Крупнейшая бесплатная информационно-справочная система онлайн доступа к полному собранию технических нормативно-правовых актов РФ. Огромная база технических нормативов (более 150 тысяч документов) и полное собрание национальных стандартов, аутентичное официальной базе Госстандарта. GOSTRF.com - это более 1 Терабайта бесплатной технической информации для всех пользователей интернета. Все электронные копии представленных здесь документов могут распространяться без каких-либо ограничений. Поощряется распространение информации с этого сайта на любых других ресурсах. Каждый человек имеет право на неограниченный доступ к этим документам! Каждый человек имеет право на знание требований, изложенных в данных нормативно-правовых актах!

  


 

Библиотека справочной литературы
ООО «Центр безопасности труда»

ОТКРЫТОЕ АКЦИОНЕРНОЕ ОБЩЕСТВО «ГАЗПРОМ»

СТАНДАРТ ОРГАНИЗАЦИИ

СИСТЕМА СТАНДАРТИЗАЦИИ ОАО «ГАЗПРОМ»

ОЦЕНКА ЭКОЛОГИЧЕСКОЙ ЭФФЕКТИВНОСТИ В СИСТЕМЕ МЕНЕДЖМЕНТА ОХРАНЫ ОКРУЖАЮЩЕЙ СРЕДЫ

СТО ГАЗПРОМ 9-2005

Дата введения 2005-10-17

Содержание

Предисловие

Введение

1 Область применения

2 Нормативные ссылки

3 Термины, определения и сокращения

4 Общие положения

5 Методика оценки экологической эффективности

5.1 Модель процесса оценки экологической эффективности

5.2 Этапы оценки экологической эффективности

5.3 Выбор показателей ОЭЭ

5.4 Сбор и анализ данных

5.5 Составление отчетности

Приложение А (рекомендуемое)

Пример выявления мнения заинтересованных сторон

Приложение Б (рекомендуемое)

Рекомендуемая распорядительная документация по организации работ в СМООС

Предисловие

1 РАЗРАБОТАН ООО «Научно-исследовательский институт природных газов и газовых технологий - ВНИИГАЗ»

2 СОГЛАСОВАН Департаментом стратегического развития ОАО «Газпром», Департаментом по транспортировке, подземному хранению и использованию газа ОАО «Газпром», Юридическим департаментом ОАО «Газпром»

3 ВНЕСЕН Отделом энергосбережения и экологии Департамента по транспортировке, подземному хранению и использованию газа ОАО «Газпром»

4 УТВЕРЖДЕН И ВВЕДЕН В ДЕЙСТВИЕ Распоряжением ОАО «Газпром» от 25 июля 2005 г. № 169 с 17 октября 2005 г.

5 ВВОДИТСЯ ВПЕРВЫЕ

Введение

Настоящий стандарт организации «Оценка экологической эффективности в системе менеджмента охраны окружающей среды» (далее - Стандарт), разработан Обществом с ограниченной ответственностью «Научно-исследовательский институт природных газов и газовых технологий - ВНИИГАЗ» в соответствии с действующим законодательством и нормативными актами РФ, а также нормативными документами ОАО «Газпром».

Стандарт разработан впервые, позволяет определить на основе разработанной модели процесса оценки экологической эффективности, соответствует ли экологическая эффективность организации совокупности заданных критериев. В Стандарте разработаны и приведены показатели эффективности функционирования системы, показатели эффективности управления и показатели состояния окружающей среды, что в комплексе позволяет не только оценить экологическую эффективность, но и наметить мероприятия по ее дальнейшему совершенствованию.

Этапы оценки экологической эффективности, приведенные в Стандарте, позволяют идентифицировать и оценить экологический риск.

1 Область применения

Настоящий стандарт представляет собой методическое руководство по оценке экологической эффективности систем управления охраной окружающей среды и распространяется на организации и дочерние общества ОАО «Газпром» (далее - Общества).

2 Нормативные ссылки

В настоящем стандарте использованы нормативные ссылки на следующие стандарты:

ГОСТ Р ИСО 14001-98 Системы управления окружающей средой. Требования и руководство по применению

ГОСТ Р ИСО 14004-98 Системы управления окружающей средой. Общие руководящие указания по принципам, системам и средствам обеспечения функционирования

ГОСТ Р ИСО 14040-99 Управление окружающей средой. Оценка жизненного цикла. Принципы и структура

ГОСТ Р ИСО 14041-2000 Управление окружающей средой. Оценка жизненного цикла. Определение целей и области исследования и инвентаризационный анализ

ГОСТ Р ИСО 14050-99 Управление окружающей средой. Словарь

ГОСТ Р ИСО 14031-2001 Управление окружающей средой. Оценивание экологической эффективности. Общие требования

ГОСТ Р ИСО 14042-2001 Управление окружающей средой. Оценка воздействия жизненного цикла

ГОСТ Р ИСО 14043-2001 Управление окружающей средой. Интерпретация жизненного цикла

ГОСТ Р ИСО 19011-2003 Руководящие указания по аудиту систем менеджмента качества и/или систем экологического менеджмента

3 Термины, определения и сокращения

В настоящем стандарте применены термины по ГОСТ Р ИСО 140018, ГОСТ Р ИСО 14004, ГОСТ Р ИСО 14031, ГОСТ Р ИСО 14040, ГОСТ Р ИСО 14041, ГОСТ Р ИСО 14042, ГОСТ Р ИСО 14043, ГОСТ Р ИСО 14050, ГОСТ Р ИСО 19011, а так же следующие термины с соответствующими определениями и сокращениями:

3.1 показатель состояния окружающей среды; ПСОС: Показатель состояния окружающей среды в локальном, региональном, национальном или глобальном масштабах.

3.2 экологическая эффективность (характеристики экологичности): Результаты управления экологическими аспектами организации.

3.3 критерии экологической эффективности: Целевой или плановый экологический показатель или другой предусмотренный уровень экологической эффективности, заданный руководством организации и используемый для целей оценки экологической эффективности.

3.4 оценка экологической эффективности; ОЭЭ: Процесс, способствующий принятию управленческих решений, относящихся к экологической эффективности, методом выбора показателей; сбора и анализа данных, оценки информации по критериям экологической эффективности, составления отчетности и распространения информации, периодического пересмотра и улучшения этого процесса.

3.5 показатель экологической эффективности; ПЭЭ: Конкретная форма представления информации об экологической эффективности организации.

3.6 показатель эффективности управления; ПЗУ: Показатель экологической эффективности, обеспечивающий информацию об усилиях руководства, предпринимаемых с целью воздействия на экологическую эффективность организации.

3.7 показатель эффективности функционирования; ПЭФ: Показатель экологической эффективности, обеспечивающий информацию об экологической эффективности функционирования организации.

4 Общие положения

Оценка экологической эффективности (ОЭЭ) - внутренний процесс и инструмент управления, предназначенный для обеспечения руководства достоверной и подтверждаемой текущей проверкой информацией, позволяющей определить, соответствует ли экологическая

эффективность организации совокупности критериев, заданных руководством организации.

Методика оценки экологической эффективности аналогична методам оценки экономической эффективности с учетом экологических составляющих и позволяет:

- оценить соответствие экологической эффективности политике, целям, плановым показателям и другим критериям;

- определить необходимые действия для обеспечения соответствия экологической эффективности организации установленным критериям;

- выявить тенденции изменения экологической эффективности;

- идентифицировать стратегические возможности;

- идентифицировать экологические аспекты;

- оценить, какие экологические аспекты являются наиболее важными;

- задать критерии экологической эффективности. Экологическая эффективность определяется:

- выявлением мнений заинтересованных сторон;

- оценкой жизненного цикла продукции;

- проведением экологических аудитов;

- оценкой воздействия на окружающую среду;

- экологической экспертизой;

- оценкой экологических рисков.

