|
|
|
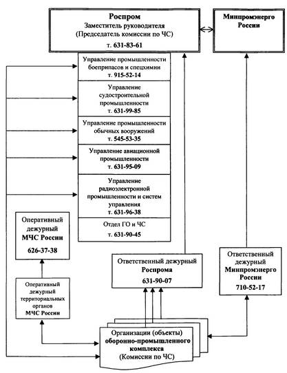
Приказ Федерального агентства по промышленности от 25 декабря 2006 г. N 530 О введении в действие Положений о функциональных подсистемах единой государственной системы предупреждения и ликвидации чрезвычайных ситуаций Во исполнение постановления Правительства Российской Федерации "О внесении изменений в постановление Правительства Российской Федерации от 30 декабря 2003 г. N 794 "О единой государственной системе предупреждения и ликвидации чрезвычайных ситуаций" от 27 мая 2005 г. N 335 и письма Минпромэнерго России от 07.07.2005 г. N 01-823 приказываю: 1. Ввести в действие утвержденные и согласованные с МЧС России и Минпромэнерго России: 1.1. Положение о функциональной подсистеме предупреждения и ликвидации последствий чрезвычайных ситуаций в организациях (на объектах) оборонно-промышленного комплекса единой государственной системы предупреждения и ликвидации чрезвычайных ситуаций (Приложение 1); 1.2. Положение о функциональной подсистеме предупреждения и ликвидации последствий чрезвычайных ситуаций в организациях (на объектах) гражданских отраслей промышленности единой государственной системы предупреждения и ликвидации чрезвычайных ситуаций (Приложение 2); 1.3. Положение о функциональной подсистеме предупреждения и ликвидации последствий чрезвычайных ситуаций в организациях (на объектах) уничтожения химического оружия единой государственной системы предупреждения и ликвидации чрезвычайных ситуаций (Приложение 3). 2. Утвердить Положение о Комиссии по предупреждению и ликвидации последствий чрезвычайных ситуаций и обеспечению пожарной безопасности Федерального агентства по промышленности (Приложение 4). 3. Утвердить состав Комиссии по предупреждению и ликвидации чрезвычайных ситуаций и обеспечению пожарной безопасности Федерального агентства по промышленности (Приложение 5). 4. Начальникам Управлений Роспрома, руководителям организаций для обмена оперативной информацией о чрезвычайных ситуациях руководствоваться Схемами информационного обеспечения функциональных подсистем предупреждения и ликвидации чрезвычайных ситуаций в организациях (на объектах) оборонно-промышленного комплекса, гражданских отраслей промышленности и уничтожения химического оружия (Приложения 6, 7, 8 соответственно). 5. Контроль за исполнением настоящего приказа возложить на заместителя Руководителя Роспрома В.В. Груздова.
Руководитель Б.С. Алешин
Приложение 1Положение
|
|
Заместитель Руководителя Федерального агентства по промышленности |
С.Б. Пугинский |
|
Руководитель Федерального агентства по промышленности |
Б.С. Алешин |
|
|
|
|
Согласовано |
|
|
|
|
|
Статс-секретарь - заместитель Министра Российской Федерации по делам гражданской обороны, чрезвычайным ситуациям и ликвидации последствий стихийных бедствий |
Р.Х. Цаликов |
7 марта 2006 г.
1.1. Настоящее Положение разработано во исполнение Федерального закона от 21 декабря 1994 г. N 68-ФЗ "О защите населения и территорий от чрезвычайных ситуаций природного и техногенного характера", Указа Президента Российской Федерации от 9 марта 2004 г. N 314 "О системе и структуре федеральных органов исполнительной власти", постановления Правительства Российской Федерации от 30 декабря 2003 г. N 794 "О единой государственной системе предупреждения и ликвидации чрезвычайных ситуаций" (в редакции постановления Правительства Российской Федерации от 27 мая 2005 г. N 335).
1.2. Положение определяет принципы построения, организацию и порядок выполнения задач функциональной подсистемы предупреждения и ликвидации последствий чрезвычайных ситуаций (далее - ЧС) в организациях (объектах) гражданских отраслей промышленности единой государственной системы предупреждения и ликвидации чрезвычайных ситуаций (далее - Подсистема).
1.3. В своей деятельности Подсистема руководствуется Конституцией Российской Федерации, Федеральным законом от 21 декабря 1994 г. N 68-ФЗ "О защите населения и территорий от чрезвычайных ситуаций природного и техногенного характера" и иными нормативными правовыми актами в области предупреждения и ликвидации ЧС и настоящим Положением.
