Крупнейшая бесплатная информационно-справочная система онлайн доступа к полному собранию технических нормативно-правовых актов РФ. Огромная база технических нормативов (более 150 тысяч документов) и полное собрание национальных стандартов, аутентичное официальной базе Госстандарта. GOSTRF.com - это более 1 Терабайта бесплатной технической информации для всех пользователей интернета. Все электронные копии представленных здесь документов могут распространяться без каких-либо ограничений. Поощряется распространение информации с этого сайта на любых других ресурсах. Каждый человек имеет право на неограниченный доступ к этим документам! Каждый человек имеет право на знание требований, изложенных в данных нормативно-правовых актах!

  


 

Приказ Министерства экономического развития РФ от 24 февраля 2009 г. N 58

Об утверждении Методики оценки эффективности использования средств федерального бюджета, направляемых на капитальные вложения

Во исполнение пункта 4 Правил проведения проверки инвестиционных проектов на предмет эффективности использования средств федерального бюджета, направляемых на капитальные вложения, утвержденных постановлением Правительства Российской Федерации от 12 августа 2008 г. N 590 (Собрание законодательства Российской Федерации, 2008, N 34, ст. 3916; 2009, N 2, ст. 247), приказываю:

Утвердить прилагаемую Методику оценки эффективности использования средств федерального бюджета, направляемых на капитальные вложения.

Министр                                                                                Э.С. Набиуллина

Зарегистрировано в Минюсте РФ 27 апреля 2009 г.

Регистрационный N 13833

Методика
оценки эффективности использования средств федерального бюджета, направляемых на капитальные вложения

Содержание

I. Общие положения

II. Состав, порядок определения баллов оценки качественных критериев и оценки эффективности на основе качественных критериев

III. Состав, порядок определения баллов оценки и весовых коэффициентов количественных критериев и оценки эффективности на основе количественных критериев

IV. Расчет интегральной оценки эффективности

Приложение 1 Расчет интегральной оценки эффективности инвестиционного проекта

Приложение 2 Значения весовых коэффициентов количественных критериев

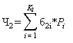
Приложение 3 Рекомендуемые количественные показатели, характеризующие цель и результаты реализации проекта

Приложение 4 Сведения и количественные показатели результатов реализации инвестиционного проекта-аналога

I. Общие положения

1. Настоящая Методика предназначена для оценки эффективности использования средств федерального бюджета, направляемых на капитальные вложения (далее - оценка эффективности), по инвестиционным проектам, финансирование которых планируется осуществлять полностью или частично за счет средств федерального бюджета.

2. Оценка эффективности осуществляется на основе интегральной оценки эффективности, а также оценки эффективности на основе качественных и количественных критериев путем определения балла оценки по каждому из указанных критериев.

3. Методика устанавливает общие требования к расчету интегральной оценки эффективности, а также расчету оценки эффективности на основе качественных и количественных критериев.

II. Состав, порядок определения баллов оценки качественных критериев и оценки эффективности на основе качественных критериев

4. Оценка эффективности осуществляется на основе следующих качественных критериев:

а) наличие четко сформулированной цели инвестиционного проекта с определением количественного показателя (показателей) результатов его осуществления;

б) соответствие цели инвестиционного проекта приоритетам и целям, определенным в прогнозах и программах социально-экономического развития Российской Федерации, государственной программе вооружения, отраслевых доктринах, концепциях и стратегиях развития на среднесрочный и долгосрочный периоды;

в) комплексный подход к реализации конкретной проблемы в рамках инвестиционного проекта во взаимосвязи с программными мероприятиями, реализуемыми в рамках долгосрочных (федеральных) целевых программ, ведомственных целевых программ и соответствующих региональных программ;

г) необходимость строительства (реконструкции и технического перевооружения) объекта капитального строительства, создаваемого в рамках инвестиционного проекта, в связи с осуществлением соответствующими государственными и муниципальными органами полномочий, отнесенных к предмету их ведения;

д) отсутствие в достаточном объеме замещающей продукции (работ и услуг), производимой иными организациями;

е) обоснование необходимости реализации инвестиционного проекта с привлечением средств федерального бюджета;

ж) наличие долгосрочных (региональных и муниципальных) целевых программ, реализуемых за счет средств бюджета субъекта Российской Федерации (местных бюджетов), предусматривающих строительство, реконструкцию и (или) техническое перевооружение объектов капитального строительства государственной собственности субъектов Российской Федерации (муниципальной собственности), реализуемых в рамках инвестиционных проектов;

з) целесообразность использования при реализации инвестиционного проекта дорогостоящих строительных материалов, художественных изделий для отделки интерьеров и фасада, машин и оборудования;

и) наличие положительного заключения государственной экспертизы проектной документации и результатов инженерных изысканий.

5. Оценка эффективности на основе качественных критериев рассчитывается по следующей формуле:

где:

б1i - балл оценки i-ого качественного критерия;

K1 - общее число качественных критериев;

K1нп - число критериев, не применимых к проверяемому инвестиционному проекту.

6. Требования к определению баллов оценки по каждому из качественных критериев установлены пунктами 7 - 15 Методики.

Возможные значения баллов оценки по каждому из качественных критериев приведены в графе "Допустимые баллы оценки" Таблицы 1 "Оценка соответствия инвестиционного проекта качественным критериям" Приложения 1 к Методике.

7. Критерий - наличие четко сформулированной цели инвестиционного проекта с определением количественного показателя (показателей) результатов его осуществления.

Балл равный 1 присваивается проекту, если в паспорте инвестиционного проекта и обосновании экономической целесообразности, объема и сроков осуществления капитальных вложений, дана четкая формулировка конечных социально-экономических результатов реализации инвестиционного проекта и определены характеризующие их количественные показатели (показатель).

Конечные социально-экономические результаты реализации проекта - эффект для потребителей, населения, получаемый от товаров, работ или услуг, произведенных после реализации инвестиционного проекта. Например, снижение уровня загрязнения окружающей среды, повышение уровня обеспеченности населения медицинскими услугами, услугами образования и другие.

