Крупнейшая бесплатная информационно-справочная система онлайн доступа к полному собранию технических нормативно-правовых актов РФ. Огромная база технических нормативов (более 150 тысяч документов) и полное собрание национальных стандартов, аутентичное официальной базе Госстандарта. GOSTRF.com - это более 1 Терабайта бесплатной технической информации для всех пользователей интернета. Все электронные копии представленных здесь документов могут распространяться без каких-либо ограничений. Поощряется распространение информации с этого сайта на любых других ресурсах. Каждый человек имеет право на неограниченный доступ к этим документам! Каждый человек имеет право на знание требований, изложенных в данных нормативно-правовых актах!

  


 

ГОСУДАРСТВЕННАЯ СЛУЖБА ДОРОЖНОГО ХОЗЯЙСТВА МИНИСТЕРСТВА ТРАНСПОРТА РОССИЙСКОЙ ФЕДЕРАЦИИ

ИНФОРМАЦИОННЫЙ ЦЕНТР ПО АВТОМОБИЛЬНЫМ ДОРОГАМ

АВТОМОБИЛЬНЫЕ ДОРОГИ И МОСТЫ

ВЛИЯНИЕ РАЗВИТИЯ И СОСТОЯНИЯ ДОРОЖНОЙ СЕТИ НА УРОВЕНЬ БЕЗОПАСНОСТИ ДВИЖЕНИЯ НА ДОРОГАХ РОССИИ

Обзорная информация

Выпуск 4

Москва 2003

Выходит с 1971 г.                                                          7 выпусков в год

Содержание

В данном выпуске обзорной информации дается сравнительный анализ зарубежной и отечественной статистики дорожно-транспортных происшествий, предложены методы оценки уровней безопасности дорожного движения на основе комплекса показателей аварийности. Представленные материалы могут быть использованы при подготовке целевых федеральных, региональных и местных программ повышения безопасности движения на основе развития и совершенствования эксплуатационного состояния дорожной сети.

Обзор подготовил канд. техн. наук В.В. Чванов (Управление инноваций и технического нормирования в дорожном хозяйстве Росавтодора)

1. ВВЕДЕНИЕ

В преобладающем числе стран с развитой автомобилизацией наблюдается все возрастающая потребность в повышении безопасности дорожного движения благодаря более глубокому пониманию значимости социально-экономических потерь, которые несет общество в результате дорожно-транспортных происшествий (ДТП). Мировая статистика свидетельствует о том, что количество жертв в результате аварийности на автомобильном транспорте превышает их число при катастрофах на железнодорожном, авиационном и морском транспорте. Гибель людей в ДТП относится к одной из основных причин смертности, причем наиболее трудоспособной части населения. Ежегодно, согласно мировой статистике, число погибших в ДТП составляет около 0,5 млн. человек, а число раненых достигает 10-15 млн. человек. На компенсацию ущерба от ДТП расходуется от 1 до 3% национального дохода государств. В связи с этим во многих странах борьба с аварийностью на автомобильном транспорте является составной частью национальной политики и ввиду многообразия технических, социально-экономических, культурных, психологических и других факторов, влияющих на безопасность движения, преимущественно решается за счет реализации комплексных национальных программ.

В последние годы в России на государственном уровне предпринят ряд крупных шагов по нормативно-правовому обеспечению деятельности в сфере безопасности дорожного движения. В 1995 г. принят Федеральный закон «О безопасности дорожного движения», в котором обозначены приоритеты государственной политики по сокращению дорожной аварийности. Отдельное место в упомянутом законе отведено основным требованиям по обеспечению безопасности дорожного движения при проектировании, строительстве и реконструкции автомобильных дорог. В 1996 г. Правительством Российской Федерации была утверждена Федеральная целевая программа «Повышение безопасности дорожного движения в России на 1996-1998 гг.» (в дальнейшем пролонгированная до 2001 г.), в которой в качестве отдельного проекта предусматривалась последовательная ликвидация участков концентрации ДТП на сети дорог общего пользования. В качестве основной цели Программы было установлено снижение аварийности на 10-15% на дорогах России. В целом, реализация указанной Программы способствовала стабилизации наблюдаемого уровня аварийности.

В 2001 г. Правительством Российской Федерации утверждена Федеральная целевая программа «Модернизация транспортной системы России на (2002-2010 годы)», которая включает подпрограммы «Автомобильные дороги» и «Безопасность дорожного движения», содержащие ряд крупных мер по дальнейшему снижению дорожной аварийности.

Целевые программы, направленные на сокращение дорожной аварийности, должны быть основаны на всестороннем анализе статистики ДТП, учитывать как отечественный, так и зарубежный опыт реализации подобных национальных программ. При этом важное значение имеет объективная оценка динамики изменения основных показателей, характеризующих уровень безопасности движения и его сопоставление с уровнем, достигнутым в других странах с развитой автомобилизацией. Такие сравнительные оценки позволяют определить основные направления и выбрать эффективные мероприятия по сокращению дорожной аварийности.

2. СИСТЕМА ПОКАЗАТЕЛЕЙ УРОВНЯ БЕЗОПАСНОСТИ ДОРОЖНОГО ДВИЖЕНИЯ ДЛЯ СРАВНИТЕЛЬНОЙ ОЦЕНКИ СОСТОЯНИЯ АВАРИЙНОСТИ В ОТДЕЛЬНЫХ СТРАНАХ

Показатели уровня обеспечения безопасности дорожного движения для отдельных государств являются функцией многих переменных, таких как общее социально-экономическое развитие страны, определяющее степень автомобилизации и качественный состав парка транспортных средств, объем перевозок, подвижность населения, развитие и состояние дорожной инфраструктуры, а также факторов социальной и транспортной психологии, эффективности деятельности административных органов, отвечающих за безопасность дорожного движения, организации системы спасения и эвакуации пострадавших в ДТП и многих других условий.

Для оценки базовых тенденций изменения аварийности в конкретной стране обычно требуется накопление многолетних статистических данных. При этом в качестве таких исходных данных, помимо сведений об аварийности, часто используют такие показатели, как численность парка транспортных средств, протяженность дорожной сети, численность населения, годовой пробег транспортных средств (транспортная работа). Некоторые из них для условий Российской Федерации приведены на рис. 1.

Рис. 1. Динамика относительного изменения:
 - численности автомобильного парка (без учета мотоциклов); - протяженности автомобильных дорог общего пользования с твердым покрытием; - общего числа ДТП в России с 1992 по 2002 гг. (показатели 1992 г. приняты за 100 %)

Численность населения в Российской Федерации за рассматриваемый период времени изменилась незначительно.

Как показывает международный опыт, системный анализ достигнутого уровня безопасности движения в конкретной стране и его качественная оценка на основе комплекса вышеприведенных абсолютных показателей возможны только на основе их сравнения с аналогичными показателями в других странах. Такая сравнительная оценка позволяет также скорректировать при необходимости цели и задачи транспортной политики, сформулированные в национальных программах повышения безопасности движения с учетом опыта их реализации в других странах, где удалось найти эффективные способы решения проблемы дорожной аварийности.

В качестве результирующих критериев достигнутого уровня безопасности дорожного движения обычно рассматривают три группы показателей:

• абсолютные (или статистически ожидаемые) показатели аварийности, такие как общее число ДТП, погибших и раненных в них участников дорожного движения в единицу времени (обычно год), или текущие изменения указанных показателей в течение рассматриваемого периода;

• показатели риска здоровья населения в дорожном движении (количество пострадавших в ДТП по отношению к численности населения страны);

• относительные показатели риска ДТП и риска ранений в ДТП, определяемые с учетом интенсивности движения и расстояния поездок, а также плотности ДТП (числа ДТП, отнесенного к протяженности дорожной сети).

Каждая из рассмотренных групп показателей имеет свои известные достоинства и недостатки, однако в совокупности они могут дать представление о состоянии безопасности дорожного движения на государственном уровне. Особенно полезным является также их сравнение с аналогичными показателями в других странах и не только для сопоставительных, но и, как указывалось выше, качественных оценок наблюдаемого уровня безопасности движения.

К первой группе относятся абсолютные показатели аварийности. Они могут быть почерпнуты из сведений официального учета ДТП, который регулярно выполняется в странах с развитой автомобилизацией. В Российской Федерации такой учет аварийности ведется органами ГИБДД и регламентирован принятыми в 1985 г. «Правилами учета дорожно-транспортных происшествий» МВД России. Его результаты, с тех пор как сведения о ДТП приобрели открытый характер, ежегодно публикуются в издаваемых статистических сборниках. Одновременно, например в дорожных организациях, выполняется ведомственный учет ДТП в соответствии с «Правилами учета и анализа дорожно-транспортных происшествий на автомобильных дорогах Российской Федерации», основной целью которого являются анализ дорожных факторов, способствующих возникновению ДТП, выявление опасных участков на дорожной сети для последующего назначения мероприятий по снижению аварийности, связанной с неблагоприятными дорожными условиями. Сведения об общих показателях аварийности в странах с развитой автомобилизацией содержатся в соответствующих национальных источниках или, например, в ежегодно издаваемых статистических сборниках о ДТП в Европе и Северной Америке, подготавливаемых комиссией по транспорту ЕЭК ООН [1, 2]. При сравнительном анализе сведений о ДТП в различных странах необходимо учитывать, по крайней мере, два важных обстоятельства.

Во-первых, в ряде стран существуют различия с общепринятыми в подходах к регистрации погибших и раненных в ДТП. Например, в отдельных странах к погибшим в ДТП относят людей, получивших смертельные ранения непосредственно на месте происшествия, в период их транспортировки или непосредственно по ее завершении (Португалия), в течение суток после ДТП (Испания), трех суток (Греция) или недели после ДТП (Российская Федерация, Латвия). Вместе с тем, в большинстве государств к погибшим относят и тех пострадавших, которые скончались в течение 30 дней с момента ДТП после их госпитализации. В этом случае число регистрируемых погибших в результате ДТП, естественно, оказывается выше. Такой подход к регистрации погибших, свойственный большинству стран с развитой экономикой, подчеркивает социальную значимость человеческой жизни, утраченной в результате ДТП, и отражается на общем размере ущерба, наносимого обществу в результате аварийности на автомобильном транспорте. Вместе с тем, этот фактор вносит определенную погрешность при прямом сопоставлении как общего числа ДТП с погибшими и раненными в ДТП, так и числа погибших в ДТП в отдельных странах.