1.4. Действия Положения распространяются на организации (объекты) гражданских отраслей промышленности, находящиеся в ведении Федерального агентства по промышленности (далее - Роспром).
1.5. Подсистема действует на федеральном и объектовом уровнях.
2.1. Обеспечение готовности к действиям органов управления, сил и средств Подсистемы, предназначенных для предупреждения и ликвидации ЧС.
2.2. Осуществление организационно-технических мероприятий, направленных на предупреждение ЧС и повышение устойчивости функционирования организаций (объектов) гражданских отраслей промышленности, подведомственных им объектов производственного и социального назначения (далее - организаций (объектов) в условиях ЧС.
2.3. Организация и проведение мероприятий по предупреждению и ликвидации ЧС в организациях (на объектах).
3.1. Разработка и организация исполнения инженерно-технических мероприятий, направленных на предупреждение ЧС и повышение устойчивости функционирования организаций (объектов).
3.2. Организация сбора, обработки и обмена в установленном порядке информацией в области защиты от ЧС и обеспечения пожарной безопасности.
3.3. Прогнозирование и оценка возможных аварийных ситуаций в организациях (на объектах) и выработка мер по их предупреждению.
3.4. Обеспечение оперативного реагирования при угрозе и возникновении ЧС, своевременная выработка основных решений по предупреждению ЧС и привлечению необходимых сил и средств для их ликвидации.
3.5. Организация взаимодействия с Министерством Российской Федерации по делам гражданской обороны, чрезвычайным ситуациям и ликвидации последствий стихийных бедствий (далее - МЧС России), Министерством промышленности и энергетики Российской Федерации (далее - Минпромэнерго России), другими федеральными органами исполнительной власти, органами исполнительной власти субъектов Российской Федерации, органами местного самоуправления и организациями при решении задач в области защиты населения и территорий от ЧС.
На каждом уровне Подсистемы создаются координационные органы, постоянно действующие органы управления, органы повседневного управления, силы и средства, резервы финансовых и материальных ресурсов, системы связи, оповещения и информационного обеспечения.
4.1. Координационными органами Подсистемы являются:
на федеральном уровне - Комиссия по предупреждению и ликвидации чрезвычайных ситуаций и обеспечению пожарной безопасности (далее - КЧС) Роспрома,
на объектовом уровне - КЧС организаций (объектов).
4.2. Образование, реорганизация и упразднение КЧС, определение их компетенции, утверждение руководителей и персонального состава осуществляются соответственно приказами и распоряжениями руководителей Роспрома и организаций (объектов).
4.3. Компетенция комиссий по предупреждению и ликвидации чрезвычайных ситуаций и обеспечению пожарной безопасности, а также порядок принятия решений определяются в положениях о них или в решениях об их образовании.
4.4. Основными задачами КЧС в соответствии с их полномочиями являются:
разработка предложений по реализации государственной политики в области предупреждения и ликвидации ЧС и обеспечения пожарной безопасности в организациях (на объектах);
координация деятельности органов управления и сил Подсистемы;
обеспечение согласованности действий Роспрома, организаций (объектов) при решении задач в области предупреждения и ликвидации ЧС и обеспечения пожарной безопасности;
рассмотрение вопросов о привлечении сил и средств Подсистемы к организации и проведению мероприятий по предотвращению и ликвидации ЧС в организациях (на объектах).
4.5. Постоянно действующими органами управления Подсистемы являются:
на федеральном уровне - Управление делами Роспрома:
на объектовом уровне - структурные подразделения (должностные лица) организаций (объектов), уполномоченные на решение задач в области защиты населения и территорий от ЧС.
4.6. Постоянно действующие органы управления Подсистемы создаются и осуществляют свою деятельность в порядке, установленном законодательством Российской Федерации и иными нормативными правовыми актами.
Компетенция и полномочия постоянно действующих органов управления Подсистемы определяются соответствующими положениями о них или уставами указанных органов управления.
4.7. Органами повседневного управления Подсистемы являются:
дежурные службы Роспрома;
оперативные группы управлений гражданских отраслей промышленности;
дежурно-диспетчерские службы организаций (объектов).
Указанные органы создаются и осуществляют свою деятельность в соответствии с законодательством Российской Федерации.
4.8. Организационное руководство и координация деятельности организаций (объектов) в рамках Подсистемы на федеральном уровне осуществляется соответствующей рабочей группой КЧС Роспрома.
5.1. К силам и средствам Подсистемы относятся специально подготовленные силы и средства организаций (объектов), предназначенные и выделяемые (привлекаемые) для предупреждения и ликвидации ЧС.