Рекомендуемые показатели, характеризующие конечные социально-экономические результаты реализации проекта по различным видам деятельности и типам проектов, приведены в Приложении 3 к Методике. Заявитель вправе определить иные показатели с учетом специфики инвестиционного проекта.

8. Критерий - соответствие цели инвестиционного проекта приоритетам и целям, определенным в прогнозах и программах социально-экономического развития Российской Федерации, государственной программе вооружения, отраслевых доктринах, концепциях и стратегиях развития на среднесрочный и долгосрочный периоды.

Балл равный 1 присваивается проекту, если цель инвестиционного проекта соответствует одному из приоритетов и целей в указанных документах. Для обоснования оценки заявитель приводит формулировку приоритета и цели со ссылкой на соответствующий документ.

9. Критерий - комплексный подход к реализации конкретной проблемы в рамках инвестиционного проекта во взаимосвязи с программными мероприятиями, реализуемыми в рамках долгосрочных (федеральных) целевых программ, ведомственных целевых программ и соответствующих региональных программ.

Обоснованием комплексного подхода к реализации конкретной проблемы в рамках инвестиционного проекта (балл равный 1) являются:

а) для инвестиционных проектов, включенных в одну из указанных программ, - соответствие цели инвестиционного проекта задаче программного мероприятия, решение которой обеспечивает реализация предлагаемого инвестиционного проекта. Заявитель приводит наименование соответствующей целевой программы, а также наименование программного мероприятия, выполнение которого обеспечит осуществление инвестиционного проекта. Для долгосрочных (федеральных) целевых программ также указывается дата утверждения ее концепции Правительством Российской Федерации, а для ведомственных целевых программ - реквизиты принятого руководителем субъекта бюджетного планирования решения о ее разработке;

б) для инвестиционных проектов, не включенных в указанные целевые программы, указываются реквизиты документа, содержащего оценку влияния реализации инвестиционного проекта на комплексное развитие территорий соответственно Российской Федерации, субъектов Российской Федерации и муниципальных образований.

10. Критерий - необходимость строительства (реконструкции и технического перевооружения) объекта капитального строительства, создаваемого в рамках инвестиционного проекта, в связи с осуществлением соответствующими государственными и муниципальными органами полномочий, отнесенных к предмету их ведения.

Балл равный 1 присваивается при наличии обоснования невозможности осуществления государственными и муниципальными органами полномочий, отнесенных к предмету их ведения:

а) без строительства объекта капитального строительства, создаваемого в рамках инвестиционного проекта;

б) без реконструкции, технического перевооружения объекта капитального строительства (с документальным подтверждением необходимости осуществления мероприятий по их реализации: указание степени изношенности конструкций, обоснование необходимости замены действующего и/или приобретения нового оборудования).

11. Критерий - отсутствие в достаточном объеме замещающей продукции (работ и услуг), производимой иными организациями.

Балл равный 1 присваивается в случае, если в рамках проекта предполагается:

а) производство продукции (работ и услуг), не имеющей мировых и отечественных аналогов;

б) производство импортозамещающей продукции (работ и услуг);

в) производство продукции (работ и услуг), спрос на которую с учетом производства замещающей продукции удовлетворяется не в полном объеме.

Для обоснования соответствия критерию заявитель указывает объемы, основные характеристики аналогичной импортируемой продукции; объемы производства, основные характеристики, наименование и месторасположение производителя замещающей продукции (работ и услуг).

12. Критерий - обоснование необходимости реализации инвестиционного проекта с привлечением средств федерального бюджета.

Балл равный 1 присваивается в случае, если строительство (реконструкция, техническое перевооружение) объекта капитального строительства государственной собственности Российской Федерации, создаваемого в рамках инвестиционного проекта, предусмотрено проектами долгосрочных (федеральных) целевых программ, концепция которых утверждена Правительством Российской Федерации, ведомственных целевых программ, решение о разработке которых принято руководителем субъекта бюджетного планирования, либо предусмотрено поручениями Президента Российской Федерации и Правительства Российской Федерации. Заявителем указываются наименование и реквизиты соответствующих документов.

По инвестиционным проектам, финансирование которых планируется осуществлять частично за счет средств федерального бюджета, балл равный 1 присваивается при его соответствии также следующим требованиям:

а) наличие документального подтверждения каждого участника реализации инвестиционного проекта об осуществлении финансирования (софинансирования) инвестиционного проекта с указанием объема и сроков финансирования (софинансирования);

б) соответствие предполагаемого объема и сроков софинансирования проекта в представленных документах объему и срокам софинансирования, предусмотренных паспортом инвестиционного проекта.

Критерий не применим в отношении инвестиционных проектов, планирующих строительство (реконструкцию, техническое перевооружение) объектов капитального строительства государственной собственности субъектов Российской Федерации или муниципальной собственности.

13. Критерий - наличие долгосрочных (региональных и муниципальных) целевых программ, реализуемых за счет средств бюджета субъекта Российской Федерации (местных бюджетов), предусматривающих строительство, реконструкцию и (или) техническое перевооружение объектов капитального строительства государственной собственности субъектов Российской Федерации (муниципальной собственности), реализуемых в рамках инвестиционных проектов.

Балл равный 1 присваивается в случае, если заявителем указаны наименование долгосрочной (федеральной) целевой программы, долгосрочной (региональной или муниципальной) целевой программы, в рамках которых планируется реализация инвестиционного проекта, а также документально подтвержденное обязательство субъекта Российской Федерации (муниципального образования) по финансированию инвестиционного проекта в объеме и в сроки, предусмотренные паспортом инвестиционного проекта.

Критерий не применим в отношении инвестиционных проектов, планирующих строительство (реконструкцию, техническое перевооружение) объектов капитального строительства, не относящихся к государственной собственности субъектов Российской Федерации или муниципальной собственности.

14. Критерий - целесообразность использования при реализации инвестиционного проекта дорогостоящих строительных материалов, художественных изделий для отделки интерьеров и фасада, машин и оборудования.

