Крупнейшая бесплатная информационно-справочная система онлайн доступа к полному собранию технических нормативно-правовых актов РФ. Огромная база технических нормативов (более 150 тысяч документов) и полное собрание национальных стандартов, аутентичное официальной базе Госстандарта. GOSTRF.com - это более 1 Терабайта бесплатной технической информации для всех пользователей интернета. Все электронные копии представленных здесь документов могут распространяться без каких-либо ограничений. Поощряется распространение информации с этого сайта на любых других ресурсах. Каждый человек имеет право на неограниченный доступ к этим документам! Каждый человек имеет право на знание требований, изложенных в данных нормативно-правовых актах!

  


 

Приказ Минприроды России от 31 октября 2008 г. N 300

Об утверждении Административного регламента Федеральной службы по надзору в сфере природопользования по исполнению государственной функции по контролю и надзору за соблюдением в пределах своей компетенции требований законодательства Российской Федерации в области охраны атмосферного воздуха

(с изменениями от 3 сентября 2009 г.)

В соответствии с постановлением Правительства Российской Федерации от 11 ноября 2005 г. N 679 "О порядке разработки и утверждения административных регламентов исполнения государственных функций (предоставления государственных услуг)" (Собрание законодательства Российской Федерации, 2005, N 47, ст. 4933; 2007, N 50, ст. 6285, 2008, N 18, ст. 2063) приказываю:

1. Утвердить прилагаемый Административный регламент Федеральной службы по надзору в сфере природопользования по исполнению государственной функции по контролю и надзору за соблюдением в пределах своей компетенции требований законодательства Российской Федерации в области охраны атмосферного воздуха.

2. Признать утратившим силу приказ Федеральной службы по экологическому, технологическому и атомному надзору от 12 сентября 2007 г. N 625 "Об утверждении инструкции по порядку осуществления государственного контроля за соблюдением требований законодательства Российской Федерации в области охраны атмосферного воздуха" зарегистрированный Минюстом Российской Федерации 13 ноября 2007 г. регистрационный N 10474.

Министр                                                                                                                    Ю.П. Трутнев

Зарегистрировано в Минюсте РФ 5 марта 2009 г.

Регистрационный N 13483

Административный регламент
Федеральной службы по надзору в сфере природопользования по исполнению государственной функции по контролю и надзору за соблюдением в пределах своей компетенции требований законодательства Российской Федерации в области охраны атмосферного воздуха

Содержание

I. Общие положения

II. Требования к порядку исполнения государственной функции

III. Административные процедуры

IV. Порядок и формы контроля за исполнением государственной функции

V. Порядок обжалования действий (бездействия) должностного лица, а также принимаемого им решения при исполнении государственной функции

Приложение N 1 Список территориальных управлений Росприроднадзора

Приложение N 2 Последовательность административных процедур при исполнении Федеральной службой по надзору в сфере природопользования государственной функции по осуществлению контроля за соблюдением требований законодательства Российской Федерации в области охраны атмосферного воздуха

Приложение N 3 РАСПОРЯЖЕНИЕ (ПРИКАЗ)

Приложение N 4 АКТ проверки соблюдения требований законодательства Российской Федерации в области охраны атмосферного воздуха

Приложение N 5 ПРОТОКОЛ N ____ об административном правонарушении в отношении юридического лица

Приложение N 6 ПОСТАНОВЛЕНИЕ о назначении административного наказания

Приложение N 7 ПРЕДПИСАНИЕ об устранении нарушения законодательства

Приложение N 8 ПОСТАНОВЛЕНИЕ о прекращении производства по делу об административном правонарушении

Приложение N 9 ПРЕДСТАВЛЕНИЕ об устранении причин и условий, способствовавших совершению административного правонарушения

I. Общие положения

1. Административный регламент Федеральной службы по надзору в сфере природопользования (далее - Росприроднадзор) по исполнению государственной функции по контролю и надзору за соблюдением в пределах своей компетенции требований законодательства Российской Федерации в области охраны атмосферного воздуха (далее - Административный регламент) разработан в целях повышения качества и эффективности проверок, проводимых государственными инспекторами по охране природы, защиты прав юридических лиц и индивидуальных предпринимателей при проведении государственного контроля и надзора за соблюдением требований законодательства Российской Федерации в области охраны атмосферного воздуха и определяет сроки и последовательность действий (административных процедур) при осуществлении полномочий по государственному контролю за соблюдением требований законодательства Российской Федерации в области охраны атмосферного воздуха.

2. Государственный экологический контроль в области охраны атмосферного воздуха осуществляется в целях обеспечения соблюдения органами государственной власти Российской Федерации, органами государственной власти субъектов Российской Федерации, органами местного самоуправления, юридическими и физическими лицами законодательства Российской Федерации в области охраны атмосферного воздуха а также обеспечения экологической безопасности.

Государственная функция по осуществлению государственного контроля и надзора за соблюдением в пределах своей компетенции требований законодательства Российской Федерации в области охраны атмосферного воздуха (далее - государственная функция) исполняется Росприроднадзором и его территориальными органами на объектах хозяйственной и иной деятельности независимо от форм собственности, подлежащих федеральному государственному экологическому контролю (список территориальных органов Росприроднадзора приведен в приложении 1 к настоящему Административному регламенту).

Осуществление государственной функции может осуществляться как в целевом порядке, так и в составе государственной функции по осуществлению государственного экологического контроля.

Настоящий Регламент не регулирует исполнение государственной функции при осуществлении контроля на объектах, имеющих выбросы в атмосферный воздух радиоактивных веществ.

Приказом Минприроды России от 3 сентября 2009 г. N 280 в пункт 3 настоящего приложения внесены изменения

3. Исполнение государственной функции осуществляется в соответствии с:

Конституцией Российской Федерации (Российская газета, 1993, N 237);

Кодексом Российской Федерации об административных правонарушениях от 30.12.2001 N 195-ФЗ (Собрание законодательства Российской Федерации, 2002, N 1, ст. 1; N 18, ст. 1721; N 30, ст. 3029; N 44, ст. 4295; ст. 4298; 2003, N 1, ст. 2; N 27, ст. 2700; N 27, ст. 2708; N 27, ст. 2717; N 46, ст. 4434; N 46, ст. 4440; N 50, ст. 4847; N 50, ст. 4855; N 52, ст. 5037; 2004, N 19, ст. 1838; N 30, ст. 3095; N 31, ст. 3229; N 34, ст. 3529; ст. 3533; N 44, ст. 4266; 2005, N 1, ст. 9; ст. 13; ст. 37; ст. 40; ст. 45; N 10, ст. 762; ст. 763; N 13, ст. 1077; ст. 1079; N 17, ст. 1484; N 19, ст. 1752; N 25, ст. 2431; N 27, ст. 2719; ст. 2721; N 30, ст. 3104; ст. 3124; ст. 3131; N 40, ст. 3986; N 50, ст. 5247; N 52, ст. 5574; ст. 5596; 2006, N 1, ст. 4; N 1, ст. 10; N 2, ст. 172; ст. 175; N 6, ст. 636; N 10, ст. 1067; N 12, ст. 1234; N 17, ст. 1776; N 18, ст. 1907; N 19, ст. 2066; N 23, ст. 2380; ст. 2385; N 28, ст. 2975; N 30, ст. 3287; N 31, ст. 3420; ст. 3432; ст. 3433; ст. 3438; ст. 3452; N 43, ст. 4412; N 45, ст. 4633; ст. 4634; ст. 4641; N 50, ст. 5279; ст. 5281; N 52, ст. 5498; 2007, N 1, ст. 21; ст. 25; ст. 29; ст. 33; N 7, ст. 840; N 15, ст. 1743; N 16, ст. 1824; ст. 1825; N 17, ст. 1930; N 20, ст. 2367; N 21, ст. 2456; N 26, ст. 3089; N 30, ст. 3755; N 31, ст. 4001, ст. 4007; ст. 4008; ст. 4015; N 43, N 41, ст. 4845; ст. 5084; N 46, ст. 5553; N 49, ст. 6034; N 49, ст. 6065; N 50, ст. 6246; 2008, ст. 10, N 896; ст. 18, N 1941, N 20 ст. 2251, ст. N 2259, N 29 ст. 3418, N 30, ст. 3582, ст. 3601, ст. 3604);

Арбитражным процессуальным кодексом Российской Федерации от 24.07.2002 N 95-ФЗ (Собрание законодательства Российской Федерации, 2002, N 30, ст. 3012; 2004, N 31, ст. 3282; ст. 3216; N 45, ст. 4377; 2005, N 14, ст. 1210; N 48, ст. 5123; 2006, N 1, ст. 8; N 15, ст. 1643; 2007, N 41, ст. 4845; 2008, N 18, ст. 1941, N 24 ст. 2798, N 30, ст. 3594);

Федеральным законом от 10.01.2002 N 7-ФЗ "Об охране окружающей среды" (Собрание законодательства Российской Федерации, 2002, N 2, ст. 133; 2004, N 35, ст. 3607; 2005, N 1, ст. 25; N 19, ст. 1752; 2006, N 1, ст. 10; N 52, ст. 5498; 2007, N 7, ст. 834; 2007, N 27, ст. 3213, 2008, N 26, ст. 3012, N 29, ст. 3418) (далее - Федеральный закон об охране окружающей среды);

Федеральным законом от 26 декабря 2008 г. N 294-ФЗ "О защите прав юридических лиц и индивидуальных предпринимателей при осуществлении государственного контроля (надзора) и муниципального контроля" (Собрание законодательства Российской Федерации, 2008, N 52 (ч. I), ст. 6249; 2009, N 18 (ч. I), ст. 2140).

Федеральным законом от 02.05.2006 N 59-ФЗ "О порядке рассмотрения обращений граждан Российской Федерации" (Собрание законодательства Российской Федерации, 2006, N 19, ст. 2060);

Федеральным законом от 04.05.1999 N 96-ФЗ "Об охране атмосферного воздуха" (Собрание законодательства Российской Федерации, 1999, N 18, ст. 2222; 2004, N 35, ст. 3607; 2005 N 19, ст. 1752; 2006 N 1, ст. 10)

Федеральным законом от 30.11.1995 N 187-ФЗ "О континентальном шельфе Российской Федерации" (Собрание законодательства Российской Федерации, 1995, N 49, ст. 4694, 1999, N 7, ст. 879; 2001, N 33, ч. I, ст. 3429; 2003, N 17, ст. 1557; 2003, N 27, ч. I, ст. 2700; 2003, N 46, ч. 1, ст. 4444; 2004, N 35, ст. 3607; 2005, N 1, часть 1, ст. 25, 2005, N 19, ст. 1752; 2006, N 45, ст. 4640; 2007, N 50, ст. 6246; 2008, N 18, ст. 1941, N 29, ст. 3420);

постановлением Правительства Российской Федерации от 15 января 2001 г. N 31 "Об утверждении Положения о государственном контроле за охраной атмосферного воздуха". (Собрание законодательства Российской Федерации, 2001, N 4, ст. 293, 2007).

постановлением Правительства Российской Федерации от 21.04.2000 N 373 "Об утверждении Положения о государственном учете вредных воздействий на атмосферный воздух и их источников" (Собрание законодательства Российской Федерации 2000, N 18, ст. 1987);

постановлением Правительства Российской Федерации от 31.03.2003 N 177 "Об организации и осуществлении государственного мониторинга окружающей среды (государственного экологического мониторинга)" (Собрание законодательства Российской Федерации, 2003, N 14, ст. 1278);

постановлением Правительства Российской Федерации от 29.10.2002 N 777 "О Перечне объектов, подлежащих федеральному экологическому контролю" (Собрание законодательства Российской Федерации, 2002, N 44, ст. 4390);

постановлением Правительства Российской Федерации от 30.07.2004 N 400 "Об утверждении Положения о Федеральной службе по надзору в сфере природопользования и внесении изменений в постановление Правительства Российской Федерации от 22.07.2004 N 370" (Собрание законодательства Российской Федерации, 2004, N 32, ст. 3347; 2006, N 44, ст. 4596; 2006, N 52 (3 ч), ст. 5597; 2007, N 22, ст. 2647; 2008, N 16, ст. 1707; 2008, N 22, ст. 2581);

постановлением Правительства Российской Федерации от 25.09.2008 N 716 "О должностных лицах Федеральной службы по надзору в сфере природопользования и ее территориальных органов, осуществляющих федеральный государственный экологический контроль (федеральных государственных инспекторах в области охраны окружающей среды)" (Российская газета", 2008 N 205)

приказом МПР России от 29.04.2005 N 115 "Об утверждении перечня должностных лиц Федеральной службы по надзору в сфере природопользования, уполномоченных составлять протоколы об административных правонарушениях" (Зарегистрировано в Минюсте России 17.06.2005 N 6730) (Бюллетень нормативных актов федеральных органов исполнительной власти, 2005, N 26).

Приказом Минприроды России от 3 сентября 2009 г. N 280 в пункт 4 настоящего приложения внесены изменения

4. Федеральный государственный контроль за соблюдением требований законодательства Российской Федерации в области охраны атмосферного воздуха осуществляется Росприроднадзором и его территориальными органами на объектах хозяйственной и иной деятельности независимо от форм собственности, подлежащих федеральному государственному экологическому контролю в соответствии с постановлением Правительства Российской Федерации от 31.03.2009 N 285 (Собрание законодательства Российской Федерации 2009, N 14, ст. 1668).

5. Конечными результатами исполнения государственной функции являются:

1) выявление и предъявление требований по обеспечению устранения нарушений законодательства в области охраны атмосферного воздуха, или установление отсутствия нарушений;

2) исполнение нарушителями законодательства в области охраны атмосферного воздуха, выполнение предписаний об устранении нарушений законодательства в области охраны атмосферного воздуха;

3) привлечение виновных лиц к административной ответственности.

6. Исполнение Росприроднадзором и его территориальными органами государственной функции осуществляется на бесплатной основе.

II. Требования к порядку исполнения государственной функции

Порядок информирования о правилах исполнения государственной функции

7. Информация о месте нахождения Росприроднадзора:

Место нахождения Росприроднадзора: г. Москва, ул. Б. Грузинская, д. 4/6.

Почтовый адрес для направления документов и обращений:

123995, г. Москва, ул. Б. Грузинская, д. 4/6, Д-242, ГСП-5.

Место нахождения экспедиции Росприроднадзора: г. Москва, ул. Б. Грузинская, д. 4/6.

Часы работы экспедиции Росприроднадзора:

Понедельник

09.30 -17.30

Вторник

09.30 - 17.30

Среда

09.30 - 17.30

Четверг

09.30 - 17.30

Пятница

09.30 -16.30

Суббота

выходной день

Воскресенье

выходной день

 

Электронный адрес для обращений в Росприроднадзор:

expert@mnr.gov.ru

Многоканальный телефон справочной службы Росприроднадзора:

254-48-00

Официальный сайт Росприроднадзора:

http://control.mnr.gov.ru

Контактная информация территориальных органов Росприроднадзора размещена на официальном сайте Росприроднадзора в сети Интернет, информационных стендах и сайтах (при наличии) территориальных органах Росприроднадзора, а также приведена в приложении 1 к настоящему Административному регламенту.