5.2. Привлечение сил и средств Подсистемы к выполнению задач по предупреждению и ликвидации последствий ЧС осуществляется в зависимости от обстановки решениями начальников организаций (объектов) или вышестоящего должностного лица в соответствии с планами действий по предупреждению и ликвидации ЧС Роспрома и организаций (объектов).
5.3. Для ликвидации ЧС создаются и используются резервы финансовых и материальных ресурсов Минпромэнерго России, Роспрома и организаций (объектов).
Номенклатура и объем резервов материальных ресурсов для ликвидации ЧС, а также контроль за их созданием, хранением, использованием и восполнением устанавливаются создающим их органом.
5.4. Управление Подсистемой осуществляется с использованием систем связи и оповещения, представляющих собой организационно-техническое объединение сил, средств связи и оповещения, сетей вещания, каналов сети связи общего пользования и ведомственной сети связи, обеспечивающих доведение информации и сигналов оповещения до органов управления Подсистемы и населения.
5.5. Порядок сбора и обмена информацией в области защиты населения и территорий от ЧС природного и техногенного характера осуществляется в соответствии с постановлением Правительства Российской Федерации от 24 марта 1997 г. N 334 "О порядке сбора и обмена в Российской Федерации информацией в области защиты населения и территорий от чрезвычайных ситуаций природного и техногенного характера", согласно приказу Минпромэнерго России от 2 сентября 2004 г. N 89 "Об организации работ по сбору и обмену оперативной информацией и обеспечению пожарной безопасности в Минпромэнерго России, в подведомственных федеральных агентствах и организациях, находящихся в их ведении".
5.6. Проведение мероприятий по предупреждению и ликвидации ЧС в рамках Подсистемы осуществляется на основе планов действий по предупреждению и ликвидации ЧС Минпромэнерго России, Роспрома и организаций.
6.1. При отсутствии угрозы возникновения ЧС на объектах и территориях организаций (объектов) органы управления и силы Подсистемы функционируют в режиме повседневной деятельности.
Решениями руководителей Минпромэнерго России, Роспрома, организаций (объектов), на территории которых могут возникнуть или возникли ЧС, либо к полномочиям которых отнесена ликвидация ЧС, для соответствующих органов управления и сил Подсистемы может устанавливаться один из следующих режимов функционирования:
а) режим повышенной готовности - при угрозе возникновения ЧС;
б) режим ЧС - при возникновении и ликвидации ЧС.
6.2. Основными мероприятиями, проводимыми органами управления и силами Подсистемы, являются:
а) в режиме повседневной деятельности:
контроль за обстановкой в организациях (на объектах) и прогнозирование чрезвычайных ситуаций;
сбор, обработка и обмен в установленном порядке информацией в области защиты населения и территорий от ЧС и обеспечения пожарной безопасности;
планирование действий органов управления, сил и средств Подсистемы, организация подготовки и обеспечение их действий;
координация разработки и реализация комплексных программ и мер по предупреждению ЧС и обеспечению пожарной безопасности в организациях (на объектах);
организация и осуществление мероприятий по предупреждению ЧС;
подготовка органов управления сил Подсистемы в области защиты от ЧС;
руководство созданием, размещением, хранением и восполнением резервов для ликвидации последствий ЧС;
проведение мероприятий по подготовке и эвакуации персонала организаций (объектов) и членов их семей в безопасные районы, жизнеобеспечение их в ЧС;
ведение статистической отчетности о ЧС, участие в расследовании причин аварий и катастроф, а также выработке мер по устранению причин подобных аварий и катастроф.
б) в режиме повышенной готовности:
усиление контроля за обстановкой в организациях (на объектах), прогнозирование вероятности возникновения ЧС их масштабов и последствий;
введение при необходимости круглосуточного дежурства руководителей и должностных лиц органов управления и сил Подсистемы;
непрерывный сбор, обработка и передача органам управления и силам Подсистемы данных о прогнозируемых ЧС, информирование персонала организаций (объектов) о приемах и способах защиты от них;
принятие оперативных мер по предупреждению возникновения и развития ЧС, снижению размеров ущерба и потерь в случае их возникновения, а также повышению устойчивости и безопасности функционирования организаций в чрезвычайных ситуациях;
уточнение планов действий (взаимодействия) по предупреждению и ликвидации чрезвычайных ситуаций и иных документов;
приведение при необходимости сил и средств Подсистемы в готовность к реагированию на ЧС, формирование оперативных групп и организация выдвижения их в предполагаемые районы действий;
восполнение при необходимости запасов материальных средств, созданных для ликвидации ЧС;
проведение при необходимости эвакуационных мероприятий.
