|
|
|
Приказ Министерства информационных технологий и связи РФ от 15 декабря 2006 г. N 168 Об утверждении Административного регламента Федеральной службы по надзору в сфере связи по исполнению государственной функции по выдаче разрешений на строительство, реконструкцию, проведение изыскательских работ для проектирования и ликвидацию сухопутных линий связи при пересечении государственной границы Российской Федерации и на приграничной территории В соответствии с пунктом 7 Порядка разработки и утверждения административных регламентов исполнения государственной функции и административных регламентов предоставления государственных услуг, утвержденного постановлением Правительства Российской Федерации от 11 ноября 2005 г. N 679 (Собрание законодательства Российской Федерации, 2005, N 47, ст. 4933) приказываю: 1. Утвердить прилагаемый Административный регламент Федеральной службы по надзору в сфере связи по исполнению государственной функции по выдаче разрешений на строительство, реконструкцию, проведение изыскательских работ для проектирования и ликвидацию сухопутных линий связи при пересечении государственной границы Российской Федерации и на приграничной территории. 2. Направить настоящий приказ на государственную регистрацию в Министерство юстиции Российской Федерации. 3. Контроль за исполнением настоящего приказа возложить на заместителя Министра информационных технологий и связи Российской Федерации Б.Д. Антонюка.
Министр Л.Д. Рейман
Зарегистрировано в Минюсте РФ 21 декабря 2006 г. Регистрационный N 8648
Административный регламент
|
|||||||||||||||||||||||||||||||||||||||||||||||||||||||||||||||||||||||||||||||||||||||||||||||||||||||||||||||||||||||||||||||||||||||||||||||||||||
|
Понедельник - четверг |
10.00 - 18.00 |
|
Пятница |
10.00 - 17.00 |
|
Суббота, воскресенье |
Выходной день |
Информация о режиме работы размещена на официальном сайте Россвязьнадзора информационного портала Министерства информационных технологий и связи Российской Федерации по электронному адресу www.mininform.ru (далее - Сайт).
Часы работы и приема посетителей в Управлении надзора и контроля в сфере информационных технологий и связи центрального аппарата Россвязьнадзора (далее - структурное подразделение) непосредственно осуществляющем рассмотрение заявлений и выдачу разрешений:
|
Понедельник - четверг |
9.00 - 18.00 |
|
Пятница |
9.00 - 16.45 |
|
Перерыв |
12.00 - 12.45 |
|
Суббота, воскресенье |
Выходной день |
7.2. Информирование о предоставлении государственной услуги, связанной с исполнением государственной функции по выдаче Разрешений, может осуществляться:
по письменным обращениям;
по телефону;
по электронной почте.
7.2.1. При информировании по письменным обращениям ответ на обращение направляется почтовым отправлением в адрес заявителя в срок, не превышающий 30 дней с момента поступления письменного обращения.
7.2.2. При информировании по телефону должностные лица Россвязьнадзора обязаны, в соответствии с поступившим запросом, предоставлять информацию по следующим вопросам:
информацию о входящих номерах, под которыми зарегистрированы в системе делопроизводства Россвязьнадзора заявления по вопросам выдачи Разрешения;
сведения о нормативных актах по вопросам выдачи Разрешения;
перечень необходимых документов для получения Разрешения;
требования, предъявляемые к заверению документов, прилагаемых к заявлению;
место размещения на официальном сайте Россвязьнадзора информации Реестра и блок-схем последовательности действий при исполнении государственной функции по выдаче Разрешений, а также информации о выданных разрешениях.
Иные вопросы рассматриваются в Россвязьнадзоре только на основании соответствующего письменного обращения.
7.2.3. При информировании по электронной почте ответ на обращение по вопросам, перечисленным в п. 7.2.2, направляется на электронный адрес заявителя в срок, не превышающий 2 рабочих дней со дня поступления обращения.
В иных случаях ответ на обращение направляется по электронной почте на электронный адрес заявителя в срок, не превышающий 30 дней со дня поступления обращения.
8. Выдача Разрешения.
8.1. Государственная услуга по выдаче Разрешения предоставляется на основании письменного заявления в Россвязьнадзор (приложение N 1).
Письменное заявление направляется не менее чем за 3 месяца до предполагаемой даты начала работ.
Письменное заявление может быть направлено почтовым отправлением или доставлено заявителем непосредственно в экспедицию Россвязьнадзора.
