Крупнейшая бесплатная информационно-справочная система онлайн доступа к полному собранию технических нормативно-правовых актов РФ. Огромная база технических нормативов (более 150 тысяч документов) и полное собрание национальных стандартов, аутентичное официальной базе Госстандарта. GOSTRF.com - это более 1 Терабайта бесплатной технической информации для всех пользователей интернета. Все электронные копии представленных здесь документов могут распространяться без каких-либо ограничений. Поощряется распространение информации с этого сайта на любых других ресурсах. Каждый человек имеет право на неограниченный доступ к этим документам! Каждый человек имеет право на знание требований, изложенных в данных нормативно-правовых актах!

  


 

Приказ Минприроды России
от 29 сентября 2009 г. № 315

"Об утверждении Административного регламента Федерального агентства по недропользованию по исполнению государственных функций по осуществлению выдачи, оформления и регистрации лицензий на пользование недрами, внесения изменений и дополнений в лицензии на пользование участками недр, а также переоформления лицензий и принятия, в том числе по представлению Федеральной службы по надзору в сфере природопользования и иных уполномоченных органов, решений о досрочном прекращении, приостановлении и ограничении права пользования участками недр"

В соответствии с пунктом 9 Порядка разработки и утверждения административных регламентов исполнения государственных функций (предоставления государственных услуг), утвержденного постановлением Правительства Российской Федерации от 11 ноября 2005 г. № 679 (Собрание законодательства Российской Федерации, 2005, № 47, ст. 4933; 2007, № 50, ст. 6285; 2008, № 18, ст. 2063), приказываю:

1. Утвердить прилагаемый Административный регламент Федерального агентства по недропользованию по исполнению государственных функций по осуществлению выдачи, оформления и регистрации лицензий на пользование недрами, внесения изменений и дополнений в лицензии на пользование участками недр, а также переоформления лицензий, и принятия, в том числе по представлению Федеральной службы по надзору в сфере природопользования и иных уполномоченных органов, решений о досрочном прекращении, приостановлении и ограничении права пользования участками недр.

2. Признать утратившими силу:

письмо Комитета по геологии и использованию недр при Правительстве Российской Федерации от 10 сентября 1992 г. № ВО-61/2296 "О Положении о порядке лицензирования пользования недрами" (зарегистрировано Министерством юстиции Российской Федерации 18 февраля 1993 г., регистрационный № 151);

письмо Комитета Российской Федерации по геологии и использованию недр от 1 февраля 1994 г. № ВО-61/220 "О применении пункта 19 Положения о порядке лицензирования пользования недрами" (зарегистрировано Министерством юстиции Российской Федерации 21 февраля 1994 г., регистрационный № 498);

постановление Комитета Российской Федерации по геологии и использованию недр от 25 мая 1994 г. № 32-р "О внесении изменений и дополнений в инструктивное письмо Роскомнедр от 01.02.94 № ВО-61/220" (зарегистрировано Министерством юстиции Российской Федерации 26 мая 1994 г., регистрационный № 582);

приказ Министерства природных ресурсов Российской Федерации от 19 ноября 2003 г. № 1026 "Об утверждении Порядка переоформления лицензий на пользование участками недр" (зарегистрирован Министерством юстиции Российской Федерации 17 декабря 2003 г., регистрационный № 5333);

приказ Министерства природных ресурсов Российской Федерации от 19 октября 2004 г. № 674 "О внесении изменений в приказ Министерства природных ресурсов Российской Федерации от 19.11.2003 № 1026 "Об утверждении Порядка переоформления лицензий на пользование участками недр" (зарегистрирован Министерством юстиции Российской Федерации 4 ноября 2004 г., регистрационный № 6102);

приказ Министерства природных ресурсов Российской Федерации от 28 марта 2007 г. № 67 "О внесении изменений в Порядок переоформления лицензий на пользование участками недр, утвержденный приказом Министерства природных ресурсов Российской Федерации от 19 ноября 2003 г. № 1026" (зарегистрирован Министерством юстиции Российской Федерации 3 мая 2007 г., регистрационный № 9398);

приказ Министерства природных ресурсов и экологии Российской Федерации от 19 января 2009 г. № 5 "О внесении изменений в Порядок переоформления лицензий на пользование участками недр, утвержденный приказом Министерства природных ресурсов Российской Федерации от 19 ноября 2003 г. № 1026" (зарегистрирован Министерством юстиции Российской Федерации 7 апреля 2009 г., регистрационный № 13712).

Министр

Ю.П. Трутнев

Зарегистрировано в Минюсте РФ 25 декабря 2009 г.

Регистрационный № 15837

Административный регламент
Федерального агентства по недропользованию по исполнению государственных функций по осуществлению выдачи, оформления и регистрации лицензий на пользование недрами, внесения изменений и дополнений в лицензии на пользование участками недр, а также переоформления лицензий, и принятия, в том числе по представлению Федеральной службы по надзору в сфере природопользования и иных уполномоченных органов, решений о досрочном прекращении, приостановлении и ограничении права пользования участками недр

Содержание

I. Общие положения

II. Требования к порядку исполнения государственной функции

Порядок информирования об исполнении государственных функций

Порядок получения консультаций (справок) об исполнении государственных функций

Требования к размещению и оформлению помещений территориальных органов Роснедр

Сроки исполнения государственных функций

III. Административные процедуры

Последовательность действий Роснедр и его территориальных органов при исполнении государственной функции по осуществлению выдачи, оформления и регистрации лицензий на пользование недрами

Оформление лицензии на пользование недрами

Регистрация лицензий на пользование недрами

Выдача лицензии на пользование недрами

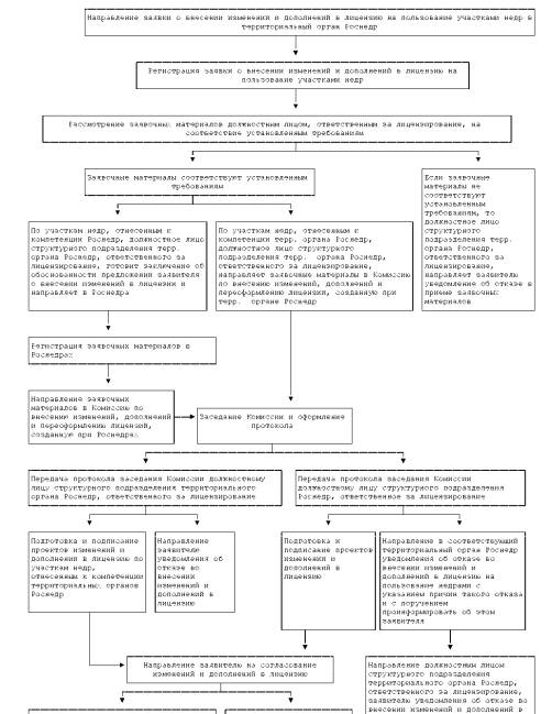
Последовательность действий Роснедр и его территориальных органов при исполнении государственной функции по осуществлению внесения изменений и дополнений в лицензии на пользование участками недр

Регистрация заявки на внесение изменений и дополнений

Рассмотрение заявочных материалов, подготовка и направление материалов в Комиссию по внесению изменений, дополнений и переоформлению лицензий

Рассмотрение заявочных материалов на Комиссии по внесению изменений, дополнений и переоформлению лицензий

Принятие Роснедрами или его территориальным органом решения о внесении изменений и дополнений в лицензию на пользование недрами, оформление внесения изменений и дополнений в лицензию

Государственная регистрация и выдача дополнений и изменений в лицензию на пользование недрами

Последовательность действий Роснедр и его территориальных органов при исполнении государственной функции по осуществлению переоформления лицензий на пользование участками недр

Регистрация заявки на переоформление лицензии

Рассмотрение заявки на переоформление лицензии, подготовка и направление заявки на переоформление лицензии в Комиссию по внесению изменений, дополнений и переоформлению лицензий

Рассмотрение заявки на переоформление лицензии на Комиссии по внесению изменений, дополнений и переоформлению лицензий

Принятие Роснедрами или его территориальным органом решения о переоформлении лицензий на пользование участками недр

Оформление, государственная регистрация и выдача переоформленной лицензии на пользование недрами

Последовательность действий Роснедр и его территориальных органов при исполнении государственной функции по осуществлению принятия, в том числе по представлению Федеральной службы по надзору в сфере природопользования и иных уполномоченных органов, решений о досрочном прекращении, приостановлении и ограничении права пользования участками недр

Регистрация документов

Рассмотрение полученных документов, подготовка и направление комплекта документов в Комиссию по досрочному прекращению права пользования недрами

Рассмотрение материалов на Комиссии по досрочному прекращению права пользования недрами и принятие рекомендательного решения

Принятие Роснедрами или его территориальным органом решения о досрочном прекращении, приостановлении или ограничении права пользования недрами

Реализация решения о досрочном прекращении, приостановлении или ограничении права пользования недрами

IV. Порядок и формы контроля за исполнением государственных функций

V. Порядок обжалования действий (бездействия) должностного лица, а также принимаемого им решения при исполнении государственных функций

Приложение 1 Список территориальных органов Федерального агентства по недропользованию

Приложение 2 Распределение полномочий между Роснедрами и его территориальными органами при исполнении государственных функций

Приложение к распределению Таблица предельных объемов запасов и прогнозных ресурсов полезных ископаемых, залегающих на участках недр

Приложение 3 Блок-схема последовательности действий при исполнении государственной функции по осуществлению выдачи, оформления и регистрации лицензий на пользование недрами

Приложение 4 ЛИЦЕНЗИЯ на пользование недрами

Приложение 5 Образец штампа государственной регистрации лицензии на пользование недрами

Приложение 6 Аббревиатуры наименований субъектов Российской Федерации и морей Российской Федерации, принятые для обозначения серий лицензий на пользование недрами

Приложение 7 Образец штампа дубликата государственной регистрации лицензии на пользование недрами

Приложение 8 Блок-схема последовательности действий при исполнении государственной функции по осуществлению внесения изменений и дополнений в лицензии на пользование участками недр

Приложение 9 Блок-схема последовательности действий при исполнении государственной функции по осуществлению переоформления лицензий

Приложение 10 Блок-схема последовательности действий при исполнении государственной функции по осуществлению принятия, в том числе по представлению Федеральной службы по надзору в сфере природопользования и иных уполномоченных органов, решений о досрочном прекращении, приостановлении и ограничении права пользования участками недр

I. Общие положения

1. Настоящий Административный регламент определяет последовательность и сроки действий (административных процедур) по исполнению государственных функций по осуществлению выдачи, оформления и регистрации лицензий на пользование недрами, внесения изменений и дополнений в лицензии на пользование участками недр, а также переоформления лицензий, и принятия, в том числе по представлению Федеральной службы по надзору в сфере природопользования и иных уполномоченных органов, решений о досрочном прекращении, приостановлении и ограничении права пользования участками недр.

2. Исполнение государственных функций по осуществлению выдачи, оформления и регистрации лицензий на пользование недрами, внесения изменений и дополнений в лицензии на пользование участками недр, а также переоформления лицензий, и принятия, в том числе по представлению Федеральной службы по надзору в сфере природопользования и иных уполномоченных органов, решений о досрочном прекращении, приостановлении и ограничении права пользования участками недр, (далее - государственные функции) осуществляется в соответствии с:

Законом Российской Федерации от 21 февраля 1992 г. № 2395-I "О недрах" (Ведомости Съезда народных депутатов Российской Федерации и Верховного Совета Российской Федерации, 1992, № 16, ст. 834; Собрание законодательства Российской Федерации, 1995, № 10, ст. 823; 1999, № 7, ст. 879; 2000, № 2, ст. 141; 2001, № 21, ст. 2061; 2001, № 33, ст. 3429; 2002, № 22, ст. 2026; 2003, № 23, ст. 2174; 2004, № 27, ст. 2711; 2004, № 35, ст. 3607; 2006, № 17 (1 ч.), ст. 1778; 2006, № 44, ст. 4538; 2007, № 27, ст. 3213; 2007, № 49, ст. 6056; 2008, № 18, ст. 1941; № 29, ст. 3418, ст. 3420; № 30, (2 ч.), ст. 3616; 2009, № 1, ст. 17; № 29, ст. 3601);

Федеральным законом от 30 декабря 1995 г. № 225-ФЗ "О соглашениях о разделе продукции" (Собрание законодательства Российской Федерации, 1996, № 1, ст. 18; 1999, № 2, ст. 246; 2001, № 26, ст. 2579; 2003, № 23, ст. 2174; 2004, № 27, ст. 2711; 2005, № 1 (1 ч.), ст. 25; 2009, № 1, ст. 17);

Федеральным законом от 30 ноября 1995 г. № 187-ФЗ "О континентальном шельфе Российской Федерации" (Собрание законодательства Российской Федерации, 1995, № 49, ст. 4694; 1999, № 7, ст. 879; 2001, № 33, ст. 3429; 2003, № 17, ст. 1557; 2003, № 27, ст. 2700; 2003, № 46, ст. 4444; 2004, № 35, ст. 3607; 2005, № 19, ст. 1752; 2006, № 45, ст. 4640; 2007, № 50, ст. 6246; 2008, № 18, ст. 1941; 2008, № 29 (ч. 1), ст. 3420; 2008, № 49, ст. 5748);

Федеральным законом от 31 июля 1998 г. № 155-ФЗ "О внутренних морских водах, территориальном море и прилежащей зоне Российской Федерации" (Собрание законодательства Российской Федерации, 1998, № 31, ст. 3833; 2003, № 17, ст. 1556; 2003, № 27 (1 ч.), ст. 2700; 2003, № 46 (1 ч.), ст. 4444; 2004, № 35, ст. 3607; 2007, № 46, ст. 5557; 2008, № 30 (ч. 2), ст. 3616; 08.12.2008, № 49, ст. 5748);

Федеральным законом от 26 октября 2002 г. № 127-ФЗ "О несостоятельности (банкротстве)" (Собрание законодательства Российской Федерации, 2002, № 43, ст. 4190; 2004, № 35, ст. 3607; 2005, № 1 (часть 1), ст. 18; 2005, № 1 (часть 1), ст. 46; 2005, № 44, ст. 4471; 2006, № 30, ст. 3292; 2006, № 52 (1 ч.), ст. 5497; 2007, № 7, ст. 834; 2007, № 18, ст. 2117; 2007, № 30, ст. 3753; 2007, № 30, ст. 3754; 2007, № 41, ст. 4845; 2007, № 48 (2 ч.), ст. 5814; 2007, № 49, ст. 6078; 2007, № 49, ст. 6079; 2008, № 30 (ч. 2), ст. 3616; 2008, № 49, ст. 5748; 2009, № 1, ст. 4; 2009, № 1, ст. 14; 2009, № 18 (1 ч.), ст. 2153; 2009, № 29, ст. 3632);

