|
|
|
Центральный научно-исследовательский и ЦНИИЭП жилища РЕКОМЕНДАЦИИ Москва - 2005 г. УТВЕРЖДЕНЫ Председателем
Научно-технического совета, Автор - д.т.н. В.С. Зырянов Настоящие Рекомендации разработаны в развитие СНиП 52-01-2003 и СП 52-101-2003 и содержат методы расчета и конструирования сплошных сборных железобетонных плит перекрытий и покрытий жилых и общественных зданий. Приведены расчеты плит на действие эксплуатационных нагрузок и на монтажные воздействия. Методика расчетов иллюстрируется примерами. Содержание Основные буквенные обозначенияГеометрические характеристики l1 - короткий пролет плит, опертых по контуру, и пролет вдоль свободного края плит, опертых по трем сторонам (см; м); l2 - пролет в перпендикулярном к l1 направлении (см; м); λ - отношение пролетов l2/l1; h - толщина плиты (см); γ - относительная гибкость γ= l2/h. Характеристики армирования As1 - суммарная площадь арматуры вдоль пролета l1 (см2); AS2 - то же, вдоль пролета l2 (см2); as1, a S2 - площади арматуры, соответствующие As1 и AS2, на 1 м сечения плиты (см2); As11 - часть арматуры As1, пересекающая сечение плиты EF (см2); As12 - то же, пересекающая остальную часть сечения 1-1 (см2); as11, - площади арматуры, соответствующие As11 и AS2, a S12, на 1 м сечения плиты (см2); φс - коэффициент концентрации арматуры у центра плиты, опертой по контуру, или у свободного края плиты, опертой по трем сторонам; ho1, ho2 - рабочие высоты арматуры соответственно As1 и AS2. Нагрузки а) Равномерно распределенные по площади (кПа) Нормативные: qw - от собственного веса; qs1 - от веса панельных перегородок, санкабин и др., передаваемые до защемления перекрытий в стенах; qr1 - от веса мелкоштучных перегородок, санузлов "россыпью", конструкций пола и др., передаваемые после защемления перекрытий в стенах; qt - временная полная; qtl - временная пониженная; qn - полная; ql - длительная. Расчетные: q - по прочности; qij - по деформациям. б) Линейные (кН/м) рi - действующие аналогично qi. в) Сосредоточенные (кН) Рi - тоже. Действующие усилия: Msp - изгибающий момент в пролете на .1 м от нормативной нагрузки в сечении 1-1 в центре при опирании. по контуру и у свободного края при опирании по трем сторонам; Msup - то же, в опорных сечениях; m - отношение максимальных моментов на 1 м сечений, нормальных к пролетам l2 и l1, m = m2/m1; αi - справочные коэффициенты для определения моментов Mi в упругой стадии. Внутренние усилия
Ksp - коэффициент, учитывающий повышение прочности при расчете плит, опертых по контуру, с учетом пространственной работы; Кс - коэффициент, учитывающий эффект концентрации арматуры у свободного края плит, опертых по трем сторонам; xi - высоты сжатых зон (см); d - расстояние от верха недеформированной плиты до центра тяжести сжатой зоны деформированной плиты (см); Zi - плечи внутренних сил (см); Mcrc - момент трещинообразования (кНм); Nsi - равнодействующие усилий в арматуре i-гo направления (кН). Несущая способность (кПа) quit - предельная нагрузка по прочности; qult,2 - то же, при характеристиках материалов, соответствующих расчету по предельным состояниям второй группы. Трещиностойкость (кПа) qcrc - нагрузка в момент образования трещин; qscrc - то же, при свободном (шарнирном) опирании. Прогибы f - прогиб от нормативной нагрузки (см); fcrc - прогиб перед образованием трещин (см); fult - прогиб в предельном состоянии по прочности (см); fult,2 - то же, при характеристиках материалов для предельных состояний второй группы (см);
Кг - коэффициент, учитывающий влияние защемления опорного контура на fult,2; Kf - коэффициент, учитывающий отличие значения fult,2 в центре плит, опертых по контуру, и в середине свободного края плит, опертых по трем сторонам, от значения fult,2 в точках пересечения линий излома; βi - справочные коэффициенты для определения прогиба плит в упругой стадии; α - отношение модулей упругости арматуры и бетона; ξult - относительная высота сжатой зоны в сечениях АЕ...ДЕ в предельном состоянии по прочности; ξult ,2 - то же при характеристиках материалов для предельных состояний второй группы; ξcrc - относительная высота сжатой зоны после образования трещин. ВведениеПерекрытия в жилых и общественных зданиях в большинстве случаев выполняются из сплошных железобетонных плит размером на комнату или на половину конструктивной ячейки, опертых по контуру или трем сторонам и работающих в двух направлениях. В ЦНИИЭП жилища разработаны новые эффективные методы расчета таких плит, позволяющие снижать расход материалов. В частности, для плит, опертых по контуру, учитывается их пространственная работа, т.е. изменение геометрии в процессе деформирования и увеличение в связи с этим плеч и моментов внутренних сил в расчетных сечениях за счет прогибов; метод позволяет также с выгодой учитывать концентрацию арматуры у центра и разрежение у концевых участков плиты. У плит, опертых по трем сторонам, предусмотрены отдельные расчетные схемы для случаев отношений пролетов λ = l1/l2 ≥ 0,5 и < 0,5 в соответствии с действительными схемами излома; при этом учитывается эффективность концентрации арматуры у свободного края. Разработана методика учета локальных нагрузок от санузлов, вентблоков, ненесущих наружных стен и др. Учитывается положительное влияние защемления плит стенами, что принимается во внимание при расчетах по предельным состояниям второй группы. На основании 'результатов исследований регламентируются увеличенные расстояния между стержнями рабочей арматуры. Эффективность и надежность разработанных методов расчета подтверждены многочисленными опытами, проведенными как в лабораторных условиях, так и на натурных образцах плит перекрытий наиболее распространенных серий жилых и общественных зданий. Расчеты плит по новым методам прошли широкую апробацию во многих проектных организациях. В настоящих Рекомендациях наиболее важными дополнениями являются: - упрощенный вариант расчета прочности плит, опертых по контуру, с учетом пространственной работы; - методика подбора арматуры и проверки прочности плит, опертых по трем сторонам, при наличии краевой нагрузки от ненесущих наружных стен; - уточненные способы расчета прогибов в стадии после образования трещин и ширины раскрытия трещин; - расширение диапазона расстояний между стержнями рабочей арматуры по сравнению с действующими нормативными документами; - уточненные рекомендации по конструированию рабочей арматуры плит, опертых по контуру и трем сторонам. Расчетные предпосылки и формулы представлены для плит, свободно опертых на недеформируемые опоры, а также защемленных на опорах стенами, в частности, в платформенных стыках. Свободно опертыми считаются плиты, у которых имеющиеся по краям связи относительно слабые, и их работой можно пренебречь. К таким связям можно отнести, например, анкерные стержни, соединяющие соседние плиты в зданиях из сборного железобетона, силы трения на опорах, вызываемые нагрузкой только на рассматриваемое перекрытие, а при определенных условиях и более сложные типы связей. Так, исследованиями установлено, что глубина площадок опирания плит на стены и толщина растворных швов недостаточно стабильны, поэтому не рекомендуется учитывать сопротивление защемления изгибу при расчете по предельным состояниям первой группы. Такие плиты при расчете по прочности считаются условно свободно опертыми. По статической схеме свободное опирание эквивалентно опиранию на подвижные шарниры. При расчете по деформациям защемление перекрытий в стенах от части нагрузок учитывается без снижения надежности их работы. Расчет на действие поперечных сил в Рекомендациях не рассматривается и должен производиться по ½2-4½. Основные расчетные положения, характеристики материалов и термины приведены в соответствии с действующими нормативными документами ½2-4½. 1. Общие положения1.1. Рекомендации распространяются на проектирование железобетонных перекрытий жилых и общественных зданий из бетона класса по прочности на сжатие В15 и выше. 1.2. Временные нагрузки на плиты и коэффициенты надежности по нагрузкам γf принимаются по СНиП |1|, постоянные нагрузки - по проекту. Все нагрузки и рассчитываемые в функции от них усилия и деформации умножаются на коэффициент надежности по ответственности здания γn |1|. 1.3. При расчете по предельным состояниям первой группы (по прочности) моменты защемления на опорах не учитываются, и плиты рассчитываются как свободно опертые. Углы плит, опертых по контуру и трем сторонам, считаются закрепленными от подъема, что соответствует положению плит в реальных зданиях на всех этажах. 