Использование при реализации инвестиционного проекта дорогостоящих строительных материалов, художественных изделий для отделки интерьеров и фасада, машин и оборудования признается обоснованным (балл равный 1), если:

а) заявителем обоснована необходимость использования дорогостоящих строительных материалов, художественных изделий для отделки интерьеров и фасада, машин и оборудования;

б) отношение сметной стоимости объекта капитального строительства к проектируемой мощности объекта не более чем на 5 процентов превышает значение соответствующего показателя по проекту-аналогу;

в) отношение сметной стоимости объекта капитального строительства к общей площади объекта капитального строительства (кв. м) или строительному объему (куб. м) не более чем на 5 процентов превышает значение соответствующего показателя по проекту-аналогу.

В качестве проекта-аналога должен использоваться проект, реализуемый (или реализованный) без использования дорогостоящих строительных материалов, художественных изделий для отделки интерьеров и фасада, машин и оборудования или (в случае необходимости использования дорогостоящих строительных материалов, художественных изделий для отделки интерьеров и фасада, машин и оборудования) проект-аналог, доля дорогостоящих материалов в общей стоимости строительно-монтажных работ и/или доля дорогостоящих машин и оборудования в общей стоимости машин и оборудования которого не превышает значения соответствующих показателей по рассматриваемому проекту.

Для проведения проверки на соответствие указанному критерию заявитель предоставляет документально подтвержденные сведения по проектам-аналогам, реализуемым (или реализованным) в Российской Федерации, по месту расположения земельного участка, на котором располагается (будет расположен) планируемый объект капитального строительства, или в иностранном государстве в случае отсутствия проектов-аналогов, реализуемых на территории Российской Федерации.

При выборе проектов-аналогов должно быть обеспечено максимальное соответствие характеристик проектируемого объекта и объектов-аналогов по функциональному назначению или по конструктивным и объемно-планировочным решениям. Предлагаемая форма сведений по проекту-аналогу, представляемая заявителем, приведена в Приложении 4 к Методике.

Критерий не применим к инвестиционным проектам, в которых не используются дорогостоящие строительные материалы, художественные изделия для отделки интерьеров и фасада, машины и оборудование.

15. Критерий - наличие положительного заключения государственной экспертизы проектной документации и результатов инженерных изысканий.

Подтверждением соответствия инвестиционного проекта указанному критерию (балл равный 1) являются:

а) для проектов, проектная документация которых разработана и утверждена застройщиком (заказчиком) - наличие в представленных заявителем документах копии положительного заключения государственной экспертизы проектной документации и результатов инженерных изысканий (если проектная документация объекта капитального строительства и результаты инженерных изысканий подлежат государственной экспертизе в соответствии с законодательством Российской Федерации);

б) указанный заявителем номер подпункта и пункта статьи 49 Градостроительного кодекса Российской Федерации (Собрание законодательства Российской Федерации, 2005, N 1 (ч. 1), ст. 16; N 30 (ч. II), ст. 3128; 2006, N 1, ст. 10; N 1, ст. 21; N 23, ст. 2380; N 31 (ч. 1), ст. 3442; N 50, ст. 5279; N 52 (ч. 1), ст. 5498; 2007, N 1 (ч. 1), ст. 21; N 21, ст. 2455; N 31, ст. 4012; N 45, ст. 5417; N 46, ст. 5553; N 50, ст. 6237; 2008, N 20, ст. 2251; N 20, ст. 2260; N 29 (ч. 1), ст. 3418; N 30 (ч. 1), ст. 3604; N 30 (ч. 2), ст. 3616; N 52 (ч. 1), ст. 6236; 2009, N 1, ст. 17), в соответствии с которым государственная экспертиза проектной документации предполагаемого объекта капитального строительства не проводится.

Критерий не применим к инвестиционным проектам, по которым подготавливается решение о предоставлении средств федерального бюджета на подготовку проектной документации и проведение инженерных изысканий, выполняемых для подготовки такой проектной документации, либо о представлении средств федерального бюджета на условиях софинансирования на реализацию инвестиционных проектов, проектная документация по которым будет разработана без использования средств федерального бюджета. Подтверждением указанного положения является согласованное с субъектом бюджетного планирования задание на проектирование объекта капитального строительства, создаваемого в рамках инвестиционного проекта.

III. Состав, порядок определения баллов оценки и весовых коэффициентов количественных критериев и оценки эффективности на основе количественных критериев

16. Оценка эффективности осуществляется на основе следующих количественных критериев:

а) значения количественных показателей (показателя) результатов реализации инвестиционного проекта;

б) отношение сметной стоимости инвестиционного проекта к значениям количественных показателей (показателя) результатов реализации инвестиционного проекта;

в) наличие потребителей продукции (услуг), создаваемой в результате реализации инвестиционного проекта, в количестве, достаточном для обеспечения проектируемого (нормативного) уровня использования проектной мощности объекта капитального строительства;

г) отношение проектной мощности создаваемого (реконструируемого) объекта капитального строительства к мощности, необходимой для производства продукции (услуг) в объеме, предусмотренном для федеральных государственных нужд;

д) обеспечение планируемого объекта капитального строительства инженерной и транспортной инфраструктурой в объемах, достаточных для реализации инвестиционного проекта.

17. Оценка эффективности на основе количественных критериев рассчитывается по следующей формуле:

где:

б2i - балл оценки i-ого количественного критерия;

Рi - весовой коэффициент i-ого количественного критерия, в процентах;

K2 - общее число количественных критериев.

Сумма весовых коэффициентов по всем количественным критериям составляет 100 %.

18. Требования к определению баллов оценки по каждому из количественных критериев установлены пунктами 19 - 23 Методики.

Значения весовых коэффициентов количественных критериев в зависимости от типа инвестиционного проекта, устанавливаемые в целях Методики, приведены в Приложении 2 к Методике.

Возможные значения баллов оценки по каждому из количественных критериев приведены в графе "Допустимые баллы оценки" Таблицы 2 "Оценка соответствия инвестиционного проекта количественным критериям" Приложения 1 к Методике.

19. Критерий - значения количественных показателей (показателя) результатов реализации инвестиционного проекта.