Во-вторых, абсолютные показатели аварийности ввиду очень больших различий в количественных показателях парка транспортных средств, численности населения и уровне его автомобилизации, протяженности дорожной сети и других значимых параметров, при отдельных сравнениях утрачивают свою прагматическую значимость и существенно уступают относительным показателям аварийности. С этой точки зрения значение абсолютных показателей аварийности сохраняется применительно к оценке и прогнозированию динамики изменения аварийности на национальном уровне или при сопоставительном анализе общих текущих ее изменений для исследуемой совокупности государств [3]. Сведения о долговременной динамике изменения абсолютных показателей аварийности с учетом темпов роста автомобилизации населения, по мнению психологов по транспортным проблемам, могут также служить основой для выводов относительно отношения общества к проблеме безопасности движения, оценки эффективности обучения участников дорожного движения с точки зрения сближения субъективной и объективной безопасности и, следовательно, являться критерием допускаемого риска в дорожном движении [4].

Показатель риска здоровья населения, относящийся ко второй группе, с этой позиции считается более информативным, поскольку помимо общего числа пострадавших в ДТП, учитывает численность населения государств. Известно, что этот показатель может дать объективную оценку уровня безопасности движения, если одновременно принимаются во внимание различия в автомобилизации стран и подвижности населения, поскольку он может иметь одинаково низкие значения для государств с высоким уровнем обеспечения безопасности движения и для стран, где при той же численности населения парк транспортных средств несопоставимо мал. На рис. 2 представлена зависимость, объединяющая сведения для более чем 50 стран, которая иллюстрирует влияние уровня автомобилизации государств на относительное число погибших в ДТП. На этом графике можно выделить определенные критические точки, характеризующие качественные изменения исследуемой зависимости.

Рис. 2. Влияние уровня автомобилизации на относительное число погибших в ДТП

Так, при уровне автомобилизации менее 50-100 транспортных средств на 100 тыс. жителей отмечается резкое увеличение числа погибших, соотнесенных с численностью транспортных средств. Вместе с тем, такой низкий уровень автомобилизации характерен для стран с достаточно высокой численностью населения (Албании, Армении, Азербайджана, Грузии, Казахстана, Таджикистана, Туркмении) и формально показатель оказывается даже меньше (порой в несколько раз), чем, например, в странах Прибалтики и многих других государствах Западной Европы с развитой автомобилизацией населения. Среди причин такого положения следует также отметить, что для участников дорожного движения в странах с низкой автомобилизацией населения и сравнительно небольшой интенсивностью движения свойственен повышенный допускаемый риск в дорожном движении, поскольку абсолютные значения показателей аварийности здесь также ниже и ДТП является относительно редким событием. В связи с этим можно сделать вывод о том, что показатель риска здоровья населения, как критерий уровня безопасности дорожного движения, для международных сравнительных оценок может быть приемлем, начиная с уровня автомобилизации государств более 100 транспортных средств на 100 тыс. жителей. Характерными моментами на графике, изображенном на рис. 2, следует также считать наличие переходной зоны в диапазоне изменения уровня автомобилизации от 100-150 до 400 автомобилей на 100 тыс. жителей, когда относительное число погибших постепенно уменьшается и переходит в зону стабилизации рассматриваемого показателя при уровне автомобилизации выше 400 автомобилей на 100 тыс. жителей, для которого характерен низкий допускаемый риск в дорожном движении. Обобщенная оценка показателя риска здоровья населения для государств с уровнем автомобилизации более 150 транспортных средств на 100 тыс. жителей приведен на рис. 3.

Рис. 3. Обобщенные данные оценки риска здоровья населения в разных странах:
1 - накопленная частость; 2 - частость

К третьей группе показателей относятся показатели, характеризующие уровень безопасности движения с позиции риска ДТП и риска получения ранений участниками дорожного движения.

Показатель риска ДТП, или коэффициент относительной аварийности z (число ДТП на 1 млн. авт.-км), рассчитывают по формуле

где пДТП - количество ДТП за рассматриваемый период времени Т;

L - протяженность дорожной сети, км;

N - среднегодовая суточная интенсивность движения на рассматриваемой сети дорог, авт./сут;

Т - количество лет.

Рассматриваемый показатель также может определяться на основе сведений о численности парка транспортных средств страны и общей средней годовой протяженности поездок с учетом типа транспортных средств. Последний способ расчета используется для оценки среднегодового риска ДТП на уровне государств.

На рис. 4. приведены обобщенные результаты оценки риска ДТП для совокупности государств Европы и Северной Америки (всего по 25 странам, для которых такие данные имелись).

Рис. 4. Обобщенные данные оценки риска ДТП в разных странах:
1 - накопленная частость; 2 - частость

Эти данные показывают, что среднегодовой риск ДТП в отдельных государствах может изменяться в очень широких пределах: от 0,15 до 1,5 ДТП на 1 млн. авт.-км. Для обеспечения сопоставимости результатов в расчетах не использовались данные для государств с низким уровнем автомобилизации или явно недостоверные сведения (например, для Армении, исходя из данных ЕЭК ООН, значение риска ДТП составило 4,47 ДТП на 1 млн. авт.-км, что несопоставимо отличается от результатов предшествующих детальных исследований аварийности в этом государстве [5]).

Для расчета показателя риска получения ранений в ДТП используется аналогичный расчетный метод с заменой в приведенной выше формуле числа ДТП на число пострадавших в ДТП. Кроме того, вместо интенсивности движения автомобилей учитывается средняя численность людей, находящихся в транспортных средствах, и средняя протяженность поездок по типам транспортных средств. На рис. 5 представлены обобщенные результаты оценки этого показателя.

Рис. 5. Обобщенные данные оценки риска ранений в ДТП в разных странах:
1 - накопленная частость; 2 - частость

Приведенные выше расчеты комплекса показателей, в обобщенном виде характеризующих безопасность движения в 55 государствах Европы и Северной Америки, дают возможность не только количественно, но и качественно (хотя и с определенной долей условности) оценить различия в уровнях безопасности дорожного движения, наблюдаемых в отдельных странах. Для указанных качественных оценок можно принять, что граничные значения рассмотренных основных показателей для отдельных уровней безопасности движения соответствуют 15,50 и 85 %-ному уровням обеспеченности, наиболее часто используемым в инженерных расчетах. Такой подход реализовывался ранее, например, для сравнительной оценки степени опасности отдельных участков дорожной сети в исследованиях, выполненных в России [6] и США [7]. Тогда, на основе совокупности данных, приведенных на рис. 3, 4 и 5, можно предложить шкалу качественных оценок безопасности движения для отдельных государств. При этом для характеристик каждого такого уровня безопасности движения следует дополнительно учесть ряд особенностей, присущих каждому из рассматриваемых уровней, таких как степень автомобилизации населения, состояние парка транспортных средств, развитие дорожной инфраструктуры, а также некоторые социальные факторы. В обобщенном виде указанные признаки уровней безопасности дорожного движения, основанные на подробной статистике аварийности транспортных средств, а также общих сведениях о территории и населении государств, представлены в табл.1.

Таблица 1

Качественная оценка уровня безопасности дорожного движения

Значения показателей аварийности

Дополнительные признаки уровня безопасности дорожного движения

Риск здоровья населения, число погибших на 100 тыс. жителей

Риск ДТП, число ДТП на 1 млн. авт.-км

Риск получения ранений в ДТП, число пострадавших на 1 млн. чел.-км

Уровень автомобилизации населения, наименьшее число транспортных средств на 100 тыс. жителей

Состояние парка транспортных средств, доля автомобилей со сроком эксплуатации более 10 лет, %

Дисциплина водителей, доля погибших водителей в состоянии опьянения, %

Соответствие развития дорожной сети потребностям населения, протяженность дорог на 1 тыс. жителей

Отношение общества к проблеме безопасности движения

Высокий

Менее 7

Менее 0,25

Менее 0,2

Более 400

Менее 30

Менее 6

Более 18

Низкий допускаемый риск в дорожном движении (положительная долговременная динамика снижения показателей аварийности при росте автомобилизации населения)

Средний

7-11

0,25-0,55

0,2-0,4

250-400

До 35

6-8

10-18

Умеренный допускаемый риск в дорожном движении (стабилизация основных показателей аварийности при росте автомобилизации населения)

Переходный

11-16

0,55-1,0

0,4-0,75

100-200

До 40

8-10

5-10

Низкий

Более 16

1,0-1,6

0,75-1,4

50-100

Свыше 40

До 20

2-5

Высокий допускаемый риск в дорожном движении (увеличение основных показателей аварийности с ростом автомобилизации населения)

Предельно низкий

-

Более 1,6

Более 1,4

Менее 50

-

-

Менее 2

Примечания: 1. Предельно низкий уровень безопасности дорожного движения введен в качестве дополнительного для стран с низким уровнем автомобилизации населения.

2. Прочерк в таблице означает отсутствие исходных данных или недостоверные сведения (необходимо проведение дополнительных исследований).

Согласно приведенной в табл. 1 качественной шкале, к государствам, в которых обеспечен высокий уровень безопасности движения, следует отнести Данию, Финляндию, Норвегию, Швецию, средний уровень - Германию, Францию, Австрию, Нидерланды, Италию, Соединенное Королевство, США; переходный уровень - Российскую Федерацию, Чешскую Республику, Словению, Португалию, Украину, Литву, Латвию. Низкий уровень безопасности дорожного движения характерен, например, для Молдавии, Турции, Белоруссии.

Качественная оценка уровней безопасности дорожного движения, некоторые из количественных признаков которой приведены в табл. 1, имеет значение не только для комплексной сравнительной оценки состояния безопасности движения в конкретных странах, но и для определения тенденций и способов решения проблемы безопасности движения на национальном уровне, в том числе на основе реализации средне- и долгосрочных государственных программ повышения безопасности дорожного движения. Целевым показателем эффективности реализации таких программ в этом случае может являться повышение безопасности движения до границ более высокого уровня, достижение соответствующих граничных значений показателей аварийности. Вместе с тем, следует учитывать, что конкретные значения показателей, приведенных в табл. 1, основаны на текущих статистических данных, относящихся к определенному периоду времени, и могут не только периодически изменяться, но и расширяться в целях более полной и объективной оценки безопасности движения. Кроме того, государства с позиции своего экономического и культурного развития, географического положения, а также состояния автомобильного парка, дорожной инфраструктуры, развития других видов транспортных средств могут иметь многочисленные индивидуальные особенности, которые трудно учесть в представленном виде. В связи с этим предлагаемая методика оценки уровней безопасности дорожного движения может быть конкретизирована с позиции номенклатуры и способов обоснования количественных показателей состояния аварийности для каждого отдельного государства с учетом вышеприведенных особенностей, а также принятых в этих странах законодательных, административных, нормативно-технических и организационных основ в сфере управления безопасностью движения.