в) в режиме чрезвычайной ситуации:
непрерывный контроль за обстановкой в организациях (на объектах), прогнозирование развития возникших ЧС и их последствий;
оповещение руководителей заинтересованных федеральных органов исполнительной власти, органов исполнительной власти субъектов Российской Федерации, органов местного самоуправления и организаций, а также населения о возникших ЧС;
проведение мероприятий по защите личного состава, персонала организаций (объектов) и территорий от ЧС;
определение масштабов ЧС, проведение экспертизы и оценки ущерба;
определение объемов работ и потребности материально-технических и финансовых средств на ликвидацию ЧС;
организацию работы по ликвидации ЧС и всестороннему обеспечению действий сил и средств Подсистемы, а также привлечению при необходимости дополнительных сил и средств к ликвидации возникших ЧС;
организация и поддержание непрерывного взаимодействия с МЧС России, заинтересованными федеральными органами исполнительной власти, органами исполнительной власти субъектов Российской Федерации, органами местного самоуправления и организациями по вопросам ликвидации последствий ЧС и их последствий;
проведение мероприятий по жизнеобеспечению персонала организаций (объектов) в ЧС.
6.3. Руководство силами и средствами, привлеченными к ликвидации ЧС, и организацию их взаимодействия осуществляют руководители работ по ликвидации ЧС.
7.1. Финансовое обеспечение функционирования Подсистемы и мероприятий по предупреждению и ликвидации ЧС осуществляется за счет федерального бюджета и собственников (пользователей) имущества в соответствии с законодательством Российской Федерации.
7.2. Выделение средств на финансирование мероприятий по ликвидации ЧС из резервного фонда Правительства Российской Федерации по предупреждению и ликвидации ЧС и последствий стихийных бедствий осуществляется в порядке, установленным Правительством Российской Федерации:
|
Заместитель Руководителя Федерального агентства по промышленности |
С.Б. Пугинский |
|
Руководитель Федерального агентства по промышленности |
Б.С. Алешин |
|
|
|
|
Согласовано |
|
|
|
|
|
Статс-секретарь - заместитель Министра Российской Федерации по делам гражданской обороны, чрезвычайным ситуациям и ликвидации последствий стихийных бедствий |
Р.Х. Цаликов |
7 марта 2006 г.
1.1. Настоящее Положение разработано во исполнение Федерального закона от 21.12.1994 N 68-ФЗ "О защите населения и территорий от чрезвычайных ситуаций природного и техногенного характера", Указа Президента Российской Федерации от 9.03.2004 N 314 "О системе и структуре федеральных органов исполнительной власти", постановления Правительства Российской Федерации от 30.12.2003 N 794 "О единой государственной системе предупреждения и ликвидации чрезвычайных ситуаций" (в редакции постановления Правительства Российской Федерации от 27.5.2005 N 335), Федеральной целевой программы "Уничтожение запасов химического оружия в Российской Федерации", утвержденной постановлением Правительства Российской Федерации от 05.07.2001 N 510, постановления Правительства РФ от 17.02.2000 N 135 "Об утверждении Положения об установлении запретных зон и запретных районов при арсеналах, базах и складах Вооруженных Сил Российской Федерации, других войск, воинских формирований и органов".
1.2. Положение определяет принципы построения, состав сил и средств, порядок выполнения задач и взаимодействия основных элементов, а также регулирует основные вопросы деятельности функциональной подсистемы предупреждения и ликвидации последствий чрезвычайных ситуаций (далее - ЧС) в органах (на объектах) уничтожения химического оружия единой государственной системы предупреждения и ликвидации чрезвычайных ситуаций (далее - Подсистема).
1.3. В своей деятельности Подсистема руководствуется Конституцией Российской Федерации, Федеральным Законом от 21.12.1994 N 68-ФЗ "О защите населения и территорий от чрезвычайных ситуаций природного и техногенного характера", постановлениями Правительства Российской Федерации и иными нормативными правовыми актами в области предупреждения и ликвидации ЧС и настоящим Положением.
1.4. Положение обязательно для исполнения всеми организациями (объектами), воинскими частями и учреждениями, управлениями, отделами и службами, входящими в состав Федерального управления по безопасному хранению и уничтожению химического оружия (далее - Федеральное управление).
1.5. Подсистема действует на федеральном и объектовом уровнях.