Для присвоения балла равного 1 представленные заявителем в паспорте проекта инвестиционного проекта значения количественных показателей результатов его реализации должны отвечать следующим требованиям:

а) наличие показателя (показателей), характеризующих непосредственные (прямые) результаты реализации инвестиционного проекта (мощность объекта капитального строительства, общая площадь объекта, общий строительный объем) с указанием единиц измерения в соответствии с Общероссийским классификатором единиц измерения;

б) наличие не менее одного показателя, характеризующего конечные социально-экономические результаты реализации проекта.

20. Критерий - отношение сметной стоимости инвестиционного проекта к значениям количественных показателей (показателя) результатов реализации инвестиционного проекта.

Сметная стоимость объекта капитального строительства, создаваемого в рамках реализации инвестиционного проекта, указывается в ценах года получения положительного заключения государственной экспертизы проектной документации, а при его отсутствии - в ценах года представления паспорта инвестиционного проекта (с указанием года ее определения).

Балл равный 1 присваивается проекту, если значение отношения сметной стоимости объекта капитального строительства к количественным показателям (показателю) результатов реализации проекта, не превышает аналогичного значения (значений) показателя (показателей) по проектам-аналогам.

Балл равный 0,5 присваивается проекту, если значение отношения сметной стоимости предлагаемого объекта капитального строительства к его количественным показателям (показателю) превышает значение указанного отношения по проекту-аналогу не более чем на 5 процентов.

Балл равный 0 присваивается проекту, в случае если значение отношения сметной стоимости предлагаемого объекта капитального строительства к его количественным показателям (показателю) превышает значение указанного отношения по проекту-аналогу более чем на 5% хотя бы по одному показателю.

При определении значения баллов сметные стоимости объектов капитального строительства, создаваемых (созданных) в ходе реализации проектов-аналогов, должны представляться в ценах года определения сметной стоимости объекта капитального строительства, планируемого к созданию в рамках реализации инвестиционного проекта. Приведение сметной стоимости объектов капитального строительства по проектам-аналогам к указанному уровню цен должно осуществляться с использованием индексов-дефляторов инвестиций в основной капитал за счет всех источников финансирования, разработанных Минэкономразвития России в составе сценарных условий и основных параметров прогноза социально-экономического развития Российской Федерации и доведенных до федеральных органов исполнительной власти после утверждения Правительством Российской Федерации.

21. Критерий - наличие потребителей продукции (услуг), создаваемой в результате реализации инвестиционного проекта, в количестве, достаточном для обеспечения проектируемого (нормативного) уровня использования проектной мощности объекта капитального строительства.

Заявитель приводит обоснование спроса (потребности) на продукцию (услуги), создаваемую в результате реализации инвестиционного проекта.

Балл равный 1 присваивается, если проектная мощность (намечаемый объем производства продукции, оказания услуг) создаваемого (реконструируемого) в рамках реализации инвестиционного проекта объекта капитального строительства соответствует (или менее) потребности в данной продукции (услугах).

Балл равный 0,5 присваивается, если потребность в данной продукции (услугах) обеспечивается уровнем использования проектной мощности создаваемого (реконструируемого) в рамках реализации инвестиционного проекта объекта капитального строительства в размере менее 100 процентов, но не ниже 75 процентов проектной мощности.

Балл равный 0 присваивается, если потребность в данной продукции (услугах) обеспечивается уровнем использования проектной мощности создаваемого (реконструируемого) в рамках реализации инвестиционного проекта объекта капитального строительства в размере менее 75 процентов проектной мощности.

Потребность в продукции (услугах) определяется на момент ввода создаваемого (реконструируемого) в рамках реализации инвестиционного проекта объекта капитального строительства с учетом уже созданных и создаваемых мощностей в данной сфере деятельности.

22. Критерий - отношение проектной мощности создаваемого (реконструируемого) объекта капитального строительства к мощности, необходимой для производства продукции (услуг) в объеме, предусмотренном для федеральных государственных нужд.

Балл равный 1 присваивается, если отношение проектной мощности создаваемого (реконструируемого) объекта капитального строительства к мощности, необходимой для производства продукции (услуг) в объеме, предусмотренном для федеральных государственных нужд, не превышает 100 процентов.

Заявитель приводит обоснования спроса (потребности) на услуги (продукцию), создаваемые в результате реализации инвестиционного проекта, для обеспечения проектируемого (нормативного) уровня использования проектной мощности объекта капитального строительства.

23. Критерий - обеспечение планируемого объекта капитального строительства инженерной и транспортной инфраструктурой в объемах, достаточных для реализации инвестиционного проекта.

Заявитель приводит обоснование планируемого обеспечения создаваемого (реконструируемого) объекта капитального строительства инженерной и транспортной инфраструктурой.

Балл равен 1 в случаях:

а) если на площадке, отводимой под предлагаемое строительство, уже имеются все виды инженерной и транспортной инфраструктуры в необходимых объемах;

б) если для предполагаемого объекта капитального строительства в силу его функционального назначения инженерная и транспортная инфраструктура не требуется (например, берегоукрепительные работы).

Балл равен 0,5 - если средневзвешенный уровень обеспеченности планируемого объекта капитального строительства инженерной и транспортной инфраструктурой менее 100 процентов, но не менее 75 процентов от требуемого объема, и инвестиционным проектом предусмотрены затраты на обеспечение планируемого объекта капитального строительства инженерной и транспортной инфраструктурой в необходимых объемах.

Балл равен 0 - если средневзвешенный уровень обеспеченности планируемого объекта капитального строительства инженерной и транспортной инфраструктурой менее 75 процентов от требуемого объема и инвестиционным проектом не предусмотрены затраты на обеспечение планируемого объекта капитального строительства инженерной и транспортной инфраструктурой в необходимых объемах.

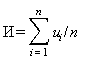
Средневзвешенный уровень обеспеченности инженерной и транспортной инфраструктурой рассчитывается:

где:

иi - уровень обеспеченности i-ым видом инженерной и транспортной инфраструктуры (энергоснабжение; водоснабжение, теплоснабжение, телефонная связь, объекты транспортной инфраструктуры), в процентах;

n - количество видов необходимой инженерной и транспортной инфраструктуры.