3. ОЦЕНКА УРОВНЯ БЕЗОПАСНОСТИ ДВИЖЕНИЯ НА ДОРОЖНОЙ СЕТИ РОССИЙСКОЙ ФЕДЕРАЦИИ

Международный опыт свидетельствует, что наиболее эффективным решением проблемы снижения дорожной аварийности является реализация комплексных программ повышения безопасности дорожного движения. В связи с этим особый интерес имеют статистические данные о тенденциях изменения показателей аварийности в Российской Федерации, характеризующие в интегральном виде эффективность федеральных, региональных и местных программ сокращения аварийности и достигнутый уровень безопасности дорожного движения.

Согласно сведениям комиссии по транспорту ЕЭК ООН и результатам собственных исследований [3], в 55 странах с наиболее высокой автомобилизацией в 1999 г. в общей сложности было зарегистрировано 4140516 ДТП с пострадавшими (около половины - в США), в которых число погибших составило 153176 человек, число раненых - 5977116.

На рис. 6 в порядке убывания приведены сравнительные данные по странам, в которых зарегистрировано наибольшее число ДТП, и тенденции изменения аварийности начиная с 1990 г.

Рис. 6. Число ДТП в странах с наибольшим уровнем абсолютных значений аварийности по состоянию на 1999 г. (для Российской Федерации - на 2002 г.):
 - общее число ДТП;  - количество ДТП на внегородских участках дорог; ± - увеличение (снижение) числа ДТП за период 1990-1999 гг. (для Российской Федерации - за 1991 - 2001 гг.)

На основе данных, показанных на рис. 6, видно, что Российская Федерация входит в пятерку стран с наиболее высокими абсолютными показателями аварийности. Следует также отметить, что в этих странах, за исключением Германии и Италии, наблюдается тенденция снижения как общего числа ДТП, так и числа ДТП на внегородских участках дорожной сети (кроме Российской Федерации). Во всех странах (из числа рассмотренных) число ДТП в городах существенно выше, чем на дорогах вне населенных пунктов. Всего из 55 государств, регулярно представляющих статистические данные о ДТП в комиссию по транспорту ЕЭК ООН, за последние 10 лет, несмотря на увеличение парка транспортных средств, снижение аварийности в различной мере наблюдалось в 31 стране, включая Российскую Федерацию. Эти данные свидетельствуют о том, что в большинстве стран с развитой автомобилизацией решение проблемы безопасности дорожного движения является предметом эффективно проводимой государственной политики за счет реализации программ, направленных на сокращение аварийности.

Согласно сведениям официальной статистики ГИБДД МВД России, общее число зарегистрированных ДТП в целом по Российской Федерации за период с 1991 по 2002 гг. распределялось так, как это показано на рис. 7, т.е. после устойчивой тенденции сокращения общего числа ДТП, наблюдавшейся в 1991-1997 гг., затем наступил период стабилизации, а с 2001 г. возобновился рост уровня аварийности. В 2002 г. общее число ДТП достигло значений, наблюдавшихся в 1992 г., а число ДТП на внегородских участках дорог является наиболее высоким за последние 12 лет.

Рис. 7. Изменение числа ДТП в Российской Федерации за 1991-2002 гг.:
 - общего количества; - на дорогах вне городов и населенных пунктов

Наблюдаемая стабилизация и последующий рост общих показателей аварийности в течение последних четырех лет свидетельствуют о том, что традиционные меры, связанные с усилением надзора за дорожным движением, упорядочением санкций за нарушение правил дорожного движения и т.п., в определенной степени исчерпали свои возможности с позиции дальнейшего повышения уровня безопасности движения. Необходим поиск новых эффективных контрмер, учитывающих специфику причин формирования аварийности на дорогах России. Наиболее важным моментом является и то, что попытки переломить ситуацию в решении проблемы безопасности движения в Российской Федерации сопровождаются значительным ростом численности автомобильного парка (по общему числу транспортных средств за последние 10 лет он вырос почти в 1,8 раза, а по численности легковых автомобилей - более чем в 2 раза) (рис. 8) при приросте протяженности дорожной сети только в 1,3 раза.

Рис. 8. Изменение численности парка транспортных средств по годам в Российской Федерации (за исключением мотоциклов):
 - общего количества;  - легковых автомобилей;  - грузовых автомобилей;  - автобусов

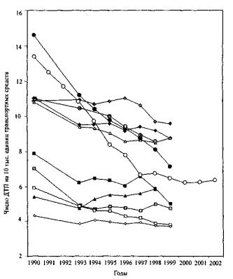
Учитывая различные темпы роста численности автомобилей в разных странах, более объективную картину сравнительной оценки тенденций изменения уровня аварийности в Российской Федерации можно получить, если воспользоваться относительными показателями аварийности, учитывающими наряду с абсолютным количеством ДТП численность транспортных средств (рис. 9).

Рис. 9. Динамика изменения числа ДТП по годам в отдельных странах:
 - Швеция;  - Италия; - Польша;  - Германия;  - Соединенное Королевство;  - Португалия; - Франция; - Испания;  - Российская Федерация; - Канада;  - США

Анализ представленных на рис. 9 данных свидетельствует о том, что для значительной части стран наблюдается благоприятная тенденция снижения, либо стабилизации указанного показателя. В Российской Федерации за последние 10 лет он снизился почти вдвое. По числу ДТП, соотнесенному с численностью парка транспортных средств, Российская Федерация к 2001 г. имела лучшие показатели, чем такие страны, как Германия, Соединенное Королевство, США и Канада. В то же время, если говорить о его абсолютных значениях, нельзя не отметить сохраняющееся отставание Российской Федерации от ряда европейских стран (в 2-3 раза), что свидетельствует о существенных резервах в повышении безопасности дорожного движения, необходимости наращивания эффективности реализуемых отечественных государственных программ сокращения аварийности с учетом темпов роста численности парка транспортных средств.

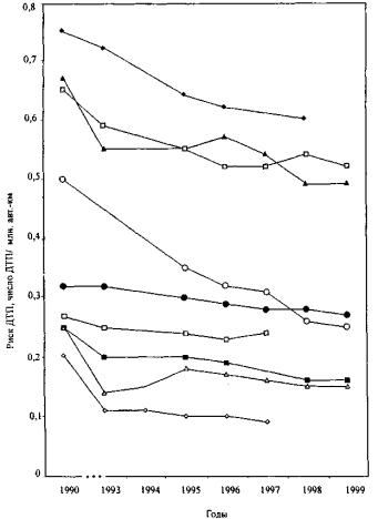
Если сравнивать уровни безопасности движения в тех же странах по коэффициенту относительной аварийности (показателю риска ДТП), в виде отношения количества ДТП на дорожной сети к численности парка и годовому пробегу транспортных средств (число ДТП на 1 млн. авт.-км), то следует отметить, что в таких странах, как Нидерланды, Финляндия, Дания и Швеция дорожная сеть характеризуется весьма низким средним риском ДТП, который находится в пределах 0,1-0,3 ДТП на 1 млн. авт.-км. Показатель риска ДТП в Германии, Соединенном Королевстве, США и Франции существенно выше (от 0,3 до 0,7 ДТП на 1 млн. авт.-км), но имеет выраженную тенденцию к снижению за последние 9 лет и постепенно приближается к наблюдаемому для вышеуказанной группы стран с наиболее высоким уровнем безопасности движения. Например, на дорожной сети Франции с 1990 г. удалось снизить риск ДТП почти в 2 раза (рис. 10).

Рис. 10. Динамика изменения показателя риска ДТП в отдельных странах:
 - Нидерланды;  - Дания;  - Финляндия;  - Швеция;  - Норвегия; - Франция;  - Соединенное Королевство;  - США;  - Германия

Оценка риска ДТП на дорогах общего пользования Российской Федерации требует выполнения отдельного анализа, основанного на статистике аварийности и сведениях о среднегодовой суточной интенсивности движения, которые в настоящее время в системном виде имеются только для федеральных дорог в отраслевом банке дорожных данных АБДД «Дорога». Аналогичная информация, содержащаяся в отдельных региональных банках данных для территориальной сети дорог, не всегда регулярно обновляется, а такие региональные банки данных имеются далеко не во всех территориальных органах дорожного управления. Вместе с тем, учитывая, что в структуре федеральных дорог имеются дороги всех категорий, расположенные в различных регионах Российской Федерации, значения показателя риска ДТП для указанных дорог могут служить основой для общих выводов относительно средних значений показателя риска ДТП на дорогах общего пользования. Анализ показывает, что значения показателя риска ДТП на дорогах отдельных типов федеральной сети колеблются в пределах 0,20-0,58 ДТП на 1 млн. авт.-км и в среднем составляют 0,32, а для территориальной дорожной сети - 0,42 ДТП на 1 млн. авт.-км (табл. 2).

Таблица 2

Тип автомобильной дороги

Риск ДТП, число ДТП на 1 млн. авт.-км

вне населенных пунктов

в населенных пунктах

среднее значение

Автомобильные магистрали

0,20

-

0,20

Многополосные дороги с разделительной полосой

0,24

0,40

0,29

Многополосные дороги без разделительной полосы

0,48

0,81

0,58

Трехполосные дороги

0,42

0,70

0,48

Двухполосные дороги

0,26

0,44

0,30

Дороги территориальной дорожной сети

0,24

0,80

0,42

Существенное влияние на аварийность оказывает характер прохождения дорог по отношению к жилой застройке, где показатель риска ДТП для отдельных типов дорог в 1,5-2 раза выше. В целом, на основе данных, приведенных в табл. 2, можно определить показатель риска ДТП для дорог общего пользования с твердым типом покрытия, который имеет значение по состоянию на 2002 г. около 0,40 ДТП на 1 млн. авт.-км и близок к среднему уровню безопасности дорожного движения. Однако широкие пределы изменения указанного показателя по типам дорог и в зависимости от расположения к жилой застройке делают такую оценку весьма приближенной (в том числе из-за отсутствия автоматизированной системы учета интенсивности движения на дорогах общего пользования, которая находится в стадии формирования).