Федеральным законом от 2 мая 2006 г. № 59-ФЗ "О порядке рассмотрения обращений граждан Российской Федерации" (Собрание законодательства Российской Федерации, 2006, № 19, ст. 2060);

постановлением Верховного Совета Российской Федерации от 15 июля 1992 г. № 3314-1 "О порядке введения в действие Положения о порядке лицензирования пользования недрами" (Ведомости Съезда народных депутатов Российской Федерации и Верховного Совета Российской Федерации, 1992, № 33, ст. 1917; Собрание законодательства Российской Федерации, 2007, № 27, ст. 3213);

Указом Президента Российской Федерации от 9 марта 2004 г. № 314 "О системе и структуре федеральных органов исполнительной власти" (Собрание законодательства Российской Федерации, 2004, № 11, ст. 945; 2004, № 21, ст. 2023; 2005, № 12, ст. 1023; 2005, № 47, ст. 4880; 2005, № 52 (3 ч.), ст. 5690; 2006, № 14, ст. 1509; 2007, № 8, ст. 978; 2007, № 40, ст. 4717; 2008, № 20, ст. 2290; 2008, № 41, ст. 4653; 2008, № 52 (ч. 1), ст. 6366; 2009, № 26, ст. 3167);

постановлением Правительства Российской Федерации от 29 мая 2008 г. № 404 "Об утверждении Положения о Министерстве природных ресурсов и экологии Российской Федерации" (Собрание законодательства Российской Федерации, 2008, № 22, ст. 2581; № 42, ст. 4825; № 46, ст. 5337; 2009, № 3, ст. 378; № 6, ст. 738; № 33, ст. 4088; № 34, ст. 4192);

постановлением Правительства Российской Федерации от 17 июня 2004 г. № 293 "Об утверждении Положения о Федеральном агентстве по недропользованию" (Собрание законодательства Российской Федерации, 2004, № 26, ст. 2669; 2006, № 25, ст. 2723; 2008, № 22, ст. 2581; № 42, ст. 4825; № 46, ст. 5337; 2009, № 6, ст. 738; № 33, ст. 4081; № 38, ст. 4489);

постановлением Правительства Российской Федерации от 12 мая 2005 г. № 293 "Об утверждении Положения о государственном контроле за геологическим изучением, рациональным использованием и охраной недр" (Собрание законодательства Российской Федерации, 2005, № 20, ст. 1885);

постановлением Правительства Российской Федерации от 19 января 2005 г. № 30 "О Типовом регламенте взаимодействия федеральных органов исполнительной власти" (Собрание законодательства Российской Федерации, 2005, № 4, ст. 305; 2005, № 47, ст. 4933; 2007, № 43, ст. 5202; 2008, № 9, ст. 852; № 14, ст. 1413; 2009, № 12, 1429; № 25, ст. 3060);

постановлением Правительства Российской Федерации от 28 июля 2005 г. № 452 "О Типовом регламенте внутренней организации федеральных органов исполнительной власти" (Собрание законодательства Российской Федерации, 2005, № 31, ст. 3233; 2007, № 43, ст. 5202; 2008, № 9, ст. 852; № 14, ст. 1413; № 46, 5337; 2009, № 12, ст. 1443; № 19, ст. 2346; № 25, ст. 3060);

а также настоящим Административным регламентом.

3. Исполнение государственных функций осуществляется Федеральным агентством по недропользованию (далее - Роснедра) и его территориальными органами (список территориальных органов приведен в приложении 1 к настоящему Административному регламенту).

Распределение полномочий между Роснедрами и его территориальными органами при исполнении государственных функций приведено в приложении 2 к настоящему Административному регламенту.

4. Результатом исполнения государственной функции по осуществлению выдачи, оформления и регистрации лицензий на пользование недрами является выдача зарегистрированной лицензии на пользование недрами заявителю.

Результатом исполнения государственной функции по осуществлению внесения изменений и дополнений в лицензии на пользование участками недр является выдача заявителю зарегистрированного дополнения к лицензии на право пользования недрами или отказа во внесении изменений и дополнений в лицензию на право пользования недрами.

Результатом исполнения государственной функции по осуществлению переоформления лицензий на пользование участками недр является принятие Роснедрами или его территориальными органами решения о переоформлении лицензии на право пользования недрами или об отказе в переоформлении лицензии.

Результатом исполнения государственной функции по осуществлению принятия, в том числе по представлению Федеральной службы по надзору в сфере природопользования и иных уполномоченных органов, решений о досрочном прекращении, приостановлении и ограничении права пользования участками недр является одно из следующих решений:

- прекращение права пользования недрами и снятие с государственного учета лицензии;

- приостановление права пользования недрами;

- ограничение права пользования недрами;

- направление в адрес владельца лицензии уведомления о нарушении им условий лицензии, законодательства о недрах и возможном досрочном прекращении права пользования недрами при не устранении в установленный срок указанных нарушений;

- принятие к сведению информации об устранении нарушений и прекращение процедуры досрочного прекращения, приостановления или ограничения права пользования недрами конкретного участка.

5. Заявителями могут быть субъекты предпринимательской деятельности, в том числе участники простого товарищества, иностранные граждане, юридические лица, если федеральными законами не установлены ограничения предоставления права пользования недрами (далее - субъекты предпринимательской деятельности).

II. Требования к порядку исполнения государственной функции

Порядок информирования об исполнении государственных функций

6. Информация о порядке исполнения государственных функций предоставляется:

- непосредственно в Роснедрах и его территориальных органах, исполняющих государственные функции;

- с использованием средств телефонной связи, электронного информирования, электронной техники;

- посредством размещения в информационно-телекоммуникационных сетях общего пользования (в том числе в сети Интернет), публикации в средствах массовой информации.

7. На официальном сайте Роснедр в сети Интернет (www.rosnedra.com) и на информационных стендах в Роснедрах и его территориальных органах размещается следующая информация:

- сведения о местонахождении, контактных телефонах (приложение 1 к Административному регламенту);

- сведения о графике (режиме) работы Роснедра и его территориальных органов (их обособленных подразделений);

- извлечения из законодательных и иных нормативных правовых актов, содержащих нормы, регулирующие деятельность по исполнению государственной функции;

- текст Административного регламента с приложениями;

- таблица сроков исполнения функции в целом и максимальных сроков выполнения отдельных административных процедур.

Порядок получения консультаций (справок) об исполнении государственных функций

8. При ответах на телефонные звонки и устные обращения специалисты подробно и в вежливой (корректной) форме информируют обратившихся по интересующим их вопросам. Ответ на телефонный звонок должен начинаться с информации о наименовании органа, в который позвонил гражданин, фамилии, имени, отчестве и должности специалиста, принявшего телефонный звонок.

Время разговора не должно превышать 10 минут.

При невозможности специалиста, принявшего звонок, самостоятельно ответить на поставленные вопросы телефонный звонок должен быть переадресован (переведен) на другое должностное лицо или же обратившемуся гражданину должен быть сообщен телефонный номер, по которому можно получить необходимую информацию.

9. Письменные обращения граждан и юридических лиц рассматриваются Роснедрами и его территориальными органами в соответствии с порядком, предусмотренным настоящим Административным регламентом.

Действия (бездействие) Роснедр и его территориальных органов и их должностных лиц, связанные с исполнением государственных функций, могут быть обжалованы в соответствии с порядком, предусмотренным настоящим Административным регламентом.

Требования к размещению и оформлению помещений территориальных органов Роснедр

10. Здания (строения), в которых расположены территориальный орган Роснедра, его обособленные подразделения, должны быть оборудованы для доступа заявителей в помещение органа Роснедр.

Центральный вход в здания территориального органа Роснедра, его обособленных подразделений должен быть оборудован информационной табличкой (вывеской), содержащей следующую информацию о территориальном органе Роснедр, осуществляющем исполнение государственной функции:

наименование;

место нахождения;

режим работы.

Вход в здание также должен быть оборудован удобной лестницей с поручнями, а также пандусами для беспрепятственного передвижения инвалидных колясок (при строительстве новых зданий).

11. Прием недропользователей по вопросам выдачи, оформления и регистрации лицензий на пользование недрами, внесения изменений и дополнений в лицензии на пользование участками недр, а также переоформления лицензий, и принятия, в том числе по представлению Федеральной службы по надзору в сфере природопользования и иных уполномоченных органов, решений о досрочном прекращении, приостановлении и ограничении права пользования участками недр, осуществляется в специально выделенных для этих целей помещениях (присутственные места).

12. Присутственные места размещаются в зданиях территориальных органов Роснедр, их обособленных подразделений.

У входа в каждое из помещений размещается табличка с наименованием помещения.

13. Присутственные места территориальных органов Роснедр, их обособленных подразделений оборудуются:

системой кондиционирования воздуха.

противопожарной системой и средствами пожаротушения.

В этих местах также необходимо обеспечить возможность реализации прав инвалидов на исполнение по их заявлению государственной функции.

Вход и выход из помещений оборудуются соответствующими указателями с автономными источниками бесперебойного питания.

14. Места, предназначенные для ознакомления недропользователей с информационными материалами, оборудуются:

информационными стендами;

стульями и столами для возможности оформления документов.

Сроки исполнения государственных функций

15. Сроки, необходимые Роснедрам или его территориальным органам для исполнения государственных функций:

- по осуществлению выдачи, оформления и регистрации лицензий на пользование недрами, не должен превышать 65 дней;

- по внесению изменений и дополнений в лицензию на пользование недрами, не должен превышать 140 дней без учета времени, указанного в пункте 55 настоящего Административного регламента;

- по осуществлению переоформления лицензий на пользование участками недр, не должен превышать 140 дней;

- по осуществлению принятия, в том числе по представлению Федеральной службы по надзору в сфере природопользования и иных уполномоченных органов, решений о досрочном прекращении, приостановлении и ограничении права пользования участками недр, не должен превышать 150 дней без учета срока, установленного в письменном уведомлении о допущенных пользователем недр нарушениях и времени, необходимого Росприроднадзору для проведения повторной проверки по истечению срока, установленного в уведомлении.

16. Основаниями для приостановления исполнения государственных функций являются:

- изменение законодательства Российской Федерации о недрах в период исполнения государственной функции, повлекшее изменение порядка исполнения этой функции;

- волеизъявление соискателя лицензии, выраженное в письменной форме, об отзыве заявки о внесении изменений и дополнений в лицензию, а также о переоформлении лицензии на право пользования недрами.

17. Основаниями для отказа в исполнении государственных функций являются:

- по внесению изменений и дополнений в лицензию на пользование недрами:

а) представление документов с нарушением требований пунктов 39, 42 настоящего Административного регламента;

б) нарушение субъектом предпринимательской деятельности срока, указанного в пункте 55 настоящего Административного регламента;

- по переоформлению лицензии на пользование участком недр случаи, если:

1) такое переоформление не отвечает условиям и требованиям, установленным Законом Российской Федерации "О недрах" и принятым в соответствии с ним иным нормативным правовым актам, а также требованиям, установленным Федеральными законами от 29 апреля 2008 г. № 57-ФЗ "О порядке осуществления иностранных инвестиций в хозяйственные общества, имеющие стратегическое значение для обеспечения обороны страны и безопасности государства", от 26 июля 2006 г. № 135-ФЗ "О защите конкуренции", от 30 декабря 1995 г. № 225-ФЗ "О соглашениях о разделе продукции", от 26 октября 2002 г. № 127-ФЗ "О несостоятельности (банкротстве)", приказом Федеральной антимонопольной службы от 20 ноября 2006 г. № 293 "Об утверждении формы представления перечня лиц, входящих в одну группу лиц";

2) заявка на переоформление лицензии подана с нарушением требований, установленных пунктами 66-71 настоящего Административного регламента;

3) заявитель представил о себе неверные сведения;

4) заявитель не представил доказательств того, что обладает квалифицированными специалистами, необходимыми финансовыми и техническими средствами для эффективного и безопасного проведения работ;

5) заявка на переоформление лицензии подана по истечение 6 месяцев с даты наступления событий, указанных в пункте 61 настоящего Административного регламента;

6) заявитель, являющийся юридическим лицом, созданным в соответствии с законодательством Российской Федерации, с участием иностранного инвестора или группы лиц, в которую входит иностранный инвестор, и к которому в соответствии с частью девятой статьи 17.1 Закона Российской Федерации "О недрах" запрещается переход права пользования участком недр федерального значения, не представил в Роснедра или его территориальный орган копию решения Правительства Российской Федерации о допустимости перехода права пользования участком недр федерального значения к такому претенденту;

7) получение от Федеральной антимонопольной службы заключения о том, что к претенденту, являющемуся юридическим лицом, созданным в соответствии с законодательством Российской Федерации, с участием иностранного инвестора или группы лиц, в которую входит иностранный инвестор, в соответствии с частью девятой статьи 17.1 Закона Российской Федерации "О недрах" запрещается переход права пользования участком недр федерального значения;

8) если до наступления событий, указанных в подпунктах 1-7 пункта 61 настоящего Административного регламента, по участку недр, предоставленному в пользование предыдущему пользователю недр, начата в соответствии со статьей 21 Закона Российской Федерации "О недрах" и в порядке, установленном настоящим Административным регламентом, процедура досрочного прекращения права пользования недрами.

18. Основанием для отказа в рассмотрении заявления владельца лицензии о прекращении права пользования недрами по его инициативе, является представление документов с нарушением требований пункта 96 настоящего Административного регламента.

III. Административные процедуры

Последовательность действий Роснедр и его территориальных органов при исполнении государственной функции по осуществлению выдачи, оформления и регистрации лицензий на пользование недрами

19. Последовательность действий Роснедр и его территориальных органов при исполнении государственной функции по осуществлению выдачи, оформления и регистрации лицензий на пользование недрами включает в себя:

- оформление Роснедрами или его территориальными органами лицензии на пользование недрами;

- регистрация лицензии на пользование недрами;

- выдача лицензии на пользование недрами.

Блок-схема последовательности действий при исполнении государственной функции по осуществлению выдачи, оформления и регистрации лицензий на пользование недрами приведена в приложении 3 к настоящему Административному регламенту.

Оформление лицензии на пользование недрами

20. Основанием для начала процедуры оформления лицензии на пользование недрами является решение руководителя Роснедр или руководителя соответствующего территориального органа Роснедр, оформляемое приказом.