1.4. При расчете по предельным состояниям второй группы (трещиностойкость, раскрытие трещин, прогибы) защемление плит стенами от части нагрузок учитывается при применении раствора швов проектной марки «100» и выше. 2. Расчет прочностиПодбор арматуры при равномерной нагрузке2.1. В плитах, опертых по контуру (рис.1), с отношением пролетов λ = l2/l1 ≤ 3 при равномерно распределенной по площади нагрузке q необходимая площадь рабочей арматуры определяется по (2.1), (2.2): Рис. 1. Расчетная схема плиты, свободно опертой по контуру; ―― - линии излома; 1-4 - диски; —·— оси опор; fuH - прогиб точек Е и F в предельном состоянии где: q - полная расчетная нагрузка на единицу площади плиты; As1 и As2 - суммарные площади арматуры, пересекающей сечения 1-1 и 2-2 соответственно в коротком и длинном направлениях; R s1 и R s2 - расчетные сопротивления арматуры соответственно As1 и As2; ho1 и ho2 - рабочие высоты арматуры As1 и As2; λ = l2/l1 - отношение длинного l2 и короткого l1 расчетных пролетов; m - коэффициент, определяемый по графикам на рис. 2; Ksp - коэффициент, учитывающий влияние пространственной работы и концентрации арматуры в центре плит, определяемый по графикам на рис. 3; 2.2. В плитах, опертых по трем сторонам (рис. 4), при равномерно распределенной нагрузке q необходимая площадь рабочей арматуры определяется по (2.3) - (2.6): Рис. 2. Зависимости m от λ в плитах, свободно опертых: 1 - по контуру; 2 - по трем сторонам: —— теоретические при работе в упругой стадии (m1 и m2 - максимальные единичные моменты);--- нижние допустимые пределы m для подбора арматуры; λ в скобках - для плит, опертых по трем сторонам; при λ < 0,5→ m = λ, а для нижних пределов m = λ/2 Рис. 3. Зависимости коэффициента Кsp от λ и γ в плитах, опертых по контуру; а - при равномерном армировании; б - с концентрацией арматуры Asl у центра с коэффициентом φс = as11 /аs12 = 2; λ = l2/l1; γ = l1/h Рис. 4. Расчетные схемы плит, опертых по трем сторонам (ВС - свободный край): а - при λ ≥ 0,5; б - при λ < 0,5; остальные обозначения - по рис. 1 при λ < 0,5
где As1 и As2 - суммарные площади арматуры, направленной соответственно параллельно и перпендикулярно к свободному краю; λ = l2/l1 - отношение расчетных пролетов: перпендикулярного l2 и параллельного l1 к свободному краю; Kc - коэффициент, учитывающий эффект концентрации арматуры As1 у свободного края, в зависимости от коэффициента концентрации φс. Коэффициент φс при вариантах армирования по рис. 21, в или г определяется соответственно:
где Aedsl - сечение арматуры, расположенной непосредственно у свободного края; Aunsl - сечение арматуры, распределенной равномерно по всей плите; Aexsl - суммарное сечение арматуры на половине плиты, ближней к наружной стене; Aintsl - то же, на остальной половине. В качестве граничных значений Кс в функции от φс принимаются:
промежуточные значения Кс в интервале 1 < φс < 2 определяются по линейной интерполяции. Остальные обозначения в (2.3) - (2.6) те же, что и в (2.1), (2,2). При λ > 1,5 подбор арматуры полосы у края ВС (см. рис. 4, а) шириной в = l2 - 1,5 l1 производится как балочной плиты пролетом l1|4|, остальной части плиты - по (2.3), (2.4), как плиты, опертой по трем сторонам. При этом арматуру суммарной площадью As1 рекомендуется располагать согласно рис. 21. 2.3. Арматура плит, опертых по двум сторонам (балочных), подбирается согласно |4|. Проверка прочности при равномерной нагрузке2.4. Прочность опертых по контуру прямоугольных плит с отношением пролетов λ ≤ 3 при равномерно распределенной по площади нагрузке q считается обеспеченной, если где
где Rs11; As11 - соответственно расчетные сопротивления и площади сечения арматуры в направлении l1 на участке EF; Rs12; As12 - то же, на остальной части сечения 1-1; при этом As1 = As11 + As12; Rs2; As2 - то же, в сечении 2-2; Z1 - плечи внутренних сил:
где fult - прогиб в предельном состоянии; d - расстояние от верха недеформированной плиты до центра тяжести сжатой зоны деформированной плиты, определяемое по (2.19). При равномерном армировании в обоих направлениях в (2.10) вместо Rs11·As11 и Rs11·As11 подставляются соответственно величины Rs11·As11 = Rs1 As1 (1-1/λ); Rs12·As12 = Rs1·As1/λ. (2.12) 2.5. Прогиб fult в предельном состоянии равен fult = 0,141(1/rult) l12, (2.13) где
B (2.14): α = Es1/Eв; (2.15)
ξult = 0,1 + 0,5μ·Rs1/Rв; αs12 - площадь арматуры на 1 м сечения 1-1, за исключением части EF; при равномерном армировании αs12 = αs1; αs2 - то же, сечения 2-2. Полученное по (2.13) значение fult не должно превышать предельных значений fultlim, ограничиваемых условием fult ≤ fultlim = 2·10-5·γ2·l1, (2.18) где γ = l1/h - относительная гибкость. Значение d в (2.11) d = (fult + x)/3, (2.19) где
2.6. Допускается проверять прочность свободно опертых по контуру плит по (2.22) где где x1 и х2 - высоты сжатых зон в сечениях 1-1 и 2-2: Остальные обозначения те же, что в (2.1), (2.2). 2.7. Прочность плит, свободно опертых по трем сторонам, при равномерно распределенной нагрузке q считается обеспеченной, если выполняются условия: при λ ≥ 0,5 при λ < 0,5
где Остальные обозначения те же, что в (2.3)-(2.6). 2.8. Прочность плит, опертых по двум сторонам (балочных), проверяется согласно |3,4|. Особенности расчета прочности при неравномерной нагрузке2.9. Для плит, опертых по контуру и трем сторонам, при наличии нескольких локальных нагрузок различной интенсивности q1, q2, ... qi на площадях A1, A2, Ai, линейных нагрузок P1, P2, ... Pi протяженностью l1, l2 ... li и сосредоточенных нагрузок P1, P2, ... Pi (рис. 5; 6) от санузлов, вентблоков, тяжелых перегородок и др. в случаях, когда можно пренебречь асимметрией линий излома, т.е. для большинства перекрытий жилых и общественных зданий, нагрузки приводятся, кроме особых случаев (см. п.п. 2.11; 2.12) к эквивалентной равномерно распределенной по площади где Vi;Ai, wi - объемы, площади и ординаты фигур, образующихся под соответствующими нагрузками при вертикальном перемещении точек Е и F на безразмерную единицу (см. рис. 5; 6; прилож. 1); V - объем тела, образующегося под всей плитой при том же перемещении точек Е и F: для плит, опертых по контуру V = l1 (3 l2 – l1)/6; (2.28) Рис. 5. Схема определения эквивалентной нагрузки в плитах, опертых по контуру: локальные нагрузки: qi - распределенные по площадям; pi - линейные; Pi - сосредоточенные; Vi, Ai, wi - объемы, площади и перемещения под нагрузками qi, pi, Pi Рис. 6. Схема определения эквивалентной нагрузки в плитах, опертых по трем сторонам, при локальных нагрузках, удаленных от свободного края ВС: обозначения локальных нагрузок по рис. 5 для плит, опертых по трем сторонам: при λ ≥ 0,5 V = l1 (6 l2-l1)/12; (2.29) при λ < 0,5 V = l2 (3 l1-l2)/6; (2.30) Нагрузка qэloc суммируется с нагрузкой q qэ = q + qэloc (2.31) Эта результирующая эквивалентная нагрузка подставляется вместо q при подборе арматуры в правую часть (2.1) - (2.6), а при проверке прочности - в левую часть (2.9), (2.22), (2.25), (2.26). 2.10. Локальная нагрузка от санкабины объемно-блочной конструкции должна передаваться в ее углах в виде сосредоточенных сил, величины которых допускается принимать равными 1/4 веса кабины. Если кабина располагается в опертом углу плиты (см. рис. 5; 6, т. А) и известно положение ее центра тяжести, рекомендуется передавать нагрузку от веса кабины в точках "в" и "d", отстоящих от расчетных осей опирания плиты на стены на расстояниях:
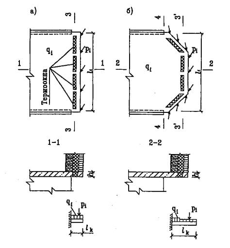
где хс и ус - расстояния от указанных осей до мест передачи равнодействующих веса кабины на плиту, т.е. до точек "в" и "d"; ес - расстояние от центра тяжести кабины до оси в - d (при расположении центра тяжести на оси в - d, а также между этой осью и опертым углом плиты "А" принимается ес = 0). Интенсивность работы внешних сил, т.е. двух равнодействующих, приложенных в точках "в" и "д", при единичных перемещениях точек Е и F составляет
где Рс - расчетный вес кабины. Величину Wc следует подставлять в числитель правой части (2.27), суммируя ее с другими членами. 2.11. У плит, опертых по трем сторонам, при равномерно распределенных локальных нагрузках большей интенсивности qiloc у свободного края ВС, чем на остальной части плиты (рис. 7), при условии Bi,maxloc ≤ l2 – 0,5 l1, (2.34) а также сосредоточенных нагрузках Рiloc при условии yiloc ≤ l2 – 0,5 l1, (2.35) нагрузки следует приводить к эквивалентным равномерно распределенным по площади раздельно: на участке шириной в1 = вi,maxloc у свободного края по (2.31),