Тяжесть последствий ДТП является одним из важнейших показателей, характеризующих состояние аварийности и эффективность предпринимаемых мероприятий по повышению безопасности движения в разных странах, поэтому динамика ее изменения требует отдельного подробного рассмотрения. На рис. 11 и 12 представлены сведения об абсолютном числе погибших и раненных в ДТП для стран с наиболее высокими значениями указанных показателей.

Рис. 11. Число погибших в ДТП в странах с наибольшим уровнем абсолютных значений аварийности по состоянию на 1999 г. (для Российской Федерации - на 2002 г.):
 - общее количество;  - на внегородских участках дорог (в скобках указан % от общего числа погибших)

Рис. 12. Число раненных в ДТП в странах с наибольшим уровнем абсолютных значений аварийности по состоянию на 1999 г. (для Российской Федерации - на 2002 г.):
 - общее количество;  - на внегородских участках дорог (в скобках указан % от общего числа раненых)

Российская Федерация занимает второе место после США по числу погибших в ДТП и шестое место по числу раненых. Следует отметить тот факт, что доля пострадавших на внегородских участках дорог в Российской Федерации ниже, близка к характеристикам для других стран, поскольку как наибольшее число ДТП, так и соответственно пострадавших в России приходится на города. В целом, в Российской Федерации, согласно сведениям официальной статистики, до 1997 г. наблюдалась положительная тенденция снижения числа раненных и погибших в ДТП, однако, начиная с 1998 г., наметилась стабилизация числа пострадавших, а с 2001 г. - их рост (рис. 13).

Рис. 13. Изменение числа пострадавших в ДТП по годам:
 - раненых;  - погибших

Если провести сравнительный анализ состояния аварийности в разных странах на основе использования относительных показателей тяжести ДТП, то можно установить, что оно имеет существенные отличия. Так, например, по показателю тяжести ДТП в виде числа погибших, приходящихся на каждые 100 ДТП (рис. 14), такие страны, как США, Германия, Франция и другие, имеющие высокое абсолютное значение пострадавших, характеризуются весьма низкой относительной тяжестью ДТП. Исходя из значений этого же показателя относительная тяжесть ДТП в Российской Федерации в 8-12 раз выше, чем в упомянутых государствах, и сопоставима с уровнем тяжести ДТП, характерным для отдельных стран Восточной Европы и государств СНГ.

Следует отметить, что в качестве общей закономерности для всех рассматриваемых стран показатели тяжести последствий ДТП на внегородских участках дорог в 1,5-2 раза выше, чем в городах, несмотря на меньшее число ДТП. Указанное обстоятельство имеет свое объяснение, если учесть значительную разницу в скоростях движения автомобилей в городских условиях и на дорогах вне населенных пунктов. Возникновение ДТП при движении по современным автомобильным дорогам с высокой скоростью, как правило, влечет за собой тяжелые последствия при всех видах происшествий.

Рис. 14. Показатели тяжести ДТП в разных странах:
 - на внегородских дорогах;  - среднее значение

Соотношение тяжести последствий ДТП в разных странах, характеризуемое показателем в виде числа погибших на 100 тыс. единиц транспортных средств, также указывает на существенное отставание Российской Федерации от стран с развитой автомобилизацией по относительной тяжести ДТП (рис. 15).

Рис. 15. Динамика изменения числа погибших по годам в отдельных странах:
 - Соединенное Королевство; - Италия;  - Канада;  - Германия; - США;  - Франция; - Бельгия;  - Испания;  - Португалия; - Болгария; - Польша;  - Российская Федерация

Обращают на себя внимание существенное снижение указанного показателя в Российской Федерации (почти на 50%) за период 1991-1997 гг. и последующая стабилизация относительной тяжести ДТП. Если говорить о таком показателе безопасности дорожного движения, как риск здоровья населения, то в 2002 г. он составил в Российской Федерации 24 по числу погибших и 145 по числу раненных в ДТП на 100 тыс. жителей. Таким образом, сопоставление абсолютных и относительных показателей, характеризующих тяжесть ДТП в Российской Федерации, с показателями зарубежных стран показывает, что решение проблемы снижения тяжести последствий дорожной аварийности в настоящее время является наиболее приоритетной задачей обеспечения безопасности дорожного движения на дорогах России. Оценивая результаты этого анализа, следует также учитывать и качественные различия в техническом уровне отечественных и зарубежных транспортных средств с точки зрения их оснащенности специальными средствами для обеспечения безопасности водителей и пассажиров.

Кроме того, одним из основных факторов, способствующих высокой тяжести последствий ДТП, следует признать отсутствие эффективной системы спасения и эвакуации пострадавших, ограниченное развитие систем информационного обеспечения наземного транспорта (ITS) в целом. Такие системы получают все большее развитие в практике стран с развитой автомобилизацией и способствуют не только снижению аварийности за счет применения систем автоматизированного управления движения, систем связи и телекоммуникаций, но и являются средством повышения пропускной способности дорог, сокращения расхода топлива и загрязнения окружающей среды, а в целом ряде случаев альтернативным решением проблемы перегруженности дорог без увеличения числа полос движения существующих и строительства новых дорог.

Так, например, в США эксперты оценили, что применение систем ITS к 2011 г. позволит снизить ущерб, наносимый перегруженностью дорог, на 8%, сохраняя ежегодно около 3300 жизней и избегая приблизительно 400 тыс. ДТП. В результате, по прогнозам Национальной Администрации Безопасности дорожного движения США, удастся уменьшить общий ущерб от происшествий, по крайней мере, на 18%, что выразится в экономическом эффекте 25,6 млрд. долл.

В Российской Федерации развитие аналогичных систем предусмотрено Федеральной целевой программой «Модернизация транспортной системы России (2002-2010 годы)», которая включает подпрограммы «Информатизация» и «Автомобильные дороги», содержащие конкретные проекты развития информационных и телекоммуникационных технологий, систем связи на автомобильных дорогах. Так, для решения этой проблемы в настоящее время реализуется совместная программа работ Росавтодора и Минсвязи России по развитию современных систем связи на автомобильных дорогах. Системами связи предполагается оборудовать прежде всего магистральные федеральные дороги группы Е, где наблюдается наиболее высокая интенсивность движения транспортных потоков. Предоставление медицинским, спасательным службам, а также участникам дорожного движения услуг оперативной связи позволит существенно сократить время обнаружения ДТП, спасения и эвакуации пострадавших в ближайшие медицинские учреждения и тем самым существенно снизить тяжесть последствий происшествий [8].

Подводя итоги вышеприведенного анализа аварийности, следует отметить, что, несмотря на некоторое ухудшение показателей аварийности в 2001-2002 гг., в долгосрочном плане имеются определенные положительные сдвиги в решении проблемы повышения безопасности дорожного движения в Российской Федерации. За последние 12 лет, за счет принятых мер, удалось по ряду показателей приблизиться, а по отдельным из них войти в группу зарубежных стран с высоким средним уровнем безопасности дорожного движения. Вместе с тем, если воспользоваться критериями, приведенными в табл. 1, для Российской Федерации в целом характерен переходный уровень безопасности движения. Если преодолеть тенденцию стабилизации и некоторого роста абсолютных и относительных показателей аварийности, наблюдающуюся в последние несколько лет, и восстановить темпы их снижения, имевшиеся ранее, то Российская Федерация в течение 7-10 лет может войти по ключевым показателям аварийности в группу европейских стран со средним уровнем безопасности дорожного движения.

В качестве приоритетных направлений повышения уровня безопасности дорожного движения в России следует рассматривать применение эффективных методов снижения тяжести последствий от ДТП за счет повышения качества транспортных средств, применения современных средств инженерного оборудования дорог, автоматизированных систем управления движением, информационных технологий и систем связи на наиболее загруженных участках дорог и международных маршрутах, повышения дисциплины и общей транспортной культуры водителей в целях снижения уровня допустимого риска в дорожном движении. Другими важнейшими направлениями следует считать дальнейшее развитие дорожной сети с точки зрения приведения ее в соответствие с темпами автомобилизации и совершенствование транспортно-эксплутационного состояния дорог общего пользования с приоритетным решением вопросов ликвидации опасных условий движения на отдельных участках, поэтапное приведение состояния дорог в соответствие с нормативными требованиями по условиям безопасности движения. Практика показывает, что значительной эффективностью обладают также комплексные региональные и местные программы повышения безопасности дорожного движения, принципы формирования которых учитывают вышеназванные приоритеты в увязке с локальными особенностями и причинами формирования аварийности.

4. ИССЛЕДОВАНИЕ ВЛИЯНИЯ РАЗВИТИЯ ДОРОЖНОЙ СЕТИ НА БЕЗОПАСНОСТЬ ДВИЖЕНИЯ

Уровень развития дорожной сети, который характеризуется соответствием ее общей протяженности, плотности, распределения дорог по функциональному значению и категориям, социально-экономическим потребностям общества в автомобильных перевозках, играет существенную роль в формировании аварийности. Диспропорции в развитии дорожной сети непосредственно отражаются на неравномерности загрузки дорог движением и, соответственно, стимулируют рост риска ДТП, особенно на участках, где пропускная способность не отвечает наблюдаемой интенсивности движения.

В этой связи целесообразно рассмотреть состояние и ближайшие перспективы развития дорог в России. Общая протяженность сети автомобильных дорог Российской Федерации по состоянию на 1 января 2002 г. составляет 922 тыс. км. Сеть дорог общего пользования имеет протяженность 588,7 тыс. км дорог, включая 46,6 тыс. км дорог федерального значения и 542,1 тыс. км территориальных дорог. Согласно дорожным программам, в ближайшее время планируется включить в сеть дорог общего пользования около 200 тыс. км ведомственных дорог после осуществления работ по приведению их состояния в соответствие с требованиями, предъявляемыми к дорогам общего пользования. Таким образом, в ближайшей перспективе общая протяженность дорог общего пользования может возрасти почти до 800 тыс. км.

Развитие дорожной сети в период 1995-2000 гг. осуществлялось в соответствии с Программой совершенствования и развития автомобильных дорог Российской Федерации «Дороги России». За указанный период наблюдался устойчивый рост протяженности дорог общего пользования, которая увеличилась на 12,5%. Сеть федеральных дорог выросла на более чем 5 тыс. км. В общей сложности было построено и реконструировано 33,9 тыс. км дорог общего пользования. В целом, реализация указанной Программы способствовала и стабилизации уровня аварийности на дорогах страны, поскольку именно в этот период наблюдалось устойчивое сокращение как общего числа ДТП, так и числа пострадавших в них людей.