Решение об оформлении лицензии на пользование недрами принимается при предоставлении права пользования участками недр:

- по результатам конкурса или аукциона, для разведки и добычи полезных ископаемых или для геологического изучения недр, разведки и добычи полезных ископаемых, осуществляемых по совмещенной лицензии, в том числе и на участке недр федерального значения;

- при установлении факта открытия месторождения полезных ископаемых на участке недр, в том числе и на участке недр федерального значения или на участке недр, который отнесен к участкам недр федерального значения в результате открытия месторождения полезных ископаемых, пользователем недр, проводившим работы по геологическому изучению недр для разведки и добычи полезных ископаемых открытого месторождения, за исключением проведения таких работ в соответствии с государственным контрактом;

- для разведки и добычи полезных ископаемых или для геологического изучения недр, разведки и добычи полезных ископаемых, осуществляемых по совмещенной лицензии, на участке недр федерального значения континентального шельфа Российской Федерации, на участке недр федерального значения, расположенном на территории Российской Федерации и простирающемся на ее континентальный шельф, на участке недр федерального значения, содержащем газ, из утверждаемого Правительством Российской Федерации перечня участков недр федерального значения, которые предоставляются в пользование без проведения конкурсов и аукционов;

- для захоронения радиоактивных, токсичных и иных опасных отходов в глубоких горизонтах, обеспечивающих локализацию таких отходов;

- в целях предоставления права краткосрочного (сроком до одного года) пользования участком недр для осуществления юридическим лицом (оператором) деятельности на участке недр, право пользования которым досрочно прекращено;

- в целях геологического изучения недр, за исключением недр на участках недр федерального значения;

- для добычи подземных вод, используемых для целей питьевого и хозяйственно-бытового водоснабжения или технологического обеспечения водой объектов промышленности;

- для строительства и эксплуатации подземных сооружений, не связанных с добычей полезных ископаемых;

- для строительства нефте- и газохранилищ в пластах горных пород и эксплуатации таких нефте- и газохранилищ, размещения отходов производства и потребления;

- для образования особо охраняемых геологических объектов;

- в случае перехода права пользования участками недр в соответствии с основаниями, установленными Законом Российской Федерации "О недрах", за исключением участков недр, распоряжение которыми отнесено к компетенции субъектов Российской Федерации.

Указанный приказ в течение 2 рабочих дней направляется должностным лицом структурного подразделения Роснедр или его территориального органа, ответственным за делопроизводство, в структурное подразделение Роснедр или его территориального органа, ответственное за лицензирование.

21. Должностное лицо структурного подразделения Роснедр или его территориального органа, ответственного за лицензирование, в течение 45 дней с даты принятия решения об оформлении лицензии на пользование недрами оформляет и подписывает у руководителя (уполномоченного заместителя руководителя) Роснедр или руководителя соответствующего территориального органа два экземпляра лицензии на пользование недрами.

22. В соответствии со статьей 11 Закона Российской Федерации "О недрах" предоставление недр в пользование оформляется специальным государственным разрешением в виде лицензии, включающей установленной формы бланк с Государственным гербом Российской Федерации, а также текстовые, графические и иные приложения, являющиеся неотъемлемыми составными частями лицензии и определяющие основные условия пользования недрами.

Лицензия является документом, удостоверяющим право ее владельца на пользование участком недр в определенных границах в соответствии с указанной в ней целью в течение установленного срока при соблюдении владельцем заранее оговоренных условий.

Форма бланка лицензии на пользование недрами приведена в приложении 4 к настоящему Административному регламенту.

23. Оформление лицензии на пользование недрами осуществляется в соответствии с требованиями статьи 12 Закона Российской Федерации "О недрах", согласно которым лицензия и ее неотъемлемые составные части должны содержать:

1) данные о пользователе недр, получившем лицензию, и органах, предоставивших лицензию, а также основание предоставления лицензии;

2) данные о целевом назначении работ, связанных с пользованием недрами;

3) указание пространственных границ участка недр, предоставляемого в пользование;

4) указание границ земельного участка или акватории, выделенных для ведения работ, связанных с пользованием недрами;

5) сроки действия лицензии и сроки начала работ (подготовки технического проекта, выхода на проектную мощность, предоставления геологической информации на государственную экспертизу);

6) условия, связанные с платежами, взимаемыми при пользовании недрами, земельными участками, акваториями;

7) согласованный уровень добычи минерального сырья, право собственности на добытое минеральное сырье;

8) соглашение о праве собственности на геологическую информацию, получаемую в процессе пользования недрами;

9) условия выполнения установленных законодательством, стандартами (нормами, правилами) требований по охране недр и окружающей природной среды, безопасному ведению работ;

10) порядок и сроки подготовки проектов ликвидации или консервации горных выработок и рекультивации земель.

Также в лицензии определяются условия пользования недрами, невыполнение которых является основанием досрочного прекращения, приостановления или ограничения права пользования недрами в соответствии со статьями 20, 21 и 23 Закона Российской Федерации "О недрах".

Лицензия на пользование недрами может дополняться иными условиями, не противоречащими Закону Российской Федерации "О недрах".

24. В виде текстовых и графических приложений к бланку лицензии на пользование недрами в качестве документов, являющихся ее неотъемлемыми частями, прикладываются:

1) условия пользования недрами, которые включают:

- вид пользования недрами;

- указание пространственных границ участка недр, предоставленного в пользование, а также пространственных границ геологического и (или) горного отвода (при наличии);

- сроки начала работ;

- сроки подготовки проектной документации (проектов работ по геологическому изучению недр, поискам, разведке месторождений полезных ископаемых, и (или) технического проекта разработки месторождения полезных ископаемых или иных проектных документов в соответствии с видом пользования участком недр);

- условия, определяющие виды и минимальные объемы поисковых и (или) геологоразведочных работ с разбивкой по годам, сроки их проведения (если лицензия выдается в целях, связанных с геологическим изучением и (или) разведкой месторождений полезных ископаемых);

- сроки ввода в разработку месторождений полезных ископаемых (если лицензия выдается в целях, связанных с добычей полезных ископаемых) или сроки начала строительства и ввода в эксплуатацию подземных сооружений, не связанных с добычей полезных ископаемых;

- сроки выхода добывающего предприятия на проектную мощность;

- сроки представления геологической информации на государственную экспертизу в целях подтверждения ее достоверности;

- условия, связанные с платежами, взимаемыми при пользовании недрами, земельными участками, акваториями;

- согласованный уровень добычи минерального сырья;

- право собственности на добытое минеральное сырье (указание на собственника, добытого минерального сырья (если лицензия выдается в целях, связанных с добычей полезных ископаемых));

- условия использования геологической информации, получаемой в процессе пользования недрами и сроки представления данной геологической информации в федеральный и соответствующий территориальный фонд геологической информации с разбивкой по годам;

- порядок и сроки подготовки проектов ликвидации или консервации горных выработок и рекультивации земель;

- условия выполнения установленных законодательством, стандартами (нормами, правилами) требований по охране недр и окружающей среды, безопасному ведению работ, связанных с пользованием недрами.

Условия пользования недрами подписываются тем же уполномоченным должностным лицом органа, выдавшего лицензию, которым подписан бланк лицензии на пользование недрами, и заверяются печатью.

2) копия решения, являющегося основанием предоставления лицензии, принятого в соответствии со статьей 10.1 Закона Российской Федерации "О недрах";

3) схема расположения участка недр. Пространственные границы участка недр, предоставляемого в пользование, отражаются географическими координатами угловых точек. Пространственные границы участка недр, предоставляемого в пользование, рекомендуется указывать на топографических планах, геологических картах, геологических разрезах с указанием линий таких разрезов на картах;

4) копия свидетельства о государственной регистрации юридического лица;

5) копия свидетельства о постановке пользователя недр на налоговый учет;

6) сведения об участке недр и пользователе недр, отражающие:

- местоположение участка недр в административно-территориальном отношении с указанием границ особо охраняемых природных территорий, а также участков ограниченного и запрещенного землепользования с отражением их на схеме расположения участка недр;

- геологическую характеристику участка недр с указанием наличия месторождений (залежей) полезных ископаемых и запасов по ним;

- обзор работ, проведенных на участке недр, наличие на участке недр горных выработок, скважин и иных объектов, которые могут быть использованы при работе на этом участке;

- наличие других пользователей недр на данном участке недр;

- перечисление предыдущих пользователей данным участком недр (если ранее участок недр находился в пользовании) с указанием оснований, сроков предоставления (перехода права) участка недр в пользование и прекращения действия лицензии на пользование этим участком недр (указывается при переоформлении лицензии);

- юридический адрес пользователя недр, контактные телефоны, дата и место государственной регистрации, постановки на налоговый учет, идентификационный номер налогоплательщика. Приложение может дополняться иными материалами, имеющими отношение к предоставленному в пользование участку недр. Сведения об участке недр, изложенные в данном подпункте, оформляются отдельным приложением к лицензии или входят в состав документа, указанного в подпункте 1 настоящего пункта.

Регистрация лицензий на пользование недрами

25. Должностное лицо структурного подразделения Роснедр, ответственного за лицензирование, в течение 2 рабочих дней направляет два экземпляра подписанной руководителем (уполномоченным заместителем руководителя) Роснедр лицензии на пользование недрами по объектам, отнесенным к компетенции Роснедр, и две копии этой лицензии должностному лицу, назначенному руководителем Роснедр, ответственным за регистрацию лицензий, который в течение 3 рабочих дней осуществляет регистрацию лицензий на пользование недрами.

26. Должностное лицо структурного подразделения территориального органа Роснедр, ответственного за лицензирование, в течение 2 рабочих дней направляет два экземпляра подписанной руководителем соответствующего территориального органа Роснедр лицензии на пользование недрами по объектам, отнесенным к компетенции территориального органа Роснедр, и две копии этой лицензии должностному лицу структурного подразделения территориального органа Роснедр, ответственного за регистрацию лицензий, который в течение 3 рабочих дней осуществляет регистрацию лицензий на пользование недрами.

27. Государственная регистрация лицензий на пользование недрами заключается:

- в присвоении уникального регистрационного номера;

- в проставлении штампа и подписи государственного регистратора;

- во внесении записи о регистрации лицензии в единый государственный реестр лицензий.

28. Должностное лицо структурного подразделения Роснедр или его территориального органа, ответственного за регистрацию лицензий, при осуществлении регистрации лицензии на пользование недрами присваивает ей государственный регистрационный номер и проставляет указанный номер, а также штамп государственной регистрации (далее - штамп) на двух оригиналах бланка лицензии и двух копиях лицензии. Штамп проставляется в левом нижнем углу на лицевой стороне бланка лицензии (приложение 5 к настоящему Административному регламенту).

29. Государственный регистрационный номер состоит из серии, номера, аббревиатуры вида полезного ископаемого и аббревиатуры вида работ.

30. Серия регистрационного номера представляет собой аббревиатуру наименования субъекта Российской Федерации, на территории которого находится переданный в пользование участок недр, в соответствии с аббревиатурами, принятыми для обозначения серий (приложение 6 к настоящему Административному регламенту).

Для участков недр, расположенных в пределах внутренних морских вод, территориального моря и континентального шельфа Российской Федерации, серия регистрационного номера состоит из буквы "Ш" и двух букв, соответствующих названию моря.

Если переданный в пользование участок недр расположен на территории двух или более субъектов Российской Федерации, серия регистрационного номера проставляется по аббревиатуре наименования субъекта Российской Федерации, на территории которого располагается большая часть переданного в пользование участка недр.

31. Номер лицензии представляет собой пятизначное число, обозначающее порядковый номер лицензии в едином государственном реестре.

Роснедра ведет нумерацию с 10000 по 99999 номер (включительно), а территориальные органы Роснедр ведут нумерацию с 00001 по 09999 номер (включительно).

32. Вид лицензии определяется двумя буквами:

1) первая буква обозначает вид полезного ископаемого:

Н - нефть, газ, конденсат;

Б - благородные металлы (золото, серебро, платиноиды);

К - драгоценные камни и кристаллы (алмазы, пьезооптическое сырье, ювелирные кристаллы);

Т - твердые полезные ископаемые (включая уголь и радиоактивное сырье);

М - подземные минеральные воды, лечебные грязи;

В - другие подземные воды.

Кроме вида полезного ископаемого первая буква может обозначать также:

З - захоронение вредных веществ и отходов;

О - использование отходов;

П - прочие лицензии (создание геологических объектов, имеющих научное, культурное, эстетическое значение; строительство и эксплуатация подземных сооружений, не связанных с добычей полезных ископаемых, использование пещер и других подземных полостей, в целях, не связанных с добычей полезных ископаемых; сбор минералогических, палеонтологических и других геологических коллекционных материалов и другие цели использования).

В случае если в лицензии указаны два или более вида полезных ископаемых, первая буква в регистрационном номере проставляется по преобладающему виду.

2) вторая буква обозначает вид работ:

П - геологическое изучение, включающее поиски и оценку месторождений полезных ископаемых, а также геологическое изучение и оценку пригодности участков недр для строительства и эксплуатации подземных сооружений, не связанных с добычей полезных ископаемых;

Р - одновременное, для геологического изучения (поисков, разведки) и добычи полезных ископаемых;

Э - разведка и добыча полезных ископаемых, в том числе использование отходов горнодобывающего и связанных с ним перерабатывающих производств;

Д - другие виды работ, не связанных с добычей полезных ископаемых (строительство и эксплуатация подземных сооружений, не связанных с добычей полезных ископаемых, образование особо охраняемых геологических объектов, имеющих научное, культурное, эстетическое, санитарно-оздоровительное и иное значение (научные и учебные полигоны, геологические заповедники, заказники, памятники природы, пещеры и другие подземные полости), сбор минералогических, палеонтологических и других геологических коллекционных материалов).

33. Должностное лицо Роснедр или его территориального органа, ответственное за регистрацию лицензий, после совершения процедур, указанных в пункте 28 настоящего Административного регламента, вносит в единый государственный реестр лицензий запись о регистрации лицензии.

Выдача лицензии на пользование недрами

34. Должностное лицо структурного подразделения Роснедр или его территориального органа, ответственного за регистрацию лицензий, в срок не более 7 дней с момента регистрации лицензий на пользование недрами, передает пользователю недр непосредственно под роспись о получении либо путем направления по почте заказным письмом с уведомлением о вручении один экземпляр лицензии (оригинал), остальные экземпляры (копии) лицензии - организациям, осуществляющим хранение лицензий на федеральном и территориальном уровне.

35. При утрате лицензии на пользование недрами пользователю недр на основании его письменного заявления об утрате лицензии Роснедрами или его территориальным органом выдается её дубликат.

36. Дубликат лицензии выдается в строгом соответствии с оригиналом лицензионных документов, хранящихся в Роснедрах или его территориальном органе.

На лицевой стороне дубликата лицензии в правом верхнем углу проставляется штамп "Дубликат" (приложение 7 к настоящему Административному регламенту).

Последовательность действий Роснедр и его территориальных органов при исполнении государственной функции по осуществлению внесения изменений и дополнений в лицензии на пользование участками недр

37. Внесение изменений и дополнений в лицензии на пользование участками недр осуществляется по взаимному согласию пользователя недр и Роснедр или его территориального органа (в соответствии с разграничением полномочий между Роснедрами и его территориальными органами):

- в случае значительного изменения объема потребления произведенной продукции по обстоятельствам, не зависящим от пользователя недр, и связанного с этим изменения срока ввода в эксплуатацию объектов;

- при возникновении обстоятельств, существенно отличающихся от тех, при которых лицензия была предоставлена.

