Крупнейшая бесплатная информационно-справочная система онлайн доступа к полному собранию технических нормативно-правовых актов РФ. Огромная база технических нормативов (более 150 тысяч документов) и полное собрание национальных стандартов, аутентичное официальной базе Госстандарта. GOSTRF.com - это более 1 Терабайта бесплатной технической информации для всех пользователей интернета. Все электронные копии представленных здесь документов могут распространяться без каких-либо ограничений. Поощряется распространение информации с этого сайта на любых других ресурсах. Каждый человек имеет право на неограниченный доступ к этим документам! Каждый человек имеет право на знание требований, изложенных в данных нормативно-правовых актах!

  


 

ИНВЕСТИЦИОННО-СТРОИТЕЛЬНАЯ СФЕРА

Тарифы оплаты трупа в строительстве

Содержание

1. Тарифное нормирование оплаты труда в строительстве

Основной задачей тарифного нормирования оплаты труда является установление оптимальных пропорций между мерой труда и мерой потребления. Тарифное нормирование обслуживает тарифную систему, представляющую собой совокупность правил и нормативов, обеспечивающих планирования фонда оплаты труда в сметах и дифференцирование заработной платы рабочих в подрядных организациях, в зависимости от качества и условий труда.

Учет количества труда имеет целью отразить в заработной плате продолжительность труда во времени, а также интенсивность и напряженность труда в единицу времени. Количество труда учитывается посредством технического нормирования, предполагающего применение норм времени, норм выработки, норм обслуживания, от уровня выполнения которых, т.е. от степени интенсивности труда, зависит размер оплаты.

Учет качества труда отражает его сложность и квалификацию работника, условия, в которых осуществляется трудовой процесс, в том числе тяжесть и вредность для здоровья. Учет качества труда, или качественных различий в труде, имеет своей конечной целью обеспечение равной оплаты за равный труд независимо от специфики содержания конкретных видов труда. Эта цель достигается с помощью тарифной системы как инструмента регулирования заработной платы на производственном и других уровнях управления персоналом.

Одним из основополагающих принципов организации оплаты труда является ее дифференциация, т.е. установление необходимых различий в заработной плате работников, определяемых посредством учета количества и качества затраченного труда, эффективности и результатов трудовой деятельности.

Тарифная система обеспечивает дифференцированную оплату труда работников в зависимости от следующих критериев: сложность выполняемой работы; условия труда; интенсивность труда; ответственности и значимости выполняемой работы; природно-климатических условий выполнения работы.

Тарифная система представляет собой совокупность нормативных документов, с помощью которых осуществляется регулирование оплаты по различным направлениям: по категориям работников (рабочие, служащие, руководители, специалисты, технические исполнители); по профессиональным и квалификационным группам; по отраслям, подотраслям, производствам и видам деятельности; по уровням сложности и условий труда; по территориальным районам страны.

Тарифная система включает основные элементы, с помощью которых формируются тарифные условия оплаты труда работников предприятий и организаций: тарифные сетки; тарифные ставки (ставки оплаты труда); тарифно-квалификационные справочники; должностные оклады; квалификационный справочник должностей служащих; а также коэффициенты районного регулирования заработной платы работников бюджетных отраслей.

Тарифная сетка представляет собой шкалу, состоящую из определенного числа тарифных категорий, соответствующих им тарифных ставок и тарифных коэффициентов. Она характеризуется диапазоном тарифных коэффициентов - отношение тарифных ставок крайних категорий и тарифными коэффициентами - соотношением тарифных ставок всех категорий тарифной сетки, приведенных к низшей категории или к среднему уровню.

Тарифная ставка - удельная заработная плата рабочего, которая полагается ему за выполнение установленных производственных заданий на работах, соответствующих его квалификации. В строительстве были установлены единые часовые тарифные ставки для рабочих-сдельщиков и рабочих-повременщиков.

Единый тарифно-квалификационный справочник работ и рабочих профессий (ЕТКС) - это систематизированный перечень работ и профессий рабочих, предназначенный для тарификации труда, включая тарификацию работ и тарификацию рабочих.

Тарификация работ определяет соответствие работы профессиям и квалификации рабочих и отнесение ее к соответствующей группе оплаты в зависимости от ее сложности, характера, условий труда и особенностей данного производства, в которых она протекает.

Тарификация рабочих - это присвоение рабочим каждой специальности определенного тарифного (квалификационного) разряда, соответствующего имеющейся у них квалификации.

В систему дифференцирования оплаты труда на предприятиях входят различного рода доплаты и надбавки, в том числе компенсирующие дополнительные трудозатраты работников в условиях, отклоняющихся от нормальных, а также учитывающие повышенную интенсивность труда, доплаты за работу в ночное время, в выходные и праздничные дни, надбавки, связанные с особым характером выполняемой работы, за выслугу лет (непрерывный стаж работы), надбавки лицам, имеющим ученые степени, звания, особые заслуги, и др.

