|
|
Ведомственные строительные нормы ВСН 210-91
|
|||||||||||||||||||||||||||||||||||||||||||||||||||||||||||||||||||||||||||||||||||||||||||||||||||||||||||||||||||||||||||||||||||||||||||||||||||||||||||||||||||||||||||||||||||||||||||||||||||||||||||||||||||||||||||||||||||||||||||||||||||||||||||||||||||||||||||||||||||||||||||||||||||||||||||||||||||||||||||||||||||||||||||||||||||||||||||||||||||||||||||||||||||||||||||||||||||||||||||||||||||||||||||||||||||||||||||||||||||||||||||||||||||||||||||||||||||||||||||||||||||||||||||||||||||||||||||||||||||||||||||||||||||||||||||||||||||||||||||||||||||||||||||||||||||||||||||||||||||||||||||||||||||||||||||||||||||||||||||||||||||||||||||||||||||||||||||||||||||||||||||||||||||||||||||||||||||||||||||||||||||||||||||||||||||||||||||||||||||||||||||||||||||||||||||||||||||||||||||||||||||||||||||||||||||||||||||||||||||||||||||||||||||||||||||||||||||||||||||||||||||||||||||||||||||||||||||||||||||||||||||||||||||||||||||||||||||||||||||||||||||||||||||||||||||||||||||||||||||||||
|
Классы типы и подтипы |
Характерные схемы образования наледей |
Морфологические признаки |
Ледотермический режим |
|
1. Наледи поверхностных вод 1.1. Речные наледи |
|
Образуются на малых и средних водотоках. Приурочиваются к русловой части водотока, изливаясь потоком на поверхность речного льда и пойм. В плане повторяют очертания русла и дна долин. Поверхность льда, ровная или бугристая с перепадами и буграми вспучивания льда. Лед наледи тонкослойный, чистый, белый или голубой, с прослойками света и воздуха |
Возникают обычно сразу же после ледостава на расчищаемых от снега участках при скальной ложе реки (схема 1-а), на перекатах (схема 1-б), на отмелях, распластанных галечниковых руслах, при закупорке русел грунтом, донным льдом и т.п. (схема 1-в), при увеличении расходов воды в реке (схема 1-г). Действуют до полного промерзания водотока. У временных водотоков рост наледи прекращается к концу первой половины зимы. Наледи постоянных водотоков, особенно образующихся по схеме 1-б достигают больших размеров |
|
1.2. Наледн талых вод: 1.2.1. снеговых 1.2.2. ледниковых |
|
Образуются по склонам, долинам, у сооружений, заполняя отверстия мостов и труб, кюветов и водоотводные канавы, создавая накопление талых вод у дороги |
Возникают от замерзания талых вод снега и ледников в конце зимы и начале весны при чередовании дневных оттепелей н ночных морозов (схема 1-д) |
|
1.3. Наледи открытых водоемов: 1.3.1. озер 1.3.2. морей |
|
Формируются на подветренной стороне береговой зоны, локализуются на мелководных и приустьевых участках рек. Поверхность волнообразная, натечная |
Образуются при ветровых нагонах в течение всей зимы вследствие выхода морских вод на припай (схема 1-е) |
|
2. Наледи подземных вод: 2.1. Наледи грунтовых вод рыхлой толщи: |
|
Образуются в выемках, канавах, на перегибах склонов. Приурочиваются к расчищенным от снега временным дорогам и участкам русел с нарушенным мохо-растительным покровом (схема 2-а), участкам русел и логов с резко суженным подрусловым таликом (схема 2-б), участкам русел и логов при стеснении подруслового потока фундаментом трубы (схема 2-в) или моста (схема 2-г) |
Возникают от излияния и замерзания грунтовой воды при вскрытии или местном перемерзаяии верхних водоносных слоев. Наледн этого типа появляются: после промерзания грунта до зеркала грунтовых вод (схемы 2-а и 2-в); после промерзания поверхностного водотока (cхeма 2-г), с наступлением устойчивых отрицательных температур воздуха (схема 2 б) |
|
2.1.1. с водоупором из немерзлых пород |
|
||
|
2.1.2. с водоупором из вечномерзлых грунтов |
|
Имеют различные размеры в зависимости от глубины залегания водоупора (Нв), формы н размеров переката (т), глубины промерзания (d) и состава грунта талика, уклона местности, конструкции фундамента искусственного сооружения. Лед наледи зернистый, с включением оледенелого снега, слабо окрашен в цвет грунтов, вмещающих водный поток |
Наледи прекращают свою деятельность в первую половину зимы при (Нв – dw)<dм, действуют всю зиму и достигают значительных размеров при (Нв - dw)>dм. Наледи подтипа 2.1.2 имеют более короткий период формирования и меньшие размеры по сравнению с наледями подтипа 2.1.1 |
|
2.2. Наледи подземных вод глубоких горизонтов |
|
Преобладают удлиненные формы, вытянутые по уклону рельефа, вдоль логов и русел. Отличаются большими раз мерами по площади и мощности льда, особенно, если развиваются за счет напорных вод. Характерно наличие незамерзающих участков (полыней), эрозированных наледных полян, круппых наледных бугров |
Возникают при излиянии и замерзании воды источников подземных вод. Имеют постоянный режим и развиваются всю зиму, образуя большие скопления льда. Период их интенсивного формирования начинается, когда промерзают поверхностные водоносные пути, что совпадает с наступлением низких температур |
|
2.2.1. ненапорных вод 2.2.2. напорных вод |
|
Лед чистый, зеленовато-голубой, слоистый Летом на наледной поляне наблюдается отложение солей. Из всех типов наледей наиболее опасные |
Наледи напорных вод имеют устойчивый режим и продолжительное развитие, а также большие и гигантские размеры, особенно наледи, питающиеся источниками, выходящими по тектоническим разломам. Наледи этого типа иногда бывают многолетние |
|
3. Наледи смешанных вод 3.1. Наледи смешанных поверхностных и подземных вод |
|
Образуются от излияния и замерзания на одном участке различных типов вод. Обладают сочетанием форм и признаков, характерных для наледей различных типов. Характеризуются большими размерами, представляют наибольшую опасность |
Особенности режима определяются типами вод, доминирующими в динамике развития |
Обязательное
3.1. Инженерно-геологические и топографические работы по обследованию наледных участков выполняют в общем комплексе проектно-изыскательских работ при линейных изысканиях трасс новых дорог.
3.2. При изысканиях необходимо рассматривать наледи как опасное физико-геологическое явление и укладывать трассу с расчетом на полное исключение или на снижение отрицательного воздействия наледей на проектируемые сооружения.
Размещение трасс железных дорог следует производить с учетом следующих особенностей физико-географических условий:
наиболее благоприятными для размещения трассы являются водораздельные участки, склоны антиклинальных долин, борта моноклинальных долин с падением слоев пород вглубь склона, верхние части склонов, сложенных породами с горизонтальным залеганием слоев, южные склоны и поверхность речных террас, сложенных дренирующими грунтами (рис. П.3.1);
менее благоприятными являются речные долины с синклинальным залеганием пород и субсеквентные долины, в зонах тектонических разломов, являющихся путями выхода на поверхность подземных вод, способствующих образованию больших и гигантских наледей;
неблагоприятными участками являются в пределах Сибирской платформы зоны контакта водоносных песчано-известковистых пород с водоупорными аргиллито-мергиллистыми толщами, в Якутии и горных системах Забайкалья - неотектонические зоны разломов с восходящими источниками подземных вод;
особо неблагоприятными являются участки с выходами грунтовых родников (трещино-карстовых, пластовых или связанных с зонами тектонических нарушений) и склоны северной экспозиции с распространением вечномерзлых грунтов, имеющих надмерзлотные воды. При трассировании линии целесообразно рассматривать варианты обхода таких мест с нагорной стороны или переноса трассы на склоны южной экспозиции,
3.3. Содержание и объем работ по обследованию наледных участков должны обеспечивать получение данных, необходимых как для прогнозирования наледного процесса и разработки проектных мероприятий по предотвращению активизации наледного процесса после строительства дороги, так и для проектирования противоналедных сооружений и устройств.
3.4. При инженерном прогнозе наледного процесса устанавливают качественные и количественные характеристики изменения во времени параметров природных наледей (см. рекомендуемые приложения 4, 5). Вероятность возникновения искусственных наледей, степень воздействия наледей на транспортные и другие сооружения, выполняют обоснования проектируемых противоналедных мероприятий, сооружений и устройств. Инженерный прогноз осуществляют по данным обследования наледных участков на стадиях ТЭО (ТЭР), проект и рабочая документация.
3.5. На каждой стадии изысканий ТЭО (ТЭР), проекта, рабочей документации обследование наледей выполняют в три периода: подготовительный, полевой, камеральный.