38. Основаниями для начала осуществления административных процедур в рамках исполнения государственной функции по осуществлению внесения изменений и дополнений в лицензии на пользование участками недр являются:

- заявка пользователя недр с просьбой о внесении изменений и дополнений в лицензию на пользование недрами (далее - заявка на внесение изменений и дополнений);

- обращение Роснедр или его территориальных органов к пользователю недр с предложением о внесении изменений и дополнений в лицензию на пользование участком недр.

Внесение изменений и дополнений в лицензии на пользование участками недр на основании обращения Роснедр или его территориальных органов осуществляется в порядке, установленном настоящим Административным регламентом, для рассмотрения заявок на внесение изменений и дополнений.

39. Заявка на внесение изменений и дополнений подписывается уполномоченным лицом заявителя и подается в соответствующий территориальный орган Роснедр.

Заявка на внесение изменений и дополнений в лицензию должна содержать:

- полное официальное наименование заявителя;

- его юридический адрес;

- основной государственный регистрационный номер записи о государственной регистрации заявителя;

- ИНН заявителя;

- просьбу о внесении изменений и дополнений в лицензию на пользование недрами с указанием вида, номера, даты государственной регистрации лицензии, наименования участка недр, целевого назначения работ на участке недр;

- краткую суть предложений по изменениям и дополнениям с указанием причин необходимости этих изменений и дополнений.

К заявке на внесение изменений и дополнений должны прилагаться следующие сведения и документы:

1) предлагаемые изменения и (или) дополнения в лицензию на пользование недрами с обоснованием необходимости их внесения, сопровождающиеся копиями соответствующих документов, в том числе графическими материалами (на бумажном носителе и в электронном виде). Перечень предлагаемых изменений представляется в виде таблицы с указанием действующей редакции изменяемого пункта лицензии или приложения к ней и предлагаемой редакции данного пункта;

2) краткий отчет пользователя недр о выполнении условий пользования недрами (на бумажном носителе и в электронном виде);

3) копия действующей лицензии на пользование недрами со всеми приложениями к ней, зарегистрированными в установленном порядке;

4) выписка из Единого государственного реестра юридических лиц, полученная не ранее, чем за месяц до момента регистрации заявки на внесение изменений и дополнений в территориальном органе Роснедр;

5) копии актов проверок, проведенных Росприроднадзором (его территориальным органом) или иными контрольными органами за последние три года, предшествующие подаче заявки на внесение изменений и дополнений, а также выданные ими предписания (уведомления);

6) справка налогового органа о наличии (об отсутствии) задолженности пользователя недр по уплате налогов и платежей при пользовании недрами;

7) справка федерального и/или территориального фондов геологической информации о регистрации геологоразведочных работ и об отсутствии задолженности по сдаче отчетов о результатах завершенных работ на данном участке недр;

8) доверенность, в случае если заявка подписана не руководителем заявителя;

9) проект изменений и дополнений в лицензию на пользование недрами (на бумажном носителе и в электронном виде).

40. По своему желанию пользователь недр дополнительно может представить иные документы, которые, по его мнению, имеют значение для обоснования внесения изменений и дополнений в лицензию на пользование недрами.

41. Основанием для отказа в рассмотрении заявки на внесение изменений и дополнений является представление документов с нарушением требований пунктов 39, 42 настоящего Административного регламента.

42. В случае необходимости продления срока пользования участком недр заявка на внесение изменений и дополнений по вопросу продления указанного срока должна быть подана в территориальный орган Роснедр не позднее шести месяцев до окончания срока действия лицензии.

Заявка на внесение изменений и дополнений по вопросу отказа пользователя недр от части участка недр, предоставленного в целях геологического изучения, удовлетворяется с 1 июля текущего года, если заявка поступила не позднее 1 апреля текущего года или с 1 января следующего года, если заявка поступила не позднее 1 октября текущего года.

43. Исполнение Роснедрами и его территориальными органами государственной функции по осуществлению внесения изменений и дополнений в лицензию на право пользования участком недр включает в себя:

1) регистрацию заявки на внесение изменений и дополнений;

2) рассмотрение заявки на внесение изменений и дополнений, подготовка и направление материалов в Комиссию, осуществляющую рассмотрение материалов по внесению изменений и дополнений в лицензии на пользование недрами, а также переоформлению лицензий на пользование недрами (далее - Комиссия по внесению изменений, дополнений и переоформлению лицензий);

3) рассмотрение материалов на Комиссии по внесению изменений, дополнений и переоформлению лицензий, и принятие решения;

4) принятие Роснедрами или его территориальным органом решения о внесении изменений и дополнений в лицензию на пользование недрами, оформление внесения изменений и дополнений в лицензию;

5) государственная регистрация и выдача изменений и дополнений в лицензию на пользование недрами.

Блок-схема последовательности действий при исполнении государственной функции по осуществлению внесения изменений и дополнений в лицензии на пользование участками недр приведена в приложении 9 к настоящему Административному регламенту.

Регистрация заявки на внесение изменений и дополнений

44. Регистрация заявки на внесение изменений и дополнений с приложениями (далее - заявочные материалы) осуществляется должностным лицом территориального органа Роснедр, ответственного за делопроизводство, в день подачи заявочных материалов.

45. В течение 3 рабочих дней со дня регистрации заявочных материалов должностное лицо, ответственное за делопроизводство, направляет их на рассмотрение в структурное подразделение территориального органа Роснедр, ответственное за лицензирование.

Рассмотрение заявочных материалов, подготовка и направление материалов в Комиссию по внесению изменений, дополнений и переоформлению лицензий

46. В течение 5 рабочих дней со дня поступления зарегистрированных заявочных материалов должностное лицо структурного подразделения территориального органа Роснедр, ответственного за лицензирование, рассматривает поступившие заявочные материалы на предмет их соответствия требованиям, установленным пунктами 39, 42 настоящего Административного регламента.

47. В случае, если по результатам рассмотрения поступившие заявочные материалы признаются не соответствующими установленным требованиям, то должностное лицо структурного подразделения территориального органа Роснедр, ответственного за лицензирование, в течение 7 рабочих дней направляет заявителю подписанное руководителем территориального органа Роснедр уведомление об отказе в приеме заявочных материалов с указанием причин отказа.

Заявочные материалы в этом случае заявителю не возвращаются.

48. В случае, если по результатам рассмотрения поступившие заявочные материалы признаются соответствующими установленным требованиям, то должностное лицо структурного подразделения территориального органа Роснедр, ответственного за лицензирование:

1) по участкам недр, отнесенным к компетенции Роснедр, в течение 10 дней подготавливает, подписывает у руководителя территориального органа Роснедр заключение об обоснованности предложений заявителя о внесении изменений и дополнений в лицензию, сопроводительное письмо в адрес Роснедр, графические приложения (в случае их наличия), и вместе с заявочными материалами, а также с приложением копии приказа, установившего ставки регулярных платежей за пользование недрами в целях поисков и оценки месторождений полезных ископаемых и/или их разведки (если эти ставки ранее не были установлены в лицензии), и сметы расчета сбора за выдачу лицензии направляет в Роснедра заказным письмом;

2) по участкам недр, отнесенным к компетенции территориального органа Роснедр, в течение 30 дней рассматривает заявочные материалы на предмет соответствия предложений заявителя требованиям рационального использования и охраны недр, установленным законодательством Российской Федерации, и направляет в Комиссию по внесению изменений, дополнений и переоформлению лицензий, созданную при территориальном органе, для принятия решения.

Для подготовки заключений обоснованности предложений заявителя о внесении изменений и дополнений в лицензию на пользование недрами заявочные материалы по участкам недр, отнесенным к компетенции территориального органа Роснедр, в пределах срока, указанного в настоящем подпункте, по решению руководителя территориального органа Роснедр направляются в подведомственные организации Роснедр.

49. Должностное лицо структурного подразделения Роснедр, ответственного за делопроизводство, регистрирует сопроводительное письмо территориального органа Роснедр с приложением заявочных материалов (по участкам недр отнесенными к компетенции Роснедр) в день поступления указанного письма в Роснедра в соответствии с установленными правилами делопроизводства.

В течение 2 рабочих дней после регистрации сопроводительное письмо с приложением заявочных материалов направляется должностным лицом структурного подразделения Роснедр, ответственного за делопроизводство, на рассмотрение в структурное подразделение Роснедр, ответственное за лицензирование.

50. Должностное лицо структурного подразделения Роснедр, ответственного за лицензирование, в течение 30 дней рассматривает заявочные материалы на предмет соответствия предложений заявителя требованиям рационального использования и охраны недр, установленным законодательством Российской Федерации, и направляет в Комиссию при Роснедрах по внесению изменений, дополнений и переоформлению лицензий для принятия решения.

Для подготовки заключений обоснованности предложений заявителя о внесении изменений и дополнений в лицензию на пользование недрами заявочные материалы по участкам недр, отнесенным к компетенции Роснедр, в пределах срока, указанного в настоящем пункте, по решению руководителя Роснедр направляются в подведомственные организации Роснедр.

Рассмотрение заявочных материалов на Комиссии по внесению изменений, дополнений и переоформлению лицензий

51. В целях обеспечения объективного, качественного и комплексного анализа документов, связанных с внесением изменений и дополнений в лицензию на пользование недрами, в соответствии с приказом Роснедр (его территориального органа) образуется постоянно действующий совещательный орган - Комиссия по внесению изменений, дополнений и переоформлению лицензий.

Принятие Роснедрами или его территориальным органом решения о внесении изменений и дополнений в лицензию на пользование недрами, оформление внесения изменений и дополнений в лицензию

52. Должностное лицо структурного подразделения Роснедр, ответственного за лицензирование, после получения утвержденного протокола Комиссии по внесению изменений, дополнений и переоформлению лицензий (по участкам недр, отнесенным к компетенции Роснедр) в течение 10 дней готовит и подписывает у руководителя (уполномоченного заместителя руководителя) Роснедр два экземпляра изменений и дополнений в лицензию на пользование недрами или, в случае принятия Комиссией решения об отказе во внесении изменений и дополнений в лицензию, в течение 7 рабочих дней направляет в соответствующий территориальный орган Роснедр уведомление об отказе во внесении изменений и дополнений в лицензию на пользование недрами с указанием причин такого отказа и с поручением проинформировать об этом заявителя в течение 5 дней с момента поступления уведомления в территориальный орган Роснедр.

53. Должностное лицо структурного подразделения территориального органа Роснедр, ответственного за лицензирование, после получения утвержденного протокола Комиссии по внесению изменений, дополнений и переоформлению лицензий (по участкам недр, отнесенным к компетенции территориальных органов Роснедр) в течение 10 дней готовит и подписывает у руководителя территориального органа Роснедр два экземпляра изменений и дополнений в лицензию на пользование недрами или в случае принятия Комиссией решения об отказе во внесении изменений и дополнений в лицензию, в течение 7 дней направляет заявителю уведомление об отказе во внесении изменений и дополнений в лицензию на пользование недрами с указанием причин такого отказа.

54. Должностное лицо структурного подразделения Роснедр (по участкам недр, отнесенным к компетенции Роснедр) или структурного подразделения территориального органа Роснедр (по участкам недр, отнесенным к компетенции территориальных органов Роснедр), ответственного за лицензирование, в течение 7 рабочих дней направляет заявителю заказным письмом с уведомлением о вручении подписанные Роснедрами или его территориальным органом изменения и дополнения в лицензию на пользование недрами.

55. Уполномоченное лицо заявителя в течение 30 дней с даты получения подписанных Роснедрами или его территориальным органом изменений и дополнений в лицензию на пользование недрами обязано выразить согласие с внесенными изменениями и дополнениями путем проставления ниже подписи уполномоченного лица Роснедр или территориального органа Роснедр, подписавшего изменения и дополнения в лицензию, после слов "с изменениями и дополнениями в лицензию согласен" своей подписи, фамилии и инициалов, даты, печати заявителя и представить непосредственно согласованные изменения и дополнения в лицензию на пользование недрами или направить заказным письмом с уведомлением о вручении в орган, из которого поступили изменения и дополнения в лицензию.

В случае если изменения и дополнения в лицензию согласовало лицо, не являющееся руководителем заявителя и отличное от уполномоченного лица, подписавшего заявку, указанную в пункте 39 настоящего Административного регламента, то к направляемым изменениям и дополнениям в лицензию прикладывается доверенность.

56. В случае если заявитель не согласен с направленными в его адрес изменениями и дополнениями в лицензию, то уполномоченное лицо заявителя в течение срока, установленного в пункте 55 настоящего Административного регламента, обязано направить в орган, подписавший изменения и дополнения в лицензию, мотивированный отказ.

57. После согласования уполномоченным лицом заявителя изменений и дополнений в лицензию на пользование недрами указанные изменения и дополнения направляются должностным лицом структурного подразделения Роснедр или его территориального органа, ответственного за лицензирование, для государственной регистрации в установленном порядке.

58. В случае, если в течение 30 дней с момента получения заявителем изменений и дополнений в лицензию на пользование недрами заявитель не согласовывает их или направил отказ в согласовании, то руководителем (уполномоченным заместителем руководителя) Роснедр или руководителем соответствующего территориального органа принимается решение об аннулировании изменений и дополнений в лицензию и направлении заявочных материалов на хранение в фонд геологической информации.

Государственная регистрация и выдача дополнений и изменений в лицензию на пользование недрами

59. Регистрация и выдача изменений и дополнений в лицензию на пользование недрами осуществляется в сроки и в порядке, установленные настоящим Административным регламентом в пунктах 25-27 и 34 для регистрации и выдачи лицензий на пользование недрами.

60. При государственной регистрации изменений и дополнений в лицензию на пользование недрами:

уникальный регистрационный номер не присваивается;

штамп проставляется в левом верхнем углу на первом листе изменений и дополнений в лицензию.