Тарифная часть заработной платы работника сегодня в строительстве составляет 60-70 % от номинальной (начисленной) заработной платы. При определении остальной суммы заработной платы на предприятиях (премиальные, компенсационные и прочие выплаты) методы тарифного нормирования применяются в незначительном объеме и рассчитываются по другим основаниям.

Вид, системы оплаты труда, размеры тарифных ставок, окладов, премий, иных поощрительных выплат, а также соотношение в их размерах между отдельными категориями персонала конкретных предприятий (подрядных строительных организаций) государством не регулируется, определяются ими самостоятельно и фиксируются в коллективных договорах.

Система тарифного нормирования в строительстве объединяет все уровни управления оплатой труда в строительстве:

определение договорного (сметного) размера средств на оплату труда по объекту (строительному проекту);

- формирование фонда оплаты труда работников строительной организации на годовую программу подрядных работ (на плановый период);

- дифференцирование и организация заработной платы в подрядной организации по работникам (специальностям и квалификации), по периодам и объектам.

Начальное планирование заработной платы осуществляется в сметных расчетах по объектам строительства на основе сметных тарифов и общих затрат труда рабочих по проекту:

см = Тсм × 3раб

где: см - заработная плата рабочих в сметной стоимости строительства объекта, рублей;

Тсм - средняя (сметная) тарифная ставка оплаты труда рабочих в сметном расчете по конкретному объекту, руб./ч.-час;

3раб - затраты труда рабочих по сметному расчету, ч.-час. В настоящее время, трудозатраты по смете определяются в обобщенном виде, без деления по специальностям и квалификации рабочих

Целью сметного планирования стоимости строительства является формирование полного фонда оплаты труда по строительному проекту, а тарифное нормирование в производственных условиях обеспечивает дифференцирование заработной платы рабочих в подрядных строительных организациях.

Принципы непрерывного планирования и соответствия функций управления в строительстве увязывают эти задачи в единую систему посредством тарифных ставок оплаты труда рабочих-строителей. Правило единства функций управления предусматривает, что фактические затраты, отнесенные на оплату труда, должны быть равны (или близки) к запланированным объемам средств на эти цели.

Административно-командные положения тарифного нормирования сохранены Госстроем РФ в Методических положениях по определению размера средств на оплату труда (МДС 83-1.99). Рекомендуемая Госстроем РФ сметная система основана на привязке сметных тарифов оплаты труда к уровню прожиточного минимума (уровне бедности) и к единой для всех строительных рабочих тарифной сетке 1986 г. (постановление № 115 ЦК КПСС, СМ СССР, ВЦСПС от 17.09.86 № 1115 «О совершенствовании организации заработной платы и введении новых тарифных ставок и должностных окладов»). До сих пор советская тарифная система оплаты труда в строительстве осталась без изменения, сохранился диапазон тарифной сетки, тарифные коэффициенты и разрядная классификация.

Такое положение не только не отвечает задачам рыночного ценообразования, но и его применение на практике привело к серьезным негативным последствиям в развитии строительного комплекса страны, основным из которых являются значительные отклонения планируемой в сметах и фактической заработной платы рабочих в реальном строительстве. В результате внедрения административных рекомендаций в строительном комплексе часть заработной платы ушла в теневую, полукриминальную область экономики, потеряно доверия к сметным расчетам и усилилось коррупционное давление в отрасли.

Проблемы тарифного нормирования следует рассматривать в единой системе оплаты труда но раздельно по двум уровням: дифференцирование заработной платы на предприятии и сметное планирования фонда оплаты труда в договорах подрядного строительства.

На предприятиях тарифные системы устанавливаются в самой организации исходя из собственных интересов, мотиваций и возможностей. При этом используются общие научно-методические принципы и правила построения тарифных сеток, а также общеотраслевые и федеральные условия и ограничения по классификации работ и рабочих специальностей.

В сметном нормировании тарифные ставки оплаты труда определяются договором сторон, а методы определения договорного уровня ставок должны учитывать как возможности заказчика, так и потребности подрядчика, т.е. должны использоваться современная методика мониторинга регионального рынка рабочей силы.

2. Тарифные сетки оплаты труда рабочих-строителей

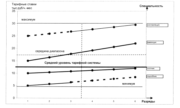
Тарифное нормирование выделяет следующие факторы влияния (в порядке приоритетов) при построении тарифной системы оплаты труда: средний уровень заработной платы в системе (абсолютное значение); структура диапазона тарифных ставок работников отрасли; ранжирование ставок по профессиональному составу рабочих; дифференцирование ставок каждой специальности по квалификационным разрядам.

На диаграмме 1 показаны основные характеристики тарифной системы: средний уровень и диапазон тарифных ставок; соотношение заработной платы по специальностям и разрядам. Все показатели увязаны в общую систему тарифного нормирования оплаты труда в строительстве, используемую как для целей планирования заработной платы в сметной стоимости, так и для распределения затрат на оплату труда по исполнителям в подрядной организации.