Рис. П.3.1. Рекомендуемые варианты трассирования дороги (долинным ходом) в наледных районах полувыемкой на разной высоте склона (а, б, в) и насыпью в прирусловой части поймы (г, д, е)
а - по антиклинальной долине, б - по моноклинальной долине в - по тектонической долине, г - по синклинальной долине, д - при горизонтальном положении слоев, е - при развитии наледи в русле реки
1 - водоток, 2 - направление стока, 3 - рекомендуемое положение трассы дороги, 4 - источник, 5 - наледь
Задачи подготовительного периода общие для каждой стадии изысканий. Подготовительный период включает подготовку к полевым изыскательским работам, изучение опубликованных литературных источников и фондовых материалов по физико-географическим и инженерно геологическим условиям района (климату и геоморфологии, геологии и гидрогеологии, гидрологии и мерзлотоведению) в объеме, необходимом для составления программы обследования наледных участков и рационального выполнения полевых работ, обеспечивающих получение исходных данных для качественного и количественного прогноза наледных процессов и проектирования противоналедных мероприятий, сооружений и устройств. В наиболее полном объеме сбор и изучение опубликованных источников и фондовых материалов выполняется на стадии ТЭО (ТЭР). На последующих стадиях эти данные уточняются и дополняются на основе анализа материалов предыдущих изысканий.
3.6 Содержание, объемы и детальность полевых работ на каждой стадии изысканий различны и определяются целями этих изысканий. Общими и обязательными для каждой стадии изысканий являются аэрофотосъемка по вариантам или выбранному варианту трассы, выполняющиеся сразу после схода снежного покрова (весенний период), а также наземное маршрутное обследование.
3.7. Инженерно-геологические обследования должны включать изучение общих физико-геологических условий наледных участков, ледового и термического режимов поверхностных водотоков, источников и водоносных слоев подземных вод, попадающих в зону воздействия железнодорожного строительства.
Изучение ледотермического режима водотоков должно охватывать, как минимум, осенний и зимний периоды одного сезона.
3.8. На стадии ТЭО (ТЭР) обследования должны обеспечить изучение природных условий района в пределах размещения всех намеченных конкурентоспособных вариантов трасс, получение необходимых материалов для обоснования и принятия принципиальных противоналедных мероприятий и определения расчетной стоимости по противоналедной защите транспортных и других сооружений по намеченным вариантам трасс.
3.9. Наличие, местоположение природных наледей и наледеопасных мест в пределах зоны варьирования плана трассы устанавливают по данным:
сбора анализа материалов изысканий прошлых лет, выполненных ранее в районе проектирования дороги, а также изучения фондовых и литературных источников;
космической съемки, выполненной в масштабе 1:125000, позволяющей по многоразовым снимкам местности выявить природные наледи и наледеопасные места, особенно в труднодоступных районах страны;
аэрофотосъемки, выполненной в масштабе 1:10000 в весенний период после схода снега и до начала интенсивного таяния наледей;
рекогносцировочных обследований и при необходимости визуального (аэровизуального) осмотра вариантов плана трассы в весенний период максимального проявления наледных процессов, при которых фиксируются все наледи по классификационным признакам (см. рекомендуемое приложение 2) и уточняются их границы.
3.10. Размеры наледей можно определить по результатам многозональной и тепловой аэрофотосъемки, выполненной в период до интенсивного таяния наледей в масштабе от 1:24000 до 1:70000 с последующим преобразованием в масштаб 1:5000.
3.11. По данным обследования и на основе качественного прогноза составляют ведомость природных наледей и наледеопасных мест, выполняют оценку зоны варьирования плана трассы и вариантов трассы по условиям наледной опасности, назначают принципиальные технические решения по противоналедной защите транспортных и других сооружений. Данные обследования, выполненного для стадии разработки ТЭО (ТЭР), дополняются, уточняются и используются на последующих стадиях проектирования для разработки проектных решений.
3.12. На стадии разработки проекта при обследовании необходимо получить материал для прогноза степени опасности природных, а также искусственных наледей, возникающих в результате изменения водно-теплового режима грунтов и водотоков при строительстве земляного полотна (низкие насыпи, выемки, нулевые места), искусственных сооружений (малые мосты, водопропускные трубы), зданий при прокладке подземных коммуникаций и т.д.; определения оптимального положения плана трассы; разработки противоналедных мероприятий, сооружений и устройств и их технико-экономического обоснования.
3.13. Полевые работы начинают с аэровизуального облета района трассы (на вертолете или самолете), проведения аэрофотосъемки по вариантам трассы в конце весны, после схода снежного покрова, когда наледи хорошо видны.
3.14. Инженерно-геологическая съемка в масштабе 1:25000-1:10000 выполняется по трассе полосой 300-500 м и дополняется маршрутной гидрогеологической съемкой по всем пересекаемым трассам поверхностным водотокам и источникам на расстоянии: от трассы вверх по водотоку - на 600-700 м или до "головки" источника вниз - на 300-400 м, при общей протяженности маршрута около 1000 м.
3.15. По данным аэровизуального обследования, гидрогеологической и комплексной инженерно-геологической съемок, составляются карта и кадастр водотоков, источников и наледей, которые являются одним из основных документов для прогноза наледей.
3.16. Маршрутные обследования на наледных участках выполняются: с наступлением холодов и появлением кромки льда у водотоков, когда малые водотоки при отсутствии ледового и снежного отепляющего покрова претерпевают максимальное охлаждение; в середине зимы, когда окончательно формируются и заканчивают развитие наледи временных поверхностных водотоков и надмерзлотных вод; в конце зимы - в период максимального развития всех наледных процессов, до появления весенней воды от таяния снега. Третье обследование выполняют только на участках, в пределах которых наледный процесс не завершился ко времени проведения второго обследования.
Во время маршрутных обследований выполняют снегомерную съемку, замеры температуры, уровня и расходов воды в специально оборудованных скважинах и на наледных источниках, описание характера наледеобразования; зарисовку и фотографирования наледей, а также характерных наледных водотоков и мест пересечений их трассой. Результаты маршрутных обследований уточняются и дополняются при повторных осмотрах наледных участков.
3.17. В летний и осенний периоды выполняется максимальный объем работ (площадная съемка, разведочные, геофизические, инженерно-геологические, гидрологические и другие обследования). В зимний период и весной до начала таяния наледного поля проводят маршрутные обследования на участках с природными наледями и на переходах постоянных водотоков, в пределах которых вероятно возникновение искусственных наледей. При маршрутном обследовании выполняют топогеодезические работы по разовой съемке наледи, а также разовые наблюдения и замеры, необходимые для определения изменения водно-теплового режима водотоков.
3.18. При обследовании поверхностных водотоков выявляют область и источники питания, а также их влияние на гидрологический режим водотоков, выполняют:
описание морфологии русла водотока, поймы, долины, растительности, заболоченности; промер глубины водотока на переходе его трассой и в характерных местах (перекатах, плесах), инструментальное определение уклона русла на участке перехода - на 500 м вверх и вниз от трассы; вычерчивание поперечных и продольных профилей;
определение дебита источника, расхода поверхностного водотока на переходе, выше и ниже источников, питающих водоток, в верхнем и нижнем конце наледи; выше и ниже водопропускного сооружения, если наледь образовалась у существующей дороги;
установление литологического состава и водоносности горных пород, слагающих дно и берега водотока, их изменчивости по водотоку, наличия галечникового фильтрующего аллювия и подруслового потока; определение дебита последнего по данным геологоразведочных работ по трассе и коэффициенту фильтрации аллювия, вычисленному по механическому составу аллювиальных образований;
замеры температуры воды с точностью до 0,1°С в водотоке, от места пересечения его трассой вверх по течению через 100-200 м на расстоянии до 1 км или до источников питания; составление продольного (по водотоку) графика температур, отбор проб поверхностных вод на химический анализ;
наблюдение за состоянием ледового покрова, внутриводным и донным льдом, возникновением и развитием наледей; описание и зарисовку, фотографирование наледей и очагов их возникновения, водотока в характерных участках и на участках трассы;
определение мощности снежного покрова по руслу, склонам, на открытом месте, в лесу;
определение температуры воздуха в период наблюдений.
3.19 При изучении и описании подземных вод устанавливаются:
географическое положение мест наблюдения (источника, колодца, скважины, шурфа), которые нумеруются и наносятся на карту соответствующим условным знаком; относительная высота мест наблюдения над меженным уровнем ближайшего водотока или водоема, дном балки, оврага, болота; абсолютная высота места наблюдения, которая определяется нивелировкой; экспозиция склона для мест наблюдений, расположенных на склоне или у его подножия;
возраст, литологический состав, название, степень выветрелости, трещиноватости и условия залегания породы, из которой поступает вода, питающая наледь;
характер выхода подземных вод из пород - восходящий или нисходящий, коренной или дериватный, концентрированный или рассеянный пластовый; форма и размеры родниковой воронки; дебит источника, определенный мерным сосудом, водосливом, переносной водосливной рамкой, пробной откачкой;
физические свойства воды (температура, вкус, запах, цвет, прозрачность, взвешенный материал). Температура воды замеряется в головке источника и ниже по течению водотока, до пересечения ею трассой или до впадения его в основной водоток, который пересекается трассой, одновременно замеряется температура воздуха;
химический состав (отбираются пробы воды в объемах, указанных в табл. П.3.1). Если в месте выхода источника наблюдается налет в виде твердого осадка, выпавшего из воды источника, необходимо взять для химического анализа пробу этого осадка (100-200 г).
3.20. При обследовании природных наледей должны быть получены следующие данные:
топографическая привязка наледи к трассе, вид наледи по месту отложения льда (описание элемента рельефа, его экспозиции, растительности); форма наледи (округлая, эллиптическая, однопластная, многопластная, в виде сосулек, сталагмитов, каскадов); направление роста наледи; генетический тип наледи по физико-геологическим условиям с соответствующей характеристикой;
|
Анализ |
Требуемое количество воды, л |
||
|
Воды повышенной минерализации (сухой остаток больше 1000-1500 мг/л) |
Пресные воды |
||
|
сухой остаток от 500 до 1500 мг/л |
сухой остаток меньше 500 мг/л |
||
|
Полный |
1,0 |
1,5 |
2,0 |
|
Сокращенный |
0,5 |
1,0 |
1,5 |
|
Полевой |
0,5 |
0,5 |
0,5 |
мощность льда (средняя, максимальная); площадь, занимаемая наледным льдом (длина, ширина) со схематической зарисовкой и фотоснимками вдоль и поперек наледи; объем наледного льда. Определение площади и мощности льда можно выполнить по вешкам или по данным бурения, шурфования. Если наледь заливает участок леса, то зимой на деревьях делают пометки, а летом по ним замеряют мощность льда. О толщине льда можно судить летом по следам, оставшимся на деревьях (налету солей на коре, механическим повреждениям);
характеристики структуры и текстуры льда, цвета, включений, поверхности наледи, бугров пучения, перепадов и впадин, воздушных полостей, трещин разрыва, их формы, размера, ориентировки, времени и последовательности образования; данные о трещинах: водоносные или сухие; полые или забитые снегом; при наличии взрыва бугра пучения - размеры глыб льда, расстояние, на которое они были отброшены, и направления, в которых произошло их перемещение; описание и зарисовка бугров наледного пучения в деятельном слое; разрез и строение бугра, состав грунта и характер льда, генезис бугра;
характеристики водоисточника, питающего наледь, незамерзающих или поздно замерзающих участков рек (полыней, через которые может изливаться вода) и источников глубинных напорных подземных вод; сведения о наличии подруслового потока его характеристики, температура воды источников и наледной воды; расход воды, питающей наледь (выше и ниже наледи);
химический состав и степень агрессивности воды, питающей наледь;
геологические, гидрогеологические и мерзлотные условия в местах формирования наледи, с выделением факторов, определяющих тип наледи;
данные об отрицательном воздействии наледи на имеющиеся дорожные и другие сооружения.
При повторных осмотрах природных наледей, в соответствующие пункты журнала наледей, а также чертежи и рисунки вносятся дополнительные сведения, касающиеся изменившихся размеров наледей, бугров, трещин и т.д.
3.21. По природным наледям дается прогноз об их возможном отрицательном воздействии на проектируемые сооружения и намечаются соответствующие проектные мероприятия, предупреждающие или исключающие это воздействие.
3.22. Инженерно-геологическое обследование наледных участков сопровождается горнобуровыми и опытными работами, включая:
изучение мерзлотно-геологического разреза с определением характеристик и параметров мерзлых толщ, изучение взаимного расположения, взаимосвязи и стратиграфической принадлежности мерзлых пород и подземных вод;
изучение условий залегания и мощности литологических горизонтов, инженерно-геологических свойств горных пород, опробование водоносных горизонтов и геолого-генетических комплексов пород;
производство режимных мерзлотных и гидрогеологических наблюдений в специально оборудованных скважинах, установление типа подземных вод, их режима, определение водообильности водоносных зон и горизонтов;
определение физических свойств и химического состава природных вод. Пробы воды надлежит брать в характерных местах, с которыми непосредственно связано возникновение и развитие крупных наледей. Полевые анализы воды рекомендуется выполнять с помощью полевой гидрохимической лаборатории для общего анализа воды (ПЛАВ) системы А.А. Резникова.
3.23. Геофизические методы (электрометрические, радиоволновые, сейсмические, термометрические, комплексный каротаж скважин) применяются при обследовании наледей для определения площади распространения талых и вечномерзлых горных пород, мощности деятельного слоя и толщи вечномерзлых пород, направления движения и выявления мест выходов восходящих подземных вод (трещинно-жильных, карстовых и др.) в пределах русла рек и под четвертичными отложениями.
3.24. По результатам полевого обследования наледных участков представляется отчет, включающий:
общие физико-геологические условия района: краткое описание климата и гидрологии, геоморфологии и геологического строения, гидрогеологических и мерзлотных условий, изложенных в составе и объеме, достаточном для обоснования типов наледей, прогнозирования наледного процесса, обоснования последующих работ по его изучению и рекомендуемых противоналедных мероприятий;
описание основных наледных объектов и их оценка по степени опасности;
прогнозирование наледного процесса с учетом изменения природных условий в результате постройки дороги и описание участков с прогнозируемыми опасными наледями;
рекомендуемые противоналедные мероприятия по предотвращению образования опасных искусственных наледей и отрицательного воздействия природных наледей, в том числе посредством активного изменения ледотермического режима водотоков. Приводятся результаты соответствующих теплотехнических расчетов, обосновывается возможность безналедного пропуска водотоков методом обеспечения им оптимального теплового зимнего режима, путем сосредоточения потока, отвода воды по углубленным канавам и пропуска потока через путь по специальным лоткам (открытым, утепленным), а также принятием соответствующих типов водопропускных сооружений. По водотокам, имеющим отрицательный ледотермический режим, намечаются и обосновываются мероприятия и сооружения по отложению и удержанию наледного льда в местах, где наледи не будут опасны для устойчивости транспортных и других сооружений и эксплуатации дороги.
В графической части отчета приводятся: обзорная карта проявления наледей М 1:50000-1:100000; инженерно-геологические карты наледных и наледеопасных участков М 1:2000-1:5000; топопланы наледных участков М 1:1000-1:5000; паспорта наледных участков, включающие инженерно-геологические продольные и поперечные разрезы; графики замеров температуры воды, таблицы расчетных характеристик грунтов, результаты химического анализа воды, геоэлектрические разрезы, результаты опытных работ (графики откачек, наливов).
3.25. Под рабочую документацию проводятся изыскания, включающие детальное инженерно-геологическое обследование наледных участков с целью уточнения условий возникновения и развития наледей, степени их опасности для транспортных и других сооружений, получения и использования конкретных исходных данных при разработке чертежей и технико-экономическом обосновании противоналедных сооружений и устройств.
3.26. Состав и объем работ определяются типом и размерами наледи, степенью и формой ее отрицательного воздействия на транспортные и другие сооружения, а также видом противоналедного мероприятия, намечаемого на стадии проекта. Работы по обследованию наледей должны охватывать не менее одного годового цикла.
3.27. В полевой период выполняют обследование природных наледей, поверхностных водотоков, подземных вод, наблюдение за полным циклом возникновения и разрушения природных наледей, получают в соответствии с программой исследований материалы, необходимые для проектирования противоналедных сооружений и устройств.
3.28. Для всех типов наледей выполняется комплексная инженерно-геологическая съемка в масштабе 1:1000-1:2000, в зависимости от сложности объекта и размера наледи.
Съемкой должны быть охвачены: место расположения наледи, выходы источников подземных вод, питающих наледь, площади распространения водоносных слоев (при назначении в качестве противоналедного сооружения дренажа или каптажа) и очаги возникновения наледей поверхностных вод.
В процессе съемки обследуются и наносятся на топографическую карту места выходов источников на дневную поверхность, русло водотока, участки намечаемого заложения противоналедных сооружений, контуры наледи, в том числе на пересечении с трассой. В этих местах целесообразно сгустить точки наблюдения за счет рассредоточения их на других участках обследуемой площади.
3.29. Наблюдения за ледотермическим режимом наледей и наледных водотоков выполняются ежемесячно или в периоды: возникновения наледей (октябрь-ноябрь), их интенсивного роста (январь-февраль) и максимального развития (март-апрель). Они включают: определение расхода и температуры воды в характерных местах; описание мест и формы возникновения и развития наледи, изменения ее размера, очертания, степени воздействия на сооружения и другие особенности, характеризующие режим и динамику наледи и изменение степени ее опасного воздействия на транспортные и другие сооружения.
3.30. В процессе проведения комплексной инженерно-геологической и мерзлотной съемок основной вариант противоналедного мероприятия и сооружения согласовывается с ведущим проектировщиком, при этом уточняются тип сооружения, его местоположение и другие особенности, определяющие состав и объем разведочных и топографических работ, необходимых для составления рабочей документации. Это позволит избежать лишние полевые работы и получить качественные исходные материалы для проектирования.
3.31. Разведочные работы (буровые, геофизические) назначаются с учетом использования имеющихся данных, полученных при выполнении инженерно-геологической съемки по объекту и при обследовании трассы на стадии проекта. В связи с этим разведочные работы ограничиваются объемами, необходимыми для выявления или уточнения инженерно-геологических условий под проектируемое сооружение, для гидрогеологических работ и температурных наблюдений, а также для отбора проб воды и грунта.
При наличии альтернативных вариантов противоналедных сооружений на сложных в инженерно-геологическом и гидрогеологическом отношении участках обследования должны выполняться под каждый из конкурирующих вариантов.
3.32. При заложении разведочных скважин и шурфов отбираются образцы грунтов для определения физико-механических свойств и расчетных характеристик, необходимых при проектировании противоналедных сооружений, в том числе: для противоналедного вала отбираются образцы на определение несущей способности грунтов основания, для дренажных и каптажных устройств - фильтрационной способности водоносного слоя и т.п.
Количество и объем отбираемых образцов грунтов определяются их целевым назначением и общепринятыми требованиями.
Пробы воды отбираются из всех водоносных слоев и поверхностных водотоков, образующих наледи, в объеме, указанном в табл. П.3.1.
3.33. Опытные работы (откачки, наливы) выполняются для определения гидрогеологических характеристик водоносного горизонта при изысканиях под различные типы дренажных и каптажных сооружений на наледях подземных вод (трещинных, трещинно-жильных, пластовых и пластово-поровых), за исключением наледей надмерзлотных вод. Виды, продолжительность и объемы опытных работ устанавливаются в зависимости от типа проектируемого сооружения, степени сложности гидрогеологических условий участка. Наиболее продолжительные откачки, в том числе кустовые, ведутся при проектировании водопонижающих скважин. По данным опытных работ производится расчет депрессионной воронки, определяется конструкция и режим работы водопонижающей скважины.
3.34. Топографические работы включают плановую и высотную съемки наледей и их элементов (бугров, трещин и т.п.), привязку источников, нивелировку русла водотока, привязку выработок, дополнительную съемку местности, а также составление профилей по оси дренажных и водоотводных устройств, по поперечникам ледомерных вешек.