8. Информация по процедурам государственной функции может предоставляться:

по электронной почте (при ее наличии);

по телефону;

по почте;

лично.

Обязательный перечень предоставляемой информации по процедурам исполнения государственной функции:

входящие номера, под которыми зарегистрированы в системе делопроизводства материалы проверки и иные документы;

решения по конкретному заявлению и прилагающимся материалам;

нормативные правовые акты по вопросам исполнения государственной функции (наименование, номер, дата принятия нормативного правового акта);

перечень документов, представление которых необходимо для осуществления процедур государственного контроля за деятельностью в области охраны атмосферного воздуха;

место размещения на официальном сайте Росприроднадзора справочных материалов по вопросам государственного контроля за деятельностью в области охраны атмосферного воздуха.

Если информация о процедурах исполнения государственной функции, полученная в территориальных органах Росприроднадзора, не удовлетворяет заявителей, то они по телефону или в письменном виде обращаются в центральный аппарат Росприроднадзора.

9. Основными требованиями к информированию заявителей являются:

1) достоверность предоставляемой информации;

2) четкость в изложении информации;

3) полнота информирования;

4) наглядность форм предоставляемой информации (при письменном информировании);

5) удобство и доступность получения информации;

6) оперативность предоставления информации.

10. Информирование заявителей организуется следующим образом:

1) индивидуальное информирование;

2) публичное информирование.

11. Информирование проводится в форме:

1) устного информирования;

2) письменного информирования.

12. Индивидуальное устное информирование осуществляется подразделениями при обращении заявителей за информацией лично или по телефону.

Специалист подразделения, осуществляющий индивидуальное устное информирование, принимает все необходимые меры для предоставления полного и оперативного ответа на поставленные вопросы, в том числе с привлечением других сотрудников. Время ожидания заявителя при индивидуальном устном информировании не может превышать 30 минут.

Индивидуальное устное информирование каждого заявителя специалист из подразделения осуществляет не более 10 минут.

Если для подготовки ответа требуется продолжительное время, специалист, осуществляющий индивидуальное устное информирование, может предложить заявителям обратиться за необходимой информацией в письменном виде.

Для обеспечения индивидуального устного информирования выделяются отдельные специалисты подразделения.

13. Индивидуальное письменное информирование осуществляется путем направления ответов почтовым отправлением или посредством официальных сайтов.

Руководитель территориального органа Росприроднадзора или уполномоченное им должностное лицо, либо должностное лицо центрального аппарата Росприроднадзора в соответствии со своей компетенцией определяет непосредственного исполнителя для подготовки ответа.

Ответ на обращение заявителя предоставляется в простой, четкой и понятной форме с указанием должности, фамилии, имени, отчества, номера телефона исполнителя.

Ответ направляется в письменном виде, электронной почтой либо через официальные сайты в зависимости от способа обращения заявителя за информацией или способа доставки ответа, указанного в письменном обращении заявителя.

Ответ на обращение гражданина, поступившее по информационным системам общего пользования, направляется по почтовому адресу, указанному в обращении.

Письменные обращения граждан, юридических лиц и индивидуальных предпринимателей рассматриваются в течение 30 дней со дня их регистрации. Руководителем Росприроднадзора, руководителями территориальных органов Росприроднадзора, их заместителями, начальниками подразделений могут устанавливаться сокращенные сроки рассмотрения обращений граждан, юридических лиц и индивидуальных предпринимателей.

Если для рассмотрения обращения граждан необходимо проведение выездной проверки, истребование дополнительных материалов либо принятие иных мер, указанный срок может быть продлен руководителем (заместителем руководителя) Росприроднадзора, руководителем (заместителем руководителя) территориального органа Росприроднадзора. Максимальный срок, на который может быть продлено рассмотрение обращения граждан, юридических лиц и индивидуальных предпринимателей, составляет не более чем 30 дней.

14. Публичное устное информирование осуществляется посредством привлечения средств массовой информации - радио, телевидения. Выступления специалистов подразделений по местному радио и телевидению согласовываются с руководителем территориального органа Росприроднадзора.

15. Публичное письменное информирование осуществляется путем публикации информационных материалов в средствах массовой информации, включая официальные сайты Росприроднадзора, а также официальные сайты федеральных государственных унитарных предприятий и федеральных государственных учреждений, подведомственных Росприроднадзору, в сети Интернет. Информирование путем публикации информационных материалов на официальных сайтах территориальных органов Росприроднадзора, в средствах массовой информации регионального уровня осуществляется территориальными органами Росприроднадзора. Территориальные органы Росприроднадзора направляют в свои подразделения готовые материалы для местных средств массовой информации и контролируют их размещение.

16. Официальные сайты должны содержать:

1) перечень предоставляемых юридическими лицами и индивидуальными предпринимателями документов (при необходимости их предоставления);

2) перечень типовых, наиболее часто задаваемых заявителями вопросов, и ответы на них (связанные с осуществлением государственного контроля и надзора в области охраны окружающей среды и атмосферного воздуха).

17. На стендах с организационно-распорядительной информацией размещается следующая обязательная информация:

1) режим работы подразделений, исполняющих государственную функцию;

2) номера кабинетов, где проводятся прием и информирование заявителей, фамилии, имена, отчества и должности специалистов, осуществляющих прием и информирование заявителей;

3) адреса официальных сайтов;

4) номера телефонов, адреса электронной почты управления и подразделения;

5) перечень документов, которые могут быть предъявлены заявителями в качестве удостоверяющих личность.

Тексты информационных материалов печатаются удобным для чтения шрифтом (размер шрифта не менее N 18), без исправлений, наиболее важные места выделяются другим шрифтом. В случае оформления информационных материалов в виде брошюр, требования к размеру шрифта могут быть снижены.

18. Обязанности должностных лиц при ответе на телефонные звонки, устные и письменные обращения заявителей, требования к форме и характеру взаимодействия должностных лиц с заявителями.

При ответе на телефонные звонки сотрудник, осуществляющий прием и информирование, сняв трубку, должен назвать фамилию, имя, отчество, занимаемую должность и наименование подразделения Росприроднадзора или его территориального органа. Во время разговора необходимо произносить слова четко, избегать "параллельных разговоров" с окружающими людьми и не прерывать разговор по причине поступления звонка на другой аппарат. В конце информирования специалист, осуществляющий прием и информирование, должен кратко подвести итоги и перечислить меры, которые надо принять (кто именно, когда и что должен сделать).

При устном обращении заявителей (по телефону или лично) специалисты, осуществляющие прием и информирование, дают ответ самостоятельно. Если специалист, к которому обратился заявитель, не может ответить на вопрос самостоятельно, то он может предложить обратиться письменно.

Ответы на письменные обращения направляются в письменном виде и должны содержать: ответы на поставленные вопросы, фамилию, инициалы и номер телефона исполнителя. Ответ подписывается руководителем, заместителем руководителя или уполномоченным лицом центрального аппарата Росприроднадзора или его территориального органа.

Специалисты, осуществляющие прием и информирование (по телефону или лично), должны корректно и внимательно относиться к заявителям, не унижая их чести и достоинства. Информирование должно проводиться без больших пауз, лишних слов, оборотов и эмоций.

Специалисты, осуществляющие прием и информирование, не вправе осуществлять консультирование заявителей, выходящее за рамки информирования о стандартных процедурах и условиях исполнения государственной функции и влияющее прямо или косвенно на индивидуальные решения заявителей.

Требования к удобству и комфорту мест приема заявителей

19. Организация приема заявителей осуществляется ежедневно в течение всего рабочего времени в соответствии с графиком, приведенным в пункте 7 настоящего Административного регламента.

20. Для организации ежедневного приема используется принцип сменности. Начальник подразделения в зависимости от ситуации перераспределяет в течение дня специалистов, осуществляющих прием заявителей. Специалисты, осуществляющие прием и информирование, обеспечиваются личными идентификационными карточками и (или) настольными табличками.

21. В помещениях для работы с заявителями размещаются информационные стенды.

22. Для ожидания приема заявителям отводятся места, оборудованные стульями, столами (стойками) для возможности оформления документов.

23. Помещение должно быть оборудовано в соответствии с санитарными правилами и нормами*.

24. Подразделениями должны быть созданы условия для обслуживания инвалидов: помещения оборудованы пандусами, специальными ограждениями и перилами, обеспечены беспрепятственное передвижение и разворот инвалидных колясок, размещение столов для инвалидов в стороне от входа с учетом беспрепятственного подъезда и поворота колясок.

Помещения для исполнения государственной функции размещаются на нижних этажах зданий, оборудованных отдельным входом, или в отдельно стоящих зданиях. На территории, прилегающей к месторасположению зданий Росприроднадзора, оборудуются места для парковки автотранспортных средств.

25. Образцы документов (бланков), используемых при осуществлении государственной функции, установлены в приложениях NN 3 - 9 к настоящему Административному регламенту.

Сроки исполнения государственной функции

Приказом Минприроды России от 3 сентября 2009 г. N 280 пункт 26 настоящего приложения изложен в новой редакции

26. Продолжительность проверки не должна превышать двадцать рабочих дней.

В отношении одного субъекта малого предпринимательства общий срок проведения плановой выездной проверки не может превышать пятьдесят часов для малого предприятия и пятнадцать часов для микропредприятия в год.

В исключительных случаях, связанных с необходимостью проведения сложных и (или) длительных исследований, испытаний, специальных экспертиз и расследований на основании мотивированных предложений должностных лиц Росприроднадзора, проводящих выездную плановую проверку, срок проведения выездной плановой проверки может быть продлен руководителем Росприроднадзора или руководителем территориального органа Росприроднадзора, но не более чем на двадцать рабочих дней, в отношении малых предприятий, микропредприятий не более чем на пятнадцать часов.

Результаты сложных и (или) длительных исследований, испытаний, специальных экспертиз и расследований уполномоченных органов государственной власти должностное лицо, ответственное за проведение проверки, может получить после письменного обращения в адрес руководства соответствующего уполномоченного органа государственной власти, подписанного руководителем Росприроднадзора (его заместителем) или руководителем территориального органа Росприроднадзора (его заместителем) в случае обращения территориального органа Росприроднадзора в уполномоченный территориальный орган государственной власти.

Результаты специальных исследований уполномоченных органов государственной власти приобщаются к акту проверки.

27. Протокол об административном правонарушении составляется должностным лицом Росприроднадзора или его территориального органа немедленно после выявления совершения административного правонарушения.

28. Если требуется дополнительное выяснение обстоятельств дела, либо сведений о юридическом лице или индивидуальном предпринимателе, в отношении которых возбуждается дело об административном правонарушении, должностное лицо Росприроднадзора или его территориального органа составляет протокол об административном правонарушении в течение двух суток с момента выявления административного правонарушения.

29. Постановление по делу об административном правонарушении не может быть вынесено по истечении двух месяцев со дня совершения административного правонарушения. При длящемся административном правонарушении указанный срок начинает исчисляться со дня обнаружения административного правонарушения.

30. Жалоба на постановление по делу об административном правонарушении рассматривается должностным лицом, уполномоченным на ее рассмотрение, в течение 10 рабочих дней со дня ее поступления со всеми материалами дела в Росприроднадзор или его территориальный орган.

31. Для данной государственной функции отсутствуют основания для приостановления ее исполнения.

Должностные лица, ответственные за исполнение государственной функции

32. Перечень должностных лиц Росприроднадзора, осуществляющих федеральный государственный экологический контроль и являющихся федеральными государственными инспекторами в области охраны окружающей среды, определяется в соответствии с постановлением Правительства Российской Федерации от 25 сентября 2008 г. N 716 "О должностных лицах Федеральной службы по надзору в сфере природопользования и ее территориальных органов, осуществляющих федеральный государственный экологический контроль (федеральных государственных инспекторах в области охраны окружающей среды)".

Приказом Минприроды России от 3 сентября 2009 г. N 280 в пункт 33 настоящего приложения внесены изменения

33. Должностные лица Федеральной службы по надзору в сфере природопользования и ее территориальных органов, являющиеся государственными инспекторами по охране природы и осуществляющие федеральный государственный экологический контроль осуществляют государственный контроль за деятельностью в области охраны атмосферного воздуха в соответствии с настоящим Административным регламентом, Регламентом Федеральной службы по надзору в сфере природопользования, утвержденным приказом Федеральной службы по надзору в сфере природопользования от 29 июня 2007 г. N 191 (Зарегистрировано в Минюсте России 12 июля 2007 г. регистрационный N 9824) и в соответствии с законодательством Российской Федерации.

34. Должностные лица Росприроднадзора и его территориальных органов при исполнении своих должностных обязанностей в пределах своих полномочий имеют право в установленном порядке:

1) посещать в целях проверки организации, объекты хозяйственной и иной деятельности независимо от форм собственности, в том числе объекты, подлежащие государственной охране, оборонные объекты, объекты гражданской обороны, знакомиться с документами и иными необходимыми для осуществления государственного контроля в области охраны атмосферного воздуха материалами;

2) проверять:

соблюдение стандартов, нормативов, правил и иных требований охраны атмосферного воздуха, в том числе проведение производственного контроля за охраной атмосферного воздуха, а также установленных нормативов выбросов вредных (загрязняющих) веществ в атмосферный воздух и временно согласованных выбросов, предельно допустимых нормативов вредных физических воздействий на атмосферный воздух и других условий, установленных разрешениями на выбросы вредных (загрязняющих) веществ в атмосферный воздух и на вредные физические воздействия на него; выполнение программ и мероприятий по охране атмосферного воздуха;

осуществление мер в соответствии с международными обязательствами Российской Федерации по охране атмосферного воздуха;

выполнение заключений государственной экологической экспертизы;

соблюдение требований, норм и правил в области охраны атмосферного воздуха при размещении, эксплуатации и выводе из эксплуатации производственных и других объектов;

проведение инвентаризации выбросов вредных (загрязняющих) веществ в атмосферный воздух, разработки и утверждения нормативов предельно допустимых выбросов и предельно допустимых нормативов вредных физических воздействий на атмосферный воздух;

внедрение малоотходных и безотходных технологий в целях снижения уровня загрязнения атмосферного воздуха;

полноту и эффективность выполнения организационно-технических и технологических мероприятий по улавливанию, утилизации, обезвреживанию выбросов загрязняющих веществ в атмосферный воздух, с целью сокращения до установленных нормативов выбросов загрязняющих веществ, или исключению таких выбросов;

осуществление мероприятий по предупреждению и устранению аварийных выбросов вредных (загрязняющих) веществ в атмосферный воздух, а также по ликвидации последствий его загрязнения;

осуществление учета вредных воздействий на атмосферный воздух и их источников, в том числе состояние ведения учета в области охраны атмосферного воздуха по установленным формам;

своевременность, достоверность и полноту предоставления государственной статистической отчетности по установленным формам;

наличие и эффективность функционирования предусмотренных правилами охраны атмосферного воздуха сооружений, установок, оборудования, предназначенных для очистки и контроля выбросов загрязняющих веществ в атмосферный воздух, а также контроля за соблюдением установленных правил их эксплуатации;

обеспечение своевременного вывоза загрязняющих атмосферный воздух отходов с территорий объектов хозяйственной и иной деятельности на специализированные места складирования или захоронения таких отходов, а также на другие объекты хозяйственной и иной деятельности, использующие такие отходы в качестве сырья;

выполнение предписаний государственных инспекторов по охране природы, осуществляющих государственный контроль за охраной атмосферного воздуха, об устранении нарушений требований законодательства Российской Федерации в области охраны атмосферного воздуха;

выполнение и эффективность мероприятий по уменьшению выбросов вредных (загрязняющих) веществ в атмосферный воздух при неблагоприятных метеорологических условиях;

соответствие новых технологий, техники, материалов, веществ и другой продукции, а также технологического оборудования и других технических средств установленным требованиям охраны атмосферного воздуха;

наличие и сроки действия выданных в установленном порядке сертификатов, подтверждающих соответствие топлива требованиям охраны атмосферного воздуха;

наличие выданных в установленном порядке сертификатов, подтверждающих соответствие содержания вредных (загрязняющих) веществ в выбросах технических, технологических установок, двигателей, транспортных и иных передвижных средств и установок техническим нормативам выбросов;

организацию и проведение производственного контроля за охраной атмосферного воздуха, в том числе аналитического (инструментального) контроля, и наличие лиц, ответственных за его проведение;

соблюдение иных требований законодательства Российской Федерации в области охраны атмосферного воздуха.