Дифференцирование заработной платы на предприятиях производится в порядке установленном в справочнике (ЕТКС) - сначала, рабочие разделяются по специальностям и профессиям, а затем, внутри каждой специальности - по квалификационным разрядам. Тарифная система оплаты труда на предприятиях строительной отрасли включает вертикальную тарифную сетку, организующую дифференцирование оплаты труда по рабочим специальностям, и горизонтальную тарифную сетку, уточняющую уровень оплаты труда специалистов по квалификационным разрядам.

В рыночных условиях строительство определяется как деятельность гражданско-правового характера, где единственно законным и легитимным основаниям для определения стоимости будущего строительства является согласованные сторонами положения и правила, закрепленные в договоре. В системе рыночных отношений условиях соглашение между заказчиком и подрядчиком о величине средней заработной платы для конкретного проекта (договорные тарифные ставки) являются необходимым и достаточным условием для решения основных сметных (плановых) и производственных проблем оплаты труда рабочих и служащих в строительстве данного объекта.

Диаграмма 1

Факторы влияния и приоритеты тарифной системы оплаты труда

Главным фактором влияния на уровень заработной платы является средний уровень тарифной системы. По значению абсолютной величины средней тарифной ставки (или средней заработной платы) можно, с одной стороны, определить сметную сумму оплаты труда рабочих по проекту, с другой стороны, расчетные характеристики (тарифные коэффициенты) позволяют получить однозначные значения плановой заработной платы для работников любой специальности и квалификационного разряда в пределах установленной тарифной системы.

Следующим по влиянию на уровень заработной платы любого работника в строительстве оказывает форма и структура диапазона тарифной системы. Важнейшим параметром этого уровня влияния является определение соотношения между средним уровнем тарифов и пограничным показателями - минимальной и максимальной заработной платой.

Градация заработной платы по рабочим специальностям, профессиям и должностям, в сегодняшних условиях, является основным параметром тарифной системы оплаты труда наиболее всего поверженным рыночному влиянию. Оценить труд работников разных специальностей возможно только на основе сравнения необходимости и полезности их труда на рынке рабочей силы. Это обстоятельство предопределяет обязательное проведение полноценного рыночного мониторинга заработной платы по профессиям работников.

Наименьшее влияние на уровень заработной платы в тарифной системе оказывает дифференцирование оплаты труда по квалификационным разрядам. Возможности разрядной сетки в изменении уровня оплаты труда незначительны, находится в пределах стоимости труда по одной специальности и практически не влияют на сумму заработной платы по объекту строительства в целом.

Однако в настоящее время разрядные тарифные ставки являются основной категорией при определении как размера оплаты труда в сметных расчетах стоимости строительства, так и в организации заработной платы в подрядной деятельности.

Традиционная модель тарифной системы, действующая до настоящего времени, устанавливает единую для всех профессий рабочих в строительстве разрядную сетку оплаты труда с диапазоном равным 1,8 (отношение максимальной и минимальной ставок).

Такой диапазон в оплате труда определяет эгалитарную модель дифференциации доходов населения, которая применятся в административно-командной системе государственного управления, и приводит к «уравниловке» в заработной плате, не стимулируя развитие экономики страны. Умеренная (рыночная) модель предполагает диапазон доходов населения в размере (6-8): 1, что можно рассматривать в качестве ориентира при определении диапазона современной тарифной системы оплаты труда в строительстве.

В плановой экономике были установлены единые для всех отраслей народного хозяйства тарифные сетки оплаты труда. Тарифная система оплаты труда, указанная в постановлении ЦК КПСС, СМ СССР, ВЦСПС от 17.09.86 № 1115, действует и в настоящее время без изменения. В сметных расценках Госстроя РФ ФЕР-2001 и ТЕР-2001 тарифы оплаты труда рабочих-строителей приняты по данным этого постановления, в котором диапазон коэффициентов дифференцирования заработной платы равняется - 1,8.

Сегодня в стране применяются тарифные сетки с большим количеством разрядов, например, 18-и разрядная Единая тарифно-квалификационная сетка для бюджетных организаций. Такие тарифные сетки объединяют в общую систему заработную плату рабочих, служащих, специалистов и руководителей. Такая система пригодна для централизованного распределения и управления заработной платой, но не допустима и не возможна в рыночных отношениях гражданско-правового характера, для подрядной деятельности в строительстве, хотя Госстрой РФ в МДС 83-1.99 настойчиво рекомендовал 18-и разрядную сетку для строительства.

Идея унификации тарифов оплаты труда для бюджетной сферы и для гражданско-правовых отношений на предприятиях свободного предпринимательства по стране в целом не нова и возвращает строительный комплекс к системе административно-командного управления, не соответствует рыночной экономики и прямо противоречит Конституции, Гражданскому и Трудовому законодательству.

Оптимальное количество разрядов в тарифной сетке, проверенное на практике в сегодняшних условиях и обеспеченное нормативной инфраструктурой, составляет 6-8 разрядов, традиционно принятых в строительстве.

При разработке фирменных условий оплаты труда предприятия вправе сохранять ранее разработанные и действующие межразрядные соотношения тарифных ставок в 6-и разрядной тарифной сетке (таблица 1) или принимать любые другие тарифные условия оплаты труда.

