) строительных машинах и средствах доставки блоков

Сроки использования машин при возведении зданий и сооружений

График потребности в рабочих кадрах

Потребность в рабочих кадрах по периодам строительства

Потребность в рабочих кадрах на укрупнительной сборке блоков и установке их в проектное положение

Распределение количественно-профессионального состава рабочих по периодам строительства

Ситуационный план строительства

Расположение баз строительной индустрии и сборочно-комплектовочных предприятий

Расположение площадок укрупнительной сборки

Расположение путей и дорог для доставки блоков и их частей

Расположение железных дорог и станций разгрузки

Нанесение границ участков, а также специальных сооружений, временно используемых для нужд комплектно-блочного строительства

Строительный генеральный план

Расположение на строительной площадке зон укрупнительной сборки поставочных элементов в блоки различных типов и назначения.

Расположение на строительной площадке дорог и путей доставки блоков в зону монтажа

Расположение на строительной площадке строительных машин, специальных монтажных механизмов и приспособлений для перемещения и установки блоков в проектное положение

Изготовление блоков

Календарный график выпуска готовых блоков, их частей и постановочных элементов

Сроки изготовления

Планирование поставок во взаимоувязке с проектной структурой объектов строительства

Определение очередности изготовления

График комплектной отгрузки блоков, их частей и поставочных элементов

Определение очередности отгрузки

Сроки отгрузки

Технологические карты и схемы сборки блоков, поставочных элементов и отдельных частей

Порядок производства работ

Последовательность производства работ

Методы производства работ

Определение структуры работ

Определение сроков производства работ

Определение стоимости производства работ

Определение затрат труда

Определение потребности в строительных машинах по периодам производства работ

Определение потребности в материально-технических и людских ресурсах по периодам производства работ

4.4. В табл. 3 перечислены организационно-технологические документы, которые должны входить в состав проекта производства работ (ППР) по возведению здания или сооружения в комплектно-блочном исполнении.

Таблица 3

Особенности проектирования производства работ по возведению объектов в комплектно-блочном исполнении

Организационный уровень

Организационно-технологическая документация

Задачи, решаемые при разработке проектов производства работ

1

2

3

Комплектация блоков и их частей. Сборка блоков на сборочно-комплектовочных предприятиях

График поступления на сборочно-комплектовочное предприятие частей блоков, оборудования, строительных конструкций, материалов и полуфабрикатов

Порядок поставки на сборочно-комплектовочное предприятие поставочных элементов, частей блоков и т.д.

Объемы поставки на сборочно-комплектовочное предприятие поставочных

элементов, частей блоков и т.д.

Сроки поставки на сборочно-комплектовочное предприятие поставочных

элементов, частей блоков и т.д.

График производства работ по созданию блоков различных типов и назначения

Установление последовательности и технологии производства работ

Установление продолжительности производства отдельных проектов по созданию блоков

Определение потребности в трудовых и материально-технических ресурсах

Сроки создания блоков

График отгрузки блоков на строительную площадку

Порядок отгрузки блоков различного назначения

Структура отгрузки блоков по периодам производства работ

Технологические карты и схемы сборки блоков полной заводской готовности и монтажной технологичности

Порядок производства работ

Последовательность производства работ

Определение сроков начала и окончания производства работ

Определение затрат труда

Определение стоимости работ

Определение потребности в строительных машинах, приспособлениях и инвентаре

Определение потребности в материально-технических ресурсах по этапам производства работ

Доставка блоков на строительную площадку

График потребности в транспортных средствах различных типов и назначения

Количество транспортных средств

Типы транспортных средств

Грузоподъемность транспортных средств

Сроки использования транспортных средств

Обоснование необходимых затрат на транспортирование блоков

График доставки блоков на строительную площадку

Порядок доставки

Объемы поставки

Сроки поставки

Подготовка строительной площадки к установке блоков в проектное положение

График производства работ нулевого цикла

Порядок производства работ

Объемы работ

Сроки производства работ

Технологические карта и схемы производства работ нулевого цикла

Порядок производства работ

Последовательность производства работ

Методы производства работ

Определение стоимости работ

Определение затрат труда

Определение потребности в строительных машинах и инвентаре по этапам производства работ

Определение потребности в материально-технических ресурсах по этапам производства работ

График производства работ по прокладке подводящих инженерных сетей и коммуникаций

Порядок производства работ по устройству инженерных сетей

Объемы работ по устройству сетей

Сроки прокладки коммуникаций

Технологические карты и схемы производства работ по прокладке инженерных сетей и коммуникаций

Порядок производства работ

Последовательность производства работ

Методы производства работ

Определение сроков производства работ

Определение стоимости производства работ

Определение затрат труда

Определение потребности в строительных машинах и инвентаре по этапам производства работ

Определение потребности в материально-технических ресурсах по этапам производства работ

Строительный генеральный план производства работ нулевого цикла и прокладки инженерных коммуникаций

Расположение приобъектных постоянных транспортных путей

Прокладка временных транспортных путей

Устройство приобъектных пешеходных дорог и переходов

Расположение приобъектных постоянных и временных сетей водоснабжения

Прокладка постоянных и временных сетей канализации

Устройство постоянных и временных сетей электроснабжения

Прокладка постоянных и временных сетей теплоснабжения

Расположение линий административно-хозяйственной связи

Устройство диспетчерской связи

Размещение монтажных кранов

Расположение механизированных установок

Устройство площадок и зон складирования материалов

Расположение временных инвентарных зданий и сооружений, используемых для нужд строительства

Установка блоков в проектное положение

Календарный план установки блоков в проектное положение

Определение наиболее рациональной последовательности установки

Установление сроков производства работ

Определение потребности в трудовых и материально-технических ресурсах по периодам производства работ

Сроки установки

Определение потребности в основных строительных машинах и установках по периодам производства работ

Технологические карты и схемы установки блоков в проектное положение

Порядок установки блоков в проектное положение

Последовательность производства работ

Методы производства работ

Определение сроков производства работ

Определение стоимости производства работ

Определение затрат труда

Определение потребности в строительных машинах по этапам производства рaбот

Определение потребности в материально-технических и людских ресурсах по этапам производства работ

Строительный генеральный план возведения объектов

Расположение приобъектных постоянных транспортных путей

Прокладка приобъектных временных транспортных путей

Устройство приобъектных пешеходных дорог и переходов

Прокладка внутриплощадочных приобъектных постоянных и временных сетей водоснабжения

Расположение внеплощадочных постоянных и временных сетей водоснабжения Устройство постоянных и временных сетей электроснабжения

Прокладка постоянных и временных сетей теплоснабжения

Расположение линий административно-хозяйственной связи

Устройство диспетчерской связи

Размещение монтажных кранов

Расположение механизированных установок

Устройство специальных площадок, а также путей подачи блоков к месту установки в проектное положение

Расположение мест складирования материалов и полуфабрикатов

Устройство временных инвентарных зданий и сооружений, используемых для нужд строительства

5. ИЗГОТОВЛЕНИЕ, КОМПЛЕКТАЦИЯ И СБОРКА БЛОКОВ

5.1. Комплектация заводского изготовления блоков - это полное и своевременное обеспечение предприятий-изготовителей блоков необходимым технологическим оборудованием, конструкциями, материалами и полуфабрикатами в соответствии с графиком поступления элементов блоков на завод или сборочно-комплектовочное предприятие.

5.2. Комплектация объектов блоками - это своевременное обеспечение в требуемом объеме нужд строительства блоками полной заводской готовности и монтажной технологичности (или их поставочными элементами) для установки их в проектное положение в соответствии с взаимоувязанными графиками их заводского изготовления, отгрузки, доставки на строительную площадку и монтажа.

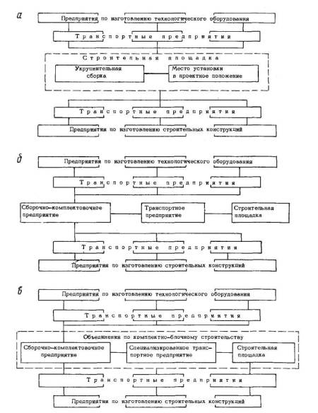
5.3. Комплектация объектов блоками реализуется по трем основным схемам организации строительства объектов комплектно-блочным методом (рис. 5) и должна осуществляться в увязке с календарным планом возведения объекта.

Рис. 5. Организационные схемы строительства комплектно-блочным методом:

а) существующая; б) переходная; в) перспективная

5.4. На рис. 5а показана существующая схема организации комплектации объектов блоками. Блоки собираются на площадках укрупнительной сборки в пределах территории строительства или на предприятиях строительно-монтажных организаций традиционными методами. При сборке используются обычные строительные механизмы, инвентарные приспособления и оснастка.