Анализ мнений заинтересованных сторон дает информацию для определения приоритетов и задач по улучшению показателей экологической эффективности (экспертная оценка, оценка с использованием баллов).

Оценка жизненного цикла продукции включает рассмотрение воздействий на окружающую среду технологического процесса на протяжении всего жизненного цикла продукции (производство, эксплуатация, утилизация).

Экологический аудит определяет степень соответствия системы управления нормативным требованиям.

Оценка воздействия на окружающую среду осуществляется для принятия необходимых мер по предупреждению экологических, социальных, экономических и других последствий хозяйственной деятельности.

Экологическая экспертиза устанавливает соответствие намечаемой хозяйственной деятельности экологическим требованиям.

Оценка экологических рисков позволяет определить ущерб здоровью человека или биологическому объекту, наступающий в результате ухудшения качества окружающей среды.

5 Методика оценки экологической эффективности

Оценка экологической эффективности - внутренний процесс управления, использующий показатели, позволяющие сравнить прошлую и настоящую экологическую эффективность организации с

общепринятыми критериями в области охраны окружающей среды в данном регионе.

5.1 Модель процесса оценки экологической эффективности

Механизм ОЭЭ осуществляется по следующей схеме: «Планирование - Выполнение - Проверка - Действие» (рисунок 1).

Рисунок 1 - Модель оценки экологической эффективности

При оценке экологической эффективности предполагается учет с помощью оценочных показателей всей деятельности организации от использования ресурсов, реализуемых технологических процессов, выпускаемой продукции, получаемых отходов и т.п.

Показатели ОЭЭ подразделяют на две категории:

- показатели экологической эффективности;

- показатели состояния окружающей среды. ПЭЭ подразделяют на два типа:

показатели эффективности управления, обеспечивающие информацию об усилиях, предпринимаемых руководством с целью воздействия на экологическую эффективность организации;

- показатели эффективности функционирования, обеспечивающие информацию об экологической эффективности функционирования организации.

ПСОС дают представление о фактическом или потенциальном воздействии на окружающую среду экологических аспектов деятельности.

При выборе показателей ОЭЭ необходимо рассмотреть:

- соответствие их принятой экологической политике;

- соответствие функциональным характеристикам технологического процесса и состоянию окружающей среды;

- соответствие критериям экологической эффективности;

- достижимость в отношении экономической эффективности, затрат времени и финансов.

Показатели ОЭЭ могут быть выбраны на основе:

- экологического риска, когда отдельные процессы могут вызвать экологическую катастрофу или значительное загрязнение окружающей среды.

- риска для здоровья, когда долговременные эффекты воздействия на здоровье работников могут быть связаны с конкретным веществом и при этом существует значительный риск потери здоровья работниками.

- финансового риска, когда элементы экологической эффективности связаны с непроизводительными затратами.

- риска для устойчивого развития, когда экологические аспекты могут представлять угрозу для окружающей среды или конкурентоспособности.

5.2 Этапы оценки экологической эффективности

Методика оценки включает этапы, представленные в таблице 1.

Таблица 1 - Этапы оценки экологической эффективности

Этапы оценки

Содержание оценки

Планирование

- Выявление мнений заинтересованных сторон

- Оценка жизненного цикла продукции

- Экологический аудит

Выбор показателей ОЭЭ

- Показатели эффективности управления

- Показатели эффективности функционирования

- Показатели состояния окружающей среды

Сбор и анализ данных

- Обработка и анализ информации

Составление отчетности

- Отчет

5.2.1 Планирование

При планировании ОЭЭ необходимо учитывать:

- экологические аспекты, которые могут контролироваться и на которые можно повлиять;

- критерии экологической эффективности;

- интересы заинтересованных сторон;

- производственно-хозяйственную деятельность во всем ее диапазоне;

- организационную структуру;

- экологическую политику;

- информацию, необходимую для выполнения законодательных и других требований;

- соответствующие международные соглашения по охране окружающей среды;

- затраты на охрану окружающей среды и получаемые выгоды;

- информацию, необходимую для анализа финансовых аспектов экологической эффективности;

- локальные, региональные, национальные и глобальные условия окружающей среды;

- культурные и социальные факторы.

Для оценки экологических аспектов деятельности организации необходимо рассматривать:

- тип и масштабы используемых материалов и энергоносителей;

- выбросы в окружающую среду;

- величину риска;

- начальное и текущее состояние окружающей среды;

- возможность инцидентов (аварий);

- требования обязательных законодательных и нормативных актов.

Планировать ОЭЭ необходимо в соответствии с критериями экологической эффективности.

Для выбора критериев экологической эффективности учитывают:

- настоящие и прошлые характеристики;

- требования законодательства;

- результаты аудитов;

- мнения заинтересованных сторон;

- научные исследования.

5.2.1.1 Выявление мнений заинтересованных сторон.

К заинтересованным сторонам относят:

- представителей руководства;

- персонал;

- потребителей и поставщиков;

- контрольные и законодательные органы;

- общественность.

Заинтересованные стороны в зависимости от сферы деятельности могут представлять финансовые, экологические и другие интересы.

К финансовым интересам относят:

- уровень затрат на охрану окружающей среды;

- финансовые затраты, связанные с прошлыми или настоящими экологическими нарушениями;

- затраты, которые повышают экологическую эффективность производственных и технологических решений;

- преимущества, получаемые от экологических улучшений;

- затраты, связанные с обеспечением соответствия или несоответствия законодательным и нормативным правовым актам.

К экологическим интересам относят:

- здоровье и безопасность людей;

- реальные и ожидаемые экологические риски;

- экологические инциденты и происшествия;

- нагрузки на окружающую среду (выбросы, утечки, отходы), включая тенденции их изменения во времени;

- соответствие экологическим требованиям законодательных и нормативных актов;

- рациональное расходование материальных ресурсов.

Интересы устойчивого развития определяются, когда деятельность организации не превосходит критического уровня нагрузки на основные экологические системы и не угрожает интересам устойчивого экономического развития.

Мнения заинтересованных сторон выявляются путем:

- наблюдений и опросов;

- предложений;

- интервью;

- отслеживания нормативных актов и тенденций их изменения;

- руководящих указаний и стандартов;

- взаимодействия с органами контроля, потребителями и поставщиками;

- информации из средств массовой информации и других источников.

Пример выявления мнения заинтересованных сторон приведен в приложении А.

5.2.1.2 Оценка жизненного цикла продукции

Схема оценки жизненного цикла представлена на рисунке 2 и включает:

- определение целей и задач оценки;

- формирование входных и выходных материальных и энергетических потоков (инвентаризационный анализ);

- проведение необходимых расчетов в рамках инвентаризационного анализа;

- оценку потенциального воздействия, связанного с входными и выходными потоками вещества и энергии;

- интерпретацию результатов инвентаризационного анализа и анализа воздействий.

Рисунок 2 - Схема жизненного цикла продукции

Содержание, границы и уровень детализации оценки жизненного цикла должны соответствовать ГОСТ Р ИСО 14043 (рисунок 3).

Рисунок 3 - Содержание, границы и уровень детализации оценки жизненного уровня

При оценке жизненного цикла продукции должны быть рассмотрены:

- функции производственной системы;

- границы производственной системы;

- методология оценки воздействия на окружающую среду и последующего использования результатов;

- возможные допущения;

- возможные ограничения;

- требования к качеству исходных данных;

- необходимость экспертизы результатов;

- вид и форма представления результатов анализа.

Цели исследования и содержание инвентаризационного анализа при оценке жизненного цикла должны соответствовать требованиям ГОСТ Р ИСО 14040, ГОСТ Р ИСО 14041.