MiIoc - балочный момент |6| от i-й локальной нагрузки; на участке шириной в2 = l2 – в1 у края АД - по (2.27) - (2.33). Подбор арматуры и проверку прочности на участке шириной в1 следует производить по |3,4| как для плит с балочным опиранием, а на участке в2 - по (2.3), (2.4) и (2.25). Рис. 7. Схема определения эквивалентной нагрузки в плитах, опертых по трем сторонам, при локальных нагрузках вблизи свободного края ВС: обозначения локальных нагрузок - по рис. 5 Расчет прочности с учетом краевой нагрузки2.12. В жилых и общественных зданиях краевая нагрузка на плиты перекрытий при опирании их по трем (реже двум) сторонам создается в основном ненесущими (навесными) наружными стенами. Она передается на плиту у ее свободного края (рис. 8) через простенки и подоконную часть в виде сосредоточенных и линейных локальных нагрузок различной интенсивности. При расчете прочности все краевые нагрузки Pied и pied приводятся к эквивалентной линейной
где Mied - балочные моменты |6| от i-х краевых нагрузок. 2.13. Подбор рабочей арматуры плит, опертых по трем сторонам, при совместном действии равномерно распределенных по площади и краевых линейных нагрузок рекомендуется производить раздельно: - от равномерно распределенной по (2.3)-(2.6), задаваясь предварительно коэффициентами φс и Кс, характеризующими концентрацию арматуры As1 у свободного края; - от краевой линейной - по |3,4| при балочной схеме опирания, принимая за расчетную ширину сечения краевой полосы вed = вp + всвint + всвout, (2.38) где вр - ширина "скрытого ребра", принимаемая вр = всою или вр =: h при армировании соответственно по рис. 21, в или г; всвint - ширина "свеса", направленного внутрь здания от "скрытого ребра", принимаемая меньшей из величин всвint = l1/6; всвint = 6h; (2.39) Рис. 8. Расчетная схема свободно опертой по трем сторонам плиты с краевой нагрузкой: I и II - части плиты соответственно комнатная и близкая к краевой нагрузке всвout - ширина "свеса", направленного наружу, принимаемая в соответствии с проектом, но не более всвint. 2.14. Проверку прочности плит, опертых по трем сторонам, при совместном действии распределенных по площади и краевых нагрузок следует производить по (2.25), (2.26). При этом все нагрузки приводятся к эквивалентной равномерно распределенной по площади по (2.27) - (2.31), а коэффициент Кс находится из (2.8) по суммарному значению коэффициента концентрации φс, определяемому по (2.7), при этом
где. As1un - площадь арматуры направления l1 на всей плите;
2.15. У плит, опертых по двум сторонам, при аналогичных изложенным в п. 2.12 краевых нагрузках вдоль одного из свободных краев подбор рабочей арматуры и проверку прочности следует производить по балочной схеме по |3,4| раздельно: - для участка с равномерно распределенной нагрузкой, принимая в качестве расчетной всю ширину сечения плиты под этой нагрузкой; - от краевой линейной нагрузки по аналогии с плитами, опертыми по трем сторонам, при расчетной ширине сечения вed. 2.16. При расчете прочности консольных участков плит под ненесущими наружными стенами (рис. 9) на изгиб из плоскости стены необходимо учитывать влияние прогиба края плиты в плоскости стены fult, Рис. 9. Схемы консольных участков плит перекрытий при ненесущих наружных стенах: а - рядовых; б - эркерных; расчетные сечения 3-3; 4-4 см. рис. 10 следствием которого является переменная высота сжатой зоны сечений консолей, в частности, ребер между "термоокнами", расположенных в разных частях вдоль пролета l1 (рис. 10), и соответственно неодинаковые плечи внутренних сил: у опор они ≈ на 20 % больше, чем в середине пролета. В связи с этим приопорные участки или ребра должны воспринимать большие усилия и иметь соответственно увеличенное до 20 % армирование по сравнению со средними участками. 2.17. Подбор арматуры консольных участков (см. п. 2.16) с целью упрощения рекомендуется производить в следующем порядке. Определяется суммарная для всей консоли площадь сечения арматуры As' согласно |3,4| по недеформированной схеме, т.е. без учета прогиба fult в пролете l1, принимая в качестве расчетной ширины сечения сумму ширин всех ребер (рис. 10, а) или всех участков (рис. 10, б) и соответственно всю передаваемую на них нагрузку. После этого производится перераспределение As' между ребрами и участками так, чтобы на участках, расположенных у опор, сечение арматуры было ≈ на 20 % больше, чем расположенных в середине пролета l1. Рис 10. Схемы расчетных . сечений консольных краевых участков (NN сечений - см. рис. 9): а, в - до деформации; б, г - с учетом прогибов в пролете l1; конструктивная арматура и хомуты условно не показаны; ------ границы расчетных участков сеч. 4-4 3. Расчет плит по предельным состояниям второй группыСочетания нагрузок3.1. Расчетом по предельным состояниям второй группы определяются прогибы и ширина раскрытия трещин от действия нормативных нагрузок. В зданиях с платформенными и другими сжатыми стыками перекрытий со стенами плиты рассчитываются с учетом защемления их опорных концов от части нагрузок, для чего принимаются следующие сочетания нормативных нагрузок: а) равномерно распределенных по площади: - для оценки трещинообразования с учетом постоянных и полных временных нагрузок, передаваемых соответственно до (qs) и после (qr) защемления: qs = qw +qs1; (3.1) qr = qrl +qt; (3.2) - для расчета прогибов и раскрытия трещин с учетом только постоянных и пониженных (длительных) временных нагрузок:
где qw - нагрузка от собственного веса плиты; qs1 - нагрузки от санкабин, вентблоков и панельных перегородок; qrl - нагрузки от санузлов "россыпью", стен и перегородок из мелкоштучных материалов, конструкций пола, утеплителя чердачных перекрытий и т.п.; qt - полная временная нагрузка; qtl - пониженная часть временной нагрузки, равная для жилых помещений 0,3 кПа, для других помещений принимается по|1|. б) для краевой и других линейных нагрузок (3.1) - (3.3) повторяются с заменой величин qi на pi. При расчете свободно опертых плит оценка трещинообразования производится по полным нормативным нагрузкам qn = qs + qr и pn = ps + pr, а проверка прогибов и раскрытия трещин - от нагрузок ql = qs + qrl и рl = ps + prl. Проверка по образованию трещин при равномерной нагрузке3.2. Перед расчетом прогибов необходимо произвести проверку перекрытия по образованию трещин. Наличие или отсутствие трещин определяется из условия Mi·γn ≤ Mcrc,i (3.4) где Mi -действующий момент от полной нормативной нагрузки в i-ом сечении; Mcrc,i -момент трещинообразования (внутренних сил) i-ro сечения (см. п. 3.5). Величины действующих моментов Мi находятся по правилам строительной механики в зависимости от вида опирания и соотношения пролетов, исходя из упругой работы перекрытия. Для плит, опертых по контуру и трем сторонам, с защемлением на опорах, максимальные изгибающие моменты: в середине пролета Msp = (α1·qs + α2·qr) b·l21; (3.5) у опор Msup = ksup·α3·qr·b·l12; (3.6) где α1, α2, α3 - коэффициенты (рис. 11, 12); qs и qr - по (3.1), (3.2); b = 1 м (1 см); ksup =1,1 - коэффициент, учитывающий перераспределение усилий с пролета на опоры при длительном действии нагрузки. 3.3.Для плит, свободно опертых по контуру и по трем сторонам, максимальные действующие пролетные моменты следует определять по (3.5), принимая qr = 0 и заменяя qs полной нормативной нагрузкой qn. 3.4. Трещиностойкость участков плит, опертых по трем сторонам, рассчитываемых по балочной схеме, а также балочных плит, проверяется по |2-4| с учетом защемления на опорах. При образовании трещин в середине пролета или у опор при необходимости производится проверка наличия трещин в 1/3 и в 1/6 пролета. В этом случае действующие моменты определяются: 3.5. Значение Mcrc в (3.4) определяется по (7.6) |3| или (4.4) |4| с заменой W на Wpl = γ·W. Принимая по табл. 4.1 |4| γ = 1,3, без учета арматуры (с запасом в 2-3 %) Wpl = γ·W = 1,3 в h2/6 = 0,22 в h2. (3.8)
Рис. 11. Коэффициенты αi для расчета прямоугольных плит, опертых по контуру: при свободном опирании α1 и защемлении α2, α3 Рис. 12. Коэффициенты αi для расчета прямоугольных плит, опертых по трем сторонам; при свободном опирании α1 и защемлении α2, α3 3.6. В случае, когда трещины в пролете образуются, а у опор не образуются, допускается производить перераспределение усилий с пролета на опоры в пределах 10 %, после чего проверку трещинообразования обоих сечений необходимо повторить. Расчет прогибов при отсутствии трещин при равномерной нагрузке3.7. При отсутствии трещин по всему пролету прогиб сплошных плит, опертых по контуру или трем сторонам и защемленных на опорах, определяется где Ев,τ - модуль деформаций бетона, определяемый по (5.3) |3|; β1, β2 - коэффициенты (рис. 13, 14). 3.8. Для плит, свободно опертых по контуру, а также по трем сторонам при λ ≤ 1,5, прогиб следует определять по (3.9), принимая qrl = 0 и заменяя qs величиной ql. 3.9. Прогиб свободно опертых по трем сторонам плит при λ > 1,5 и плит, опертых по двум сторонам, следует определять как балочных пролетом l1 согласно |3,4|.