8.2. Заявление о выдаче разрешения могут представлять:
8.2.1. Российские заявители:
федеральные органы исполнительной власти;
органы исполнительной власти субъектов Российской Федерации;
органы местного самоуправления;
граждане Российской Федерации;
российские юридические лица;
не имеющие статуса юридического лица объединения российских юридических лиц.
8.2.2. Иностранные заявители, действующие в соответствии с международными договорами:
иностранные граждане;
лица без гражданства;
иностранные юридические лица;
международные организации;
не имеющие статуса юридического лица объединения иностранных юридических лиц.
8.3. В заявлении о выдаче разрешения указывается:
1) наименование, организационно-правовая форма, место нахождения - для юридических лиц и объединений юридических лиц;
2) фамилия, имя, отчество, место жительства, данные документа, удостоверяющего личность, - для физических лиц;
3) вид деятельности, который предполагается осуществить (изыскательские работы для проектирования линий связи, строительство, реконструкция, ликвидация);
4) цели и назначения линии связи, которую планируется строить или ликвидировать;
5) даты начала и окончания работ.
Заявление о выдаче Разрешения на проведение изыскательских работ для проектирования линий связи кроме сведений, предусмотренных подпунктами 1-5 настоящего пункта, должно содержать сведения о предполагаемой трассе линий связи и географические координаты района проведения изыскательских работ.
Заявление о выдаче Разрешения на строительство и на проведение работ по реконструкции линий связи кроме сведений, предусмотренных подпунктами 1-5 настоящего пункта, должно содержать сведения об операторе связи, в состав сети которого входит строящаяся линия связи, и об организации, которая будет непосредственно осуществлять эксплуатацию этой линии (эксплуатирующая организация).
Заявление о выдаче Разрешения на ликвидацию линий связи (изъятие из эксплуатации и демонтаж) кроме сведений, предусмотренных подпунктами 1-5 настоящего пункта, должно содержать сведения о характере предстоящей ликвидации (изъятие из эксплуатации, частичный или полный демонтаж).
В заявлении могут быть указаны и иные сведения, в том числе номера телефонов, факсов, адреса электронной почты, адрес для переписки (почтовый адрес).
8.4. К заявлению прилагаются:
8.4.1. Для получения Разрешения на проведение изыскательских работ для проектирования линий связи:
а) нотариально заверенные копии лицензий на осуществление соответствующих видов деятельности - в случаях, когда наличие таких лицензий предусмотрено законодательством Российской Федерации;
б) перечень мероприятий по предупреждению или снижению возможного ущерба окружающей среде, минеральные и живые ресурсы, а также по компенсации возможного ущерба, согласованный с территориальными органами федерального органа исполнительной власти по надзору в сфере природопользования;
в) документы, подтверждающие наличие разрешений, предусмотренных законодательством Российской Федерации, - при проведении работ в полосе отвода автомобильных или железных дорог, нефте- и продуктопроводов, газопроводов, линий электропередачи и других технологических объектов, а также на территории пунктов пропуска через государственную границу Российской Федерации;
г) сведения о технических, в том числе плавучих, средствах и судах, которые намечается использовать при выполнении работ - в случае пересечения государственной границы Российской Федерации (на приграничной территории) через реки, озера и т.п.;
д) перечень мероприятий по предотвращению и ликвидации аварийных ситуаций при проведении работ;
е) сведения о всех формах и степени участия граждан Российской Федерации и (или) российских юридических лиц в проведении работ - для иностранных заявителей;
ж) сведения о лицах, привлекаемых заявителем к проведению работ, в том числе о работниках, участвующих в их проведении;
з) экспертное заключение межведомственного координационного органа при федеральном органе исполнительной власти, осуществляющем функции по выработке государственной политики и нормативно-правовому регулированию в сфере связи, на генеральную схему (системный проект) создания и развития сетей электросвязи, имеющих в своем составе линии связи, выходящие за пределы территории Российской Федерации, и перечень документов, необходимых для проведения изыскательских работ.