Таблица 1

Тарифные разрядные сетки сметно-нормативных баз в строительстве

Показатели нормативных баз

Квалификационные разряды

I

II

III

IV

V

VI

1984г.

(ЕРЕР-84)

Тарифные ставки (руб./ч.-час)

0,438

0,493

0,555

0,625

0,702

0,79

Тарифные коэффициенты

1,000

1,126

1,267

1,427

1,603

1,804

1991г.

(СНиР-91)

Тарифные ставки (руб./ч.-час)

0,59

0,64

0,7

0,79

0,91

1,06

Тарифные коэффициенты

1,000

1,085

1,186

1,339

1,542

1,796

2000г.

(ФЕР-2001)

Тарифные ставки (руб./ч.-час)

7,19

7,8

8,53

9,63

11,09

12,91

Тарифные коэффициенты

1,000

1,085

1,186

1,339

1,542

1,796

Предприятия вправе самостоятельно устанавливать любые виды и системы оплаты труда, их дифференцирование по категориям работников и назначение поощрительных выплат в зависимости от целей производства, мотивации персонала и финансовых возможностей предприятия.

Проблема дифференцирования заработной платы на предприятии в значительной мере зависит от обоснованности применяемой тарифной системы и в первую очередь от тарифных коэффициентов.

Качество тарифных коэффициентов определяется задачами фирменной системы оплаты труда, мотивацией персонала и объективными условиями труда. Количество и абсолютные значения коэффициентов в тарифных сетках оплаты труда зависит от следующих параметров: диапазона коэффициентов тарифной сетки; количества тарифных разрядов в сетке; формы изменения коэффициентов в диапазоне.

Диапазон коэффициентов определяется как отношение между максимальной и минимальной ставкой оплаты труда в принятой на предприятии тарифной системе. Как правило, минимальная ставка в виде коэффициента принимается за единицу, отсюда значение диапазона равно максимальному коэффициенту в тарифной сетке.

Диапазон коэффициентов тарифной сетки в основном устанавливает степень дифференциации заработной платы между работниками одной специальности (или группы профессий) на предприятии. Возможно и установление для всех рабочих специальностей единой тарифной сетки с общим диапазоном тарифных коэффициентов.

Величины абсолютного и относительного возрастания тарифных коэффициентов приводятся в тарифной сетке в целях анализа ее внутренней структуры. При этом относительное возрастание каждого последующего тарифного коэффициента по сравнению с предыдущим показывает, на сколько процентов уровень оплаты работ (рабочих) данного разряда превышает уровень оплаты работ (рабочих) предшествующего разряда. Величина абсолютного и относительного возрастания тарифных коэффициентов имеет значение для обеспечения правильной дифференциации оплаты труда рабочих в зависимости от тарифно-квалификационного разряда выполняемых ими работ. Степень возрастания тарифных коэффициентов должна соответствовать степени повышения квалификационного уровня рабочих, отнесенных к вышестоящему разряду.

Количество разрядов в тарифной сетке определяет количество категорий (уровней) по оплате труда между максимальной и минимальной заработной платой на предприятии. Большое количество разрядов в производственной сетке (более 10) затрудняет продвижение специалиста по иерархии оплаты труда, причем ее рост по разрядам незначителен. Это снижает мотивацию работников в повышении квалификации и мастерства. Небольшое число разрядов (менее 4) также не стимулирует работника и затрудняет повышение квалификационного уровня.

Формы изменения коэффициентов в диапазоне зависит от задач, которые предприятие решает с помощью дифференцирования тарифных ставок и определяет типы тарифных сеток, различающиеся характером изменения тарифных коэффициентов от разряда к разряду.

Наиболее характерными и представительными являются следующие типы тарифных сеток:

с прогрессивным абсолютным и относительным возрастанием тарифных коэффициентов;

с постоянным абсолютным и регрессивным относительным возрастанием тарифных коэффициентов;

с регрессивным абсолютным и относительным возрастанием тарифных коэффициентов;

с прогрессивным абсолютным и постоянным относительным возрастанием тарифных коэффициентов;

Графическое представление изменения тарифных коэффициентов по вариантам тарифных сеток показано на диаграмме 2.

Анализ типовых форм тарифных сеток показывает на невозможность практического применения сеток типа [3]. Высокий прирост тарифных коэффициентов и, соответственно, тарифных ставок низших разрядов при снижении прироста заработной платы с достижением высшей квалификации не соответствует требованию постоянного повышения профессиональной подготовки персонала.

В практической деятельности фирменные тарифные сетки принимаются с характеристиками эпюры между кривыми [1] и [2]. Параметры тарифных коэффициентов [4] соответствует показателям тарифной сетки, принятой в сметно-нормативной базе строительства 1984г (постановление ЦК КПСС, СМ СССР, ВЦСПС от 26.12.68 № 1045), а параметры изменения коэффициентов [1] соответствуют тарифной сетки, принятой в сметно-нормативной базе строительства 1991-2001г. (постановление от 17.09.86 № 1115).