IV. Расчет интегральной оценки эффективности

24. Интегральная оценка (Эинт) определяется как средневзвешенная сумма оценок эффективности на основе качественных и количественных критериев по следующей формуле:

где:

Ч1 - оценка эффективности на основе качественных критериев;

Ч2 - оценка эффективности на основе количественных критериев;

0,2 и 0,8 - весовые коэффициенты оценок эффективности на основе качественных и количественных критериев соответственно.

Расчет интегральной оценки приведен в Таблице 3 "Расчет интегральной оценки эффективности" Приложения 1.

25. При осуществлении оценки эффективности предельное (минимальное) значение интегральной оценки устанавливается равным 70 %. Соответствие или превышение числового значения интегральной оценки установленному предельному значению свидетельствует об эффективности инвестиционного проекта и целесообразности его финансирования полностью или частично за счет средств федерального бюджета.

Приложение 1

к Методике оценки эффективности

использования средств федерального

бюджета, направляемых на капитальные

вложения, утвержденной приказом

Министерства экономического развития РФ

от 24 февраля 2009 г. N 58

Расчет интегральной оценки эффективности инвестиционного проекта

Наименование проекта ___________________________________________________________

Форма реализации инвестиционного проекта (новое строительство, реконструкция или

техническое перевооружение действующего производства) _____________________________

Заявитель _______________________________________________________________________

Тип проекта _____________________________________________________________________

Таблица 1

Оценка соответствия инвестиционного проекта качественным критериям

N

Критерий

Допустимые баллы оценки

Балл оценки (б1i) (или "Критерий не применим")

Ссылки на документальные подтверждения

1.

Наличие четко сформулированной цели инвестиционного проекта с определением количественного показателя (показателей) результатов его осуществления

1;

0

 

Цель и задачи проекта, количественные показатели результатов реализации проекта в соответствии с паспортом инвестиционного проекта и обоснованием экономической целесообразности осуществления капитальных вложений.

2.

Соответствие цели инвестиционного проекта приоритетам и целям, определенным в прогнозах и программах социально-экономического развития Российской Федерации, государственной программе вооружения, отраслевых доктринах, концепциях и стратегиях развития на среднесрочный и долгосрочный периоды

1;

0

 

Приводится наименование документа, приоритет и цель, которым соответствует цель реализации инвестиционного проекта.

3.

Комплексный подход к реализации конкретной проблемы в рамках инвестиционного проекта во взаимосвязи с программными мероприятиями, реализуемыми в рамках долгосрочных (федеральных) целевых программ, ведомственных целевых программ и соответствующих региональных программ

1;

0

 

Для инвестиционных проектов, включенных в целевые программы, указываются цели, задачи, конкретные программные мероприятия, достижение и реализацию которых обеспечивает осуществление инвестиционного проекта.

Для инвестиционных проектов, не включенных в целевые программы, указываются реквизиты документа, содержащего оценку влияния реализации инвестиционного проекта на комплексное развитие территорий соответственно Российской Федерации, субъектов Российской Федерации и муниципальных образований.

4.

Необходимость строительства (реконструкции и технического перевооружения) объекта капитального строительства, создаваемого в рамках инвестиционного проекта, в связи с осуществлением соответствующими государственными и муниципальными органами полномочий, отнесенных к предмету их ведения

1;

0

 

Обоснование необходимости строительства (реконструкции, технического перевооружения) объекта капитального строительства, в связи с осуществлением соответствующими государственными и муниципальными органами полномочий, отнесенных к предмету их ведения.

5.

Отсутствие в достаточном объеме замещающей продукции (работ и услуг), производимой иными организациями

1;

0

 

Указываются объемы, основные характеристики продукции (работ, услуг), не имеющей мировых и отечественных аналогов, либо замещаемой импортируемой продукции; объемы производства, основные характеристики, наименование и месторасположение производителя замещающей отечественной продукции (работ и услуг).

6.

Обоснование необходимости реализации инвестиционного проекта с привлечением средств федерального бюджета

1;

0

Критерий не применим для объектов капитального строительства, относящихся к государственной собственности субъектов Российской Федерации (муниципальной собственности)

 

1. Указывается наименование долгосрочной (федеральной) целевой программы, ведомственной целевой программы, в которую планируется включить инвестиционный проект или поручений Президента Российской Федерации или Правительства Российской Федерации.

2. Реквизиты документов (договоров, протоколов, соглашений и т.п.), подтверждающих намерения участников инвестиционного проекта о его софинансировании с указанием планируемого объема капитальных вложений со стороны каждого участника.

7.

Наличие долгосрочных (региональных и муниципальных) целевых программ, реализуемых за счет средств бюджета субъекта Российской Федерации (местных бюджетов), предусматривающих строительство, реконструкцию и (или) техническое перевооружение объектов капитального строительства государственной собственности субъектов Российской Федерации (муниципальной собственности), реализуемых в рамках инвестиционных проектов

1,

0

Критерий не применим для объектов капитального строительства, не относящихся к государственной собственности субъектов Российской Федерации (муниципальной собственности)

 

1. Указывается наименование долгосрочной (региональной и муниципальной) целевой программы, реализуемой за счет средств бюджета субъекта Российской Федерации (местных бюджетов), дата ее утверждения.

2. Реквизиты документов (договоров, протоколов, соглашений и т.п.), подтверждающих решение участников проекта о его софинансировании с указанием намечаемого объема капитальных вложений со стороны каждого участника.

8.

Целесообразность использования при реализации инвестиционного проекта дорогостоящих строительных материалов, художественных изделий для отделки интерьеров и фасада, машин и оборудования

1;

0

Критерий не применим к инвестиционным проектам, не использующим дорогостоящие строительные материалы, художественные изделия для отделки интерьеров и фасада, машины и оборудование

 

1. Наличие обоснования невозможности достижения цели и результатов реализации проекта без использования дорогостоящих строительных материалов, художественных изделий для отделки интерьеров и фасада, машин и оборудования.

2 Документально подтвержденные данные по проекту-аналогу.