организация и проведение мероприятий по предупреждению и ликвидации ЧС в организациях (на объектах) хранения и уничтожения химического оружия (далее - организации (объекты);
разработка нормативных, руководящих и организационно-методических документов в области защиты от ЧС;
организация работы по созданию резервов финансовых и материальных ресурсов для ликвидации ЧС;
обеспечение готовности органов управления, сил и средств Подсистемы к проведению мероприятий по предупреждению и ликвидации ЧС;
организация разработки и реализация федеральных целевых программ и мер по предупреждению ЧС, а также направленных на повышение устойчивости и безопасности функционирования организаций (объектов) в условиях ЧС;
поддержание в готовности к использованию систем управления, оповещения и связи в организациях (на объектах);
организация работы дежурно-диспетчерских служб в Федеральном управлении, организациях (на объектах), а также сбора, обработки и обмена в установленном порядке информацией в области защиты от ЧС;
взаимодействие с МЧС России, другими федеральными органами исполнительной власти, органами исполнительной власти субъектов Российской Федерации, органами местного самоуправления и организациями при решении задач в области защиты населения и территорий от ЧС.
3.1. Основные функции Подсистемы:
организация работы в области защиты личного состава и территорий организаций (объектов), населения от ЧС и террористических актов;
обеспечение деятельности органов управления и сил Подсистемы по осуществлению наблюдения и контроля за состоянием окружающей среды и обстановкой в организациях (на объектах);
руководство созданием, размещением, хранением и восполнением резервов материальных ресурсов для ликвидации ЧС;
организация системы связи, оповещения и информационного обеспечения, а также взаимодействия с заинтересованными органами, организациями и службами по вопросам предупреждения и ликвидации ЧС.
3.2. Организация и порядок функционирования элементов Подсистемы определяются настоящим Положением, соответствующими положениями, уставами и штатами указанных элементов Подсистемы, наставлениями и руководствами, директивами и приказами начальника Генерального штаба Вооруженных Сил Российской Федерации и Министра обороны Российской Федерации.
На каждом уровне Подсистемы создаются координационные органы, постоянно действующие органы управления, органы повседневного управления, силы и средства, резервы финансовых и материальных ресурсов, системы связи, оповещения и информационного обеспечения.
4.1. Координационными органами Подсистемы является:
на федеральном уровне - Комиссия по предупреждению и ликвидации чрезвычайных ситуаций и обеспечению пожарной безопасности (далее КЧС) Роспрома;
на объектовом уровне - КЧС организаций (объектов).
4.2. Создание, реорганизация и ликвидация КЧС, назначение руководителей, утверждение персонального состава и определение их компетенции осуществляются приказами и распоряжениями руководителей Роспрома и организаций (объектов).
4.3. Основными задачами КЧС в соответствии с их полномочиями являются:
разработка предложений по реализации государственной политики в области предупреждения и ликвидации ЧС и обеспечения пожарной безопасности в организациях (на объектах);
координация деятельности органов управления и сил Подсистемы;
обеспечение согласованности действий Роспрома, Федерального управления, организаций (объектов) при решении вопросов в области предупреждения и ликвидации ЧС и обеспечения пожарной безопасности;
рассмотрение вопросов о привлечении сил и средств Подсистемы к организации и проведению мероприятий по предотвращению и ликвидации ЧС в организациях (на объектах).
4.4. Постоянно действующими органами управления Подсистемы являются:
на федеральном уровне - Федеральное управление;
на объектовом уровне - структурные подразделения (должностные лица) организаций (объектов), уполномоченные на решение задач в области защиты населения и территорий от ЧС.
4.5. Постоянно действующие органы управления Подсистемы создаются и осуществляют свою деятельность в порядке установленном законодательством Российской Федерации и иными нормативными правовыми актами.
Компетенция и полномочия постоянно действующих органов управления Подсистемы определяются соответствующими положениями о них или уставами указанных органов управления.
4.6. Органами повседневного управления Подсистемы являются:
дежурные службы Роспрома;
дежурные службы, оперативные группы Федерального управления, дежурные службы организаций (объектов), воинских частей и учреждений Федерального управления;
Указанные органы создаются и осуществляют свою деятельность в соответствии с законодательством Российской Федерации.
4.7. Организационное руководство и координация деятельности организаций (объектов) в рамках Подсистемы на федеральном уровне осуществляется соответствующей рабочей группой КЧС Роспрома.
5.1. К силам и средствам Подсистемы относятся специально подготовленные силы и средства Федерального управления, предназначенные для предупреждений и ликвидации последствий ЧС (приложение).
5.2. Привлечение сил и средств Подсистемы к выполнению задач по предупреждению и ликвидации последствий ЧС осуществляется в зависимости от обстановки решениями начальников организаций (объектов) или вышестоящего должностного лица в соответствии с планами действий по предупреждению и ликвидации ЧС Роспрома и организаций (объектов).