3) предъявлять требования и выдавать предписания юридическим и физическим лицам об устранении нарушения законодательства в области охраны атмосферного воздуха и нарушений требований законодательства, выявленных при осуществлении государственного контроля в области охраны атмосферного воздуха;

4) привлекать к административной ответственности лиц, допустивших нарушение законодательства в области охраны атмосферного воздуха;

5) осуществлять иные, определенные законодательством Российской Федерации полномочия.

35. Должностные лица Росприроднадзора и его территориальных органов обязаны:

предупреждать, выявлять и пресекать нарушения законодательства в области охраны атмосферного воздуха;

разъяснять нарушителям законодательство в области охраны атмосферного воздуха, а также их права и обязанности;

соблюдать требования законодательства.

36. Государственный контроль и надзор за соблюдением требований законодательства Российской Федерации в области охраны атмосферного воздуха осуществляется в форме проверок выполнения юридическими лицами или индивидуальными предпринимателями обязательных экологических требований, установленных федеральными законами и принимаемыми в соответствии с ними иными нормативными правовыми актами (далее - обязательные требования), в установленной сфере деятельности.

37. Государственный контроль и надзор в области охраны атмосферного воздуха проводится в целях обеспечения органами государственной власти Российской Федерации, органами государственной власти субъектов Российской Федерации, органами местного самоуправления, юридическими и физическими лицами исполнения законодательства в области охраны атмосферного воздуха, соблюдения требований, в том числе нормативов и нормативных документов, в области охраны атмосферного воздуха.

38. Росприроднадзор и его территориальные органы осуществляют контроль за соблюдением требований законодательства Российской Федерации в области охраны окружающей среды, в том числе охраны атмосферного воздуха, на объектах, подлежащих федеральному государственному экологическому контролю:

III. Административные процедуры

Последовательность действий при исполнении государственной функции

39. Блок-схема исполнения государственной функции приводится в приложении 2 к настоящему Административному регламенту.

40. Государственная функция осуществляется в следующей последовательности:

1) планирование проверок;

2) подготовка к проведению проверки;

3) проведение проверки и оформление ее результатов;

4) рассмотрение дела об административном правонарушении;

5) пересмотр постановлений по делам об административных правонарушениях;

6) исполнение постановления о назначении административного наказания;

7) контроль за устранением нарушений законодательства в области охраны атмосферного воздуха.

Планирование проверок

Приказом Минприроды России от 3 сентября 2009 г. N 280 в пункт 41 настоящего приложения внесены изменения

41. Юридическими фактами, являющимися основаниями для осуществления проверок, являются:

1) планы контрольно-надзорной деятельности центрального аппарата Росприроднадзора, утвержденные приказами Росприроднадзора;

планы контрольно-надзорной деятельности департаментов Росприроднадзора, утвержденные приказами Росприроднадзора;

планы контрольно-надзорной деятельности территориальных управлений Росприроднадзора, утвержденные приказами Росприроднадзора по согласованию с департаментами Росприроднадзора;

2) жалобы и обращения физических и юридических лиц по вопросам нарушения законодательства в области охраны атмосферного воздуха;

3) обращения органов государственной власти и органов местного самоуправления по вопросам нарушения законодательства в области охраны атмосферного воздуха;

4) акты судебных органов.

Проверка является плановой, если она проводится на основании плана контрольно-надзорной деятельности Росприроднадзора или его территориальных органов. Проверка является внеплановой, если она проводится на основании юридических фактов, указанных в настоящем пункте, и не включена в план проверок.

В отношении одного юридического лица или индивидуального предпринимателя плановая проверка проводится не чаще чем один раз в три года.

Ежегодные планы контрольно-надзорной деятельности территориальных органов Росприроднадзора формируются в каждом территориальном органе Росприроднадзора и утверждаются приказами Росприроднадзора по согласованию с департаментами по соответствующему федеральному округу.

Основанием для проведения внеплановой проверки является:

истечение срока исполнения юридическим лицом или индивидуальным предпринимателем ранее выданного предписания об устранении выявленного нарушения обязательных требований;

поступление в Росприроднадзор или его территориальные органы, обращений и заявлений граждан, юридических лиц, индивидуальных предпринимателей, информации от органов государственной власти, органов местного самоуправления, из средств массовой информации о следующих фактах:

а) возникновение угрозы причинения вреда жизни, здоровью граждан, вреда животным, растениям, окружающей среде, безопасности государства, а также угрозы чрезвычайных ситуаций природного и техногенного характера;

б) причинение вреда жизни, здоровью граждан, вреда животным, растениям, окружающей среде, безопасности государства, а также возникновение чрезвычайных ситуаций природного и техногенного характера;

в) нарушение прав потребителей (в случае обращения граждан, права которых нарушены).

Обращения, не позволяющие установить лицо, обратившееся в орган государственного контроля (надзора), не могут служить основанием для проведения внепланового мероприятия по контролю**.

42. С учетом планов контрольно-надзорной деятельности территориальных органов Росприроднадзора в каждом департаменте Росприроднадзора (по федеральным округам) составляются и утверждаются приказами Росприроднадзора планы контрольно-надзорной деятельности по департаментам Росприроднадзора.

43. С учетом планов контрольно-надзорной деятельности департаментов Росприроднадзора составляется план контрольно-надзорной деятельности центрального аппарата Росприроднадзора.

Планы контрольно-надзорной деятельности Росприроднадзора и его территориальных органов в течение 10 рабочих дней с момента утверждения размещаются на официальном сайте Росприроднадзора.

Приказом Минприроды России от 3 сентября 2009 г. N 280 пункт 44 настоящего приложения изложен в новой редакции

44. Ограничением для включения в план проведения мероприятий по контролю является проведение мероприятия по контролю в отношении одного юридического лица или индивидуального предпринимателя в течение последних трех лет (часть 2 статьи 9 Федерального закона от 26 декабря 2008 г. N 294-ФЗ "О защите прав юридических лиц и индивидуальных предпринимателей при осуществлении государственного контроля (надзора) и муниципального контроля".

45. На основании мотивированного обращения территориального органа Росприроднадзора, связанного с невозможностью проведения планового мероприятия по контролю в установленные сроки, допускается внесение изменений в установленные сроки проведения мероприятия по контролю, предусмотренных в годовом плане проведения мероприятий по контролю Росприроднадзора и его территориальных органов.

В план проведения мероприятий по контролю Росприроднадзора и его территориальных органов могут вноситься изменения на следующих основаниях:

создание новых и ликвидация действующих юридических лиц и индивидуальных предпринимателей;

неблагоприятные природные (погодные) условия, действие непреодолимой силы.

В планы проведения территориальными органами Росприроднадзора мероприятий по контролю изменения вносятся приказами департаментов Росприроднадзора в соответствующем федеральном округе.

В планы проведения департаментами Росприроднадзора в соответствующем федеральном округе мероприятий по контролю изменения вносятся приказом Росприроднадзора.

46. В план проведения Росприроднадзором мероприятий по контролю изменения вносятся приказом центрального аппарата Росприроднадзора.

Приказом Минприроды России от 3 сентября 2009 г. N 280 пункт 47 настоящего приложения изложен в новой редакции

47. В ежегодных планах проведения плановых проверок указываются следующие сведения:

наименования юридических лиц, фамилии, имена, отчества индивидуальных предпринимателей, деятельность которых подлежит плановым проверкам;

цель и основание проведения каждой плановой проверки;

дата и сроки проведения каждой плановой проверки;

наименование территориального органа Росприроднадзора, осуществляющего плановое мероприятие по контролю, и наименование структурного подразделения центрального аппарата Росприроднадзора в случае, если проводится совместная проверка.

48. Результатом административного действия являются:

утверждение плана контрольно-надзорной деятельности центрального аппарата Росприроднадзора;

утверждение планов контрольно-надзорной деятельности департаментов Росприроднадзора по федеральным округам;

утверждение планов контрольно-надзорной деятельности территориальных управлений Росприроднадзора.

49. Способ фиксации результатов выполнения административного действия:

размещение плана контрольно-надзорной деятельности центрального аппарата Росприроднадзора на официальном сайте;

размещение планов контрольно-надзорной деятельности департаментов Росприроднадзора по федеральным округам на официальном сайте (при наличии);

размещение планов контрольно-надзорной деятельности территориальных управлений Росприроднадзора на официальном сайте (при наличии).

50. Планы проверок, предусмотренные планом контрольно-надзорных мероприятий Федеральной службы по надзору в сфере природопользования, утверждаются Руководителем Росприроднадзора ежегодно, не позднее 15 рабочих дней до начала планируемого периода с внесением в них изменений по состоянию на второе полугодие.

Сроки выполнения мероприятий в годовых планах указываются по кварталам.

Подготовка к проведению проверки соблюдения законодательства в области охраны атмосферного воздуха

51. Юридическими фактами, являющимися основанием для подготовки к проведению проверки, являются:

1) планы проведения проверок;

Приказом Минприроды России от 3 сентября 2009 г. N 280 подпункт 2 пункта 51 настоящего приложения изложен в новой редакции

2) поступление в Росприроднадзор или его территориальные органы, обращений и заявлений граждан, юридических лиц, индивидуальных предпринимателей, информации от органов государственной власти, органов местного самоуправления, из средств массовой информации о фактах, указанных в абзацах 13 - 15 пункта 41 настоящего Административного регламента".

Приказом Минприроды России от 3 сентября 2009 г. N 280 в пункт 52 настоящего приложения внесены изменения

52. При подготовке к проведению проверки выносится распоряжение или приказ о проведении проверки (Приложение 3).

Приказом Минприроды России от 3 сентября 2009 г. N 280 в пункт 53 настоящего приложения внесены изменения

53. Распоряжение или приказ о проведении проверки подписывается Руководителем Росприроднадзора, либо руководителями его территориального органа в установленном законодательством Российской Федерации порядке.

Приказом Минприроды России от 3 сентября 2009 г. N 280 пункт 54 настоящего приложения изложен в новой редакции

54. В распоряжении или приказе указываются:

1) наименование органа государственного контроля (надзора);

2) фамилии, имена, отчества, должности должностного лица или должностных лиц, уполномоченных на проведение проверки, а также привлекаемых к проведению проверки экспертов, представителей экспертных организаций;

3) наименование юридического лица или фамилия, имя, отчество индивидуального предпринимателя, проверка которых проводится;

4) цели, задачи, предмет проверки и срок ее проведения;

5) правовые основания проведения проверки, в том числе подлежащие проверке обязательные требования;

6) сроки проведения и перечень мероприятий по контролю, необходимых для достижения целей и задач проведения проверки;

7) перечень административных регламентов проведения мероприятий по контролю;

8) перечень документов, представление которых юридическим лицом или индивидуальным предпринимателем необходимо для достижения целей и задач проведения проверки;

9) даты начала и окончания проведения проверки;

10) техническое задание на проведение проверки.

55. При поступлении документов и иных доказательств о нарушении законодательства в области охраны атмосферного воздуха в центральный аппарат Росприроднадзора, ответственный сотрудник Управления экологического контроля готовит поручение в соответствующий территориальный орган, которое подписывает Руководитель Росприроднадзора.

56. Территориальные органы Росприроднадзора при получении поручения (указанного в пункте 55 настоящего Административного регламента) от Управления экологического контроля в течение 3 рабочих дней организуют проведение проверки соблюдения требований законодательства в области охраны окружающей среды и атмосферного воздуха в соответствии с настоящим разделом Административного регламента.

57. После проведения проверки должностное лицо Росприроднадзора или его территориального органа в срок до даты, установленной в поручении (указанного в пункте 55 настоящего Административного регламента) направляет в Управление экологического контроля Росприроднадзора уведомление о результатах проверки.

Порядок проведения проверки и оформления ее результатов

Приказом Минприроды России от 3 сентября 2009 г. N 280 в пункт 58 настоящего приложения внесены изменения

58. Юридическим фактом, являющимся основанием для начала проверки, является распоряжение или приказ о проведении проверки.

Приказом Минприроды России от 3 сентября 2009 г. N 280 в пункт 59 настоящего приложения внесены изменения

59. Проверка осуществляется должностным лицом Росприроднадзора или его территориального органа, указанным в распоряжении или приказе, с соблюдением при проведении проверки в отношении юридических, лиц и индивидуальных предпринимателей требований Федерального закона от 26.12.2008 г. N 294-ФЗ "О защите прав юридических лиц и индивидуальных предпринимателей при осуществлении государственного контроля (надзора) и муниципального контроля".

Проверка проводится в сроки, указанные в распоряжении или приказе о проведении проверки.

Приказом Минприроды России от 3 сентября 2009 г. N 280 пункт 60 настоящего приложения изложен в новой редакции

60. Заверенная печатью копия распоряжения или приказа руководителя Росприроднадзора (его заместителя), руководителя территориального органа Росприроднадзора (его заместителя) вручаются под роспись должностными лицами Росприроднадзора или его территориальных органов, проводящими проверку, руководителю, иному должностному лицу или уполномоченному представителю юридического лица (индивидуального предпринимателя) одновременно с предъявлением служебных удостоверений.

По требованию подлежащих проверке лиц должностные лица Росприроднадзора или его территориальных органов обязаны представить информацию об этих органах в целях подтверждения своих полномочий.

Приказом Минприроды России от 3 сентября 2009 г. N 280 в пункт 61 настоящего приложения внесены изменения

61. По результатам проведенной проверки составляется акт проверки соблюдения юридическим лицом или индивидуальным предпринимателем законодательства в области охраны атмосферного воздуха (далее - акт) в двух экземплярах (Приложение 4).