8.4.2. Для получения Разрешения на строительство и на проведение работ по реконструкции линий связи:
а) нотариально заверенные копии лицензий на осуществление соответствующих видов деятельности - в случаях, когда наличие таких лицензий предусмотрено законодательством Российской Федерации;
б) перечень мероприятий по предупреждению или снижению возможного ущерба окружающей среде, включая морскую среду, минеральные и живые ресурсы, а также по компенсации возможного ущерба, согласованный с территориальными органами федерального органа исполнительной власти по надзору в сфере природопользования;
в) документы, подтверждающие наличие разрешений, предусмотренных законодательством Российской Федерации, - при проведении работ в полосе отвода автомобильных или железных дорог, нефте- и продуктопроводов, газопроводов, линий электропередачи и других технологических объектов, а также на территории пунктов пропуска через государственную границу Российской Федерации;
г) сведения о технических, в том числе плавучих, средствах и судах, которые намечается использовать при выполнении работ - в случае пересечения государственной границы Российской Федерации (на приграничной территории) через реки, озера и т.п.;
д) перечень мероприятий по предотвращению и ликвидации аварийных ситуаций при проведении работ;
е) сведения о всех формах и степени участия граждан Российской Федерации и (или) российских юридических лиц в проведении работ - для иностранных заявителей;
ж) сведения о лицах, привлекаемых заявителем к проведению работ, в том числе о работниках, участвующих в их проведении;
з) копия решения о присвоении (назначении) радиочастоты или радиочастотного канала - в случае использования радиочастотного спектра;
и) копия утвержденного проекта в части линии связи, предусмотренной настоящим Положением, или разделов единого проекта, относящихся к такой линии связи;
к) схема прохождения линии связи (географические координаты начального и конечного пунктов и точек поворота трассы);
л) график проведения работ с указанием дат начала и окончания строительных работ.
8.4.3. Для получения Разрешения на ликвидацию линий связи (изъятие из эксплуатации и демонтаж):
а) нотариально заверенные копии лицензий на осуществление соответствующих видов деятельности - в случаях, когда наличие таких лицензий предусмотрено законодательством Российской Федерации;
б) перечень мероприятий по предупреждению или снижению возможного ущерба окружающей среде, включая морскую среду, минеральные и живые ресурсы, а также по компенсации возможного ущерба, согласованный с территориальными органами федерального органа исполнительной власти по надзору в сфере природопользования;
в) документы, подтверждающие наличие разрешений, предусмотренных законодательством Российской Федерации, - при проведении работ в полосе отвода автомобильных или железных дорог, нефте- и продуктопроводов, газопроводов, линий электропередачи и других технологических объектов, а также на территории пунктов пропуска через государственную границу Российской Федерации;
г) сведения о технических, в том числе плавучих, средствах и судах, которые намечается использовать при выполнении работ - в случае пересечения государственной границы Российской Федерации (на приграничной территории) через реки, озера и т.п.);
д) перечень мероприятий по предотвращению и ликвидации аварийных ситуаций при проведении работ;
е) сведения о всех формах и степени участия граждан Российской Федерации и (или) российских юридических лиц в проведении работ - для иностранных заявителей;
ж) сведения о лицах, привлекаемых заявителем к проведению работ, в том числе о работниках, участвующих в их проведении;
з) график проведения ликвидационных работ.
8.5. Документы, указанные в пунктах 8.3, 8.4 настоящего Регламента, представленные в Россвязьнадзор в 9-ти экземплярах, рассматриваются в 3-х месячный срок с даты получения указанных документов.
8.6. Россвязьнадзор в течение 10 дней с даты получения документов принимает решение о направлении их на согласование либо об отказе в рассмотрении заявления.
8.7. Основанием для отказа в рассмотрении заявления является представление документов с нарушением перечня и требований, предусмотренных пунктом 8 Положения о строительстве и эксплуатации линий связи.
8.8. В случае отсутствия оснований для отказа в рассмотрении заявления, Россвязьнадзор направляет на согласование в федеральные органы исполнительной власти по надзору в сфере транспорта, по экологическому, технологическому и атомному надзору, в области безопасности, обороны, иностранных дел, в сфере таможенного дела и по надзору в сфере природопользования, а также в органы исполнительной власти субъекта Российской Федерации, на территории которого планируется осуществление деятельности (далее - согласующие органы) копии полученных документов.
8.9. При получении от согласующих органов информации о согласовании выдачи Разрешения Россвязьнадзор в семидневный срок оформляет Разрешение (приложение N 2).
8.10. Направление оригинала Разрешения почтовым отправлением осуществляется Россвязьнадзором на почтовый адрес, указанный в заявлении (при его наличии), либо на адрес места нахождения (места жительства).