Достоинства такой формы комплектно-блочного строительства заключаются в том, что совмещаются во времени строительство фундаментов, каркаса и инженерных коммуникаций со сборкой технологического оборудования, а также значительно сокращается количество монтируемых элементов. Недостатками являются: сборка блоков под открытым небом, невозможность существенно механизировать строительный процесс и повысить качество выполняемых работ.

5.5. Организационная схема, представленная на рис. 5б, отражает переходную форму организации комплектации объектов блоками. Блоки и их поставочные элементы изготавливаются на сборочно-комплектовочных предприятиях, входящих в состав строительно-монтажных организаций. Такие предприятия обеспечивают комплектацию блоками объектов определенного региона или территориально-промышленного комплекса. Создание сборочно-комплектовочных предприятий позволило перенести работы со стройплощадки в цеха, провести частичную унификацию блоков, сократить продолжительность строительства, повысить производительность труда на монтаже.

Недостатком этой формы организации комплектации является невозможность создания высокомеханизированных и автоматизированных „гибких" технологических линий сборки блоков на предприятиях стройиндустрии.

5.6. Организационная схема на рис. 5в отражает наиболее перспективное решение задачи изготовления блоков и комплектации ими объектов строительства развивающихся районов страны. Такие предприятия целесообразно размещать в районах создания территориально-промышленных комплексов или регионах, что позволит использовать мощности этих предприятий для комплектации блоками объектов различного отраслевого назначения и решить вопросы транспортировки крупногабаритных и тяжеловесных грузов.

Для массового выпуска блоков сборочно-комплектовочными предприятиями необходимы: проектная документация на объекты в комплектно-блочном исполнении; унификация и типизация блоков; нормативная база, обязывающая заказчика поставлять комплектующее оборудование на сборочно-комплектовочные предприятия; "гибкие" технологические линии сборки; специальные транспортные и монтажные средства.

5.7. Состав и содержание документации, необходимой для реализации на практике схем организации строительства для возведения объектов комплектно-блочным методом, приведены в табл. 2 раздела 4.

6. ТРАНСПОРТИРОВАНИЕ БЛОКОВ

6.1. Транспортировка блоков - одно из важнейших звеньев комплектно-блочного строительства. Это обусловлено повышенными требованиями к сохранности перевозимых грузов; необходимостью перевозки в ряде случаев блоков с габаритно-массовыми параметрами, превышающими допустимые транспортные ограничения.

6.2. Основные принципы организации доставки блоков от завода - изготовителя (сборочно-комплектовочного предприятия) до площадки укрупнительной сборки или непосредственно к месту установки их в проектное положение должны определяться в проектах организации строительства и в проектах производства работ.

6.3. Габаритно-массовые параметры блоков существенно влияют на выбор маршрута движения, который в свою очередь определяет виды транспорта, а также методы и техническое обеспечение погрузочно-разгрузочных работ.

6.4. Перевозку блоков можно осуществлять как отдельно на автомобильном, железнодорожном, водном и воздушном транспорте, так и в различных сочетаниях этих видов транспорта.

6.5. Оптимальный вариант доставки определяется исходя из минимума приведенных затрат на сооружение.

Критерий оптимизации принимается в зависимости от значимости упомянутых факторов.

Железнодорожный транспорт

6.6. Железнодорожный транспорт имеет достаточно низкую стоимость перевозок, большой парк платформ и транспортеров для перевозки блоков в пределах существующих ограничений, а также отработанную технологию погрузки грузов. Целесообразно применять этот вид транспорта при перевозках на расстояния свыше 150-200 км.

6.7. Перевозка блоков железнодорожным транспортом должна осуществляться в соответствии с "Техническими условиями погрузки и крепления грузов на открытом подвижном составе" (МПС, 1981 г.) и "Инструкцией по перевозке негабаритных и тяжеловесных грузов на железных дорогах СССР колеи 1520 мм" (МПС, 1985 г.).

6.8. Блок является негабаритным, если он при размещении на открытом подвижном составе, находящемся на прямом горизонтальном участке пути, превышает пределы габарита погрузки.

Различают общесетевой (рис. 6) и льготный габариты погрузки (рис. 7). По льготному габариту могут перевозиться железобетонные, металлические конструкции, а также другие грузы длиной в пределах платформ и полувагонов.

В зависимости от высоты установлено три основные зоны негабаритности груза (рис. 8): нижняя (шесть степеней), боковая (шесть степеней) и верхняя (три степени).

В соответствии с установленными зонами негабаритности блок может иметь нижнюю, боковую и верхнюю сверхнегабаритность. Сверхнегабаритность блоков, имеющих высоту более 5300 мм, называется вертикальной.

6.9. К тяжеловесным для железнодорожного транспорта относятся блоки, у которых масса и длина или нагрузка на раму (пол) вагона превышают допустимые величины, установленные техническими условиями погрузки и крепления грузов при перевозке на универсальном 4-осном подвижном составе.

6.10. При перевозке железнодорожным транспортом блок считается длинномерным, если отношение его длины к базе подвижного состава составляет более 1,41.

6.11. Ориентировочные габаритно-массовые параметры блоков, допускаемых к перевозкам по железной дороге, приведены в табл. 4.

6.12. Согласование перевозки блоков, относящихся к категории негабаритных и тяжеловесных, проводится в три этапа:

первый - предварительное согласование о возможностях и способах перевозки с Управлением перевозок;

второй - согласование погрузочной документации с Управлением железной дорогой отправителя;

третий - окончательное согласование погрузочной документации с Управлением перевозок для блоков больших степеней негабаритности и транспортируемых на специальном подвижном составе - транспортерах.

Рис. 6. Габарит погрузки

х - для грузов, перевозимых на транспортерах сочлененного типа

Рис. 7. Льготный габарит погрузки

Рис. 8. Зоны негабаритности груза

Таблица 4

Габаритно-массовые параметры блоков, перевозимых железнодорожным транспортом

Тип транспортного средства

Максимальная масса блока, т

Максимальные размеры блока, мм

длина

ширина

высота

Крытый вагон

65

14850

2790

2760

Платформа

92

24000

3250

2700

 

 

 

(4080)*

4000**

Полувагон

125

18750

2790

3000

 

 

 

 

4000

Транспортер площадочного типа

220

8800

3250

3000

 

 

 

(4080)

4300

Транспортер платформенного

110

21000

3250

2700

типа

 

 

(4080)

4000

Транспортер сочлененного типа

500

14500

3250

3200

 

 

 

(4080)

4300

Транспортер сцепного типа

240

28000

3250

2200

 

 

 

(4080)

3500

Примечания:

* Размеры в скобках указаны для боковой 4-ой степени негабаритности.

** При максимальной высоте блока (цифра в знаменателе) ширина его должна быть уменьшена до 1240 мм (габарит погрузки) и до 2000 мм (верхняя 3-ей степени негабаритность).

6.13. Учитывая сложность и высокую стоимость перевозок негабаритных грузов при проектировании блоков рекомендуется принимать ширину габарита с учетом проезда кривых участков пути не более нормального железнодорожного габарита 3250 мм и только в исключительных случаях при соответствующем технико-экономическом обосновании можно использовать возможность перевозки негабаритных грузов.

Водный транспорт

6.14. Разветвленная сеть водных путей страны делает перспективным транспортировку блоков водными видами транспорта. Однако перевозка ограничивается глубинами водных путей сообщения, габаритами грузов, а также сезонностью работы водного транспорта.

Главные трудности перевозки возникают при погрузке блоков на судно и выгрузке их на берег в пункте прибытия.

6.15. На водном транспорте габаритно-массовые ограничения дифференцированы, по видам плавания, размерам гидротехнических сооружений, оснащенности подъемно-транспортными средствами в портах погрузки и назначения.

Так, по магистральным водным путям первой категории Минречфлотом РСФСР допускается перевозить на баржах-площадках грузы диаметром до 8 и длиной до 50 м, а при буксировке на плаву - диаметром до 10 и длиной до 100 м.

Предельные габариты речных судов для различных классов внутреннего водного пути представлены в табл. 5.

Таблица 5

Габариты судов при плавании по внутренним водным путям СССР

Класс внутреннего водного пути

Осадка судна, м

Высота груженого судна над поверхностью воды, м

Ширина судна, м

Сверхмагистральный

3,0

16

14

Магистральный

2,5

15

14

То же

2,0

13

14

Местного значения

1,5

12

14

То же

1,1

11

14

-"-

0,7

9

14

-"-

0,5

6

14

Морские перевозки могут осуществляться практически без габаритно-массовых ограничений.

6.16. Возможность перевозки блоков водным транспортом и выбор типа судна следует согласовывать с Министерством морского флота СССР, Министерством речного флота РСФСР или соответствующей союзной республики. Согласование транспортных схем с расчетом погрузки-разгрузки следует также осуществлять с пароходством, в ведении которого находится порт отгрузки (разгрузки) блоков.