При оценке жизненного цикла продукции целесообразно представить производственную систему в виде блок-схемы, на которой представлены единичные процессы и связи между ними (рисунок 4).

Рисунок 4 - Совокупность единичных процессов в продукционной системе

В соответствии со схемой рисунка 4 следует:

- детально описать каждый единичный процесс и подготовить перечень категорий данных, связанных с ним;

- разработать глоссарий и определить единицы измерения;

- описать методы сбора данных и методики расчета;

- определить.

• энергетические и материальные потоки;

• продукцию и отходы;

• выбросы в воздух, сбросы в воду, почву.

Оценка жизненного цикла продукции может быть использована для:

- возможностей улучшения экологических аспектов деятельности организации на различных стадиях;

- принятия решений при стратегическом планировании;

- оценки экологической эффективности.

5.2.1.3 Экологический аудит

Категории аудитов системы менеджмента охраны окружающей среды представлены на рисунке 5.

Рисунок 5 - Категории аудитов систем менеджмента охраны окружающей среды

Внутренние аудиты проводятся обычно самой организацией или от ее имени сторонней организацией в закрепленных интервалах с целью:

- определения, соответствует ли система менеджмента охраны окружающей среды запланированным критериям;

- предоставления информации о результатах аудита руководству для дальнейшего совершенствования системы менеджмента охраны окружающей среды;

- предотвращения появления проблем в области охраны окружающей среды;

- подтверждения эффективности проведенных корректирующих и предупреждающих действий;

- оценки экологической эффективности;

- принятия декларации о соответствии.

Внешние аудиты проводятся, как правило, по требованию вышестоящих организаций.

Критерии аудита могут включать в себя политику, процедуры, стандарты (включая законы и нормы), требования системы менеджмента охраны окружающей среды и отвечать на вопрос: На соответствие чему (какому требованию) должна осуществляться деятельность?

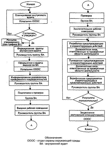
Блок-схема процесса внутреннего экологического аудита, проводимого организацией самостоятельно, показана на рисунке 6.

Основанием для проведения аудита является программа.

Формирование программы аудита, сбор и обработка информации представлены на рисунках 7 и 8.

Рисунок 6 - Блок-схема процесса внутреннего экологического аудита

Рисунок 7 - Этапы формирования и утверждения программы аудита

Рисунок 8 - Этапы сбора и обработки информации по экологическому аудиту

Объем программы аудита может меняться и на него может оказывать влияние:

- область распространения, цели и продолжительность аудита;

- частота аудитов;

- размер, вид, сложность организации;

- количество, важность, комплексность, сходство, размещение проверяемых подразделений;

- стандарты, политика, процедуры и другие критерии аудита;

- результаты предыдущих аудитов и их анализ;

- изменения в структуре организации.

Процедуры программы аудита должны включать:

- планирование и составление графиков аудитов;

- выбор соответствующих групп по аудиту;

- проведение аудитов «на месте»;

- ведение записей.

Подготовка к проведению внутреннего аудита «на месте» включает проведение следующих мероприятий:

- назначение руководителя группы внутреннего аудита;

- подготовка задания на аудит;

- инструктаж членов группы внутреннего аудита, распределение обязанностей между ними;

- подготовка рабочих документов.

Кандидатура руководителя группы внутреннего аудита выбирается из состава аттестованных для этих целей экспертов-аудиторов.

Руководитель группы внутреннего аудита несет полную ответственность за все этапы проверки. Он должен быть компетентным и опытным в области менеджмента охраны окружающей среды.

В его обязанности входит:

- организовывать проведение внутреннего аудита в строгом соответствии с заданием;

- оповещать руководителя проверяемого объекта о проведении внутреннего аудита, целях и критериях посредством ознакомления его (под роспись) с заданием на проверку;

- руководить ходом внутреннего аудита и принимать в нем личное участие, используя методы и способы, обеспечивающие получение достоверной и достаточной информации о проверяемом объекте;

- документирование хода проверки по установленным формам отчетности;

- доводить до проверяемых подразделений и служб организации результаты внутреннего аудита.

- консультировать проверяемые подразделения и службы организации в разработке корректирующих воздействий по устранению выявленных несоответствий.

- контролировать правильность и сроки составления планов корректирующих действий;

- оценивать эффективность выполнения намеченных корректирующих действий по устранению выявленных несоответствий.

Члены группы внутреннего аудита обязаны:

- проводить проверку в соответствии с целями проверки и указаниями руководителя проверки;

- руководствоваться документацией системы менеджмента охраны окружающей среды, относящейся к объекту проверки;

- документировать свидетельства проверки по установленным формам отчетности;

- анализировать и обобщать свидетельства проверки, необходимые для заключения по проводимой проверке;

- проявлять объективность и обеспечивать конфиденциальность;

- оценивать результативность и эффективность корректирующих мер.

Руководитель проверяемого подразделения обязан создать для проведения внутреннего аудита все необходимые условия, в том числе:

- информировать персонал подразделения о времени, целях и задачах проверки;

- назначить ответственных сотрудников из числа персонала для участия в проверке;

- обеспечить доступ к необходимому оборудованию, материалам и документации;

- обеспечить сотрудничество с членами группы и невмешательство в проверку;

- анализировать результаты проверки;

- определять и осуществлять корректирующие действия по несоответствиям, обнаруженным в ходе проверки.

К проведению внутреннего аудита при необходимости привлекаются помощники-консультанты из числа высококвалифицированных специалистов организации.

Подготовка рабочих документов. Рабочие документы должны быть подготовлены и использованы группой по проверке в качестве справочного материала и/или протоколов.

Они могут включать:

- проверочные(опросные)листы;

- контрольные вопросники;

- формы для заполнения данных, свидетельств, наблюдений.

Рабочие документы и любые записи должны храниться, по крайней мере, до завершения аудита.

Порядок проведения внутренних аудитов «на месте»

Проведение проверок «на месте» включает:

- вводное совещание;

- обмен информацией во время аудита;

- сбор и проверку информации;

- наблюдения внутреннего аудита;

- подготовку заключения по результатам аудита;

- проведение заключительного совещания.

В ходе вводного совещания руководитель внутреннего аудита должен:

- представить персоналу проверяемого подразделения членов аудиторской группы;

- изложить цели, область и критерии аудита;

- сообщить о способах получения информации и отчетности при аудите (опросные листы, протоколы о несоответствиях, отчет и др.);

- согласовать график (временной режим работы) и маршрут проведения аудита и т.п.

В зависимости от области и сложности аудита между членами группы аудита может возникнуть необходимость в обмене информацией.

Такая информация должна быть собрана и проверена во время аудита следующими методами:

- опросы:

- обследование (осмотр) проверяемого объекта, ознакомление с фактическим состоянием дел, окружающей производственной средой и условиями;

- анализ документов (нормативные документы, процедуры, технологические регламенты, записи и т.п.).

В каждой конкретной проверке методы сбора информации должны обеспечить подтверждение:

- наличия и доступности всех документов системы менеджмента охраны окружающей среды, обязательных для выполнения в проверяемом подразделении;

- соответствия деятельности подразделения установленным процедурам и запланированным в системе менеджмента охраны окружающей среды мероприятиям;

- соответствия результатов деятельности подразделения установленным целям в области охраны окружающей среды.

Информация внутреннего аудита может указать на соответствие или несоответствие критериям аудита.

Несоответствия и их свидетельства должны записываться и анализироваться соответствующими представителями проверяемого подразделения (получить свидетельство того, что они объективны и признаны). Необходимо устранить разногласия во мнениях по наблюдениям внутреннего аудита или свидетельствам. Неразрешенные при этом проблемы должны документально оформляться.