Рис.13. Коэффициенты βi для расчета прямоугольных плит, опертых по контуру; при свободном опирании β1 и защемлении β2 Рис.14. Коэффициенты βi для расчета прямоугольных плит, опертых по трем сторонам: при свободном опирании β1 и защемлении β2 Расчет прогибов при наличии трещин при равномерной нагрузке3.10. Прогиб плит, опертых по контуру, а также по трем сторонам при λ ≤ 1,5, в случае образования трещин в пролете определяется по (3.10) - (3.14): при ql > qcrc при ql < qcrc 1) ql < 2 qcrc - qn
2) ql > 2 qcrc - qn
при qcrc < qs
где φl - коэффициент, учитывающий длительное действие нагрузок; fcrc и qcrc - прогиб и нагрузка при образовании трещин в плитах с защемлением на опорах; fscrc и qscrc - то же, при свободном опирании; fult,2 и qult,2 - прогиб и нагрузка в условном предельном состоянии по прочности при характеристиках материалов для предельных состояний второй группы; fsult,2 и qsult,2 - то же, при свободном опирании. Прогиб fcrc следует вычислять по (3.9), подставляя для защемленных плит вместо qrl разность qcrc - qs , а для свободно опертых плит принимая qrl = 0 и qs = qcrc . В обоих случаях при определении fcrc принимается Ев,τ = Ев. Значение qcrc (qscrc) определяется: для свободно опертых плит для плит, защемленных на опорах Прогиб fult,2 защемленных на опорах плит
где kr - коэффициент, учитывающий влияние защемления опорного контура;
kf - коэффициент, учитывающий увеличение предельного прогиба в центре прямоугольных плит, опертых по контуру, и увеличение или уменьшение прогиба у середины свободного края плит, опертых по трем сторонам, по сравнению с прогибами в точках пересечения линий излома, определяется по (3.27) - (3.29). Предельная нагрузка qult,2, входящая в (3.10) - (3.14) и (3.18), qult,2 = qsult,2 + qrult, (3.19) где
qult - из расчета прочности (при проектировании – расчетная нагрузка q); qrult -no (3.21)-(3.23); Aтрs1 - требуемое сечение арматуры по прочности; Anps1 - то же, принятое при конструировании. Значения qrult определяются: для плит, опертых по контуру для плит, опертых по трем сторонам: при λ ≥ 0,5
при λ < 0,5
Msup - no (3.6); m - по рис. 2 (сплошные линии). Кривизна 1/rult,2 определяется
где
относительная высота сжатой зоны ξult,2 = 0,1 + 0,5 μ Rs1,ser/Rb,ser; (3.26) α = Es1/Eb – по (2.15). Коэффициент kf в (3.17) определяется: для плит, опертых по контуру для плит, опертых по трем сторонам:
3.11. Прогиб плит, опертых по трем сторонам, при λ > 1,5, рассчитываемых по балочной схеме, а также балочных плит при необходимости может определяться с учетом переменного по длине пролета сечения где
Все значения кривизн принимаются по их абсолютной величине без учета знаков |9|и определяются по |3,4| от постоянной и длительной нормативных нагрузок. Моменты в соответствующих сечениях следует вычислять по (3.5) - (3.7), подставляя вместо qr значения qrl и принимая ksup = 1. 3.12. При свободном опирании в (3.30) следует принимать 1/гo = 0, а при вычислении моментов в (3.5) - (3.7) вместо qs подставлять ql и принимать qr = 0. Проверка раскрытия трещин при равномерной нагрузке3.13. Раскрытие трещин требуется проверять в случаях, когда не выполняется условие (3.4) и, следовательно, трещины образуются. В плитах перекрытий жилых и общественных зданий необходимо учитывать длительное действие постоянных и пониженных временных нагрузок. Раскрытие трещин следует проверять у плит, опертых по контуру, в центре и в ближайших от центра сечениях с разреженным армированием, отверстиями и вырезами; у плит, опертых по трем сторонам, у свободного края; у плит с балочным опиранием - в сечениях с максимальными изгибающими моментами, а также ослабленных отверстиями и вырезами. Для оценки ширины раскрытия трещин в плитах, опертых по контуру и трем сторонам, рекомендуется напряжения в арматуре наиболее напряженных сечений определять: при ql > qcrc: при ql < qcrc: 1) ql < 2 qcrc - qn
2) ql > 2 qcrc - qn
при qcrc < qs
где
Значение σs,crc, входящее в (3.31)-(3.35), σs,crc = εbt,ult·Eb, (3.36) где согласно 7.2.7 |3| принимается εbt,ult = 0,00015. С учетом (3.31) - (3.36) ширина раскрытия трещин проверяется согласно 7.2.12 ¸ 7.2.15 |3| или (4.10)-(4.14) |4|. Особенности расчета прогибов и раскрытия трещин при неравномерной нагрузке3.14. При наличии нескольких разнотипных локальных нагрузок, аналогичных перечисленным в 2.9, проверка прогибов и раскрытия трещин производится по 3.9 ¸ 3.36 с приведением разнотипных нагрузок к эквивалентным равномерно распределенным или гидростатическим. 3.15. Для плит, опертых по контуру, сосредоточенные нагрузки приводятся к равномерно распределенной по площади по (2.27), (2.28), (2.31) с заменой расчетных нагрузок их нормативными значениями. 3.16. Для плит, опертых по трем сторонам, при расположении локальных сосредоточенных, линейных и равномерно распределенных по площадям нагрузок преимущественно на половине, противоположной свободному краю (рис. 15), все нагрузки следует заменять эквивалентными равномерно распределенными по всей плите: qэn = qn (βh/β1)qhn; qэl = ql (βh/β1)qhl; (3.37) где qn; ql - сплошные равномерно распределенные нагрузки; β1; βh - коэффициенты, определяемые по рис. 14 и 16; qhi - максимальная интенсивность эквивалентной гидростатической нагрузки у края АД (см. рис. 15);
где Pi, pi, qj - локальные сосредоточенные, линейные и равномерно распределенные нагрузки; Li - протяженность i-й линейной нагрузки; Ai - площадь под i-й равномерно распределенной нагрузкой. От нагрузки qnэ по (3.5) - (3.7) определяются изгибающие моменты у свободного края плиты, по которым оценивается трещиностойкость сечений, а от qlэ по (3.9)-(3.36) проверяются прогибы и ширина раскрытия трещин. 3.17. У плит, опертых по трем сторонам, при локальных нагрузках у свободного края большей интенсивности, чем на остальной части плиты (см. рис. 7), трещиностойкость и прогибы проверяются на нагрузки, приведенные к равномерно распределенным по площади как плит с краевой нагрузкой (см. п.п. 3.19 и 3.22). Рис. 15. Схема приведения локальных нагрузок к эквивалентным по прогибам гидростатической и равномерно распределенной Рис. 16. Коэффициент βh для расчета плит, свободно опертых по трем сторонам, при гидростатической нагрузке 3.18. У плит балочного опирания приведение разнотипных нагрузок к эквивалентным линейным по длине пролета и трапецеидальной формы по ширине сечения производится по общим правилам строительной механики. Расчет прогибов и раскрытия трещин с учетом краевой нагрузки3.19. В плитах, опертых по трем сторонам, сосредоточенные и линейные локальные краевые нормативные нагрузки, расположенные у свободного края, приводятся к эквивалентным линейным по аналогии с 2.12. Сочетания равномерно распределенных по площади и линейных нагрузок принимаются по аналогии с 3.1; 3.15; 3.16. 3.20. Наличие или отсутствие трещин определяется по условию, аналогичному (3.4), в котором моменты Miun от равномерно распределенной по площади нагрузки суммируются с моментами Mied от краевой линейной нагрузки: в пролете (Mspun + Msped) γn ≤ Mcrc; (3.39) у опор (Msupun + Msuped) γn ≤ Mcrc, (3.40) Mied - no (3.41) - (3.42): в пролете Msped = (α1*ps + (α2*pr) в·l1 (3.41) у опор Msuped = Ksup·α3*pr··в·ll, (3.42) где ps -часть приведенной к линейной краевой нагрузке, передаваемая до защемления концов плит на опорах; рr - то же после защемления; αi*- коэффициенты (рис. 17); в = 1м (см). Значение Мсгс,i определяется, как и в (3.5), по|3,4|; при этом ширина i-го сечения принимается, как в (3.5) - (3.7) и (3.39), (3.42), т.е. в = 1 (м; см). 3.21. Проверка прогибов плит при ненесущих наружных стенах производится: по эстетико-психологическим требованиям на действие постоянных и пониженных временных нормативных нагрузок; по конструктивным требованиям на действие постоянных и полных временных нормативных нагрузок, при этом величина прогиба не должна превышать половины высоты зазора между низом плиты и верхом стены, заполняемого упругой прокладкой. f = fun + fed, (3.43) Рис.17. Коэффициенты α*i для расчета прямоугольных плит, опертых по трем сторонам, с краевой линейной нагрузкой: при свободном опирании α*1 и защемлении α*2, α*3 где при проверке по эстетико-психологическим требованиям: fun - по (3.9) от равномерно распределенной по площади нагрузки; fed, - от краевой линейной нагрузки
где β1*; β2* -коэффициенты (рис. 18); ps - то же, что в (3.41), (3.42); ргl - передаваемая после защемления краев плит длительно действующая часть краевой нагрузки; остальные обозначения те же, что в (3.9). При проверке по конструктивным требованиям (3.9) и (3.44) дополняются членами, учитывающими кратковременную часть временных нагрузок, с учетом которых:
и они также суммируются по (3.43). 3.22. В случае образования трещин в пролете или в пролете и у опор прогиб плит, опертых по трем сторонам, защемленных на опорах, определяется с учетом следующих особенностей: - в (3.16) вместо αi подставляются их приведенные с учетом краевой нагрузки значения:
Рис. 18. Коэффициенты β*i для расчета прямоугольных плит, опертых по трем сторонам, с краевой линейной нагрузкой: при свободном опирании β*1 и защемлении β*2
mred = Mspun/Msped; (3.49) где αi и αi* - пo рис. 12 и 17; - все нагрузки, включая краевые, приводятся к эквивалентным равномерно распределенным по площади плиты: нормативная полная qэn= qn + Ked·pn; (3.50) нормативная пониженная qэl = ql + Ked·pl; (3.51) расчетная qэ = q + Ked·p, (3.52) где при учете защемления Ked = α2*/(α2·l1); (3.53) при шарнирном опирании Ked = α1*/(α1·l1). (3.54) 3.23. По приведенным с учетом (3.47)-(3.54) нагрузкам прогиб, соответствующий эстетическим требованиям, определяется по (3.10)-(3.30), а ширина раскрытия трещин по (3.31)-(3.36). При проверке прогиба по конструктивным требованиям полученное по (3.10-3.30) значение дополняется его приращением от кратковременной части нормативной нагрузки