Вручение оригинала Разрешения заявителю либо его представителю осуществляется Россвязьнадзором при наличии у указанных лиц документов, подтверждающих их полномочия.
При вручении оригинала Разрешения оформляется расписка о получении.
8.11. Причинами отказа в выдаче Разрешения являются:
отказ в согласовании, полученный хотя бы от одного из согласующих органов;
осуществление деятельности и функционирование линии связи наносит вред здоровью населения, окружающей среде, экологической и иной безопасности Российской Федерации и сопредельных с ней иностранных государств или содержит угрозу нанесения такого ущерба;
осуществление деятельности и функционирование линии связи создают помехи содержанию государственной границы Российской Федерации и выполнению задач пограничными органами и пограничными войсками, безопасности мореплавания и полетов воздушных судов, хозяйственно-экономической деятельности, эксплуатации и ремонту инженерных сооружений, включая ранее построенные линии связи;
осуществление деятельности и функционирование линии связи оказывает дестабилизирующее воздействие на целостность, устойчивость функционирования и безопасность единой сети электросвязи Российской Федерации.
8.12. Разрешение является именным документом и дает их владельцам право на осуществление соответствующего вида деятельности.
8.13. Срок действия Разрешения определяется датами, указанным заявителем в заявлении и согласованным с уполномоченными и согласующими органами.
8.14. Передача разрешения другим лицам не допускается.
8.15. По письменному заявлению владельца Разрешения на строительство линии связи об изменении сроков проведения работ, Россвязьнадзор в 10-дневный срок принимает решение об изменении сроков действия Разрешения.
8.16. Выдача дубликата Разрешения осуществляется Россвязьнадзором на основании письменного заявления владельца Разрешения с указанием номера Разрешения, дубликат которого требуется выдать.
8.17. Изготовление дубликата Разрешения осуществляется должностным лицом Россвязьнадзора, ответственным за делопроизводство (далее - ответственный за корреспонденцию), путем снятия копии с контрольного экземпляра соответствующего Разрешения.
8.18. Дубликат разрешения направляется заявителю почтовым отправлением не позднее 15 дней с момента регистрации заявления о выдаче такого дубликата в системе делопроизводства Россвязьнадзора.
9. Предоставление информации из Реестра.
9.1. Информация из Реестра предоставляется при получении обращений:
по телефону;
в письменной форме;
с использованием средств Сайта.
9.2. Информация из Реестра предоставляется при наличии в обращении хотя бы одного из следующих реквизитов:
наименование юридического лица (фамилия, имя, отчество гражданина) - владельца Разрешения;
место нахождения юридического лица (место жительства гражданина) - владельца Разрешения;
номер конкретного Разрешения.
9.3. Основанием для отказа в предоставлении информации из Реестра является невозможность по указанным параметрам точно идентифицировать Разрешение или его владельца.
9.4. Использование средств Сайта осуществляется путем запроса информации, размещенной на Сайте в разделе "Реестры".
10. Иностранные заявители представляют документы, по дипломатическим каналам.
11. Уведомление об отказе в рассмотрении заявления или в выдаче Разрешения, приостановлении действия и возобновлении действия Разрешения, а также об аннулировании Разрешения направляется иностранному заявителю по дипломатическим каналам.
12. Решения Россвязьнадзора, принятые в рамках предоставления государственной услуги по рассмотрению заявлений, выдаче Разрешений, приостановлении и возобновлении их действия могут быть обжалованы:
Министру информационных технологий и связи Российской Федерации;
в судебном порядке.
13. За рассмотрение заявлений и предоставление информации из Реестра плата не взимается.
14. Оформление и выдача Разрешения. Блок-схема административной процедуры приведена в приложении N 4.
14.1. Регистрация полученного заявления и присвоение ему входящего номера осуществляется ответственным за корреспонденцию не позднее дня, следующего за днем получения заявления.
При регистрации заявлению присваивается входящий номер.
14.2. В течение рабочего дня зарегистрированное заявление направляется в структурное подразделение Россвязьнадзора.
14.3. Начальник (замещающее его должностное лицо) структурного подразделения назначает сотрудника, в обязанности которого входит рассмотрение заявления (далее - эксперт).