3.35. Границы топографической съемки определяются размерами наледи, сложностью рельефа, местом размещения и конструктивными особенностями проектируемого противоналедного сооружения. Топографической съемкой необходимо схватить: площадь, занимаемую наледью, места размещения проектируемых противоналедных сооружений и все выходы источников подземных вод, питающих наледь.
При проектировании в качестве противоналедных мероприятий регуляции русла водотока (путем его спрямления, сосредоточения, углубления) или наледных поясов, устраиваемых по руслу водотока на значительном расстоянии от дороги, съемка должна включать русло водотока на расстоянии от оси дороги не менее 500 м вверх и 100 м вниз по течению водотока.
3.36. Масштаб топографической съемки и составляемых на ее основе планов рекомендуется назначать преимущественно 1:1000-1:2000, а на участках заложения дренажей и каптажей, наледных и мерзлотных поясов - 1:500. При этом ось дренажных и каптажных устройств и канав следует отбивать на месте и сдавать строителям.
При удалении выходов источников подземных вод, питающих наледи, на расстояние более 1 км от оси пути и при очень больших по размеру наледях масштаб съемки может быть уменьшен до 1:2000 и 1:5000.
3.37. На топографические планы должны быть нанесены: контуры и мощность наледного льда, ледяные бугры пучения, крупные трещины во льду, все источники выходов подземных вод, характер растительности, временные и постоянные дороги, переезды и пересечения, канавы во льду и отвалы льда, устраиваемые службой пути для пропуска наледных вод.
3.38. При топографической съемке и инженерно-геологическом описании наледного участка выявляются все деформации земляного полотна и водопропускных сооружений существующих дорог, возникающие под воздействием наледей.
3.39. По результатам выполненных исследований в камеральный период составляется инженерно-геологическое заключение по каждой наледи и прогнозируемому наледному участку, включая обоснование рекомендуемых противоналедных сооружений и устройств и данные для их расчета и разработки рабочих чертежей:
характеристику инженерно-геологических, мерзлотных, гидрогеологических условий; обоснование степени опасности наледи для проектируемого сооружения; прогноз развития наледного процесса после строительства;
топографический план наледного участка М 1:500-1:2000, продольные профили по оси намечаемых противоналедных сооружений, поперечные профили;
инженерно-геологическую карту наледных участков М 1:1000-1:5000;
колонки инженерно-геологических скважин, геологические, мерзлотные и геоэлектрические разрезы;
результаты режимных наблюдений в виде таблиц или графиков;
результаты опытных работ в виде графиков;
теплотехнические, гидрологические и гидрогеологические расчеты, обосновывающие конструктивные параметры сооружений.
3.40. Для проектирования постоянных противоналедных сооружений на участках развития искусственных наледей планируются и выполняются дополнительные полевые работы в период строительства с целью:
оценки достоверности прогноза наледной опасности;
продолжения режимных наблюдений за динамикой мерзлотных и гидрогеологических условий для оценки влияния на них техногенного воздействия при строительстве;
контроля за работой противоналедных сооружений и устройств и определения эффективности их работы;
корректировки проектных решений при недостаточно эффективной работе противоналедных сооружений и устройств.
3.41. Обследование наледных участков в период строительства и временной эксплуатации выполняется в случаях появления опасных техногенных наледей на участках, не выявленных в процессе изысканий; резкого усиления наледной опасности в связи с непредвиденным изменением внешних (климатических) факторов и водно-теплового режима грунтов и водотоков; неудовлетворительной работы противоналедных сооружений и устройств или необходимости дополнительных противоналедных мероприятий; необходимости оценки влияния на динамику мерзлотных и гидрогеологических условий техногенной нагрузки, вызванной строительством и эксплуатацией дороги, определения реального срока службы противоналедных сооружений и устройств и затрат на их эксплуатацию; внесения изменений в конструкции противоналедных сооружений и устройств на основании опыта их эксплуатации, разработка новых, более прогрессивных и эффективных способов борьбы с наледями, повышающих долговечность, надежность и эффективность противоналедных сооружений.
3.42. Обследование наледных участков и построенных противоналедных сооружений включает:
ежегодное маршрутное обследование в зимнее время;
режимные наблюдения за динамикой подземных вод в оборудованных в период изысканий точках наблюдений, скважинах, шурфах, гидростворах, лотках;
оборудование для контроля за работой противоналедных сооружений термо- и пьезометрических скважин на наиболее типичных участках;
периодический осмотр противоналедных сооружений и устройств как в зимнее, так и в летнее время;
выполнение комплекса изыскательских работ на опасных наледях, появившихся после строительства дороги.
3.43. Маршрутные обследования проводят в те же сроки, что и обследования на стадиях проекта и рабочей документации на всех наледных участках, в том числе на участках с построенными противоналедными сооружениями. В процессе маршрутного обследования фиксируют состояние противоналедных сооружений и земляного полотна, их деформации или нарушения в работе, выявляют причины этих нарушений, выполняют замеры температуры и расхода воды на выпусках и в смотровых колодцах горизонтальных дренажных и каптажных сооружений, дебита и динамического уровня в эксплуатируемых водопонижающих скважинах, температурные замеры и замеры уровня воды в специально оборудованных наблюдательных скважинах.
Данные наблюдений заносят в журналы авторского надзора, журнал наледного объекта, паспорт наледного участка, карточку противоналедного сооружения.
Зимнее маршрутное обследование и контроль за работой противоналедных сооружений и устройств выполняются комиссионно, совместно с представителями заказчика, подрядчика (строительной организации) и службы пути.
3.44. Режимные наблюдения за динамикой мерзлотных, гидрогеологических условий и ледотермическим режимом водотоков и наледей проводят в зимнее время в процессе маршрутного обследования, в летнее время - по мере необходимости. Режимные наблюдения могут выполнять служба эксплуатации или служба мониторинга дороги.
3.45. Оборудование дополнительных термо- и пьезотермических скважин для наблюдения за работой противоналедных сооружений и устройств выполняют на участках, где подобные скважины были ликвидированы в процессе строительства. Их назначение, количество, глубина зависят от типа, размеров противоналедного сооружения, а также сложности инженерно-геологических, мерзлотных и гидрогеологических условий участка и согласовывается с заказчиком, строительной организацией или службой эксплуатации.
3.46. Периодический осмотр противоналедных сооружений и устройств ежемесячно в зимнее время выполняет служба эксплуатации дороги, проектная организация - во время зимнего маршрутного обследования (авторского надзора). В летнее время после схода снежного покрова и таяния льда служба эксплуатации дороги выполняет осмотр противоналедных сооружений и устройств для определения объемов ремонтных работ и подготовки сооружений к очередному сезону. При сильных деформациях противоналедных сооружений летний осмотр выполняется совместно с представителями проектно-изыскательской организации.
3.47. Изыскательские работы на выявленных после строительства дороги (новых наледных участках выполняют в соответствии с требованиями обследований под рабочую документацию (см. пп. 3.25-3.39).
3.48. Оформление материалов инженерно-геологического обследования выполняют в виде рекомендуемых форм "Журнала наледного объекта", "Паспорта наледного участка" и "Карточки противоналедного сооружения (устройства)", которые приведены в настоящем приложении.
|
Линия (дорога)___________________________________________________________________ Участок ________________________________________________________________________ Экспедиция ______________________ Партия ________________________________________ Производитель работ _____________________________________________________________ Начат _______________________ Окончен ___________________________________________ Адрес: _______________________________________ Год ______________________________
|
|
№ п.п. |
Номер, наименование наледного объекта |
Км |
Пикет |
Страница |
|
|
|
|
|
|
|
Наледь N _______________________ Тип наледи _____________________________________ Местоположение _______________ км ______________ пк ____________________________. Проектируемый тип и размеры водопропускного сооружения __________________________ ________________________________________________________________________________ Краткая характеристика русла водотока (уклон, извилистость русла, грунты ложа) в объеме, необходимом для определения коэффициента шероховатости __________________________ ________________________________________________________________________________ Описание рельефа местности, формы наледи, наледного льда (структура, текстура, цвет, характер поверхности льда) источника, водотока, растительности и другие особенности наледного объекта _______________________________________________________________ ________________________________________________________________________________
|
|
Дата наблюдения |
Температура воздуха, °С |
Мощность снега, см |
Размеры наледи |
Дебит водотока, л/с |
Температура у источника |
||||||
|
длина, м |
ширина, м |
мощность, м |
площадь, м2 |
объем, м3 |
у источника |
выше трассы |
ниже трассы |
||||
|
1 |
2 |
3 |
4 |
5 |
6 |
7 |
8 |
9 |
10 |
11 |
12 |
|
|
|
|
|
|
|
|
|
|
|
|
|
Продолжение
|
воды, °С |
Скорость водотока, м/с |
№ фотопленки, кадр |
Примечания (дополнительные замеры скорости, расхода, температуры водотока и другие данные, характеризующие наледный объект) |
|
|
выше трассы |
ниже трассы |
|||
|
13 |
14 |
15 |
16 |
17 |
|
|
|
|
|
|
План-схема наледи (водотока) с привязкой к трассе, с нанесением поперечников мерных вешек. Поперечные разрезы русла водотока, наледи у сооружения (трассы и на характерных участках).
МПС
_______________________ ж. д.
______________ дистанция пути
|
Привязка |
протяженность, м |
Рельеф |
Земляное полотно |
Искусственное сооружение |
||||
|
км |
пк + … пк + … |
форма |
уклон лога, склонов, % |
вид (насыпь, выемка) |
наибольшая высота или глубина, м |
вид (труба, мост) |
отверстие, высота в свету, длина, м |
|
|
|
|
|
|
|
|
|
|
|
|
Тип наледи |
Периодичность развития (начало, конец) |
Размеры |
Источник наледных вод |
|||||||
|
длина, м |
ширина, м |
мощность, м |
площадь, м2 |
объем, м2 |
Дебит на начало и конец наледного периода, л/с |
температура на начало и конец наледного периода, °С |
||||
|
средняя |
максимальная |
средняя |
максимальная |
|||||||
|
|
|
|
|
|
|
|
|
|
|
|
3. План наледного участка и противоналедных сооружений (устройств):
4. Продольный и поперечный профили участка с геологическими данными:
|
Дата |
Описание режима формирования наледи и ее воздействия на сооружения |
Выводы |
Наблюдатель |
|
|
|
|
|
|
Дата |
Вид, состояние и эффективность работы противоналедных сооружений (устройств) |
Предложения и рекомендации |
Подпись |
Отметка о выполнении рекомендации |
|
|
|
|
|
|
МПС
___________ ж. д.
___________ дистанция пути
Карточка N _____
противоналедного сооружения (устройства)
|
Линия _________________________________км _______________________пк _____ Название водотока_______________________________________________________________ Искусственное сооружение _________________________ отверстие_____________ Высота в свету____________________________________ м Высота насыпи до подошвы рельса по профилю ____________________________ м Вид противоналедного сооружения (устройства) ____________________________ Год постройки _____________________ размеры: ____________________________ Схема противоналедного сооружения (устройства) с указанием основных размеров и привязки к оси трассы ____________________________________________________________ Порядок эксплуатации сооружения (устройства): Состояние сооружения (устройства), работоспособность, ремонтные и противоналедные работы: Карточку составил "___"______19__г. Мостовой мастер ___________________ Проверил "___"______19__г. Начальник дистанции ___________________
|
______________________________
* Оформляется по форме пикетажной книжки, удобной для работы в поле.
Рекомендуемое
4.1. Характеристики зимнего стока наледеобразующих водотоков необходимы для расчета наледей при проектировании противоналедных сооружений и устройств разных типов. Под действием природных факторов сток рек зимой существенно изменяется год от года в течение зимнего сезона, вследствие чего его определение основано на использовании методов математической статистики и теории вероятностей, позволяющих вычислять средние многолетние расходы заданной вероятности превышения (обеспеченности) в многолетнем цикле. Ниже приведены расчеты стока наледеобразующих водотоков для наиболее вероятной ситуации - при наличии данных непродолжительных и эпизодических гидрометрических наблюдений, полученных в период предпроектных изысканий.
4.2. Используются
следующие характеристики зимнего стока наледеобразующих водотоков: 1) даты
начала и окончания зимнего периода и периода перемерзания водотока; 2)
продолжительность зимнего периода Та, равная сумме продолжительностей
периодов со стоком в реке Т и его отсутствия (перемерзания реки) Тп.
При Тп = 0 продолжительность Та = Т.
Продолжительность зимнего периода исчисляется от даты установления устойчивого
ледостава на реке до даты резкого увеличения стока весной, вызванного притоком
талых снеговых вод; 3) средний расход за зимний период - конкретного года - Qзl; то же, но за
многолетний период (норма) -
; значение
среднего зимнего расхода обеспеченностью p - Qзр.
Средний зимний расход воды равен частному от деления объема стока за зимний
период на продолжительность последнего Тз вне зависимости от
того, перемерзает река в расчетном створе или нет; 4) ежегодная повторяемость
(вероятность) перемерзания реки Рп: при Рп
= 1,0 - река перемерзает ежегодно, при Рп<1,0 - периодически,
при Рп = 0 - не перемерзает.
4.3. Наличие данных многолетних гидрометрических наблюдений соответствует исходным рядам длиной 20 лет и более, а их недостаточность - от 6 до 19 лет.
При наличии данных многолетних гидрометрических наблюдений расчетам предшествует исследование статистической структуры временных рядов, включающее анализ их репрезентативности, однородности, стационарности по известным в статистике критериям (Стьюдента, Фишера, Колмогорова-Смирнова и пр.). Это позволяет оценить качество исходных данных.
При недостаточности данных гидрометрических наблюдений производится приведение параметров кривых обеспеченности зимнего стока наледеобразующих водотоков к многолетнему периоду по данным многолетних наблюдений на реках-аналогах с помощью парной или множественной линейной регрессии.
4.4. Технология гидрологических расчетов при наличии и недостаточности гидрометрических наблюдений изложены в СНиП 2.01.14-83 *(1) и "Пособии"*(2).
4.5. Кратковременными считаются наблюдения, проведенные в течение от 1 до 5 лет, а эпизодическими - в течение одного сезона, вплоть до единичных измерений расходов воды в каком-либо году.
4.6. Расчет нормы
зимнего стока основан на использовании метода многократных соотношений (МС) -
соотношений между расчетной (нормой)
и исходной характеристиками Qi. Их соотношения в
виде корреляционной связи
устанавливаются по данным наблюдений на
реках-аналогах (индекс "а") с длинными рядами, расположенных в районе
со сравнительно однородными природными условиями формирования зимнего стока. В
таких районах указанные соотношения изменяются в сравнительно небольшом
диапазоне. Для примера на рис. П.4.1 приведена карта с ориентировочными
границами таких районов в зоне БАМ. В качестве исходных данных целесообразно
использовать материалы о стоке в предледоставный период продолжительностью от 1
до 30 суток или единичные измерения расходов воды, полученные в процессе
предпроектных изысканий. Использование исходных данных о зимнем стоке дает
худшие результаты из-за большой дискретности этой характеристики по территории.
Технология расчета
следующая. На дату измерения расхода воды в расчетном створе в предледоставный
период из материалов наблюдений на реках-аналогах выбираются среднесуточные
расходы воды Qi,a и среднемноголетние
значения
. На
двухосной логарифмической клетчатке строится корреляционная связь
, которая и
является расчетной. Аналогичные графики можно построить и по средним расходам
за 10, 15, 20, 30-суточные предледоставные периоды, если проектировщик
располагает соответствующими данными наблюдений в расчетном створе. Однако
практика показывает, что в этом случае выигрыш в точности определения
незначительный по сравнению с использованием
единичных измерений расходов воды.
Если гидрометрические
наблюдения в предледоставный период проведены в течение ряда лет, то подобные
связи строятся за каждый год и по ним устанавливается несколько значений
. Среднее из
, количество
которых равно числу лет наблюдений, принимается за искомый зимний расход воды.
4.7. Метод МС
позволяет не только рассчитать рассматриваемую характеристику по данным
кратковременных и эпизодических гидрометрических наблюдений, но и каждый раз
получить оценку погрешности ее определения
, численно
равную среднему квадратическому отклонению всех точек от линии регрессии:
где
- в %;
- норма зимнего стока реки-аналога
(фактическое значение), число которых n;
- то же, но определенное по кривой регрессии
при том же значении аргумента, что и
.
Если гидрометрические наблюдения в расчетном створе проведены каждую осень в течение m лет, то пользуясь рассмотренной методикой, получают m значений среднего многолетнего расхода воды. Искомое значение равно среднему из расчетных значений, а его погрешность
где n1,
n2…
nm
- число рек-аналогов, использованных в каждом, i-том году. Если
равноточны, т.е. их погрешности равны,
например,
, а m
= 5, то формулу (П.4.2) можно записать проще:
.
При использовании рассматриваемой методики два других параметра кривых обеспеченности - коэффициенты вариации и асимметрии определяются так же, как и при отсутствии данных наблюдений.
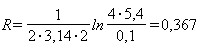
Пример 1. Определить средний многолетний (норму) зимний расход воды р. Тырма у ж.-д. моста. Площадь водосбора F = 8730 км2. В створе поста 10 октября 1967 г. во время изыскательских работ измерен только один расход воды Q = 240 м3/с.
По карте на рис П.4.1 устанавливаем, что река расположена в VI районе зоны БАМ. По схеме постов гидрологического ежегодника 1967 г. находим, что на территории VI района располагается 11 гидрологических постов на реках-аналогах с длительными периодами наблюдений.
Для расчетов необходимо получить сведения о суточных расходах воды на 10 октября 1967 г. по всем 11 постам. Здесь возможны два варианта: 1) расчеты выполняются в том же 1967 г.; 2) расчеты выполняются спустя несколько лет. В первом варианте за получением данных о ежедневных расходах воды на 10 октября 1967 г. на реках-аналогах следует обратиться в Дальневосточное управление Госкомгидромета в г. Хабаровске. Во втором случае эти данные выписываются из "Гидрологических ежегодников", которые имеются в любом управлении. Следует иметь в виду, что с 1978 г. вместо "Гидрологического ежегодника" в составе изданий Государственного водного кадастра в разделе I "Поверхностные воды" публикуются "Ежегодные данные о режиме и ресурсах поверхностных вод суши".
В рассматриваемом
примере расчет проводится спустя несколько лет после выполнения полевых
изысканий, когда Гидрологический ежегодник, том 9, вып. 0-5 за 1967 г. уже
опубликован. Из таблицы ежедневных расходов воды Ежегодника выписываются
расходы воды на 10 октября по всем 11 постам на реках-аналогах. На двухосной
логарифмической клетчатке строится график связи средних многолетних зимних
расходов воды (ось ординат) и суточных расходов воды на 10 октября (ось абсцисс)
по рекам-аналогам (рис. П.4.2). Проводится осредняющая линия так, чтобы по обе
стороны от нее располагалось бы одинаковое количество точек. Иногда могут иметь
место значительные отклонения отдельных точек от линии регрессии за счет
неравномерности выпадения атмосферных осадков по территории района. В этом
случае осредняющая линия проводится без учета отклонившихся точек, поскольку
такие реки не являются аналогами. По осредняющей линии 1 (см. рис. П.4.2) и
измеренному расходу Q = 240 м3/с снимаем искомый расход
.
Пример
2. Определить зимний расход обеспеченностью 1 и 5%
на р. Мама у автодорожного моста, площадь водосбора F = 752 км2. В
течение 1962, 1963 и 1964 гг. осенью проведены гидрометрические работы, в
результате которых измерены следующие средние расходы воды за 10-суточные
предледоставные периоды
;
;
.
По карте на рис. П.4.1 устанавливаем, что река расположена во II районе. По Гидрологическим ежегодникам находим, что во II районе имеется 19 гидрологических постов на реках-аналогах, из которых 7 не действовало в 1962-67 гг. Следовательно, можно использовать данные наблюдений по 12 аналогам.
Основываясь на
материалах Гидрологических ежегодников за 1962, 1963 и 1964 гг. по действующим
постам на реках-аналогах вычисляются средние расходы воды за те же 10-суточные
периоды, в течение которых выполнены гидрометрические наблюдения в створе
изысканий. За каждый год строим графики связи
. Пример
такой связи за один год приведен на рис. П.4.2 (линия 2). По исходным
10-суточным расходам с графиков связи определяем норму зимнего стока
;
;
. Вычисляем
средний из трех значений:
.
Определяется
погрешность вычисленной величины. Для этого по выражению (П.4.1) оценивается среднее квадратическое отклонение точек от
линий регрессии на каждом ежегодном графике:
;
;
. По формуле
(П.4.2) вычисляем искомый результат:

По соответствующей формуле из табл. П.4.4 (см. ниже) для II района определяется коэффициент вариации:
![]()
и коэффициент асимметрии
.
Из таблицы трехпараметрического гамма-распределения, приведенной в СНиП 2.01.14-83, для этих значений Сv и Сs находим модульные коэффициенты для 1- и 5%-ной обеспеченности.
и
.
Находим искомый результат - зимний сток 1 и 5% обеспеченности
;
.
4.8. При отсутствии данных гидрометрических наблюдений в расчетном створе (полевые работы не проведены) точность расчета зимнего стока рассматриваемыми ниже методами существенно ниже по сравнению с указанными выше ситуациями наличия исходной информации. Поэтому такие расчеты могут быть использованы для ориентировочных оценок преимущественно на стадии разработки технико-экономического обоснования проектирования противоналедных сооружений и устройств. Ниже рассмотрены методы расчета зимнего стока наледеобразующих водотоков на примере зоны БАМ.
Технология расчетов следующая:
а) определяется площадь водосбора водотока F до расчетного створа по топографическим картам, обеспечивающим ее точность не меньше 5%;
б) по карте на рис. П.4.1 устанавливается принадлежность исследуемого водотока к одному из шести районов зоны БАМа;
в) по табл. П.4.1 в зависимости от площади водосбора устанавливается возможность перемерзания реки;
Таблица П.4.1. Предельные площади водосборов перемерзающих и неперемерзающих рек зоны БАМ, км2
|
Номер района рис. П.4.1 |
Перемерзающие реки |
Неперемерзающие |
|
|
ежегодно |
периодически |
||
|
I |
50 |
50-400 |
400 |
|
II |
50 |
50-500 |
500 |
|
III |
50000 |
50000-70000 |
70000 |
|
IV |
10000 |
10000-25000 |
25000 |
|
V |
500 |
50-20000 |
20000 |
|
VI |
500 |
500-4000 |
4000 |
г) по табл. П.4.2 определяется ежегодная повторяемость перемерзания Pп в зависимости от площади водосбора и минимального 30-суточного модуля стока 80% обеспеченности за период открытого русла. Последний устанавливается по карте (рис. П.4.3) путем интерполяции между изолиниями для точки, соответствующей центру тяжести водосбора;
Таблица П.4.2. Площадь водосбора перемерзающих рек зоны БАМ, км2
|
Частота (вероятность) перемерза-ния, Pп |
Минимальный 30-суточный сток 80%-й обеспеченности, л/с км2, в период открытого русла |
|||||||
|
1,0 |
2,0 |
3,0 |
4,0 |
5,0 |
6,0 |
7,0 |
8,0 |
|
|
1,0 |
1000 |
320 |
160 |
100 |
75 |
60 |
- |
- |
|
0,80-0,99 |
- |
700 |
340 |
220 |
160 |
120 |
90 |
70 |
|
0,60-0,79 |
- |
1200 |
600 |
400 |
280 |
200 |
160 |
120 |
|
0,40-0,59 |
- |
2600 |
1100 |
900 |
600 |
460 |
340 |
280 |
|
0,20-0,39 |
- |
6000 |
3000 |
1800 |
1200 |
900 |
700 |
500 |
|
0,19 |
- |
12000 |
7000 |
4000 |
3000 |
2000 |
1600 |
1200 |
д)
по табл. П.4.3. устанавливается средняя многолетняя продолжительность
перемерзания
и даты его начала на реках с ежегодным
отсутствием стока в зависимости от известной водосборной площади бассейна F,
определенной по топографической карте или специальным исследованиям до
расчетного створа и принадлежности реки к какому-либо из шести районов на карте
(см. рис. П.4.1). Средняя многолетняя продолжительность периода с периодическим
перемерзанием (Pп
< 1,0) равна произведению найденного по табл. П.4.3 значению на величину Pп,
выраженную в долях единицы и установленную по табл. П.4.2;
е) по расчетной
формуле (табл.
П.4.4) рассчитывается среднее многолетнее значение зимнего стока
;
ж) определяется
значение зимнего расхода воды заданной обеспеченности
с использованием коэффициентов вариации Сv и асимметрии Сs. Последние
вычисляются по таблице П.4.4 в зависимости от площади водосбора F;
з) вычисляется объем зимнего стока по формуле:
в которой Тз - продолжительность зимнего сезона (устанавливается по табл. П.4.5).
Таблица П.4.3. Средняя дата начала Днп и продолжительности периода перемерзания ежегодно перемерзающих рек Тп зоны БАМ
|
Номер района по карте на рис. П.4.1 |
Характеристика |
Площадь водосбора, км2 |
||||||
|
50 |
100 |
500 |
1000 |
2000 |
5000 |
10000 |
||
|
III |
Днп Тп |
- |
2.11 185 |
13.11 175 |
19.11 165 |
24.11 158 |
2.12 148 |
11.12 140 |
|
IV |
Днп Тп |
- |
56.10 210 |
31.10 182 |
4.11 170 |
12.11 163 |
17.11 151 |
26.11 140 |
|
V |
Днп Тп |
- |
15.11 170 |
25.11 162 |
5.12 150 |
20.12 130 |
10.01 110 |
2.02 90 |
|
VI |
Днп Тп |
21.11 155 |
27.11 115 |
19.12 130 |
85 |
55 |
15 |
- |
Таблица П.4.4. Параметры формул для расчета характеристик зимнего стока по площади водосбора F (км2):
;
.
|
N района по карте на рис. П.4.1 |
Норма зимнего стока, |
Коэффициент вариации зимнего стока, Cv |
Коэффициент асимметрии зимнего стока, Cs |
||
|
a |
n |
v |
m |
||
|
I |
0,08 |
1,10 |
с = 0,33 |
3 Cv |
|
|
II |
1,23 |
1,15 |
0,4 |
0,07 |
4 Cv |
|
III |
0,08 |
1,17 |
3,5 |
0,23 |
2 Cv |
|
IV |
0,76 |
1,06 |
32,8 |
0,52 |
2 Cv |
|
V |
0,40 |
0,81 |
1,4 |
0,16 |
2 Cv |
|
VI |
0,73 |
1,01 |
1,4 |
0,16 |
2 Cv |
|
Наименование характеристики |
Номера районов |
||||||
|
I |
II |
III |
IV |
V |
VI |
||
|
Дата начала устойчивых ледовых явлений |
средняя |
15.10 |
17.10 |
7.10 |
8.10 |
20.10 |
25.10 |
|
ранняя |
7.10 |
9.10 |
27.9 |
28.9 |
4.10 |
15.10 |
|
|
поздняя |
1.11 |
28.10 |
18.10 |
19.10 |
25.10 |
3.11 |
|
|
Дата начала истощения зимнего стока |
средняя |
29.10 |
30.10 |
17.10 |
19.10 |
25.10 |
13.11 |
|
ранняя |
16.10 |
24.10 |
4.10 |
9.10 |
13.10 |
30.10 |
|
|
поздняя |
11.11 |
18.11 |
24.10 |
30.10 |
8.11 |
20.11 |
|
|
Продолжительность зимнего стока, Tз, сутки |
средняя |
183 |
181 |
186 |
196 |
169 |
157 |
|
наименьшая |
175 |
170 |
168 |
178 |
147 |
142 |
|
|
наибольшая |
192 |
199 |
207 |
219 |
185 |
176 |
|
4.9. Наиболее важными расчетными характеристиками наледей речных вод при выборе и проектировании противоналедных сооружений и устройств являются вероятность их ежегодного образования на участке и толщина (мощность). Ниже рассматривается методика их расчета на примере зоны БАМ для участка реки в районе замыкающего створа.
При отсутствии данных наблюдений перечисленные характеристики определяются следующим образом:
а) вероятность ежегодного образования наледей на участке определяется по табл. П.4.6 в зависимости от площади водосбора водотока;
|
F, км2 |
<50 |
50-100 |
100-500 |
500-1000 |
1000-5000 |
5000-10000 |
>10000- |
|
P |
0,8 |
0,9 |
0,8 |
0,6 |
0,4 |
0,3 |
0,15 |
б) толщина наледи заданной вероятности превышения (обеспеченности) рассчитывается по следующим уравнениям в зависимости от принадлежности участка реки к одному из двух районов, границы которых приведены на карте (рис. П.4.4):
I
район
(П.4.3)
где Нв - высота местоположения участка реки, м. абс.;
Нк - мощность наледи речных вод 5%-ной обеспеченности, определенная по карте на рис. П.4.4 путем интерполяции между изолиниями этой характеристики, см;
Kp - переходный коэффициент толщины наледи речных вод от значений 5%-ной обеспеченности к значениям других обеспеченностей (табл. П.4.7).
Таблица П.4.7. Переходные коэффициенты Kр от значений толщины наледей речных вод 5%-ной обеспеченности к значениям других обеспеченностей P
|
P, % |
1 |
2 |
4 |
5 |
10 |
20 |
|
Kр |
1,41 |
1,22 |
1,04 |
1,00 |
0,12 |
0,63 |
Пример 3. Рассчитать толщину наледи речных вод 1%-ной обеспеченности на р. Олекма в п. Средняя Олемка. Площадь водосбора 37300 км2, высота местоположения створа 495 м абс.
На карте на рис. П.4.4
в месте расположения створа определяем толщину наледи 5%-ной обеспеченности,
приведенную к площади водосбора 5000 км2 и высоте 600 м над уровнем
моря - Нк = 104 см. По той же карте определяем, что участок
реки в расчетном створе расположен в районе I. По табл. П.4.7 находим
переходный коэффициент от толщины 5%-ной обеспеченности к толщине 1%-ной
обеспеченности -
. Расчет
искомой характеристики выполняем по уравнению (П.4.3):
.
По табл. П.4.6 находим ежегодную вероятность образования наледи на этом участке реки - 0,15.
Пример 4. Рассчитать толщину наледи речных вод 10%-ной обеспеченности на р. Купа - п. Мука. Площадь водосбора 2220 км2, высота местоположения участка реки в расчетном створе 344 м абс.
Расчет выполняем в той
же последовательности, что и в примере 3. По карте на рис П.4.4 для участка в
створе определяем толщину наледи 5%-ной обеспеченности - Нк =
43 см, по табл.
П.4.7 -
.
Определение искомой характеристики выполняем по уравнению (П.4.4):
.
По табл. П.4.6. определяем ежегодную вероятность образования наледи на участке - 0,4.
4.10. Наиболее важными расчетными характеристиками наледей подземных вод являются их объем, средняя и максимальная мощность в конце зимы заданной вероятности превышения.
4.11. При наличии данных наблюдений о средней многолетней площади наледей подземных вод F*(3) их объем Wp, средняя Hp и максимальная Hmax p мощность заданной обеспеченности Р рассчитываются по уравнениям:
, (П.4.7)
где
- средний многолетний объем наледи в конце
зимы, H - средняя многолетняя мощность наледи определяются с помощью
формул:
где
и F в тыс. м3 и тыс. м2.
4.12. Коэффициент вариации объема Cvw и мощности CvH наледей подземных вод рассчитывается по уравнениям:
Коэффициент асимметрии объема наледей подземных вод определяется по уравнению:
Коэффициент асимметрии мощности наледей постоянный и равен 0,6.
4.13. Модульный коэффициент заданной обеспеченности Kp назначается по таблице*(4) отклонений от среднего значения ординат биномиальной кривой в зависимости от заданной обеспеченности и параметров кривой распределения вероятностей, вычисленных указанными выше способами.
Пример 5. Рассчитать максимальную мощность наледи подземных вод 2%-ной обеспеченности на р. Нилан в п. Попутный. По результатам полевых изысканий ее площадь составляет F = 2,3 тыс. м2.
Расчет выполняется в следующей последовательности:
а) по уравнению (П.4.8) определяем средний многолетний объем наледи:
;
б) вычисляем среднюю многолетнюю мощность наледи
;
в) по выражению (П.4.10) рассчитываем коэффициент вариации мощности наледи:
;
г) по таблице
нормированных отклонений от среднего значения ординат биномиальной кривой
обеспеченности, приведенной в "Пособии", определяем
;
д) находим искомый результат по уравнению (П.4.6):
.
Пример 6. Рассчитать объем наледи подземных вод 5%-ной обеспеченности на р. Ангаракан (3 км от устья) в бассейне р. Верхн. Ангары.
Расчет выполняется в следующей последовательности:
а) по Каталогу наледей
зоны БАМ (вып. 3. Наледи бассейна р. Верхней Ангары. - Л.: Гидрометеоиздат,
1982) определяем среднюю многолетнюю площадь наледи
;
б) по уравнению (П.4.8) определяем средний многолетний объем наледи:
;
в) по уравнениям (П.4.9) и (П.4.11) вычисляем коэффициенты вариации и асимметрии наледи:
;
;
г) по упомянутой выше
таблице в "Пособии" находим
;
д) вычисляем искомый результат по уравнению (П.4.5)
.
4.14. Наледеобразование меняется год от года, в нем наблюдаются многолетние периоды различной продолжительности с пониженной и повышенной интенсивностью наледепроявлений. С точки зрения противоналедной борьбы особенно опасными могут быть периоды многолетнего цикла с усиленным развитием наледей, когда отрицательное воздействие последних на инженерные сооружения наибольшие.
4.15. В табл. П.4.8 приведены матрицы вероятностей перехода годовых значений средней мощности и объема наледей в заданные диапазоны этих величин. Вся амплитуда многолетней изменчивости морфометрических характеристик разграничена на пять диапазонов или фаз: I - характеристика ≤ 59% нормы; II - 60 - 89% нормы; III - 90 - 109% нормы; IV - 110 - 139% нормы; V - 140% нормы. Вероятность (частота) перехода из одной фазы в другую представляет частное от деления числа случаев каждого из пяти альтернативных исходов на общее число случаев за многолетний период. В матрицах по главной диагонали помещены значения вероятностей (в долях единиц) перехода фаз развития наледей в самих себя. Остальные элементы матриц представляют собой значения вероятностей перехода фаз соответствующей строки фазы одноименных столбцов. Эти данные могут быть использованы для вероятностного ежегодного прогноза наледей.
Пример 7. Дать вероятностный прогноз развития в конце зимы 1981 г. средней мощности и объема наледи в бассейне руч. Безымянный, если по результатам наблюдений в конце зимы 1980 г. эти характеристики были равны соответственно 1,15 м и 1200 тыс. м3. Средние многолетние значения их по проектным данным равны 1,53 м и 1500 тыс. м3.
Наледь на руч. Безымянном относится к I группе. Вычисляем модульные коэффициенты мощности H и объема W в 1980 г.
;
.
Следовательно, в 1980 г. мощность и объем наледи находятся во II фазе.
По табл. П.4.8 (матрица а) определяем: с наибольшей вероятностью 0,51 можно утверждать, что в 1981 г. мощность наледи будет находиться во II фазе, а ее значение, соответствующее этой фазе, будет находиться в пределах 0,92-1,36 м. По табл. П.4.8 (матрица б) аналогичным образом прогнозируем значение объема наледи в 1981 г.; наиболее вероятно (Р = 0,600), что объем наледи из II фазы перейдет в III фазу. Тогда значение объема будет в пределах 1350-1635 тыс. м3.
Пример 8. Требуется спрогнозировать объем Салликитской наледи в конце зимы 1991 г., если по данным наблюдений в 1990 г. он был равен 250 тыс. м3. Среднемноголетнее значение объема этой наледи по данным полевых изысканий равно 205 тыс. м3.
Наледь относится ко 2 группе. Определим модульный коэффициент ее объема в 1990 г.:
,
откуда следует, что объем находится в IV фазе многолетнего цикла развития.
По табл. П.4.8 (матрица б) находим, что из IV фазы объем наледи с наибольшей вероятностью 0,50 перейдет в V фазу, т.е. в 1991 г. он будет больше 287 тыс. м3.
4.16. Физический прогноз основан на использовании гидрометеорологических факторов наледеобразования: предшествующего увлажнения, снежного покрова и суровости зимы. С помощью физического прогноза целесообразно прогнозировать только объем наледей, поскольку их средняя мощность и площадь являются производными от объема и зависят, главным образом, от топографии местности. При прогнозе максимальных объемов наледей в конце зимы в качестве показателей перечисленных гидрометеорологических факторов используются сумма атмосферных осадков за май-сентябрь предшествующего года, высота снежного покрова на дату образования наледи и сумма отрицательных среднесуточных температур за период наледеобразования по ближайшей метеорологической станции, если прогнозируется развитие единичной наледи (объективный прогноз) или по данным группы станций для фонового прогноза наледеобразования в районе или на участке дороги.
В качестве количественных показателей ежегодных объемов наледей и перечисленных выше гидрометеорологических факторов используются безразмерные величины - модульные коэффициенты, представляющие отношения ежегодных значений этих характеристик к их среднемноголетним значениям.
4.17. Расчет модульных коэффициентов объема наледей выполняется по следующим уравнениям в зависимости от района:
для центральной и восточной части зоны БАМ (Якутия, север Амурской области, Дальний Восток):
для Забайкалья:
; (П.4.13)
для Прибайкалья (бас. р. Купы):
; (П.4.14)
для Прибайкалья (бассейн pp. Коршунихи и Муки):
; (П.4.15)
для Прибайкалья (басе. р. Куты):
; (П.4.16)
где модульные
коэффициенты: KW
- объема наледей;
- сумма отрицательных среднесуточных
температур за период наледеобразования;
- сумма атмосферных осадков за май-сентябрь; Kh - высота снега на
дату образования наледи.
1. Наледи объемом более 1 млн. м3 и мощностью более 1,5 м
а)
|
Фазы |
I |
II |
III |
IV |
V |
|
I |
0 |
0 |
0 |
0 |
0 |
|
II |
0 |
0,51 |
0 |
0,490 |
0 |
|
III |
0 |
0,143 |
0,714 |
0,143 |
0 |
|
IV |
0 |
1,0 |
0 |
0 |
0 |
|
V |
0 |
0 |
0 |
1,0 |
0 |
б)
|
Фазы |
I |
II |
III |
IV |
V |
|
I |
0 |
0 |
0 |
0 |
0 |
|
II |
0 |
0,200 |
0,600 |
0,200 |
0 |
|
III |
0 |
0,333 |
0,556 |
0,111 |
0 |
|
IV |
0 |
0,200 |
0,200 |
0,600 |
0 |
|
V |
0 |
0 |
0 |
0 |
0 |
2. Наледи объемом менее 1 млн. м3 и мощностью менее 1,5 м
а)
|
Фазы |
I |
II |
III |
IV |
V |
|
I |
0,3 |
0 |
0,34 |
0,36 |
0 |
|
II |
0,071 |
0,357 |
0,286 |
0,143 |
0,143 |
|
III |
0 |
0,778 |
0,222 |
0 |
0 |
|
IV |
0 |
0,454 |
0,273 |
0,273 |
0 |
|
V |
0 |
0 |
0 |
1,0 |
0 |
б)
|
Фазы |
I |
II |
III |
IV |
V |
|
I |
0,650 |
0 |
0,050 |
0,100 |
0,200 |
|
II |
0,625 |
0,250 |
0 |
0 |
0,125 |
|
III |
0 |
0 |
0 |
1,0 |
0 |
|
IV |
0,250 |
0,250 |
0 |
0 |
0,500 |
|
V |
0,583 |
0,250 |
0 |
0 |
0,167 |
Дата окончания формирования наледи определяется с помощью табл. П.4.9.
Таблица П.4.9. Продолжительность формирования наледей τ зависимости от их объема W
|
W, тыс. м3 |
5 |
10 |
50 |
100 |
500 |
1000 |
5000 |
|
τ, сут |
18 |
40 |
95 |
115 |
150 |
160 |
200 |
4.18. Для прогноза значений максимальных объемов наледей в конце зимы какого-либо конкретного года необходимы следующие данные:
а) среднемноголетние значения объемов наледей W, которые определяются путем вышеописанного расчета или по материалам полевых изысканий;
б) среднемноголетние
значения показателей гидрометеорологических факторов:
- сумма атмосферных осадков за май-сентябрь, h
- высота снежного покрова на дату образования наледей,
- сумма отрицательных среднесуточных температур
воздуха за период наледеобразования - берутся из климатических справочников;
в) значения тех же показателей гидрометеорологических факторов в год прогноза - суммы атмосферных осадков за май-сентябрь и высота снежного покрова определяются по данным ближайшей метеостанции или метеопоста, а сумма отрицательных среднесуточных температур воздуха по специальному прогнозу, осуществляемому территориальным управлением Госкомгидромета по заявке потребителя.
Пример
9. Дать прогноз объема наледи в бассейне руч. Прозрачный
в конце зимы 1990 г., расположенной в Южной Якутии в районе малого БАМа.
Среднемноголетнее значение объема этой наледи по проектным данным равно W
= 790 тыс. м3. Среднемноголетние значения гидрометеорологических
факторов по данным районного климатического справочника равны:
, высота
снежного покрова на дату образования наледи h = 4 см, сумма отрицательных
среднесуточных температур воздуха за период наледеобразования
°С. Для
расчета последней характеристики использована табл. П.4.9, по которой определена
средняя многолетняя продолжительность развития этой наледи по величине ее
объема.
По данным наблюдений на ближайшей метеостанции или посту установлено, что сумма осадков с мая по сентябрь 1989 г. равна 433 мм, высота снежного покрова на дату начала образования наледи в 1989 г. равна 5 см по данным метеостанции, а сумма отрицательных средних суточных температур воздуха за период наледеобразования по прогнозу составляет 444°С.
Вычисляем модульные коэффициенты этих характеристик на год прогноза:
;
;
.
Поскольку наледь расположена в зоне малого БАМа, то прогноз производится по уравнению (П.4.12)
.
Таким образом, прогнозное значение максимального объема наледи на руч. Прозрачный в конце зимы 1990 г. равно
.
______________________________
*(1) СНиП 2.01.14-83 "Определение расчетных гидрологических характеристик" (издание официальное). - М.: Стройиздат. 1985. - 36 с.
*(2) Пособие по определению расчетных гидрологических характеристик. - Л.: Гидрометеоиздат, 1984. - 448 с.
*(3) По отдельным районам зоны БАМ площадь наледей может быть определена по "Каталогу наледей зоны БАМ". Вып. 1. Наледи верхней части бассейна р. Чары. Вып. 2. Наледи бассейна р. Муки. Вып. 3. Наледи бассейна р. Верхней Ангары. - Л.: Гидрометеоиздат, 1980, 1981, 1982, а также по фондовым материалам, данным проектных изысканий.
*(4) Таблица приведена в "Пособии по определению расчетных гидрологических характеристик" (Л.: Гидрометеоиздат, 1984. - 448 с.)
5.1. Для прогноза наледей грунтовых или надмерзлотных вод, а также для расчета мерзлотного пояса можно использовать специальную программу, разработанную в СибЦНИИСе под названием "Наледь грунтовых вод".
5.2. В программе учтено, что механизм образования наледей грунтовых вод при частичном промерзании одного из участков фильтрационного потока состоит из следующих основных процессов:
перемерзание грунтового потока;
подпор грунтового потока;
истечение грунтового потока на поверхность земли;
замерзание воды, вытекающей на поверхность земли.
5.3. Программа написана на языке PL-1 для ЕС ЭВМ в ОС 6.1 и оттранслирована на машине ЕС-1061.
Общая требуемая память - 100 Кб.
Дополнительных внешних устройств и математического обеспечения для выполнения программы не требуется. Используемые технические устройства: УВВК, АЦПУ.
Программа подготовлена на перфокартах. Пакет перфокарт содержит управляющие карты, обеспечивающие вызов транслятора PL, трансляцию, редактирование и выполнение программы.
6.1. Граничным условием возможного образования наледи можно считать охлаждение потока до 0°С в пределах расширенного русла, наледного пояса или плоского лотка. Дальнейшее охлаждение потока вызовет накопление внутриводного льда, шуги, формирование ледяного покрова.
Потери тепла потоком W0 на таких участках русла определяются как сумма составляющих элементов теплообмена воды с окружающим пространством по формуле
где ∑Si - поступление тепла в поток и ∑Ci - потери тепла потоком в окружающую среду.
Поступление тепла в поток за счет перехода в форму тепла части энергии - S1, расходуемой потоком на преодоление гидравлических сопротивлений, устанавливается по формуле:
где Q - расход потока, м3/сек;
I - уклон дна русла или лотка в долях единицы;
В - ширина потока (лотка), м;
l1 - рассчетная длина потока, равная 1 м;
9780 - размерный коэффициент, Вт·ч/т·м;
- объемная масса воды, т/м3.
Поступление тепла в поток от грунта ложа водотока (Sg) можно принять по данным экспериментальных исследований: для водотоков района ж.-д. линии Тайшет-Лена Sg = 2,5 Вт/м2; для районов, расположенных в пределах 40 - 50° северной широты Sg = 3,48 Вт/м2; для районов, расположенных в пределах 50 - 60° северной широты Sg = 4,64 Вт/м2.
Тогда поступление тепла в поток на участке русла или плоского лотка составит
, вт/м. (П.6.3)
Для временно действующих водотоков, питающихся грунтовыми водами, величину S2 не определяют.
Для определения потерь тепла поверхностью распластанного потока от испарения и конвекции в зимних условиях использованы формулы С.Н. Крицкого, М.Ф. Менкеля, К.И. Россинского (1947, 1975), наиболее четко отражающие физическую сторону явления.
Теплопотери при непосредственном теплообмене с атмосферой
, вт/м, (П.6.4)
где
- коэффициент теплоотдачи от поверхности воды
к воздуху, Вт/м2·град;
tp - температура потока, °С, tв - температура воздуха (принимается здесь и далее с соответствующим знаком), °С;
vв - средняя скорость ветра в осенне-зимний период, измеряемая на высоте 1 м от поверхности воды (принимается по данным климатического справочника), м/с.
Теплопотери открытой поверхности потока за счет испарения при средней скорости ветра 2-3 м/с:
где Р - упругость паров воздуха, содержащихся в атмосфере, принимаемая по натурным замерам или определяемая по формуле:
.
Подставляя значения Р и размеры лотка, получим
. (П.6.6)
Теплопотери за счет эффективного излучения водной поверхностью представляют разность между излучением тепла водой и встречным излучением атмосферы.
, Вт/м, (П.6.7)
где П - доля неба, покрытая облаками. Можно считать, что в дни, когда есть осадки, небо полностью покрыто облаками, тогда
где n - количество дней в месяце с осадками;
m - количество дней в месяце;
i - количество месяцев в зимний период.
Теплопотери на таяние твердых осадков
, Вт/м, (П.6.9)
где
- слой осадков в сутки, мм;
h - слой осадков в месяц (принимается по климатическому справочнику), мм.
Теплопотери потоком в грунт
где tгр
- температура грунта в естественных условиях для временно действующих водотоков
и потоков, питающихся грунтовыми водами. Для постоянно действующих водотоков tгр
- температура грунта в зоне "талика" в наиболее холодный месяц
зимнего периода принимается по данным натурных измерений. При отсутствии данных
натурных измерений рекомендуется принимать tгр
= 0°C;
- сумма термических сопротивлений материала
лотка или грунта в м2 град Вт.
Величина
определяется по формуле
где α1=4,64 - коэффициент теплоотдачи от воды к материалу лотка, Вт/м2 град;
δм - толщина стенки лотка или отмостки наледного пояса, м;
δгр - толщина слоя грунта, имеющего температуру ниже температуры воды потока, м;
λм, λгр - коэффициенты теплопроводности, соответственно, материала лотка и грунта (принимаются по нормативной или справочной литературе), Вт/м град.
Теплопотери потоком в воздух через материал пояса или лотка
, Вт/м, (П.6.12)
где
- коэффициент теплоотдачи от поверхности
стенок лотка или пояса в воздух, Вт/м2 град;
vв - скорость ветра, м/ч.
В конечном виде уравнение теплового баланса потока на участке расширенного русла, наледного пояса или плоского лотка имеет вид
Расстояние охлаждения потока L до 0°С в плоском лотке или на участке расширенного русла, наледном поясе определяется по формуле
где γ=1000 кг/м3 - объемная масса воды;
Q - расход потока, м3/с;
С=4,2 кДж/кг °С - удельная теплоемкость воды;
W0 - потери тепла потоком, Вт/м;
tp - начальная температура потока, °С;
3,62 - тепловой эквивалент одного Вт·ч в кДж.
Температура потока tкп в конце расчетного участка определяется по формуле
где W0 - потери тепла потоком на рассматриваемом участке русла или лотка, Вт/м;
L - длина участка, м.
Температура потока t в некотором сечении расширенного русла, наледного пояса или плоского лотка на расстоянии l от начала расширяемого участка определяется по формуле
, град. (П.6.16)
|
Характеристика поверхности наледного пояса или плоского лотка |
Коэффициент шероховатости, n |
|
Мощение булыжным камнем |
0,020 |
|
Мощение из грубого камня |
0,022 |
|
Грубая бутовая кладка |
0,027 |
|
Мощение из крупного камня |
0,030 |
|
Мощение из рваного камня |
0,035 |
|
Мощение с изюмом из крупного камня |
0,040 |
|
Мощение с изюмом из рваного крупного камня |
0,045 |
|
Обсыпка скальным грунтом |
0,045 |
|
Гладкая бетонная поверхность |
0,015 |
|
Шероховатая бетонная поверхность |
0,017 |
|
Грубая бетонная поверхность |
0,025 |
|
То же с усиленной шероховатостью |
0,030 |
6.2. Пример теплотехнического расчета распластанного водотока в плоском лотке, расположенном у противоналедного вала.
Данные для расчета. Район проектирования - Западный участок БАМ. Расход водотока в осенне-зимний период Q=20 л/с=0,020 м3/с. Продольный уклон русла I=0,010. Температура потока в осенне-зимний период tгp = 0,2°C. Среднемесячная температура воздуха в первый месяц развития наледи (октябрь) tв = -15,1°С. Среднемесячная скорость ветра в октябре v=1,4 м/с.
Решение. Расчет заключается в определении размеров плоского лотка и выборе типа укрепления, способствующего интенсивному охлаждению потока и образованию наледи.
Исходя из наличия местных строительных материалов для укрепления плоского лотка принято мощение булыжным камнем. Коэффициент шероховатости n=0,020 определен по табл. П.6.1. В пределах отмостки принимаем глубину потока h=2 см. По формуле (2.2) устанавливаем ширину плоского лотка В=3,3 м.
Определяем составляющие уравнения теплового баланса по формулам (П.6.1 - П.6.16)
Вт/м,
Вт/м,
,
Вт/м,
Вт/м.
Для Западного участка БАМ n=0,6 - 0,8. Принимаем n=0,8, тогда
Вт/м,
Вт/м.
По данным натурных измерений глубина сезонного промерзания в районе проектирования в октябре составляет 0,5 м; температура грунтов в зоне сезонного промерзания - 1,0°С. Принимаем
λм = 2,09 Вт/м. град; δм = 0,2 м
λгр = 1,86 Вт/м. град; δгр = 0,5 м
По формулам П.6.11 и П.6.10 определяем
,
Вт/м,
,
Вт/м.
Определяем потери тепла на отмостке плоского лотка по формуле П.6.13
Вт/м.
Назначаем длину отмостки лотка L=15 м.
Температуру потока в конце плоского лотка у щита противоналедного вала определяем по формуле П.6.15:
°С.
Таким образом, на участке отмостки плоского лотка в зимний период следует ожидать охлаждение потока ниже 0°С, что обеспечит формирование на нем наледи. При дальнейшем понижении температуры воздуха будет происходить рост наледи и отложение льда до конца зимнего периода.
6.3. Отвод наледных вод за пределы защищаемого объекта осуществляется самотечно по водоотводным устройствам, искусственным руслам, открытым канавам трапециевидной, секторной, треугольной формы, лоткам, трубопроводам или с помощью водосбросных скважин. Трубопроводы, преимущественно подземной прокладки, применяются, как правило, на застроенных участках, под дорожным полотном при отсутствии сильнольдистых вечномерзлых пород. Размеры поперечных сечений водоотводных устройств определяются гидравлическими расчетами из условия пропуска расчетного расхода воды вероятностью превышения 1:50 (2%) на дорогах I категории, 1:25 (4%) на дорогах II категории, 1:20 (5%) на дорогах III и IV категории.
Гидравлические расчеты канав, русел, лотков производятся, исходя из двух основных уравнений равномерного движения потока в русле
, (П.6.17)
, (П.6.18)
где Q - расход воды, м3/с;
- площадь живого сечения потока, м2;
v - средняя скорость течения воды, м/с;
i - продольный уклон дна русла, доли единицы;
С - скоростной коэффициент, определяемый по формуле Н.М. Павловского;
R - гидравлический радиус, м.
, (П.6.19)
, (П.6.20)
где n - коэффициент шероховатости русла, см. табл. П.6.1;
у - показатель степени, определяемый с достаточной для практических целей точностью по формулам:
(П.6.21)
χ - смоченный периметр, м.
6.4. Водоотводные канавы, искусственные русла трапециевидного сечения проектируются так, чтобы средняя скорость течения воды в них находилась в диапазоне незаиливающей и неразмывающей скорости. Незаиливающую vнз и неразмываивающую vнр скорости можно определить по формулам
(П.6.22)
, (П.6.23)
где А - коэффициент, зависящий от средневзвешенной гидравлической крупности наносов ω и равный: при ω=1,5 мм/с - 0,33; при ω=1,5÷3,5 мм/с - 0,44; при ω=3,5 мм/с - 0,55;
v0 - допускаемая неразмывающая скорость течения потока при гидравлическом радиусе, равном 1 м, принимается по табл. П.6.2.
Канавы и русла трапециевидного сечения характеризуются двумя расчетными показателями
, (П.6.24)
где b - ширина канавы или русла по дну, м;
h - глубина наполнения канавы или русла, м;
α - угол откоса русла.
|
Наименование грунтов |
Допускаемая скорость, v0, м/с 0 |
|
Ил |
0,20 |
|
Глина |
0,75 - 1,25 |
|
Тяжелый суглинок |
0,70 - 1,20 |
|
Средний суглинок |
0,65 - 1,00 |
|
Легкий суглинок |
0,60 - 0,90 |
|
Крупный песок (d = l - 2 мм) |
0,60 - 0,75 |
|
Средний песок (d = 0,5 мм) |
0,40 - 0,60 |
|
Мелкий песок (d < 0,5 мм) |
0,25 |
|
Малоразложившийся торф |
0,50 - 1,20 |
|
Разложившийся торф |
0,30 - 0,90 |
При
проектировании русла с малыми продольными уклонами в устойчивых грунтах
принимается меньшее значение
. При
больших уклонах и при неустойчивых грунтах принимают большее значение
для уменьшения средней скорости течения. Не
следует принимать значение
более 10-12. Уклон русла не должен быть
меньше 0,005.
Значение коэффициента m зависит от величины угла наклона откоса, который данный грунт может сохранить, под водой, и принимается по табл. П.6.3.
|
Наименование грунтов |
Коэффициент откоса, m |
|
Очень плотная глина |
1,0 |
|
Суглинистая почва |
1,0-1,25 |
|
Супесчаная почва |
1,5 |
|
Песчаная почва |
1,5-2,0 |
|
Песчано-глинистый грунт, насыщенный водой |
3,0 |
|
Торф |
0,5-1,0 |
Показатель β и глубина наполнения h гидравлически наивыгоднейшего сечения канавы или русла рассчитываются по формулам
, (П.6.25)
(П.6.26)
По исследованиям С.Т.
Алтунина русло будет устойчиво в плане, если его ширина по урезу воды составит
не менее
.
Гидравлический расчет канавы или русла трапециевидной формы выполняется при заданных значениях Q, v, m, n, i. При этом определяются площадь поперечного сечения потока ω, гидравлический радиус R, смоченный периметр χ, глубина потока h по формулам
, (П.6.27)
(П.6.28)
, (П.6.29)
. (П.6.30)
Из двух возможных значений h выбирается меньшее и определяется ширина русла по низу
. (П.6.31)
Предварительно до начала расчета проверяется выполнение условия
Невыполнение этого условия говорит о том, что при заданных Q, V, n, m и i расход Q не может быть пропущен по руслу принятого размера.
Если в результате расчета не будут получены удовлетворительные размеры русла, то его необходимо проектировать с укреплением. Форму русла с укреплением целесообразно принимать близкой к гидравлически наивыгодной, что обеспечивает минимальный объем работ по укреплению русла.
6.5. Пример расчета. Определить необходимые размеры трапециевидного русла для отвода наледного водотока в легких суглинках. Расчетный расход Q=1,0 м3/с, коэффициент шероховатости n=0,025, уклон i=0,005. Гидравлическая крупность наносов ω=1,5 мм/с.
Предварительно примем V=0,45 м/с, m=1,5. Показатель степени у положим равным 0,25.
Проверим выполнение условия (П.6.32):
.
.
0,16<0,263 - условие выполняется.
Определим площадь сечения русла ω, гидравлический радиус R, смоченный периметр χ и глубину потока h:
,