4. Расчет плит на монтажные воздействия4.1. Для монтажа плит перекрытий рекомендуется предусматривать статически определимые схемы подъема. Распределение усилий от собственного веса плиты в точках подвески ее к монтажной траверсе задается конструкцией траверсы, выполняемой в виде рычажного механизма или системы вращающихся блоков. Применение статически неопределимых систем подъема (траверсы с постоянным закреплением четырех стропов на кольце) допускается только для плит шириной до 2 м, опираемых по коротким сторонам. В этом случае плита рассчитывается как подвешенная на двух петлях, расположенных по диагонали. При проектировании системы подъема и размещения монтажных петель или отверстий следует стремиться к тому, чтобы изгибающие моменты от монтажных воздействий не превосходили моментов от полной нормативной нагрузки. При расчете плит на монтажные воздействия их собственный вес, определяемый с учетом производственной влажности, принимается с коэффициентом динамичности ξ = 1,4. Все расчетные характеристики бетона уменьшаются пропорционально отношению отпускной прочности к проектной. С учетом кратковременности динамических перегрузок эти характеристики следует умножать на коэффициент условий работы γв = 1,1 На монтажные воздействия проверяются сечения, параллельные сторонам прямоугольных плит, проходящие через оси подъемных петель или монтажных отверстий, а также те, в которых значения поперечной силы равны нулю, а изгибающие моменты максимальны (в середине между рядами петель или отверстий - при двух рядах, на расстояниях 1/3 от краев плиты - при трех рядах петель или отверстий). Изгибающие моменты в указанных сечениях определяются по правилам строительной механики и умножаются на коэффициенты неравномерности распределения напряжений по ширине сечения γo и γ'o. Значения этих коэффициентов принимаются: при проверке прочности, обеспечиваемой бетоном растянутой зоны, уo' = 1,4 для сечений по осям петель или отверстий и γo= 1,2 для сечений, в которых поперечная сила равна нулю; при расчете необходимого армирования соответственно γo' = 1,2 и γo = 1. 4.2. Плиты, поднимаемые за шесть точек с помощью балансирующей траверсы или стропов, рассчитываются в предположении неодинакового наклона стропов и неравенства вследствие этого вертикальных составляющих усилий, приложенных к монтажным петлям или отверстиям. В этом случае вертикальные составляющие усилий, приложенных к средней паре петель или отверстий, принимаются с коэффициентом 1,2, а к крайним парам - с коэффициентом 0,9 к усредненной величине всех этих составляющих. С учетом изложенного изгибающие моменты в сечениях прямоугольных плит (рис. 19) равны: в сечении 1'-1' в сечении 1-1
Рис. 19. Схема расположения петель (отверстий) при монтаже плит за шесть точек в сечении 2'-2'
в сечении 2-2 M2 = γoGo (0,0444 L2 – 0,3 вк); (4.4) в сечении 2"-2"
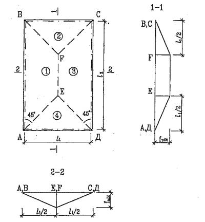
где Go - монтажный вес плиты, умноженный на коэффициент ξ = 1,4. Остальные обозначения - см. рис. 19. Найденные по (4.1) - (4.5) моменты не должны превышать моменты трещинообразования соответствующих сечений, определяемых по |3,4| с заменой Rвt на R°вt, т.е. с учетом отпускной прочности бетона, и предельные моменты внутренних сил этих сечений как железобетонных, рассчитываемых также по |3,4|. При определении моментов трещинообразования и предельных моментов внутренних сил должно учитываться наличие отверстий, вырезов и др. 4.3. При расчете на монтажные воздействия плит, поднимаемых за четыре петли небалансирующей траверсой, проверяется необходимость постановки и сечение верхней арматуры в более коротком направлении. Такая арматура не требуется, если Go ≤ Roвt·L·h2/0,6B, (4.6.) где L, В, h - длина, ширина, толщина плиты. При несоблюдении (4.6) верхняя поперечная арматура, распределенная по длине элемента, подбирается из условия восприятия изгибающего момента М = 0,15 Go В. (4.7) 5. Особенности конструирования плит5.1. В настоящем разделе рассматриваются особенности конструирования плит, в основном связанные с расчетом рабочей арматуры. По всем другим аспектам конструирования надлежит руководствоваться требованиями общих нормативных документов |2,4|. 5.2. В плитах перекрытий, опертых по контуру и трем сторонам, с целью экономии стали следует устанавливать арматуру As1 в направлении l1 с концентрацией в следующих местах: при опирании по контуру - в центре (рис. 20), при опирании по трем сторонам - у свободного края ВС (рис. 21). При этом сечение арматуры в местах концентрации ac1, увеличивается в φс раз по сравнению с ее сечением в местах разрежения аrsl. В плитах с нагрузками различной интенсивности, кроме выполнения общих требований, рекомендуется арматуру As1 концентрировать в местах приложения нагрузок большей интенсивности. Если эти нагрузки расположены вблизи коротких краев плит, опертых по контуру, или у края, противоположного свободному, плит, опертых по трем сторонам, концентрация арматуры под ними обычно не требуется. Концентрация арматуры может осуществляться отдельными стержнями большего диаметра (рис. 20; 21, в), что наиболее эффективно, или с переменным шагом стержней в зонах концентрации и растяжения (рис. 20; 21, г).
Рис. 20. Принципиальные схемы рационального армирования плит, свободно опертых по контуру: а - участки с различными схемами излома при равномерной нагрузке; б - то же при наличии локальных нагрузок; в - схема концентрации арматуры As1 отдельными стержнями; г - то же в сетках Рис. 21. Принципиальные схемы рационального армирования плит, свободно опертых по трем сторонам: а - участки с различными схемами излома при равномерной нагрузке; б - то же при наличии локальных нагрузок; в - схема концентрации арматуры As1 отдельными стержнями; г - то же в сетках 5.3. Если по расчету на действие нормативных нагрузок трещины в плитах не образуются, что имеет место, например, в плитах, опираемых по контуру или по трем сторонам в зданиях с узким шагом несущих стен, допускается устанавливать рабочую арматуру в обоих направлениях с шагом до 400 мм, но не более 3h, в остальных случаях такие шаги допускаются при условии ограничения ширины раскрытия трещин согласно |3,4|. При обрыве части стержней (см. п. 5.5) расстояния между доводимыми до опор стержнями не должны превышать 800 мм или 6h. 5.4. При подборе арматуры необходимо обеспечивать такие условия, чтобы по сечениям излома армирование было не меньше минимального, требуемого |3,4|. Эквивалентный процент армирования определяется: плит опертых по контуру
плит, опертых по трем сторонам
где as1 и as2 - усредненные площади арматуры As1 и As2 на 1 м сечений 1-1 и 2-2 (см. рис. 1 и 4); hоэ - усредненная рабочая высота; hоэ = 0,5 (ho1 + ho2). Для участков плит, опертых по трем сторонам, рассчитываемых по балочной схеме, и балочных плит эквивалентный процент армирования определяется по |3,4|, как для плит, опертых по двум сторонам. 5.5. В плитах перекрытий, опертых по контуру или по трем сторонам, в зданиях с узким шагом несущих стен, рекомендуется 50 % арматуры короткого направления не доводить до опор на расстояние а = 0,14 l1 - 20 d, где l1 - короткий пролет, d - диаметр арматуры. В балочных плитах эта рекомендация распространяется на рабочую арматуру. 5.6. В плитах с отверстиями или вырезами для пропуска санитарно-технических коммуникаций пересекающая их арматура обычно перерезается. Для ее компенсации следует устанавливать по контуру отверстий или вырезов укороченные стержни или плоские каркасы сечением, эквивалентным по прочности вырезанной арматуре. Стержни должны заводиться за грань отверстия или выреза на расстояние, необходимое для обеспечения их анкеровки и прочности ослабленных сечений. При несимметричном относительно центра плиты положении отверстия или выреза большую часть компенсирующих стержней следует располагать: у плит, опертых по контуру, ближе к центру, у плит, опертых по трем сторонам, ближе к свободному краю плиты. 5.7. В плитах, имеющих у свободного края под ненесущей наружной стеной "термоокна", армирование перемычек - ребер между ними (см. рис. 9, 10) следует производить объемными каркасами (рис. 22) с верхними рабочими и нижними монтажными стержнями. При этом рабочую арматуру крайних ребер, примыкающих к несущим стенам, следует увеличивать на 20 % по отношению к средним значениям, полученным по расчету. Если сечение арматуры по конструктивным соображениям принимается более, чем на 20 %, против полученной по расчету, то дополнительное усиление крайних ребер не требуется. Длина каркасов определяется из расчета необходимой анкеровки согласно (8.3) |3,4|. 5.8. В плитах с большим вылетом консолей (см. рис. 9, б и 10, б) армирование перемычек-ребер производится по аналогии с 5.7. Армирование остальной части консоли необходимо выполнять согласно рис. 23, при этом длина анкеровки определяется расчетом только для стержней, расположенных вблизи несущих стен, а стержни, расположенные в средней части пролета, заводятся за сечение 2-2 на длину, равную половине пролета l1. 6. Примеры расчетаПример 1. Определить расчетное армирование, проверить прочность, прогиб и при необходимости раскрытие трещин опертой по контуру с защемлением в платформенных стыках сплошной плиты перекрытия для конструктивной ячейки 3,6 × 5,7 м крупнопанельного жилого дома. Нагрузки равномерно распределены по площади.