В акте проверки указываются:

дата, время и место составления акта проверки;

наименование органа государственного контроля (надзора);

дата и номер распоряжения или приказа руководителя Росприроднадзора (его заместителя), руководителя территориального органа Росприроднадзора (его заместителя);

фамилии, имена, отчества и должности должностного лица или должностных лиц, проводивших проверку;

наименование проверяемого юридического лица или фамилия, имя и отчество индивидуального предпринимателя, а также фамилия, имя, отчество и должность руководителя, иного должностного лица или уполномоченного представителя юридического лица, уполномоченного представителя индивидуального предпринимателя, присутствовавших при проведении проверки;

дата, время, продолжительность и место проведения проверки;

сведения о результатах проверки, в том числе о выявленных нарушениях обязательных требований, об их характере и о лицах, допустивших указанные нарушения;

сведения об ознакомлении или отказе в ознакомлении с актом проверки руководителя, иного должностного лица или уполномоченного представителя юридического лица или индивидуального предпринимателя, присутствовавших при проведении проверки, о наличии их подписей или об отказе от совершения подписи, а также сведения о внесении в журнал учета проверок записи о проведенной проверке либо о невозможности внесения такой записи в связи с отсутствием у юридического лица или индивидуального предпринимателя указанного журнала;

подписи должностного лица или должностных лиц, проводивших проверку.

К акту прилагаются акты об отборе образцов (проб) продукции, обследовании объектов окружающей среды, протоколы (заключения) проведенных исследований (испытаний) и экспертиз, объяснения должностных лиц органов государственного контроля (надзора), работников, на которых возлагается ответственность за нарушения обязательных требований, и другие документы или их копий, связанные с результатами мероприятия по контролю.

Проводимые в ходе проверки аналитические (инструментальные) измерения выбросов загрязняющих веществ от источников объекта проверки, состава атмосферного воздуха, содержания в атмосферном воздухе загрязняющих веществ, включают отбор проб и выполнение анализов и осуществляются с целью проверки результатов инвентаризации выбросов загрязняющих веществ в атмосферный воздух и их источников и соответствия количественных и качественных характеристик выделений и выбросов загрязняющих веществ их значениям, указанным в нормативах предельно допустимых выбросов (временно согласованных выбросов) и в разрешении на выброс загрязняющих веществ, а также состояния атмосферного воздуха.

В акте проверки делается запись о наличии или отсутствии нарушений законодательства в области охраны атмосферного воздуха юридическим лицом или индивидуальным предпринимателем.

Должностное лицо Росприроднадзора или его территориального органа к акту прилагает объяснения лиц, на которых налагается ответственность за совершение нарушений, и другие документы или их копии, имеющие отношение к проверке.

62. Должностное лицо Росприроднадзора или его территориального органа один экземпляр акта с копиями приложений вручает лицу, в отношении которого проводилась проверка, под расписку или направляет посредством почтовой связи с уведомлением о вручении, которое приобщает вместе с экземпляром акта к материалам проверки.

Приказом Минприроды России от 3 сентября 2009 г. N 280 в пункт 63 настоящего приложения внесены изменения

63. Протокол об административном правонарушении (Приложение N 5) составляется должностным лицом Росприроднадзора или его территориального органа в случае выявления в результате проверки административного правонарушения, предусмотренного Кодексом Российской Федерации об административных правонарушениях:

статьей 8.5. - сокрытие или искажение экологической информации;

статьей 8.4. - нарушение законодательства об экологической экспертизе;

статьей 8.21. - нарушение правил охраны атмосферного воздуха;

статьей 17.7. - невыполнение законных требований прокурора, следователя, дознавателя или должностного лица, осуществляющего производство по делу об административном правонарушении;

статьей 17.9. Кодекса Российской Федерации об административных правонарушениях (заведомо ложные показание свидетеля, пояснение специалиста, заключение эксперта или заведомо неправильный перевод;

частью 1 статьи 19.4. - неповиновение законному распоряжению должностного лица органа, осуществляющего государственный надзор (контроль);

частью 1 статьи 19.5. - невыполнение в срок законного предписания (постановления, представления, решения) органа (должностного лица), осуществляющего государственный надзор (контроль);

статьей 19.6. - непринятие мер по устранению причин и условий, способствовавших совершению административного правонарушения;

статьей 19.7. - непредставление сведений (информации).

64. Дело об административном правонарушении считается возбужденным с момента:

1) составления протокола осмотра места совершения административного правонарушения;

2) составления первого протокола о применении мер обеспечения производства по делу об административном правонарушении, предусмотренных статьей 27.1 Кодекса Российской Федерации об административных правонарушениях;

3) составления протокола об административном правонарушении или вынесения прокурором постановления о возбуждении дела об административном правонарушении;

4) вынесения определения о возбуждении дела об административном правонарушении при необходимости проведения административного расследования, предусмотренного статьей 28.7 Кодекса Российской Федерации об административных правонарушениях;

5) оформления предупреждения или с момента наложения административного штрафа на месте совершения административного правонарушения в случае, если в соответствии с частью 1 статьи 28.6 Кодекса Российской Федерации об административных правонарушениях протокол об административном правонарушении не составляется;

6) вынесения постановления по делу об административном правонарушении в случае, предусмотренном частью 3 статьи 28.6 Кодекса Российской Федерации об административных правонарушениях.

65. В соответствии с Кодексом Российской Федерации об административных правонарушениях в протоколе об административном правонарушении указываются:

1) дата и место его составления;

2) должность, фамилия и инициалы лица, составившего протокол об административном правонарушении;

3) сведения о лице, в отношении которого возбуждено дело об административном правонарушении;

4) фамилии, имена, отчества, адреса мест жительства свидетелей и потерпевших, если имеются свидетели и потерпевшие;

5) место, время совершения и событие административного правонарушения;

6) статья Кодекса Российской Федерации об административных правонарушениях, предусматривающая административную ответственность за данное административное правонарушение;

7) объяснение индивидуального предпринимателя или законного представителя юридического лица, в отношении которых возбуждено дело;

8) иные сведения, необходимые для разрешения дела.

66. При составлении протокола об административном правонарушении должностное лицо Росприроднадзора или его территориального управления разъясняет индивидуальному предпринимателю или законному представителю юридического лица, в отношении которых возбуждено дело об административном правонарушении, а также иным участникам производства по делу их права и обязанности, предусмотренные Кодексом Российской Федерации об административных правонарушениях, о чем делает запись в протоколе об административном правонарушении.

67. Должностное лицо Росприроднадзора или его территориального органа предоставляет возможность ознакомления с протоколом об административном правонарушении индивидуальному предпринимателю или законному представителю юридического лица, в отношении которых возбуждено дело об административном правонарушении. Указанные лица вправе представить объяснения и замечания по содержанию протокола об административном правонарушении, которые должностное лицо Росприроднадзора или его территориального органа прилагает к протоколу об административном правонарушении.

Протокол об административном правонарушении может быть составлен в отсутствие лица, в отношении которого возбуждается дело об административном правонарушении, если этому лицу было надлежащим образом сообщено о времени и месте его составления, но оно не явилось в назначенный срок и не уведомило о причинах неявки или причины неявки были признаны неуважительными***).

68. Должностное лицо Росприроднадзора или его территориального органа подписывает протокол об административном правонарушении и предоставляет возможность для его подписания индивидуальным предпринимателем или законным представителем юридического лица, в отношении которых возбуждено дело об административном правонарушении.

69. В случае отказа индивидуального предпринимателя или законного представителя юридического лица от подписания протокола об административном правонарушении либо их неявки для его составления должностное лицо Росприроднадзора или его территориального органа делает соответствующую запись в протоколе об административном правонарушении.

70. Должностное лицо Росприроднадзора или его территориального органа вручает копии протокола об административном правонарушении под расписку либо направляет их в течение трех суток со дня его составления индивидуальному предпринимателю или законному представителю юридического лица, в отношении которых возбуждено дело об административном правонарушении, а также потерпевшему.

71. В соответствии с требованиями главы 2 Кодекса Российской Федерации об административных правонарушениях при обнаружении признаков состава административного правонарушения со стороны должностного лица юридического лица к административной ответственности, помимо виновного должностного лица, должностное лицо Росприроднадзора или его территориального управления привлекает и виновное юридическое лицо.

72. Дела об административных правонарушениях, предусмотренных ст. 8.21. Кодекса Российской Федерации об административных правонарушениях (нарушение правил охраны атмосферного воздуха), рассматривают должностные лица, указанные в пунктах 32-38 настоящего Административного регламента.

73. Протокол об административном правонарушении, предусмотренном ст. 8.21. Кодекса Российской Федерации об административных правонарушениях (нарушение правил охраны атмосферного воздуха), совместно с материалами, полученными при проведении проверки, должностным лицом Росприроднадзора или его территориального органа в административное дело, которое в течение 3 рабочих дней с момента составления протокола об административном правонарушении передается для рассмотрения должностным лицам, указанным в пунктах 32-38 настоящего Административного регламента.

74. В случае выявления признаков преступления должностное лицо Росприроднадзора или его территориального органа в течение 3 рабочих дней с момента составления протокола об административном правонарушении передает материалы, указывающие на его наличие, в правоохранительные органы.

75. Процедура подготовки к рассмотрению дела об административном правонарушении осуществляется в соответствии с требованиями главы 29 Кодекса Российской Федерации об административных правонарушениях.

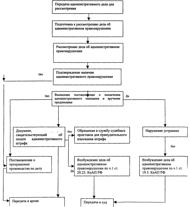
Рассмотрение дела об административном правонарушении

76. Дело об административном правонарушении рассматривается по месту его совершения.

77. По результатам рассмотрения дела об административном правонарушении должностное лицо Росприроднадзора или его территориального органа выносит постановление:

1) о назначении административного наказания (Приложение 6);

2) о прекращении производства по делу об административном правонарушении (Приложение N 8).

Постановление о назначении административного наказания выносится в случае признания лица виновным в совершении правонарушений, указанных в пункте 63 настоящего Административного регламента.

Должностное лицо Росприроднадзора или его территориального управления выносит постановление о прекращении производства по делу об административном правонарушении в случаях:

1) отсутствия события административного правонарушения;

2) действия лица в состоянии крайней необходимости;

3) издания акта амнистии, если такой акт устраняет применение административного наказания;

4) отмены закона, установившего административную ответственность;

5) истечения сроков давности привлечения к административной ответственности;

6) наличия по одному и тому же факту совершения противоправных действий (бездействия) лицом, в отношении которого ведется производство по делу об административном правонарушении, постановления о назначении административного наказания, либо постановления о прекращении производства по делу об административном правонарушении, либо постановления о возбуждении уголовного дела;

78. В постановлении по делу об административном правонарушении указывается (Приложение N 5):

1) должность, фамилия, имя, отчество должностного лица, вынесшего постановление;

2) дата и место рассмотрения дела;

3) сведения о лице, в отношении которого рассмотрено дело;

4) обстоятельства, установленные при рассмотрении дела;

5) статья Кодекса Российской Федерации об административных правонарушениях, предусматривающая административную ответственность за совершение административного правонарушения, либо основания прекращения производства по делу;

6) мотивированное решение по делу;

7) срок и порядок обжалования постановления;

8) информация о получателе штрафа, необходимая для заполнения расчетных документов на перечисление суммы административного штрафа.

79. Постановление по делу об административном правонарушении подписывается должностным лицом Росприроднадзора или его территориального управления, рассматривающим дело об административном правонарушении, и заверяется оттиском печати территориального управления Росприроднадзора, его вынесшего.

80. Постановление по делу об административном правонарушении объявляется должностным лицом Росприроднадзора или его территориального органа немедленно по окончании рассмотрения дела.

Постановление по делу об административном правонарушении регистрируется должностными лицами структурного подразделения территориального органа Росприроднадзора, ответственного за делопроизводство, не позднее рабочего дня, следующего за днем подписи соответствующего постановления. С оригинала оформленного и подготовленного к выдаче постановления по делу об административном правонарушении снимается ксерокопия для архивного хранения.

81. Выдача копии постановления по делу об административном правонарушении осуществляется заявителю либо его представителю (по доверенности) лично в руки либо отправкой по почте (с уведомлением о вручении).

82. Второй экземпляр постановления по делу об административном правонарушении, хранится в структурном подразделении территориального органа Росприроднадзора, ответственном за делопроизводство территориального органа Росприроднадзора.

Приказом Минприроды России от 3 сентября 2009 г. N 280 в пункт 83 настоящего приложения внесены изменения

83. Одновременно с постановлением о назначении административного наказания должностное лицо Росприроднадзора или его территориального органа выносит предписание об устранении выявленных нарушений законодательства в области охраны атмосферного воздуха с указанием сроков их устранения (Приложение 7).

Предписание направляется индивидуальному предпринимателю или законному представителю юридического лица, в отношении которых оно вынесено, одновременно с постановлением о привлечении к административной ответственности.

84. При установлении причин административного правонарушения и условий, способствовавших его совершению, должностное лицо, рассматривающее дело об административном правонарушении, составляет представление о принятии мер по устранению указанных причин и условий (Приложение 9).

Представление направляется индивидуальному предпринимателю или законному представителю юридического лица, в отношении которых оно вынесено, одновременно с постановлением о привлечении к административной ответственности.

Пересмотр постановлений по делам об административных правонарушениях

85. Порядок обжалования постановлений по делам об административных правонарушениях установлен главой 30 Кодекса Российской Федерации об административных правонарушениях.

86. В случае поступления жалобы к должностному лицу Росприроднадзора (территориального органа), вынесшему постановление по делу об административном правонарушении, указанное должностное лицо в течение трех суток со дня поступления жалобы направляет ее со всеми материалами дела вышестоящему должностному лицу (в вышестоящий орган).

87. В случае, если рассмотрение жалобы не относится к компетенции должностного лица, жалоба направляется на рассмотрение по подведомственности в течение трех суток.

88. Жалоба на постановление по делу об административном правонарушении рассматривается правомочным должностным лицом единолично.

89. В случае наличия уважительных причин пропуска установленного срока, должностное лицо, правомочное рассматривать жалобу восстанавливает пропущенный срок.

90. Жалоба на постановление по делу об административном правонарушении рассматривается должностным лицом, правомочным рассматривать жалобу, в десятидневный срок со дня ее поступления в Росприроднадзор или его территориальный орган со всеми материалами дела.

91. При рассмотрении жалобы на постановление по делу об административном правонарушении должностное лицо, правомочное рассматривать жалобу:

1) объявляет, кто рассматривает жалобу, какая жалоба подлежит рассмотрению, кем подана жалоба;

2) устанавливает явку индивидуального предпринимателя или законного представителя юридического лица, в отношении которых вынесено постановление по делу, а также явку вызванных для участия в рассмотрении жалобы лиц;

3) проверяет полномочия представителей индивидуального предпринимателя или юридического лица;

4) выясняет причины неявки участников производства по делу и принимает решение о рассмотрении жалобы в отсутствие указанных лиц либо об отложении рассмотрения жалобы;

5) разъясняет права и обязанности лиц, участвующих в рассмотрении жалобы;

6) разрешает заявленные отводы и ходатайства;

7) оглашает жалобу на постановление по делу об административном правонарушении;

8) проверяет на основании имеющихся в деле и дополнительно представленных материалов законность и обоснованность вынесенного постановления, в частности, заслушивает объяснения индивидуального предпринимателя или законного представителя юридического лица, в отношении которых вынесено постановление по делу об административном правонарушении; при необходимости заслушивает показания других лиц, участвующих в рассмотрении жалобы, пояснения специалиста и заключение эксперта, исследует иные доказательства, осуществляет другие процессуальные действия, предусмотренные Кодексом Российской Федерации об административных правонарушениях.