5.3. Для ликвидации ЧС создаются и используются резервы финансовых и материальных ресурсов Минпромэнерго России, Роспрома и организаций (объектов).
Номенклатура и объем указанных резервов материальных ресурсов для ликвидации ЧС, а также контроль за их созданием, хранением, использованием и восполнением, устанавливаются создающими их органами в соответствии с требованиями приказов Министра обороны Российской Федерации.
5.4. Управление Подсистемой осуществляется с использованием систем связи и оповещения, представляющих собой организационно-техническое объединение сил, средств связи и оповещения, сетей вещания, каналов сети связи общего пользования и ведомственных сетей связи, обеспечивающих доведение информации и сигналов оповещения до органов управления Подсистемой и населения.
5.5. Информационное обеспечение функционирования Подсистемы осуществляется с использованием автоматизированной информационно-управляющей системы, представляющей собой совокупность технических систем, средств связи и оповещения, автоматизации и информационных ресурсов, обеспечивающей обмен данными, подготовку, сбор, хранение, обработку, анализ и передачу информации.
Обобщение и анализ информации в области защиты от ЧС осуществляется Научно-техническим центром управления, соответствующими отделами и службами Федерального управления.
5.6. Проведение мероприятий по предупреждению и ликвидации ЧС в рамках Подсистемы осуществляется на основе планов действий Роспрома и организаций (объектов).
6.1. При отсутствии угрозы возникновения ЧС на объектах и территориях организаций (объектов) органы управления и силы Подсистемы функционируют в режиме повседневной деятельности.
Решениями руководителей Роспрома, Федерального управления, организаций (объектов), на территории которых могут возникнуть или возникли ЧС, либо к полномочиям которых отнесена ликвидация ЧС, для соответствующих органов управления и сил Подсистемы может устанавливаться один из следующих режимов функционирования:
а) режим повышенной готовности - при угрозе возникновения ЧС;
б) режим ЧС - при возникновении и ликвидации ЧС.
6.2. Основными мероприятиями, проводимыми органами управления и силами Подсистемы, являются:
а) в режиме повседневной деятельности:
осуществление мониторинга за состоянием окружающей среды; сбор, обработка и обмен в установленном порядке информацией в области защиты населения и территорий от ЧС и обеспечения пожарной безопасности;
планирование действий органов управления, сил и средств Подсистемы, организация подготовки и обеспечения их действий;
координация разработок и реализация комплексных программ и мер по предупреждению ЧС и обеспечению пожарной безопасности в организациях (на объектах);
организация и осуществление мероприятий по предупреждению ЧС;
подготовка органов управления сил Подсистемы в области защиты от ЧС;
руководство созданием, размещением, хранением и восполнением резервов материальных ресурсов для ликвидации последствий ЧС;
проведение мероприятий по подготовке и эвакуации сотрудников организаций (объектов) и членов их семей в безопасные районы, жизнеобеспечение их в ЧС;
ведение статистической отчетности о ЧС, участие в расследовании причин аварий и катастроф, а также выработке мер по устранению причин подобных аварий и катастроф.
б) в режиме повышенной готовности:
усиление контроля за состоянием окружающей среды, прогнозирование вероятности возникновения ЧС, их масштабов и последствий;
введение при необходимости круглосуточного дежурства оперативных групп, руководителей и должностных лиц, органов управления и сил Подсистемы на стационарных пунктах управления;
непрерывный сбор, обработка и передача органам управления и силам Подсистемы данных о прогнозируемых ЧС, информирование населения о приемах и способах защиты от них;
принятие оперативных мер по предупреждению возникновения и развития ЧС, снижению размеров ущерба и потерь в случае их возникновения, а также повышению устойчивости и безопасности функционирования объектов в ЧС;
уточнение планов действий (взаимодействия) по предупреждению и ликвидации ЧС и иных документов;
приведение при необходимости сил и средств Подсистемы в готовность к реагированию на ЧС, формирование оперативных групп и организация выдвижения их в предполагаемые районы действий;
восполнение при необходимости запасов материальных средств, созданных для ликвидации ЧС;
проведение при необходимости эвакуационных мероприятий.