Вместе с тем, по оценкам специалистов, общая протяженность дорожной сети Российской Федерации является недостаточной, исходя из потребностей социально-экономического развития страны, темпов автомобилизации населения. Для сравнения на рис. 16 показана протяженность дорожной сети России и ряда зарубежных стран с развитой автомобилизацией. Следует учитывать, что протяженность дорог России с твердыми типами покрытия составляет 537 тыс. км, а с усовершенствованным покрытием - всего 365 тыс. км при территории страны и численности населении, сопоставимыми с США.

Рис. 16. Общая протяженность автомобильных дорог в отдельных странах по состоянию на 1999 г. (для Российской Федерации - на 2002 г.)

Согласно Федеральной целевой программе «Модернизация транспортной системы России (2002-2010 годы)», минимально необходимая протяженность дорог общего пользования в Российской Федерации должна составлять не менее 1,5 млн. км, причем рационально распределенных по территории страны и имеющих оптимальную структуру с точки зрения категории дорог.

Вместе с тем, протяженность дорог с твердым типом покрытия распределена по регионам Российской Федерации крайне неравномерно, что связано, с одной стороны, с различиями в социально-экономическом развитии регионов и, с другой стороны, вызвано существенными различиями в плотности населения в связи с объективными особенностями природно-климатических условий. В целом, при средней протяженности дорог с твердым типом покрытия, приходящихся на 1 тыс. человек населения Российской Федерации, равной 3,7 км, этот показатель колеблется для основной части регионов от 2 до 10 км (рис. 17). В густонаселенных регионах (Московской и Ленинградской областях) он составляет всего около 1 км на 1 тыс. жителей, что характеризует высокую потребность в развитии сети и одновременно негативно отражается на уровне аварийности, который здесь наиболее высок.

Рис. 17. Распределение протяженности дорог с твердым  покрытием на 1 тыс. жителей:
1 - по регионам Российской Федерации; 2 - по странам Европы и Северной Америки

Решение проблемы дефицита протяженности дорожной сети становится все более актуальной, если иметь в виду опережающий развитие дорог бурный рост численности парка транспортных средств.

Так, дефицит протяженности дорог общего пользования негативно отражается на среднем уровне показателя риска ранений участников дорожного движения и общем риске ДТП. Сведения, представленные на рис. 18, показывают, что при удельной протяженности дорожной сети в расчете на 1 тыс. жителей меньшей шести резко возрастает риск ранений.

Рис. 18. Зависимость риска ранений участников дорожного движения от удельной протяженности дорожной сети по отношению к численности жителей

В диапазоне изменения удельной протяженности дорожной сети от 6 до 12 км на 1 тыс. жителей наблюдается постепенное снижение относительного риска вовлечения людей в ДТП. При значениях рассматриваемого показателя свыше 12 дальнейшее увеличение протяженности сети в расчете на 1 тыс. жителей практически не отражается на последующем снижении относительного риска получения ранений в ДТП.

В свою очередь, средний риск ДТП стабилизируется и имеет наименьшее значение при протяженности дорожной сети, приходящейся на 1 тыс. жителей, более 14 км (рис. 19). С дальнейшим снижением удельной протяженности дорог от 14 до 4 км на 1 тыс. жителей риск ДТП постепенно увеличивается и резко возрастает при удельной протяженности менее 4 км.

Рис. 19. Влияние удельной протяженности дорожной сети на показатель риска ДТП

Указанная закономерность не является случайной, если учесть, что при сопоставимом уровне автомобилизации населения с уменьшением удельной протяженности дорожной сети возрастает плотность транспортных потоков и, соответственно, плотность ДТП и число пострадавших в них участников дорожного движения.

Для Российской Федерации протяженность дорожной сети на 1 тыс. жителей в настоящее время составляет 6,4 км, а дорог общего пользования с твердыми типами покрытий федерального и территориального значения, на которые приходится около 80% всех ДТП на дорожной сети, - всего 4 км, что свидетельствует о необходимости существенного увеличения протяженности дорог общего пользования в целях повышения безопасности движения.

Аналогичная ситуация наблюдается, если сравнивать протяженность дорог, приходящихся на численность парка транспортных средств в России и за рубежом, которая существенно меньше средних значений, характерных для стран с развитой автомобилизацией (рис. 20).

Рис. 20. Обобщенные данные оценки протяженности дорог по отношению к численности парка транспортных средств в странах с развитой автомобилизацией:
1 - накопленная частость; 2 - частость

В связи с этим, в целях снижения риска ДТП до уровня его стабилизации, когда дальнейшее увеличение дорожной сети не оказывает влияния на безопасность движения, общую протяженность дорог необходимо по меньшей мере удвоить, а дорог с твердыми типами покрытий довести до 1600 тыс. км при темпах автомобилизации населения, наблюдающихся в настоящее время, и тем самым постепенно ликвидировать диспропорцию, показанную на рис. 1. Естественно, что столь масштабное развитие дорожной сети должно являться предметом долгосрочной программы и основываться не только на расчетах по критериям безопасности движения, но и на детальном обосновании инвестиций в развитие дорожной сети с учетом бюджетных возможностей и экономической эффективности капиталовложений. Однако социально-экономическая эффективность, достигаемая в результате повышения уровня безопасности движения, является весьма весомым компонентом таких расчетов, если учесть, что потери от одного погибшего в ДТП для условий России составляют порядка 300 тыс. долл. США.

Похожие результаты можно получить, если воспользоваться результатами оценки влияния плотности дорожной сети на уровень безопасности дорожного движения. Показатели плотности дорожной сети Российской Федерации, имеющиеся в настоящее время, в сравнении с отдельными зарубежными странами, показаны на рис. 21.

Рис. 21. Показатели плотности дорог:
 - на единицу площади территории;  - на 1 тыс. жителей

В целом, сравнение распределения показателей плотности дорожной сети в регионах Российской Федерации и в зарубежных странах с развитой автомобилизацией показывает, что для ряда регионов плотность сети сопоставима с такими странами, как Болгария, Греция, Венгрия, Норвегия, Румыния, Испания, Швеция, т.е. составляет около 3,5 км/км2 территории. Вместе с тем, подавляющая часть регионов России имеет существенно меньшую плотность сети, которая в целом ряде случаев не отвечает потребностям автомобильного транспорта (рис. 22) [9].

Рис. 22. Обобщенные данные о плотности дорожной сети:
1 - по регионам Российской Федерации (А - Европейская часть, Б - районы Северо-Востока); 2 - по странам Европы и Северной Америки

При этом отличительные особенности имеет и сам вид распределения плотности дорожной сети по регионам. Для Северо-Восточной Сибири характерно наличие обширных территорий с низкой плотностью населения и сложными природно-климатическими условиями (наличие зоны вечной мерзлоты, тундры и т.п.), где развитие дорожной инфраструктуры, особенно строительство дорог с твердыми типами покрытий, затруднено, а в ряде случаев и экономически нецелесообразно. В связи с этим плотность дорожной сети здесь является крайне низкой, что, в целом, следует считать оправданным. В то же время в Европейской части, особенно в регионах расположения крупных промышленных центров, плотность сети явно недостаточна, что способствует росту себестоимости перевозок, повышенному уровню загрузки ее движением, и, как следствие, низкому уровню безопасности движения.

Если воспользоваться среднестатистическими данными для стран с развитой автомобилизацией о взаимосвязи плотности дорожной сети и плотности населения, которая показана на рис. 23, то для условий Российской Федерации плотность дорожной сети при средней плотности населения по состоянию на 2001 г. должна составлять от 0,09 до 0,12 км/км2 территории, т.е. почти в 1,5-2 раза больше, чем имеется в настоящее время.

Рис. 23. Взаимосвязь плотности дорожной сети и населения в странах Европы и Северной Америки

Наращивание плотности дорожной сети и приведение ее в соответствие с потребностями автомобильного транспорта является принципиально важным моментом и с позиции повышения уровня безопасности движения. Этот вывод наглядно иллюстрируется зависимостью показателя риска ДТП от плотности дорожной сети, представленной на рис. 24.

Рис. 24. Зависимость показателя риска ДТП от плотности дорожной сети

Конечно, следует учитывать, что зависимость, приведенная на этом рисунке, установлена по результатам совместного анализа риска ДТП и плотности дорожной сети в 30 странах Европы и Северной Америки, для которых имелись соответствующие исходные данные. В связи с этим полученная зависимость является результатом осреднения многих данных, имеющих широкий разброс значений риска ДТП в отдельных диапазонах изменения плотности дорожной сети, особенно при низких ее значениях. Это не является случайным, поскольку для отдельных стран невысокая плотность дорожной сети является оптимальной, исходя из плотности населения и уровня его автомобилизации. Поэтому полученную зависимость следует рассматривать в качестве тенденции общего характера. Вместе с тем, если воспользоваться этой зависимостью для оценки возможного снижения риска ДТП при увеличении средней плотности дорожной сети в Российской Федерации, составляющей в настоящее время от 0,06 до 0,09-0,12 км/км2, то, согласно расчетам, это позволит уменьшить риск ДТП на дорогах общего пользования примерно на 15-20% с учетом наблюдающихся темпов роста автомобилизации населения.

Помимо отмеченного выше дефицита протяженности и плотности дорожной сети в Российской Федерации, негативно отражающихся на уровне обеспечения безопасности дорожного движения, определенные диспропорции наблюдаются и в соотношении объемов перевозок и структуре дорожной сети. Анализ показывает, что объем основной транспортной работы приходится на федеральные дороги (рис. 25).

Рис. 25. Соотношение объема перевозок и структуры дорожной сети:
 - протяженность сети;  - выполняемая транспортная работа

По итогам диагностики дорог 2002 г. установлено, что свыше 20% общей протяженности федеральных дорог работает в режиме перегрузки (табл. 3), а 25% федеральной дорожной сети - выше границ оптимальной загрузки, что способствует снижению уровня удобства движения и росту аварийности (рис. 26).