Фамилия эксперта, ответственного за рассмотрение заявления фиксируется в базе данных Единой информационной системы Россвязьнадзора (далее - база данных ЕИС).
14.4. Экспертом на основании информации, содержащейся в заявлении и приложенных документах, а также входящего номера, присвоенного в системе делопроизводства, осуществляется ввод начальных данных о заявителе в подсистему ведения базы данных ЕИС.
В базу данных ЕИС вносятся следующие данные:
наименование (фирменное наименование), организационно-правовая форма, место нахождения - для юридических лиц;
фамилия, имя и отчество, место жительства - для граждан;
ИНН заявителя (при наличии);
вид деятельности;
место и предполагаемые сроки проведения работ;
почтовый адрес для переписки, контактные телефоны;
фамилия, имя, отчество лица, подписавшего заявление;
входящий номер и дата регистрации заявления в системе делопроизводства Россвязьнадзора.
14.5. Экспертом осуществляется проверка представленных документов. Срок проверки не должен превышать 10 дней с момента регистрации заявления.
14.5.1. Если экспертом установлено, что заявителем предоставлены не все необходимые документы, или в представленных документах обнаружена недостоверная или искаженная информация, эксперт готовит проект уведомления об отказе в рассмотрении заявления на выдачу Разрешения.
В уведомлении указывается основание для отказа и к нему прилагаются все экземпляры представленных заявителем документов.
Уведомление подписывается заместителем руководителя (начальником структурного подразделения) Россвязьнадзора и направляется почтовым отправлением (с уведомлением о вручении) лицом, ответственным за корреспонденцию.
Срок отправления уведомления об отказе в рассмотрении заявления на выдачу Разрешения - не позднее трех дней после его подписания.
14.5.2. После направления уведомления заявителю информация об этом вносится экспертом в базу данных ЕИС.
14.5.3. В случае если представленные заявителем документы соответствуют установленным требованиям, эксперт готовит сопроводительные письма в согласующие органы с приложением одного экземпляра документов.
Сопроводительные письма подписываются Руководителем Россвязьнадзора либо лицом, его замещающим, и направляются почтовым отправлением (с уведомлением о вручении) лицом, ответственным за корреспонденцию в структурном подразделении Россвязьнадзора, отвечающем за делопроизводство.
Срок отправления документов - не позднее трех дней после их подписания. Информация о направлении документов в согласующие органы вносится экспертом в базу данных ЕИС.
14.6. После получения ответов от согласующих органов результаты рассмотрения ими заявлений вносятся экспертом в базу данных ЕИС.
14.6.1. При получении хотя бы от одного согласующего органа отказа в согласовании, эксперт готовит проект уведомления заявителю об отказе в выдаче Разрешения.
В уведомлении указываются причины отказа в выдаче Разрешения. К уведомлению прилагаются все экземпляры направленных заявителем документов.
Уведомление подписывается заместителем руководителя (начальником структурного подразделения) Россвязьнадзора и направляется почтовым отправлением (с уведомлением о вручении) лицом, ответственным за корреспонденцию в структурном подразделении Россвязьнадзора, отвечающем за делопроизводство.
Срок отправления уведомления - не позднее трех дней после его подписания.
После направления уведомления заявителю об отказе в выдаче Разрешения информация об этом вносится экспертом в базу данных ЕИС.
Согласующие органы информируются Россвязьнадзором об отказе в выдаче Разрешения заявителю.
14.6.2. При получении от всех согласующих органов информации о согласовании в выдачи Разрешения, эксперт в семидневный срок с момента получения последнего согласования оформляет Разрешение.
Разрешение оформляется экспертом в одном экземпляре по форме приведенной в приложении N 2 настоящего Регламента.
На титульном листе Разрешения указываются данные:
1) номер Разрешения;
2) сведения о владельце Разрешения:
наименование (фамилия, имя, отчество для физических лиц) владельца Разрешения;
место нахождения (место жительства для физических лиц) владельца Разрешения;
3) вид деятельности;
4) наименование линии связи и проекта, на основании которого осуществляется деятельность;
5) место проведения работ;
6) дата начала и окончания работ;
7) другие условия Разрешения.
14.6.3. При получении от согласующих органов информации о согласовании выдачи Разрешения при выполнении заявителем определенных условий, эксперт вносит их в Разрешение в раздел "другие условия".
14.6.4. Разрешение подписывается Руководителем (заместителем руководителя) Россвязьнадзора и заверяется печатью Россвязьнадзора.