Диаграмма 2

Типы тарифных сеток с коэффициентами в зависимости от основных параметров системы

Наиболее просты и понятны в разработке и применении тарифные сетки типа [2] и [4], для которых приводим полную схему и формулы расчета параметров.

Тип 2 - линейная зависимость изменения тарифных коэффициентов. Равномерный и постоянный рост абсолютных значений тарифных коэффициентов. Значение тарифных коэффициентов по разрядам ρ) рассчитывается по формулам:

Кρ = 1 + А × (Р-1), А = Рмаксмин-1,

где: Кρ - тарифный коэффициент для разряда (р) в тарифной сетке;

Р - номер текущего разряда в тарифной сетке;

Рмин - номер минимального разряда (1);

Рмакс - номер максимального разряда в проектируемой тарифной сетке.

Тип 4 - экспоненциальная зависимость изменения тарифных коэффициентов. Равномерный относительный прирост значений коэффициентов. Затраты на прирост квалификации на каждый последующий тарифный разряд исчисляются по принципу сложных процентов (показательная функция). Тарифный коэффициент для каждого разряда (р) в тарифной сетке исчисляется по формулам:

Рассчитанные таким образом тарифные коэффициенты, для принятого диапазона - 1,8 в 6-и разрядной сетке, соответствуют коэффициентам, принятым в сметно-нормативной базе 1984г.:

 К6 = 1,1255 = 1,8; К5 = 1,6; К4 = 1,424; К3 = 1,266; К2 = 1,125; К1 = 1,00

Для практического применения тарифных сеток дифференцирования заработной платы на предприятиях важным показателем является понятие среднего разряда и средней тарифной ставки. На диаграмме 2 для середины диапазона в варианте [3] уровень квалификации соответствует третьему тарифному разряду, в варианте тарифной сетки [1] - четвертому разряду, а в тарифной сетке варианта [2] середина диапазона коэффициентов соответствует середине тарифной сетки (разряд = 3,5).

Таким образом, при сравнении различных тарифных систем и при формировании тарифных сеток для целей планирования заработной платы (сметные тарифные сетки), необходимо ориентироваться на середину диапазона, а не на среднюю тарифную ставку, как это ошибочно делается. Середина диапазона и средняя тарифная ставка (средний разряд) совпадают только в сетках с линейной зависимостью.

В производственных тарифных сетках не может быть разрядов с дробными показателями. Это противоречит понятию деления на категории и дискретному изменению и измерению уровня квалификации персонала.

В практической работе часто используются средние тарифные ставки оплаты труда, которые можно получить из тарифных коэффициентов проектируемых тарифных сеток с коэффициентами приведения. Коэффициент приведения принимается для среднего значение диапазона, а приведенная тарифная сетка для средних ставок оплаты труда рассчитывается делением тарифных коэффициентов на коэффициент приведения, рассчитанный как отношение тарифной ставки среднего тарификационного уровня строительных работ на тарифные ставки каждого разряда.

3. Тарифные ставки заработной платы рабочих

Тарифные ставки рабочих - это выраженный в денежной форме абсолютный размер оплаты труда различных групп и категорий рабочих в единицу времени за выполнение нормы труда (трудовых обязанностей). Тарифные ставки можно использовать в измерителях: месяц, смена, час. Соотношение между этими показателями следует принимать по календарным данным за текущий год или по усредненным данным за ряд последних лет в размере: 1 месяц = 21.6 смен = 167 час (для 40-часовой рабочей недели).

Размер заработной платы рабочих определяет именно тарифная ставка (у рабочих повременщиков - при определении размер оплаты за отработанное время, у рабочих-сдельщиков - при определении сдельных расценок).

Соотношение заработной платы рабочих разных специальностей (по минимальной или средней ставке) устанавливаются только на самом предприятии. Порядок формирования тарифных ставок оплаты труда по специальностям и квалификации в обязательном порядке закрепляется в коллективном договоре.

Тарифные ставки оплаты труда устанавливаются для всех категорий тарифной системы, принятой в организации: по специальностям - в профессиональной тарифной сетке и по квалификации - в разрядной тарифной сетке.

Формирование тарифных ставок заработной платы по специальностям, профессиям и должностям (вертикальное тарифное нормирование) является основным элементом дифференцирования оплаты труда работников в строительстве.

Тарифные коэффициенты вертикальной сетки оплаты труда - по профессиям, рассчитываются как отношение средней заработной платы на предприятии и средних ставок, принятых для рабочих соответствующих специальностей.

В таблице 2 приводится вариант системы тарифных коэффициентов и соответствующих ставок заработной платы по отдельным специальностям рабочих-строителей. Тарифная сетка по профессиям рабочих разработана по публичным данным вакансий рабочих мест в Санкт-Петербурге за 2006 год.

Таблица 2

Таблица фирменных тарифных коэффициентов и ставок по специальностям рабочих-строителей

Наименование рабочих специальностей

Тарифные коэффициенты

Заработная плата,

руб./мес.