Последовательность действий Роснедр и его территориальных органов при исполнении государственной функции по осуществлению переоформления лицензий на пользование участками недр

61. Государственная функция по осуществлению переоформления лицензий на пользование участками недр, за исключением участков недр, распоряжение которыми отнесено к компетенции субъектов Российской Федерации, реализуется Роснедрами и его территориальными органами в следующих случаях:

1) реорганизация юридического лица - пользователя недр путем его преобразования - изменения его организационно-правовой формы;

2) реорганизация юридического лица - пользователя недр путем присоединения к нему другого юридического лица или слияния его с другим юридическим лицом в соответствии с законодательством Российской Федерации;

3) прекращение деятельности юридического лица - пользователя недр вследствие его присоединения к другому юридическому лицу в соответствии с законодательством Российской Федерации при условии, если другое юридическое лицо будет отвечать требованиям, предъявляемым к пользователям недр, а также будет иметь квалифицированных специалистов, необходимые финансовые и технические средства для безопасного проведения работ;

4) реорганизация юридического лица - пользователя недр путем его разделения или выделения из него другого юридического лица в соответствии с законодательством Российской Федерации, если вновь созданное юридическое лицо намерено продолжать деятельность в соответствии с лицензией на право пользования недрами, предоставленной прежнему пользователю недр;

5) юридическое лицо - пользователь недр выступает учредителем нового юридического лица, созданного для продолжения деятельности на предоставленном участке недр в соответствии с лицензией на право пользования недрами, при условии, если новое юридическое лицо образовано в соответствии с законодательством Российской Федерации и ему передано имущество, необходимое для осуществления деятельности, указанной в лицензии на пользование недрами, в том числе из состава имущества объектов обустройства в границах лицензионного участка, а также имеются необходимые разрешения (лицензии) на осуществление видов деятельности, связанных с недропользованием, и доля прежнего юридического лица - пользователя недр в уставном капитале нового юридического лица на момент перехода права пользования участком недр составляет не менее половины уставного капитала нового юридического лица;

6) передача права пользования участком недр юридическим лицом - пользователем недр, являющимся основным обществом, юридическому лицу, являющемуся его дочерним обществом, передача права пользования участком недр юридическим лицом - пользователем недр, являющимся дочерним обществом, юридическому лицу, являющемуся его основным обществом, если юридическое лицо, которому передается право пользования недрами, создано в соответствии с законодательством Российской Федерации, соответствует требованиям, предъявляемым к пользователю недр законодательством Российской Федерации, условиям проведения конкурса или аукциона на право пользования данным участком недр, условиям лицензии на право пользования данным участком недр и такому юридическому лицу передано имущество, необходимое для осуществления деятельности, указанной в лицензии на пользование недрами, в том числе из состава имущества объектов обустройства в границах лицензионного участка, а также передача права пользования участком недр юридическим лицом - пользователем недр, являющимся дочерним обществом основного общества, юридическому лицу, являющемуся дочерним обществом того же основного общества, по его указанию, при соблюдении указанных условий;

7) приобретение субъектом предпринимательской деятельности в порядке, предусмотренном Федеральным законом "О несостоятельности (банкротстве)", имущества (имущественного комплекса) предприятия-банкрота (пользователя недр) при условии, что приобретатель имущества является юридическим лицом, созданным в соответствии с законодательством Российской Федерации, отвечает квалификационным требованиям, предъявляемым к пользователю недр законодательством Российской Федерации "О недрах";

8) изменение наименования юридического лица - пользователя недр;

9) передача права пользования участками недр, предоставленными субъектам предпринимательской деятельности на основании соглашений о разделе продукции, а также продление срока действия соглашения о разделе продукции.

62. При переоформлении лицензии на пользование участком недр условия пользования недрами пересмотру не подлежат.

63. Исполнение Роснедрами и его территориальными органами государственной функции по осуществлению переоформления лицензий на пользование участками недр включает в себя:

1) регистрацию заявки на переоформление лицензии на пользование участками недр (далее - заявка на переоформление лицензии);

2) рассмотрение заявки на переоформление лицензии, подготовка и направление заявки на переоформление лицензии в Комиссию по внесению изменений, дополнений и переоформлению лицензий;

3) рассмотрение заявки на переоформление лицензии на Комиссии по внесению изменений, дополнений и переоформлению лицензий;

4) принятие Роснедрами или его территориальным органом решения о переоформлении лицензии на пользование участком недр;

5) оформление, государственную регистрацию и выдачу переоформленной лицензии.

64. Блок-схема последовательности действий при исполнении государственной функции по осуществлению переоформления лицензий на пользование участками недр приведена в приложении 10 к настоящему Административному регламенту.

65. Отказ в переоформлении лицензии на пользование участком недр следует в случаях, если:

1) такое переоформление не отвечает условиям и требованиям, установленным законодательством Российской Федерации;

2) заявка на переоформление лицензии подана с нарушением требований, установленных настоящим Административным регламентом;

3) заявитель представил о себе неверные сведения;

4) заявитель не представил доказательств того, что обладает квалифицированными специалистами, необходимыми финансовыми и техническими средствами для эффективного и безопасного проведения работ;

5) заявка на переоформление лицензии подана по истечении 6 месяцев с даты наступления событий, указанных в пункте 61 настоящего Административного регламента;

6) заявитель, являющийся юридическим лицом, созданным в соответствии с законодательством Российской Федерации, с участием иностранного инвестора или группы лиц, в которую входит иностранный инвестор, и к которому в соответствии с частью девятой статьи 17.1 Закона Российской Федерации "О недрах" запрещается переход права пользования участком недр федерального значения, не представил в Роснедра или его территориальный орган копию решения Правительства Российской Федерации о допустимости перехода права пользования участком недр федерального значения к такому претенденту;

7) получение от Федеральной антимонопольной службы заключения о том, что к претенденту, являющемуся юридическим лицом, созданным в соответствии с законодательством Российской Федерации, с участием иностранного инвестора или группы лиц, в которую входит иностранный инвестор, в соответствии с частью девятой статьи 17.1 Закона Российской Федерации "О недрах" запрещается переход права пользования участком недр федерального значения;

8) если до наступления событий, указанных в подпунктах 1-7 пункта 61 настоящего Административного регламента, по участку недр, предоставленному в пользование предыдущему пользователю недр, начата в соответствии со статьей 21 Закона Российской Федерации и в порядке, установленном настоящим Административным регламентом, процедура досрочного прекращения права пользования недрами.

Регистрация заявки на переоформление лицензии

66. Заявка на переоформление лицензии оформляется в произвольной форме, адресуется руководителю соответствующего территориального органа Роснедр, подписывается уполномоченным лицом заявителя, заверяется печатью (в случае если заявитель является юридическим лицом) и подается в указанный в ней территориальный орган Роснедр.

67. Заявка на переоформление лицензии должна содержать:

- полное официальное наименование заявителя;

- его юридический адрес;

- основной государственный регистрационный номер записи о государственной регистрации заявителя;

- ИНН заявителя;

- просьбу о переоформлении лицензии на пользование недрами с указанием вида, номера, даты государственной регистрации переоформляемой лицензии, наименования участка недр, целевого назначения работ на участке недр;

- основание переоформления лицензии, предусмотренное статьей 17.1 Закона Российской Федерации "О недрах";

- согласие заявителя принять в полном объеме на себя выполнение условий пользования недрами, предусмотренных переоформляемой лицензией.

68. К заявке на переоформление лицензии должны прилагаться следующие материалы:

1) заверенные в установленном порядке копии учредительных документов и документа, подтверждающего факт внесения записи о регистрации юридического лица в Единый государственный реестр юридических лиц;

2) выписка из Единого государственного реестра юридических лиц, полученная не ранее, чем за месяц до момента регистрации заявки на переоформление лицензии в Роснедрах или его территориальном органе;

3) документ, подтверждающий согласие владельца лицензии на переоформление лицензии на претендента с указанием основания ее переоформления (если на момент подачи заявления владелец лицензии сохраняет статус юридического лица);

4) копия действующей лицензии на пользование недрами со всеми приложениями к ней, зарегистрированными в установленном порядке, подлежащая переоформлению;

5) доверенность, в случае если заявка на переоформление лицензии подписана не руководителем заявителя;

6) выписка из реестра акционеров (для претендентов - акционерных обществ).

69. В зависимости от конкретного основания перехода права пользования недрами заявитель должен дополнительно к документам, указанным в пункте 68 настоящего Административного регламента, представить следующие документы и сведения:

1) по подпункту 1 пункта 61 настоящего Административного регламента - передаточный акт (оригинал или заверенная в установленном порядке копия), в котором должно быть определенным образом отражено правопреемство лица, претендующего на получение лицензии, на соответствующий участок недр;

2) по подпунктам 2 и 3 пункта 61 настоящего Административного регламента:

передаточный акт (оригинал или заверенная в установленном порядке копия), в котором должно быть определенным образом отражено правопреемство лица, претендующего на получение лицензии, на соответствующий участок недр;

данные о соответствии претендента требованиям, предъявляемым к пользователям недр, а также о наличии необходимых финансовых и технических средств для безопасного проведения работ, связанных с пользованием недрами, и о наличии квалифицированных специалистов;

3) по подпункту 4 пункта 61 настоящего Административного регламента:

разделительный баланс (оригинал или заверенная в установленном порядке копия), в котором должно быть отражено правопреемство лица, претендующего на получение лицензии, на соответствующий участок недр;

данные о соответствии претендента требованиям, предъявляемым к пользователям недр, а также о наличии необходимых финансовых и технических средств для безопасного проведения работ, связанных с пользованием недрами, и о наличии квалифицированных специалистов;

4) по подпункту 5 пункта 61 настоящего Административного регламента:

- заверенные в установленном порядке копии документов, подтверждающих, что новое юридическое лицо (претендент) образовано в соответствии с законодательством Российской Федерации и доля прежнего юридического лица - пользователя недр составляет не менее половины уставного капитала претендента на момент перехода права пользования недрами;

- данные о том, что претенденту передано имущество, необходимое для осуществления деятельности, указанной в лицензии на пользование участком недр, в том числе из состава имущества объектов обустройства в границах лицензионного участка, и имеются необходимые лицензии на осуществление видов деятельности, связанных с пользованием недрами;

- данные о соответствии претендента требованиям, предъявляемым к пользователям недр, а также о наличии необходимых финансовых и технических средств для безопасного проведения работ, связанных с пользованием недрами, и о наличии квалифицированных специалистов;

5) по подпункту 6 пункта 61 настоящего Административного регламента - в случае передачи права пользования участком недр юридическим лицом - пользователем недр, являющимся основным обществом, юридическому лицу, являющемуся его дочерним обществом, передачи права пользования участком недр юридическим лицом - пользователем недр, являющимся дочерним обществом, юридическому лицу, являющемуся его основным обществом, претендент представляет документы, подтверждающие статус основного и дочернего общества (копии учредительных и регистрационных документов основного и дочернего общества, выписка из Единого государственного реестра юридических лиц, выписка из реестра акционеров, копии договора между хозяйственными обществами или иных документов, подтверждающих возможность основного общества определять решения, принимаемые дочерним обществом, в соответствии с гражданским законодательством Российской Федерации).

В случае передачи права пользования участком недр юридическим лицом - пользователем недр, являющимся дочерним обществом основного общества, юридическому лицу, являющемуся дочерним обществом того же основного общества, претендент представляет документы, подтверждающие статус основного и дочерних обществ (копии учредительных и регистрационных документов основного и дочерних обществ, выписка из Единого государственного реестра юридических лиц, выписка из реестра акционеров, копии договора между хозяйственными обществами или иных документов, подтверждающих возможность основного общества определять решения, принимаемые дочерними обществами, в соответствии с гражданским законодательством Российской Федерации), и письменное указание основного общества на переоформление лицензии.

Также должны быть представлены данные о соответствии претендента требованиям, предъявляемым к пользователям недр, о наличии у него необходимых финансовых и технических средств для безопасного проведения работ, связанных с пользованием недрами, и о наличии квалифицированных специалистов, а также данные о том, что претенденту передано имущество, необходимое для осуществления деятельности, указанной в лицензии на пользование недрами, в том числе из состава имущества объектов обустройства в границах лицензионного участка;

6) по подпункту 7 пункта 61 настоящего Административного регламента:

- данные о том, что приобретатель имущества является юридическим лицом, созданным в соответствии с законодательством Российской Федерации, отвечает квалификационным требованиям, предъявляемым к пользователю недр законодательством о недрах Российской Федерации;

- документы, подтверждающие, что в отношении владельца лицензии проводится процедура банкротства, в том числе копия решения суда о начале процедуры банкротства владельца лицензии;

- документы (оригиналы или заверенная в установленном порядке копия), подтверждающие приобретение имущества (имущественного комплекса) предприятия-банкрота, являющегося владельцем лицензии и то, что это имущество связано с пользованием соответствующим участком недр.

70. Для переоформления лицензии на пользование участком недр федерального значения претендент, являющийся юридическим лицом, созданным в соответствии с законодательством Российской Федерации, с участием иностранного инвестора или группы лиц, в которую входит иностранный инвестор, и к которому в соответствии с частью девятой статьи 17.1 Закона Российской Федерации "О недрах" не запрещается переход права пользования участком недр федерального значения, кроме перечисленных в пункте 68 и 69 настоящего Административного регламента представляет также следующие документы:

- копия договора доверительного управления имуществом, договора простого товарищества, договора поручения или иные документы, в соответствии с которыми иностранный инвестор или группа лиц, в которую входит иностранный инвестор, имеют право прямо или косвенно распоряжаться десятью или менее чем дестью процентами общего количества голосов, приходящихся на голосующие акции (доли), составляющие уставный (складочный) капитал такого юридического лица;

- документы, в соответствии с которыми иностранный инвестор или группа лиц, в которую входит иностранный инвестор, имеют право назначать единоличный исполнительный орган и (или) десять или менее чем десять процентов состава коллегиального исполнительного органа и (или) имеют безусловную возможность избирать десять или менее чем десять процентов состава совета директоров (наблюдательного совета) или иного коллегиального органа управления такого юридического лица;

- документы, подтверждающие выполнение иностранным инвестором или группой лиц, в которую входит иностранный инвестор, требований статей 8, 14 и части 3 статьи 16 Федерального закона "О порядке осуществления иностранных инвестиций в хозяйственные общества, имеющие стратегическое значение для обеспечения обороны страны и безопасности государства";

- выписку из реестра акционеров претендента на день подачи заявки;

- перечень лиц, входящих в одну с пользователем недр группу лиц, с указанием оснований, по которым такие лица входят в эту группу, по форме, установленной приказом Федеральной антимонопольной службы от 20 ноября 2006 г. № 293 "Об утверждении формы представления перечня лиц, входящих в одну группу лиц" (зарегистрирован в Министерстве юстиции Российской Федерации 4 декабря 2006 г., регистрационный № 8552);

- документы, содержащие сведения о лицах, осуществляющих прямой и косвенный контроль над претендентом, и о признаках нахождения претендента под контролем в соответствии со статьей 5 Федерального закона "О порядке осуществления иностранных инвестиций в хозяйственные общества, имеющие стратегическое значение для обеспечения обороны страны и безопасности государства".

71. Для переоформления лицензии на пользование участком недр федерального значения претендент, являющийся юридическим лицом, созданным в соответствии с законодательством Российской Федерации, с участием иностранного инвестора или группы лиц, в которую входит иностранный инвестор, и к которому в соответствии с частью девятой статьи 17.1 Закона Российской Федерации "О недрах" запрещается переход права пользования участком недр федерального значения, кроме перечисленных в пункте 68 и 69 настоящего Административного регламента представляет также решение Правительства Российской Федерации о допустимости перехода права пользования участком недр федерального значения к такому претенденту.