в) в режиме чрезвычайной ситуации:
непрерывный контроль состояния окружающей среды, прогнозирование развития возникших ЧС и их последствий;
оповещение руководителей заинтересованных федеральных органов исполнительной власти, органов исполнительной власти субъектов Российской Федерации, органов местного самоуправления и организаций, а также населения о возникших ЧС;
проведение мероприятий по защите личного состава, персонала организаций (объектов), населения и территорий от ЧС;
определение масштабов ЧС, проведение экспертизы и оценки ущерба;
определение объемов работ и потребности материально-технических и финансовых средств на ликвидацию ЧС;
организация работ по ликвидации ЧС и всестороннему обеспечению действий сил и средств Подсистемы а также привлечению при необходимости дополнительных сил и средств к ликвидации возникших ЧС;
непрерывный сбор, анализ и обмен информацией об обстановке в зоне ЧС и в ходе проведения работ по ее ликвидации;
организация и поддержание непрерывного взаимодействия с МЧС России, заинтересованными федеральными органами исполнительной власти, органами исполнительной власти субъектов Российской Федерации, органами местного самоуправления и организациями по вопросам ликвидации последствий ЧС и их последствий;
проведение мероприятий по жизнеобеспечению персонала в ЧС.
6.3. Руководство силами и средствами, привлеченными к ликвидации ЧС, и организацию их взаимодействия осуществляют руководители работ по ликвидации ЧС.
7.1. Финансовое обеспечение функционирования Подсистемы и мероприятий по предупреждению и ликвидации ЧС осуществляется за счет средств федерального бюджета в рамках финансирования расходов на реализацию Федеральной целевой программы "Уничтожение запасов химического оружия в Российской Федерации".
7.2. Выделение средств на финансирование мероприятий по ликвидации ЧС из резервного фонда Правительства Российской Федерации по предупреждению и ликвидации ЧС и последствий стихийных бедствий осуществляется в порядке, установленным Правительством Российской Федерации:
|
Заместитель Руководителя Федерального агентства по промышленности |
В.И. Холстов |
|
Руководитель Федерального агентства по промышленности |
Б.С. Алешин |
|
|
|
|
Согласовано |
|
|
|
|
|
Статс-секретарь - заместитель Министра Российской Федерации по делам гражданской обороны, чрезвычайным ситуациям и ликвидации последствий стихийных бедствий |
Р.Х. Цаликов |
7 марта 2006 г.
1. Комиссия по предупреждению и ликвидации чрезвычайных ситуаций и обеспечению пожарной безопасности Роспрома (далее - КЧС) является координационным органом функциональных подсистем (далее - Подсистем), входящих в единую государственную систему предупреждения и ликвидации чрезвычайных ситуаций (РСЧС), образована для согласования действий организаций, находящихся в ведении Роспрома, реализации единой государственной политики в области предупреждения и ликвидации чрезвычайных ситуаций природного и техногенного характера, обеспечения пожарной безопасности.
2. КЧС осуществляет свою деятельность на основе нормативных правовых актов и настоящего Положения.
3. Основными задачами КЧС являются:
разработка предложений по реализации государственной политики в области предупреждения и ликвидации чрезвычайных ситуаций (ЧС) и обеспечения пожарной безопасности в организациях (на объектах), находящихся в ведении Роспрома;
координация деятельности органов управления и сил Подсистем;
обеспечение согласованности действий Роспрома, организаций (объектов) при решении вопросов в области предупреждения и ликвидации ЧС и обеспечения пожарной безопасности;
рассмотрение вопросов о привлечении сил и средств Подсистем к организации и проведению мероприятий по предотвращению и ликвидации ЧС в организациях (на объектах);
взаимодействие с КЧС федеральных органов исполнительной власти, органов исполнительной власти субъектов Российской Федерации, муниципальных образований по вопросам предотвращения чрезвычайных ситуаций, обеспечению устойчивости и безопасного функционирования организаций, находящихся в ведении Роспрома, в чрезвычайных ситуациях.
4. КЧС осуществляет следующие функции:
реализация задач по предупреждению и ликвидации чрезвычайных ситуаций организациями, находящихся в ведении Роспрома;
координация деятельности и участие в контроле выполнения мероприятий, направленных на предупреждение и ликвидацию чрезвычайных ситуаций в организациях, находящихся в ведении Роспрома;
организация исполнения инженерно-технических мероприятий, направленных на предупреждение ЧС и повышения устойчивости функционирования организаций (объектов);
организация сбора, обработки и обмена в установленном порядке информацией в области защиты от ЧС и обеспечения пожарной безопасности;
оказание методической помощи организациям в решении задач по предупреждению и ликвидации чрезвычайных ситуаций и обеспечению пожарной безопасности;
участие в рассмотрении и реализации планов НИОКР для обеспечения мероприятий по предупреждению и ликвидации чрезвычайных ситуаций и обеспечению пожарной безопасности в организациях, находящихся в ведении Роспрома;
разработка предложений по совершенствованию деятельности функциональных подсистем РСЧС.