,

Ширина потока по низу
м, показатель
.
Рекомендации по величине
выдержаны.
Ширина русла по урезу
воды
м.
Необходимая ширина
русла по условию устойчивости в плане
м, следовательно, русло в плане устойчиво.
Рассчитываем
незаиливающую и неразмывающую скорости, приняв значение V0=0,7
м/с,
м/с, неразмывающую скорость,
м/с.
Ранее принятое значение V=0,45 м/с находится в пределах между незаиливающей и неразмывающей скоростями. Таким образом, все необходимые условия по расчету устойчивого русла выполнены.
6.6. Водоотводные каналы могут проектироваться секторного и треугольного профилей. Канава секторной формы обладает большей устойчивостью, а треугольной формы способна обеспечить постоянную скорость течения воды при колебаниях расхода потока.
Водопропускная способность канавы секторной формы при заданном значении скорости течения воды определяется по формулам:
(П.6.33)
где v - скорость течения воды, м/с;
m - положение откоса канавы на уровне уреза воды.
Размеры и гидравлические элементы канавы секторной формы при заданном расходе определяются по формулам:
радиус сектора
(П.6.34)
ширина канавы по линии уреза воды
; (П.6.35)
глубина канавы
; (П.6.36)
площадь живого сечения потока
; (П.6.37)
гидравлический радиус
. (П.6.38)
Формулы могут применяться при заложении откоса m=от 1,5 до 7.
6.7. Водопропускная способность канавы треугольной формы с заложением откосов m1 и m2 при заданной скорости течения воды определяется по формуле
, (П.6.39)
Размеры и гидравлические параметры канавы треугольной формы при заданном расходе определяются по формулам:
глубина потока воды
(П.6.40)
ширина канавы по линии уреза воды
, (П.6.41)
площадь живого сечения потока
, (П.6.42)
гидравлический радиус
, (П.6.43)
смоченный периметр
, (П.6.44)
где m1 и m2 - коэффициенты правого и левого откоса канавы.
6.8. Диаметр D трубопроводов (самотечных отводящих труб), площадь живого сечения ω потока и гидравлический радиус ρ определяются по формулам
(П.6.45)
; (П.6.46)
. (П.6.47)
При значении показателя y=1/6 формула для расчета диаметра трубопровода принимает вид
, (П.6.48)
где n - коэффициент шероховатости материала трубы (определяется по гидравлическим справочникам);
Q - расчетный расход, м3/ч;
- расчетное заполнение трубопровода;
i - уклон трубопровода, доли единицы;
у - показатель степени в формуле Шези.
6.9. Пропускная способность водосбросных скважин или водосбросов рассчитывается по формуле
, (П.6.49)
где d - диаметр трубы, м;
Н - напор воды над входным оголовком, м;
h - перепад высоты от входного оголовка до выпуска, м;
l - длина трубы (в случае водосбросной скважины l=h), м;
ξв - коэффициент сопротивления при входе в трубу (при острых кромках трубы ξв = 0,5, при закругленных ξв = 0,2÷0,05);
- сумма коэффициентов местных сопротивлений;
λ - коэффициент сопротивления трубы,
(П.6.50)
По условию образования водоворотной воронки над входом в трубу минимальное значение Н не должно быть меньше критического Нк, определяемого по формуле
(П.6.51)
Если по условию образования вакуума или водоворотной воронки конструкция входного оголовка не проходит, то необходимо предусматривать специальные конструкции входа в трубу, например, типа шахтного водосброса.
6.10. Безналедный пропуск водотоков обеспечивается путем спрямления русла водотока и концентрации потока в углубленных канавах или лотках при протекании его в полосе отвода, а также в пределах мостов и труб. Для районов с суровыми климатическими условиями безналедный пропуск водотока по углубленным канавам или лоткам возможен при определенной их ширине и глубине.
Ширина потока В, при которой не будет происходить образование наледи, определяется по формуле теплового баланса водотока:
(П.6.52)
где Q - расход водотока в осенне-зимний период, м3/с;
- термическое сопротивление теплоотдаче с
поверхности открытого водотока, м2град/Вт;
α=23,2 Вт/м2 град - коэффициент теплоотдачи с поверхности;
-
термическое сопротивление теплоизоляции (лед, снег, утеплитель),
;
hi - толщина i-гo слоя теплоизоляции, м;
λ - коэффициент теплопроводности i-го слоя теплоизоляции, Вт/м·град;
I - уклон канавы (лотка);
γ - объемная масса воды, кг/м3 температурой водотока у нижней поверхности льда и расчетной температурой наружного воздуха, которая принимается равной среднему из абсолютных минимумов за рассматриваемый период, град;
tн - температура воды у начала расчетного участка, град;
tк - температура воды в конце расчетного участка, град;
L - длина рассматриваемого участка, м;
С=4,19 кДж/кг·град - теплоемкость воды;
9,81 - размерный коэффициент, кДж/кг·м;
101,7 - механический эквивалент теплоты, кг·м/Дж.
Нумерация пунктов приводится в соответствии с источником
6.10. В тех случаях, когда водоток у начала расчетного участка имеет температуру 0,2°С и ниже, допускать ее понижение нельзя. В этом случае ширина лотока В определяется по формуле
(П.6.53)
Если расчетная ширина потока окажется более 0,6 м, целесообразно применять углубление и профилирование русла. При ширине потока менее 0,6 м следует применять открытые, полузакрытые и утепленные лотки (рис. П.6.1, П.6.2).
|
№ |
Тип лотка, размеры в см |
Материал |
Уклон лотка |
||
|
лотка |
крышки |
утеплителя |
|||
|
1 |
|
Бетон по ГОСТ 26633-85 класса В20, арматура из стали класса А-1 марки ВСТЗ-2 |
нет |
нет |
0,004 - 0,020 |
|
2 |
|
Доски по ГОСТ 24454-80 строганные, антисептированные |
нет |
||
|
3 |
|
Доски по ГОСТ 24454-80 Пенополиуретан по ТУ 25-1901-0001-87 |
|||
|
4 |
|
Снег Лед |
нет |
||
Рис. П.6.1. Лотки, рекомендуемые для применения под мостами, в пределах подводящих и отводящих русел:
1 - укрепление: 2 - песчавзя подготовка; 3 - лоток; 4 - местный грунт; 5 - гравийио-песчаиая подготовка; 6 - крышка лотка; 7 - утеплитель; 8 - левд; 9 - снег
|
№ |
Тип лотка, размеры в см |
Материал |
Уклон лотка |
||
|
лотка |
крышки |
утеплителя |
|||
|
5 |
|
Бетон по ГОСТ 26633-85 класса В20, арматура из стали класса А-1 марки ВСТЗ-2 |
Доски по ГОСТ 24454-80 строганые антисептированные, 8 см |
Доски по ГОСТ 24454-80 пенополиуретан по ТУ 25-1901-0001-87 |
0,004-0,002 |
|
6 |
|
Керамзитовая или шлаковая засыпка, 62 см |
|||
|
7 |
|
Монолитный гидротехнический бетон М-200, Мрз-200 |
- |
- |
0,004-0,005 |
|
8 |
|
Доски по ГОСТ 24454-80 8 см |
- |
||
|
9 |
|
Железобетон М300 Мрз-300 |
Доски по ГОСТ 24454-80 5 см |
Доски по ГОСТ 24454-80 пенополиуретан по ТУ 25-1901-0001-87 |
|
Рис. П.6.2. Лотки, рекомендуемые для применения под мостами, в пределах подводящих и отводящих русел и в трубах:
1 - укрепление; 2 - песчаная подготовка; 3 - лоток; 4 - местный грунт; 5 - гравнйно-песчаиая подготовка; 6 - крышка лотка; 7 - утеплитель, 8 - блок трубы
6.11. Граничным условием начала образования кромки льда в лотке принимается охлаждение потока до температуры 0°С.
Перепад температуры потока Δ в заданном сечении лотка на расстоянии l от его начала определяется по формуле:
, (П.6.54)
где W - потери тепла водотоком на 1 м длины лотка, Вт/м, (табл. П.6.5);
Q - расход водотока, м3/сек.
Остальные обозначения те же, что в формуле (П.6.14).
Потери тепла потоком, сосредоточенным в лотке, определяются как сумма составляющих элементов теплообмена воды с окружающим ее пространством с учетом потерь тепла через поверхность и в материал лотка, или водопропускной трубы, а также поступления тепла от грунта ложа водотока и за счет перехода кинетической энергии в тепловую.
Для районов Сибири и Дальнего Востока, имеющих метеорологические параметры, равные приведенным в табл. П.6.4, потери тепла водными потоками с расходом до 20 л/с, сосредоточенными в лотках рассмотренных типов, даются в табл. П.6.5.
|
Районы |
Расчетная минимальная среднемесячная температура самого холодного месяца, °С |
Средняя скорость ветра в самом холодном месяце, м/с |
Средняя мощность снежного покрова в расчетном месяце, см |
|
1 |
до -32,5 |
до 2,8 |
До 35 |
|
2 |
до -40,0 |
до 3,2 |
до 15 |
|
3 |
до -44,0 |
до 1,5 |
до 22 |
|
|
и ниже |
и менее |
и менее |
|
Тип лотка по рис. П.6.1, П.6.2 |
Район 1 |
Район 2 |
Район 3 |
||||||
|
При ширине лотка, м |
|||||||||
|
0,3 |
0,4 |
0,6 |
0,3 |
0,4 |
0,6 |
0,3 |
0,4 |
0,6 |
|
|
1 |
290 |
369 |
446 |
311 |
421 |
587 |
322 |
395 |
542 |
|
2 |
29,1 |
31,3 |
32,5 |
38,4 |
41,4 |
42,9 |
46,1 |
50,6 |
53,0 |
|
3 |
21,4 |
24,1 |
25,2 |
28,9 |
31,9 |
33,4 |
35,9 |
40,4 |
42,8 |
|
4 |
33,3 |
41,4 |
48,6 |
44,3 |
50,0 |
58,3 |
48,5 |
53,9 |
64,0 |
|
5 |
18,5 |
20,8 |
21,7 |
24,9 |
27,5 |
28,9 |
30,8 |
34,7 |
36,8 |
|
6 |
25,1 |
27,0 |
28,0 |
33,1 |
35,7 |
36,7 |
39,7 |
43,6 |
45,6 |
|
7 |
229 |
270 |
359 |
247 |
302 |
414 |
309 |
371 |
516 |
|
8 |
193 |
220 |
246 |
201 |
243 |
323 |
259 |
313 |
405 |
|
9 |
164 |
187 |
209 |
171 |
207 |
274 |
220 |
266 |
344 |
Примечание. Для лотков 7, 8 и 9 типа потери тепла определены в трубах с отверстиями, закрытыми деревянными щитками.
Для водотоков с расходом более 20 л/с приведенные в табл. П.6.5 значения потерь тепла следует уменьшать на величину S1, определяемую по формуле П.6.2.
При учете потери тепла потоком, сосредоточенным в лотке бетонной трубы, через материал оголовков, и расчетах следует принимать длину лотка, увеличенную на размер отверстия трубы.
Пример. Требуется проверить возможность безналедного пропуска потока в третьем районе под мостом на участке длиной 60 м. Расход водотока в осенне-зимний период Q=20 л/с. Начальная температура потока в осенне-зимний период t=0,15°С. Средний уклон русла под мостом 0,004.
Расчет. В соответствии с рельефом местности длина лотка назначается в 71 м. Конструкция открытого лотка принимается типа 1, ширина по дну 0,3 м. По формуле (П.6.54) перепад температур в лотке:
°C.
Следовательно, пропуск потока в лотке типа 1 без образования наледи невозможен.
Проверяем пропуск потока в утепленном лотке типа 3. В лотке этого типа перепад температур составит
°C.
Температура потока на выходе из лотка составит
°C.
Следовательно, при применении утепленного закрытого лотка безналедный пропуск потока под мостом обеспечивается.
7.1. Понижение уровня грунтовых вод в зоне действия однолинейного дренажа совершенного типа (рис. П.7.1) и единичный односторонний приток воды, поступающей к нему, определяются по формулам:*
.
Значения функций
и
берутся по графикам, представленным
соответственно на рис П.7.2, П.7.3.