Таблица 3

Категория дороги

Относительная протяженность участков, %, соответствующая отдельным уровням удобства движения

А

Б

В

Г

I

19,6

30,9

20,8

28,7

I-б, II

42,3

20,3

13,8

23,6

III

42,7

28,8

12,3

16,1

IV

74,6

14,8

5,4

9,0

V

80,6

9,2

4,2

6,0

Рис. 26. Относительная протяженность участков федеральных дорог с уровнем удобства движения, превышающим оптимальные границы, на дорогах отдельных категорий

Особенно высокий уровень транспортной загрузки наблюдается на дорогах I-II категории, главным образом, на подходах к крупным городам.

Так, протяженность участков на подходах к крупным городам, которые, исходя из интенсивности движения по техническому уровню, должны соответствовать многополосным дорогам I категории, составляет 8 тыс. км при фактической протяженности дорог, полностью отвечающих указанным стандартам, всего 4,3 тыс. км. Ввиду отмеченной выше высокой транспортной загрузки федеральных дорог, протяженность которых составляет менее 5 % протяженности всех дорог общего пользования, на них приходится 11,2 % общего числа ДТП, а на территориальные дороги (57,8 % протяженности) - 12,3 % ДТП (рис. 27).

Рис. 27. Распределение ДТП по местам их совершения:
 - городские дороги;  - территориальные дороги;  - федеральные дороги;  - сельские дороги;  - прочие дороги;  - ведомственные дороги;  - частные дороги

Если говорить о средней плотности ДТП, определяемой через отношение общего числа происшествий к протяженности дорожной сети, то в Российской Федерации, по сравнению с зарубежными странами, она является относительно невысокой - в среднем 5,3 ДТП на 100 км дорог общего пользования (рис. 28), однако плотность ДТП на федеральных дорогах за последние три года возросла с 29 до 44 ДТП на 100 км (рис. 29) ввиду роста интенсивности движения.

Рис. 28. Среднее число ДТП на 100 км внегородских дорог в отдельных странах по состоянию на 2000 г. (для Российской Федерации - на 2002 г.)

Рис. 29. Распределение плотности ДТП на федеральных дорогах по годам

В сравнении с зарубежными странами, дороги общего пользования Российской Федерации характеризуются высокими относительными показателями тяжести ДТП, которые в среднем в 1,5 раза выше, чем в европейских странах и в 4 раза выше, чем в США (рис. 30).

Рис. 30. Число погибших на 100 км внегородских дорог в отдельных странах

При этом особенно высокие значения рассматриваемого показателя тяжести ДТП наблюдаются на федеральных дорогах, где он составляет 15,6 погибших на каждые 100 км, т.е. на порядок выше, чем средние значения для дорог общего пользования. Вместе с тем, показатель тяжести ДТП, выраженный через число погибших на 100 ДТП, на федеральных дорогах в течение последних 5 лет изменился незначительно, а в 2002 г. даже снизился (рис. 31), однако по-прежнему превышает средние значения для дорог общего пользования - 32 погибших на 100 ДТП.

Рис. 31. Изменение тяжести последствий от ДТП на федеральных дорогах по годам

Приведенные данные о состоянии аварийности убедительно подтверждают вышеприведенные выводы о дефиците протяженности дорог высоких категорий в составе федеральных дорог, обеспечивающих движение транспортных потоков большой интенсивности, и крайне неоднородной загрузке движением дорожной сети общего пользования в целом.

Исследования показывают, что строительство автомобильных магистралей способствует существенному снижению общего наблюдаемого риска ДТП на всей дорожной сети. Примером может служить близость относительных показателей аварийности на участках дорог России, которые полностью отвечают нормам на проектирование автомобильных магистралей, и аналогичных показателей для дорог указанного класса, установленных в зарубежных исследованиях (рис. 32) [6, 10].

Рис. 32. Среднее значение показателя риска ДТП на автомобильных магистралях по странам

Данные, приведенные на рис. 33, свидетельствуют также, что высокий уровень безопасности движения достигается при доле автомобильных магистралей в общей сети дорог не менее 1 %.

Рис. 33. Влияние наличия и относительной протяженности автомобильных магистралей на средний риск ДТП на дорожной сети

Обобщая результаты вышеприведенного анализа взаимодействия отдельных параметров, характеризующих влияние развития дорожной сети на уровень безопасности движения, следует отметить, что каждому из указанных уровней присущи определенные значения количественных показателей развития дорожной сети, которые в интегральном виде представлены в табл. 4.

Таблица 4

Уровень безопасности дорожного движения

Рекомендуемые показатели развития дорожной сети по условиям безопасности движения

Протяженность дорог на 1 тыс. жителей, км

Протяженность дорог на 1 тыс. единиц транспортных средств, км

Плотность дорожной сети, км/км2, при различной плотности населения

Протяженность автомобильных магистралей, % от общей протяженности дорожной сети

низкая (менее 1 чел./км2)

средняя (10-100 чел./км2)

высокая (свыше 100 чел./км2)

Высокий

12,0-14,0

Более 55

Более 1,0

Более 1,5

Более 2,5

Более 1,0

Средний

8,0-12,0

25-55

0,5-1,0

1,0-1,5

1,5-2,5

0,5-1,0

Переходный

4,0-8,0

10-25

0,25-0,5

0,5-1,0

1,0-1,5

0,25-0,5

Если рассматривать представленные в табл. 4 показатели применительно к условиям Российской Федерации, то можно получить общие параметры развития дорожной сети, способствующие поэтапному повышению наблюдаемого уровня безопасности движения до характерного для стран с высоким экономическим уровнем развития, автомобилизации и безопасности движения (табл. 5).

Таблица 5

Уровень безопасности дорожного движения

Общая протяженность дорожной сети, млн. км

Плотность дорожной сети, км/км2

Протяженность автомобильных магистралей, тыс. км

Снижение показателя риска ДТП

Высокий

1,70-2,0

Более 1,5

Более 18,5

0,35-0,45

Средний

1,20-1,70

1,0-1,5

7,5-15,0

0,45-0,70

Переходный

0,82-1,20

0,5-1,0

Не менее 1,0

0,7-1,0

Примечание. Диапазон изменения показателей обусловлен различием в способах их получения.

В целях дальнейшего развития дорожной сети России, в том числе для повышения уровня безопасности движения, в Федеральной целевой программе «Модернизация транспортной системы России (2002-2010 годы)» в качестве стратегической государственной задачи запланировано к 2010 г. увеличить протяженность дорог общего пользования с твердым покрытием до 670 тыс. км, а федеральных дорог - до 50 тыс. км. Протяженность многополосных дорог предполагается довести с 4,3 до 8 тыс. км. Если рассматривать указанные конкретные показатели с учетом результатов вышеприведенных исследований влияния развития дорожной сети на безопасность движения, а также сложившуюся диспропорцию в темпах роста численности парка транспортных средств, автомобилизации населения и существенно отстающего от них прироста протяженности дорожной сети, то следует сделать вывод о том, что достижение указанных показателей увеличения протяженности дорог способно стабилизировать состояние аварийности на текущем уровне. Для достижения показателей аварийности среднего уровня безопасности движения, характерного для развитых европейских стран при условии сохранения в среднесрочной перспективе прироста численности парка транспортных средств, протяженность дорожной сети должна быть в 1,5-2 раза больше. С учетом тех бюджетных ограничений, которые имеются в настоящие время, на это потребуется от 15 до 25 лет, при этом решение проблемы устойчивого снижения аварийности должно быть компонентом общей долгосрочной национальной программы развития и совершенствования состояния дорожной сети, основанной на результатах прогноза изменения аварийности не только под влиянием изменения дорожных факторов, но и, например, последствий роста автомобилизации населения. Например, по результатам исследований установлено, что, начиная с уровня автомобилизации свыше 300 автомобилей на 1 тыс. жителей, в целом ряде стран наблюдалось устойчивое снижение количества погибших в ДТП, которое находит свое объяснение во все большем осознании обществом проблем дорожной аварийности. В связи с этим долгосрочные программы развития и совершенствования дорожной сети, учитывающие решение проблем дорожной аварийности, нуждаются в периодической корректировке, уточнении, прогнозе целевых показателей и перечня мероприятий на основе анализа выгод и затрат [11].

Наряду с масштабным развитием дорожной сети, способствующим повышению уровня безопасности движения, но одновременно требующим огромных капитальных затрат, данная программа должна предусматривать также систему мер по ликвидации опасных участков и повышению пропускной способности автомобильных дорог путем реконструкции таких участков, включая пересечения дорог (уменьшение их количества, устройство канализированных пересечений и строительство развязок в разных уровнях), устройству пересечений в разных уровнях на наиболее загруженных и опасных железнодорожных переездах, реализации мероприятий по повышению безопасности на участках дорог общего пользования, проходящих в пределах населенных пунктов. К числу важнейших мероприятий следует отнести также меры, направленные на снижение тяжести ДТП, - устройство барьерных ограждений, разделяющих встречные транспортные потоки, строительство надземных и подземных пешеходных переходов, освещение дорог, совершенствование организации движения и другие меры, которые в целом способствуют снижению аварийности.

При этом следует учитывать ряд важных обстоятельств. Строительство новых дорог высоких категорий в районах с недостаточно развитой сетью местных дорог способно одновременно повлиять на рост числа ДТП на них, поскольку в целом ряде случаев они начинают принимать на себя несвойственные им функции местных перевозок, что способствует дополнительному возрастанию уровня загрузки дорог движением. В той же мере описанная выше ситуация касается и вопросов реконструкции существующих дорог, проводимой с учетом ликвидации «узких мест» и опасных участков. В некоторых случаях, наряду с общим улучшением условий движения на таких дорогах, наблюдается известный эффект «миграции» очагов аварийности ДТП на соседние участки ввиду сохранившейся неоднородности условий движения, если реконструкция участков дороги имела локальный характер. В связи с этим для обеспечения планируемого уровня безопасности движения программы строительства и реконструкции дорог должны учитывать особенности развития и транспортную загрузку территориальной дорожной сети, а также создание однородности условий движения на каждой из них в целях равномерного снижения общего уровня наблюдаемой аварийности. Обычно это достигается за счет размещения строящихся дорог с учетом характеристик уже имеющейся дорожной сети и прогноза последующего распределения транспортных потоков как на примыкающих дорогах, так и в целом по дорогам региона для обеспечения оптимальных уровней их загрузки. Существенную роль при этом играет организация принудительного разделения местного и транзитного движения, особенно при строительстве автомобильных магистралей. Развитие дорожной сети должно также сопровождаться улучшением транспортно-эксплуатационных качеств существующих маршрутов, особенно в зонах проложения новых дорог. Как показывают исследования, вышеперечисленные меры в совокупности способны снизить до 20% общий уровень относительной аварийности в районах развития дорог высоких категорий, главным образом, за счет оптимального распределения транспортных потоков на главных и второстепенных дорогах и обеспечения однородности дорожных условий.