72. В случае переоформления лицензии на пользование участком недр федерального значения по заявлению претендента, за исключением случая, когда претендентом представлено решение Правительства Российской Федерации о допустимости перехода к нему права пользования участком недр федерального значения, Федеральное агентство по недропользованию направляет в Федеральную антимонопольную службу запрос с приложением копий документов, указанных в подпунктах 1-3, 6 пункта 68 и пункте 70 настоящего Административного регламента представленных для переоформления лицензии на пользование участком недр федерального значения, о представлении заключения для подтверждения факта того, что:

- претендент является юридическим лицом, созданным в соответствии с законодательством Российской Федерации, с участием иностранного инвестора или группы лиц, в которую входит иностранный инвестор;

- претенденту в соответствии с частью девятой статьи 17.1 Закона Российской Федерации "О недрах" запрещается переход права пользования участком недр федерального значения в случае установления того, что данный претендент является юридическим лицом, созданным в соответствии с законодательством Российской Федерации с участием иностранного инвестора или группы лиц, в которую входит иностранный инвестор.

Федеральная антимонопольная служба в течение 20 рабочих дней с даты получения вышеуказанных документов направляет в Федеральное агентство по недропользованию заключение о наличии или отсутствии признаков нахождения претендента под контролем иностранного инвестора или группы лиц, в которую входит иностранный инвестор, предусмотренных частью 3 статьи 5 Федерального закона "О порядке осуществления иностранных инвестиций в хозяйственные общества, имеющие стратегическое значение для обеспечения обороны страны и безопасности государства", а также о наличии или отсутствии фактов, установленных частью девятой статьи 17.1 Закона Российской Федерации "О недрах" в качестве критериев, запрещающих переход права пользования участком недр федерального значения.

Запрос у претендента дополнительных материалов и сведений, уточняющих документов, не указанных в подпунктах 1-3, 6 пункта 68 и пункте 70 настоящего Административного регламента осуществляется Федеральной антимонопольной службой. При рассмотрении дополнительных материалов и сведений срок подготовки заключения может быть увеличен, но не более чем на 15 дней, о чем Федеральная антимонопольная служба информирует Федеральное агентство по недропользованию.

73. По своему желанию заявитель дополнительно может представить иные документы, которые, по его мнению, имеют значение для обоснования переоформления лицензии на пользование участками недр.

74. Роснедра или его территориальные органы вправе при необходимости запрашивать у заявителя дополнительные материалы, подтверждающие достоверность изложенных в его заявке сведений.

75. Регистрация заявки на переоформление лицензии осуществляется должностными лицами структурного подразделения территориального органа Роснедр, ответственного за делопроизводство, в день подачи соответствующей заявки в соответствии с установленными правилами делопроизводства.

В течение 3 рабочих дней после регистрации заявка на переоформление лицензии направляется на рассмотрение в структурное подразделение территориального органа Роснедр, ответственное за лицензирование.

Рассмотрение заявки на переоформление лицензии, подготовка и направление заявки на переоформление лицензии в Комиссию по внесению изменений, дополнений и переоформлению лицензий

76. В течение 5 рабочих дней с момента получения зарегистрированной заявки на переоформление лицензии должностное лицо структурного подразделения территориального органа Роснедр, ответственного за лицензирование, рассматривает поступившую заявку с прилагаемыми материалами на предмет соответствия требованиям, предъявляемым к содержанию пакета заявочных материалов в соответствии с пунктами 66-71 настоящего Административного регламента.

77. В случае, если по результатам рассмотрения поданная заявка на переоформление лицензии признается несоответствующей установленным требованиям, то должностное лицо структурного подразделения территориального органа Роснедр, ответственного за лицензирование, в течение 3 рабочих дней направляет заявителю подписанное руководителем территориального органа Роснедр уведомление об отказе в приеме заявки на переоформление лицензии с указанием причин отказа.

Заявка с прилагаемыми материалами в этом случае заявителю не возвращается.

78. В случае если по результатам рассмотрения поданная заявка на переоформление лицензии признается соответствующей установленным требованиям, то должностное лицо структурного подразделения территориального органа Роснедр, ответственного за лицензирование:

1) в течение 10 дней представляет в Роснедра заявку на переоформление лицензии с прилагаемыми материалами (по участкам недр, отнесенным к компетенции Роснедр) с приложением заключения о соответствии заявки на переоформление лицензии законодательству Российской Федерации, подписанного руководителем территориального органа Роснедр, и проекта новой лицензии на пользование недрами с приложениями (на бумажном и электронном носителях);

2) в течение 30 дней рассматривает заявку на переоформление лицензии (по участкам недр, отнесенным к компетенции территориального органа Роснедр) на предмет соответствия заявки на переоформление лицензии требованиям законодательства Российской Федерации, и направляет в Комиссию по внесению изменений, дополнений и переоформлению лицензий для принятия решения.

Дополнительно к документам, направляемым в Роснедра в соответствии с подпунктом 1 части 1 настоящего пункта, прилагаются:

а) заключение территориального органа Роснедр о возможности переоформления лицензии с указанием:

что в отношении владельца лицензии на момент подачи заявки о переоформлении лицензии не проводится процедура досрочного прекращения права пользования недрами;

установленных ставок регулярных платежей (если они должны быть, но в лицензии отсутствуют) с приложением копий приказов, подтверждающих их установление;

оснований выдачи первоначальной и последующих (если выдавались) лицензий на пользование недрами.

б) копия условий пользования недрами последней действующей лицензии на пользование недрами (в электронном виде);

в) 4 экземпляра цветной схемы расположения участка с указанием географических координат угловых точек (схема заверяется подписью руководителя и печатью территориального органа Роснедр);

г) смета расчета размера сбора за выдачу лицензии.

Для подготовки заключения о соответствии заявки на переоформление лицензии требованиям законодательства Российской Федерации заявка на переоформление лицензии по участкам недр, отнесенным к компетенции территориального органа Роснедр, в пределах срока, указанного в подпункте 2 части 1 настоящего пункта, по решению руководителя территориального органа Роснедр направляется в подведомственные организации Роснедр.

79. Должностное лицо структурного подразделения Роснедр, ответственного за делопроизводство, регистрирует сопроводительное письмо территориального органа Роснедр с приложением заявки на переоформление лицензии (по участкам недр, отнесенным к компетенции Роснедр) в день поступления указанного письма в соответствии с установленными правилами делопроизводства.

В течение 2 рабочих дней после регистрации сопроводительное письмо с приложением заявки на переоформление лицензии направляется должностным лицом структурного подразделения Роснедр, ответственного за делопроизводство, на рассмотрение в структурное подразделение Роснедр, ответственное за лицензирование.

80. Должностное лицо структурного подразделения Роснедр, ответственного за лицензирование, в течение 30 дней рассматривает заявку на переоформление лицензии с прилагаемыми материалами (по участкам недр, отнесенным к компетенции Роснедр) на предмет соответствия заявки на переоформление лицензии требованиям законодательства Российской Федерации, и направляет в Комиссию по внесению изменений, дополнений и переоформлению лицензий для принятия решения.

Для подготовки заключения о соответствии заявки на переоформление лицензии требованиям законодательства Российской Федерации заявка на переоформление лицензии с прилагаемыми материалами (по участкам недр, отнесенным к компетенции Роснедр) в пределах срока, указанного в настоящем пункте, по решению руководителя Роснедр направляется в подведомственные организации Роснедр.

Должностное лицо структурного подразделения Роснедр, ответственного за лицензирование, до направления заявки на переоформление лицензии по участкам недр федерального значения в Комиссию по внесению изменений, дополнений и переоформлению лицензий направляет в Федеральную антимонопольную службу запрос с приложением копий документов, представленных для переоформления лицензии на пользование участком недр федерального значения, для выдачи Федеральной антимонопольной службой заключения о том, что к заявителю, являющемуся юридическим лицом, созданным в соответствии с законодательством Российской Федерации, с участием иностранного инвестора или группы лиц, в которую входит иностранный инвестор, в соответствии с частью девятой статьи 17.1 Закона Российской Федерации "О недрах" не запрещается переход права пользования участком недр федерального значения.

Рассмотрение заявки на переоформление лицензии на Комиссии по внесению изменений, дополнений и переоформлению лицензий

81. Рассмотрение заявок на переоформление лицензий на Комиссии по внесению изменений, дополнений и переоформлению лицензий, указанной в пункте 51 настоящего Административного регламента, осуществляется в целях обеспечения объективного, качественного и комплексного анализа документов, связанных с переоформлением лицензии на пользование участком недр.

Принятие Роснедрами или его территориальным органом решения о переоформлении лицензий на пользование участками недр

82. Должностное лицо структурного подразделения Роснедр, ответственного за лицензирование, после получения утвержденного протокола Комиссии в течение 10 дней готовит для принятия решения и подписания проект приказа Роснедр о переоформлении лицензии на пользование участком недр.

83. Должностное лицо структурного подразделения территориального органа Роснедр, ответственного за лицензирование, после получения утвержденного протокола Комиссии по внесению изменений, дополнений и переоформлению лицензий (по участкам недр, отнесенными к компетенции территориального органа Роснедр) в течение 10 дней готовит для принятия решения и подписания проект приказа о переоформлении лицензии на пользование участком недр.

84. В проекте приказа о переоформлении лицензии на пользование участком недр указываются:

- полное официальное наименование прежнего пользователя недр;

- полное официальное наименование нового пользователя недр;

- номер и серия переоформляемой лицензии на пользование участком недр с указанием наименования участка недр и целевого назначения пользования недрами;

- основание переоформления лицензии на пользование участком недр;

- поручение структурному подразделению Роснедр или его территориального органа, ответственному за лицензирование, об оформлении, государственной регистрации и выдаче лицензии на пользование участком недр.

85. После получения утвержденного протокола Комиссии по внесению изменений, дополнений и переоформлению лицензий (по участкам недр, отнесенным к компетенции Роснедр) должностное лицо структурного подразделения Роснедра, ответственного за лицензирование, в течение 7 рабочих дней направляет в соответствующий территориальный орган Роснедр уведомление об отказе в переоформлении лицензии на пользование участком недр с указанием причин такого отказа и с поручением проинформировать об этом заявителя в течение 5 дней с момента поступления уведомления в территориальный орган Роснедр.

86. После получения утвержденного протокола Комиссии по внесению изменений, дополнений и переоформлению лицензий (по участкам недр, отнесенным к компетенции территориальных органов Роснедр) должностное лицо структурного подразделения Роснедр, ответственного за лицензирование, в течение 7 рабочих дней направляет заявителю уведомление об отказе в переоформлении лицензии на пользование участком недр с указанием причин такого отказа.

87. Подготовленный проект приказа о переоформлении лицензии на пользование участком недр направляется должностным лицом структурного подразделения Роснедр или его территориального органа, ответственного за лицензирование, в структурное подразделение Роснедр, ответственное за юридическое сопровождение деятельности, или соответствующее структурное подразделение его территориального органа.

88. Должностное лицо структурного подразделения Роснедр, ответственное за юридическое сопровождение деятельности, или соответствующее структурное подразделение его территориального органа рассматривает и согласовывает проект приказа о переоформлении лицензии на пользование участком недр в течение 2 дней.

89. После согласования проекта приказа о переоформлении лицензии на пользование участком недр структурным подразделения Роснедр, ответственным за юридическое сопровождение деятельности, или соответствующим структурным подразделением его территориального органа указанные проект приказа и проект лицензии в течение одного рабочего дня направляются должностным лицом структурного подразделения Роснедр или его территориального органа, ответственного за лицензирование, в структурное подразделение Роснедр или его территориального органа, ответственное за делопроизводство.

90. Должностное лицо структурного подразделения Роснедр или его территориального органа, ответственное за делопроизводство, в течение 1 дня согласовывает проект приказа о переоформлении лицензии на пользование участком недр и направляет на подписание руководителю (уполномоченному заместителю руководителя) Роснедр или руководителю соответствующего территориального органа.

91. Руководитель (исполняющий обязанности руководителя) Роснедр или соответствующего территориального органа Роснедр в течение 3 рабочих дней подписывает приказ о переоформлении лицензии на пользование участком недр в одном оригинальном экземпляре.

Оформление, государственная регистрация и выдача переоформленной лицензии на пользование недрами

92. Оформление, регистрация и выдача переоформленной лицензии на пользование недрами осуществляется в сроки и в порядке, установленными настоящим Административным регламентом в пунктах 21-34 для регистрации и выдачи лицензий на пользование недрами.

93. Должностное лицо Роснедр или его территориального органа, ответственное за регистрацию лицензий после внесения в соответствии с пунктом 33 настоящего Административного регламента в единый государственный реестр лицензий записи о регистрации лицензии, оформленной взамен ранее действовавшей, вносит в единый государственный реестр лицензий запись о прекращении действия лицензии, зарегистрированной ранее.

Последовательность действий Роснедр и его территориальных органов при исполнении государственной функции по осуществлению принятия, в том числе по представлению Федеральной службы по надзору в сфере природопользования и иных уполномоченных органов, решений о досрочном прекращении, приостановлении и ограничении права пользования участками недр

94. Государственная функция по осуществлению принятия, в том числе по представлению Федеральной службы по надзору в сфере природопользования и иных уполномоченных органов, решений о досрочном прекращении, приостановлении и ограничении права пользования участками недр реализуется Роснедрами или его территориальным органом в соответствии с разграничением полномочий в следующих случаях:

1) возникновения непосредственной угрозы жизни или здоровью людей, работающих или проживающих в зоне влияния работ, связанных с пользованием недрами;

2) нарушения пользователем недр существенных условий лицензии;

3) систематического нарушения пользователем недр установленных правил пользования недрами;

4) возникновения чрезвычайных ситуаций (стихийные бедствия, военные действия и другие);

5) если пользователь недр в течение установленного в лицензии срока не приступил к пользованию недрами в предусмотренных объемах;

6) ликвидации предприятия или иного субъекта хозяйственной деятельности, которому недра были предоставлены в пользование;

7) по инициативе владельца лицензии;

8) непредставления пользователем недр отчетности, предусмотренной законодательством Российской Федерации о недрах;

9) по инициативе недропользователя по его заявлению.