6.17. На судах блоки располагаются партиями согласно пунктам назначения: сначала те, которые направляются в дальние пункты назначения, затем те, что в ближайшие пункты. На палубе блоки размещают равномерно с учетом обеспечения видимости при судовождении, отличительных и сигнальных огней (бортовых отмашек) и свободного доступа ко всем палубным механизмам, кнехтам, выводам пожарной магистрали и другому оборудованию судна.

Размещение и последовательность погрузки (разгрузки) блоков регламентировано "Инструкциями по загрузке и разгрузке серийных несамоходных сухогрузных судов".

Воздушный транспорт

6.18. Перевозить блоки воздушным транспортом следует только в тех случаях, когда невозможно использовать другие виды транспорта или когда сроки доставки имеют определяющее значение.

6.19. Для перевозки блоков воздушным транспортом на расстояния до нескольких десятков тысяч километров можно использовать самолеты Ан-12, Ан-22, Ан-124 и Ил-76ТД (табл. 6).

Таблица 6

Технические параметры отечественных транспортных самолетов

Тип самолета

Максимальная грузоподъемность, т

Крейсерская скорость, км/ч

Практическая дальность полета, км

Размеры грузовой кабины, м

Размеры грузового люка, м

Ан-12

20

550

До 5000

13,5×3(3,5)×2,4(2,6)

Длина 6,7 Ширина 2,62-3,1

Ил-76ТД

50

750

3800

20×3,45×3,4

Соответствует размерам кабины

Ан-22

80

600

3700

32,7×4,4×4,4

-

Ан-124

150

850

4500

-

-

6.20. Для доставки блоков на расстояния до 700 км целесообразно применять вертолеты, которые наиболее эффективны для доставки грузов на объекты, расположенные в труднодоступной местности. Полетная масса вертолета и его загрузка не должны превышать значений, приведенных в табл. 7.

Таблица 7

Технические параметры отечественных вертолетов

Тип вертолета

Назначение

Максимальная полетная масса, т

Максимальная загрузка, т

Размеры грузовой кабины, м

Размеры грузового люка, м

груз в кабине

груз на внешней подвеске

груз в кабине

груз на внешней подвеске

Ми-4

Для транспортировки грузов и пассажиров

7,5

7,1

1,5

1,5

4,5×l,4×l,4

1,4×1,4

Ми-8

Для транспортировки грузов как в кабине, так и на внешней подвеске

12,0

11,0

4,0

3,0

5,15×2,3×l,8

1,82×2,34

Ми-6

То же

42,5

38,0

12,0

8,0

11,7×2,55×2

2,72×2,64

Ми-10К

Для строительно-монтажных работ и транспортировки крупногабаритных грузов на внешней подвеске

-

38,0

-

11,0

-

-

Ми-26

Для транспортировки грузов на внешней подвеске

-

50

-

20

-

-

Размеры блоков, предназначенных для перевозки в грузовой кабине вертолетов Ми-8 и Ми-6, следует определять по графикам на рис. 9 и 10.

6.21. Доставка блоков вертолетами может производиться в соответствии с "Руководством по применению вертолетов при строительстве объектов нефтяной и газовой промышленности", P273-81 (ВНИИСТ, Москва, 1981 г.).

6.22. В грузовой кабине блоки размещаются в соответствии со схемой загрузки, допустимыми центровками и схемой нагрузок на грузовой пол самолета. Погруженный в самолет блок закрепляется швартовочными ремнями.

Рис. 9. Определение допустимых размеров крупногабаритных блоков при перевозке в грузовой кабине вертолета Ми-8

а - при загрузке с помощью грузовой тележки; б - то же, по рольгангу

Рис. 10. Определение допустимых размеров крупногабаритных блоков при перевозке в грузовой кабине вертолета Ми-6

а - при загрузке с помощью грузовой тележки; б - то же, по рольгангу

Автомобильный транспорт

6.23. Перевозка блоков автомобильным транспортом может осуществляться по автомобильным дорогам общей сети и по специально оборудованным трассам.

Специальное оборудование трассы заключается как в усилении имеющегося дорожного полотна и искусственных сооружений, так и в строительстве специальной дороги, например, от площадки укрупнительной сборки до стройплощадки и т.п.

6.24. Автомобильные дороги СССР в соответствии со СНиП II-Д.5-72 подразделяются на пять категорий (табл. 8).

Таблица 8

Технические характеристики автодорог

Наименование показателей

Категории автомобильных дорог

I

II

Ш

IV

V

Число полос движения

4 и более

2

2

2

1

Ширина полос движения, м

3,75

3,75

3,5

3

-

Ширина проезжей части, м

15 и более

7,5

7,0

6,0

4,5

Ширина обочин, м

3,75

3,75

2,5

2,0

1,75

Наибольшие продольные уклоны, %

3

4

5

6

7

6.25. Перевозка блоков автотранспортом регламентируется "Правилами дорожного движения", утвержденными приказом МВД СССР.

6.26. Автотранспортное средство с блоком считается крупногабаритным, если его размеры превышают по высоте 4,0 м, по ширине 2,5 м, по длине 20 м - для автопоезда с одним прицепом (полуприцепом) и 24 м - для автопоезда с двумя и более прицепами, либо, если груз выступает за заднюю точку габарита транспортного средства более чем на 2 м.

6.27. Автотранспортное средство с блоком или без него считается тяжеловесным, если его общая масса превышает: при движении по дорогам - 52 т; по мостам, эстакадам и путепроводам - 30 т; по осевой нагрузке (нагрузка на дорогу, передаваемая колесом одиночной, наиболее нагруженной оси) значения, приведенные ниже.

Расстояние между смежными осями, м

Осевая нагрузка, т

2,5 и более

10

Свыше 1,39 и до 2,5

9

Свыше 1,25 и до 1,39

8

От 1,0 до 1,25

7

6.28. Перевозка блоков на автотранспортных средствах, попадающих под определения пп. 6.26 и 6.27, должна осуществляться в соответствии с "Инструкцией по перевозке крупногабаритных и тяжеловесных грузов автомобильным транспортом", утвержденной приказом МВД СССР от 24 февраля 1977 г. № 53. Согласно разделу 2 инструкции разрешения на перевозку таких грузов выдается ГАИ после согласования маршрута движения.

Маршрут движения согласуется:

с управлением автомобильной дороги, а в союзных республиках, не имеющих областного деления, - с министерством автомобильных дорог союзной республики;

с министерством автомобильных дорог республики - при систематических перевозках в пределах двух и более областей;

с горисполкомами при перевозках по территории одного или нескольких городов. При высоте груза более 4,5 м необходимо дополнительное согласование со службами электротранспорта, электросети и т.п.;

с дистанцией пути железной дороги:

а) если при пересечении железнодорожного пути в одном уровне габариты транспортного средства превышают по ширине 5 и, по высоте 4,5 м, по длине согласно п. 6.26, полная пасса превышает 52 т или скорость движения менее 5 км/ч;

б) при прохождении маршрута перевозки под железнодорожным мостом, путепроводом, если ширина транспортного средства более 5 м, а высота более 4,35 м.

Разрешение ГАИ выдается на одну перевозку. При массовых перевозках могут выдаваться разрешения на партию грузов или на определенный срок.

Скорость движения транспортного средства устанавливается Госавтоинспекцией и не может превышать 50 км/ч.

Сопровождение автомобилем прикрытия обязательно во всех случаях, когда ширина транспортного средства превышает 3,5 м, а длина - 24 м, или при движении со сверхнормативной нагрузкой. Кроме автомобиля прикрытия, в зависимости от дорожных условий и вида груза, в сопровождении должны быть тягач или толкач.

Перевозку груза сопровождает патрульный автомобиль ГАИ в том случае, когда:

ширина транспортного средства превышает 4 м, а длина автопоезда - 30 м;

транспортное средство занимает хотя бы частично полосу встречного движения;

необходимы дополнительные мероприятия по регулированию дорожного движения.

6.29. Для доставки блоков следует использовать автотранспортные средства, выпускаемые предприятиями Министерства автомобильной промышленности, а также строительных министерств и ведомств (табл. 9 и 10).