Группа по внутреннему аудиту до заключительного совещания должна осуществить следующее:

- подготовить рекомендации по корректирующим и предупреждающим действиям и улучшению аудируемой деятельности процесса;

- согласовать заключение по результатам аудита. Окончательные решения по содержанию выводов аудита остаются за руководителем группы внутреннего аудита, хотя с этим решением может не согласиться руководитель аудируемого подразделения.

Заключительное совещание проводится с целью доведения до сведения проверяемого персонала результатов работы аудиторской группы.

Ведет заключительное совещание руководитель группы внутреннего аудита. Совещание протоколируется одним из членов аудиторской группы только в том случае, если нет единого мнения по результатам аудита между группой внутреннего аудита и руководством аудируемого подразделения.

Руководитель группы внутреннего аудита знакомит персонал с заключением аудиторской группы, содержащим:

- обнаруженные несоответствия и замечания;

- выводы относительно эффективности деятельности подразделения в системе менеджмента охраны окружающей среды;

- рекомендации по улучшению осуществляемой деятельности.

В зависимости от области, сложности и полученных результатов проверки допускается вместо заключительного совещания только проинформировать о результатах проверки руководителя проверяемого подразделения.

Аудит производственного процесса

Аудит производственного процесса является наиболее эффективной формой, так как в ходе проверки в ее область вовлекается практически вся сеть процессов СМООС, включая процессы управленческой деятельности, обеспечения ресурсами, процессы жизненного цикла продукции, мониторинга и измерения. Механизм аудита производственного процесса показан на рисунке 9.

Рисунок 9 - Механизм аудита производственного процесса

Отличительными особенностями при подготовке к аудиту процесса являются:

- разграничение процесса, т.е. выбор процессов для проверки, определение входов, выходов процесса;

- маршрутизация процесса, т.е. установление последовательности этапов процесса;

- выбор элементов производства и соответствующих им критериев проверки.

Элементы производства, проводимые при аудите производственного процесса:

- документация;

- производственное оборудование;

- технология;

- технологическая оснастка и инструмент;

- персонал;

- основные и вспомогательные материалы;

- метрологическое обеспечение;

- энергетические ресурсы;

- культура труда и производства;

- программное обеспечение.

Документирование результатов внутренних аудитов

Руководитель группы внутреннего аудита несет ответственность за подготовку и содержание отчета по аудиту.

Отчет по внутреннему аудиту должен содержать полную, точную и понятную запись по проверке и включать:

- задание на проведение внутреннего аудита;

- акт внутреннего аудита;

- план реализации корректирующих действий и рекомендации по улучшению деятельности;

- ссылочные приложения.

Задание на проведение внутреннего аудита включает:

- вид проверки; объект проверки; цель проверки;

- область проверки;

- критерии проверки и ссылочные документы;

- состав группы внутреннего аудита;

- отметку об оповещении руководителя проверяемого подразделения.

Акт по внутреннему аудиту включает:

- дату;

- объект проверки: основание проверки;

- список членов группы внутренней проверки; перечень выявленных несоответствий;

- срок предоставления плана корректирующих мероприятий по выявленным несоответствиям;

- рекомендации по улучшению (если есть) и заключение по проведенному аудиту;

- подпись руководителя проверки, членов группы внутренней проверки, представителя проверяемого подразделения;

- перечень подразделений и лиц, которым предоставляется отчет.

Несоответствия в акте должны быть пронумерованы по порядку для того, чтобы план корректирующих мероприятий по устранению выявленных несоответствий предоставлялся в той же последовательности, со ссылкой к № несоответствий.

Возможны приложения к Акту в виде подтверждающего материала, статистических данных и т.д.

Корректирующие действия по устранению выявленных несоответствий должны осуществляться в соответствии с документированной процедурой. Для каждого мероприятия указывается срок выполнения и ответственный за его проведение.

Подготовку и оформление плана корректирующих действий в срок, указанный в акте, должен проводить руководитель проверяемого подразделения.

Контроль корректирующих мероприятий по устранению несоответствий, как правило, осуществляется в два этапа:

- руководителем подразделения систематически по ходу выполнения мероприятий;

- руководителем группы внутреннего аудита при проведении последующих проверок.

Отчеты по внутреннему аудиту должны быть утверждены и зарегистрированы. Аудит считается завершенным, если все действия, установленные планом, выполнены, а утвержденный отчет разослан подразделениям, определенным руководством.

5.3 Выбор показателей ОЭЭ

Показатели ОЭЭ выбираются для представления количественных или качественных данных состояния окружающей среды.

Количество выбранных показателей ОЭЭ должно отражать профиль и масштабы деятельности.

Показатели ОЭЭ могут быть агрегированными или взвешенными, в зависимости от предполагаемого использования.

5.3.1 Показатели эффективности функционирования системы экологического управления

Показатели эффективности функционирования используют для измерения экологической эффективности технологических объектов и оборудования (таблица 2).

Таблица 2 - Рекомендуемые показатели эффективности функционирования системы

Предметная область

Наименование показателей

Сырье, вспомогательные материалы

- состав сырья, включая наличие вредных веществ;

- наличие вредных и токсичных материалов и веществ в технологическом процессе;

- количество материалов, приходящихся на единицу продукции;

- количество повторно используемых материалов;

- количество воды, расходуемое на единицу продукции.

Энергоносители

- номенклатура энергоносителей;

- расход энергоносителей;

- количество расходуемой энергии, приходящееся на единицу продукции.

Технологические объекты и оборудование

- число часов работы оборудования в год;

- число аварийных ситуаций или нештатных ситуаций в год;

- земельная площадь, используемая для производства.

Снабжение и поставка

- средний расход топлива парком транспортных средств;

- число грузовых перевозок транспортными средствами в день;

- количество транспортных средств в парке, оборудованных технологическими устройствами для снижения вредных выбросов;

Продукция

- безопасность для окружающей среды;

- технология утилизации;

Производство

- уровень аварийности;

- состояние техники безопасности;

- технологические регламенты.

Газообразные, жидкие выбросы, твердые отходы, излучения

- состав и количество выбросов в атмосферу;

- состав и количество сбросов;

- состав и количество твердых отходов;

- уровень излучений;

- уровень шума;

- степень переработки отходов;

- количество выбросов загрязнителей, потенциально влияющих на уменьшение озонового слоя;

- количество выбросов загрязнителей, потенциально влияющих на изменение климата.

ПЭФ охватывают:

- входные материальные потоки, энергию;

- поставки для функционирования организации;

- функционирование и техническое обслуживание сооружений и оборудования;

- выходные потоки: продукцию, отходы (твердые, жидкие, опасные, безопасные, пригодные к восстановлению, повторному использованию), выбросы/сбросы (выбросы в атмосферу, сбросы в воду или землю, шум, вибрации, тепло, радиация, свет), являющиеся результатом функционирования организации.

5.3.2 Показатели эффективности управления

Показатели эффективности управления предусматривают наличие информации о выполнении требований законодательства, эффективном использовании ресурсов, регулировании затрат на управление окружающей средой.

Рекомендуемые показатели эффективности управления приведены в таблице 3.

Таблица 3 - Рекомендуемые показатели эффективности управления

Предметная область

Наименование показателей

Соответствие нормативным правовым требованиям

- цели экологической политики;

- базы данных с нормативно-правовыми актами, их актуализация;

- наличие экологических нормативов;

- наличие штрафных санкций за нарушение экологических нормативов;

- число достигнутых целевых и плановых показателей;

- число подразделений, выполнивших экологические целевые и плановые показатели;

- число внедренных мероприятий по предотвращению загрязнений;

- число работников, прошедших обучение;

- результаты проверки знаний работников по экологическим аспектам деятельности организации;

- время реагирования или коррекции действий в связи с экологическими инцидентами;

- число проведенных тренировочных занятий по обеспечению безопасности;

- готовность к авариям, проводимым на тренировочных занятиях.