92. По результатам рассмотрения жалобы на постановление по делу об административном правонарушении должностное лицо, правомочное рассматривать жалобу выносит одно из следующих решений:

1) об оставлении постановления без изменения, а жалобы без удовлетворения;

2) об изменении постановления, если при этом не усиливается административное наказание или иным образом не ухудшается положение лица, в отношении которого вынесено постановление;

3) об отмене постановления и о прекращении производства по делу при наличии хотя бы одного из следующих обстоятельств:

отсутствие события административного правонарушения;

отсутствие состава административного правонарушения, в том числе недостижение физическим лицом на момент совершения противоправных действий (бездействия) возраста 16 лет или невменяемость физического лица, совершившего противоправные действия (бездействие);

действия лица в состоянии крайней необходимости;

издание акта амнистии, если такой акт устраняет применение административного наказания;

отмена закона, установившего административную ответственность;

истечение сроков давности привлечения к административной ответственности;

наличие по одному и тому же факту совершения противоправных действий (бездействия) лицом, в отношении которого вынесено постановление о назначении административного наказания, ранее вынесенного постановления о назначении административного наказания, либо постановления о прекращении производства по делу об административном правонарушении, либо постановления о возбуждении уголовного дела;

недоказанность обстоятельств, на основании которых было вынесено постановление;

4) об отмене постановления и о возвращении дела на новое рассмотрение должностному лицу, правомочному рассмотреть дело, в случаях существенного нарушения процессуальных требований, предусмотренных Кодексом Российской Федерации об административных правонарушениях, если это не позволило всесторонне, полно и объективно рассмотреть дело, а также в связи с необходимостью применения закона об административном правонарушении, влекущем назначение более строгого административного наказания, если потерпевшим по делу подана жалоба на мягкость примененного административного наказания;

5) об отмене постановления и о направлении дела на рассмотрение по подведомственности, если при рассмотрении жалобы установлено, что постановление было вынесено неправомочным должностным лицом.

93. Решение по результатам рассмотрения жалобы на постановление по делу об административном правонарушении должно содержать следующие сведения:

1) должность, фамилия, имя, отчество должностного лица, рассмотревшего жалобу на постановление;

2) дата и место рассмотрения жалобы на постановление;

3) сведения о лице, в отношении которого рассмотрена жалоба на постановление;

4) обстоятельства, установленные при рассмотрении жалобы на постановление;

5) статья Кодекса Российской Федерации об административных правонарушениях, предусматривающая административную ответственность за совершение административного правонарушения, либо основания отмены вынесенного постановления о назначении административного наказания;

6) мотивированное решение по жалобе на постановление;

7) срок и порядок обжалования решения по жалобе на постановление.

94. Решение по жалобе на постановление по делу об административном правонарушении оглашается должностным лицом, правомочным рассматривать жалобу, немедленно после его вынесения.

Копия решения по жалобе регистрируется должностными лицами структурного подразделения территориального управления Росприроднадзора, ответственного за делопроизводство, не позднее рабочего дня, следующего за днем подписи соответствующего решения. С оригинала оформленного и подготовленного к выдаче решения по жалобе снимается ксерокопия для архивного хранения.

95. Выдача копии решения по жалобе осуществляется заявителю либо его представителю (по доверенности) лично в руки либо отправкой по почте (с уведомлением о вручении).

96. Второй экземпляр решения по жалобе, хранится в структурном подразделении территориального управления Росприроднадзора, ответственном за делопроизводство территориального органа Росприроднадзора.

Исполнение постановления о назначении административного наказания

97. Порядок исполнения постановлений по делу об административном правонарушении определен главами 31 и 32 Кодекса Российской Федерации об административных правонарушениях.

98. Постановление по делу об административном правонарушении вступает в законную силу:

1) после истечения десятидневного срока, установленного для обжалования постановления, если указанное постановление не было обжаловано или опротестовано;

2) после истечения срока, установленного для обжалования решения по жалобе, протесту, если указанное решение не было обжаловано или опротестовано, за исключением случаев, если решением отменяется вынесенное постановление;

3) немедленно после вынесения не подлежащего обжалованию решения по жалобе, протесту, за исключением случаев, если решением отменяется вынесенное постановление.

99. Постановление по делу об административном правонарушении обязательно для исполнения всеми органами государственной власти, органами местного самоуправления, должностными лицами, гражданами и их объединениями, юридическими лицами.

Постановление по делу об административном правонарушении подлежит исполнению с момента его вступления в законную силу.

100. Административный штраф должен быть уплачен лицом, привлеченным к административной ответственности, не позднее тридцати дней со дня вступления постановления о наложении административного наказания в законную силу либо со дня истечения срока отсрочки или срока рассрочки.

101. При отсутствии документа, свидетельствующего об уплате административного штрафа, должностное лицо Росприроднадзора или его территориального органа, вынесшее постановление о назначении административного наказания, направляет соответствующие материалы судебному приставу-исполнителю для взыскания суммы административного штрафа в порядке, предусмотренном законодательством об исполнительном производстве.

В случае выявления факта неуплаты административного штрафа в течение тридцати дней с момента вступления в силу постановления о назначении административного наказания лицо, вынесшее постановление о назначении административного наказания, составляет протокол об административном правонарушении по ч. 1 ст. 20.25 Кодекса Российской Федерации об административных правонарушениях в порядке, указанном в пунктах 63 - 73 настоящего Административного регламента, и передает его для рассмотрения в суд.

102. Постановление о назначении административного наказания не подлежит исполнению в случае, если оно не было приведено в исполнение в течение года со дня его вступления в законную силу.

Контроль за устранением нарушений законодательства в области нарушения правил охраны атмосферного воздуха

103. В течение 15 рабочих дней с момента истечения срока устранения нарушения требований законодательства в области нарушения правил охраны атмосферного воздуха, установленного предписанием об устранении нарушения законодательства в области нарушения правил охраны атмосферного воздуха, должностное лицо, выдавшее указанное предписание, проводит проверку устранения ранее выявленного нарушения.

104. Исключен.

105. При устранении допущенного нарушения должностное лицо, выдавшее предписание, составляет акт проверки соблюдения законодательства в области охраны атмосферного воздуха с приложением документов, подтверждающих устранение нарушения законодательства в области охраны атмосферного воздуха.

Приказом Минприроды России от 3 сентября 2009 г. N 280 в пункт 106 настоящего приложения внесены изменения

106. В случае неустранения нарушения законодательства в области охраны атмосферного воздуха должностное лицо, выдавшее предписание, одновременно с актом составляет протокол об административном правонарушении за правонарушение, предусмотренное ч. 1 ст. 19.5 Кодекса Российской Федерации об административных правонарушениях, в порядке, указанном в пунктах 63-73 настоящего Административного регламента, и выдает новое предписание об устранении выявленного нарушения.

Формирование дел об административных правонарушениях и сдача их в архив

107. Дела об административных правонарушениях формируются должностными лицами, правомочными рассматривать дела об административных правонарушениях, в соответствующих структурных подразделениях Росприроднадзора (территориального управления).

108. Дела об административных правонарушениях формируются из подлинных документов либо их копий, заверенных оттиском печати управления (подразделения), в хронологическом и логическом порядке.

109. Исполненные и законченные делопроизводством документы в 10-дневный срок сдаются должностными лицами, правомочными рассматривать дела об административных правонарушениях, лицам, ответственным за ведение делопроизводства в структурных подразделениях, для формирования их в дела.

110. Формирование дел об административных правонарушениях осуществляется в порядке, установленном Типовой инструкцией по делопроизводству в федеральных органах исполнительной власти, утв. Приказом Минкультуры России от 08.11.2005 N 536 (Зарегистрировано в Минюсте Российской Федерации 27.01.2006 N 7418) (Бюллетень нормативных актов федеральных органов исполнительной власти, N 10, 2006), иными нормативными правовыми актами Российской Федерации в сфере архивного дела.

IV. Порядок и формы контроля за исполнением государственной функции

111. Текущий контроль за соблюдением последовательности действий, определенных административными процедурами по исполнению государственной функции, осуществляется должностными лицами Росприроднадзора и его территориальных органов, ответственными за организацию работы по исполнению государственной функции.

112. Должностные лица, ответственные за исполнение государственной функции, несут персональную ответственность за соблюдение порядка исполнения государственной функции.

113. Персональная ответственность должностных лиц Росприроднадзора и его территориальных органов, ответственных за исполнение государственной функции, закрепляется в их должностных регламентах в соответствии с требованиями законодательства.

114. Перечень должностных лиц, осуществляющих текущий контроль, устанавливается приказами руководителя Росприроднадзора (территориальных управлений Росприроднадзора).

115. Текущий контроль осуществляется путем проведения должностным лицом, ответственным за организацию работы по исполнению государственной функции, проверок соблюдения и исполнения специалистами положений Административного регламента, иных нормативных правовых актов Российской Федерации.

Периодичность осуществления текущего контроля устанавливается руководителем Росприроднадзора (территориального органа Росприроднадзора).

116. Контрольное управление центрального аппарата организует и осуществляет контроль за исполнением государственной функции территориальными управлениями и структурными подразделениями центрального аппарата.

Контроль за полнотой и качеством исполнения государственной функции включает в себя проведение проверок, выявление и устранение нарушений прав заявителей, рассмотрение, принятие решений и подготовку ответов на обращения заявителей, содержащих жалобы на действия (бездействие) должностных лиц центрального аппарата Росприроднадзора и его территориальных органов.

По результатам проведенных проверок должностные лица Контрольного управления центрального аппарата в случае выявления нарушений прав заявителей виновные лица привлекаются к ответственности в порядке, установленном законодательством Российской Федерации.

117. Проверки могут быть плановыми (осуществляться на основании годовых планов работы Росприроднадзора) и внеплановыми. При проверке могут рассматриваться все вопросы, связанные с исполнением государственной функции (комплексные проверки), или вопросы, связанные с исполнением той или иной административной процедуры (тематические проверки). Проверка также может проводиться по конкретному обращению заявителя.

V. Порядок обжалования действий (бездействия) должностного лица, а также принимаемого им решения при исполнении государственной функции

118. Заявитель имеет право на обжалование решений, действий (бездействия) должностных лиц центрального аппарата, территориальных управлений в досудебном порядке:

1) жалобы на постановления по делам об административных правонарушениях рассматриваются в порядке, установленном главой 30 Кодекса Российской Федерации об административных правонарушениях и пунктами 85 - 96 настоящего Административного регламента;

2) жалобы на иные решения, действия (бездействие) должностных лиц, осуществляемые (принятые) в ходе исполнения государственной функции рассматриваются в порядке, установленном разделом V настоящего Административного регламента в соответствии с законодательством Российской Федерации.

119. Основаниями для отказа в рассмотрении жалобы являются:

1) если в жалобе не указаны фамилия (наименование) заявителя, направившего обращение, и почтовый адрес, по которому должен быть направлен ответ;

2) если в жалобе содержатся нецензурные либо оскорбительные выражения, угрозы жизни, здоровью и имуществу должностного лица, а также членов его семьи;

3) если текст жалобы, фамилия (наименование) и (или) почтовый адрес заявителя не поддаются прочтению;

4) если в письменном обращении заявителя содержится вопрос, на который заявителю многократно давались письменные ответы по существу в связи с ранее направляемыми обращениями, и при этом в обращении не приводятся новые доводы или обстоятельства;

120. Ответственное должностное лицо направляет заявителю письменный ответ об отказе в рассмотрении жалобы с указанием причины такого отказа.

121. С согласия Заявителя обжалование действий (бездействий) должностных лиц при выполнении конкретных административных процедур (или административных действий), предусмотренных настоящим Административным регламентом, допускается в упрощенном порядке в соответствии с настоящим Административным регламентом.

122. Заявитель имеет право обратиться с жалобой лично или направить ее в письменном виде.

123. Руководители и должностные лица Росприроднадзора и его территориальных органов, участвующие в исполнении государственной функции, проводят личный прием заявителя и рассматривают поступившие в устном порядке жалобы в течение 1 дня. Содержание устной жалобы заносится в карточку личного приема заявителя. О результатах рассмотрения устной жалобы должностное лицо, которое проводило прием заявителя, сообщает в устной форме или по телефону заявителя в случае если изложенные в устном обращении факты и обстоятельства являются очевидными и не требуют дополнительной проверки. В остальных случаях дается письменный ответ по существу поставленных в жалобе вопросов.

124. Информация о месте приема, а также об установленных для приема днях и часах размещается на информационных стендах территориальных управлений Росприроднадзора и официальном сайте территориальных органов Росприроднадзора (при наличии сайта).

125. При обращении заявителя в письменной форме с жалобой на действия должностных лиц в рамках осуществления конкретной административной процедуры (административного действия) жалоба рассматривается в течение 30 дней со дня регистрации письменного обращения (жалобы).

126. В случае если по обращению (жалобе) заявителя требуется провести, проверку или обследование, заявитель информируется о невозможности рассмотрения жалобы в упрощенном порядке и жалоба рассматривается в общем порядке, установленном Федеральным законом от 2 мая 2006 г. N 59-ФЗ "О порядке рассмотрения обращений граждан Российской Федерации".

127. Жалоба заявителя в письменной форме должна содержать следующую информацию:

наименование государственного органа, в который направляется письменная жалоба, либо фамилию, имя, отчество, должность соответствующего должностного лица;

фамилию, имя, отчество гражданина (последнее - при наличии), наименование юридического лица, которым подается жалоба, почтовый адрес, по которому должен быть направлен ответ;

суть обжалуемого действия (бездействия) при исполнении конкретных административных процедур, установленных настоящим Административным регламентом;

причины несогласия с обжалуемым действием (бездействием);

обстоятельства, на основании которых заявитель считает, что нарушены его права, свободы и законные интересы, созданы препятствия к их реализации либо незаконно возложена какая-либо обязанность в связи с исполнением должностными лицами территориального управления Росприроднадзора административных процедур (административных действий), установленных настоящим Административным регламентом;

иные сведения, которые заявитель считает необходимым сообщить.

В случае необходимости в подтверждение своих доводов к жалобе прилагаются документы и материалы либо их копии. В таком случае в жалобе приводится перечень прилагаемых к ней документов.

Жалоба подписывается подавшим ее лицом.

128. Схема направления заявителем жалоб, связанных с выполнением административных процедур (административных действий), установленных настоящим Административным регламентом:

жалоба на действия (бездействия) должностных лиц территориального органа Росприроднадзора - руководителю территориального органа Росприроднадзора;

жалоба на действия (бездействия) руководителя территориального органа Росприроднадзора - заместителю руководителя Росприроднадзора, курирующему (или контролирующему) исполнение данной государственной функции территориальными органами.