9.

Наличие положительного заключения государственной экспертизы проектной документации и результатов инженерных изысканий

1;

0

Критерий не применим к инвестиционным проектам, по которым планируется предоставление средств федерального бюджета на подготовку проектной документации либо проектная документация будет разработана без использования средств федерального бюджета

 

1. Реквизиты положительного заключения государственной экспертизы проектной документации и результатов инженерных изысканий (в случае ее необходимости согласно законодательству Российской Федерации).

2. В случае, если проведение государственной экспертизы проектной документации не требуется:

а) ссылка на соответствующие пункты и подпункты статьи 49 Градостроительного кодекса Российской Федерации;

б) документальное подтверждение наличия согласования задания на разработку проектной документации с субъектом бюджетного планирования.

 

К1=9

К1нп=

 

Оценка эффективности использования средств федерального бюджета, направляемых на капитальные вложения, на основе качественных критериев, Ч1

Таблица 2

Оценка соответствия инвестиционного проекта количественным критериям

N

Критерий

Допусти­мые баллы оценки

Балл оценки (б2i)

Весовой коэффи­циент критерия рi, %

Средневзве­шенный балл (б2i * pi), %

Ссылки на документальные подтверждения

1.

Значения количественных показателей (показателя) результатов реализации инвестиционного проекта

1;

0

 

 

 

Значения количественных показателей, результатов реализации проекта в соответствии с паспортом проекта

2.

Отношение сметной стоимости инвестиционного проекта к значениям количественных показателей (показателя) результатов реализации инвестиционного проекта

1;

0,5,

0

 

 

 

Основные сведения и технико-экономические показатели проекта-аналога, реализуемого (или реализованного) в Российской Федерации или за рубежом (при отсутствии аналогов на территории России).

3.

Наличие потребителей продукции (услуг), создаваемой в результате реализации инвестиционного проекта, в количестве, достаточном для обеспечения проектируемого (нормативного) уровня использования проектной мощности объекта капитального строительства

1;

0,5;

0

 

 

 

Обоснование спроса (потребности) на услуги (продукцию), создаваемые в результате реализации инвестиционного проекта, для обеспечения проектируемого (нормативного) уровня использования проектной мощности объекта.

4.

Отношение проектной мощности создаваемого (реконструируемого) объекта капитального строительства к мощности, необходимой для производства продукции (услуг) в объеме, предусмотренном для федеральных государственных нужд

1;

0

 

 

 

Приводятся документально подтвержденные данные о мощности, необходимой для производства продукции (услуг) в объеме, предусмотренном для федеральных государственных нужд

5.

Обеспечение планируемого объекта капитального строительства инженерной и транспортной инфраструктурой в объемах, достаточных для реализации инвестиционного проекта

1;

0,5;

0

 

 

 

Обоснование планируемого обеспечения создаваемого (реконструируемого) объекта капитального строительства инженерной и транспортной инфраструктурой в объемах, достаточных для реализации инвестиционного проекта.

 

Оценка эффективности использования средств федерального бюджета, направляемых на капитальные вложения, на основе количественных критериев, Ч2

 

 

 

Таблица 3

Расчет интегральной оценки эффективности инвестиционного проекта

Показатель

Оценка эффективности

Весовой коэффициент

Оценка эффективности на основе качественных критериев, Ч1

 

0,2

Оценка эффективности на основе количественных критериев, Ч2

 

0,8

Интегральная оценка эффективности использования средств федерального бюджета, направляемых на капитальные вложения, Эинт

Эинт = Ч1 * 0,2 + Ч2 * 0,8 =

1,0

Приложение 2

к Методике оценки эффективности

использования средств федерального

бюджета, направляемых на капитальные

вложения, утвержденной приказом

Министерства экономического развития РФ

от 24 февраля 2009 г. N 58

Значения весовых коэффициентов количественных критериев

в процентах

 

 

N

Критерий

Строительство (реконструкция) объектов капитального строительства:

здравоохранения, образования, культуры и спорта; коммунальной инфраструктуры, административных и иных зданий, охраны окружающей среды

производственного назначения, транспортной инфраструктуры, инфраструктуры национальной инновационной системы и другие

2.1.

Значения количественных показателей (показателя) результатов реализации инвестиционного проекта.

5

5

2.2.

Отношение сметной стоимости инвестиционного проекта к значениям количественных показателей (показателя) результатов реализации инвестиционного проекта.

40

40

2.3.

Наличие потребителей услуг (продукции), создаваемых в результате реализации инвестиционного проекта, в количестве, достаточном для обеспечения проектируемого (нормативного) уровня использования проектной мощности объекта.

20

18

2.4.

Отношение проектной мощности создаваемого (реконструируемого) объекта капитального строительства к мощности, необходимой для производства продукции (услуг) в объеме, предусмотренном для федеральных государственных нужд.

15

19

2.5.

Возможность обеспечения планируемого объекта капитального строительства инженерной и транспортной инфраструктурами в объемах, достаточных для реализации проекта.

20

18

 

Итого

100

100

Приложение 3

к Методике оценки эффективности

использования средств федерального

бюджета, направляемых на капитальные

вложения, утвержденной приказом

Министерства экономического развития РФ

от 24 февраля 2009 г. N 58

Рекомендуемые количественные показатели, характеризующие цель и результаты реализации проекта

Объекты капитального строительства

Количественные показатели:

характеризующие прямые (непосредственные) результаты проекта

характеризующие конечные результаты проекта

Строительство (реконструкция) объектов здравоохранения, образования, культуры и спорта

Учреждения здравоохранения (медицинские центры, больницы, поликлиники, родильные дома, диспансеры и др.)

1. Мощность объекта: количество койко-мест; количество посещений в смену.

2. Общая площадь здания, кв.м.

3. Строительный объем, куб.м.

1. Количество создаваемых (сохраняемых) рабочих мест, единицы.

2. Рост обеспеченности населения региона, муниципального образования или входящих в него поселений (в зависимости от масштаба проекта) медицинскими услугами, врачами и средним медперсоналом, в процентах к уровню обеспеченности до реализации проекта.