Функционирование системы экологического управления

- экологические программы, планы;

- наличие документации на систему;

- лицензия на комплексное природопользование;

- экологическая экспертиза;

- оценка воздействия на окружающую среду;

- экологический мониторинг;

- экологический аудит;

- экологическое страхование.

Финансовые характеристики

- затраты (текущие и капитальные), связанные с экологическими аспектами продукции или процессов;

- экономия, достигнутая в результате предотвращения загрязнения или рециклинга отходов;

- средства на исследования и разработки, затраченные на экологические проекты;

Отношения с общественностью

- число расследований или замечаний по делам, связанным с экологией;

- число публикаций в прессе, связанных с экологической эффективностью организации;

- число программ или учебных материалов для экологического обучения населения;

- ресурсы, привлекаемые для обеспечения поддержки общественностью экологических программ;

- местные программы деятельности по восстановлению природы.

Организация работ

- распределение работ и ответственности;

- стимулирование экологической активности;

- программы экологического обучения персонала.

Показатели могут быть использованы для отслеживания:

- внедрения и эффективности различных программ;

- финансовых затрат и выгод;

- возможности предупреждающих действий.

5.3.3 Показатели состояния окружающей среды

Номенклатура показателей должна быть технически оправдана и отражать сбалансированный функциональный подход к оценке технологического процесса.

Конкретные показатели состояния окружающей среды должны быть охарактеризованы количественно (абсолютными, удельными, относительными, агрегативными значениями) и отвечать следующим требованиям:

- отражать изменения в пределах коротких промежутков времени;

- предопределять тенденции, связанные с ухудшением состояния окружающей среды;

- иметь целевую направленность.

Организация может разработать показатели для оценки экологической эффективности в соответствии со своими возможностями, интересами и потребностями.

Механизм разработки и оценки показателей состояния окружающей среды, представлен на рисунке 10.

Рисунок 10 - Механизм разработки и оценки показателей состояния окружающей среды

Показатели состояния окружающей среды позволяют:

- выполнить идентификацию и управление экологическими аспектами производственной деятельности;

- оценить приемлемость критериев экологической эффективности;

- выбрать показатели эффективности управления и функционирования производственной структуры;

- определить состояние окружающей среды в связи с реализуемой экологической программой;

- определить необходимость дальнейших действий. Рекомендуемые показатели состояния окружающей среды представлены в таблице 4.

Таблица 4 - Рекомендуемые показатели состояния окружающей среды

Предметная область

Наименование показателей

Использование природных ресурсов

- расход не возобновляемых природных ресурсов;

- воздействие на почву;

- воздействие на водоемы;

- воздействие на лес;

- воздействие на атмосферу (выбросы).

Использование земель

- площадь земель, изымаемых (изъятых) в постоянное и временное пользование (всего и по категориям земель: пашня, пастбища, сенокосы, леса, болота, солончаки и прочие несельскохозяйственные земли) (га);

- ограничения по использованию земельных ресурсов (особо охраняемых земель, водоохранной зоны, земель заповедного, рекреационного и историко-культурного назначения) (га);

- объем земляных работ (выемки, карьеры, отвалы) (куб. м);

- нарушение почвенного покрова (виды нарушений и площадь нарушенных земель) (га);

- фоновые концентрации загрязняющих веществ в почвогрунтах до начала хозяйственной деятельности и уровни предельного загрязнения почвогрунтов (по компонентам, с указанием класса токсичности) (мг/кг);

- условия снятия и сохранения плодородного слоя (площадь (га) и мощность (м) снимаемого слоя, условия складирования);

- мероприятия по сохранению (восстановлению) почвенного плодородия и ликвидации последствий загрязнения (вид мероприятия и площадь) (га);

- рекультивация земель (техническая и биологическая рекультивация, инженерная защита территории от загрязнения, подтопления, затопления по типам нарушений) (га).

Использование атмосферы

- предельно допустимые выбросы загрязняющих веществ отдельными источниками (по компонентам) (т/год, г/с);

- лимиты выбросов загрязняющих веществ отдельными источниками (по компонентам) (т/год, г/с);

- фоновые концентрации (до начала хозяйственной деятельности) и уровни предельных концентраций основных загрязняющих веществ в атмосферном воздухе);

- мероприятия по охране воздушного бассейна (в т.ч. по достижению ПДВ (ВСВ).

Использование водных ресурсов

- лимит использования водных ресурсов (забор свежей воды из поверхностных водоемов, забор подземных вод (тыс. куб. м/год; куб. м/сутки; куб. м/с);

- сезонное водопотребление и водоотведение (тыс. куб. м); - возможное ограничение водопотребления в маловодные годы;

- объемы и категории воды, отводимой в оросительные системы (с учетом использования сточных вод), в накопители и т.д. (тыс. куб. м/год; куб. м/сутки.);

- предельно-допустимый сброс (ПДС) веществ со сточными водами в водный объект (по компонентам) (г/час, т/год);

- лимит сброса загрязняющих веществ – количество сбрасываемых сточных вод в водный объект по каждому выпуску (тыс. куб. м/год; куб. м/сутки) и их характеристика (фактическая концентрация, (мг/л);

- фоновые концентрации загрязняющих веществ в водных объектах (до начала хозяйственной деятельности) и уровни предельного загрязнения водных объектов (по компонентам) (мг/л);

- режим эксплуатации водохранилищ, включая объем природоохранного пропуска;

- природоохранные мероприятия, в т.ч. первоочередные;

- прочие условия водопользования, включая условия сплава древесины.

Размещение отходов

- перечень отходов, разрешенных к размещению (наименование и класс опасности);

- объемы (лимиты) размещаемых отходов (по годам на срок выдачи разрешения) (т/сутки, т/год);

- условия и место захоронения(обезвреживание, способ складирования и хранения, мероприятия по защите грунтовых вод от загрязнения).

Лимиты техногенной нагрузки на ландшафтные сообщества

- лимиты пользования (площадь угодий, подвергающихся полному уничтожению, вырубкам, уничтожению отдельных групп растений, редких, эндемичных видов) (га);

- ограничения по использованию лесных насаждений (особо ценных насаждений, молодняка, подроста, сеянцев, спелых древостоев);

- ограничения по использованию растительных ресурсов (не древесных растений - мхов, лишайников, трав, ягодников, кустарников);

- условия пользования растительностью в санитарно-защитной зоне (запрет на сенокошение, выпас скота, выращивание различных групп сельскохозяйственных культур);

- мероприятия по восстановлению и сохранению растительности (площади лесовосстановительных и других лесо- и лугово-мелиоративных работ) (га).

Воздействие на человека

- рост заболеваемости;

- повышение смертности;

- эпидемиологическая обстановка.

Эстетические факторы

- контроль за состоянием мест, рассматриваемых как охраняемые, вблизи объектов предприятия.

Условия сохранения животного мира

- лимиты по использованию фауны (по видам);

- лимиты по использованию биоты (перечень мест обитания и путей миграции промысловых, редких, эндемичных и занесенных в Красную книгу видов животных, наличие охранных территорий, для рыб - зимовальных ям, мест нереста и нагула);

- мероприятия по сохранению мест обитания животных и их кормовой базы;

- мероприятия по сохранению и восстановлению численности отдельных видов животных;

- рыбозащитные мероприятия.

5.4 Сбор и анализ данных

Процедуры сбора данных по каждому из методов ОЭЭ должны осуществляться систематически, при этом необходимо обеспечивать их достоверность, предусматривать идентификацию, хранение, поддержание, выборку, размещение информации (рисунок 11).