Значимость реализации вышеназванных направлений развития дорожной сети с позиции их влияния на безопасность движения можно оценить, если воспользоваться результатами исследований снижения аварийности, приведенными в табл. 6 [12].

Таблица 6

Меры по развитию дорожной сети

Среднее снижение числа ДТП с пострадавшими по отношению к исходному уровню до реализации мер, %

Строительство обходов населенных пунктов

25

Строительство пересечений в разных уровнях с автомобильными дорогами

40

Устройство канализированных пересечений

30

Строительство пересечений в разных уровнях с железными дорогами

80

Реконструкция автомобильной дороги с повышением ее категории

70

В результате реализации вышеперечисленных и других мер в среднесрочной перспективе (10-летний период) на основе расчетов можно ожидать увеличение пропускной способности наиболее загруженных и аварийных участков дорог в 1,5-3 раза, а в среднем по дорожной сети - на 10-12% при одновременном прогнозируемом снижении количества ДТП до 10-15%.

Таким образом, вышеприведенный анализ показывает, что программы развития дорожной сети в России требуют решения ряда актуальных задач в сфере обеспечения безопасности движения, к которым следует отнести совершенствование методов обоснования развития дорожной сети с учетом пропорций ее развития на федеральном и региональных уровнях в целях снижения аварийности, разработку методологии выявления, прогнозирования формирования и модернизации опасных участков при реконструкции и капитальном ремонте дорог, а также развитие эффективных способов планирования мероприятий по повышению безопасности движения на основе современных технико-экономических подходов.

5. ВЛИЯНИЕ ЭКСПЛУАТАЦИОННОГО СОСТОЯНИЯ ДОРОЖНОЙ СЕТИ НА УРОВЕНЬ БЕЗОПАСНОСТИ ДВИЖЕНИЯ

Влияние показателей транспортно-эксплуатационного состояния дорожной сети на состояние аварийности можно оценить, если воспользоваться сведениями официальной статистики о ДТП, регистрируемых органами ГИБДД МВД России, а также результатами диагностики дорожной сети, в процессе которой инструментально определяются показатели состояния дорог, имеющие отклонения от допускаемых норм по условиям безопасности дорожного движения.

Официально регистрируемая ГИБДД доля ДТП, в которых неблагоприятные дорожные условия способствовали их возникновению, являлась стабильной в течение целого ряда лет и, как правило, не превышала 12% от всех ДТП, а начиная с 2000 г., получила тенденцию к росту благодаря, главным образом, формальным мерам по расширению учета несоответствия параметров дорог нормам на проектирование (с 5,8% в 1998 г. до 26,4% в 2001 г.). В результате общая доля ДТП, связанных с неблагоприятными дорожными условиями, например, на федеральных дорогах в 2000-2002 гг. в среднем составила около 20% (рис. 34).

Рис. 34. Тенденция изменения доли ДТП по неблагоприятным дорожным условиям на федеральных дорогах

Согласно официальной статистике, к числу основных дорожных факторов, способствующих возникновению ДТП, относятся: неудовлетворительные ровность и сцепные качества покрытия, отсутствие разметки проезжей части, ограниченная видимость и несоответствие параметров геометрических элементов дороги ее категории. Распределение указанных факторов в зависимости от количества регистрируемых ДТП показано на рис. 35.

Рис. 35. Основные причины возникновения ДТП на федеральных дорогах в отдельные годы:
 - 2002 г.;  - 2001г.;  - 2000 г.;  - 1999 г.;  - 1998 г.

Анализ сведений статистики ДТП, приведенных на рис. 35, показывает, что в последние годы произошли изменения в оценке роли отдельных факторов эксплуатационного состояния дорог, регистрируемых ГИБДД в качестве условий, способствующих ДТП. Несколько снизился удельный вес таких факторов, как низкие сцепные качества и неудовлетворительная ровность дорожных покрытий, а также ограниченная видимость. Вместе с тем, вероятность регистрации ДТП, связанных с несоответствием параметров дороги ее категории, возросла в 1,5-2 раза. Также увеличилась частота регистрации ДТП, произошедших из-за недостаточного освещения дорог. Столь высокая вариабельность по годам вероятности возникновения ДТП по отдельным факторам дорожных условий (например, по причине несоответствия параметров дорог их категории) не соответствует фактическому положению вещей - технический уровень дорожной сети за тот же период времени не претерпел столь существенных изменений. В последние годы наблюдается некоторая стабилизация состояния сети федеральных дорог с небольшими колебаниями по отдельным параметрам в ту или иную сторону, вызванными сочетанием процессов ухудшения состояния дорог за счет их естественного износа и воздействием движения транспортных средств со сверхнормативными нагрузками и одновременно с улучшением технического уровня дорожной сети за счет проведения плановых работ по ремонту и реконструкции дорог. Поэтому в данном случае речь может идти не о каких-либо новых инженерных подходах в оценке влияния дорожных условий на аварийность, а скорее об определенных административных мерах, заставляющих работников ГИБДД обратить более пристальное внимание на определенные недостатки дорог. Кроме того, как отмечалось выше, дорожные условия редко регистрируются в качестве прямых причин возникновения ДТП. В преобладающем числе случаев речь идет лишь о констатации того факта, что место ДТП с точки зрения дорожных условий не отвечает тем или иным требованиям без установления причинно-следственной связи с развитием аварийной ситуации, приведшей к происшествию. Поэтому, например, регистрация в качестве преобладающего условия возникновения ДТП несоответствия параметров геометрических элементов дорог нормам проектирования вызывает серьезные сомнения. Согласно юридической практике целого ряда стран, дорожные администрации освобождены от ответственности за ДТП, связанные с различиями в современных стандартах проектирования (или модернизации) дорог и существовавших ранее нормах, в соответствии с которыми дороги были спроектированы и построены [10]. Действительно, дорожные организации не могут непрерывно модернизировать существующие дороги, поскольку критерии проектирования изменились и усовершенствованы средства обеспечения безопасности движения. Кроме того, как показывают отечественные и зарубежные исследования [1, 10], несоответствие нормам проектирования дорог может способствовать росту аварийности только при условии существенных отклонений параметров дорог от стандартных требований или при неблагоприятных сочетаниях параметров элементов на смежных участках. В этой связи регистрация рассматриваемого фактора дорожных условий ГИБДД в качестве условия, способствующего возникновению ДТП, весьма условна и превращается по существу в формальную процедуру оценки самих параметров дороги в местах ДТП, которые и так заранее известны по паспортным данным дороги и результатам регулярно проводимых обследований, а вопрос о степени их влияния на возникновение конкретных ДТП остается открытым. Вместе с тем, в целом федеральные дороги по своим транспортно-эксплуатационным показателям все еще не в полной мере отвечают требованиям обеспечения безопасности дорожного движения. Так, исходя из результатов инструментальной диагностики федеральных дорог в 2002 г., от 15 до 23 % их протяженности стабильно имеют неудовлетворительную ровность, от 17 до 30 % - низкие сцепные качества покрытия проезжей части. На ряде участков дорог необходима установка дополнительных ограждений; отсутствует освещение (там, где оно требуется в соответствии с нормами) на 10 % протяженности дорог.

Наиболее важными для углубленного анализа причин аварийности, связанной с дорожными условиями, являются результаты исследований непосредственного влияния факторов эксплуатационного состояния дорог на аварийность для установления степени их воздействия на уровень безопасности движения по показателям, поддающимся количественной оценке.

О значимости влияния показателей эксплуатационного состояния дорог на безопасность движения свидетельствуют результаты сравнительного анализа показателей риска ДТП на так называемых эталонных участках с показателями, характерными для текущего транспортно-эксплуатационного состояния дорожной сети [6]. К эталонным участкам принято относить прямые горизонтальные участки двухполосных дорог с шириной проезжей части 7,5 м, шириной обочин 3,75 м, шероховатым и ровным покрытием, расположенные вне зон влияния населенных пунктов без пересечений и примыканий с другими дорогами. Дополнительно к этим факторам в указанном исследовании учитывались также время суток, период года и состояние покрытия по влажности в период совершения ДТП. Результаты расчетов представлены в табл. 7.

Таблица 7

Дорожные условия на эталонном участке

Значение коэффициента относительной аварийности, число ДТП на 1 млн. авт.-км

Изменение величины коэффициента относительной аварийности, %

Среднегодовые условия

0,15

100

Светлое время суток

0,12

-20,0

Летний период года

0,08

-46,7

Сочетание светлого времени суток и летнего периода года

0,04

-73,3

Сочетание светлого времени суток, летнего периода года и сухого состояния покрытия

0,03

-80,0

Примечания. 1. За 100% принято значение коэффициента относительной аварийности на эталонном участке.

2. Расчет значений коэффициента относительной аварийности для различных условий на эталонных участках выполнен с учетом приведения к сопоставимым периодам по длительности темного и светлого времени суток и периодам года.

Анализ результатов, приведенных в табл. 7, позволяет сделать ряд важных выводов. Среднегодовое значение коэффициента относительной аварийности на эталонных участках примерно на 25% ниже, чем в среднем на двухполосных дорогах, что в целом характеризует дорожную составляющую в общем объеме аварийности на автомобильных дорогах этого типа. Одновременно необходимо отметить, что роль таких факторов, как время суток, период года и состояние покрытия по влажности оказалась чрезвычайно высока с позиции влияния на риск ДТП. В результате в эталонных условиях движения (движение на эталонных участках в летний период года на сухом покрытии в светлое время суток) риск ДТП оказался в 5 раз меньше, чем для эталонных участков, и более чем в 8 раз по сравнению со средним уровнем на двухполосных дорогах. Результаты этого анализа свидетельствуют о тех резервах, которые имеются в решении задачи повышения безопасности дорожного движения за счет совершенствования системы зимнего содержания дорог, улучшения условий движения в темное время суток, повышения сцепных свойств дорожных покрытий.

Значимость мероприятий по улучшению транспортно-эксплуатационного состояния дорожной сети с позиции их влияния на безопасность дорожного движения можно оценить, если воспользоваться показателями снижения аварийности до и после реализации соответствующих дорожных работ (табл. 8) [12].