В случае создания (реконструкции) специализированных медицинских центров, клиник - снижение заболеваемости, смертности по профилю медицинского учреждения.

Дошкольные и общеобразовательные учреждения, центры детского творчества

1. Мощность объекта: количество мест.

2. Общая площадь здания, кв.м.

3. Строительный объем, куб.м.

1. Количество создаваемых (сохраняемых) рабочих мест, единицы.

2. Рост обеспеченности региона, муниципального образования или входящих в него поселений (в расчете на 100 детей) местами в дошкольных образовательных, общеобразовательных учебных учреждениях, центрах детского творчества, в процентах к уровню обеспеченности до реализации проекта.

Учреждения культуры (театры, музеи, библиотеки и т.п.)

1. Мощность объекта: количество мест; количество посетителей в день. Для библиотек - число единиц библиотечного фонда.

2. Общая площадь здания, кв.м.

3. Строительный объем, куб.м.

1. Количество создаваемых (сохраняемых) рабочих мест, единицы.

2. Рост обеспеченности региона, муниципального образования или входящих в него поселений (в расчете на 1000 жителей) местами в учреждениях культуры, в процентах к уровню обеспеченности до реализации проекта.

Учреждения социальной защиты населения (дома инвалидов и престарелых, детей-инвалидов, детские дома)

1. Мощность объекта: количество мест.

2. Общая площадь здания, кв.м.

3. Строительный объем, куб.м.

1. Количество создаваемых (сохраняемых) рабочих мест, единицы.

2. Рост обеспеченности региона, муниципального образования или входящих в него поселений местами в учреждениях социальной защиты, в процентах к уровню обеспеченности до реализации проекта.

Объекты физической культуры и спорта (стадионы, спортивные центры, ледовые арены, плавательные бассейны и другие спортивные сооружения)

1. Мощность объекта: пропускная способность спортивных сооружений; количество мест, тыс. человек.

2. Общая площадь здания, кв.м.

3. Строительный объем, куб.м.

1. Количество создаваемых (сохраняемых) рабочих мест, единицы.

2. Рост обеспеченности региона, муниципального образования или входящих в него поселений объектами физической культуры и спорта, рост количества мест в процентах к уровню обеспеченности до реализации проекта.

Строительство (реконструкция) общественных зданий и жилых помещений

Жилые дома

1. Общая площадь объекта, кв. м.

2. Полезная жилая площадь объекта, кв. м.

3. Количество квартир.

Сокращение количества очередников на улучшение жилищных условий в регионе, муниципальном образовании или входящих в него поселениях, в процентах к количеству очередников до реализации проекта.

Административные здания

1. Общая площадь объекта, кв. м.

2. Полезная и служебная площадь объекта, кв. м.

3. Строительный объем, куб.м.

Обеспечение комфортных условий труда работников, кв. м общей (полезной, служебной) площади здания на одного работника.

Общежития; казармы для военнослужащих

1. Количество мест.

2. Общая площадь объекта, кв. м.

3. Строительный объем, куб.м.

Обеспечение комфортных условий проживания, кв. м общей площади объекта на одного проживающего.

Здания высших учебных заведений, военных училищ

1. Количество учебных мест.

2. Общая и полезная площадь объекта, кв. м.

3. Строительный объем, куб.м.

1. Количество создаваемых (сохраняемых) рабочих мест, единицы.

2. Обеспечение комфортных условий труда работников и обучения учащихся, кв. м общей (полезной) площади зданий на одного учащегося.

Строительство (реконструкция) объектов коммунальной инфраструктуры и охраны окружающей среды

Очистные сооружения (для защиты водных ресурсов и воздушного бассейна от бытовых и техногенных загрязнений)

Мощность объекта: объем переработки очищаемого ресурса, куб. м (тонн) в сутки (год).

1. Количество создаваемых (сохраняемых) рабочих мест, единицы.

2. Сокращение концентрации вредных веществ в сбросах (выбросах), в процентах к их концентрации до реализации проекта.

3. Соответствие концентраций вредных веществ предельно допустимой концентрации

Береговые сооружения для защиты от наводнений, противооползневые сооружения

1. Общая площадь (объем) объекта, кв. м. (куб. м)

2. Иные размерные характеристики объекта в соответствующих единицах измерения.

1. Общая площадь защищаемой от наводнения (оползня) береговой зоны, тыс. кв. м.

2. Предотвращенный экономический ущерб (по данным экономического ущерба от последнего наводнения, оползня), млн. руб.

Объекты по переработке и захоронению токсичных промышленных отходов (ТПО)

Мощность объекта: объем переработки очищаемого ресурса, куб. м (тонн) в сутки (год).

1. Количество создаваемых (сохраняемых) рабочих мест, единицы.

2. Срок безопасного хранения захороненных ТПО, лет

Мелиорация и реконструкция земель сельскохозяйственного назначения

Общая площадь мелиорируемых и реконструируемых земель, гектары.

1. Количество создаваемых (сохраняемых) рабочих мест, единицы.

2. Предотвращение выбытия из сельскохозяйственного оборота сельхозугодий, гектары.

3. Прирост сельскохозяйственной продукции в результате проведенных мероприятий, тонн.

Объекты коммунальной инфраструктуры (объекты водоснабжения, водоотведения, тепло-, газо- и электроснабжения)

1. Мощность объекта в соответствующих натуральных единицах измерения

2. Размерные и иные характеристики объекта (газопровода-отвода - км, давление; электрических сетей - км, напряжение и т.п.)

1. Количество создаваемых (сохраняемых) рабочих мест, единицы.

2. Увеличение количества населенных пунктов, имеющих водопровод и канализацию, единицы.

3. Увеличение уровня газификации региона, муниципального образования или входящих в него поселений, в процентах к уровню газификации до начала реализации проекта.

Сортировка, переработка и утилизация твердых бытовых отходов

Мощность объекта: объем переработки твердых бытовых отходов, тонн в сутки (год).

1. Количество создаваемых (сохраняемых) рабочих мест, единицы.

2. Закрытие существующих свалок твердых бытовых отходов, общая площадь рекультивированных земель, гектары.