Рабочие-строители - всего в среднем

1,00

12500

в том числе:

 

 

Арматурщик

1,13

14125

Асфальтобетонщик

1,55

19375

Бетонщик

1,08

13500

Гидроизолировщик

1,56

19500

Гипрочник

1,49

18625

Грузчик

0,73

9125

Маляр

0,97

12125

Монтажник внутренних санитарно-технических систем

1,24

15500

Монтажник наружных трубопроводов

1,18

14750

Монтажник по монтажу стальных и железобетонных конструкций

1,22

15250

Отделочник универсал

1,28

16000

Штукатур

1,32

16500

Электро и газосварщик

1,10

13750

Электромонтажник

1,10

13750

Электрослесарь строительный

0,83

10375

Средняя заработная плата рабочих-строителей по специальностям принимается (условно) для средней заработной платы 1-го рабочего-строителя в организации (зафиксированной в коллективном договоре) в размере 12.5 тыс. рублей в месяц. Средняя заработная плата рабочего-строителя включает выплаты из всех системных источников оплаты труда (без налогов) в организации на начало планового периода.

При наличии тарифной сетки по профессиям (вертикаль тарифных ставок) и установленной на любой момент времени средней (расчетной) ставки оплаты труда по организации, тарифные ставки по профессиям определяются автоматически перемножением средней ставки на тарифные коэффициенты.

Определение ставок оплаты труда по разрядам (горизонталь тарифных ставок) в фирменной тарифной системе состоит в умножении величины тарифной ставки (минимальной или средней) по профессии на соответствующие тарифные коэффициенты по квалификационным разрядам.

В таблице 3 рассчитаны текущие тарифные ставки заработной платы для разрядной системы сметной базы ГЭСН-2001 из расчета текущей средней заработной платы одного рабочего - 12.5 тыс. рублей в месяц.

Таблица 3

Тарифные ставки оплаты труда по разрядной сетке сметно-нормативной базы ГЭСН-2001

Показатели разрядной системы оплаты труда

Квалификационные разряды

I

II

III

IV

V

VI

Тарифные коэффициенты (к 1-му разряду)

1,000

1,085

1,186

1,339

1,542

1,796

Тарифные коэффициенты (к среднему, 4-му разряду)

0,75

0,78

0,85

1,00

1,1

1,28

Тарифные ставки (руб./ч.-час.)

56,14

58,38

63,62

74,85

82,34

95,81

Тарифные ставки (руб./ч.-мес.)

9400

9750

10600

12500

13750

16000

Тарифные ставки устанавливаются по каждому тарифно-квалификационному разряду в среднем для всех рабочих-строителей или индивидуально для каждой строительной специальности.

Размер тарифной ставки первого разряда не может быть ниже минимального размера оплаты труда, предусмотренного Федеральным законом.

На предприятиях любых форм собственности величина тарифных ставок оплаты труда дифференцированных по профессиям и разрядам зависит, прежде всего, от финансового состояния предприятия и устанавливается индивидуально в соответствии с принятыми тарифами в коллективном договоре или в контрактах с работниками.

4. Порядок разработки фирменных тарифных условий оплаты труда рабочих

Разработка тарифных условий оплаты труда на конкретном предприятии состоит их нескольких взаимосвязанных этапов:

1. Определение уровня средней заработной платы в подрядной организации за планируемый период;

2. Формирование тарифных коэффициентов по специальностям (вертикаль ставок оплаты труда);

3. Разработка сетки тарифных коэффициентов по категориям квалификации - разрядам (горизонталь ставок);

4. Расчет базовых тарифных ставок оплаты труда;

5. Поверка и контроль разработанной фирменной системы тарифной оплаты труда.

1. Средний уровень оплаты труда рабочих строителей в подрядных организациях устанавливается на уровне достигнутом в предыдущем периоде и с учетом текущих и будущих возможностей организации в затратах на оплату труда.

Средний уровень оплаты труда определяется на основе отчетных материалов о фактических данных, положений коллективного договора и перспективы развития предприятия, его экономического и финансового состояния.

Средние текущие тарифные ставки, рассчитанные по фактическим данным об оплате труда за предыдущий период, включают затраты по всем системным видам оплаты труда в строительной организации. Текущие цены оплаты труда являются ставками фонда оплаты труда (ФОТ рабочих), объединяющими тарифные, премиальные и компенсационные выплаты заработной платы рабочих в строительстве.

Средний уровень тарифных ставок в абсолютном размере принимается с учетом сложившейся в организации соотношений тарифной и надтарифной частей фирменной системы оплаты труда. При определении средней тарифной ставки по организации целесообразно ориентироваться на оптимальный для современного уровня удельный вес тарифа в заработной плате - примерно 60-80 % с последующим его повышением до общеевропейского стандарта (не менее 90 %). Тарифная часть средней заработной платы становится базовой ставкой дифференцирования оплаты труда рабочих в организации.