Рисунок 11 - Схема использования данных и информации

Часть данных, необходимых для оценки экологической эффективности (данные регулярной отчетности, данные по интенсивности выбросов и сбросов, информация по управлению риском, финансовые и статистические данные и т.п.) могут собираться в рамках обычной деятельности организации, включающей:

- мониторинг и измерения;

- интервью и наблюдения;

- отчеты надзорных органов;

- инвентаризационные и производственные записи (протоколы);

- финансовые и бухгалтерские записи;

- записи о закупках;

- отчеты по экологической экспертизе, аудиту или оценке экологической деятельности организации;

- записи по экологическому обучению;

- научные отчеты и исследования.

Процесс оценки должен включать мероприятия по проверке точности получаемой информации и по сравнению их (достижение или превышение) с критериями экологической эффективности. Такое сравнение может указывать на улучшение или ухудшение экологической эффективности. Результаты этого сравнения показывают, почему достигнуты или не достигнуты критерии экологической эффективности.

Персонал, выполняющий работы по измерениям, испытаниям, анализу и оценке, должен иметь соответствующую квалификацию.

Анализ информации представляет процесс преобразования полученных данных в показатели экологической эффективности и должен охватывать все имеющие источники.

При анализе информации по отклонениям и сбоям основное внимание должно быть уделено выявлению их причин и разработке соответствующих мероприятий по их корректировке и устранению.

Информация об экологической эффективности может быть получена также с использованием расчетов, экспертных оценок, статистических методов и/или графических средств, путем индексирования (использования относительных значений), агрегирования или получения средневзвешенных значений, для:

- повышения эффективности затрат;

- выявления новых проблем;

- идентификации более эффективных показателей;

- проведения необходимых изменений в инструментальных средствах на этапах анализа и оценки;

- принятия рекомендуемых предложений по улучшению.

Руководит работами по оценке экологической эффективности представитель руководства по СМООС, рассматриваются результаты оценки экологической эффективности на координационном совете.

Рекомендуемая распорядительная документация по организации работ в СМООС приведена в приложении Б.

5.5 Составление отчетности

Информация об экологической эффективности деятельности организации должна быть представлена в виде отчета и может быть использована как внутри организации, так и для передачи заинтересованным организациям.

Отчетная информация внутри организации может отражать:

- степень соответствия показателей эффективности потребностям производства;

- степень соответствия требованиям нормативных актов;

- возможную юридическую и финансовую ответственность;

- текущее состояние показателей эффективности организации;

- возможности улучшения показателей;

- ожидания заинтересованных сторон;

- достигнутые результаты;

- исходные данные для повышения экологического образования и создания программ обучения.

Информация для внешних заинтересованных сторон должна отражать:

- наличие экологической политики или определенных принципов коммуникации с заинтересованными сторонами;

- подписание деклараций или экологической инициативы;

- сообщение средствам массовой информации сведений об управлении качеством окружающей среды или практическом уровне достигнутых характеристик экологичности производства.

Результаты ОЭЭ следует периодически рассматривать для выявления возможностей улучшения экологических аспектов деятельности организации.

По результатам ОЭЭ целесообразно составлять мероприятия или программы, направленные на улучшение экологической ситуации в районах осуществления промышленно-хозяйственной деятельности организации.

Приложение А (рекомендуемое)

Пример выявления мнения заинтересованных сторон

Оценка мнений заинтересованных сторон должна осуществляться при использовании различных информационных источников, в роли которых могут выступать: существующая в организации документация, данные прямых измерений, результаты интервьюирования и анкетирования, изученный опыт природоохранной деятельности отечественных и зарубежных организаций подобного профиля.

Выявление мнений заинтересованных сторон может быть оценено с помощью экспресс-анализа (таблица А.1), сущность которого состоит в том, что каждый член экспертной комиссии выставляет баллы по каждому подпункту таблицы, которые затем с помощью расчета средней арифметической позволяют найти средние баллы вначале по каждому подпункту, затем по каждому основному пункту и по всей таблице. Экспертная комиссия включает 10-15 человек. Это квалифицированные специалисты и руководители организации, связанные с природоохранной деятельностью.

Таблица А. 1 - Экспресс-анализ выявления мнений заинтересованных сторон

Анализируемый фактор

Показатели состояния

Индивидуальная экспертная оценка фактора, баллы

Средняя экспертная оценка фактора, баллы

1

2

3

1

2

3

4

5

6

7

8

9

Сектор экономики

Экологическая опасность организации для окружающей среды

 

 

 

 

 

 

 

Степень загрязнения окружающей среды

Контролируемые и неконтролируемые выбросы загрязняющих веществ в атмосферу (масса, опасность)

 

 

 

 

 

 

 

 Контролируемые и неконтролируемые сбросы загрязняющих веществ на рельеф местности, систему ливневой канализации и поверхностные водоемы (масса, опасность)

 

 

 

 

 

 

 

Санкционированное и несанкционированное размещение отходов (масса, токсичность)

 

 

 

 

 

 

 

Оказание вредного физического воздействия на окружающую среду (шум, тепло, вибрации, радиационное и электромагнитное излучение)

 

 

 

 

 

 

 

Итого

 

 

 

 

 

 

 

Ресурсоемкость производства

Материалоемкость производства

 

 

 

 

 

 

 

Водоемкость производства

 

 

 

 

 

 

 

Землеемкость производства

 

 

 

 

 

 

 

Энергоемкость производства

 

 

 

 

 

 

 

Итого

 

 

 

 

 

 

 

Продукция

Использование в производстве продукции опасных веществ и материалов

 

 

 

 

 

 

 

Безопасность потребления продукции для здоровья человека и окружающей среды

 

 

 

 

 

 

 

Итого

 

 

 

 

 

 

 

Производственные процессы

Экологическое состояние производственных помещений, промышленной площадки, санитарно-защитной зоны

 

 

 

 

 

 

 

Вероятность возникновения и быстрота устранения аварийных ситуаций

 

 

 

 

 

 

 

Итого

 

 

 

 

 

 

 

Вовлечение работников организации в природоохранную деятельность

Соблюдение работниками экологической дисциплины

 

 

 

 

 

 

 

Экологическое информирование работников

 

 

 

 

 

 

 

Экологическое образование работников

 

 

 

 

 

 

 

Мотивация работников к природоохранной деятельности

 

 

 

 

 

 

 

Итого

 

 

 

 

 

 

 

Демонстрация деятельности в области экологического менеджмента

Наличие печатных экологических информационных материалов и отчетности

 

 

 

 

 

 

 

Ведение финансово-экологической отчетности

 

 

 

 

 

 

 

Осуществление экологической рекламы

 

 

 

 

 

 

 

Итого

 

 

 

 

 

 

 

Связь с внешним миром

Отношения с государственными органами экологического контроля и управления

 

 

 

 

 

 

 

Отношения с органами местной власти

 

 

 

 

 

 

 

Связь с поставщиками и смежниками

 

 

 

 

 

 

 

Отношения с потребителями продукции

 

 

 

 

 

 

 

Связь с экологическими общественными организациями

 

 

 

 

 

 

 

Информирование местного населения

 

 

 

 

 

 

 

Итого

 

 

 

 

 

 

 

Управление охраной окружающей среды

Наличие структуры экологического управления. Разграничение прав и обязанностей в области охраны природы

 

 

 

 

 

 

 

 Наличие системы экологического мониторинга

 

 

 

 

 

 

 

 Итого

 

 

 

 

 

 

 

Развитие инициативной экологической деятельности

Научно- исследовательская деятельность

 

 

 

 

 

 

 

Общеобразовательная деятельность

 

 

 

 

 

 

 

Благотворительная деятельность

 

 

 

 

 

 

 

Информационная деятельность

 

 

 

 

 

 

 

Итого

 

 

 

 

 

 

 

Развитие системы экологического менеджмента в организации

Разработка и декларирование экологической политики организации

 

 

 

 

 

 

 

Аудит системы экологического менеджмента. Оценка и анализ достигнутых результатов

 

 

 

 

 

 

 

Демонстрация соответствия положениям стандарта ISO 14001

 

 

 

 

 

 

 

Сертификация СУОС на соответствие требованиям стандарта ISO 14001

 

 

 

 

 

 

 

Распространение деятельности в области системы экологического менеджмента на смежников, поставщиков, деловых партнеров

 

 

 

 

 

 

 

Итого

 

 

 

 

 

 

 

 

 

Средний бал

 

 

 

 

 

 

 

 

 

 

Примечание - По каждому содержащемуся в таблице фактору ставится экспертная оценка (1 - очень плохо, 2 - плохо, 3 - удовлетворительно, 4 - хорошо, 5 - отлично).