Строительство (реконструкция) производственных объектов

Производственные объекты

Мощность объекта, в соответствующих натуральных единицах измерения

1. Количество создаваемых (сохраняемых) рабочих мест, единицы.

2. Конечные результаты с учетом типа проекта (например, повышение доли конкурентоспособной продукции (услуг) в общем объеме производства, в процентах).

Строительство (реконструкция) инфраструктуры инновационной системы

Инфраструктура научно-технической и инновационной деятельности (научные центры по разработке нанотехнологий; нанопроизводства; автоматизированного проектирования; производственно-экспериментальные базы и другие)

1. Общая площадь объекта, кв. м.

2. Иные размерные характеристики объекта в соответствующих единицах измерения.

1. Количество создаваемых (сохраняемых) рабочих мест, единицы.

2. Количество новых технологий, уровень новизны образцов новой техники.

Инфраструктура коммерциализации инноваций (особые экономические зоны, технопарки, инновационно-технологические центры, бизнес-инкубаторы и т.п.)

1. Общая площадь объекта, кв. м.

2. Иные размерные характеристики объекта в соответствующих единицах измерения.

1 Количество создаваемых (сохраняемых) рабочих мест, единицы.

2. Повышение доли инновационно-активных организаций, осуществляющих технологические инновации, в общем числе организаций, процентов.

3. Повышение доли инновационной продукции в общем объеме выпускаемой продукции, в процентах.

Строительство (реконструкция) объектов транспортной инфраструктуры

Пути сообщения общего пользования (железнодорожные пути; автомобильные дороги с твердым покрытием, магистральные трубопроводы)

1 Эксплуатационная длина путей сообщения общего пользования, км. 2. Иные размерные характеристики объекта в соответствующих единицах измерения.

1. Количество создаваемых (сохраняемых) рабочих мест, единицы.

2 Объем (увеличение объема): грузооборота транспорта общего пользования, тонно-км в год; пассажирооборота железнодорожного, автобусного и другого транспорта, пассажиро-км в год.

4. Сокращение времени пребывания грузов, пассажиров в пути, процентов

5. Увеличение доли населенных пунктов, связанных дорогами с твердым покрытием с сетью путей сообщения общего пользования.

Мосты, тоннели

1. Общая площадь объекта, кв.м.

2. Эксплуатационная длина объекта, км.

3. Иные размерные характеристики объекта в соответствующих единицах измерения.

1. Объем (увеличение объема) грузооборота транспорта общего пользования, тонно-км в год.

2. Объем (увеличение объема) пассажирооборота железнодорожного, автобусного и другого транспорта, пассажиро-км в год.

3. Сокращение времени пребывания грузов, пассажиров в пути, процентов.

Аэропорты (аэровокзалы, взлетно-посадочные полосы, рулежные дорожки, места стоянки самолетов, объекты навигации и управления воздушным движением и т.п.)

1. Мощность объекта (объем перевозимых грузов, тонн; количество перевозимых пассажиров, человек).

2. Общая площадь объекта, кв. м

3. Иные размерные характеристики объекта в соответствующих единицах измерения.

1. Количество создаваемых (сохраняемых) рабочих мест, единицы.

2. Объем (увеличение объема) грузооборота воздушного транспорта, тонно-км в год.

3. Объем (увеличение объема) пассажирооборота воздушного транспорта, пассажиро-км в год.

4. Сокращение времени пребывания грузов, пассажиров в пути, процентов

Морские и речные порты, портопункты и причалы

1. Мощность объекта (объем перевозимых грузов, тонн; количество перевозимых пассажиров, человек).

2. Общая площадь объекта, кв. м

3. Иные размерные характеристики объекта в соответствующих единицах измерения.

1. Количество создаваемых (сохраняемых) рабочих мест, единицы.

2. Объем (увеличение объема) грузооборота водного транспорта, тонно-км в год

3. Объем (увеличение объема) пассажирооборота водного транспорта, пассажиро-км в год.

4. Сокращение времени пребывания грузов, пассажиров в пути, процентов

Приложение 4

к Методике оценки эффективности

использования средств федерального

бюджета, направляемых на капитальные

вложения, утвержденной приказом

Министерства экономического развития РФ

от 24 февраля 2009 г. N 58

Сведения и количественные показатели
результатов реализации инвестиционного проекта-аналога

Наименование инвестиционного проекта ____________________________________________

Срок реализации _________________________________________________________________

Месторасположение объекта -______________________________________________________

Форма реализации инвестиционного проекта (строительство, реконструкция

объекта капитального строительства, иные инвестиции в основной капитал)

________________________________________________________________________________

Сметная стоимость и количественные показатели результатов реализации инвестиционного проекта

N п/п

Наименование показателя

Ед. изм.

Значение показателя по проекту

 

Сметная стоимость объекта-аналога, по заключению государственной экспертизы (с указанием года ее получения) / в ценах года расчета сметной стоимости планируемого объекта капитального строительства, реализуемого в рамках инвестиционного проекта, представляемого для проведения оценки эффективности (с указанием года ее определения)

млн. руб.

/

 

в том числе:

 

 

 

строительно-монтажные работы

из них дорогостоящие работы и материалы

 

/

 

приобретение машин и оборудования

из них дорогостоящие машины и оборудование

 

/

 

прочие затраты

 

/

Показатели, характеризующие прямые результаты реализации проекта-аналога

1.

 

 

 

-

 

 

 

 

 

 

 

Показатели, характеризующие конечные результаты реализации проекта-аналога

1.

 

 

 

-

 

 

 

 

 




ГОСТЫ, СТРОИТЕЛЬНЫЕ и ТЕХНИЧЕСКИЕ НОРМАТИВЫ.
Некоммерческая онлайн система, содержащая все Российские Госты, национальные Стандарты и нормативы.
В Системе содержится более 150000 файлов нормативно-технической документации, действующей на территории РФ.
Система предназначена для широкого круга инженерно-технических специалистов.

Рейтинг@Mail.ru Яндекс цитирования

Copyright © www.gostrf.com, 2008 - 2026