Рис. П.7.1. Схема к расчету однолинейного горизонтального дренажа совершенного типа

Рис. П.7.2. График функции ![]()

Рис. П.7.3. График функции F2 (Q, γ)

Рис. П.7.4. Схема к расчету однолинейного горизонтального дренажа несовершенного типа
7.2. Понижение уровня грунтовых вод в зоне действия однолинейного дренажа несовершенного типа (рис. П.7.4) и единичный односторонний приток воды, поступающей к нему, определяются по формулам:
.
Значения функций
и
берутся по графикам (рис. П.7.2 и П.7.3), а
λ по графику (рис. П.7.5).
7.3. Расчет двухлинейного дренажа совершенного и несовершенного типов состоит в определении понижения уровня грунтовых вод в наружной и внутренней зонах и притока к нему из этих зон.
Понижение уровня грунтовых вод в наружной зоне двухлинейного дренажа совершенного типа (рис. П.7.6) определяется по формуле (П.7.1), а единичный приток воды к дренажу - по формуле (П.7.2).
Понижение уровня грунтовых вод во внутренней зоне двухлинейного дренажа совершенного типа определяется по формулам
, (П.7.5)
.
Значения функции
берутся по графику (рис. П.7.7).
Единичный приток воды, поступающей к дренам из внутренней зоны двухлинейного дренажа совершенного типа,
, (П.7.6)
.
Значения функции
определяют по графику (рис. П.7.8).
Понижение уровня грунтовых вод в наружной зоне действия двухлинейного дренажа несовершенного типа (рис. П.7.9) определяют по формуле (П.7.3), а единичный приток воды к дренажу из этой зоны - по формуле (П.7.4).
7.4. Понижение уровня грунтовых вод во внутренней зоне двухлинейного дренажа несовершенного типа определяется из выражения
, (П.7.7)
.
Значения функций
и λ принимаются соответственно по
графикам, представленным на рис. П.7.7
и П.7.5.
Единичный приток воды, поступающий к дренам из внутренней зоны 2-линейного дренажа несовершенного типа, рассчитывается по формуле:
.
Значения функции
принимаются по графику (см. рис. П.7.8).
В формулах (П.7.1) - (П.7.8) приняты следующие обозначения:
Q - расход дренажа, м3/сут.;
t - время, сут.;
а - коэффициент уровнепроводности можно принять равным 15-50 м2/сут для суглинков, 50-100 м2/сут для супесей;
Т - водопроводимость пласта, м2/сут;
α - параметр, учитывающий дополнительное поступление воды из капиллярной зоны и за счет сжатия грунтового потока, можно принять равным 0,0024 1/сут для суглинков, 0,0035 1/сут для супесей;
b0 - ширина полосы инфильтрации, м;
χ - расстояние от оси дренажа до точки, в которой определяется понижение уровня грунтовых вод, м;
χ, β,
, γ - расчетные
параметры, определяемые по графику или по формулам;
σ - расстояние от оси симметрии до оси дренажа в схеме двухлинейного горизонтального дренажа совершенного типа, м.

Рис. П.7.5. График для определения величины λ

Рис. П.7.6. Схема к расчету двухлинейного горизонтального дренажа совершенного типа


Рис. П.7.8. График функции F4 (Q, fβ)

Рис. П.7.9. Схема к расчету двухлинейного горизонтального дренажа несовершенного типа
Расчет выполняют в следующей последовательности:
7.5. Определяют термическое сопротивление трубопровода отводной линии, R, м2·°С/Вт
где λм - коэффициент теплопроводности мерзлого грунта, м2·°С/Вт;
hпр - приведенная глубина заложения трубопровода на участке отводной линии, м, определяется по формуле:
где h - глубина заложения трубопровода от поверхности земли, м;
σсн, λсн - толщина, м, и коэффициент теплопроводности снежного покрова, Вт/м·°С;
σиз, λиз - толщина, м, и коэффициент теплопроводности слоя теплоизоляции траншеи, Вт/м·°С;
dт - диаметр талика вокруг трубопровода, м;
D - наружный диаметр трубопровода, м;
λт - коэффициент теплопроводности талого грунта, Вт/м·°С.
7.6. Назначают вариант открытого выпуска с конструкцией выпускного оголовка в виде трубопровода под обваловкой со скошенным торцом и подпорной стенкой со стороны водоотводной канавы, рис. П.7.10, а.
Размеры этой конструкции выпускного оголовка определяют из условия:
, (П.7.11)
где Rв - термическое сопротивление трубопровода на участке выпуска, Вт/м2·°С;
, (П.7.12)
Rв(об) и Rвн - термическое сопротивление теплопередаче, соответственно, в атмосферу через обваловку трубопровода и подземного трубопровода в окружающий грунт, м2·°С/Вт,
βэф - эффективный угол рассеивания тепла трубопровода в атмосферу, учитывающий влияние подпорной стенки, град.
Величину Rв(об) определяют по формуле:
+
+
, (П.7.13)
где
,
,
- толщина слоя, м, соответственно - грунта,
наружной теплоизоляции конструкции и снега (см. рис. П.7.10);
α - коэффициент теплоотдачи поверхности, принимаемый равным 20 ккал/ч·м2·°С (23,2 Вт/м2·°С).

Рис. П.7.10. Схемы к теплотехническому расчету дренажа:
а) конструкция оголовка выпуска открытию типа; б) схема к определению угла β; 1 - трубопровод; 2 - теплоизоляция трубы; 3 - грунт обваловки; 4 - теплоизоляция обваловки; 5, 6 - застенная и съемная теплоизоляция; 7 - подпорная стенка; 8 - откос водоотводной канавы; 9 - откос земляного валика; 10 - снежный покров
Величину Rвн определяют по формуле:
, (П.7.14)
где
- приведенная глубина заложения трубопровода
на выпуске, м:
, (П.7.15)
где dиз т - наружный диаметр теплоизоляции трубопровода, м;
λл - коэффициент теплопроводности льда, Вт/м·°С;
Dл - диаметр, м, живого сечения водного потока трубопровода, оледеневающего на участке lв:
м, (П.7.16)
где Q - расход дренажа в расчетный период, м3/с;
iв - гидравлический уклон напорного оледеневшего трубопровода на выпуске, доли единицы.
, (П.7.17)
где i - уклон местности по трассе отводной линии, доли единицы;
I - полная длина трубопровода отводной линии, м;
lв - длина конструкции выпуска, в пределах которой возможно внутреннее оледенение трубопровода отводной линии, м.
Принимают lв = 2Н, где H - максимальная высота обваловки трубопровода. Эффективный угол определяют по формуле
, (П.7.18)
где β - фактический угол рассеивания определяется графическим построением по схеме (см. рис. П.7.10, б), град;
К - безразмерный коэффициент влияния подпорной стенки:
, (П.7.19)
Fст - площадь поверхности подпорной стенки, вступающей в теплообмен с атмосферой, м2
Rст - сопротивление теплопередаче через плоскую стенку, м2·°С/Вт;
, (П.7.20)
7.7. По расходу и температуре воды в дренаже, соответствующим зимнему критическому периоду, определяют длину отводной линии (l). Для этого методом последовательных приближений решают относительно l уравнение:
где tвып - температура воды на выпуске, °С;
K1, K2 - размерные коэффициенты, равные 5,433 Вт/м4 и 1160 Вт/м·°С;
Q - расход дренажа, м3/ч;
tдрен, tг - температура, соответственно, воды в дренаже и грунта в естественных условиях на глубине заложения оси;
lср - средняя температура среды трубопровода на выпуске, °С.
Температуру воды на выпуске задают в пределах от 0,05 до 0,1 °С. Среднюю температуру среды трубопровода на выпуске определяют по формуле:
где tв, tгв - температура, соответственно, воздуха в расчетный период и грунта на глубине заложения трубопровода выпуска, °С.
Значения температуры
грунта tг
на глубине h заложения трубопровода отводной линии и tгв
на глубине
заложения трубопровода выпуска определяется
по данным многолетних наблюдений (за срок не менее 10 лет), а при их отсутствии
- теплотехническим расчетом.
Если при различных вариантах значений расчетных параметров, входящих в формулу (П.7.21), длина отводной линии не превышает 5-10 м и по условиям местности устройство открытого выпуска на этом расстоянии оказывается неудобным, переходят к проектированию закрытого выпуска типа поглощающей траншеи, заполненной обратным каменным фильтром, которая должна поглощать расход воды, сбрасываемой дренажем в критический период. При этом учитывают увеличение свободной пористости грунта и возрастание потерь воды траншеей в грунт по мере снижения уровня грунтовых вод в связи с прекращением их инфильтрационного питания.
Пример расчета выпуска дренажа.
Исходные данные. Для зимнего критического периода по данным инженерно-геологического обследования установлено:
°C;
°C.
Принимаем:
;
м;
°С; h=2
м;
м;
м;
м;
;
;
;
.
Расчетом найдены
значения:
°С и
°С.
Значения параметров hпр и R определены расчетом по формулам (П.7.9), (П.7.10)
м;
.
Определим Rв, предварительно вычисляя:
+
+
;
![]()
м и
м
;
;
![]()
.
Таким образом, при
принятых параметрах конструкции входного оголовка условие
выполнено.
Определим по формуле (П.7.22) среднюю температуру среды трубопровода на выпуске
°C.
После подстановки имеющихся расчетных величин, изменяя значение l, добиваемся соблюдения равенства (П.7.21). При l=10,5 м имеем:
=
=
.
В результате расчета длина отводной линии получена равной l=10,5 м, что удовлетворяет поставленному условию. Вариант открытого выпуска принимается в проект, как окончательный.
7.8. Число отверстий на 1 м трубы определяется по формуле
, (П.7.23)
где Qдр - водозахватная способность трубчатого дренажа, которая должна быть несколько больше удельного дебита дренажа;
k - коэффициент запаса на зарастание отверстий в процессе эксплуатации, равный 1,5-2;
W - площадь отверстия;
g - ускорение свободного падения тела;
Н - потери напора при истечении через отверстие. Эти потери, как нежелательные для работы дренажа, должны быть как можно меньше, поэтому в расчетах можно принимать Н = 1÷5 см;
μ
- коэффициент расхода отверстий, принимаемый в пределах 0,2-0,6 в зависимости
от отношения
(d17 - диаметр частиц
грунта или обсыпки, меньше которых по объему должно быть 17%; t -
диаметр круглого отверстия или ширина прямоугольного отверстия - щели):"
|
d17 t |
0,4 |
0,6 |
0,8 |
1,0 |
1,25 |
1,5 |
2 |
3 |
5 |
8 |
|
μ |
0,27 |
0,24 |
0,22 |
0,2 |
0,25 |
0,3 |
0,37 |
0,46 |
0,56 |
0,6 |
7.9. Для подбора состава фильтрующих обсыпок рекомендуется пользоваться расчетными графиками В.С. Истоминой (рис. П.7.11, а, б, в, г, д, е) с учетом направления движения дренируемых вод (рис. П.7.12).

Рис. П.7.11. Графики для подбора первого слоя фильтра (сплошная кривая характеризует осредненный состав грунтов; пунктирная - граничный)
а - типа I
из гравелистых материалов; б
- типа I из щебенистых
материалов; в - типа II
на песчаном основании при
; г - типа III при l
= 1,3;
и
; д - в глинистых грунтах с W ≤ 7÷10; е - в супесях
с W = 3÷6; 1 - область
допустимых характеристик

Рис. П.7.12. Схема движения воды в фильтрующих обсыпках при контакте:
а - горизонтальном; б - наклонном (I-III типы движения воды)
7.10. Подбор первого слоя обсыпки в песчаных и гравелистых грунтах с коэффициентом неоднородности до 10 и средним диаметром частиц более 0,15 мм производится:
при движении воды сверху вниз (см. рис. П.7.12, тип I) - по графикам "а" и "б" (см. рис. П.7.11);
при движении воды снизу вверх (см. рис. П.7.12, тип II) - по графику "в" (см. рис. П.7.11);
при движении воды по контакту слоев (см. рис. П.7.12, тип III) - по графику "г" (см. рис. П.7.11).
Порядок подбора
следующий. По величинам dmin, d10,
d50,
d60,
dmax строится кривая
гранулометрического состава дренируемого и определяется коэффициент
неоднородности
,
устанавливается тип движения дренируемых вод по рис. П.7.12, затем задаются
коэффициентом неоднородности материала обсыпки в пределах допускаемой величины
(в пределах от 0 до 10) и отношением средних диаметров частиц обсыпки и дренируемых
грунтов в пределах от 3 до 16. Рассчитываются параметры гранулометрического
состава обсыпки при
. Для этого
определяют величины d150
и d60
по заданным коэффициентам, а величины d10,
dmin, dmax определяют
ориентировочно d150
= d50·3;
, где P110
выбирается из условия, что частиц менее 0,1 мм в фильтре не должно быть более
3%. dmax задаются,
ориентируясь по рассчитываемому графику гранулометрического состава фильтра. По
полученным параметрам строится первая граничная кривая.
Подобным образом
вычисляют параметры второй граничной кривой при
.
Определяется
;
принимается d160,
близкое к d150
по значению, a d110
вычисляется из отношения
, где ηф
- величина, заданная в начале расчета; dmax -
задаются ориентировочно. По полученным значениям d110,
d150,
d160,
d1max строится вторая граничная кривая.
Грунты, заключенные между этими кривыми, могут быть использованы для первого слоя фильтра при условии, что коэффициент неоднородности их равен заданному значению от 0 до 10).
7.11. Проверка пригодности
имеющегося грунта для первого слоя фильтра производится следующим образом: зная
зерновой состав дренирующего грунта и карьерного, предназначенного для фильтра,
определяют отношение
и коэффициент неоднородности карьерного
грунта
; на графике
(см. рис. П.7.11,
а, б, в, г) находят точку пересечения. Если эта точка попадет в область
допускаемых значений, то грунт можно использовать для фильтра, в противном
случае, он непригоден для фильтра и нуждается в сортировке. Здесь и далее d150
и d50
- средние диаметры частиц для смежных грунтов (соответственно фильтра и
дренируемого грунта); d160
и d60
- контролирующие диаметры частиц; d1 и d10 - действующие
диаметры частиц; ηг - коэффициент неоднородности дренируемого
грунта; ηф - коэффициент неоднородности фильтрующей обсыпки
(слоя фильтра).
7.12. Подбор обсыпки при дренировании связных грунтов (глинистых) с числом пластичности более 7 независимо от характера движения воды производится с использованием графика (см. рис. П.7.11, д), при дренировании супесей с числом пластичности до 3 - 6 - (см. рис. П.7.11, е).
Коэффициент неоднородности фильтра должен быть также не больше 10, т.е. ηф ≤ 10.
7.13. Если в качестве
фильтрующего материала используется галечниковый или гравелистый грунт с
песчаным заполнителем и коэффициентом неоднородности ηф ≥
10÷20, то подбор первого слоя фильтра в суглинках и супесях можно
выполнять также по графикам (см. рис. П.7.11,
д, е). Однако при этом характеристики скелетов гравелистых и галечниковых
грунтов с ηф ≥ 10÷20 приравнивают к
характеристикам гравелистых материалов ηф ≤ 10, т.е. для
этих случаев следует разделить грунт на скелет и заполнитель, а на графиках
(см. рис. П.7.11,
д, е) принимать
и ηф.
Частицы размером менее 1 мм относятся к заполнителю, а частицы более 1 мм - к скелету.
Порядок подбора следующий.
Задаются коэффициентом
неоднородности обсыпки в пределах 10. При этом коэффициенте неоднородности согласно
графику (см. рис. П.7.11,
д, е) в зависимости от того, в каких грунтах проектируется дренаж, выбираются
предельные значения среднего диаметра частиц обсыпки d150
(в пределах области допускаемых значений). Затем строят первую граничную кривую
зернового состава обсыпки для минимального значения d150,
задаваясь при этом ориентировочно значением d160,
определяя
и принимая d1max также ориентировочно.
Аналогично строят вторую кривую зернового состава. Грунты, заключенные между кривыми, могут быть применены для первого слоя фильтра при условии, что ηф равен заданному в начале расчета значению.
Проверка пригодности грунтов, предназначенных для обсыпки, производится по графикам (см. рис. П.7.11, д, е). Если точка пересечения коэффициента неоднородности проверяемого грунта и его среднего диаметра лежит в области допускаемых значений, то грунт пригоден для обсыпки, в противном случае - непригоден.
Подбор второго и третьего слоев фильтра производят аналогично подбору первого слоя по графикам (см. рис. П.7.11), принимая первый слой обсыпки за дренируемый грунт.
Толщина слоев фильтра
выбирается в пределах
, но не
менее 0,2 м (по условиям производства работ).
7.14. Вместо рыхлых фильтрующих обсыпок целесообразно применять минеральные волокнистые материалы (стеклохолст, стеклосетка), геотекстильные иглопробивные или нетканые материалы типа "Дорнит".
______________________________
* Параметры и их размерность приведены в конце раздела.
Сфера применения беструбного дренажа различной конструктивно-технологической разновидности показана в табл. П.8.1.
Если водоупором грунтовых вод, питающих наледь, являются вечномерзлые грунты (скально-щебенистые или галечно-гравийные), то буровзрывной способ устройства дренажа может быть успешно применен в южной зоне распространения вечномерзлых грунтов (восточная часть БАМа). В этих районах глубина сезонного протаивания крупнообломочных скальных грунтов достигает 6,0 м. В хорошо дренирующих грунтах поверхность вечномерзлых грунтов опускается на глубину более 6,0 м, где возникает постоянный талик. Поэтому целесообразно буровзрывной дренаж закладывать на глубину 6 - 7 м.
Чтобы поверхностная и грунтовая вода непрерывно (зимой и летом) циркулировала по такому дренажу, во избежание его перемерзания в пределах дренажа следует убрать всю растительность, включая мохоторфяной слой.
Таблица П.8.1.
|
Конструктивно-технологическая разновидность беструбного дренажа |
Схема дренажно-водоотводного канала беструбного дренажа |
Характеристика условий применения |
Сезон стоительства |
|
1. Дренажно-водоотводный канал в виде линейной зоны рыхления с поверхности до глубины 4 - 10 м (на 1 - 2 м ниже слоев сезонyого оттаивания (hот) и сезонного промерзания (hпр) |
Поперечный разрез
|
Для дренирования и отвода надмерзлотных (а), грунтовых и подземных (б) вод при близком залегании скальных пород крепких и средней крепости пезависио от температуры мерзлых пород |
В течение всего года |
|
2. Дренажно-водоотводный канал в виде линейной зоны трещиноватости под толщей вечномерзлых пород, создаваемый камуфлетным взрывом |
Продольный разрез
|
Для дренирования и отвода подземных вод в условиях маломощных вечномерзлых скальных пород (Н<30м). Выпуск дренажа в под русловой талик ближайшего водотока |
В летний период |
|
3. Дрекажно-водоотводный канал в виде линейкой зоны трещиноватости в вечномерзлых породах, создаваемый камуфлетным взрывом и гидравлическим оттаиванием: двухстадийным с водносолевым раствором; в одну стадию подогретой водой |
Продольный разрез
|
Для дренирования и отвода подземных вод в условиях: низкотемпературных скальных вечномерзлых п ор од с t = -3°С; низкотемпературных скальных вечномерзлых пород с t от -2°С до -3°С и температуре подземных вод ниже 1,5°С |
В летний период |
Для выявления технико-экономической эффективности применения беструбного дренажа, образованного буровзрывным способом, на одном из наледных участков линии Пивань - Совгавань были изучены инженерно-геологические условия наледеобразования и запроектированы противоналедные дренажи:
трубчатый типовой конструкции, сооружаемый по обычной традиционной технологии;
беструбный, образованный буровзрывным способом.
При анализе основных показателей и затрат, в том числе удельных на 1 п. м дренажа, была установлена целесообразность устройства дренажа, образованного буровзрывным способом.
Дренаж (рис. П.8.1) должен
обеспечить пропуск грунтовой воды с расчетным дебитом
,
/сут,
который устанавливается гидрогеологическими исследованиями по формуле
. (П.8.1)
где ω - площадь поперечного живого сечения дренажа, м2;
I - продольный уклон дренажа в тысячных;
Kф- коэффициент фильтрации скальных пород, м/сут,
; (П.8.2)