95. Основанием для начала осуществления административных процедур в рамках исполнения государственной функции по осуществлению принятия, в том числе по представлению Федеральной службы по надзору в сфере природопользования и иных уполномоченных органов, решений о досрочном прекращении, приостановлении и ограничении права пользования участками недр, является:

1) информация о возникновении непосредственной угрозы жизни или здоровью людей, работающих или проживающих в зоне влияния работ, связанных с пользованием недрами или чрезвычайной ситуации;

2) представления (предложения) Федеральной службы по надзору в сфере природопользования (Росприроднадзор) с приложением копии акта соответствующей контрольной проверки и, в случае наличия, - копий сделанных предписаний по устранению выявленных нарушений, а также других материалов, оформленных по результатам проверок;

3) представления иных уполномоченных контрольных и надзорных органов в соответствии с их компетенцией, определяемой законодательством Российской Федерации;

4) данные, полученные при осуществлении полномочий Роснедр или его территориальных органов, содержащие основания для принятия решений о досрочном прекращении, приостановлении или ограничении права пользования недрами;

5) письменное заявление владельца лицензии о прекращении права пользования недрами по его инициативе;

6) документы, предоставленные в Роснедра или в его территориальный орган о ликвидации предприятия или иного субъекта хозяйственной деятельности, которому участок недр был предоставлен в пользование;

7) решение Правительства Российской Федерации, принятое в соответствии с частью пятой статьи 2.1 Закона Российской Федерации "О недрах", о прекращении права пользования участком недр федерального значения для разведки и добычи полезных ископаемых, осуществляемых по совмещенной лицензии.

96. Письменное заявление владельца лицензии о прекращении права пользования недрами по его инициативе оформляется в произвольной форме, адресуется руководителю соответствующего территориального органа Роснедр, подписывается руководителем владельца лицензии или уполномоченным в соответствии с законодательством Российской Федерации лицом, заверяется печатью (в случае если заявитель является юридическим лицом) и подается в указанный в ней территориальный орган Роснедр.

Заявление владельца лицензии о прекращении права пользования недрами должно содержать:

- полное официальное наименование заявителя;

- его юридический адрес;

- основной государственный регистрационный номер записи о государственной регистрации заявителя;

- ИНН заявителя;

- банковские реквизиты заявителя;

- уведомление об отказе от права пользования недрами с указанием на причины отказа;

- обязательство по безусловному выполнению мероприятий по консервации и ликвидации горных выработок, объектов инфраструктуры и рекультивации земель, согласно условиям, зафиксированным в лицензии на право пользования недрами;

- информацию о планируемых (либо проведенных) рекультивационных и ликвидационных мероприятиях;

- срок прекращения права пользования недрами.

97. По своему желанию заявитель дополнительно может представить иные документы, которые, по его мнению, имеют значение для обоснования отказа от права пользования недрами.

98. Основанием для отказа в рассмотрении заявления владельца лицензии о прекращении права пользования недрами по его инициативе, является представление документов с нарушением требований пункта 96 настоящего Административного регламента.

99. Осуществление Роснедрами и его территориальными органами государственной функции по осуществлению принятия, в том числе по представлению Федеральной службы по надзору в сфере природопользования и иных уполномоченных органов, решений о досрочном прекращении, приостановлении и ограничении права пользования участками недр, включает в себя:

- регистрацию документов, являющихся в соответствии с пунктом 95 настоящего Административного регламента основанием для начала осуществления административных процедур в рамках исполнения государственной функции, (далее - документы);

- рассмотрение полученных документов, подготовка и направление комплекта документов в Комиссию по досрочному прекращению права пользования недрами в предусмотренных настоящим Административным регламентом случаях;

- рассмотрение материалов на Комиссии по досрочному прекращению права пользования недрами и принятие рекомендательного решения;

- принятие Роснедрами или его территориальным органом решения о досрочном прекращении, приостановлении или ограничении права пользования недрами;

- реализацию решения о досрочном прекращении, приостановлении или ограничении права пользования недрами.

Блок-схема последовательности действий при исполнении государственной функции по осуществлению принятия, в том числе по представлению Федеральной службы по надзору в сфере природопользования и иных уполномоченных органов, решений о досрочном прекращении, приостановлении и ограничении права пользования участками недр приведена в приложении 10 к настоящему Административному регламенту.

Регистрация документов

100. Регистрация документов осуществляется должностными лицами структурного подразделения Роснедр или его территориального органа, ответственного за делопроизводство, не позднее дня, следующего за днем получения.

В течение 2 рабочих дней зарегистрированные документы направляются в структурное подразделение Роснедр или его территориального органа, ответственное за лицензирование.

Рассмотрение полученных документов, подготовка и направление комплекта документов в Комиссию по досрочному прекращению права пользования недрами

101. В течение 7 рабочих дней с момента регистрации полученных документов должностное лицо структурного подразделения Роснедр или его территориального органа, ответственного за лицензирование, осуществляет подготовку комплекта документов по вопросу возможного досрочного прекращения, приостановления или ограничения права пользования недрами в отношении конкретного участка недр и конкретного пользователя недр.

102. В случае, если началом осуществления административных процедур в рамках исполнения государственной функции по осуществлению принятия, в том числе по представлению Федеральной службы по надзору в сфере природопользования и иных уполномоченных органов, решений о досрочном прекращении, приостановлении и ограничении права пользования участками недр, являются основания, предусмотренные в подпункте 1, 5, 6, 7 пункта 95 настоящего Административного регламента, то должностное лицо структурного подразделения Роснедр или его территориального органа, ответственного за лицензирование, направляет запрос в федеральный или территориальный фонд геологической информации о представлении копии лицензии на пользование недрами и в течение 30 дней с момента регистрации поступивших документов готовит проект приказа о досрочном прекращении права пользования недрами.

103. В случае, если началом осуществления административных процедур в рамках исполнения государственной функции по осуществлению принятия, в том числе по представлению Федеральной службы по надзору в сфере природопользования и иных уполномоченных органов, решений о досрочном прекращении, приостановлении и ограничении права пользования участками недр, являются основания, предусмотренные в подпункте 2, 3, 4 пункта 95 настоящего Административного регламента, то должностное лицо структурного подразделения Роснедр или его территориального органа, ответственного за лицензирование, в течение 5 рабочих дней с момента регистрации поступивших документов направляет запрос в Росприроднадзор о предоставлении копии акта проведения проверки о выполнении условий пользования недрами по конкретному участку недр и копии предписания по устранению выявленных нарушений (в случае их отсутствия в поступившем комплекте документов) и в федеральный или территориальный фонд геологической информации о представлении копии лицензии на пользование недрами.

104. После получения запрашиваемой информации, указанной в пункте 103 настоящего Административного регламента, должностное лицо структурного подразделения Роснедр или его территориального органа, ответственного за лицензирование, в течение 7 рабочих дней формирует комплект имеющихся документов и осуществляет рассмотрение данных документов на предмет наличия оснований для принятия решений о досрочном прекращении, приостановлении или ограничении права пользования недрами, предусмотренных статьей 20 Закона Российской Федерации "О недрах".

105. При наличии оснований для принятия решений о досрочном прекращении, приостановлении или ограничении права пользования недрами, предусмотренных статьей 20 Закона Российской Федерации "О недрах", должностное лицо структурного подразделения Роснедр или его территориального органа, ответственного за лицензирование, в течение 7 дней направляет комплект документов в Комиссию по досрочному прекращению права пользования недрами либо в соответствующий территориальный орган Роснедр в соответствии с разграничением полномочий между Роснедрами и его территориальными органами.

В случае, если по результатам рассмотрения документов, указанных в пункте 103 настоящего Административного регламента, будет признано, что основания для принятия решений о досрочном прекращении, приостановлении или ограничении права пользования недрами отсутствуют, то должностное лицо структурного подразделения Роснедр или его территориального органа, ответственного за лицензирование, в течение 10 рабочих дней направляет в орган, направивший представление (предложение) о рассмотрении вопроса по досрочному прекращению, приостановлению или ограничению права пользования участком недр, мотивированный отказ, подписанный у руководителя Роснедр или его территориального органа, в досрочном прекращении, приостановлении или ограничении права пользования недрами.

Рассмотрение материалов на Комиссии по досрочному прекращению права пользования недрами и принятие рекомендательного решения

106. В целях обеспечения объективного, качественного и комплексного анализа документов, связанных с досрочным прекращением, приостановлением или ограничением права пользования недрами, в соответствии с приказом Роснедр образуется постоянно действующий совещательный орган - Комиссия по досрочному прекращению права пользования недрами.

Порядок работы Комиссии по досрочному прекращению права пользования недрами устанавливается приказом Роснедр.

107. На заседаниях Комиссии принимаются рекомендательные решения о направлении в адрес пользователя недр уведомления о допущенных пользователем недр нарушениях и возможном досрочном прекращении права пользования недрами, прекращению (без процедуры), приостановлению или ограничению права пользования недрами в отношении конкретного участка недр либо рекомендательные решения о нецелесообразности проведения указанных административных процедур (о принятии к сведению).

При досрочном прекращении права пользования недрами пользователем недр прекращаются все виды деятельности (за исключением работ по консервации и (или) ликвидации горных выработок, скважин и объектов инфраструктуры, связанных с пользованием этим участком недр) на участке недр и получение соответствующей продукции. В сроки, определенные органами, принявшими решение о досрочном прекращении права пользования недрами, начинаются работы по консервации и (или) ликвидации горных выработок, скважин и объектов инфраструктуры, связанных с пользованием этим участком недр. Лицензия на пользование недрами при досрочном прекращении права пользования недрами подлежит снятию с государственного учета и передаче на хранение в федеральный или территориальный фонд геологической информации.

При приостановлении права пользования недрами временно прекращается основной вид деятельности и связанные с ним вспомогательные работы, за исключением деятельности по обеспечению сохранности горных выработок и буровых скважин, поддержанию строений, сооружений и оборудования в безопасном для жизни и здоровья людей, окружающей природной среды и недр состоянии. Лицензия на пользование участком недр при приостановлении права пользования недрами с государственного учета не снимается.

При ограничении права пользования недрами временно или постоянно запрещается осуществление тех или иных видов деятельности, связанных с пользованием недрами, если они привели или могут привести к возникновению непосредственной угрозы жизни и здоровью людей, негативному влиянию на охрану недр и окружающую природную среду до устранения причин, вызвавших это ограничение. Лицензия на пользование участком недр при ограничении права пользования недрами сохраняет свою силу в части не запрещенных видов деятельности.

108. Решение Комиссии по досрочному прекращению права пользования недрами оформляется протоколом заседания Комиссии. Протокол оформляется в течение 3 рабочих дней с даты заседания Комиссии и подписывается председателем Комиссии и секретарем. Подписанный протокол в течение 2 рабочих дней направляется секретарем Комиссии в структурное подразделение Роснедр или его территориального органа, ответственное за лицензирование.

109. В случае рекомендации Комиссии о направлении в адрес пользователя недр уведомления о допущенных пользователем недр нарушениях и возможном досрочном прекращении права пользования недрами должностное лицо структурного подразделения Роснедр или территориального органа, ответственного за лицензирование, в течение 20 рабочих дней с момента получения протокола заседания Комиссии, оформляет и подписывает у руководителя Роснедр или его территориального органа письменное уведомление о допущенных пользователем недр нарушениях и возможном досрочном прекращении права пользования недрами.

Должностное лицо структурного подразделения Роснедр или его территориального органа, ответственного за делопроизводство, в течение 3 дней с даты подписания уведомления о допущенных пользователем недр нарушениях направляет указанное уведомление пользователю недр заказным письмом с уведомлением о вручении, а копию этого уведомления направляет в адрес Росприроднадзора для организации контроля за устранением выявленных нарушений.

110. Письменное уведомление о допущенных пользователем недр нарушениях должно содержать:

- указание на нарушения условий пользования недрами;

- требования к информации об устранении нарушений, которая должна быть представлена пользователем недр с указанием на срок исполнения;

- предупреждение о том, что в случае если указанные нарушения не будут устранены в указанный в уведомлении срок, то право пользования недрами может быть досрочно прекращено.

Срок, устанавливаемый в уведомлении на устранение нарушений, не может быть менее 3 месяцев и превышать 12 месяцев, исчисляемых с даты получения пользователем недр уведомления.

111. Должностное лицо структурного подразделения Роснедр или его территориального органа, ответственного за лицензирование, в течение 7 дней с момента получения копии акта Росприроднадзора о проверке устранения (неустранения) пользователем недр нарушений, указанных в письменном уведомлении о допущенных пользователем недр нарушениях, готовит комплект документов в отношении конкретного участка недр и направляет его на повторное рассмотрение Комиссии.

При этом на повторном рассмотрении материалов по досрочному прекращению, приостановлению или ограничению права пользования недрами Комиссия принимает рекомендательные решение о досрочном прекращении, приостановлении или ограничении права пользования недрами в отношении конкретного участка недр либо о нецелесообразности проведения указанных административных процедур (о принятии к сведению).

Принятие Роснедрами или его территориальным органом решения о досрочном прекращении, приостановлении или ограничении права пользования недрами

112. В приказе Роснедр о досрочном прекращении права пользования недрами, подготовленным в соответствии с пунктом 102 настоящего Административного регламента, указываются:

1) основания для принятия решения о досрочном прекращении права пользования недрами в соответствии со статьей 20 Закона Российской Федерации "О недрах";

2) сведения о заявлении владельца лицензии о досрочном прекращении, права пользования недрами;

3) указание на необходимость проведения недропользователем мероприятий по ликвидации и консервации предприятия по добыче полезных ископаемых и подземных сооружений, не связанных с добычей полезных ископаемых;

4) дата прекращения права пользования недрами;

5) данные об исключении сведений о юридическом лице из Единого государственного реестра юридических лиц либо данные об исключении сведений об индивидуальном предпринимателе из Единого государственного реестра индивидуальных предпринимателей (в случае досрочного прекращения права пользования недрами в связи ликвидацией предприятия или иного субъекта хозяйственной деятельности);

6) соответствующие поручения территориальным органам Роснедр (в случае, если приказ издается Роснедрами) и федеральному фонду геологической информации.

113. Должностное лицо структурного подразделения Роснедр или его территориального органа, ответственного за лицензирование, в течение 7 рабочих дней с момента получения протокола заседания Комиссии, в котором выражена рекомендация о приостановлении или ограничении права пользования недрами готовит проект приказа о приостановлении или ограничении права пользования недрами.

114. В приказе Роснедр о приостановлении или ограничении права пользования недрами указываются:

1) основание приостановления либо ограничения права пользования недрами в соответствии со статьей 20 Закона Российской Федерации "О недрах";

2) мероприятия, которые должен провести недропользователь для устранения причин, вызвавших приостановление либо ограничение права пользования участком недр, порядок и сроки их проведения;

3) виды работ, проведение которых запрещается, с указанием причин этого запрета (при ограничении права пользования недрами);

4) дата вступления в силу решения о приостановлении либо ограничении права пользования недрами;

5) условия, при наступлении которых решение о приостановлении либо ограничении права пользования недрами может быть отменено;

6) соответствующие поручения территориальным органам Роснедр (в случае если приказ издается Роснедрами) и федеральному фонду геологической информации.

115. Должностное лицо структурного подразделения Роснедр или его территориального органа, ответственного за лицензирование, в течение 7 рабочих дней с момента получения протокола заседания Комиссии, в котором выражена рекомендация о досрочном прекращении права пользования недрами в случае, если пользователь недр в указанный в письменном уведомлении срок не устранил нарушения условий пользования недрами, готовит проект приказа о досрочном прекращении права пользования недрами.