Срок отправления Разрешения - не позднее трех дней после его подписания.
14.7. С оригинала Разрешения ответственным за корреспонденцию структурного подразделения Россвязьнадзора, отвечающего за делопроизводство, изготавливается его контрольный экземпляр путем снятия копии.
Контрольный экземпляр Разрешения с экземпляром направленных заявителем документов хранятся в системе делопроизводства Россвязьнадзора.
14.8. Реквизиты Разрешения вносятся в базу данных ЕИС.
14.9. Согласующие органы информируются Россвязьнадзором о выдаче Разрешения.
14.10. Направление оригинала Разрешения почтовым отправлением осуществляется лицом, ответственным за корреспонденцию в структурном подразделении Россвязьнадзора.
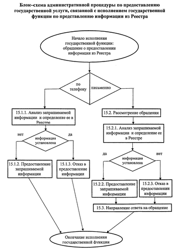
15. Представление информации из Реестра. Блок-схема административной процедуры приведена в приложении N 5.
15.1. При поступлении обращения по телефону эксперт:
15.1.1. Анализирует запрашиваемую информацию и определяет ее в Реестре.
15.1.2. Устно сообщает информацию обратившемуся лицу.
15.1.3. Основание для отказа в предоставлении информации из Реестра указано в пункте 7.3 настоящего Регламента.
По-видимому, в тексте предыдущего абзаца допущена опечатка. Имеется в виду пункт 9.3 настоящего Регламента
15.2. При рассмотрении обращения, поступившего в письменной форме, эксперт:
15.2.1. Анализирует запрашиваемую информацию и определяет ее в Реестре.
15.2.2. Готовит проект ответа на запрос.
15.2.3. Основание для отказа в предоставлении информации из Реестра указано в пункте 9.3 настоящего Регламента.
15.3. Срок подготовки ответа не должен превышать 15 дней со дня получения обращения.
Ответ подписывается заместителем руководителя (начальником структурного подразделения) Россвязьнадзора и направляется почтовым отправлением.
16. Формирование Реестра и публикация информации из Реестра. Блок-схема административной процедуры приведена в приложении N 6.
16.1. Формирование и ведение Реестра осуществляется экспертом в электронном виде. Реестр является подсистемой ЕИС.
16.2. В Реестр вносятся сведения о:
16.2.1. Выданных Разрешениях;
16.2.2. Принятых решениях по выданным Разрешениям.
16.3. Реестр состоит из следующих разделов (приложение N 10):
I. Выданные и аннулированные разрешения на строительство сухопутных линий связи при пересечении государственной границы Российской Федерации и на приграничной территории;
II. Выданные и аннулированные разрешения на реконструкцию сухопутных линий связи при пересечении государственной границы Российской Федерации и на приграничной территории;
III. Выданные и аннулированные разрешения на проведение изыскательских работ для проектирования сухопутных линий связи при пересечении государственной границы Российской Федерации и на приграничной территории;
IV. Выданные и аннулированные разрешения на ликвидацию сухопутных линий связи при пересечении государственной границы Российской Федерации и на приграничной территории.
16.4. Экспертом в соответствующий раздел Реестра вносятся следующие сведения:
номер записи;
номер Разрешения;
данные о владельце Разрешения (наименование, организационно-правовая форма, место нахождения - для юридических лиц и объединений юридических лиц; фамилия, имя, отчество, место жительства, данные документа, удостоверяющие личность - для физических лиц);
место проведения работ;
дата начала работ;
дата окончания работ;
сведения о приостановлении действия Разрешения;
сведения о возобновлении действия Разрешения;
сведения об аннулировании Разрешения.
16.5. Публикация информации из Реестра, за исключением информации, носящей конфиденциальный характер, осуществляется в электронном виде на Сайте в разделе "Реестры".
16.6. На основании принятых решений уполномоченные должностные лица осуществляют размещение соответствующей информации.
Сведения, указанные в пункте 16.3 настоящего Регламента, публикуются в срок, не превышающий 10 дней с момента принятия таких решений.
17. Приостановление действия Разрешения. Блок-схема административной процедуры приведена в приложении N 7.
17.1. В случае осуществления деятельности с нарушением законодательства Российской Федерации, международных договоров Российской Федерации, Положения о строительстве и эксплуатации линий связи, а также условий соответствующего Разрешения, Россвязьнадзор приостанавливает его действие.