Рис. 22. Схемы армирования ребер между «термоокнами» (арматура плиты условно не показана) Рис. 23. Принципиальная схема армирования консольной части плиты под эркером (нижняя арматура плиты, распределительная в верхней сетке и каркасах условно не показаны) 1) Исходные данные. Размеры плиты в плане L1×L2 = 358×568 см, толщина h = 16 см. Плита изготовлена в горизонтальном положении. Выемка из форм и монтаж осуществляются балансирующей траверсой или стропами за 6 петель или отверстий. Бетон - тяжелый классаВ15 с расчетными характеристиками (МПа) |3,4|: Rв = 7,65 (γв1 = 0,9); Rвt = 0,67(γв1 = 0,9); Rв,ser = 11; Rвt,ser= 1,1; Ев = 24000. Рабочая арматура класса А400: в направлении L1 - Ø8 мм, в направлении L2 - Ø5 мм с расчетными сопротивлениями (МПа): Rs = 355; Rs,ser = 400; Es = 2·105. Защитный слой бетона до низа арматуры 15 мм. Арматура обоих направлений распределена равномерно, φс = 1. Опирание на стены толщиной 16 см. 2) Нормативные нагрузки (кПа): от собственного веса плиты qw = 4; от конструкции пола и перегородок qrl = 0,6; временная qt = 1,5, в т.ч. пониженная qtl = 0,3. 3) Сочетания нагрузок (кПа). Расчетная q = 1,1·qw +1,3(qrl + qt = 1,1·4 + 1,3(0,6 + 1,5) = 7,1; нормативные: для проверки по образованию трещин по (3.1), (3.2): qs = qw = 4; qr = qrl + qt = 0,6 + 1,5 = 2,1; для проверки прогибов и ширины раскрытия трещин по (3.1), (3.3): qs = 4; qrl = qrl + qtl :=0,6 + 0,3 = 0,9. 4) Подбор рабочей арматуры по прочности. Расчетные пролеты (см): l1= 351; l2 = 561; λ = l2/l1 - 561/351 = 1,6; γ = l1/h = 351/16 = 22; φс = 1; m » 0,4 (по рис. 2); Ksp = 0,94 (по рис. 3); рабочие высоты (см): ho1 = 14,1; ho2 = 13,4. По (2.1), (2.2) требуется: в коротком направлении
5) Проверка прочности По полученной из подбора арматуре по (2.15)¸(2.19):
α = Es/Eв = 2·105/24000 = 8,33;
fult = 0,141·(1/rult)·l21 = 0,141·26,6·10-5·3512 = 4,62 см > [fult] = 2·10-5·γ2·l1 = 2·10-5·222·351 = 3,4 см; условие ограничения величины предельного прогиба не выполняется, поэтому принимается fult = [fult = 3,4 см. По (2.11) - (2.13) и (2.21) - (2.23):
По (2.10)
По (2.8)
прочность обеспечивается. 6) Проверка 8.3.4 |3| на минимальное армирование Площади арматуры, требуемые по прочности на 1 м сечений: as1 = As1/l2 = 7,23/561 = 0,0129 см2/см; as2 = As2/l1 = 1,93/351 = 0,0055 см2/см; по (5.5) h0э = 0,5 (h01+ h02) = 0,5(14,1 + 13,4) = 13,8 см; эквивалентный процент армирования по (5.3)
7) Проверка трещиностойкости и жесткости Для проверки трещинообразования по рис.11: α1 = 0,083; α2 = 0,038; α3 = 0,077; по (3.5), (3.6) на 1 м ширины сечений: Msp = (α1qs + α2qr)·в·l12γn = (0,083·4 + 0,038·2,1)·1·3,512·0,95 = 4,82 кНм; Msup = Ksup - α3·qr·в l12γn = 1,1·0,077·2,1·1·3,512-0,95 = 2,1 кНм. Пренебрегая с незначительным запасом арматурой, по (3.8) Wpl = 0,22 вh2 = 0,22·100·162 = 5632 см3; по (3.4) Mcrc = Rвt,ser·Wpl = 1,1·5632·10-3 = 6,2 кНм. Так как Msp < Мсгс и Msup < Мсгс , трещины не образуются ни в пролете, ни у опор. Для проверки прогиба по рис. 12: β1 = 0,095; β2 = 0,027; по (7.38) и табл. 5.5 |3| Ев1 = Ев/(1 + φв,сг) = 24000/(1 + 2,8) = 6316 МПа; По (3.9)
жесткость достаточна. Проверка ширины раскрытия трещин ввиду их отсутствия не требуется. Пример 2. По данным примера 1 рассчитать плиту с дополнительными нагрузками от санузла, расположенного в углу (рис. 5) и вентблока. Конструкция санузла принимается в двух вариантах: 1) объемная санкабина; 2) санузел "россыпью". Нагрузка от санкабины весом Gк= 30 кН передается двумя сосредоточенными грузами Рк = Gк/2 на расстояниях от осей опор хк = ук = 10 см, от вентблока - xб = 40 см, нагрузка от санузла "россыпью" - равномерно распределенная qc на площади Ас = aс·вс. Сосредоточенные нагрузки от санкабины и вентблока (кН): нормативные Gкn= 30; Ркn = 30/2 = 15; Рnб= 10; расчетные Рк = 16,5; Рб = 11; равномерно распределенные от санузла "россыпью" (кПа): qnc = 6,2; qc = 6,8. По (2. 28) при прогибе точек Е и F, равном 1 (м):
Из геометрии рис. 5 скорости перемещений под сосредоточенными грузами: wк(х) = 2 xкfE/l1 = 2·10·1/351 = 0,06 м; wк(y) = wк(х)= 0,06 м; wб = = 2xвfE/l1 = 2·40·1/351 = 0,23 м; объем фигуры под санузлом Vc » V/4 = 7,79/4= 1,95 м3. По (2.27) от расчетных нагрузок для подбора арматуры и проверки прочности: 1) при варианте с санкабиной
что по отношению к основной расчетной нагрузке q = 7,1 кПа составляет » 8 % и требует соответствующего увеличения армирования. 2) при варианте с санузлом "россыпью"
по (2.31) суммарная расчетная нагрузка qэ = q + qэloc = 7,1 + 2,04 = 9,14 кПа, что на 29 % больше основной q = 7,1 кПа; в этом случае сечение рабочей арматуры обоих направлений следует увеличить также на 29 %. Пример 3. По данным примера 1 рассчитать плиту на действие монтажных нагрузок. Размеры плиты в плане (см): L1 = 358, L2 = 568. Подъем плиты осуществляется за шесть отверстий (см. рис 19) балансирующей траверсой или стропами; отверстия располагаются вдоль коротких и длинных краев плиты на расстояниях ах = вк = 60см; расстояния между рядами отверстий: а0 = L1 - 2ак = 358 - 2·60 = 238 см; в0= 0,5·L2 - вк= 0,5·568 - 60 = 224 см. Расчетный вес плиты с учетом коэффициента динамичности G0 = ξ·qw·L1·L2 = 1,4·4·3,58·5,68 = 114 кН; коэффициенты неравномерности усилий по сечениям плиты γ0 и γ'0 -по 4.1. Характеристика прочности бетона принимается исходя из набора 75 %-ой проектной Rºвt = γв1·К0·Rвt·1,1·0,75·0,75 = 0,62 МПа. Проверка сечений 1'-1' и 1-1. нормальных к коротким краям. Расчетная схема - однопролетная балка шириной L2, пролетом а0 (см. рис. 19) и двумя консолями вылетом ак. Изгибающие моменты в расчетных сечениях (кНм): 1'-1':
1-1
предельный момент трещинообразования по бетону: M0crc,1 = 0,22·R0вt·L2·h2 = 0,22·0,58·568·162·10-3 = 19,84 кНм. Так как Проверка прочности сечений 2'-2'; 2-2, 2"-2". нормальных к длинным краям. Расчетная схема - двухпролетная балка шириной L1, с пролетами в0 (см. рис. 19) и двумя консолями вылетом вк. Изгибающие моменты в расчетных сечениях (кНм): 2'-2'
2-2 M2 = γ0G0 (0,0444L2 – 0,3 вк)·γn =1,2·114 (0,0444·5,68 - 0,3·0,6)·0,95 = 9,36; 2''-2''
предельный момент трещинообразования М0crc,2 = 0,22·R°вt·L1·h2 = 0,22·0,62·368·162·10-3=12,50 кНм. Так как |М'2|, М2 и |М2"| < М0crc,2, прочность сечений 2'-2'; 2-2, 2"-2" обеспечивается бетоном. Пример 4. Определить эквивалентную, приведенную к линейной, краевую нагрузку от ненесущей (навесной) наружной стены на опертую по трем (одной короткой и двум длинным) сторонам плиту перекрытия с шагом несущих стен вдоль свободного края L1 = 3,6 м. Высота этажа Нэт = = 2,8 м. 1) Исходные данные. Несущие внутренние стены и плиты перекрытий толщиной 16 см из тяжелого бетона. В плитах под наружной стеной предусматриваются "термоокна" сечением 16 × 16 см, длиной в среднем 60 см, заполняемые минватой, с ребрами между ними шириной 15 см. Наружная стена - трехслойная из штучных материалов с наружным слоем из облицовочного кирпича γкл = 1600 кг/м3, δкл = 12 см, средним теплоизоляционным слоем из пенополистирола γут = 40 кг/м3, δут = 14 СхМ, внутренним слоем из ячеистобетонных блоков γбл = 500 кг/м3, δбл = 20 см и цементно-песчаной штукатурки γшт = 1800 кг/м3, δшт = 2 см , общая толщина стены hст = 48 см. Высота стены "в свету", при наличии эластичной прокладки под плитой , Нст » 2,62 м, размеры окна 1,5 ´ 1,5 м, высота подоконной части hпод = 0,9 м, надоконной, включая перемычку, hпep = 0,22 м. Ширина простенков по облицовке впр = 1,1 м, по остальным слоям 1 м, в среднем впр » 1,05, надоконной перемычки и подоконной части в среднем впер = впод » 1,5 м. Весом оконного блока и разницей в весе перемычки и материала стены пренебрегается. 