жалоба на действия (бездействия) - Руководителя Росприроднадзора, его заместителей, должностных лиц Росприроднадзора - Министру природных ресурсов и экологии Российской Федерации.

129. При обращении заявителя в письменной форме срок рассмотрения письменного обращения не должен превышать 30 дней с момента регистрации такого обращения.

В исключительных случаях, а также в случае направления запроса другим государственным органам, органам местного самоуправления и иным должностным лицам для получения необходимых для рассмотрения обращения документов и материалов руководитель Росприроднадзора (органа), иное уполномоченное на то должностное лицо вправе продлить срок рассмотрения жалобы не более чем на 30 дней, уведомив о продлении срока его рассмотрения заявителя.

130. По результатам рассмотрения жалобы должностное лицо, ответственный или уполномоченный работник принимает следующие решения:

1) об удовлетворении требований заявителя и о признании неправомерным действия (бездействия);

2) об отказе в удовлетворении жалобы.

Письменный ответ, содержащий результаты рассмотрения жалобы, направляется заявителю.

131. Действия (бездействия) должностных лиц при выполнении административных процедур (административных действий), установленных настоящим Административным регламентом, обжалование которых допускается в упрощенном порядке:

нарушение сроков, установленных для административных процедур в соответствии с настоящим Административным регламентом;

непредоставление информации о должностном лице, исполняющем административную процедуру, иной информации, связанной с выполнением государственной функции, в соответствии с настоящим Административным регламентом;

некорректное поведение должностного лица по отношению к Заявителю;

предъявление к Заявителю излишних или дополнительных требований, не предусмотренных настоящим Административным регламентом или иным нормативным правовым актом, регламентирующим данные вопросы.

132. Заявитель имеет право на обжалование решений, действий (бездействия) должностных лиц центрального аппарата, территориальных управлений в суд общей юрисдикции, арбитражный суд.

_____________________________

* Федеральный закон от 30 марта 1999 г. N 52-ФЗ "О санитарно-эпидемиологическом благополучии населения" (Собрание законодательства Российской Федерации, 1999, N 14, ст. 1650; 2002, N 1 (ч. I), ст. 2; 2003, N 2, ст. 167; 2003, N 27 (ч. I), ст. 2700; 2004, N 35, ст. 3607; 2005, N 19, ст. 1752; 2006, N 1, ст. 10; 2006, N 52 (ч. I). ст. 5498; 2007, N 1 (ч. I), ст. 21, 29; 2007, N 27, ст. 3213); Постановление Главного государственного санитарного врача Российской Федерации от 3 июня 2003 г. N 118 "О введении в действие санитарно-эпидемиологических правил и нормативов СанПиН 2.2.2/2.4.1340-03" (зарегистрировано в Минюсте России 10 июня 2003 г., регистрационный N 4673) (в редакции Постановления Главного государственного санитарного врача Российской Федерации от 25 апреля 2007 г. N 22 "Об утверждении СанПиН 2.2.2/2.4.2198-07" (зарегистрировано в Минюсте России 17 июня 2007 г., регистрационный N 9615).

** Пункт 5 статьи 7 Федерального закона от 8 августа 2001 г. N 134-ФЗ "О защите прав юридических лиц и индивидуальных предпринимателей при проведении государственного контроля (надзора)" (Собрание законодательства Российской Федерации, 13.08.2001, N 33 (часть I), ст. 3436.

*** Пункт 4 Постановления Пленума Верховного Суда Российской Федерации от 24 марта 2005 г. N 5 "О некоторых вопросах, возникающих у судов при применении Кодекса Российской Федерации об административных правонарушениях (Собрание законодательства Российской Федерации, 2002, N 1, ст. 1.)

Приказом Минприроды России от 3 сентября 2009 г. N 280 в настоящее приложение внесены изменения

Приложение N 1

к Административному регламенту

Федеральной службы по надзору

в сфере природопользования по

исполнению государственной функции

по осуществлению государственного

контроля за деятельностью в области

охраны атмосферного воздуха

Список территориальных управлений Росприроднадзора

N п/п

Наименование территориального органа

Адрес

Факс, Телефон

1.

Департамент Росприроднадзора по Центральному федеральному округу

Варшавское шоссе, 39а, г. Москва, 117105

8-499-611-04-38 т/факс

8-499-611-21-41 т/факс - общий

2.

Управление Росприроднадзора по Белгородской области

ул. Богдана Хмельницкого, 86, корп. Б, г. Белгород, 308007

(4722)26-44-34 приемная

3.

Управление Росприроднадзора по Брянской области

Переулок Осовиахима, 3г, г. Брянск, 241019

(4832)74-27-93

4.

Управление Росприроднадзора по Владимирской области

ул. 2-я Никольская, 8, г. Владимир, 600000

(4922)32-33-66

32-46-84

5.

Управление Росприроднадзора по Воронежской области

ул. Ломоносова, 105, г. Воронеж, 394087

(4732)35-71-21

6.

Управление Росприроднадзора по Ивановской области

ул. Дзержинского, 8, г. Иваново, 153025

(4932)32-74-72

7.

Управление Росприроднадзора по Калужской области

пер. Старичков, 2а, г. Калуга, 248620

(4842)12-47-11

8.

Управление Росприроднадзора по Костромской области

ул. Коммунаров, 22, г. Кострома, 156003

(4942)55-80-43

9.

Управление Росприроднадзора по Курской области

ул. Карла Маркса, 53, г. Курск, 305029

(4712)53-23-05

10.

Управление Росприроднадзора по Липецкой области

ул. Адмирала Макарова, 1"Г", г. Липецк, 398005

(4742)43-13-17 приемная

11.

Управление Росприроднадзора по Орловской области

ул. Комсомольская, 33, г. Орел, 302001

(4862)77-77-30

12.

Управление Росприроднадзора по Рязанской области

Московское шоссе, 12, г. Рязань, 390044

(4912)55-87-42

13.

Управление Росприроднадзора по Смоленской области

ул. Николаева, 12 - , г. Смоленск, 214004

(4812)38-92-52

(4812)38-46-90 ОК

14.

Управление Росприроднадзора по Тамбовской области

пл. Кронтштадтская, 7а, г. Тамбов, 392036

(4752)72-00-40

15.

Управление Росприроднадзора по Тверской области

Волоколамский пр-т, 3, г. Тверь, 170000

(4822)36-09-66

16.

Управление Росприроднадзора по Тульской области

пр-т Ленина, 38, г. Тула, 300041

(4872)36-44-83

17.

Управление Росприроднадзора по Ярославской области

ул. Красноборская, 8, г. Ярославль, 150051

(4852)24-83-68

18.

Департамент Росприроднадзора по Северо-Западному ФО

ул. Одоевского, 24, к. 1, г. Санкт-Петербург, а/я 317, 199155

(812)350-95-23

(812)352-24-17 - Ирина Саидовна (помощник Обуховского)

19.

Управление Росприроднадзора по Республике Карелия

ул. Дзержинского, 9, г. Петрозаводск, 185035

(8142)78-46-79

20.

Управление Росприроднадзора по Республике Коми

ул. Интернациональная, 152, г. Сыктывкар, 167982

(8212)21-52-39

21.

Управление Росприроднадзора по Архангельской области

Троицкий пр., 14, г. Архангельск, 163061

(8182)20-46-90

22.

Управление Росприроднадзора по Вологодской области

ул. Зосимовская, 65, г. Вологда, 160035

(8172)75-31-36

23.

Управление Росприроднадзора по Калининградской области

ул. Офицерская, 6, г. Калининград, 236000

(4012)93-04-28

24.

Управление Росприроднадзора по Мурманской области

Кольский пр-т, 24а, г. Мурманск, 183042

(8152)23-10-26

25.

Управление Росприроднадзора по Псковской области

ул. Конная, 10, г. Псков, 180007

(8112)44-18-37

72-36-59

26.

Управление Росприроднадзора по Ненецкому АО

ул. Рабочая, 39а, г. Нарьян-Мар, 166001

(81853)4-15-91,

4-24-14

27

Департамент Росприроднадзора по Южному ФО

пр-т Стачки, 200/1, корп. 3, г. Ростов-на-Дону, 344090

(8632)97-50-14

28.

Управление Росприроднадзора по Республике Дагестан

ул. Буганова, 17б, г. Махачкала, 367027

(8722)64-64-16

29.

Управление Росприроднадзора по Республике Ингушетия

ул. Сейнароева, 122, ст. Орджоникидзевская, 386202

(8734)72-13-26

30.

Управление Росприроднадзора по Кабардино-Балкарской Республике

ул. Тарчокова, 18, Республика КБР, г. Нальчик, 360030

(8662)40-03-64

31.

Управление Росприроднадзора по Республике Калмыкия

ул. Лермонтова, 4, г. Элиста, 358000

(84722)2-29-11

32.

Управление Росприроднадзора по Карачаево-Черкесской Республике

ул. Гагарина, 17, г. Черкесск, 369000

(87822)6-68-43

33.

Управление Росприроднадзора по Республике Северная Осетия-Алания

ул. Иристонская, 25, г. Владикавказ, 362021

(8672)74-80-48

34.

Управление Росприроднадзора по Чеченской Республике

ул. Презжая, 7, г. Гудермес, 366900

(87152)2-22-93

35.

Управление Росприроднадзора по Краснодарскому краю и Республике Адыгея

ул. Красная, 19, г. Краснодар, 350063

(861)268-42-70

36.

Управление Росприроднадзора по Ставропольскому краю

ул. Голенева, 18, г. Ставрополь, 355006

(8652)95-62-24

37.

Управление Росприроднадзора по Астраханской области

ул. Бакинская, 113, г. Астрахань, 414000

(8512)39-19-43

38.

Управление Росприроднадзора по Волгоградской области

ул. Профсоюзная, 30, г. Волгоград, 400001

(8442)94-80-00

97-08-95

94-08-96

39.

Управление Росприроднадзора по Ростовской области

ул. Зеленая, 1а, г. Ростов-на-Дону, 344046

(8632)52-19-53

40.

Департамент Росприроднадзора по Приволжскому ФО

ул. Бульвар Мира, 11а, г. Нижний Новгород, 603086

(831)246-55-97

41.

Управление Росприроднадзора по Республике Башкортостан

ул. Менделеева, 148, г. Уфа, 450080

(347)228-98-75

42.

Управление Росприроднадзора по Республике Марий Эл

Ленинский пр-т, 24а, г. Йошкар-Ола, 424000

(8362)42-48-79

43.

Управление Росприроднадзора по Республике Мордовия

ул. Коммунистическая, 33, корп. 3, к. 319, г. Саранск, 433000

(8342)32-77-30

44.

Управление Росприроднадзора по Республике Татарстан

ул. Эсперанто, д. 15, г. Казань, 420049

(843)277-12-33

45.

Управление Росприроднадзора по Удмуртской Республике

ул. Баранова, 88, г. Ижевск, 426006

(3412)61-60-74

46.

Управление Росприроднадзора по Чувашской Республике

пр-т Мира, 90, корп. 2, г. Чебоксары, 428024

(8352)28-76-63

47.

Управление Росприроднадзора по Кировской области

ул. Воровского, 78, г. Киров, 610035

(8332)57-17-15

48.

Управление Росприроднадзора по Нижегородской области

ул. Горького, 150, г. Нижний Новгород, 603600

(831)211-29-54

49.

Управление Росприроднадзора по Оренбургской области

ул. 10-я Линия, 2а, г. Оренбург, 460040

(3532)70-73-84

50.

Управление Росприроднадзора по Пензенской области

ул. Пушкина, 167 - , г. Пенза, 440018

(8412)48-27-20

51.

Управление Росприроднадзора по Пермскому краю

ул. Крылова, 34, г. Пермь, 614081 сек. Пермякова Елена Викторовна

(342)225-83-45

52.

Управление Росприроднадзора по Самарской области

ул. Красноармейская, 21, к. 505, г. Самара, 443010

(846)270-41-82;

270-41-83

53.

Управление Росприроднадзора по Саратовской области

ул. Московская, 70, г. Саратов, 410600

(8452)27-57-57

54.

Управление Росприроднадзора по Ульяновской области

ул. Подлесная, 24, г. Ульяновск, 432030

(8422)46-83-34

55.

Департамент Росприроднадзора по Уральскому ФО

ул. Вайнера, 55, г. Екатеринбург, 620014

(343)257-22-81

56.

Управление Росприроднадзора по Челябинской области

ул. Елькина, 75, г. Челябинск, 454092

(351)237-49-98

237-80-09 - канцелярия

57.

Управление Росприроднадзора по Курганской области

ул. Сибирская, 3а, г. Курган, 640006

(3522)53-16-23

58.

Управление Росприроднадзора по Тюменской области

ул. Республики, 55, г. Тюмень, 625000

(3452)39-09-40

39-07-99

59.

Управление Росприроднадзора по Ханты-Мансийскому АО

ул. Студенческая, 2, г. Ханты-Мансийск, 628012

(34671)2-78-93

2-78-79

т/ф 2-78-82

 

 

Зам. Викторов Сергей Николаевич

3-72-26

60.

Управление Росприроднадзора по Ямало-Ненецкому АО

ул. Мира, 40, г. Салехард, 629008

(34922)4-40-68 ?

4-51-30 приемная

61.

Департамент Росприроднадзора по Сибирскому ФО

ул. Романова, 28, г. Новосибирск, 630099

(383)222-44-10

62.

Управление Росприроднадзора по Республике Бурятия

ул. Ленина, 57, г. Улан-Удэ, 767000

(301-2)21-19-70

63.

Управление Росприроднадзора по Республике Тыва

ул. Московская, 2, г. Кызыл, 667007

(39422)5-26-85 т/ф

64.

Управление Росприроднадзора по Республике Хакасия

ул. Хакасская, 21, г. Абакан, 655012. Для корр.: ул. Ленина, 67, а/я 722, г. Абакан, 655019

(3902)25-79-35 приемная, т/ф

65.

Управление Росприроднадзора по Алтайскому краю и Республике Алтай

ул. Пролетарская, 61, г. Барнаул, 656056

(385-2)35-37-76 приемная, т/ф

66.

Управление Росприроднадзора по Красноярскому краю

ул. К. Маркса, 62, г. Красноярск, 660049

(3912)23-46-49

67.

Управление Росприроднадзора по Иркутской области

ул. Российская, 17, г. Иркутск, 664025

(3952)20-16-87

68.

Управление Росприроднадзора по Кемеровской области

ул. Ноградская, 19а, г. Кемерово, 650000

(384-2)36-96-24

69.

Управление Росприроднадзора по Омской области

ул. Герцена, 50, г. Омск, 644007

(3812)25-26-18 т/факс

70.

Управление Росприроднадзора по Томской области

ул. Шевченко, 17, г. Томск, 634021

(3822)26-35-40

71.

Департамент Росприроднадзора по Дальневосточному ФО

ул. Л. Толстого, 8, г. Хабаровск, 680000

(4212)32-51-79 ф. сек. Валентина Геннадьевна

72.

Управление Росприроднадзора по Республике Саха (Якутия)

ул. Орджоникидзе, 44/1, г. Якутск, 677027

(4112)22-61-45

73.