17.2. Информация о выявлении нарушений поступает от согласующих органов или от территориального органа Россвязьнадзора.
17.3. Экспертом на основании информации, содержащейся в обращении и приложенных документах, проверяется обоснованность оснований приостановления действия Разрешении и готовится проект решения о приостановлении действия Разрешения со сроком устранения нарушения.
17.4. Решение о приостановлении действия Разрешения принимается Руководителем либо лицом его замещающим.
17.5. После принятия решения о приостановлении действия Разрешения экспертом готовятся проекты писем. Письма направляются:
17.5.1. Владельцу Разрешения с уведомлением о принятом решении и в территориальный орган Россвязьнадзора за подписью заместителя руководителя (начальника структурного подразделения) Россвязьнадзора;
17.5.2. В согласующие органы за подписью Руководителя Россвязьнадзора, либо лица его замещающего.
17.6. Решение о приостановлении действия Разрешения вносится экспертом в базу данных ЕИС и в Реестр.
18. Возобновление действия Разрешения. Блок-схема административной процедуры приведена в приложении N 8.
18.1. При получении подтверждения от согласующих органов или территориального органа Россвязьнадзора об устранении в установленный срок выявленных нарушений, послуживших основанием для приостановления действия Разрешения, действие Разрешения возобновляется.
18.2. Экспертом готовится проект решения о возобновлении действия Разрешения.
18.3. Решение о возобновлении действия Разрешения принимается Руководителем либо лицом его замещающим.
18.4. После принятия решения о возобновлении действия Разрешения экспертом готовятся проекты писем. Письма направляются:
18.4.1. Владельцу Разрешения с уведомлением о принятом решении и в территориальный орган Россвязьнадзора за подписью заместителя руководителя (начальника структурного подразделения) Россвязьнадзора;
18.4.2. В согласующие органы за подписью Руководителя Россвязьнадзора, либо лица его замещающего.
18.5. Решение о возобновлении действия Разрешения вносится экспертом в базу данных ЕИС и в Реестр.
19. Аннулирование Разрешения. Блок-схема административной процедуры приведена в приложении N 9.
19.1. При отсутствии информации от согласующих органов или территориального органа Россвязьнадзора об устранении в установленный срок выявленных нарушений, послуживших основанием для приостановления действия Разрешения, Разрешение аннулируется.
19.2. Экспертом готовится проект решения об аннулировании Разрешения.
19.3. Решение об аннулировании Разрешения принимается Руководителем либо лицом его замещающим.
19.4. После принятия решения об аннулировании Разрешения экспертом готовятся проекты писем. Письма направляются:
19.4.1. Владельцу Разрешения с уведомлением о принятом решении и в территориальный орган Россвязьнадзора за подписью заместителя руководителя (начальника структурного подразделения) Россвязьнадзора;
19.4.2. В согласующие органы за подписью Руководителя Россвязьнадзора, либо лица его замещающего.
19.5. Решение об аннулировании Разрешения вносится в базу данных ЕИС и в Реестр.