Таблица 9

Технические характеристики тяжеловозов, выпускаемых Челябинским машиностроительным заводом автомобильных и тракторных прицепов Министерства автомобильной промышленности

Наименование показателей

Транспортное средство

ЧМЗАП-5208

ЧМЗАП-5212А

4M3AП-5430

ЧМЗАП-5523А

ЧМЗАП-8386

ЧМЗАП-8389

с подкатной тележкой

без подкатной тележки

Основной тяговый автомобиль

Колесный тягач 8×8

Колесный тягач 8×8

Колесный тягач 8×8*

КрАЗ-255Б

КрАЗ-258

Колесный тягач 8×8

Колесный тягач 8×8*

Грузоподъемность, т

40

60

120

21

25

40

300

Полная масса прицепа, т

50,9

73,9

166,35

29,49

31,94

53,17

353,069

Максимальная скорость передвижения, км/ч

40

32

25

25

25

60

-

Размеры грузовой платформы, мм:

 

 

 

 

 

 

 

длина

4880

5500

9000

6765

6750

8210

18650

ширина

3200

3300

3238

3000

3000

3150

3350

Погрузочная высота, мм

1140

1120

900 (500)

1200

1200

1260

1280

Дорожный просвет, мм

260

260

370

240

240

250

358

Количество осей, шт.

5

4

6

3

2

3

12

Количество колес, шт.

24

32

24

12

8

12

96

____________

* Количество тягачей в зависимости от полной массы транспортного средства.

Таблица 10

Технические характеристики спецавтотранспортных средств, выпускаемых строительными министерствами и ведомствами

Наименование показателей

Транспортное средство

V-4005

V-6005

4ПТ-60

Н4503

Основной тяговый автомобиль

КрАЗ-255Б

Колесный тягач 8×8

Колесный тягач 8×8

Колесный тягач 8×8

Грузоподъемность, т

40

60

60

45

Полная масса прицепа (полуприцепа), т

50,9

73

78

58

Максимальная скорость передвижения, км/ч

40

30

40

30

Размеры грузовой платформы, мм:

 

 

 

 

длина

4880

6000

6000

3400

ширина

3200

3200

3200

3400

Погрузочная высота, мм

1140

1015

810(326)

610

Дорожный просвет, мм

260

220

360

225

Количество осей, шт.

3

4

4

3

Количество колес, шт.

24

32

16

24

Организация разработчик

ПКБ Главстроймеханизация Минтрансстроя

ПКБ Главстроймеханизация Минтрансстроя

ВКТИ Минмонтажспецстроя СССР

НИИ Главмосавтотранса

6.30. В настоящее время строительные министерства и ведомства разрабатывают спецавтотранспортные средства, предназначенные только для перевозки блоков (табл. 11).

6.31. Для перевозки блоков массой 300-2000 т можно использовать транспортные средства, выпускаемые зарубежными фирмами: "Goldhofer" и "Sheuerle" (ФРГ), "Cometto" (Италия), "Тrаbоso" (Испания), "Niсоlfs" (Франция).

6.32. Перспективными, особенно для малоосвоенных районов, являются транспортные средства на воздушной подушке. Западно-Сибирским филиалом ВНИИнефтемаш созданы образцы несамоходных платформ грузоподъемностью 20, 40, 50 т.

7. УСТАНОВКА БЛОКОВ В ПРОЕКТНОЕ ПОЛОЖЕНИЕ

Подготовительные мероприятия

7.1. Объект в комплектно-блочном исполнении формируется как взаимосвязанная система блоков, которые по своим типам подразделяются на блоки агрегированного оборудования, строительные, строительно-технологические и блоки коммуникаций.

7.2. Номенклатура и технические требования к блокам должны быть взаимосогласованы заказчиком, предприятиями-изготовителями и организациями, осуществляющими строительно-монтажные работы.

7.3. При организации строительного производства комплектно-блочным методом необходимо:

поставлять блоки в виде законченных зданий, сооружений или их частей (поставочных элементов) полной заводской готовности и монтажной технологичности;

объединять составные части каждого блока для монтажа его на общих опорных конструкциях;

доводить до минимума количество поставочных элементов блоков;

обеспечивать технологичность блоков при изготовлении и монтаже;

предварительно устраивать постоянные или временные дороги, а также площадки для грузоподъемных средств.

Таблица 11

Технические характеристики перспективных спецавтотранспортных средств для перевозки блоков

Наименование

Модель

Грузоподъ­емность, т

Размеры платформы, мм

Организация-paзработчик

Предполагаемые сроки освоения

длина

ширина

погрузочная высота

рабочая документа­ция

Опытный образец

Серийное производ­ство

Прицеп-тяжеловоз

ПР3601

60

18000

3150

1500

СКБ Газстроймашина

1986

1987

1988

То же

H80I6

80

16000

4000

1200

ПКБ Главстройме­ханизация Минэнерго СССР

1987

1988

1989

-"-

-

150

Размеры определяются габаритами груза

Переменная (в зависи­мости от груза)

ВНИИ Монтажспецстрой

1987

1987

1988

-"-

-

250

То же

1988

1988

1990

-"-

НК4009

40

9000

3300

500

ЦНИИОМТП

1986

1986

1987

800

1000

7.4. Обеспечение документацией на блоки промышленного изготовления должно осуществляться в порядке, установленном для нестандартизированного оборудования. Документация на блоки, изготовляемые на сборочно-комплектовочных предприятиях, должна входить в состав рабочей документации для строительства.

7.5. При организации материально-технического обеспечения объекта, строящегося комплектно-блочным методом, необходимо предусмотреть первоочередную поставку комплектующего оборудования, материалов, конструкций и изделий на сборочно-комплектовочные предприятия.

7.6. Блоки должны поставляться на объекты строительства полной заводской готовности и монтажной технологичности с соблюдением очередности поставки в соответствии с проектом производства работ.

7.7. Основной особенностью организации строительства комплектно-блочным методом является конструктивное и организационно-технологическое разделение подземной и надземной частей производственных комплексов.

7.8. До установки блоков в проектное положение необходимо:

построить фундаменты и смонтировать основания под блоки;

проложить инженерные коммуникации и их выпуски к блокам;

выполнить обратную засылку и уплотнить грунты в пазухах;

проложить специальные подъездные и внутриплощадочные дороги;

устроить площадки накопления и подготовить блоки, к установке в проектное положение.

7.9. На приобъектных складах расставляют блоки на специальных накопительных площадках, обеспечивающих возможность их подачи для монтажа в определенной технологической последовательности.

Монтаж блоков

7.10. Комплектно-блочный метод организации строительства предполагает превращение строительной площадки в монтажную. Процесс монтажа блочных устройств различных типов и назначения заключается в установке блоков в проектное положение и их соединении между собой в единую технологическую линию.

7.11. Устанавливать блоки в проектное положение необходимо по трем основным организационно-технологическим схемам:

с использованием традиционных строительных механизмов и инвентарной монтажной оснастки и приспособлений при сборке блоков из поставочных элементов на проектных местах;

методом "надвижки" с использованием традиционных и специальных монтажных средств, оснастки и приспособлений;

с использованием специализированных, а в отдельных случаях и уникальных, средств доставки и монтажа блоков.

7.12. Применение традиционных строительных механизмов (башенные краны, краны на гусеничном и пневмоколесном ходу, козловые) целесообразно при монтаже поставочных элементов и блоков массой до 100 т. Эти же механизмы, когда объект запроектирован в комплектно-блочном исполнении только частично, могут быть использованы для монтажа каркаса, покрытия, ограждающих и других конструкций (рис. 11), а также технологического оборудования.

Рис. 11. Монтаж блоков с использованием специального грузоподъемного механизма СКР-2600

7.13. Метод "надвижки" (рис. 12) является одним из наиболее эффективных методов бескранового монтажа. Блоки в этом случае подвозят к фундаментам или собирают вблизи него. Перемещают монтируемые блоки с помощью тягачей или лебедок. Для уменьшения трения и обеспечения сохранности основании блоков могут применяться различные смазки, катки, ролики (в том числе надувные) и т.д.

При использовании метода "надвижки" масса монтируемых блоков практически не ограничена.

Рис. 12. Монтаж блоков методом "надвижки":

1 - лебедка; 2 - катки; 3 - лист из металла; 4 - рельс

направление установки блока в проектное положение

7.14. Перспективным направлением организации монтажа блоков является применение специализированных транспортно-монтажных средств, обеспечивающих доставку и установку блоков в проектное положение непосредственно с платформ или прицепов, оборудованных механизмами и приспособлениями для погрузки и разгрузки. Такой метод доставки и монтажа "с колес" (рис. 13) исключает использование грузоподъемных кранов и требует полной готовности фундаментов, устройства специальных дорог, площадок и подъездных путей.

Применение монтажа " с колес" получит широкое распространение при увеличении парка специального автотранспорта и создания предприятий по изготовлению блоков полной заводской готовности.

Рис. 13. Монтаж блоков„с колес:

1 - автотранспортное средство: 2 - блок I; 3 - технологический коридор; 4 - блок 2

7.15. Выбор метода монтажа должен осуществляться на основе вариантных проработок проектов организации строительства с технико-экономическими обоснованиями, а также с учетом условий строительства, региональных и природно-климатических условий.