Перечень вопросов составляется исходя из специфики организации и целей анализа.

На основании проведенного экспресс-анализа выявляются «узкие» места в осуществляемой природоохранной деятельности. Проведение последующих этапов способствует достижению следующих целей и задач:

- определение позиции предприятия к проблемам охраны окружающей среды, использованию природных ресурсов, безопасности персонала;

оценка соответствия производственно-хозяйственной деятельности предприятия требованиям экологического

законодательства и другим нормативным правовым актам;

- выявление экологических аспектов деятельности организации, связанных со значительным воздействием на окружающую среду;

- оценка ранее имевших место аварийных ситуаций;

- обоснование наличия трудовых, материальных и финансовых ресурсов, необходимых для организации и развития системы экологического менеджмента.

Приложение Б (рекомендуемое)

Рекомендуемая распорядительная документация по организации работ в СМООС

ПРИМЕР ПРИКАЗА О НАЧАЛЕ РАБОТ И СОЗДАНИИ КООРДИНАЦИОННОГО СОВЕТА

ПРИКАЗ

___________№___________

Для выполнения работ по созданию и внедрению системы менеджмента охраны окружающей среды (далее - СМООС)

ПРИКАЗЫВАЮ:

1. Для координации и методического руководства работами по системе управления рисками создать под моим руководством Координационный совет по разработке, внедрению, функционированию и совершенствованию СМООС в составе:

_________________________________________________, Генеральный директор,

председатель Координационного совета,

_________________________________,___________________________________________

                                                                                                                       наименование должности

заместитель председателя по вопросам методического руководства,

_________________________________,___________________________________________

                                                                                                                       наименование должности

заместитель председателя по вопросам координации и организационного руководства,

_________________________________,___________________________________________

                                                                                                                       наименование должности

заместитель председателя по вопросам контроля выполнения работ по СМООС.

_____________________________________________________________________________

Члены Координационного совета:____________________________

_____________________________________________________________________________

2. Назначить ответственным исполнителем по СМООС

_____________________________________________________________________________

3. Представить на рассмотрение Координационному совету в срок до_____________

структуру СМООС (ответственный_______________).

4. Организовать изучение теории и передового опыта СМООС членами

Координационного совета (ответственный________________).

В срок до ______________ представить мне на утверждение

тематический план и график занятий.

Контроль за выполнением настоящего приказа возлагаю на

___________________________, заместителя Координационного совета.

   наименование должности

Генеральный директор

РЕКОМЕНДУЕМОЕ ПОЛОЖЕНИЕ О КООРДИНАЦИОННОМ СОВЕТЕ СМООС

УТВЕРЖДАЮ
Генеральный директор

ПОЛОЖЕНИЕ
о Координационном совете по созданию, внедрению,
функционированию и совершенствованию СМООС

1 ОБЩИЕ ПОЛОЖЕНИЯ

1.1 Настоящее положение распространяется на деятельность Координационного совета по созданию, внедрению, функционированию и совершенствованию системы менеджмента охраны окружающей среды (далее - СМООС).

1.2 Настоящее положение разработано на основании приказа ______________от ____________ №____.

1.3 Координационный совет является высшим коллегиальным координационно-совещательным органом при генеральном директоре.

СМООС представляет собой структуру управляющих органов и объектов управления, взаимодействующих с помощью организационно-методических, технологических и экономических норм, правил и процедур, обеспечивающих скоординированные действия в части снижения и управления рисками.

1.4 Назначение Координационного совета состоит в осуществлении общего координационного и организационного руководства всеми подразделениями.

Координационный совет осуществляет управление на основе рационального сочетания линейного руководства, целевого и функционального управления.

1.5 Работой Координационного совета руководит генеральный директор. Как председатель он назначает заместителей по организационным, методическим вопросам и вопросам контроля исполнения решений.

1.6 В состав постоянных членов Координационного совета включаются заместители Генерального директора, руководители функциональных подразделений, а также могут быть включены специалисты научно-исследовательских институтов, высших учебных заведений и территориальных органов.

Персональный состав Координационного совета утверждается генеральным директором.

1.7 Координационный совет в своей деятельности руководствуется указаниями вышестоящих органов и настоящим положением.

1.8 Деятельность Координационного совета осуществляется на основе плана работы, который составляется ежегодно.

1.9 Все постоянные члены Координационного совета должны пройти курс обучения в системе подготовки и переподготовки кадров по теме создания, внедрения и совершенствования СМООС.

2 ОСНОВНЫЕ ЗАДАЧИ И ФУНКЦИИ

2.1 Координационный совет осуществляет функции планирования, организации, контроля, внедрения и т.п.

2.1.1 Планирование работ включает:

- рассмотрение комплексных программ по СМООС, планов мероприятий, обеспечивающих выполнение работ по СМООС, документов по договорам о сотрудничестве со сторонними организациями и т.п.;

- определение состава подразделений-исполнителей, а также этапов, очередей, сроков и объемов работ, включая финансирование.

2.1.2 Организация работ включает:

- рассмотрение разработанных подразделениями объединения нормативных документов, входящих в состав СМООС;

- рассмотрение структуры СМООС;

- рассмотрение проектов организационно-распорядительных документов (приказов, распоряжений и т.д.);

- рассмотрение целесообразности привлечения к участию в работах сторонних организаций.

2.1.3 Координация работ включает:

- рассмотрение схем взаимодействия подразделений при внедрении и функционировании; матриц распределения функций, полномочий, работ, прав и ответственности;

- рассмотрение форм организационно-распорядительных и нормативных документов;

- обеспечение взаимоувязки разрабатываемых нормативных документов с действующими нормативными документами.

- организацию сотрудничества со сторонними организациями;

- выявление и сглаживание противоречий и конфликтных ситуаций, возникающих при выполнении работ по СМООС.

2.1.4 Регулирование работ включает:

- выявление "узких мест" и отклонений от планов и графиков выполнения работ;

- рассмотрение результатов разработки нормативных документов по СМООС в целом;

- принятие мер воздействия на разработчиков нормативных и организационно-распорядительных документов, не выполнивших установленные требования и задания.

2.1.5 Контроль выполнения включает:

- проведение регулярных и выборочных проверок выполнения программ, планов, графиков, организационно-распорядительных документов, в том числе решений Координационного совета; проведение экспертиз разрабатываемых нормативных документов по СМООС.