2) Нагрузки от стены. В качестве расчетной схемы передачи нагрузки от стены на плиту принимается (см. рис. 8): нагрузка от надоконной перемычки равными долями передается на простенки; нагрузка от простенков с учетом приходящихся на них усилий от перемычки считается линейно распределенной по их ширине (длине); нагрузка от подоконной части - линейно распределенной по ее ширине (длине). Нагрузка от глухой части стены на 1 м2 (кПа): нормативная qглп =[1600·0,12·1 (облицовка) + 40·0,14 (утеплитель) + 500·0,2 (блоки) + 1800·0,02 (штукатурка)]·10-2 = (192 + 5,6 + 100 + 36)·10-2 = 3,34; расчетная qгл = [1,1·192 + 1,2·100 + 1,3 (5,6 + 36)]·10-2 = 3,85. Линейные нагрузки (кН/м): нормативные: на простенки рпрп = qnгл [bпр·Нсг(от простенков) + bпер·hпер/2(от надоконной перемычки)]/bпр = 3,34 (1,05·2,62 + 1,5·0,22/2)/1,05 = 9,27; на подоконную часть рподn = qnгл·hпод = 3,34·0,9 = 3,01; расчетные пропорционально qгл/ qnгл - 1,15: на простенки рпрп = 1,15·9,27 = 10,69; на подоконную часть рпод = 1,15·3,01 = 3,46. Изгибающие моменты от этих нагрузок |6| (кНм): от нормативной Мnст = рnпр·b2пр/2 + рnпод·bпод(L1 - lпод/2)/4 = 9,27·1,05/2 + 3,01·1,5 (3,6 - 1,5/2)/4 = 8,32; от расчетной Mст = Mnст·qгл/qnгл=8,32·1,15 = 9,56. Приведенные по (2.37) эквивалентные линейные нагрузки (кН/м): нормативная рnэ = 8 Мnст/L21 = 8·8,32/3,52 = 5,43; расчетная рэ = 8 Мст/L21 = 8·9,56/3,52 = 6,24. Пример 5. Определить расчетное армирование, проверить прогиб и раскрытие трещин опертой по трем (одной короткой и двум длинным) сторонам плиты для конструктивной ячейки 3,6 × 5,7 м, толщиной 16 см, защемленной на опорах в платформенных стыках. Нагрузки: равномерно распределенная по площади в комнатной части и краевая линейная от ненесущей наружной стены, выполняемой из кирпича и мелких блоков с эффективным утеплителем. 1) Исходные данные. Плита изготовлена в горизонтальном положении. Бетон тяжелый класса В20 с расчетными сопротивлениями (МПа): Rв = 10,35 (φв1 = 0,9); Rвt = 0,81(φв1 = 0,9); Rв,scеr = 15; Rвt,cer = 1,35; Ев = 27500. Рабочая арматура из стали класса А400 с расчетными сопротивлениями (МПа): Rs = 355; Rв,cer = 400; Es = 2·105. Защитный слой бетона до нижнего ряда арматуры 15 мм; армирование в направлении l1 неравномерное (см. рис. 21,а), в направлении l2 - равномерное. Нормативные нагрузки, равномерно распределенные по площади (кПа): от собственного веса плиты qw = 4; от конструкций пола и легких перегородок qr = 0,8; временная qt = 1,5, в том числе пониженная (длительная) qt = 0,3; краевая, приведенная к эквивалентной линейной, прикладываемая после защемления плиты в платформенных стыках, рг = 5,7кН/м. 2) Сочетания нагрузок. Равномерно распределенные (кПа): расчетная q = γfi·qi = 1,1·qw + 1,3 (pr + pn) = 1,1·4 + 1,3 (0,8 + 1,5) = 7,39; для проверки трещинообразования qs = qw = 4; qr = qr1 + qt = 0,8 + 1,5 - 2,3; для проверки прогиба и раскрытия трещин qs = 4; qrl = qr1 + qtl = 0,8 + 0,3 = 1,1; полная нормативная qn = qs + qr = 4 + 2,3 = 6,3; в т.ч. ql = qs + qrl = = 4 + 1,1 =5,1; краевые линейные (кН/м): расчетная р = 6,5 для проверки трещинообразования, прогиба и раскрытия трещин рг = ргl = рn = 5,7. 3) Подбор рабочей арматуры по прочности Плита рассматривается как свободно (шарнирно) опертая с закрепленными от подъема углами. Расчетные пролеты l1 × l2= 3,51 × 5,65 м; отношение пролетов λ = l2/l1 = 5,65/3,51 = 1,6; рабочие высоты: h01 = 13,8 см; h02 =12,9 см; по рис. 2 коэффициент m = 0,1 ¸ 0,2, принимается m = 0,15. Задавшись коэффициентом концентрации арматуры φс = 1,5, интерполируя (2.8), находим Кс = 1,11. Необходимое сечение арматуры от равномерно распределенной нагрузки по (2.3), (2.4):
принимается по прочности As1un = As1int + As1con = 19 Ø8 мм (равномерно по площади плиты с шагом 300 мм) + 2 Ø12 мм (отдельные стержни в зоне концентрации у свободного края) = 9,56 + 2,26 = 11,82 см2; As2 = 10 Ø5 мм (шаг 400 мм) = 1,96 см2. Коэффициент концентрации арматуры As1un по (2.7) φс = 1+ 2 As1ex/Aslint = 1 + 2·2,26/9,56 = 1,47 » 1,5, перерасчета не требуется. Необходимое сечение арматуры от краевой нагрузки как для балочной плиты пролетом l1 при расчетной ширине краевой полосы по (2.38) вed = вр + l1/6 = 16 + 351/6 = 75 см и изгибающем моменте Мсr = р·l12/8 = 6,5·3,512/8 = 10,01 кНм. По (3.21) |4|:
так как αm > аR= 0,39 (табл. 3.2 |4|), то ( Суммарное количество арматуры As1ed, располагаемой в зоне концентрации в максимально возможной близи от свободного края As1ed = Aslcon + As1ст = 2,26 + 2,26 = 4,52 см2 (4 Ø12 А400). 4) Проверка прочности. По (2.27)-(2.31): Aed = l1·fE/2 = 3,51·1/2 = = 1,76 м2; V = l1·(6 l2 - l1)·fE/12 = 3,51(6·5,65 - 3,51) 1/12 = 8,89 м3; qэloc = ped·Aed/V = 6,5·1,76/8,89 = 1,28 кПа; qэ = q + qэloc = 7,39 + 1,29 = 8,68 кПа. По полученной из подбора арматуре As1 = As1un + As1ed = 11,67 + 2,02 = 13,69 см2 и As2un = 1,35 см2. По (2.23), (2.24):
Коэффициент концентрации принятой при подборе арматуры по (2.7) φс= 1 + 2 Asled/Aslun = 1 + 2·4,52/9,56 = 1,95 » 2; из (2.8) Кс » 1. По (2.25)
прочность плиты обеспечивается. 5) Проверка прогиба Для выбора методики определения прогиба производится проверка по образованию трещин от действия полных нормативных нагрузок. С учетом частичного защемления плиты в платформенных стыках изгибающие моменты (кНм): от равномерно распределенных по площади нагрузок по (3.5), (3.6) при αi по рис. 12: α1 = 0,129; α2 = 0,046; α3 = 0,085: Mspun = (α1·qs+ α 2qr)·в·l12 = (0,129·4·+ 0,046·2,3)·1·3,512 = 7,66; Msupun = Ksup·α3 qr в·l12= 1,1·0,085·2,3·1·3,512 = 2,65; от краевой линейной нагрузки по (3.41), (3.42)при αi по рис. 17: α1* = 0,25; α2* = 0,129; α3* = 0,253: Mspcd = α2*·pr·в·l1 = 0,129·5,7·1·3,51 = 2,58; Msupcd = α3*·pr·в·l1 = 0,253·5,7·1·3,51 = 5,06. Суммарные по (3.39), (3.40): Msp = (Mspun + Msped) γn = (7,66 + 2,58)·0,95 = 9,73 кНм; Msup= (Msupun + Msuped) γn = (2,65 + 5,06)·0,95 = 7,32 кНм. По (3.8), без учета арматуры Wpl = 0,22·в·h2 = 0,22·100·162 = 5632 см3. По (7.6) |3|: Mcrc = Rbt,ser ·Wpl = 1,35·5632·10-3 = 7,60 кНм. Так как Msp > Mcrc, а с учетом перераспределения усилий с пролета на опоры и Msup > Mcrc', то трещины образуются и в пролете и у опор. Для определения прогиба перед образованием трещин учитывается влияние частичного защемления плиты на опорах и краевой нагрузки. mred = Mspun /Msped = 7,66/2,58 = 2,97;
По (3.9) при Eв1 = 0,85 Ев = 0,85·27500 = 23375 МПа вместо Ев,τ, qсгс - qs вместо qrl и βi по рис. 12: β1 = 0,157; β2 - 0,033
По (3.50) - (3.54) приведенные к эквивалентным равномерно распределенным по площади нагрузки (кПа): qnэ = qn + Ked·pn = 6,3 + 0,56·5,7 = 9,49; qlэ = ql+ Ked·pl = 5,1 + 0,56·5,7 = 8,29; qэ = q+ Kcd p = 7,39 + 0,56·6,5 = 11,03, где Ked= α1*/ (α1·l1) = 0,253/(0,129 - 3,51) = 0,56. По (3.17)-(3.30) при требуемой из расчета прочности As1тp = 11,67 + 2,02 = 13,69 см2 и принятой арматуре As1np= 11,82 + 2,26 = 14,08 см2
(защемление плиты в платформенных стыках в этой стадии не учитывается, опирание считается шарнирным);