7.16. Изготовление, доставку, монтаж и наладку блоков целесообразно производить силами специализированных организаций, например, промышленно-строительных объединений, имеющих в своем составе сборочно-комплектовочные предприятия, монтажные и пуско-наладочные управления.

7.17. Основная технологическая документация, определяющая организацию строительного производства по установке блоков при возведении объектов в комплектно-блочном исполнении, приведена в табл. 2 раздела 4.

8. ДОПОЛНИТЕЛЬНЫЕ ТРЕБОВАНИЯ К ОРГАНИЗАЦИИ ИНЖЕНЕРНОЙ ПОДГОТОВКИ СТРОИТЕЛЬНОЙ ПЛОЩАДКИ

8.1. Подготовка производства при организации строительства комплектно-блочным методом должна осуществляться в соответствии с требованиями СНиП 3.01.01-85 "Организация строительного производства", а также "Руководством по единой системе подготовки строительного производства".

8.2. Подготовка строительного производства должна обеспечивать планомерное выполнение строительно-монтажных работ в условиях взаимоувязанной производственной деятельности всех строительных и монтажных организаций, участвующих в изготовлении и доставке блоков, а также в возведении объектов в комплектно-блочном исполнении.

8.3. Организация инженерной подготовки строительства отдельного объекта должна обеспечивать планомерное возведение объекта при своевременной сдаче его в эксплуатацию с запланированными технико-экономическими показателями и качеством работ.

8.4. Необходимо, чтобы организация инженерной подготовки территории строительства объектов в комплектно-блочном исполнении включала: вертикальную планировку территории; устройство комплексов (бытовых городков) из мобильных (инвентарных) зданий; прокладку подземных инженерных сетей; устройство временных и постоянных автомобильных и железных дорог, монтажных площадок; сооружение подземных и надземных фундаментов для установки блоков различных типов и назначения.

8.5. Порядок и последовательность инженерной подготовки должны, устанавливаться в зависимости от последовательности монтажа блоков, регламентированной проектом производства работ.

8.6. Организационно-технологические решения по инженерной подготовке территории строительства должны быть разработаны в полном объеме до установки блоков в проектное положение.

В случае, когда размеры запроектированных зданий или сооружений значительны, необходимо производить организационно-технологическое разделение территории на участки и проводить подготовительные работы поэтапно, совмещая во времени инженерную подготовку и монтаж блоков. На рис. 14 приведен укрупненный сетевой график, показывающий совмещение основных этапов подготовительного периода с непосредственной установкой блоков.

Рис. 14. Укрупненный сетевой график возведения объекта в комплектно-блочном исполнение

8.7. Для районов строительства с экстремальными условиями (Северная зона, высокогорье, зоны пустынь, субарктические и субтропические болота и др.) до начала инженерной подготовки следует провести пионерные мероприятия, связанные с особенностями производства внутриплощадочных подготовительных работ в этих условиях.

8.8. Исходными материалами для разработки организационно-технологических решений по выполнению внутриплощадочных подготовительных работ являются: строительный генеральный план; рабочие чертежи на вертикальную планировку, прокладку инженерных сетей водоснабжения, водоотведения, автомобильных и железных дорог, фундаментов под блоки различных типов и назначения; совмещенный план коммуникаций; расчетная потребность в энергетических ресурсах; предполагаемая схема временных транспортных путей на строительной площадке; сведения о профессиональном и количественно-квалификационном составе производственных подразделений предполагаемых участников строительства; расчетная потребность в мобильных (инвентарных) зданиях различного назначения; сведения о наличном парке строительных машин и механизмов и его состоянии.

8.9. Подготовительные внутриплощадочные работы рекомендуется выполнять в следующей очередности:

вертикальная планировка территории строительной площадки;

устройство комплексов (городков) служебного, складского, производственного и вспомогательного назначения из мобильных (инвентарных) зданий и сооружений;

прокладка подземных коммуникаций под дорогами и вдоль них;

устройство автомобильных дорог;

прокладка подземных коммуникаций под площадками для монтажа блоков и восстановление площадок;

выполнение всех внутриплощадочных подготовительных работ, имеющих совмещенные земляные выемки с фундаментами блоков;

выполнение всех внутриплощадочных подготовительных работ вне территории монтажа блоков.

8.10. При разработке организационно-технологической документации по инженерной подготовке строительной площадки перед установкой блоков в проектное положение должны быть решены задачи, состав которых регламентирован требованиями, приведенными в табл. 2 раздела 4.

9. ДОПОЛНИТЕЛЬНЫЕ ТРЕБОВАНИЯ К ОРГАНИЗАЦИИ УПРАВЛЕНИЯ ПРОИЗВОДСТВОМ РАБОТ ПРИ ВОЗВЕДЕНИИ ОБЪЕКТОВ КОМПЛЕКТНО-БЛОЧНЫМ МЕТОДОМ

9.1. Под организацией управления применительно к комплектно-блочному методу строительства понимается создание специальных служб оперативного управления ходом строительства объектов в комплектно-блочном исполнении.

9.2. Формы организации комплектно-блочного строительства объектов определяются в зависимости от взаимоотношений предприятий-поставщиков и строительно-монтажных организаций. Возможные условия реализации комплектно-блочного метода определяют три основные организационные схемы создания объекта.

Первая схема - высшая стадия развития комплектно-блочного метода строительства - организационная форма управления, при которой большинство ресурсов концентрируется в машиностроении - отрасли с наибольшим потенциалом. Эта форма может быть реализована при наличии проектных решений строительства объектов в блочном исполнении с использованием унифицированных блоков и полном переносе процессов их комплектации и изготовления на сборочно-комплектовочные предприятия машиностроительных министерств и ведомств.

Согласно второй схеме организационная форма управления комплектно-блочным строительством основана на создании сборочно-комплектовочных предприятий в структуре подрядных министерств, осуществляющих строительство. При этом функции комплектования оборудования и материалов могут принадлежать подрядчику, сохраняться за заказчиком или могут быть распределены между ними.

Организационная форма управления комплектно-блочным строительством, основанная на использовании производственной базы монтажных организаций, изготовляющей блоки, при сохранении обязанностей заказчика по комплектации блоков, является третьей схемой создания объекта.

9.3. Выбор формы организации управления комплектно-блочным строительством объектов производится на основе технико-экономического анализа с учетом:

объемов строительно-монтажных работ;

инфраструктуры района строительства и необходимости капитальных вложений в создание мощностей для производства блоков;

существующей или проектируемой транспортной схемы;

дефицита трудовых и материально-технических ресурсов в районе строительства;

технических и проектных параметров блоков различных типов и назначения, применение которых запроектировано для строительства объекта.

9.4. Окончательную сравнительную оценку экономической и социальной эффективности и выбор на этой основе наилучшей организационной формы управления комплектно-блочным строительством объектов следует производить в соответствии с указаниями раздела 10.

9.5. Комплектно-блочное строительство объектов предполагается осуществлять силами специально организуемых территориальных производственных предприятий (объединений) со значительными мощностями производственных баз.

9.6. Основной организационно-структурной формой по возведению объектов комплектно-блочным методом должен являться, как правило, трест (объединение) с входящими в его состав: управлением производственно-технологической комплектации, которое выполняет функции комплектования основного оборудования, материальных ресурсов и обеспечивает их централизованную доставку для сборки, комплектации и испытания блоков на сборочно-комплектовочном предприятии, а также доставку готовых блоков или их поставочных элементов на строительные площадки; управлением механизации; монтажным управлением, выполняющим силами укрупненных хозрасчетных комплексных бригад установку блоков в проектное положение и их соединительный монтаж.

9.7. Строительно-монтажные организации, участвующие в возведении объектов, должны быть специализированы по законченным этапам строительства: подготовительные работы и нулевой цикл, монтаж надземной части объектов. В этой связи низовые производственные подразделения, участвующие в возведении объектов, целесообразно также специализировать, с учетом основной особенности организации строительства комплектно-блочным методом, т.е. конструктивно-технологического разделения видов работ по устройству подземных и возведению надземных частей объектов.

9.8. Взаимоувязка организационно-технических и планово-экономических мероприятий, выполняемых различными организациями, на всех этапах инвестиционного цикла от проектирования объектов до завершения пусконаладочных работ и ввода предприятий в строй действующих, должна осуществляться посредством создания единой службы оперативно-диспетчерского управления.