Образец заявления о выдаче разрешения на
проведение изыскательских работ
|
|
|
|
Заявление |
|
|
|
1. Заявитель: __________________________________________________________________ |
|
Место нахождения |
|
(место жительства): ____________________________________________________________ |
|
Почтовый адрес: ______________________________________________________________ |
|
(адрес для переписки) |
|
ИНН (КПП): ________________________ Телефон: ______________ Факс: ______________ |
|
|
|
2. Вид деятельности, которую предполагается осуществлять: ___________________________ |
|
_____________________________________________________________________________ |
|
3. Цели и назначения линии связи, которую планируется строить или ликвидировать: _______ |
|
_____________________________________________________________________________ |
|
4. Сведения о предполагаемой трассе линии связи и географические координаты района (для |
|
проведения изыскательных работ): ________________________________________________ |
|
_____________________________________________________________________________ |
|
5. Сведения об операторе связи, в состав сети которого входит строящаяся линия связи, и об организации, которая будет непосредственно осуществлять эксплуатацию этой линии (для строительства и реконструкции). _________________________________________________ |
|
_____________________________________________________________________________ |
|
6. Дата начала работ ____________________________ |
|
7. Дата окончания работ _________________________ |
|
8. Приложение* |
|
______________________________ ______________________________________________ |
|
(должность) (подпись и Ф.И.О. полностью) |
|
|
|
МП |
|
|
|
* К заявлению прилагаются: документы перечисленные в пунктах 8.4.1 - 8.4.3 Регламента в 9 экземплярах |
Образец бланка разрешения на строительство,
реконструкцию, проведение
|
|
|
|
Бланк Россвязьнадзора |
|
|
|
РАЗРЕШЕНИЕ |
|
__________________ Москва N ________________ |
|
|
|
1. Выдано ____________________________________________________________________ |
|
2. Место нахождения |
|
(место жительства) _____________________________________________________________ |
|
3. Вид деятельности ____________________________________________________________ |
|
4. Наименование линии связи ____________________________________________________ |
|
5. Наименование проекта, на основании которого осуществляется деятельность ___________ |
|
_____________________________________________________________________________ |
|
6. Место проведения работ ______________________________________________________ |
|
7. Дата начала работ ____________________________________________________________ |
|
8. Дата окончания работ ________________________________________________________ |
|
9. Другие условия разрешения ___________________________________________________ |
|
|
|
______________________________ ______________________________________________ |
|
(должность) (подпись и Ф.И.О. полностью) |
|
|
|
МП |

"Условные обозначения на блок-схемах последовательности действий при исполнении государственной функции по выдаче разрешений"
Используемые сокращения
Заявитель - юридическое лицо или индивидуальный предприниматель, обратившийся за получением Разрешения
Разрешение - разрешение на проведение соответствующего вида работ (на строительство, реконструкцию, проведение изыскательских работ для проектирования и ликвидацию сухопутных линий связи при пересечении государственной границы Российской Федерации и на приграничной территории)
ЕИС - Единая информационная система Россвязьнадзора

"Блок-схема административной процедуры по предоставлению государственной услуги, связанной с исполнением государственной функции по оформлению и выдаче разрешения"

"Блок-схема административной процедуры по предоставлению государственной услуги, связанной с исполнением государственной функции по оформлению и выдаче разрешения (продолжение)"

"Блок-схема административной процедуры по предоставлению государственной услуги, связанной с исполнением государственной функции по представлению информации из Реестра"

"Блок-схема административной процедуры по формированию Реестра и публикации информации из Реестра"

"Блок-схема административной процедуры по приостановлению действия Разрешения"

"Блок-схема административной процедуры по возобновлению действия Разрешения"

"Блок-схема административной процедуры по аннулированию Разрешения"
|
Номер записи |
Номер разрешения |
Сведения о владельце разрешения (наименование, организационно-правовая форма, место нахождения - для юридических лиц и объединений юридических лиц, фамилия, имя, отчество, место жительства, данные документа, удостоверяющие личность – для физических лиц) |
Место проведения работ |
Дата начала работ |
Дата окончания работ |
Сведения о приостановлении действия разрешения |
Сведения о возобновлении действия разрешения |
Сведения об аннулировании разрешения |
|
I. Выданные и аннулированные разрешения на строительство сухопутных линий связи при пересечении государственной границы Российской Федерации и на приграничной территории |
||||||||
|
|
|
|
|
|
|
|
|
|
|
II. Выданные и аннулированные разрешения на реконструкцию сухопутных линий связи при пересечении государственной границы Российской Федерации и на приграничной территории |
||||||||
|
|
|
|
|
|
|
|
|
|
|
III. Выданные и аннулированные разрешения на проведение изыскательских работ для проектирования сухопутных линий связи при пересечении государственной границы Российской Федерации и на приграничной территории |
||||||||
|
|
|
|
|
|
|
|
|
|
|
IV. Выданные и аннулированные разрешения на ликвидацию сухопутных линий связи при пересечении государственной границы Российской Федерации и на приграничной территории |
||||||||
|
|
|
|
|
|
|
|
|
|
|
ГОСТЫ, СТРОИТЕЛЬНЫЕ и ТЕХНИЧЕСКИЕ НОРМАТИВЫ. Некоммерческая онлайн система, содержащая все Российские Госты, национальные Стандарты и нормативы. В Системе содержится более 150000 файлов нормативно-технической документации, действующей на территории РФ. Система предназначена для широкого круга инженерно-технических специалистов. Copyright © www.gostrf.com, 2008 - 2026 |