Управление Росприроднадзора по Приморскому краю

Океанский пр-т, 31, г. Владивосток, 690000

(4232)40-77-33

74.

Управление Росприроднадзора по Хабаровскому краю

ул. Герасимова, 31, г. Хабаровск, 680021

(4212)34-24-61

75.

Управление Росприроднадзора по Амурской области

ул. Амурская, 221, г. Благовещенск, 675000

(4162)44-54-51

76.

Управление Росприроднадзора по Камчатскому краю

ул. Мишенная, 106, г. Петропавловск-Камчатский, 683016

(4152)23-92-07

(4152)23-94-84 ОК

77.

Управление Росприроднадзора по Магаданской области

ул. Пролетарская, 11, г. Магадан, 685000

(4132)62-66-01

69-96-19

78.

Управление Росприроднадзора по Сахалинской области

Коммунистический пр-т, 49, г. Южно-Сахалинск, 693020

(4242)42-24-59

79.

Управление Росприроднадзора по Еврейской АО

ул. Советская, 111, г. Биробиджан, Еврейская АО, 679016

(42622)4-67-29

80.

Управление Росприроднадзора по Чукотскому АО

ул. Куркутского, 34, г. Анадырь, 689000

(42722)2-48-10 т/ф, приемная

81.

Управление Росприроднадзора по Забайкальскому краю

ул. Амурская, 91/15, г. Чита, 672090

(3022) 35-64-91

Приложение N 2

к Административному регламенту

Федеральной службы по надзору

в сфере природопользования по

исполнению государственной функции

по осуществлению государственного

контроля за деятельностью в области

охраны атмосферного воздуха

Последовательность административных процедур при исполнении Федеральной службой по надзору в сфере природопользования государственной функции по осуществлению контроля за соблюдением требований законодательства Российской Федерации в области охраны атмосферного воздуха

Приказом Минприроды России от 3 сентября 2009 г. N 280 настоящее приложение изложено в новой редакции

Приложение N 3

к Административному регламенту

Федеральной службы по надзору

в сфере природопользования по

исполнению государственной функции

по осуществлению государственного

контроля за деятельностью в области

охраны атмосферного воздуха

Бланк Федеральной службы по

надзору в сфере

природопользования

(территориального органа

Федеральной службы по

надзору в сфере

природопользования)

"___"____________ 200___г.

 

ФЕДЕРАЛЬНАЯ СЛУЖБА ПО НАДЗОРУ В СФЕРЕ ПРИРОДОПОЛЬЗОВАНИЯ

(РОСПРИРОДНАДЗОР)

_____________________________________________________________________________

(территориальный орган Федеральной службы по надзору в сфере природопользования)

РАСПОРЯЖЕНИЕ (ПРИКАЗ)

Росприроднадзора (территориального органа Росприроднадзора)

о проведении ___________________________________________________ проверки

(плановой/внеплановой, документарной/выездной)

юридического лица, индивидуального предпринимателя

от "___" ________________ г.                                                                                      N ______

 

1. Провести проверку в отношении ____________________________________________

_________________________________________________________________________

_________________________________________________________________________

(полное и (в случае, если имеется) сокращенное наименование, в том

числе фирменное наименование юридического лица, фамилия, имя и (в случае,

если имеется) отчество индивидуального предпринимателя)

2. Назначить лицом(ами), уполномоченным(ыми) на проведение

проверки: ________________________________________________________________

_________________________________________________________________________

_________________________________________________________________________

(фамилия, имя, отчество (в случае, если имеется), должность должностного

лица (должностных лиц), уполномоченного(ых) на проведение проверки)

3. Привлечь к проведению проверки в качестве экспертов,

представителей экспертных организаций, следующих лиц: _________________________

_________________________________________________________________________

_________________________________________________________________________

(фамилия, имя, отчество (в случае, если имеется), должности привлекаемых

к проведению проверки экспертов, представителей экспертных организаций)

4. Установить, что:

настоящая проверка проводится с целью: _______________________________________

_________________________________________________________________________

_________________________________________________________________________

При установлении целей проводимой проверки указывается следующая информация:

а) в случае проведения плановой проверки:

- ссылка на ежегодный план проведения плановых проверок с указанием способа его доведения до сведения заинтересованных лиц;

б) в случае проведения внеплановой выездной проверки:

- ссылка на реквизиты ранее выданного проверяемому лицу предписания об устранении выявленного нарушения, срок для исполнения которого истек;

- ссылка на реквизиты обращений и заявлений, поступившие в проверяющий орган; краткое изложение информации о фактах причинения вреда жизни, здоровью граждан, вреда животным, растениям, окружающей среде, безопасности государства или возникновения реальной угрозы причинения такого вреда, возникновения чрезвычайных ситуаций природного и техногенного характера или их угрозы, реквизиты и краткое изложение информации из заявления гражданина о факте нарушения его прав, предоставленных законодательством Российской Федерации о правах потребителей;

в) в случае проведения внеплановой выездной проверки, которая назначается в отношении субъекта малого и среднего предпринимательства и подлежит согласованию с органами прокуратуры, но в целях принятия неотложных мер должна быть проведена незамедлительно в связи с причинением вреда либо нарушением проверяемых требований, если такое причинение вреда либо нарушение требований обнаружено непосредственно в момент его совершения:

ссылка на прилагаемую копию документа (рапорта, докладной записки и т.п.), представленного должностным лицом, обнаружившим нарушение задачами настоящей проверки являются: ______________________________

_________________________________________________________________________

_________________________________________________________________________

_________________________________________________________________________

5. Предметом настоящей проверки является (отметить нужное):

соблюдение обязательных требований или требований, установленных муниципальными правовыми актами;

соответствие сведений, содержащихся в уведомлении о начале осуществления отдельных видов предпринимательской деятельности, обязательным требованиям;

выполнение предписаний органов государственного контроля (надзора), органов муниципального контроля;

проведение мероприятий:

по предотвращению причинения вреда жизни, здоровью граждан, вреда животным, растениям, окружающей среде;

по предупреждению возникновения чрезвычайных ситуаций природного и техногенного характера;

по обеспечению безопасности государства;

по ликвидации последствий причинения такого вреда.

6. Проверку провести в период с "___"_____________20___ г. по "___"_____________20__ включительно.

7. Правовые основания проведения проверки: ___________________________________

_________________________________________________________________________

_________________________________________________________________________

_________________________________________________________________________

(ссылка на положение нормативного правового акта, в соответствии с

которым осуществляется проверка; ссылка на положения (нормативных)

правовых актов, устанавливающих требования, которые являются предметом

проверки)

8. В процессе проверки провести следующие мероприятия по контролю, необходимые для достижения целей и задач проведения проверки:

_________________________________________________________________________

_________________________________________________________________________

_________________________________________________________________________

9. Перечень административных регламентов проведения мероприятий по контролю (при их наличии), необходимых для проведения проверки: _________

_________________________________________________________________________

_________________________________________________________________________

(с указанием их наименований, содержания, дат составления и

составивших лиц (в случае отсутствия у органа государственного контроля

(надзора) или муниципального контроля полной информации - с

указанием информации, достаточной для идентификации истребуемых))

________________________________________________

________________________________________________

                 (должность, фамилия, инициалы руководителя,

             заместителя руководителя органа государственного

                  контроля (надзора), органа муниципального

                контроля, издавшего распоряжение или приказ

                                 о проведении проверки)

______________________

(подпись, заверенная печатью)

_________________________________________________________________________

_________________________________________________________________________

(фамилия, имя, отчество (в случае, если имеется), и должность

должностного лица, непосредственно подготовившего проект распоряжения

(приказа), контактный телефон, электронный адрес (при наличии))

Приказом Минприроды России от 3 сентября 2009 г. N 280 настоящее приложение изложено в новой редакции

Приложение N 4

к Административному регламенту

Федеральной службы по надзору

в сфере природопользования по

исполнению государственной функции

по осуществлению государственного

контроля за деятельностью в области

охраны атмосферного воздуха

(место составления акта)                                                               "__" ________________ 20____ г.

____________________                                                                       (дата составления акта)

__________________________

                                                                                                                                       время составления акта)

 

ФЕДЕРАЛЬНАЯ СЛУЖБА ПО НАДЗОРУ В СФЕРЕ ПРИРОДОПОЛЬЗОВАНИЯ

(Р0СПРИР0ДНАД30Р)

_________________________________________________________________________

(Федеральная служба по надзору в сфере природопользования, ее

_________________________________________________________________________

территориальный орган, адрес, телефон, факс, e-mail)

 

АКТ
проверки соблюдения требований законодательства
Российской Федерации в области охраны атмосферного воздуха

 

"__" ________________ 20__ г. по адресу: ________________________________________

                                                                                                       (место проведения проверки)

На основании: _____________________________________________________________

_________________________________________________________________________

(вид документа с указанием реквизитов (номер, дата), фамилии, имени,

отчества (в случае, если имеется), должность руководителя, заместителя

руководителя органа государственного контроля (надзора), органа

муниципального контроля, издавшего распоряжение или приказ

о проведении проверки)

была проведена проверка в отношении:

_________________________________________________________________________

_________________________________________________________________________

(полное и (в случае, если имеется) сокращенное наименование, в том

числе фирменное наименование юридического лица, фамилия, имя и (в случае,

если имеется) отчество индивидуального предпринимателя)

Продолжительность проверки: ________________________________________

Акт составлен: _____________________________________________________

_________________________________________________________________________

(наименование органа государственного контроля (надзора)

или органа муниципального контроля)

С копией распоряжения/приказа о проведении проверки ознакомлен:

(заполняется при проведении выездной проверки) __________________________

_________________________________________________________________________

_________________________________________________________________________

(фамилии, имена, отчества (в случае, если имеется), подпись, дата, время)

Дата и номер решения прокурора (его заместителя) о согласовании

проведения проверки: ____________________________________________________

_________________________________________________________________________

(заполняется в случае проведения внеплановой проверки субъекта малого или среднего предпринимательства)

Лицо(а), проводившее проверку: ___________________________________

_________________________________________________________________________

_________________________________________________________________________

(фамилия, имя, отчество (в случае, если имеется), должность

должностного лица (должностных лиц), проводившего(их) проверку; в случае

привлечения к участию к проверке экспертов, экспертных организаций

указываются фамилии, имена, отчества (в случае, если имеются) , должности

экспертов и/или наименование экспертных организаций)

При проведении проверки присутствовали: ____________________________

_________________________________________________________________________

_________________________________________________________________________

(фамилия, имя, отчество (в случае, если имеется), должность

руководителя, иного должностного лица (должностных лиц) или

уполномоченного представителя юридического лица, уполномоченного

представителя индивидуального предпринимателя, присутствовавших при

проведении мероприятий по проверке)

В ходе проведения проверки:

выявлены нарушения обязательных требований или требований, установленных муниципальными правовыми актами:

_________________________________________________________________________

_________________________________________________________________________

(с указанием характера нарушений; лиц, допустивших нарушения)

выявлены несоответствия сведений, содержащихся в уведомлении о начале осуществления отдельных видов предпринимательской деятельности, обязательным требованиям (с указанием положений (нормативных) правовых актов):

_________________________________________________________________________

_________________________________________________________________________

_________________________________________________________________________

выявлены факты невыполнения предписаний органов государственного контроля (надзора), органов муниципального контроля (с указанием реквизитов выданных предписаний):

_________________________________________________________________________

_________________________________________________________________________

нарушений не выявлено _____________________________________________________

_________________________________________________________________________

 

Запись в Журнал учета проверок юридического лица, индивидуального предпринимателя, проводимых органами государственного контроля (надзора), органами муниципального контроля внесена (заполняется при проведении выездной проверки):

 

___________________________ __________________________________________

           (подпись проверяющего)                               (подпись уполномоченного представителя

                                                                                        юридического лица, индивидуального

                                                                                       предпринимателя, его уполномоченного

                                                                                                               представителя)

 

Журнал учета проверок юридического лица, индивидуального предпринимателя, проводимых органами государственного контроля (надзора), органами муниципального контроля отсутствует (заполняется при проведении выездной проверки):

 

___________________________ __________________________________________

           (подпись проверяющего)                               (подпись уполномоченного представителя

                                                                                        юридического лица, индивидуального

                                                                                       предпринимателя, его уполномоченного

                                                                                                               представителя)

 

Прилагаемые документы:  _____________________________________________

Подписи лиц, проводивших проверку: ___________________________________

_________________________________

С актом проверки ознакомлен(а), копию акта со всеми приложениями получил(а): _________________________________

_________________________________

                                                                                                                        (фамилия, имя, отчество (в

                                                                                                                    случае, если имеется), должность

                                                                                                                  руководителя, иного должностного

                                                                                                                        лица или уполномоченного

                                                                                                                   представителя юридического лица,

                                                                                                                   индивидуального предпринимателя,

                                                                                                                               его уполномоченного

                                                                                                                                   представителя)

"__" ____________ 20__ г. ______________

                                                                                                                                                                 (подпись)

 

Пометка об отказе ознакомления с актом проверки: ________________________

                                                                                                                (подпись уполномоченного

                                                                                                                 должностного лица (лиц),

                                                                                                                  проводившего проверку)

 

Приложение N 5

к Административному регламенту

Федеральной службы по надзору

в сфере природопользования по

исполнению государственной функции

по осуществлению государственного

контроля за деятельностью в области

охраны атмосферного воздуха

Образец

ГЕРБ РОССИЙСКОЙ ФЕДЕРАЦИИ

ФЕДЕРАЛЬНАЯ СЛУЖБА ПО НАДЗОРУ В СФЕРЕ ПРИРОДОПОЛЬЗОВАНИЯ

_________________________________________________________________

(наименование территориального органа)

ПРОТОКОЛ N ____
об административном правонарушении в отношении юридического лица

(индивидуального предпринимателя)

"___"_________200_ г.           _____________________

(дата составления протокола)         (место составления протокола)

________________________________________________________________________________

(должность, фамилия, имя, отчество должностного лица, составившего протокол)

________________________________________________________________________________

составил настоящий протокол о том, ________________________________________________

(место, время и событие

________________________________________________________________________________

административного правонарушения, статьи (пункты) нарушенных

________________________________________________________________________________

нормативных актов, каждое нарушение излагается по пунктам

________________________________________________________________________________

1, 2, 3... и т.д.)

________________________________________________________________________________

что является административным правонарушением, ответственность за которое предусмотрена

________________________________________________________________________________

(N статьи, статей) Кодекса Российской Федерации об административных правонарушениях.