Таблица 8

Меры по повышению транспортно-эксплуатационного состояния дорожной сети

Среднее снижение числа ДТП с пострадавшими по отношению к  исходному уровню до реализации мер, %

Устройство шероховатых поверхностных обработок покрытия проезжей части

20

Повышение ровности дорожных покрытий

18

Устройство искусственного освещения в необходимых местах

25

Обеспечение в полном объеме работ по зимнему содержанию дорог

45 (в зимний период года)

Комплексный ремонт покрытий проезжей части и обочин

40

Среди главных причин накопившихся проблем в сфере обеспечения безопасности движения при эксплуатации автомобильных дорог следует рассматривать частые изменения в системе финансирования дорожного хозяйства и общее ежегодное сокращение государственных расходов на поддержание дорожной сети в нормативном состоянии с приоритетным решением первостепенной задачи - развития дорожной сети. Основной стратегией дорожных служб в этот период являлось обеспечение сохранности дорог общего пользования за счет минимально необходимых работ по их ремонту и содержанию. Требуемый уровень безопасности движения в этих условиях, помимо ликвидации явных дефектов эксплуатационного состояния дорог, влияющих на аварийность, удавалось поддерживать, главным образом, за счет включения регламентных работ по содержанию дорог, устройству поверхностных обработок покрытия проезжей части, разметке дорог, установке ограждений и т.п., а также благодаря регламентированию режимов движения транспортных потоков - введению местных ограничений скорости движения, запрещению обгонов на сложных участках дорог и др.

В целях преодоления сложившихся негативных тенденций в этой среде в 2002 г. была введена новая классификация работ по ремонту и содержанию дорог и на ее основе разработана и начата реализация долгосрочной программы приведения федеральных дорог в нормативное состояние, в том числе по показателям, влияющим на безопасность движения на основе перераспределения дорожного бюджета в пользу приоритетного планирования и финансирования работ по ремонту и содержанию дорожной сети.

Принятая программа мер согласуется с утвержденной Правительством Российской Федерации подпрограммой «Автомобильные дороги» в составе Федеральной целевой программы «Модернизация транспортной системы России (2002-2010 годы)», согласно которой снижение дорожной составляющей в общем объеме аварийности и тяжести последствий ДТП будет достигаться, главным образом, за счет общего повышения транспортно-эксплуатационного состояния дорог общего пользования. При этом за указанный период прогнозируется уменьшение числа ДТП, связанных с неблагоприятными дорожными условиями, на 20-30 %. В этой связи необходимо отметить, что достигнуть планируемого, весьма значительного, снижения дорожной составляющей в общем объеме аварийности в условиях ограниченных финансовых ресурсов можно за счет реализации следующих мер:

• адресного планирования мероприятий по повышению безопасности движения, главным образом, на опасных участках дорожной сети, где аварийность тесно связана с дефектами эксплуатационного состояния, т.е. там, где эффективность мероприятий с позиции соотношения затрат и выгод будет наибольшей;

• обязательного включения мероприятий по повышению безопасности движения в состав работ, предусмотренных ежегодными и среднесрочными программами ремонта дорог, что сократит общие расходы на мероприятия по снижению аварийности;

• приоритетного выполнения сравнительно недорогих мероприятий по повышению безопасности движения, связанных с содержанием дорог и регламентированием режимов движения транспортных средств;

• совершенствования нормативно-технической базы дорожного хозяйства в сфере обновления требований к показателям состояния дорог по условиям безопасности движения с точки зрения их более тесной увязки с результатами исследований по оценке фактического влияния эксплуатационного состояния дорожной сети на аварийность;

• развития научных основ прогнозирования возникновения ДТП, связанных с дорожными условиями, для опережающего принятия профилактических мер, направленных на предотвращение формирования опасных участков из-за эксплуатационного состояния дорожной сети.

ЗАКЛЮЧЕНИЕ

Международный опыт показывает, что в последние годы в европейских странах с развитой автомобилизацией при формировании национальной политики и программ в сфере безопасности дорожного движения на средне- и долгосрочную перспективу, помимо общего описания проблем и методов их решения, указываются целевые показатели, характеризующие уровень повышения безопасности дорожного движения. При этом в обязательном порядке учитывается опыт реализации аналогичных программ в других странах с близким уровнем автомобилизации населения, состоянием аварийности, развитием дорожной сети.

В отечественной практике примером подобного подхода является Федеральная целевая программа «Повышение безопасности дорожного движения в России на 1996-2000 гг.», в которой в качестве таких целевых показателей указывалось снижение числа погибших в ДТП на 10-20% при общем ожидаемом сокращении аварийности. Следует отметить, что в период реализации программы, особенно в первые годы, удалось достичь определенного снижения числа погибших в ДТП по сравнению с 1991-1995 гг., хотя и не в той мере, как ожидалось, а начиная с 2001 г. (после завершения программы) возобновился рост погибших в ДТП. В целом, практика реализации национальных и региональных программ повышения безопасности движения свидетельствует, что наличие в них целевых показателей сокращения аварийности, увязанных с конкретными программными мероприятиями, способствует большему снижению наблюдаемого уровня аварийности по сравнению с программами, где количественные целевые показатели отсутствуют. Если говорить о выборе критериев сокращения аварийности, то в целом ряде национальных и региональных программ в качестве таковых обычно используют относительное снижение общего числа пострадавших, число погибших или раненых, а также общее число ДТП, т.е. показателей, наиболее очевидных с точки зрения общественного сознания, что способствует социальной поддержке таких программ.

Вместе с тем, в инженерных расчетах, в которых производится сравнение дорог различных типов или их участков по состоянию аварийности, оценка эффективности мероприятий по повышению безопасности движения в зависимости от изменения аварийности по отдельным дорогам или рассматриваемой дорожной сети в целом за счет реализации указанных мероприятий, наиболее информативными следует считать относительные показатели, связанные с оценкой риска ДТП. Такие показатели более объективно отражают текущие изменения уровня безопасности дорожного движения. Кроме того, учитывая направленность целого ряда мероприятий большинства программ на снижение аварийности на участках дорог с высоким риском ДТП (места концентрации ДТП, потенциально опасные участки), наличие таких участков и степень их опасности на рассматриваемых дорогах также могут служить естественной мерой уровня безопасности движения и целевым показателем программ.

Таким образом, введение понятия уровней безопасности дорожного движения с их количественными оценочными показателями является методологическим средством решения задач следующих направлений:

• определения целевых показателей федеральных, региональных и местных программ повышения безопасности движения, значения которых соответствуют достижению определенного уровня безопасности движения в результате реализации программных проектов и отдельных мероприятий по сокращению аварийности;

• обоснования стратегий и стадийности повышения безопасности движения в соответствии с технико-экономической оценкой достижения показателей, характеризующих каждый из уровней;

• обеспечения однородности показателей технического уровня и эксплуатационного состояния дорог в рамках установленных критериев уровней безопасности движения;

• формирования единого подхода к нормированию значений конкретных показателей технического уровня и эксплуатационного состояния дорог с учетом заданного уровня обеспечения безопасности движения;

• количественной оценки фактического наблюдаемого уровня безопасности движения на дороге или дорожной сети для сравнительного анализа эффективности инвестиций в мероприятия по снижению аварийности и оценке деятельности дорожных организаций в сфере безопасности дорожного движения;

• статистических оценок значимости снижения (или повышения) рассматриваемых показателей аварийности за период долговременных наблюдений, а также других дорог, связанных с количественной оценкой наблюдаемых или прогнозируемых уровней аварийности, в том числе на стадии оценки проектных решений по критериям безопасности движения.

СПИСОК ЛИТЕРАТУРЫ

1. Statistics of road traffic accidents in Europe and North America: Economic commission for Europe. - Geneva: United Nations, 2001. - Vol. XLVI. - 139 p.

2. Annual Bulletin of transport statistics for Europe and North America: Economic commission for Europe. - Geneva: United Nations, 2001. - Vol. XLX. - 235 p.

3. Чванов В.В. Сравнительный анализ международных статистических данных о дорожно-транспортных происшествиях. - М.,2000. - С. 111-120. - (Сб. науч. тр./МАДИ (ГТУ).

4. Клебельсберг Дитер. Транспортная психология: Пер. с нем. / Под ред. В.Б. Мазуркевича. - М.: Транспорт, 1989. - 367 с.

5. Чванов В.В. Опыт оценки трассы горных дорог с учетом надежности работы водителя. - М.: Транспорт, 1986. - 37 с.

6. Чванов В.В. Исследование уровней аварийности на автомобильных дорогах различного типа и в эталонных дорожных условиях. - М., 2000. - С. 64-69. - (Тр. / ГП «Росдорнии»; Вып. 10).

7. Vogt Andrew, Bared Joe. Accident models for two-lane rural segments and intersections // Transportation Research Record. - 1998. - №1635. - P. 18-29.

8. Чванов B.B. Транспортным коридорам - надежную связь // Российская Федерация сегодня. - 2001. - № 4. - С. 57-59.

9. Автомобильные дороги общего пользования Российской Федерации (справочник о наличии и протяженности по состоянию на 1 января 2002 г.). - М.: Информавтодор, 2002. - 59 с.

10. Эльвик Рунэ, Боргер Мюсен Аннэ, Ваа Трупе. Справочник по безопасности дорожного движения: Пер. с норвеж. / Под ред. В.В. Сильянова. - М.: МАДИ (ГТУ), 2001. - 754 с.

11. Оллсоп Р. Безопасность движения на дорогах Великобритании / Наука и техника в дор. отрасли. - 2002. - № 4. - С. 22-26.

12. Методические рекомендации по назначению мероприятий для повышения безопасности движения на участках концентрации дорожно-транспортных происшествий / Росавтодор. - М.: Информавтодор, 2000. - 79 с.

 




ГОСТЫ, СТРОИТЕЛЬНЫЕ и ТЕХНИЧЕСКИЕ НОРМАТИВЫ.
Некоммерческая онлайн система, содержащая все Российские Госты, национальные Стандарты и нормативы.
В Системе содержится более 150000 файлов нормативно-технической документации, действующей на территории РФ.
Система предназначена для широкого круга инженерно-технических специалистов.

Рейтинг@Mail.ru Яндекс цитирования

Copyright © www.gostrf.com, 2008 - 2026