В настоящем примере проектирования фирменной системы оплаты труда базовая тарифная ставка устанавливается в организации исходя из планируемой средней заработной платы рабочих на плановый период и уровня тарифной части в общей сумме оплаты труда. В примере расчета фирменной системы средняя заработная плата принята в размере 12,5 тыс. руб. в месяц, а отношение тарифной и премиальной частей заработной платы установлено как 80 и 20 %. Базовая ставка фирменной тарифной системы оплаты труда составляет 10,0 тыс. руб. в месяц (12,5 × 0,8 = 10,0).

2. Тарифные соотношение ставок оплаты труда по специальностям устанавливаются на предприятии по группам профессий. Перечень специальностей и их группировка индивидуальны по организациям и устанавливаются в системе управления персоналом исходя из основных задач производства.

Тарифное соотношение ставок оплаты труда по специальностям рассчитывается отношением принятого размера этих ставок и средней заработной платы рабочих в организации (тарифной части) на планируемый период.

В качестве расчетного примера принимаются данные профессиональной тарифной сетки представленной в таблице 2, по данным регионального мониторинга ранки труда.

3. Тарифные коэффициенты по уровню квалификации (разрядам) разрабатываются в фирменной тарифной сетке оплаты труда в соответствии с решаемыми задачами и требованиями к персоналу.

В практической деятельности возможно расширение действующей 6-и разрядной сетки путем добавления новых категорий минимального и максимального уровня оплаты труда с формированием 8-и разрядной сетки.

Рекомендуется также в фирменных тарифных сетках по разрядам увеличивать диапазон тарифных коэффициентов с 1,8 в традиционной сетке до 3,0-4,0 в реальных условиях дифференцирования оплаты труда в подрядных организациях. Варианты таких фирменных тарифных сеток представлены на диаграмме 3.

Тарифная сетка [1] отражает степенную зависимость роста тарифов по разрядам, сетка [2] линейную зависимость. В фирменных тарифных системах рекомендуется применять тарифные сетки типа [1].

Такое построение фирменной тарифной сетки - дополнение до 8 разрядов с сохранением 6-и разрядной части традиционного вида и диапазоном коэффициентов равным четырем, позволяет:

сохранить действующую систему тарифно-квалификационных характеристик (по справочнику ЕТКС работ и рабочих профессий);

сохранить порядок и методику расчета коэффициентов тарифной сетки;

использовать общие правила расчета коэффициентов для неквалифицированных рабочих (не прошедших аттестацию);

оплату повышенного мастерства специалиста возможно учитывать по ставкам тарифной системы, а не в субъективной премиальной форме.

По расчетным данным разрабатывается фирменная сетка тарифных коэффициентов по квалификационным разрядам рабочих-строителей.

Таблица 4

Сетка фирменных тарифных коэффициентов по квалификационным разрядам рабочих-строителей

Показатели

Разряды

6-и разрядная сетка

 

I

II

III

IV-cp

V

VI

 

8-и разрядная сетка

1

2

3

4

5-ср

6

7

8

Тарифные коэффициенты 6-и разрядной системы (к минимальной ставке - 1 разряд)

 

1,00

1,38

1,9

2,63

3,63

5,00

 

Тарифные коэффициенты 8-и разрядной системы (к средней ставке - 5 разряд)

0,27

0,38

0,52

0,72

1,00

1,38

1,9

2,6

Диаграмма 3

Фирменные тарифные сетки по квалификационным разрядам заработной платы

Средние разряды для тарифных сеток приняты для середины диапазона (по диаграмме 3) с округлением до ближайшего целого разряда, т.к. в производственном тарифном нормировании дробная величина разряда не имеет смысла.

Разряды 2-7 фирменной тарифной сетки соответствуют разрядам I-IV традиционной сетки и действующим характеристикам работ и рабочих профессий в ЕТКС, что позволяет их применять без изменений.

Разряд 1 фирменной 8-и разрядной сетки (для неквалифицированных рабочих) позволяет включить в систему тарифного регулирования заработной платы учеников, стажеров и, самое важное, «гастарбайтаров» - наемных рабочих из других регионов и иностранных строительных рабочих, не имеющих строительных лицензий. Уровень ставки неквалифицированного рабочего устанавливает самостоятельно предприятием и находится в пределах 0,5-0,7 от заработной платы квалифицированного рабочего I-го разряда по ЕТКС.

Высший разряд в предлагаемой тарифной сетке присваивается индивидуально высококвалифицированным мастерам по специальности. Уровень таких тарифных ставок устанавливается вне формулы расчета коэффициентов для остальных разрядов.

4. Расчет тарифных ставок оплаты труда на текущий период для рабочего любой специальности (с) и любой квалификации (р) определяется в проектируемой фирменной тарифной системе по формуле:

Тс.Р. = Тбаз × Кс × Кр × Кд,

где: Тср - тарифная ставка рабочего специальности (с) разряда (р), руб./ч.-мес;

Tбаз - базовая ставка оплаты труда - средняя по организации заработная платы рабочих на плановый период, руб./ч.-мес;

Кс - коэффициент тарифный сетки по специальностям, принимается по данным таблицы 2;

Кр - коэффициент разрядной тарифной сетки, принимается по данным таблицы 4 (для 8-и разрядной сетки);

Кд - коэффициент, учитывающий дополнительную заработную плату по системным условиям оплаты труда (стимулирующие и компенсирующие выплаты).