Рис. П.8.1. Схема к расчету зоны рыхления беструбного дренажа:
1 - дренирующие грунты; 2 - граница водоупора; 3 - скальные породы; 4 - дренаж
, (П.8.3)
где R - радиус зоны рыхления, м.
Длину расчетной линии наименьшего сопротивления W можно приравнять к радиусу зоны рыхления W=R, так как рыхлению подлежат лишь скальные породы, залегающие ниже водоупора - hв. Одновременно должно быть выдержано условие:
, (П.8.4)
где
- масса ВВ, размещающаяся в 1 п.м скважины,
кг/м;
d - диаметр скважины, мм; n - плотность взрывчатого вещества, кг/м3.
При использовании буровой установки СБМК-5 диаметр скважины составит 105 мм, а масса заряда в 1 п.м скважины, при использовании аммонита N 6 ЖВ, составит P=8,0 кг. Расчетный расход ВВ для зарядов рыхления K, кг/м3, рекомендуется принимать:
K = 0,4 кг/м3 - для мягких пород (мергель, туф, сланцы);
K = 0,6 кг/м3- для крепких пород (гранит, базальт, песчаник).
В среднем можно
принимать
м.
Перебур определяется
по формуле:
(большее значение относится к крепким
породам). Длина забойки
(меньшее значение относится к крепким
породам).
Глубина бурения H, м, масса заряда в скважине, q, кг, расстояние между скважинами, a, м, определяются по формулам:
, (П.8.5)
, (П.8.6)
. (П.8.7)
Средний диаметр камня, образуемого дроблением, можно определить по формуле:
, (П.8.8)
где Kp - коэффициент остаточного разрыхления.
Для одной дрены с
радиусом действия R=4 м при Kф = 15,0 м/сут
расчетные значения составят:
;
;
.
В зависимости от назначаемого уклона дренажа его расход будет составлять при:
I = 0,01, Q = 18 м3/сут;
I = 0,05, Q = 40 м3/сут;
I = 0,10, Q = 60 м3/сут.
На существующей железной дороге после подрезки косогора с устройством нового кювета в зимний период были проморожены водоносные галечники с песком до водоупора, представленного выветрелым песчаником. Возникли условия для образования наледи. По наблюдениям и расчетам гидрогеологов дебит источника склоновой наледи составляет около 30 м3/сут.
Исходные данные:
; hв
= 3,5 м; R=4,0 м; P=80 кг; K= 0,4 кг/м3, Kф = 15 м/сут.
Тогда:
м;
м;
м (см. рис. П.8.1);
кг;
м. Принимаем a=2,0 м, диаметр скважин 105 мм.
Проверяем пропускную
способность и определяем требуемый уклон дренажа:
, откуда
.
Таким образом, при устройстве беструбного дренажа буровзрывным способом расчетный расход Qр = 30 м3/сут будет обеспечен при радиусе зоны рыхления 4 м и уклоне дренажа I=30%.
Рекомендуемое
9.1. Вертикальный дренаж с предварительным устройством водоаккумулирующей емкости в скальной породе целесообразно применять в условиях циркуляции подземной или грунтовой воды с расходом до 1,5 л/с по водоносному массиву трещиноватой горной породы, характеризуемой коэффициентом фильтрации порядка 1 м/сут.
9.2. Водоаккумулирующую емкость следует располагать ниже водоупорной поверхности с нагорной стороны от проектируемой выемки.
9.3. Суммарный объем трещин в пределах образуемой взрывным способом аккумулирующей емкости можно определять по формуле
, (П.9.1)
где K - коэффициент фильтрации естественного водоносного пласта, м/сут;
h - мощность естественного водоносного пласта, м;
B - ширина полосы пласта, м;
i
- средний гидравлический градиент, который находится из выражения
;
i0 - уклон водоупора естественного пласта, доли единицы;
a - коэффициент уровнепроводности, м2/сут;
μ - коэффициент гравитационной водоотдачи трещиноватых пород водоаккумулирующего пласта, доли единицы;
τ - период наледеобразования или продолжительность перерыва между откачками воды из скважины, сут.
Схема устройства водонакопительной емкости для периодической откачки подземных вод в целях ликвидации наледи в выемке и пример понижения уровня подземных вод показаны на рис. П.9.1.

Рис. П.9.3. Схема размещения и устройства водоаккумулирующей емкости:
а - план; б - поперечный профиль; 1 - водоносный пласт (тектоническая зона); 2 - уровень подземных вод до устройства водоаккумулирующей емкости; 3 - то же, после откачки воды из емкости; 4 - уровень воды в водоаккумулирующей емкости; 5 - литологическая граница грунтов; 6 - скважины для взрывания; 7 - водопонижающая скважина; 8 - передвижная электростанция; 9 - выемка
Исходные данные:
Область водоносного массива в плане представляет пластполосу шириной 100 м и длиной 2150 м. Предполагаемая емкость размерами 100×100 м глубиной 80 м находится на расстоянии 650 м ниже выявленной границы питания и 500 м выше осушаемой выемки. На расстоянии 1,5 км ниже емкости находится река. Предполагаем, что емкость после взрыва будет не обводнена, а затем начинается ее заполнение (4) за счет понижения уровня подземных вод (2) в водоносном массиве (1). Для осушения водонакопительной емкости производится периодическая откачка воды в течение всего зимнего периода (160 сут). Испарение не учитывается, а весь поток поверхностных и подземных вод включает расход подземного потока на границе питания.
По данным натурных исследований в течение 5 месяцев в пределах исследуемой области коэффициент фильтрации изменяется от 0,1 до 0,2, а в емкости принимается равным 100 м/сут; коэффициент водоотдачи изменяется от 0,01 до 0,02, а в емкости равен 0,05. Исследуемая область фильтрации в плане покрывается прямоугольной неравномерной сеткой скважин (6). Шаг разностной сетки в плоскости составляет 25-50 м, емкости 25 м. На всех участках границы емкости принимается нулевой расход, а на участке со стороны косогора постоянный приток воды Q=0,8 м2/сут на единицу длины.
Расчет выполнен по методике и программе, разработанной в лаборатории фильтрации института Гидродинамики СО АН СССР.
Расчеты показывают, что устройство водоаккумулирующей емкости на косогоре позволит понизить уровень подземных вод (2) до уровня (3) в выемке через 40 суток на 2 м, через 60 суток на 5 м, через 120 суток на 7 м, а через 160 суток на 8,5 м.
Рекомендуемое
10.1. Расчету подлежат: размеры нарушенных (уширенных) русел водотоков, площади растекания перед удерживающими сооружениями, объем наледи, размеры противоналедных сооружений.
10.2. Для проектирования противоналедных удерживающих сооружений необходимы следующие исходные данные:
расход ручья или ключа в осенне-зимний период;
размеры и уклоны логов и склонов в месте постройки противоналедных удерживающих сооружений;
среднемесячная температура наружного воздуха;
среднемесячная абсолютная влажность воздуха;
упругость паров воздуха (см. формулу П.6.5);
среднемесячный коэффициент облачности (см. формулу П.6.8);
среднемесячные потери тепла открытой водной поверхностью.
10.3. Расход водотока определяется по осенним замерам как средняя величина за ряд лет. Остальные данные принимаются по климатологическим справочникам.
10.4. При расчете можно пренебречь обменом тепла с ложем водотока, что практически сводится к отказу потерь тепла наледными водами при протекании их по поверхности льда, имеющей отрицательную температуру. Это допущение идет в запас при определении размеров как уширенного русла, так и площади растекания наледных вод перед удерживающими противоналедными сооружениями.
Средние многолетние потери тепла наледными водами с открытой поверхности могут быть определены по табл. П.10.1, составленной на основании данных Государственного гидрологического института.
Пример. Определить
параметры наледи и размеры удерживающего противоналедного вала в районе БАМ при
следующих исходных данных: в начале ноября расход водотока Q=2 л/с=172,8
м3/сутки, температура воды
°C, уклон
главного лога ip =
0,010, ширина лога ал = 30 м, уклоны склонов соответственно левого и
правого iл
= iп
= 0, 100.
Решение. Полагаем, что
наледь, образуемая водотоком на участке уширенного русла (наледном поясе),
будет задерживаться земляным валом. В рассматриваемом районе (см. табл. П.10.1)
среднемесячные потери тепла водотоком в ноябре составляют
.
Таблица П.10.1. Средние многолетние теплопотери, W0, с открытой водной поверхности в зимние месяцы в районах трассы БАМ
|
Пункты БАМ (ж.д. станции) |
Теплопотери, |
||||
|
ноябрь |
декабрь |
январь |
февраль |
март |
|
|
Лена - Киренга |
28,1 |
46,2 - 47,0 |
48,7 - 49,1 |
37,0 - 37,4 |
19,3 - 19,7 |
|
Киренга - Нижнеангарск |
28,1 - 29,0 |
47,0 - 47,9 |
49,1 - 50,0 |
37,4 - 39,1 |
19,7 - 20,5 |
|
Нижнеангарск - Уоян |
29,0 - 29,8 |
47,9 - 49,6 |
50,1 - 50,8 |
39,1 - 41,6 |
20,5 - 21,4 |
|
Уоян - Таксимо |
29,8 - 31,1 |
49,6 - 51,2 |
50,8 - 51,7 |
41,6 - 42,4 |
21,4 - 22,3 |
|
Таксимо - Витим |
31,1 |
51,2 - 51,7 |
51,7 |
42,4 |
22,3 - 22,7 |
|
Витим - Икабья |
31,1 - 32,3 |
51,7 - 52,9 |
51,7 - 52,9 |
42,4 - 43,7 |
22,7 - 23,9 |
|
Икабья - Олекма |
32,3 |
52,9 - 53,3 |
52,9 |
43,7 |
23,9 - 24,4 |
|
Олекма - Тында |
32,3 - 29,4 |
53,3 - 52,1 |
53,3 - 52,1 |
43,7 - 42,0 |
24,4 - 23,5 |
|
Тында - Дипкун |
29,4 |
52,1 - 52,5 |
52,1 - 52,5 |
42,0 |
23,5 - 22,3 |
|
Дипкун - Зейск |
29,4 - 28,1 |
52,5 - 50,8 |
52,5 - 52,1 |
42,0 - 40,3 |
22,3 - 21,4 |
|
Зейск - Тунгала |
28,1 - 27,7 |
50,8 - 49,6 |
52,1 - 51,7 |
40,3 - 39,5 |
21,4 - 18,1 |
|
Тунгала - Федькин Ключ |
27,7 - 26,9 |
49,6 - 47,1 |
51,7 - 51,2 |
39,5 - 37,8 |
18,1 - 16,8 |
|
Федькин Ключ - Сулук |
26,9 - 25,2 |
47,1 - 44,3 |
51,2 - 50,8 |
37,8 |
16,8 - 17,2 |
|
Сулук - Березовка |
25,2 |
44,3 - 44,5 |
50,8 - 51,2 |
37,8 |
17,2 - 16,8 |
|
Березовка - Комсомольск |
25,2 - 26,5 |
44,5 - 43,3 |
51,2 - 50,0 |
37,8 |
16,8 |
|
Комсомольск - Тумнинский хр. |
22,5 - 18,5 |
43,3 - 42,0 |
50,0 - 47,5 |
37,8 |
16,8 |
|
Тумнинский хр. - Советская Гавань |
18,5 - 16,8 |
42,0 |
47,5 - 46,2 |
37,8 |
16,8 |
Примечания. 1. Значение теплопотерь для районов, расположенных между указанными пунктами, определяется методом интерполяции.
2. Таблица составлена по работе Р.В. Донченко "Теплопотери с открытой водной поверхности в зимнее время на реках СССР". Труды ГГИ, выпуск 83, Л., 1960.
Приняв ширину наледного пояса B=2,5 м, определяется его длина L по формуле (2.2).

принимаем L=10 м, B=2,5 м.
Возможная толщина нарастания наледи в течение одних суток по формуле (2.3) составит
м.
При толщине нарастания
наледи за одни сутки hл
= 0,08 м и объеме воды, накапливаемом перед валом за одни сутки,
,
определяется площадь растекания воды перед валом по формуле 2.4.
.
При ширине лога ал
= 30 м его расчистка и планировка выполняется на длине
м. Принимаем Lp = 75 м.
Объем наледи без учета снега при полном ее удержании за время всего наледного периода T=150 суток определяется по формуле 2.5.
.
С учетом формы лога определяем показатели:
;
.
Принимаем толщину
наледи hн
= 3,6 м и определяем, какой объем наледи будет располагаться на склоновых
участках лога (v1)
и в русловой части лога (v2).
По рис. П.10.1, а при показателе 2000 и hн
= 3,6 м определяем v1
= 15,0 тыс. м3. По рис. П.10.1, б при показателе 100 и hн
= 3,6 м получаем объем наледи на 1 пог. м ширины лога 690 м3. При ал
= 30 м определяем
м3. Общий объем наледи будет равен
м3, что почти полностью совпадает
с объемом наледи, рассчитанным по формуле (2.5).
Можно считать, что толщина наледи принята правильно. Тогда высота (Нв)
и длина (Lв)
противоналедного вала, а также длина распространения наледи по логу (l)
определяется расчетом:
м;
м;
м.
Согласно П.2.53 участок уширенного русла водотока (наледный пояс) должен быть удален от вала, удерживающего наледь в зимний период, на расстояние более 360 м.