Сведения о лице, в отношении которого возбуждено дело об административном правонарушении (индивидуальном предпринимателе, должностном лице):

Фамилия ____________________________________________________________

Имя _____________________ Отчество _________________________________

Место работы, должность ________________________________________________________

(для индивидуальных предпринимателей - N

и дата выдачи свидетельства о государственной регистрации)

Дата рождения ___________________ Место рождения ________________________________

(число, месяц, год)

Документ, удостоверяющий личность _______________________________________________

(название, серия, N, когда

________________________________________________________________________________

и кем выдан)

Семейное положение,                                     Ежемесячный

кол-во иждивенцев ____________________ доход __________________________________

Ранее к административной

ответственности по ст. ________________ КоАП РФ ________________________________

(не привлекался, привлекался когда)

Указанные сведения подтверждаю _________________________________________________

(подпись лица, в отношении которого возбуждено

дело об административном правонарушении)

Сведения о лице, в отношении которого возбуждено дело об административном

правонарушении (юридическом лице) _______________________________________________

(полное наименование, юридический и фактический

________________________________________________________________________________

адрес, ИНН, банковские реквизиты)

________________________________________________________________________________

(должность, фамилия, инициалы руководителя, телефон, документ,

подтверждающий полномочия законного представителя)

________________________________________________________________________________

________________________________________________________________________________

Ранее к административной

ответственности по ст. __________________ КоАП РФ ________________________

(не привлекался, привлекался когда)

Потерпевшие от правонарушения, свидетели (если имеются):

(нужное подчеркнуть)

1.____________________________________________________________________________

(фамилия, инициалы, место жительства)

Документ, удостоверяющий

личность _______________________________________________________________________

(название, серия, N, когда и кем выдан)

2. ___________________________________________________________________________,

(для юридического лица - полное наименование юридического лица, ИНН, юридический

и фактический адрес, фамилия, инициалы руководителя, телефон)

которым разъяснены права и обязанности, предусмотренные

ст.ст. 25.2, 25.6 КоАП РФ _________________________________________________________

(фамилия, инициалы, подпись, дата)

Протокол составлен в присутствии защитника (адвоката), представителя

(нужное подчеркнуть)

_______________________________________________________________________________

(фамилия, инициалы, место работы)

_______________________________________________________________________________,

(данные ордера (для адвоката), доверенности (для представителя))

которому разъяснены права, предусмотренные ст. 25.5 КоАП РФ _______________________

(фамилия,

________________________________________________________________________________

инициалы, подпись, дата)

Положения ст.ст. 25.1, 30.1 Кодекса Российской Федерации об административных правонарушениях, о моем праве знакомиться со всеми материалами дела, давать объяснения, представлять доказательства, заявлять ходатайства и отводы, пользоваться юридической помощью защитника, обжаловать постановление по делу, а также иные процессуальные права, предусмотренные Кодексом, и положения ст. 51 Конституции Российской Федерации, согласно которой никто не обязан свидетельствовать против себя самого, своего супруга или

близких родственников, мне разъяснены и понятны ___________________________________

________________________________________________________________________________

(фамилия, инициалы, подпись лица, в отношении которого возбуждено дело об административном

правонарушении; для представителя - N и дата доверенности)

Объяснения лица, в отношении которого возбуждено дело об административном правонарушении (законного представителя юридического лица, индивидуального предпринимателя)

________________________________________________________________________________

________________________________________________________________________________

________________________________________________________________________________

________________________________________________________________________________

________________________________________________________________________________

________________________________________________________________________________

________________________________________________________________________________

(фамилия, инициалы, подпись, дата, для представителя - N и дата доверенности)

Замечания по протоколу __________________________________________________________

________________________________________________________________________________

________________________________________________________________________________

Иные сведения, необходимые

для разрешения дела _____________________________________________________________

_________________________________      _________________________________

(подпись должностного лица,                               (фамилия, инициалы, подпись,

составившего протокол,                               индивидуального предпринимателя

_________________________________      _________________________________

с указанием должности,                                      (законного представителя

фамилии, инициалов, даты)                                   юридического лица), дата)

Протокол подписать отказался ____________________________________________________

(делается отметка должностным лицом, составившим протокол, в случае

отказа от подписи лица, в отношении которого возбуждено дело об

административном правонарушении)

Подписи потерпевших, свидетелей (при необходимости):

1. _________________________________ 2._________________________________

(фамилия, инициалы, подпись, дата)                      (фамилия, инициалы, подпись, дата)

 

К протоколу прилагаются следующие документы:

1. ___________________________________________________________________________

2. ___________________________________________________________________________

3. ___________________________________________________________________________

4. ___________________________________________________________________________

 

Копию протокола об административном правонарушении получил ____________________

(фамилия,

________________________________________________________________________________

инициалы, подпись)

"___"_____________200_ г.

 

Приложение N 6

к Административному регламенту

Федеральной службы по надзору

в сфере природопользования по

исполнению государственной функции

по осуществлению государственного

контроля за деятельностью в области

охраны атмосферного воздуха

Образец

ГЕРБ РОССИЙСКОЙ ФЕДЕРАЦИИ

ФЕДЕРАЛЬНАЯ СЛУЖБА ПО НАДЗОРУ В СФЕРЕ ПРИРОДОПОЛЬЗОВАНИЯ

_________________________________________________________________

(наименование территориального органа)

ПОСТАНОВЛЕНИЕ
о назначении административного наказания

"___"_________200_ г.         ___________________________

(место составления протокола)

Я, ___________________________________________________________________________

(должность, фамилия, имя, отчество лица, выносящего

________________________________________________________________________________

постановление)

Установил: _____________________________________________________________________

_______________________________________________________________________________

(излагаются обстоятельства, установленные при рассмотрении дела)

На основании изложенного и руководствуясь статьями 29.9 и 29.10 КоАП РФ постановил:

1. Признать ___________________________________________________________________

(наименование юридического лица; фамилия, инициалы

________________________________________________________________________________

индивидуального предпринимателя)

________________________________________________________________________________

виновным в совершении административного правонарушения, ответственность за которое предусмотрена статьей ______________ КоАП РФ.

2. Наложить административный штраф в размере ___________________________________

________________________________________________________________________________

(сумма штрафа указывается цифрами и прописью)

Постановление может быть обжаловано в течение 10 рабочих дней со дня вручения или получения копии постановления вышестоящему должностному лицу или в районный суд по месту рассмотрения дела в порядке, установленном КоАП РФ. Постановление по делу об административном правонарушении, совершенном юридическим лицом или индивидуальным предпринимателем без образования юридического лица, обжалуется в арбитражный суд в соответствии с арбитражным процессуальным законодательством.

3. Вещи, изъятые в качестве орудия совершения или предмета административного правонарушения

_______________________________________________________________________________

(указать, какие именно и суть

________________________________________________________________________________

принятого решения в соответствии с п. 3 ст. 29.10 КоАП РФ)

4. Вещи, на которые наложен арест: ______________________________________________

(указать, какие именно

________________________________________________________________________________

и суть принятого решения в соответствии с п. 3 ст. 29.10 КоАП РФ)

5. Изъятые документы:__________________________________________________________

(указать, какие именно и суть принятого

________________________________________________________________________________

решения в соответствии с п. 3 ст. 29.10 КоАП РФ)

____________________________

(подпись, фамилия, инициалы

должностного лица, дата)

Копию постановления получил

________________________________________________________________________

(подпись, фамилия, инициалы правонарушителя или законного

________________________________________________________________________

представителя юридического лица, дата или отметка об отказе

________________________________________________________________________

от подписи)

Копия постановления направлена письмом с уведомлением

________________________________________________________________________________

(кому, когда, N почтовой квитанции)

 

Приложение N 7

к Административному регламенту

Федеральной службы по надзору

в сфере природопользования по

исполнению государственной функции

по осуществлению государственного

контроля за деятельностью в области

охраны атмосферного воздуха

Образец

ГЕРБ РОССИЙСКОЙ ФЕДЕРАЦИИ

ФЕДЕРАЛЬНАЯ СЛУЖБА ПО НАДЗОРУ В СФЕРЕ ПРИРОДОПОЛЬЗОВАНИЯ

______________________________________________________________

(наименование территориального органа)

ПРЕДПИСАНИЕ
об устранении нарушения законодательства

"___"_________200_ г.         ___________________________

(место составления)

Предписание N__________200_ г.
об устранении выявленных нарушений норм законодательства в области охраны атмосферного воздуха

Кому ________________________________________________________________________

(фамилия, имя, отчество)

________________________________________________________________________________

________________________________________________________________________________

(должность, название организации)

В соответствии со статьей 66 Федерального закона "Об охране окружающей среды", ПРЕДЛАГАЮ устранить следующие нарушения:

№ п/п

Перечень выявленных нарушений

Сроки устранения

1

2

3

 

 

 

О результатах рассмотрения Предписания и принятых мерах прошу сообщить в

_________________________________________________________________________ в срок

(территориальный орган Росприроднадзора)

до "___"_________200_ г.

Государственный инспектор

по охране природы               ____________________

(подпись)

________________________________________________________________________

(фамилия, имя, отчество государственного инспектора)

Предписание получил ________________________________________________

(фамилия, имя, отчество, должность)

__________________      _____________________________

(подпись)                                               (дата, время)

 

Приложение N 8

к Административному регламенту

Федеральной службы по надзору

в сфере природопользования по

исполнению государственной функции

по осуществлению государственного

контроля за деятельностью в области

охраны атмосферного воздуха

Образец

ГЕРБ РОССИЙСКОЙ ФЕДЕРАЦИИ

ФЕДЕРАЛЬНАЯ СЛУЖБА ПО НАДЗОРУ В СФЕРЕ ПРИРОДОПОЛЬЗОВАНИЯ

_________________________________________________________________

(наименование территориального органа)

ПОСТАНОВЛЕНИЕ
о прекращении производства по делу об административном правонарушении

N__________   "__"_________20_г.     ___________________

(место вынесения)

________________________________________________________________________________

(должность, фамилия, имя, отчество должностного лица,

________________________________________________________________________________

в производстве которого находится дело об административном правонарушении)

изучив материалы дела об административном правонарушении N __________ в отношении

________________________________________________________________________________

(указать фамилию, имя, отчество, паспортные

________________________________________________________________________________

данные, код ИНН, место жительства и / или регистрации

________________________________________________________________________________

индивидуального предпринимателя (либо наименование, коды ОКПО и ИНН,

________________________________________________________________________________

местонахождение юридического лица), если такое лицо установлено)

по ч. __ ст.__ КоАП РФ,

УСТАНОВИЛ:

________________________________________________________________________________

(указываются установленные обстоятельства, исключающие

________________________________________________________________________________

производство по делу об административном правонарушении)

________________________________________________________________________________

________________________________________________________________________________

________________________________________________________________________________

На основании изложенного и руководствуясь ст. 28.9 КоАП РФ,

ПОСТАНОВИЛ:

1. Производство по делу об административном правонарушении N_______ в отношении

________________________________________________________________________________

по ч.__ ст.__ КоАП РФ прекратить в связи ___________________________________________

(указываются обстоятельства,

________________________________________________________________________________

изложенные в п. 24.5 КоАП РФ)

2. Вещественные доказательства: ________________________________________________

(указать какие именно и суть

________________________________________________________________________________

принятого решения в соответствии с ч. 3 ст. 29.10 КоАП РФ)

3. Издержки по делу об административном правонарушении _________________________

________________________________________________________________________________

(указать какие именно, их размер и на чей счет относятся

________________________________________________________________________________

в соответствии со ст. 24.7 КоАП РФ)

В соответствии со ст.ст. 30.1 - 30.3 КоАП РФ постановление по делу об административном правонарушении может быть обжаловано лицами, указанными в ст.ст. 25.1, 25.3-25.5 КоАП РФ, в вышестоящий таможенный орган, находящийся по адресу

________________________________________________________________________________

(наименование и адрес вышестоящего таможенного органа)

через __________________________________________________________________________

(наименование таможенного органа, должностным лицом

________________________________________________________________________________

которого вынесено постановление)

либо в арбитражный суд в соответствии с Арбитражным процессуальным кодексом Российской Федерации.

При обжаловании постановления в вышестоящий таможенный орган или районный суд жалоба может быть подана непосредственно в этот орган или суд.

Жалоба на постановление по делу об административном правонарушении может быть подана в течение 10 рабочих дней со дня вручения или получения копии постановления. По истечении этого срока необжалованное и неопротестованное постановление по делу об административном правонарушении вступает в законную силу и обращается к исполнению.

Информация о дате и времени рассмотрения жалобы вышестоящим таможенным органом может быть получена по телефону ______________.

Желательно также указать в жалобе телефон, по которому лицо может быть уведомлено о дате и времени ее рассмотрения.

__________________________   _____________   ____________________________

(должность лица, в производстве               (подпись)                     (инициалы и фамилия)

которого находится дело)

Копию настоящего постановления получил "___"________20___г.

________________   __________________________

(подпись)                           (инициалы и фамилия)

Копия настоящего постановления выслана по адресу:________________________________

________________________________________________________________________________

Примечание. Копия постановления вручается под расписку индивидуальному предпринимателю (его представителю) или законному представителю юридического лица, в отношении которых оно вынесено, а также потерпевшему по его просьбе либо высылается указанным лицам в течение 3 рабочих дней со дня вынесения указанного постановления.

 

Приложение N 9

к Административному регламенту

Федеральной службы по надзору

в сфере природопользования по

исполнению государственной функции

по осуществлению государственного

контроля за деятельностью в области

охраны атмосферного воздуха

Образец

ГЕРБ РОССИЙСКОЙ ФЕДЕРАЦИИ

ФЕДЕРАЛЬНАЯ СЛУЖБА ПО НАДЗОРУ В СФЕРЕ ПРИРОДОПОЛЬЗОВАНИЯ

________________________________________________________________

(наименование территориального органа)

ПРЕДСТАВЛЕНИЕ
об устранении причин и условий, способствовавших совершению административного правонарушения

"__"________200__ г.          ___________________

(место составления)

Мной, _______________________________________________________________________

________________________________________________________________________________

________________________________________________________________________________

(должность, Ф.И.О. должностного лица, N и дата выдачи служебного удостоверения)

в отношении ____________________________________________________________________

________________________________________________________________________________

________________________________________________________________________________

________________________________________________________________________________

________________________________________________________________________________

(1) наименование юридического лица, ведомственная принадлежность, юридический и фактический адрес;

(2) Ф.И.О. индивидуального предпринимателя, его место жительства и работы)

согласно статье 29.13 КоАП РФ вынесено представление о принятии мер по устранению причин и условий, способствовавших совершению административных правонарушений

________________________________________________________________________________

________________________________________________________________________________

________________________________________________________________________________

(установленные нарушения, пункты и статьи законодательных и нормативно-правовых актов)

На основании _________________________________________________________________

________________________________________________________________________________

(пункты и статьи законов Российской Федерации)

обязываю принять меры по устранению выявленных нарушений.

Информацию о принятых мерах представить в Управление Росприроднадзора по

________________________________________________________________________________

(наименование субъекта Российской Федерации)

в течение 30 рабочих дней со дня получения представления.

Государственный инспектор _______________    _______________________

(подпись)                          (фамилия, инициалы)

 

 

 




ГОСТЫ, СТРОИТЕЛЬНЫЕ и ТЕХНИЧЕСКИЕ НОРМАТИВЫ.
Некоммерческая онлайн система, содержащая все Российские Госты, национальные Стандарты и нормативы.
В Системе содержится более 150000 файлов нормативно-технической документации, действующей на территории РФ.
Система предназначена для широкого круга инженерно-технических специалистов.

Рейтинг@Mail.ru Яндекс цитирования

Copyright © www.gostrf.com, 2008 - 2026