3 ПРАВА

3.1 Координационный совет имеет права:

предоставлять на утверждение генеральному директору:

- программы, планы, графики проведения работ по СМООС;

- разработанные нормативные документы по СМООС;

- обоснованные изменения в действующих планах, графиках проведения работ по СМООС;

требовать:

- представления от подразделений дополнительных материалов при рассмотрении нормативных документов по СМООС;

- проведения дополнительных исследований, разработок, расчетов, технико-экономических обоснований;

- доработки или переделки представленных к рассмотрению документов;

- внесения изменений в планы работы подразделений;

- представления руководителями подразделений сведений о ходе работ по СМООС;

- объяснения причин невыполнения в срок работ по СМООС, а также представления предложений о мероприятиях по устранению причин невыполнения.

3.2 Члены Координационного совета имеют право:

- докладывать Координационному совету мнение по любому из рассматриваемых вопросов;

- требовать отражения своего особого мнения в протоколах Координационного совета;

- требовать включения в повестку дня отдельных вопросов по СМООС;

- требовать проверки информации, представляемой Координационному совету;

- контролировать от имени Координационного совета выполнение его решений.

4 ОТВЕТСТВЕННОСТЬ

4.1 Координационный совет несет ответственность:

- за качество и научно-технический уровень разрабатываемой нормативной и организационно-распорядительной документации, соответствие этой документации установленным требованиям;

- внедрение новейших достижений в области совершенствования СМООС.

РЕКОМЕНДУЕМОЕ ПОЛОЖЕНИЕ О ПРЕДСТАВИТЕЛЕ РУКОВОДСТВА ПО СМООС

УТВЕРЖДАЮ
Генеральный директор

ПОЛОЖЕНИЕ
о представителе руководства по СМООС на период разработки и внедрения

1 ОБЩИЕ ПОЛОЖЕНИЯ

1.1 Настоящее положение распространяется на деятельность представителя руководства по системе менеджмента охраны окружающей среды (далее - СМООС).

1.2 Настоящее положение разработано на основании приказа от _____________№________________.

1.3 Представитель руководства относится к руководящим органам СМООС.

1.4 Область управления представителя руководства по СМООС включает установление сбалансированного распределения полномочий и ответственности, обеспечивающих единство целевого и функционального управления.

1.5 Основная задача представителя руководства по СМООС заключается:

- в методическом руководстве деятельностью функциональных подразделений в части разработки нормативной документации, регламентирующих содержание, структуру и правила функционирования СМООС:

- текущем управлении работами всех видов, на всех этапах и стадиях создания, внедрения, функционирования и совершенствования СМООС.

1.6 Представитель руководства по СМООС назначается из числа заместителей Генерального директора.

1.7 По всем вопросам, относящимся к разработке и внедрению СМООС, представитель руководства подотчетен Генеральному директору.

В отношениях с работниками аппарата управления представитель руководства по СМООС выступает как полномочный представитель Генерального директора в рамках компетенции и сферы ответственности, установленных настоящим положением.

В функциональном подчинении у представителя руководства по СМООС находятся:

- отдел охраны окружающей среды;

- координационные рабочие группы СМООС;

- ответственные исполнители;

- уполномоченные.

1.8 Настоящее положение содержит только те функции, права и ответственность, которые связаны с выполнением работ по СМООС.

1.9 Представитель руководства по СМООС в своей работе руководствуется Уставом организации, положениями о функциональных подразделениях, должностными инструкциями, комплексом стандартов и нормативных документов по вопросам управления рисками, приказами, письмами и распоряжениями вышестоящих организаций и настоящим Положением.

2 ЗАДАЧИ И ФУНКЦИИ

2.1 Представитель руководства по СМООС осуществляет руководство работами по всем элементам управленческого цикла (планирование, организация, координация, регулирование, активизация, стимулирование, контроль, учет и анализ).

2.1.1 Планирование работ включает:

- согласование планов и графиков работ, а также документов по договорам, заключаемым на работы по СМООС.

2.1.2 Организация работ включает:

- согласование нормативных и организационно-распорядительных документов, а также положений о коллегиальных органах (комиссий, советов и т.п.);

- привлечение к участию в работах специалистов сторонних организаций;

- формирование коллегиальных органов (комиссий, советов и т.п.)

- внедрение нормативных документов (разработанных в объединении и вышестоящими органами).

2.1.3 Координация работ включает:

- распределение функций, прав, ответственности подразделений, участвующих в работах;

- согласование предложений к планам и программам по СМООС.

2.1.4 Регулирование работ включает:

- сбор данных об отклонениях от планов и графиков выполнения работ и от установленных требований к НД;

- корректировку НД на СМООС по результатам их рассмотрения на Координационном совете.

2.1.5 Контроль выполнения работ включает:

- проведение регулярных и выборочных проверок хода выполнения работ по СМООС;

- проверку исполнения решений Координационного совета.

2.1.6 Учет выполнения работ включает:

- сбор сведений от руководителей функциональных подсистем о ходе выполнения работ, подготовку отчетов и предоставление их в Координационный совет, в вышестоящие органы и другие сторонние организации по принадлежности.

3 ПРАВА

3.1 Представитель руководства по СМООС имеет право:

3.1.1 Представлять в Координационный совет и на утверждение Генеральному директору:

- планы и графики работ;

- предложения о мероприятиях, необходимых для обеспечения выполнения планов и графиков создания СМООС;

- предложения о необходимости воздействия на руководителей, нарушающих сроки выполнения работ.

3.1.2 Согласовывать:

- все нормативные документы по техническим, экономическим и организационным решениям, связанным с функционированием СМООС;

- все нормативные документы, содержащие решения по вопросам взаимодействия.

3.1.3 Утверждать:

- все изменения в действующих планах и графиках по созданию СМООС;

- нормативную документацию, содержащую решения по вопросам взаимодействия с соответствующими подразделениями-соисполнителями;

- графики выполнения работ;

3.1.4 Требовать:

- подтверждения любой представленной и использованной информации;

- предоставления сведений от руководителей и ответственных исполнителей о ходе выполнения работ.

3.1.5 Давать указания:

- руководителям и ответственным исполнителям о проведении мероприятий, обеспечивающих своевременное выполнение работ.

3.2 Представитель руководства по СМООС имеет право:

- опротестовывать произведенные без его согласования изменения планов, графиков и мероприятий, препятствующих своевременному выполнению работ;

- обращаться к Генеральному директору с предложениями о мероприятиях, необходимых для обеспечения выполнения работ;

- обращаться в Координационный совет с предложением отдельного рассмотрения вопросов по содержанию и функционированию СМООС.

4 ОТВЕТСТВЕННОСТЬ

4.1 Представитель руководства по СМООС несет перед Генеральным директором и Координационным советом ответственность:

- за своевременное выполнение работ по созданию СМООС;

- своевременное и полное выполнение (внедрение) рассмотренных Координационным советом или Генеральным директором технических, организационных и экономических решений;

- обоснованность предложений по планам, графикам, мероприятиям •и решениям, предоставляемым Координационному совету на рассмотрение;

- своевременность обращения в Координационный совет и к Генеральному директору по вопросам, требующим вмешательства;

- своевременность и достоверность представляемых сведений о ходе выполнения работ по созданию СМООС;

- научно-технический или технико-организационный уровень СМООС;

- качество нормативных документов, регламентирующих содержание и функционирование СМООС.

Ключевые слова: система менеджмента охраны окружающей среды, экологическая эффективность, оценка экологической эффективности, методика оценки экологической эффективности.

 




ГОСТЫ, СТРОИТЕЛЬНЫЕ и ТЕХНИЧЕСКИЕ НОРМАТИВЫ.
Некоммерческая онлайн система, содержащая все Российские Госты, национальные Стандарты и нормативы.
В Системе содержится более 150000 файлов нормативно-технической документации, действующей на территории РФ.
Система предназначена для широкого круга инженерно-технических специалистов.

Рейтинг@Mail.ru Яндекс цитирования

Copyright © www.gostrf.com, 2008 - 2026