9.9. Дополнительными требованиями к оперативно-диспетчерскому управлению при реализации строительства на основе комплектно-блочного метода на его трех основных организационных уровнях (изготовление блоков; их транспортирование на строительную площадку; установка в проектное положение) являются:

создание рациональных структурных форм аппарата единого оперативного управления строительным производством в сборочно-комплектовочных, транспортных и монтажных организациях;

формирование оптимальной единой организационно-технологической модели строительства объектов в комплектно-блочном исполнении;

обеспечение эффективного функционирования единого аппарата оперативного управления строительством во всех звеньях организаций, участвующих в возведении объектов;

анализ и обобщение поступающей от подведомственных подразделений оперативной информации о ходе строительства;

достижение четкого взаимодействия между подразделениями строительно-монтажных организаций, подразделениями производственно-технологической, комплектации и предприятий-поставщиков блоков, конструкций, изделий и материалов путем постоянного контроля за ходом строительства и регулирования производства строительно-монтажных работ с обеспечением их материальными ресурсами, средствами механизации и автотранспортом.

9.10. Рациональной формой организации аппарата управления является такая форма, при которой существуют оперативные связи между всеми технологически взаимоувязанными сферами строительного производства (рис. 15).

Состав диспетчерской службы должен определяться руководством строительной организации, включаться в штатные расписания, которые утверждаются вышестоящей организацией.

Рис. 15. Схема организационной структура аппарата управления:

ГДП - главный диспетчерский пункт системы оперативно-диспетчерского управления;

ДП - диспетчерские пункты системы оперативно-диспетчерского управления

9.11. Оперативно-диспетчерское управление по контролю и регулированию работ следует осуществлять на основе и в пределах недельно-суточного планирования производства строительно-монтажных работ и их материально-техническое обеспечение.

9.12. Для оперативно-диспетчерского управления должны быть созданы диспетчерские пункты, оснащенные современными техническими средствами связи, организационной и вычислительной техникой, а также автоматическими устройствами, обеспечивающими своевременный сбор, обработку и передачу оперативной информации.

9.13. Органом, выполняющим функции учета, контроля и анализа хода строительства объектов, а также координирующий действия организаций-участников строительства в комплектно-блочном исполнении, должен стать центр оперативного управления, создаваемый на уровне министерства-заказчика.

Организационная структура центра определяется совместным решением (приказом) организации-заказчика отраслевого министерства и подрядной специализированной монтажной организации, основных предприятий-изготовителей, специализированных транспортных предприятий. В состав центра входят полномочные представители от каждой организации, участвующей в строительстве объектов.

9.14. Организационной основой оперативного управления строительством является календарный план возведения объекта, увязывающий действия проектных организаций, предприятий по изготовлению блоков, транспортных предприятий; специализированных монтажных организаций.

9.15. Календарный план строительства детализируется всеми участниками возведения объекта недельно-суточными графиками комплектации, изготовления, транспортирования и монтажа блоков.

9.16. Основными функциями аппарата центра оперативного управления строительством являются:

участие в согласовании сводного графика поточного строительства (проектирования, изготовления, транспортирования, монтажа, пуска);

контроль за разработкой и выдачей предприятиям-изготовителям и монтажным организациям проектно-сметной документации; контроль за ходом инженерной подготовки территории строительной площадки под монтаж блоков;

проверка своевременности поставок сборочно-комплектовочному предприятию и выполнения планов строительно-монтажных работ;

контроль за установленным вводом объектов в эксплуатацию;

анализ оперативной информации о ходе строительства объекта;

периодическое проведение оперативных совещаний с руководителями всех организаций, участвующих в строительстве;

доведение решений оперативных совещаний до исполнителей и контроль за своевременным их выполнением.

9.17. Эффективность работы аппарата управления достигается в результате постоянного контроля за ходом строительства объекта от проектирования до завершения пусконаладочных работ и сдачи объекта в эксплуатацию, а также в предупреждении сбоев в работе путем координации действия организаций различной ведомственной подчиненности.

10. ЭКОНОМИЧЕСКАЯ И СОЦИАЛЬНАЯ ЭФФЕКТИВНОСТЬ КОМПЛЕКТНО-БЛОЧНОГО МЕТОДА

10.1. Основные факторы, определяющие экономическую и социальную эффективность комплектно-блочного метода.

Улучшение условий труда и быта строителей, сокращение ручного труда. Замена трудоемких операций монтажными. Резкое сокращение затрат труда на строительной площадке и перенос объемов работ в заводские условия с более высоким уровнем механизации.

Совершенствование проектных решений с сокращением производственных площадей, протяженности трубопроводов и других коммуникаций, снижение общего веса оборудования и конструкций.

Повышение производительности труда путем переноса значительной доли объемов работ из неблагоприятных условий строительной площадки в заводские. При этом обеспечивается снижение общих трудовых затрат не только за счет повышения уровня механизации, энерговооруженности, сокращения простоев из-зa неблагоприятных климатических условий, но и за счет снижения потребной мощности строительно-монтажных организаций на местах.

Повышение заводской готовности блоков, существенно сокращающей долю монтажных работ в цикле изготовление-монтаж и обеспечивающей рост производительности труда в этом цикле в 1,5-2 раза, а на строительстве в 3-4 раза, что приводит к сокращению продолжительности строительства,

Сокращение продолжительности строительства и связанных с ним условно-постоянных расходов, а также средств, отвлекаемых на незавершенное производство, улучшение распределения капитальных вложений в период строительства.

Проектирование и строительство объектов комплектно-блочным методом создает возможность получения народно-хозяйственного экономического эффекта в размере 8-10% сметной стоимости объекта строительства.

Значительная часть эффекта, достигается за счет реализации блочного принципа проектирования,. При этом около 50% экономического эффекта достигается в результате сокращения нормативных затрат на коммуникации, строительные конструкции, затрат труда на изготовление блоков, сокращение физических объемов работ по монтажу оборудования, трубопроводов, арматуры, металлоконструкций.

Реализация блочного принципа формирования объекта позволяет существенно улучшить проектные решения - протяженность трасс сокращается на 25-30%, площадь застройки на 20%, при сокращении расхода железобетона металлоемкость объекта не увеличивается.

На рис. 16 приведена структура образования экономического эффекта в процентах к сметной стоимости на примере строительства установки гидроочистки масел с применением блоков агрегированного оборудования в сравнении с традиционным методом строительства.

Рис. 16. Экономическая эффективность применения комплектно-блочного метода в сравнении с традиционным

10.2. Объем внедрения комплектно-блочного метода строительства определяется суммарной сметной стоимостью блоков (включая стоимость оборудования), применяемых строительно-монтажной организацией при выполнении годовой программы работ. При этом объемы внедрения комплектно-блочного метода строительства, во избежание их двойного учета, рассчитываются раздельно для генподрядных и субподрядных организаций.

10.3. В объемы внедрения комплектно-блочного метода строительства включаются только работы по монтажу блоков агрегированного оборудования и коммуникаций, строительных и строительно-технологических блоков. К этому методу строительства не могут быть отнесены скоростной блочный монтаж комплектно поставляемых технологических линий, монтаж технологического оборудования крупными блоками и изготовление мобильных (инвентарных) зданий.

10.4. Методика оценки экономической и социальной эффективности комплектно-блочного метода строительства объектов приводится в приложении 3.

Приложение 1

ОСНОВНЫЕ ПОНЯТИЯ, ТЕРМИНЫ И ОПРЕДЕЛЕНИЯ

Комплектно-блочный метод - совокупность взаимоувязанных технических, экономических и организационных мероприятий по агрегированию оборудования, технологических, несущих и ограждающих конструкций в блоки различных типов и назначения высокой заводской готовности и максимальному переносу объемов строительных и монтажных работ со строительной площадки в промышленное производство на сборочно-комплектовочные предприятия организаций-поставщиков оборудования, заказчиков или строительной индустрии.

Комплектно-блочное строительство - система организации строительства, основанная на применении комплектно-блочного метода и предполагающая: планирование применения метода при разработке схем развития отраслей народного хозяйства и промышленности; проектирование предприятий, зданий и сооружений в комплектно-блочном исполнении; комплектацию заводского изготовления блоков необходимыми материалами, изделиями, строительными конструкциями и технологическим оборудованием; индустриальное изготовление блоков различных типов и назначения в заводских условиях; комплектование объектов строительства соответствующей номенклатурой блоков полной заводской готовности и монтажной технологичности; транспортирование блоков на строительную площадку различными видами транспорта (в том числе транспортно-монтажного) и их сочетания; установку блоков в проектное положение, их соединительный монтаж и создание таким образом полностью законченных строительством, готовых к вводу в эксплуатацию объектов производственного назначения.

Строительство промышленных объектов с частичным применением блоков - система строительного производства, предполагающая частичное применение при возведении объектов блоков различных типов и назначения, изготавливаемых на заводах-поставщиках технологического оборудования, базах строительной индустрии или на специальных площадках укрупнительной сборки.

Объект в комплектно-блочном исполнении - предприятие, здание, сооружение, надземная часть которого, при соответствующем технико-экономическом обосновании, может быть целиком (в полном объеме) запроектирована в виде комплекта блоков различных типов и назначения, а также доборных элементов и конструкций комплектной поставки.