ξult,2 = 0,1 + 0,5μ·Rs1,ser/Rbt,ser = 0,1 + 0,5·0,0011·400/15 = 0,11;
Kf = 1 + 0,2 (2λ - 1) = 1 + 0,2 (2·1,6 - 1) = 1,44; fult,2 = 0,141 (1/rult,2)·l12·Kf = 0,141·15,13·10-5·3512·1,44 = 3,78 см;
при проверке по эстетико-психологическим требованиям: так как qlэ > qcrс, то по (3.10)
эстетико-психологические требования удовлетворяются. При проверке по конструктивным требованиям по (3.55) определяется приращение прогиба от кратковременной части нормативной нагрузки
суммируя fкон = fэст + frh = 1,07 + 0,07= 1,14 см; для удовлетворения конструктивных требований величина зазора между верхом стены и низом перекрытия должна быть не менее D = 2 fкон = 2 ´ 1,14= 2,28 см. 6) Проверка ширины раскрытия трещин. а) У свободного края по балочной схеме для полосы шириной bed = 75 см по 7.2.12 ¸ 7.2.15 |3|. Изгибающий момент от приведенной равномерно распределенной длительной нагрузки Мl = qlэ·bed·l12/8 = = 8,29·0,75·3,512/8 = 9,58 кНм; рабочая арматура As = as1·bed + As1cd = = 3,33 Ø8·0,75 + 4 Ø12 = 1,26 + 4,52 = 5,78 см2. По 7.2.13 |3| Zs = 0,8 h01 = 0,8·13,8 = 11,04 см, по (7.17) σs = Ml/(Zs·As) = 9,59·103/(11,04·5,78) = 150,1 МПа; Aвt = b·h/2 = 75·16/2 = 600 см2; dэ » 11 мм = 1,1 см; пo (7.21) ls = 0,5Aвt·dэ/As = 0,5·600·1,1/5,78 = 57 см; принимается ls = [lsmax] = 40 см; по (7.23) ψs = 1 - 0,8 Mcrc/ Ml = 1 - 0,8·7,60/9,58 = 0,37; по (7.13) асгс,1 = φ1·φ2·ψs·ls·γn/Es = 1,4·0,5·1·0,37·150,1·40·10·0,95/2·105 = 0,08 мм < acrc,ult = 0,3 мм; условие ограничения ширины раскрытия трещин у свободного края плиты выполняется. б) В средней части плиты, как опертой по трем сторонам. По (3.36) σs,сгс = εвt, Ев = 0,00015·27500 =4,1 МПа; так как qlэ > qcrc, то по (3.31)
для полосы с расчетной шириной b = 1м:
hoэ = 0,5 (ho1 + ho2) = 0,5 (12,8 + 12,9) = 13,3 см2; dэ = 0,5 (d1 + d2)0,5 (0,8 + 0,5) = 0,7см; по аналогии с п. a) Aвt = b·h/2 = 100·16/2 = 800 см2; ls = 0,5·Aвt·dэ/as = 0,5·800·0,7/1,32 = 212 см; допуская ls = [lsmax] = 40 см; принимая согласно 7.2.12 ψs = 1, по (7.13) асrс,1 = 1,4·0,5·1·1·51,6·40·10·0,95/2·105 = 0,07 мм < acrc,ult = 0,3 мм; условие ограничения ширины раскрытия трещин в средней части плиты также выполняется. Пример 6. По данным примера 5 определить расчетное армирование и проверить прочность ребер между «термоокнами» (см. рис. 9, а) консольной части плиты под наружной стеной. 1) Исходные данные. Термоокна, заполняемые утеплителем, приняты сечением bτ.o·h = 16×16 см. Ширина сечения ребер у их основания bр = 16 см, высота равна толщине плиты h = 16 см, количество ребер nр = 5. Ширина наружной полосы плиты bn = 13 см. Наружная стена - трехслойная с наружным слоем из облицовочного кирпича δоб = 12 см, γоб = 1600 кг/м3, свисающим за край плиты на bсв = 3 см; средним слоем из утеплителя δут = 20 см, γут = 40 кг/м3; внутренним слоем из кирпича или ячеистобетонных блоков со штукатуркой. Высота стены между перекрытиями за вычетом эластичной прокладки между верхом стены и вышележащей плитой Hст = 2,82 м. В соответствии с принятой привязкой торцы внутренних несущих стен находятся в одной плоскости с основаниями ребер, поэтому нагрузка на ребра передается только от наружного облицовочного слоя кладки и утеплителя, а также от собственного веса расположенной за ребрами части плиты Ьн. Для расчета краевых консольных участков плиты под облицовкой на действие изгиба в направлении, перпендикулярном к продольной стене, вылет консолей принят от основания ребер. 2) Нагрузки. Ширина расчетной краевой полосы bed = bт.о. + bн = 16 + 13 = 29 см. Нагрузки на 1 м длины фасада (кН/м) с учетом коэффициента проемности наружной стены Кпр = 0,75: нормативные: от облицовки рnоб = Кпр·qno6 δоб·Hст = 0,75·1600·0,12·2,82·10-2 = 4,06; от плиты рnпл = qw [bн+ 2см (от ребер)] = 4 (0,13 + 0,02)= 0,6; от утеплителя pnуг = Кпр·γуг·δуг·Нст= 0,75·40·0,2·2,82·10-2 = 0,17; расчетные: роб = 1,1 рnоб = 1,1·4,06 = 4,47; рпл = 1,1рnпл = 1,1·0,6 = 0,66; pyг = 1,3pnуг = 1,3·0,17 = 0,22. 3) Усилия. Плечи отдельных слоев стены относительно основания ребер (см): облицовки уоб = bкр + bсвоб - δоб/2 = 29 + 3 - 12/2 = 26; плиты yw = bкр - bн/2 = 29 - 13/2 = 23,5; утеплителя уут = bут/2 = 20/2 = 10. Изгибающие моменты от расчетных нагрузок в основании ребер (кНм): на 1 м длины фасада: M'(1м) > = роб·уоб + Pw·yw + Рут·уут = 4,47·0,26 + 0,66·0,23 + 0,22·0,1 = 1,33; на весь пролет (шаг стен) М' = М'(1м)·L1 = 1,33·3,6 = 4,79; в среднем на 1 ребро Мр' = М' nр = 4,79/5 = 0,96. 4) Подбор рабочей арматуры по прочности. По 3.21 |4|:
так как αm > аR = 0,39 (табл. 3.2 |4|), то As' = Rв·вр·h0' принимается конструктивно в каждом ребре верхняя рабочая арматура A's = 2 Ø6 = 0,57 см2; μ' = A's/(bp. ho') = 0,57/(16·13,5)·100 % = 0,26 % > [Mmin] = 0,1 %; требование п. 8.3.4 |3| выполняется. Так как принятое сечение арматуры A's в 3 раза больше требуемого по расчету, то дополнительного увеличения арматуры крайних ребер не требуется. Приложение
|
|||||||||||||||||||||||||||||||||||||||||||||||
|
Схемы
и параметры |
Формула
для объемов |
|
|
|
|
б - опертых по трем сторонам (ВС - свободный край) |
|
|
|
То
же, что |
|
|
|
|
|
|
Продолжение приложения
Поверхности Ак фигур, образующихся под локальными линейными нагрузками ск при единичных перемещениях точек Е и F (см. рисунки 5-8)
а - опертых по контуру
|
Схемы |
Формула Aк |
|
|
|
|
б - опертых по трем сторонам (ВС - свободный край) |
|
|
|
То
же, что |
|
|
|
|
|
|
Продолжение приложения
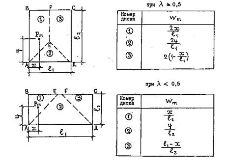
Скорости линейных перемещений Wm под сосредоточенными локальными нагрузками Рm при единичных перемещениях точек Е и F (см. рисунки 5-8)
а) в плитах, опертых по контуру

б.) в плитах, опертых по трем сторонам

1. СНиП 2.01.07-85*. Нагрузки и воздействия. - М., 2003.
2. СНиП 52-01-2003. Бетонные и железобетонные конструкции. Основные положения - М., 2004.
3. СП 52-101-2003. Бетонные и железобетонные конструкции без предварительного напряжения арматуры. - М., 2004.
4. Пособие по проектированию бетонных и железобетонных конструкций из тяжелых и легких бетонов без предварительного напряжения арматуры (к СП 52-101-2003). - М., 2005.
5. Рекомендации по расчету и конструированию сплошных плит перекрытий крупнопанельных зданий. - М.: ЦНИИЭП жилища, 1989.
6. Справочник проектировщика. Расчетно-теоретический. Книга 1. -М.: Стройиздат, 1972.
7. Вайнберг Д.В., Вайнберг Е.Д. Расчет пластин. - Киев: Будивельник, 1970.
8. Шадурский В.Л. Таблицы для расчета упругих прямоугольных плит. - М.: Стройиздат, 1976.
9. Зырянов B.C. К расчету прогибов защемленных на опорах балок и плит / Жилищное строительство. - 1999. - № 7.
10. Зырянов B.C. Пространственная работа железобетонных плит, опертых по контуру. - М.: ЦНИИЭП жилища, 2002.
11. Зырянов B.C., Оспанов А.Н. Особенности работы опертых по контуру железобетонных сплошных плит с разреженным армированием / Бетон и железобетон. - 1993. - № 3.
|
ГОСТЫ, СТРОИТЕЛЬНЫЕ и ТЕХНИЧЕСКИЕ НОРМАТИВЫ. Некоммерческая онлайн система, содержащая все Российские Госты, национальные Стандарты и нормативы. В Системе содержится более 150000 файлов нормативно-технической документации, действующей на территории РФ. Система предназначена для широкого круга инженерно-технических специалистов. Copyright © www.gostrf.com, 2008 - 2026 |