Коэффициент д) позволяет откорректировать и включит в тарифные ставки фирменной системы дополнительные выплаты по специфичным условиям труда отдельных специалистов, для которых установлены надбавки администрацией предприятия. Например - рассчитанные ставки применяются для рабочих повременщиков, а для сдельщиков вводится повышающий коэффициент 1.07 (7 % - половина прироста коэффициентов тарифной сетки). В коэффициент д) можно включать надбавки на работы в тяжелых и вредных условиях, работы на высоте, надбавки за передвижные и мобильные условия производства работ и т.п.

В примере расчета фирменной тарифной системы оплаты труда принята базовая ставка в размере 10 тыс.руб. и использованы тарифные коэффициенты таблиц 2 и 4. Для 1-го разряда (неквалифицированные рабочие) и 8-го разряда (высококвалифицированные рабочие) тарифные ставки рассчитаны для всех специальностей в одинаковом уровне исходя из характеристик разрядной сетки по диаграмме 3.

По принятым исходным данным разрабатывается фирменная тарифная система оплаты труда (таблица 5) для нормальных условий производства строительных работ без стимулирующих и компенсирующие выплат заработной платы.

Таблица 5

Пример фирменной тарифной системы оплаты труда рабочих-строителей

Наименование профессий

Коэффициенты

но профессиям

Квалификационные разряды

1

2

3

4

5

6

7

8

Коэффициенты по разрядам

1,00

0,27

0,38

0,52

0,72

1,00

1,38

1,90

2,60

Арматурщик

1,13

2700

4294

5876

8136

11300

15594

21470

26000

Асфальтобетонщик

1,55

2700

5890

8060

11160

15500

21390

29450

26000

Бетонщик

1,08

2700

4104

5616

7776

10800

14904

20520

26000

Гидроизолировщик

1,56

2700

5928

8112

11232

15600

21528

29640

26000

Гипрочник

1,49

2700

5662

7748

10728

14900

20562

28310

26000

Грузчик

0,73

2700

2774

3796

5256

7300

10074

13870

26000

Маляр

0,97

2700

3686

5044

6984

9700

13386

18430

26000

Монтажник внутренних санитарно-технических систем

1,24

2700

4712

6448

8928

12400

17112

23560

26000

Монтажник наружных трубопроводов

1,18

2700

4484

6136

8496

11800

16284

22420

26000

Монтажник стальных и железобетонных конструкций

1,22

2700

4636

6344

8784

12200

16836

23180

26000

Отделочник универсал

1,28

2700

4864

6656

9216

12800

17664

24320

26000

Штукатур

1,32

2700

5016

6864

9504

13200

18216

25080

26000

Электро и газосварщик

1,10

2700

4180

5720

7920

11000

15180

20900

26000

Электромонтажник

1,10

2700

4180

5720

7920

11000

15180

20900

26000

Электрослесарь строительный

0,83

2700

3154

4316

5976

8300

11454

15770

26000

5. Проверка разработанной фирменной тарифной системы регулирования заработной платы на предприятии включает следующие работы:

- проверка минимальной ставки в фирменной тарифной системы на допустимый минимум оплаты труда на данной территории;

- проверка соответствия нормативного фонда оплаты труда (по тарифной и премиальной системам) и суммарной заработной платой в сметах на программу подрядных работ планового периода.

В соответствии с действующим законодательством минимальная заработная плата работника на предприятии не может быть ниже величины прожиточного минимума трудоспособного населения на данной территории. Нижний уровень тарифной заработной платы в фирменной сетке равен 2700 рублей в месяц. С учетом премиально-компенсационных выплат общая заработная плата низкооплачиваемого неквалифицированного работника составит 3375 рублей (2700/0,8 = 3375), что превышает прожиточный минимум трудоспособного населения в регионе на этот период - 3334 руб./ч.-мес.

Принятый фирменный порядок дифференцирования заработной платы должен корреспондироваться с плановым фондом оплаты труда рабочих-строителей на предприятии, который определяется умножением базовой тарифной ставки на количество рабочих и фонд рабочего времени в плановом периоде. Нормативный фонд оплаты труда предприятия сравнивается со сметными показателями оплаты труда по объектам, входящим в программу подрядных работ планируемого периода.

В. Грюнштам

 




ГОСТЫ, СТРОИТЕЛЬНЫЕ и ТЕХНИЧЕСКИЕ НОРМАТИВЫ.
Некоммерческая онлайн система, содержащая все Российские Госты, национальные Стандарты и нормативы.
В Системе содержится более 150000 файлов нормативно-технической документации, действующей на территории РФ.
Система предназначена для широкого круга инженерно-технических специалистов.

Рейтинг@Mail.ru Яндекс цитирования

Copyright © www.gostrf.com, 2008 - 2026