Рис. П.10.1 Графики зависимости объема наледи от ее толщины, формы поперечного сечения лога, уклонов главного русла и склонов:
а - на склоновых участках лога; б - в русле лога
Справочное
|
Марка |
Характеристика кабеля |
ГОСТ |
Электрическое сопротивление при 20°С, Ом/км |
Максимальная температура нагрева, °С |
|
КНМС(с) |
Кабель нагревательный с магнезиальной изоляцией в стальной оболочке со стальной токопроводящей жилой сечением, мм2: |
ТУ - 16 505.564-75 |
|
|
|
|
1×0,283 |
|
3000 |
250 |
|
|
1×0,502 |
|
1000 |
250 |
|
|
1×0,785 |
|
900 |
250 |
|
|
1×1,131 |
|
700 |
250 |
|
КНМС(н) |
То же, с никелевой токопроводящей жилой сечением, мм2: |
ТУ 16 - 505.564 -75 |
|
|
|
|
1×0,283 |
|
500 |
250 |
|
|
1×0,502 |
|
300 |
250 |
|
|
1×0,785 |
|
200 |
250 |
|
|
1×1,131 |
|
150 |
250 |
|
КМЖ - 380В |
Кабель в минеральной изоляции с медной жилой в медной оболочке сечением, мм2: |
|
|
|
|
|
1×1,0 |
|
17,2 |
250 |
|
|
2×1,0 |
|
17,2 |
250 |
|
|
3×1,0 |
|
17,2 |
250 |
|
|
1×1,5 |
|
11,5 |
250 |
|
|
2×1,5 |
|
11,5 |
250 |
|
КМЖВ - 380В |
То же в защитной оболочке яз поливинилхлоридного пластика сечением, мм2: |
|
|
|
|
|
1×1,0 |
|
17,2 |
70 |
|
|
2×1,0 |
|
17,2 |
70 |
|
|
3×1,0 |
|
17,2 |
70 |
|
|
1×1,5 |
|
11,5 |
70 |
|
|
2×1,5 |
|
11,5 |
70 |
|
ЭНГЛВ - 180 |
Гибкая нагревательная лента из нихромовых жил в стеклоткани с герметиком из кремнеорганической резины |
|
1100 |
180 |
|
KTО - 1 |
Кабель для геофизических работ с резиновой изоляцией в хлопчатобумажной оплетке, 3 -жильный из медных и стальных проволок сечением, мм2, 1×0,41+18×0,4 |
ГОСТ 6020-82 |
65 |
70 |
|
КТО - 2 |
То же, сечением, мм2, 1×0,52+18×0,5 |
ГОСТ 6020-82 |
42 |
70 |
|
ПТПЖ |
Провод трансляционный 2 жильный с пластмассовой изоляцией со стальной жилой сечением, мм2: |
ГОСТ 10254-75Е |
|
|
|
|
2×0,6 |
|
550 |
60 |
|
|
2×1,2 |
|
140 |
60 |
|
|
2×1,8 |
|
70 |
60 |
|
ВМВЖ |
Провод для взрывных работ одножильный и поливинилхлоридной изоляции со стальной жилой сечением 1,2 мм2 |
ГОСТ 6285-74Е |
140 |
70 |
|
КМРПВ |
Нагревательный кабель, изоляция кремнеорганическая резина, самозатухающий полиэтилен, трубка ПВХ 1×(7×0,25) |
ТУ 16-705 141-80 |
- |
80 |
|
Марка |
Развернутая длина, см |
Мощность, кВт |
Напряжение, В |
|
ТЭН-100А 13/0,4 Р220 |
100 |
0,4 |
220 |
|
ТЭН-100А 13/1,25 Р220 |
100 |
1,25 |
220 |
|
ТЭН-85А 13/1,6 Р220 |
85 |
1,6 |
220 |
|
ТЭН-60А 13/2 Р220 |
60 |
2,0 |
220 |
|
ТЭН-100В 13/2 Р220 |
100 |
2,0 |
220 |
|
ТЭН-78А 13/2,5 Р220 |
78 |
2,5 |
220 |
|
ТЭН-78А 13/3,15 Р220 |
78 |
3,15 |
220 |
|
ТЭН-100В 13/3,5 Р220 |
100 |
3,5 |
220 |
|
ТЭН-100А 13/3,5 Р220 |
100 |
3,5 |
220 |
|
ТЭН-100А 13/4Р Р220 |
100 |
4,0 |
220 |
|
ТЭН-120А 13/4 Р220 |
120 |
4,0 |
220 |
|
ТЭН-140А 13/4 Р220 |
140 |
4,0 |
220 |
|
ТЭН-140В 13/5 Р220 |
140 |
5,0 |
220 |
|
Число и сечение жилы, мм2 |
Диаметр жилы, мм |
Толщина изоляции, мм |
Толщина оболочки, мм |
Диаметр кабеля, мм |
Масса кабеля, кг |
|
1×0,283 |
0,60 |
0,85 |
0,35 |
3,0 |
36 |
|
1×0,502 |
0,80 |
1,05 |
0,55 |
4,0 |
67 |
|
1×0,785 |
1,00 |
1,35 |
0,65 |
5,0 |
102 |
|
1×1,131 |
1,20 |
1,55 |
0,85 |
6,0 |
152 |
|
Тип трансформатора |
Напряжение нагрузки, В |
ПР, % |
Номинальный ток, А |
Пределы регулирования тока, А |
КПД, % |
|
ТС 300 |
30 |
65 |
300 |
110 - 385 |
84 |
|
ТС 500 |
30 |
65 |
500 |
165 - 650 |
85 |
|
ТСК 300 |
30 |
50 |
300 |
110 - 385 |
84 |
|
ТСК 500 |
30 |
50 |
500 |
165 - 650 |
85 |
|
ТД 504 |
30 |
50 |
500 |
165 - 650 |
86 |
|
Исполнение по способу подключения к источнику питания |
Удельная мощность, Вт/м |
Номинальная мощность, кВт |
Длина активной части, м |
Сопротивление, Ом |
Масса, кг |
|
Индивидуальное |
40 |
0,17 |
4,07 |
297 |
0,90 |
|
|
|
0,33 |
8,22 |
146 |
1,45 |
|
|
|
0,66 |
16,52 |
73 |
2,78 |
|
|
|
1,33 |
33,12 |
36 |
6,86 |
|
|
60 |
0,20 |
3,32 |
237 |
0,68 |
|
|
|
0,41 |
6,72 |
118 |
1,22 |
|
|
|
0,82 |
13,52 |
59 |
2,29 |
|
|
|
1,63 |
27,12 |
29 |
5,56 |
|
|
80 |
0,23 |
2,86 |
206 |
0,50 |
|
|
|
0,47 |
5,80 |
102 |
1,06 |
|
|
|
0,94 |
11,67 |
51,5 |
2,00 |
|
|
|
1,88 |
23,44 |
26 |
4,94 |
|
|
100 |
0,26 |
2,55 |
183 |
0,54 |
|
|
|
0,53 |
5,18 |
92 |
0,95 |
|
|
|
1,05 |
10,44 |
46 |
1,80 |
|
|
|
2,10 |
20,96 |
23 |
4,37 |
|
Последовательное |
40 |
1,33 |
33,12 |
36 |
8,26 |
|
|
60 |
1,63 |
27,12 |
29 |
6,66 |
|
|
80 |
1,88 |
23,44 |
26 |
6,84 |
|
|
100 |
2,10 |
20,96 |
23 |
5,22 |
Рекомендуемое
Мощность ТЭНов определяется по формуле:
где Q - расход воды, м3/час;
Соб - объемная теплоемкость воды, кДж/м3·°С;
Тл - температура воды до подогрева, °C;
Тв - необходимая температура воды, °C;
η - КПД установки;
3,6·103 - тепловой эквивалент одного кВт×ч в кДж.
Пример 1. Обеспечить безналедное протекание воды на выходе из дренажа. Расход воды 3,6 м3/ч. Температура воды Тл = 0,5 °C. По условиям разгрузки подземных вод необходимо иметь на выходе Тв = 2 °С. КПД установки 80% по формуле (П.12.1) определяем необходимую мощность установки
кВт.
Принимаем установку из трех ТЭНов типа ТЭН-78А13/3, 15-Р220 суммарной мощностью 9,45 кВт (см. справочное приложение 11).
Мощность кабеля, переходящая в теплоту, выражается формулой:
, Вт, (П.12.2)
где n - количество жил кабеля, шт.;
I - сила тока, А;
Rж - омическое сопротивление токопроводящей жилы кабеля при 20°C, Ом;
α - температурный коэффициент удельного электрического сопротивления, 1/град;
Т = Тж - 20 °C - разность между температурой жилы - 20°C.
Удельная мощность тепловыделения кабеля определится по формуле
где P - мощность тепловыделения 1-го м кабеля, Вт/м;
R0 - удельное электрическое сопротивление 1-го м жилы, Ом/м.
Выразив в этой формуле силу тока через напряжение (U) и сопротивление (R0) сети, можно определить необходимую длину кабеля с заданным тепловыделением
В зависимости от условий рассеивания тепла в окружающую среду температура кабеля при одном и том же тепловыделении значительно изменяется. Температура кабеля в проточной воде в несколько раз ниже, чем в воздушной замкнутой среде. Во избежание перегрева кабеля определяется максимально допустимый ток нагрузки в зависимости от сопротивления кабеля и окружающей среды.
Допускаемая величина тока определяется по формуле
R - электрическое сопротивление 1-го см жилы при 20 °C, Ом/см;
Т = Тдоп - 20 °C;
Риз - диэлектрические потери в изоляции, Вт/см.
Диэлектрические потери при напряжениях 220 и 380 В составляют 3 - 5% от потерь в токопроводных жилах, поэтому в приближенных расчетах ими можно пренебречь.
где S - суммарное тепловое сопротивление кабеля и окружающей среды;
S1 - тепловое сопротивление изоляции кабеля;
S2 - тепловое сопротивление защитных покровов;
S3 - тепловое сопротивление окружающей среды.
Для одножильных кабелей
где σ1 - удельное тепловое сопротивление изоляции кабеля <*>, град×см/Вт;
R - радиус кабеля без оболочки покрытия, мм;
r - радиус жилы, мм.
Для многожильных кабелей
,
, (П.12.8)
где n - количество токопроводящих жил в кабеле;
Г - геометрический фактор, определяемый по формуле
, (П.12.9)
где Δn - толщина поясной изоляции, мм;
Δ - толщина изоляции жилы, мм;
d - диаметр токопроводящей жилы, мм.
Величина Г может быть принята по книге Бачелис Д.С. и др.*
Тепловое сопротивление защитных покровов подземных кабелей
где σ2 - удельное тепловое сопротивление защитных покровов, град×см/Вт;
R1 - радиус кабеля с защитными покровами, мм.
Тепловое сопротивление поверхности кабеля при прокладке его на воздухе (в лотках, смотровых колодцах) определяется по формуле
,
, (П.12.11)
где
- наружный диаметр кабеля, см;
σ3 - удельное тепловое излучение поверхности кабеля, град×см2/Вт.
Удельное тепловое сопротивление σ1, σ2, σ3 находится по справочным данным.
Пример. Подобрать греющий кабель, обеспечивающий на выходе из лотка температуру воды 1,8°C. Теплопотери лотка составляют Rл=23,2 Вт/м; Тв = 1,3 °C - начальная температура воды; L=110 м - длина обогреваемой части лотка; Q=3,6 м3/ч - расход водотока.
Для свободного протекания воды по лотку и выхода воды из водоотвода необходимо, чтобы тепло, выделяемое теплонагревателем, восполняло теплопотери лотка и обеспечивало нагрев воды на 0,5 °C. Мощность, необходимая для нагрева воды на 0,5°, определяется по формуле (П.12.1)
кВт,
что составляет на 1 м лотка 19,1 Вт/м.
Суммарная потребная мощность на 1 м лотка составит
,
а для обогрева всего лотка потребуется
.
В связи с тем, что отдельные участки кабеля будут находиться на воздухе, за расчетную среду принимается воздух.
По справочному Приложению 11 выбираем нагревательный кабель марки КНМС (н), сечением 1×0,785 мм2. Диаметр жилы кабеля - 1 мм, толщина изоляции - 1,35 мм, толщина оболочки - 0,65 мм, диаметр кабеля - 5 мм.
Тепловое сопротивление кабеля S определится суммированием теплового сопротивления изоляции S1, теплового сопротивления защитных покровов S2 и теплового сопротивления окружающей среды S3 с использованием формул (П.12.7), (П.12.10), (П.12.11), (П.12.6).
;
;
;
.
Допустимая сила тока при условии нагрева жилы до 100 °C определится из формулы (П.12.5)
А.
Удельная мощность, выделяемая кабелем, определяется по формуле (П.12.3)
.
Длина отрезка кабеля с полученной удельной мощностью определяется по формуле (П.12.4)
м.
Расчеты показывают, что полученные удельная мощность кабеля и его длина недостаточны. Для увеличения мощности применим трехфазное подключение кабеля "звездой". Удельная мощность трех проводов при трехфазном подключении находится из формулы
Вт.
Сила тока при трехфазном подключении составит
.
Таким образом, необходимая мощность выделяется только при трехфазном подключении.
Мощность нагревателя P и расчетная мощность трансформатора Pр определяются по формулам
, Вт, (П.12.12)
,Вт, (П.12.13)
где W - удельные теплопотери водоотвода, Вт/м;
L - длина водоотвода, м;
η и cos φ - соответственно КПД и коэффициент мощности трансформатора;
Kт - коэффициент условия работы трансформатора, принимается равным 0,65.
Сопротивление провода R ориентировочно определяется по номинальным величинам тока I и напряжения U трансформатора по закону Ома. По сопротивлению подбирается сечение провода S, затем оно уточняется по номенклатуре ГОСТа и окончательно рассчитывается длина нагревательного провода. Удельная мощность тепловыделения голого провода определяется по формуле (П.12.3). Температуру провода принимают 70 - 80°C. По формуле (П.12.5) определяют величину тока и сравнивают с током трансформатора. В зависимости от температуры окружающей среды допускаемая токовая нагрузка умножается на поправочный коэффициент K согласно табл. П.12.1.
Таблица П.12.1
|
Температура воздуха, °С |
-30 |
-25 |
-20 |
-15 |
-10 |
-5 |
0 |
+5 |
+10 |
+15 |
|
К |
1,51 |
1,47 |
1,43 |
1,39 |
1,34 |
1,29 |
1,24 |
1,20 |
1,15 |
1,11 |
Пример. Подобрать сечение голого провода и тип трансформатора для обогрева крытого водоотводного лотка с удельными теплопотерями Wy = 70 Вт/м и длиной обогреваемой части 110 м.
Мощность нагревателя определяется по формуле (П.12.12)
кВт.
Расчетная мощность трансформатора определяется по формуле (П.12.13)
кВт.
Принимаем трансформатор
типа ТС-500, напряжением нагрузки 30 В, силой тока 165-650 А и мощностью 30
кВт. Сопротивление нагрузки определим приближенно по закону Ома
Ом. Принимаем провод из алюминия марки А120.
Сопротивление его при укладке в лотке петлей составит
Ом.
По табл. 55** определяется допустимая сила тока для А120 при температуре нагрева 70 °C. I=375 А. С учетом поправочного коэффициента на температуру среды -15°C сила тока равна
А.
Полученная сила тока находится в пределах регулирования силы тока трансформатором. Тепловыделение провода при номинальной силе тока составит
Вт.
На 1 метр лотка
тепловыделение составит
Вт/м, что превышает заданные потери W
= 70 Вт/м, т.е. электрообогрев воды с помощью голого провода обеспечен с
некоторым запасом.
______________________________
* Бачелис Д.С. и др. Электрические кабели, провода и шнуры. М., "Энергия", 1971.
** Бачелис Д.С. и др. Электрические кабели, провода и шнуры. М., "Энергия", 1971.
13.1. При проектировании противоналедной защиты рассматриваются вариантные проектные решения, включающие мероприятия, сооружения и устройства, способные защитить транспортные и другие сооружения от воздействия наледей. К производству работ необходимо выбрать конкретное решение, которое должно иметь:
наименьшие стоимость и удельные затраты (труда и материалов) на стадии строительства и эксплуатации;
наибольшую техническую эффективность по устранению наледной опасности;
наибольший срок функционирования;
наибольшую технологичность при строительстве;
наименьшую степень повторного строительства на одном и том же наледном участке;
наибольшую степень повторного применения, индустриализации и машинизации при многократном использовании на объекте строительства;
наименьшую степень нарушения природной среды;
наибольшую надежность при эксплуатации.
13.2. Комплексным показателем, отражающим эти условия, является число целесообразности (Ц) применения противоналедных сооружений и устройств в конкретных природно-климатических и мерзлотно-инженерно-геологических условиях, которое измеряется в м3/руб. и определяется по формуле
где T - степень технологичности строительства противоналедного сооружения или устройства;
β - коэффициент надежности сооружений и устройств при эксплуатации;
η0 - коэффициент наледеопасности для функционирования железной дороги и обустройств, других гражданских и промышленных сооружений;
Ф - удельные стоимостные затраты на стадии строительства и эксплуатации (тыс. руб./км2 год);
ξ - степень нарушения природной среды применяемым методом, сооружением или устройством при строительстве и эксплуатации;
τэ - суммарное время действия наледной опасности за расчетный срок эксплуатации объекта, годы.
13.3. Коэффициент наледеопасности искусственной (техногенной) или природной наледи η0 отражает взаимодействие мерзлотно-гидрогеологических, природно-климатических и техногенных факторов, определяется по формуле
где Qc - расход воды источников или другого генезиса наледеобразующих вод, идущий на замачивание снежного покрова, л/с;
ρc - плотность снежного
покрова,
;
Cл
- удельная теплоемкость льда,
;
Твд - температура наледеобразующих вод, K;
Тп - температура подстилающей поверхности (приведенная температура), K;
Тгр - температура грунтов за период оценки наледной опасности на глубине подошвы слоя сезонного промерзания, K;
Нг - абсолютная отметка гидравлического напора наледных вод, м;
Нд - абсолютная отметка дневной поверхности, м;
hн - глубина сезонного промерзания (нормативного или в природных условиях) на момент оценки наледной опасности или залегания литологического водоупора, м;
вδ - ширина потока наледных вод, м;
F - площадь сечения потока наледеобразующих вод, м2;
v - скорость течения наледеобразующих вод, м/с;
i - гидравлический уклон потока, доли единицы;
Cв - объемная теплоемкость воды, кДж/м3·К;
Тпч - температура поверхности почвы (под снежным покровом), K;
hв - глубина залегания первого от поверхности водоносного горизонта, м;
hс - мощность снежного покрова, м;
вр - ширина разгрузки подземных вод (или руслового потока вод любого генезиса), м.
13.4. Коэффициент
наледеопасности может иметь любые значения (
). Отрицательные
его значения при
, но
означают степень наледеопасности вне области
(участков) развития вечномерзлых грунтов. Напротив, отрицательные значения при
,
и
или при Нг<<Нд
указывают на отсутствие наледной опасности. При η0 = 0 наледная
опасность также отсутствует.
Положительное значение η0 является показателем наледеопасности в области вечной мерзлоты. При выполнении условия
, (П.13.3)
значение η0 от 0 до 1 означает постепенное приближение зоны наледеобразования к зоне питания наледи водой вплоть до подхода к ее границам при η3 = 1. Значение η0 от 1 до 10 при η3 = 1 указывает на наличие открытых участков с водой среди зоны наледеобразования, которая размещается частично в зоне разгрузки подземных вод (зоне питания наледи водой), частично за ее пределами.
При величине η0>>10 (10-5000) происходит полное перекрытие наледью зоны разгрузки (зоны питания наледи) вод, перемерзание большинства путей разгрузки вод, образование бугров пучения вследствие перемещения фронта кристаллизации под дневную поверхность.
Наконец, η0>>5000 указывает на полное отсутствие наледной опасности вследствие отсутствия жидкой фазы воды в атмосфере, на дневной поверхности и до границы годовых колебаний температуры литосферы.
13.5. Данные для оценки степени наледной опасности на стадиях ТЭО и ТЭР берутся из различных справочников, а на стадии РД - по результатам проведения режимных наблюдений.
13.6. Оценка степени нарушения природной среды ξ каким-либо противоналедным методом, сооружением или устройством выполняется по формуле
, (П.13.4)
где Wp - затраты (руб.) на рекультивацию природной среды или противодействие ущербу, наносимому окружающей среде на определенной площади Sp (м2) за время τy (годы) существования или ликвидации техногенной угрозы биосфере.
13.7. На основе технико-экономических исследований на природных техногенных или лабораторных моделях следует оценить степень экономической эффективности ряда противоналедных сооружений и устройств с тем, чтобы ввести в формулу (П.13.1) удельные стоимостные затраты Ф, которые определяются по формуле:
, (П.13.5)
где n - безразмерный коэффициент, указывающий на то, какая часть от площади техногенной наледи ликвидируется, безналедно пропускается или удерживается противоналедным сооружением, доли единицы. Этот коэффициент надо принимать на основе многолетних наблюдений в наледных районах СССР и за рубежом;
Sn - площадь техногенной наледи в районе, подверженном ее действию, м2;
τn - время безотказного действия противоналедного сооружения, ликвидирующего наледную опасность для транспортных и других сооружений, в том числе для движения транспорта, годы;
- суммарные стоимостные затраты (труда,
материалов, механизмов, энергии, процессов и т.п.) на стадии строительства и
эксплуатации при постоянном тепловом и водном режиме работы противоналедных
сооружений, руб.
13.8. Коэффициент надежности β предусматривает отклонения от нормируемых при постоянном тепловом и водном режиме показателей работы противоналедного сооружения на климатические и гидрогеологические тренды, определяется по данным долгосрочного мерзлотно-гидрогеологического прогноза по формуле
, (П.13.6)
где Мmin - минимальное количество градусо-часов, при котором при действии данного противоналедного сооружения наледь не образуется;
М0 - количество градусо-часов действия наледи на период изысканий и проектирования противоналедных сооружений;
- количество градусо-часов заданной
вероятности превышения, устанавливаемое по климатическим справочникам или
рассчитываем по общепринятой методике;
и - коэффициент интенсификации наледного процесса после строительства, который рекомендуется принимать равным 0,15-0,20.
13.9. Степень технологичности противоналедных сооружений Т означает скорость их строительства при данном коэффициенте механизации и повторности применения технологии, отнесенные к общим затратам, и определяется по формуле:
, (П.13.7)
где Sн - площадь ликвидируемой, удерживаемой или безналеднопропускаемой наледи в результате строительства противоналедного сооружения, м2;
ρт - коэффициент перевода стоимости работ механизмами Wм в стоимость ручного труда, затрачиваемого на эквивалентные процессы;
Wс - общая стоимость строительства противоналедного сооружения, руб.;
τс - срок строительства с учетом нормативов на инженерную подготовку, год;
m - модуль технической эффективности противоналедного сооружения. Он рассчитывается по формуле:
, (П.13.8)
, (П.13.9)
где Мg - коэффициент корреляции случайной величины;
P1 - частота (вероятность) положительного эффекта данного противоналедного сооружения или устройства, определяемая на основе опыта их применения
, (П.13.10)
где a - число положительных реализаций проектов данного противоналедного сооружения;
b - общее число внедрений проектов в практику.
При отсутствии данных, P1 вычисляется по формулам теории вероятности.
13.10. Число необходимости поворотного строительства противоналедного сооружения N на одном и том же наледном участке по мерзлотно-инженерно-геологическим и другим условиям за расчетный срок эксплуатации дороги определяется по формуле
, (П.13.11)
где τд - расчетный срок эксплуатации дороги, годы;
P2 - вероятность повторного строительства по инженерно-геологическим и другим условиям, которая основывается на прогнозе изменения геолого-географической среды за расчетное время эксплуатации дороги;
P3 - вероятность качественного выполнения строительно-монтажных работ.
Для выемки на участке Тында-Ургал были запроектированы три варианта противоналедных сооружений:
1) двусторонний железобетонный лоток с электрообогревом длиной 1700 м;
2) правосторонний горизонтальный буровзрывной беструбный дренаж в виде канала длиной 1000 м;
3) вертикальный дренаж в виде скважины глубиной 70 м на борту выемки, откачка воды из которой производится в зимний период.
Данные для оценки
наледеопасности по формуле (П.13.2),
полученные Мосгипротрансом при режимных обследованиях наледного участка,
следующие:
;
;
;
;
;
;
;
;
; F = 0,8
; v =
1,5 м/с;
;
;
;
;
.
При таких данных η0 = 4600, что свидетельствует о чрезвычайной суровой наледной обстановке в выемке, замерзании всей разгружающейся воды на месте, перекрытии наледью всей зоны разгрузки, образовании наледи объемом около 105 м3. Для успешной борьбы с такой наледью требуются только постоянные сооружения, исключающие действия основных наледеформирующих факторов.
Все три запроектированные противоналедные сооружения относятся к постоянным, поэтому они сравнивались по технико-экономическим, технологическим и экологическим показателям.
Исходные данные для сравнения приняты:
1) Лоток с
электрообогревом:
;
;
лет;
;
руб;
;
;
; n =
1;
;
;
;
;
;
;
;
.
2) Буровзрывной
горизонтальный дренаж:
;
;
;
;
;
;
;
; n =
1;
;
;
;
;
;
;
;
.
3) Вертикальный дренаж
скважиной:
;
;
;
;
;
;
;
; n = 1;
;
;
;
;
;
;
;
.
Значения чисел
целесообразности строительства лотка с электрообогревом, горизонтального
буровзрывного дренажа и вертикального дренажа скважиной равны соответственно
;
;
.
Таким образом, на основе комплексных расчетов можно считать, что наиболее оптимальным противоналедным сооружением на выемке является вертикальный дренаж скважиной.
|
ГОСТЫ, СТРОИТЕЛЬНЫЕ и ТЕХНИЧЕСКИЕ НОРМАТИВЫ. Некоммерческая онлайн система, содержащая все Российские Госты, национальные Стандарты и нормативы. В Системе содержится более 150000 файлов нормативно-технической документации, действующей на территории РФ. Система предназначена для широкого круга инженерно-технических специалистов. Copyright © www.gostrf.com, 2008 - 2026 |