Блочно-комплектное устройство - объект одноцелевого функционального назначения, собираемый на сборочно-комплектовочных предприятиях или на месте монтажа из блоков различного вида.

Блок - комплексный вид изделия высокой заводской готовности, предназначенный для выполнения определенных функций в системе объекта. Блоки различаются по типам: агрегированного оборудования, строительные, строительно-технологические и блоки коммуникаций.

Блок агрегированного оборудования - конструктивно законченный комплекс технологического, инженерного и других видов оборудования высокой заводской и монтажной готовности, предназначенный для осуществления основных или вспомогательных производственных процессов.

Блок строительный - конструктивно законченное здание или его часть, предназначенные для размещения в них производств и хозяйств подсобно-вспомогательного назначения, а также административных и бытовых помещений.

Бокс - вид блока строительного, представляющего собой конструктивно законченное здание из легких строительных конструкций, вписывающихся в транспортные железнодорожные габариты.

Блок строительно-технологический - блок агрегированного оборудования со строительными и ограждающими конструкциями.

Блок-бокс - вид блока строительно-технологического высокой заводской готовности с установленными в боксе технологическим оборудованием и инженерными системами.

Блок коммуникаций - конструктивно законченный комплекс различных коммуникаций с опорными (несущими) конструкциями высокой. заводской и монтажной готовности.

Поставочные элементы - максимальные по габаритным и весовым характеристикам самостоятельные части блока, в виде которых они поставляются на строительную площадку. Параметры поставочных элементов определяются в зависимости от специфических особенностей их изготовления, транспортирования и монтажа.

Сборочно-комплектовочное предприятие - современное промышленное производство, специализированное на изготовлении блоков paзличных типов, и назначения высокой заводской готовности и монтажной технологичности, собираемых из комплектно поставляемых оборудования, строительных конструкций, материалов, изделий и полуфабрикатов.

Примечание. Термины, приведенные в настоящей работе, не являются обязательными. Они даны в целях предварительной опробации, для сбора замечаний и предложений от заинтересованных организаций и создания на этой основе общесоюзной терминологии. В дальнейшем термины могут быть уточнены и в их определения внесены изменения.

Приложение 2

ПРИМЕРНЫЙ ПЕРЕЧЕНЬ ОБЪЕКТОВ РАЗЛИЧНОГО ОТРАСЛЕВОГО НАЗНАЧЕНИЯ, СТРОИТЕЛЬСТВО КОТОРЫХ ТЕХНИЧЕСКИ ВОЗМОЖНО ОСУЩЕСТВЛЯТЬ В КОМПЛЕКТНО-БЛОЧНОМ ИСПОЛНЕНИИ

Электроэнергетика:

промышленно-отопительная теплоэлектроцентраль;

районная электростанция;

электрический распределительный пункт;

парогазовая установка;

районная котельная;

электростанция глубокого ввода;

электрическая подстанция.

Нефтедобывающая промышленность:

дожимная насосная станция;

дожимные нефтенасосные станции с предварительным и без предварительного сброса пластовой воды;

центральный пункт сбора и подготовки нефти, газа и вода;

установка подготовки нефти;

газокомпрессорная станция;

установка осушки газа;

установка очистки газа от сероводорода;

кустовая насосная станция.

Нефтеперерабатывающая промышленность:

установка первичной атмосферной переработки нефти с обессоливанием сырья;

установка первичной атмосферно-вакуумной переработки нефти с обессоливанием сырья;

комбинированная установка переработки нефти;

установка вакуумной перегонки мазута;

установки крекинга;

установка каталитического реформинга;

установка гидроочистки нефтепродуктов;

производство битума;

установка сбора прямогонного газа;

производство серы, из сероводорода;

установка производства водорода;

сооружения оборотного водоснабжения;

установка депарафинизации масел и обезмасливания гача;

установка изомеризации фракции НК-620;

установка деметалирования толуола;

 установка ароматических углеродов;

установка эстракции ароматических углеродов;

производство жидких парафинов (Перекс);

установка фракционирования парафинов;

установки очистки масел;

производство сульфатных присадок;

установка карбомидной депарафинизации дизельных масел;

установка получения сырья для производства технического углерода;

установка деасфальтизации гудронов;

комбинированная установка глубокой переработки мазута;

установка висбрекинга гудрона;

производство метилтретичнобутилового эфира.

Газовая промышленность:

установки комплексной подготовки гaзa;

головные сооружения по подготовке газа;

холодильные станции;

газораспределительные станции.

Цветная металлургия:

производство по вторичной переработке цветных металлов.

Химическая и нефтехимическая промышленность:

производство аммиака, слабой азотной кислоты, аммиачной селитры, карбомида, капролактама, жидких комплексных удобрений, сложных удобрений (нитроаммофоска), серной кислоты, аммофоса, экстракционной фосфорной кислоты, фосфорных солей, триполифосфата натрия, термической фосфатной кислоты, белой сажи, полиэфирного волокна и нитей, кальцинированной соды, вискозного волокна, капроновой технической нити, сероуглерода из метана и серы, карбамидннх смол, пластификаторов, ионообменных смол, ацетилцеллюлозы, полипропилена, ударопрочного полистирола, фенолформальдегидных смол, формалина, лаков, красок и эмалей, анилина, фталевого ангидрида, окиси этилена, нитрилакриловой кислоты, органических реактивов и препаратов, этилена и пропилена, фенола и ацетона, масляных альдегидов, бутиловых спиртов, каучуков, бутадиен-стирольного латекса, стирола с окисью пропилена, изопрена, этилбензола, изобутиленизобутановой фракции, установки по производству труб и деталей трубопроводов из поливинилхлорида, изделий из пенополиуретана и пеностирола, пленку из полиэтилена, производство труб из полиэтилена, бытовой химии.

Лесная и деревообрабатывающая промышленность:

производство оконных и балконных дверных блоков, твердых древесноволокнистых и древесностружечных плит, клееной фанеры.

Целлюлозно-бумажная промышленность:

установки товарной сульфатной целлюлозы;

производство газетной бумаги.

Мясная и молочная промышленность:

производство по переработке мяса, молока, изготовлению консервов, сыра, масла.

Рыбная промышленность:

рыбоперерабатывающее предприятие;

переработка и производство рыбной гастрономии.

Микробиологическая промышленность:

производства кормовых дрожжей, фурфурольно-дрожжевой продукции, белково-витаминных концентратов, ксилита, аминокислот, кормового концентрата лизина, ферментных препаратов, антибиотиков.

Мукомольно-крупяная, комбикормовая промышленность:

мукомольная установка;

производства по помолу муки и комбикорма.

Медицинская промышленность:

производства синтетических препаратов и витаминов, готовых лекарственных средств, антибиотиков, медицинского стекла и пластмасс.

Пищевая промышленность:

производства сахара, макарон, кондитерских изделий, пищевых концентратов, маргарина, пива, дрожжей, безалкогольных напитков;

установки по производству хлебобулочных изделий;

установка по переработке чая;

установка по разливу минеральных вод;

производство по переработке табака;

установка по производству патоки.

Сельскохозяйственное строительство:

фермы крупного рогатого скоты;

предприятие по производству молока;

телятники;

свиноводческие фермы;

комбикормовые установки;

производство брикетированных кормов;

пункты приготовления витаминно-травяной муки;

производство мясокостной муки.

Магистральный трубопроводный транспорт:

головные насосные станции;

компрессорные станции магистральных газопроводов;

газораспределительная станция;

промежуточные нефтеперекачивающие станции.

Приложение 3

МЕТОДИКА ОЦЕНКИ ЭКОНОМИЧЕСКОЙ И СОЦИАЛЬНОЙ ЭФФЕКТИВНОСТИ КОМПЛЕКТНО-БЛОЧНОГО МЕТОДА СТРОИТЕЛЬСТВА

Методика оценки социальной и экономической эффективности комплектно-блочного метода строительства разработана впервые. Предполагается использовать ее при выборе наиболее эффективного метода строительства производственных объектов для различных отраслей промышленности. По мере накопления опыта методика будет уточняться.

При технико-экономической оценке вариантов исходят из предпосылки равных эксплуатационных затрат. В том случае, если варианты существенно отличаются уровнем приведенных эксплуатационных затрат, необходимо определить их разницу и отнести ее к варианту с большими затратами.

Данная методика решает задачи оценки эффективности применения комплектно-блочного метода по сравнению с традиционным производством работ, а также оценки различных вариантов комплектно-блочного метода.

В методике содержатся общие принципы оценки эффективности комплектно-блочного метода: сравниваемые условия, исходные данные, номенклатура технико-экономических показателей и методы их определения.