5. Комиссия в пределах своей компетенции имеет право:
запрашивать в структурных подразделениях Роспрома и в организациях, находящихся в ведении Роспрома, необходимые информационные материалы в пределах своей компетенции;
принимать в пределах своей компетенции решения, необходимые для совершенствования функциональных подсистем РСЧС, контролировать их выполнение;
рассматривать вопросы о соблюдении указов Президента Российской Федерации, постановлений и распоряжений Правительства Российской Федерации, решений Совета Безопасности Российской Федерации, МЧС России и Минпромэнерго России в организациях, находящихся в ведении Роспрома, по вопросам предупреждения и ликвидации чрезвычайных ситуаций и обеспечения пожарной безопасности;
готовить предложения для рассмотрения на заседании КЧС Минпромэнерго России вопросов, связанных с предупреждением и ликвидацией последствий чрезвычайных ситуаций и обеспечения пожарной безопасности.
6. КЧС возглавляет заместитель руководителя Роспрома.
В состав КЧС включаются руководители и специалисты структурных подразделений Роспрома и представители организаций, находящихся в ведении Роспрома.
7. КЧС осуществляет свою деятельность в соответствии с планом работы, утверждаемым на заседании КЧС.
Комиссия рассматривает вопросы, связанные с разработкой и осуществлением мероприятий по предупреждению и ликвидации последствий чрезвычайных ситуаций и обеспечения пожарной безопасности и совершенствованием функциональных подсистем РСЧС.
Заседания Комиссии проводятся не менее двух раз в год.
8. Решения Комиссии оформляются протоколом, который подписывается председателем Комиссии или его заместителем, председательствовавшим на заседании.
9. Решения Комиссии, принимаемые в соответствии с ее компетенцией, являются обязательными для всех структурных подразделений Роспрома, а также организаций, находящихся в ведении Роспрома.
10. Персональный состав, а также реорганизация или ликвидация КЧС утверждаются приказом Руководителя Роспрома.
|
1 |
Груздов Вадим Владимирович |
Заместитель руководителя Роспрома {Председатель Комиссии) |
|
2 |
Холстов Виктор Иванович |
Заместитель руководителя Роспрома (Заместитель председателя Комиссии) |
|
3 |
Мякушко Сергей Николаевич |
Начальник отдела Управления промышленности боеприпасов и спецхимии Роспрома |
|
4 |
Цубанников Анатолий Иванович |
Консультант отдела Управления судостроительной промышленности Роспрома |
|
5 |
Рыткин Михаил Николаевич |
Заместитель начальника Управления промышленности обычных вооружений Роспрома |
|
6 |
Соболев Вячеслав Михайлович |
Заместитель начальника отдела Управления авиационной промышленности Роспрома |
|
7 |
Чесноков Юрий Алексеевич |
Заместитель начальника отдела Управления радиоэлектронной промышленности и систем управления Роспрома |
|
8 |
Дзапшба Фартобей Захарбеевич |
Заместитель начальника Управления гражданских отраслей промышленности Роспрома |
|
9 |
Боговеев Владимир Касымович |
Заместитель начальника Управления "Центр конвенционных проблем и программ разоружения" Роспрома |
|
10 |
Глазунов Виталий Викторович |
Заместитель начальника отдела Управления мобилизационной подготовки Роспрома |
|
11 |
Олейников Олег Степанович |
Заместитель начальника Управления по защите государственной тайны и безопасности Роспрома |
|
12 |
Аксенов Александр Николаевич |
Заместитель директора ФГУП "Управление охраны и пожарной безопасности" (по договоренности) |
|
13 |
Морозов Вячеслав Петрович |
Начальник Управления делами Роспрома |
|
14 |
Ермаков Геннадий Иванович |
Президент НО "Ассоциация "Газоспасатель" (по договоренности) |
|
15 |
Гульпа Виктор Константинович |
Генеральный директор ФГУП "СПО "Металлургбезопасность" (по договоренности) |
|
16 |
Бодриков Борис Александрович |
Начальник отдела ГО, ЧС и ПБ Управления делами (секретарь комиссии) |



|
ГОСТЫ, СТРОИТЕЛЬНЫЕ и ТЕХНИЧЕСКИЕ НОРМАТИВЫ. Некоммерческая онлайн система, содержащая все Российские Госты, национальные Стандарты и нормативы. В Системе содержится более 150000 файлов нормативно-технической документации, действующей на территории РФ. Система предназначена для широкого круга инженерно-технических специалистов. Copyright © www.gostrf.com, 2008 - 2026 |