Оценка эффективности производится путем сравнительного анализа технико-экономических показателей по вариантам. При этом применен метод сравнительной экономической эффективности, показывающий, на сколько один вариант эффективнее другого.

Оценка сравнительной экономической эффективности при внедрении комплектно-блочного метода осуществляется по приведенным затратам на стадии производства блоков различного вида и назначения, их транспортировки и строительно-монтажных работ. Последние определяются с учетом сопутствующих строительству и вводу объектов в эксплуатацию экономических и социальных эффектов.

Методика предназначена для планирующих, проектных и научно-исследовательских организаций при обосновании направлений технического прогресса в строительстве, планировании строительства и проектирования производственных объектов.

Для обеспечения объективной оценки сравниваемых вариантов должно быть соблюдено условие их сопоставимости. Рассматриваемые производственные объекты должны иметь одинаковую мощность. Все технико-экономические показатели в расчетах принимаются на объект в целом. Сравниваемые варианты решений должны быть сопоставлены по назначению, запроектированы в соответствии с действующими СНиП, а также техническими условиями для одного и того же района строительства, равных условий эксплуатации и иметь одинаковую степень законченности. В частности, необходимо, чтобы сравниваемые варианты были рассчитаны на одинаковые полезные, ветровые, снеговые, сейсмические нагрузки.

Показатели стоимости по сравниваемым вариантам должны быть рассчитаны в едином уровне цен на аналогичные конструкции и материалы с применением единой сметно-нормативной базы для рассматриваемого района строительства.

Для определения технико-экономических показателей предлагается следующая система исходных данных: мощность объектов строительства, общая площадь зданий, данные об объемах работ в натуральном и стоимостном выражениях, место нахождения объекта и сборочно-комплектовочных предприятий, расстояние перевозок, методы перевозок, цена блоков (франко-сборочно-комплектовочное предприятие), в том числе доля строительных конструкций, цена строительных конструкций и материалов (франко-строительная площадка), цена на оборудование (франко-строительная площадка).

Полная себестоимость строительно-монтажных работ при традиционном методе строительства определяется по формуле

То же, при комплектно-блочном строительстве:

где ЦK1i ЦK2i - цена строительных конструкций и материалов (Франко-строительная площадка соответственно по вариантам) i-го вида, руб.;

Ц2K - цена к - ого блока (франко-сборочно-комплектовочное предприятие), руб.;

f - количество блоков;

Ц01α - цена оборудования (франко-строительная площадка) d -вида, руб.;

СТ - затраты на транспорт, руб.;

n1,n2 - количество видов строительных материалов и конструкций, используемых на строительной площадке, соответственно при традиционном и комплектно-блочном методе строительства;

l - количество видов оборудования, монтируемого на строительной площадке при традиционном методе строительства;

mK1i, mK2i - объем конструкций, материалов i-го вида соответственно при традиционном и комплектно-блочном методе строительства, шт.;

m01α - объем оборудования d-вида;

Сn1, Сn2 - прямые затраты на осуществление строительно-монтажных работ за вычетом сметной стоимости материалов, конструкций, руб.;

Н1, Н2 - накладные расходы строительно-монтажных организаций, руб.;

С31, С32 - зимние удорожания, руб.;

Эс - экономия условно-постоянной части накладных расходов, руб.

Цена блоков принимается по калькуляциям сборочно-комплектовочных предприятий, утверждаемых в установленном порядке, с учетом отпускных цен на оборудование заводов-изготовителей, затрат на его доставку, комплектацию и укрупнительную сборку, а также сметных цен на строительные материалы и конструкции, затрат на изготовление конструкций собственными силами и укрупнительную сборку строительных конструкций с учетом работ по доведению их до максимальной заводской и монтажной готовности.

Цена на строительные материалы, конструкции и оборудование принимается в соответствии с методами ценообразования.

Затраты на транспортирование блоков определяются в соответствии со сборниками цен на перевозку грузов с учетом затрат на погрузочно-разгрузочные работа, тару, реквизит и заготовительно-складских расходов.

Затраты на строительно-монтажные работы принимаются в соответствии с объемами работ, сметными нормативами и ценами.

Накладные расходы строительно-монтажных организаций определяются в соответствии с нормами накладных расходов, установленными министерствами и ведомствами для подрядных строительных организаций.

Зимние удорожания определяются в соответствии с новыми нормами дополнительных затрат при производстве строительно-монтажных работ в зимнее время, вводимыми в действие с 1 января 1984 г.

Экономия условно-постоянной части накладных расходов Эс определяется по формуле

где Ну1 - условно-постоянные накладные расходы по традиционному варианту строительства, руб.;

Т01, Т02 - продолжительность строительства объектов по сравниваемым вариантам (соответственно большая и меньшая), года

При укрупненных расчетах принимается доля условно-постоянных накладных расходов в размере: по общестроительным организациям - 50%, по специализированным - 30% от величины накладных расходов.

Капитальные вложения в базу в общем случае определяются по формуле

где  - удельные капитальные вложения в предприятия-изготовители строительных материалов, конструкций, деталей и оборудования i-го вида, руб.-год/ед.изм.;

 - удельные капитальные вложения в основные фонды предприятий и хозяйств строительных организаций, сборочно-комплектовочных предприятий, руб.-год/руб. СМР;

mi - объемы материалов, конструкций и заготовок i-го вида;

hj - объем работ j-го вида на данном объекте строительства, руб. СМР.

Приведенные затраты при традиционном методе строительства определяются по формуле

П1 = СД1нК1+ΔЗ,

То же, при комплектно-блочном методе

П2 = СД2 + Ен К2,

где Ен - нормативный коэффициент эффективности капитальных вложений, принимаемый равным 0,12 (для северных районов 0,08;

ΔЗ - дополнительные затраты на обустройство работников строительно-монтажных организаций, руб.;

К1 - капитальные вложения в производство строительных конструкций и деталей, в предприятия и хозяйства строительных организаций, включая сборочно-комплектовочные предприятия, а также в строительные машины и механизмы, руб.;

К2 - то же, при комплектно-блочном методе.

Суммарный экономический эффект определяется по формуле

Э = П1 - П2 + Эв - Д,

где Эв - эффект, получаемый от ускорения ввода в действие производственных фондов, руб.;

Д - экономическая оценка фактора дефицитности металла, руб.;

Единовременный эффект, получаемый от ускорения ввода в действие производственных объектов, определяется по формуле

Эв = Е'н·Ф(Тn1n2),

где Е'н - нормативный коэффициент эффективности капитальных вложений для отраслей, к которым относится объект, введенный в эксплуатацию;

Ф - производственные фонды, досрочно введенные в эксплуатацию, руб.;

Тn1, Тn2 - продолжительность строительства предприятий, включающих объекты соответственно с традиционным и блочно-комплектным решением.

В том случае, если известно количество дополнительно произведенной продукции за счет досрочного ввода мощностей, величина Эв может быть определена по формуле

Эв = Прn1 - Тn2),

где Пр - годовая прибыль предприятия, руб.

Условием реализации эффекта от досрочного ввода является более раннее освоение производственной мощности предприятий и возможность использования продукции в соответствующих отраслях.

Экономическая оценка фактора дефицитности металла определяется по формуле

Д = (ΔQc + β ΔQаˉс,

где ΔQc ΔQа - показатели увеличения расхода соответственно стали и алюминиевых сплавов (в натуральной массе) по сравнению с традиционным методом строительства;

β - усредненный коэффициент замены алюминиевых сплавов стальным прокатом, принимаемый равным 2,5;

Дˉс - удельное значение стоимостной оценки, фактора дефицитности стального проката, который на период до 1990 г. рекомендуется принимать в размере 100 руб. на каждую тонну дополнительно израсходованной стали.

Дополнительная величина сопряженных затрат и обустройство работников строительства в осваиваемых районах Зо определяется по формуле

где ΔЗ¯о - удельная величина дополнительных (по сравнению с уровнем и затрат в освоенных районах) затрат для обустройства работников строительства в осваиваемых районах. При отсутствии фактических данных допускается принимать: для районов Европейского Севера в размере 3 руб./чел.-дн.; Западной и Восточной Сибири - 5 руб./чел.-дн; для районов Дальнего Востока - 8 руб./чел.-дн.;

ΔLc - снижение, затрат труда на строительной площадке, чел.-дн.

 




ГОСТЫ, СТРОИТЕЛЬНЫЕ и ТЕХНИЧЕСКИЕ НОРМАТИВЫ.
Некоммерческая онлайн система, содержащая все Российские Госты, национальные Стандарты и нормативы.
В Системе содержится более 150000 файлов нормативно-технической документации, действующей на территории РФ.
Система предназначена для широкого круга инженерно-технических специалистов.

Рейтинг@Mail.ru Яндекс цитирования

Copyright © www.gostrf.com, 2008 - 2026