116. В приказе о досрочном прекращении права пользования недрами в случае, если пользователь недр в указанный в письменном уведомлении срок не устранил нарушения условий пользования недрами, указываются:

1) основание досрочного прекращения права пользования недрами в соответствии со статьей 20 Закона Российской Федерации "О недрах";

2) условия досрочного прекращения права пользования участком недр;

3) указание на необходимость проведения недропользователем мероприятий в связи с досрочным прекращением права пользования участком недр, в том числе, по консервации или ликвидации горных выработок и объектов инфраструктуры, а также по рекультивации нарушенных земель;

4) дата вступления в силу решения о досрочном прекращении права пользования недрами;

5) соответствующие поручения территориальным органам Роснедра (в случае если приказ издается Роснедра) и федеральному фонду геологической информации.

117. Приказ о досрочном прекращении, приостановлении либо ограничении права пользования недрами подписывает руководитель Роснедр либо соответствующего территориального органа в течение 15 рабочих дней с момента принятия Комиссией рекомендательного решения о досрочном прекращении права пользования недрами в отношении конкретного участка недр.

Реализация решения о досрочном прекращении, приостановлении или ограничении права пользования недрами

118. Должностное лицо структурного подразделения Роснедр или соответствующего территориального органа, ответственного за делопроизводство, в течение 3 рабочих дней со дня подписания приказа о досрочном прекращении, приостановлении или ограничении права пользования недрами направляет копию соответствующего приказа в структурное подразделение Роснедр или его территориального органа, осуществляющее государственную регистрацию лицензий на пользование участками недр, федеральный и территориальный фонды геологической информации, Росприроднадзор, соответствующий налоговый орган, а также пользователю недр.

Пользователю недр копия приказа направляется заказным письмом с уведомлением о вручении.

Должностное лицо структурного подразделения Роснедр или территориального органа Роснедра, осуществляющее государственную регистрацию лицензий на пользование участками недр, в двухдневный срок с момента получения копии приказа делает запись в государственном реестре лицензий на пользование недрами о прекращении, приостановлении или ограничении права пользовании недрами.

119. В случае принятия решения о досрочном прекращении, ограничении или приостановлении права пользования недрами Роснедрами, должностное лицо структурного подразделения Роснедр, ответственного за делопроизводство, направляет копию приказа в соответствующий территориальный орган Роснедр.

IV. Порядок и формы контроля за исполнением государственных функций

120. Текущий контроль за соблюдением последовательности действий, определенных административными процедурами по исполнению государственных функций, осуществляется должностными лицами Роснедр и его территориальных органов, ответственными за организацию работы по исполнению государственных функций.

121. Уполномоченные должностные лица, ответственные за регистрацию документов, являющихся основанием для начала осуществления административных процедур в рамках исполнения государственной функции по осуществлению выдачи, оформления и регистрации лицензий на пользование недрами несут персональную ответственность за соблюдение сроков и порядка регистрации документов.

Уполномоченные должностные лица, ответственные за регистрацию документов, являющихся основанием для начала осуществления административных процедур в рамках исполнения государственной функции по осуществлению внесения изменений и дополнений в лицензии на пользование участками недр, а также переоформления лицензий несут персональную ответственность за соблюдение сроков и порядка регистрации документов, правильность внесения записи в журнал регистрации.

Уполномоченные должностные лица, ответственные за рассмотрение полученных документов, подготовку и направление комплекта материалов в Комиссию, осуществляющую рассмотрение материалов по внесению изменений и дополнений в лицензии на пользование участками недр, а также переоформлению лицензий, несут персональную ответственность за соблюдение сроков и порядка, предусмотренного настоящим Административным регламентом.

Должностные лица Роснедр или его территориальных органов, ответственные за подготовку заключений об обоснованности предложений заявителя о внесении изменений и дополнений в лицензию на пользование участками недр, заключений о целесообразности переоформления лицензий, подготовку и согласование проекта изменений и дополнений в лицензию на пользование недрами, а также проекта приказа о переоформлении лицензий на пользование участком недр несут персональную ответственность за соблюдение сроков и порядка, предусмотренных настоящим Административным регламентом.

122. Уполномоченные должностные лица, ответственные за регистрацию документов, являющихся основанием для начала осуществления административных процедур в рамках исполнения государственной функции по осуществлению принятия, в том числе по представлению Федеральной службы по надзору в сфере природопользования и иных уполномоченных органов, решений о досрочном прекращении, приостановлении и ограничении права пользования участками недр, несут персональную ответственность за соблюдение сроков и порядка регистрации документов, правильность внесения записи в журнал регистрации.

Уполномоченные должностные лица, ответственные за рассмотрение полученных документов, подготовку и направление комплекта материалов в Комиссию по досрочному прекращению права пользования недрами, несут персональную ответственность за соблюдение сроков и порядка, предусмотренного настоящим Административным регламентом.

123. Должностные лица, ответственные за направление уведомления, подготовку и согласование проекта приказа о досрочном прекращении, приостановлении или ограничении права пользования недрами, несут персональную ответственность за соблюдение сроков направления соответствующих уведомлений, порядка, предусмотренного настоящим Административным регламентом.

Должностные лица, ответственные за реализацию решения о досрочном прекращении, приостановлении или ограничении права пользования недрами, несут персональную ответственность за соблюдение сроков направления соответствующих уведомлений, порядка, предусмотренного настоящим Административным регламентом.

124. Перечень должностных лиц, осуществляющих текущий контроль, устанавливается индивидуальными правовыми актами Роснедр (его территориальных органов).

125. Текущий контроль осуществляется путем проведения должностным лицом, ответственным за организацию работы по исполнению государственной функции, проверок соблюдения и исполнения должностными лицами положений настоящего Административного регламента, иных нормативных правовых актов Российской Федерации.

Периодичность осуществления текущего контроля устанавливается руководителем Роснедр (его территориального органа).

126. Роснедра организует и осуществляет контроль за исполнением государственных функций территориальными органами Роснедр.

Контроль за полнотой и качеством исполнения государственных функций включает в себя проведение проверок, выявление и устранение нарушений прав граждан и юридических лиц, рассмотрение, принятие решений и подготовку ответов на обращения заявителей, содержащих жалобы на решения, действия (бездействие) должностных лиц Роснедр (его территориальных органов).

По результатам проведенных проверок, в случае выявления нарушений прав граждан и юридических лиц, к виновным лицам осуществляется применение мер ответственности, в порядке, установленном законодательством Российской Федерации.

Для проведения проверки полноты и качества исполнения государственных функций формируется комиссия, в состав которой включаются государственные гражданские служащие Роснедр.

Формирование и деятельность комиссии осуществляется в соответствии с индивидуальными правовыми актами (приказами) Роснедр.

Результаты деятельности комиссии оформляются в виде справки (акта, отчета), в которой отмечаются выявленные недостатки и предложения по их устранению.

Справка (акт, отчет) подписывается всеми членами комиссии. Члены комиссии, не согласные с выводами комиссии, могут приложить к справке (акту, отчету) особое мнение о результатах проведенной проверки.

Руководитель проверяемого территориального органа Роснедр должен быть ознакомлен с итогами проведенной проверки под роспись.

127. Минприроды России в целях координации и контроля находящихся в его ведении федеральных органов исполнительной власти проводит плановые проверки деятельности Роснедр или его территориальных органов, а также проверки по жалобам граждан и организаций на действия (бездействие) и решения указанных органов, организаций и их должностных лиц.

Плановые проверки проводятся в соответствии с годовым, квартальным и месячным планами, утвержденными приказами Министра.

128. Проверки по жалобам граждан и организаций на действия (бездействие) и решения находящегося в ведении Министерства Роснедр, а также их должностных лиц проводятся на основании приказа Министра. Предложения о проведении таких проверок с обоснованием необходимости их проведения готовит департамент Министерства, ответственный за рассмотрение соответствующей жалобы.

Организационное обеспечение проведения проверок осуществляется соответствующими департаментами Минприроды России.

V. Порядок обжалования действий (бездействия) должностного лица, а также принимаемого им решения при исполнении государственных функций

129. Решения Роснедр или его территориальных органов, принятые в рамках исполнения государственных функций по осуществлению оформления, регистрации, выдачи лицензий на пользование недрами, внесения изменений и дополнений в них, а также переоформления лицензий на пользование недрами, и принятия, в том числе по представлению Федеральной службы по надзору в сфере природопользования и иных уполномоченных органов, решений о досрочном прекращении, приостановлении и ограничении права пользования участками недр, могут быть обжалованы в административном и судебном порядке.

130. Решения, осуществляемые (принятые) в ходе исполнения государственных функций, могут быть обжалованы в административном и судебном порядке (в арбитражных судах либо судах общей юрисдикции).

Заявитель вправе обжаловать действия (бездействия) и решения должностных лиц Роснедр и его территориальных органов в Роснедра или Минприроды России.

131. Гражданин в своем письменном обращении в обязательном порядке указывает либо наименование государственного органа, в которое направляет письменное обращение, либо фамилию, имя, отчество соответствующего должностного лица, либо должность соответствующего лица, а также свои фамилию, имя, отчество (последнее - при наличии), почтовый адрес, по которому должны быть направлены ответ, уведомление о переадресации обращения, излагает суть предложения, заявления или жалобы, ставит личную подпись и дату.

В случае необходимости в подтверждение своих доводов гражданин прилагает к письменному обращению документы и материалы либо их копии.

Обращение, поступившее в государственный орган, или должностному лицу по информационным системам общего пользования, подлежит рассмотрению в порядке, установленном действующим законодательством.

132. Письменное обращение, поступившее в государственный орган или должностному лицу в соответствии с их компетенцией, рассматривается в течение 30 дней со дня регистрации письменного обращения.

В исключительных случаях, а также в случае направления запроса в государственный орган, орган местного самоуправления или должностному лицу, руководитель государственного органа или должностное лицо либо уполномоченное на то лицо вправе продлить срок рассмотрения обращения не более чем на 30 дней, уведомив о продлении срока его рассмотрения гражданина, направившего обращение.

133. По результатам рассмотрения обращения должностным лицом Роснедр принимается решение об удовлетворении требований заявителя либо об отказе в удовлетворении обращения.

134. В случае если в письменном обращении не указаны фамилия гражданина, направившего обращение, и почтовый адрес, по которому должен быть направлен ответ, ответ на обращение не дается. Если в указанном обращении содержатся сведения о подготавливаемом, совершаемом или совершенном противоправном деянии, а также о лице, его подготавливающем, совершающем или совершившем, обращение подлежит направлению в государственный орган в соответствии с его компетенцией.

Государственный орган, или должностное лицо при получении письменного обращения, в котором содержатся нецензурные либо оскорбительные выражения, угрозы жизни, здоровью и имуществу должностного лица, а также членов его семьи, вправе оставить обращение без ответа по существу поставленных в нем вопросов и сообщить гражданину, направившему обращение, о недопустимости злоупотребления правом.

В случае если текст письменного обращения не поддается прочтению, ответ на обращение не дается и оно не подлежит направлению на рассмотрение в государственный орган, орган местного самоуправления или должностному лицу в соответствии с их компетенцией, о чем сообщается гражданину, направившему обращение, если его фамилия и почтовый адрес поддаются прочтению.

Если в письменном обращении гражданина содержится вопрос, на который ему многократно давались письменные ответы по существу в связи с ранее направляемыми обращениями, и при этом в обращении не приводятся новые доводы или обстоятельства, руководитель государственного органа, должностное лицо либо иное уполномоченное на то лицо вправе принять решение о безосновательности очередного обращения и прекращении переписки с гражданином по данному вопросу при условии, что указанное обращение и ранее направляемые обращения направлялись в один и тот же государственный орган или одному и тому же должностному лицу. О данном решении уведомляется гражданин, направивший обращение.

В случае если ответ по существу поставленного в обращении вопроса не может быть дан без разглашения сведений, составляющих государственную или иную охраняемую федеральным законом тайну, гражданину, направившему обращение, сообщается о невозможности дать ответ по существу поставленного в нем вопроса в связи с недопустимостью разглашения указанных сведений.

В случае если причины, по которым ответ по существу поставленных в обращении вопросов не мог быть дан, в последующем были устранены, гражданин вправе вновь направить обращение в соответствующий государственный орган, орган местного самоуправления или соответствующему должностному лицу.

135. При личном обращении заявителя на действия (бездействия) и решения Роснедр и его территориальных органов прием проводится руководителями или уполномоченными на то лицами Роснедр или его территориальных органов. Информация о месте приема, а также об установленных для приема днях и часах доводится до сведения граждан на информационных стендах в Роснедрах и его территориальных органах.

При личном приеме гражданин предъявляет документ, удостоверяющий его личность.

Содержание устного обращения заносится в карточку личного приема гражданина. В случае если изложенные в устном обращении факты и обстоятельства являются очевидными и не требуют дополнительной проверки, ответ на обращение с согласия гражданина может быть дан устно в ходе личного приема, о чем делается запись в карточке личного приема гражданина. В остальных случаях дается письменный ответ по существу поставленных в обращении вопросов.

136. Заявители вправе обжаловать решения, принятые в ходе исполнения государственных функций, а также действия или бездействие должностных лиц государственных органов в судебном порядке.

Приложение 1

Список территориальных органов Федерального агентства по недропользованию

Адрес

Телефон, факс

Центральный федеральный округ

Департамент по недропользованию по Центральному ФО

117105, г. Москва, Варшавское ш., 39а

(499) 611-01-49, ф. 981-37-04

Департамент по недропользованию на континентальном шельфе и в мировом океане

119017, г. Москва, Старомонетный переулок, 31

(495) 959-44-23, 950-30-45, ф. 951-98-49

Северо-Западный федеральный округ

Департамент по недропользованию по Северо-Западному ФО

199155, г. Санкт-Петербург, ул. Одоевского, 24 корп.

(812) 351-87-47, 352-26-40, ф. 352-26-18

Управление по недропользованию по Республике Карелия

185631, г. Петрозаводск, набережная Варкауса, 1а

(8142) 74-87-29, ф. 74-87-29

Управление по недропользованию по Республике Коми

167000, г. Сыктывкар, ул. Интернациональная, 157

(8212) 21-47-13, ф. 28-82-65

Управление по недропользованию по Архангельской области

163045, г. Архангельск, Троицкий пр-т, 135

(8182) 22-43-55, 24-24-49, 22-43-13, ф. 24-23-19

Управление по недропользованию по Калиниградской области

236006, г. Калининград, ул. Кирпичная, 7

(4012) 53-84-50, ф. 53-84-50

Управление по недропользованию по Мурманской области

183032, г. Мурманск, ул. Свердлова, 3

(8152) 41-01-47

Управление по недропользованию по Ненецкому автономному округу

166000, г. Нарьян-Мар, Ненецкий АО, ул. Рабочая, 39-а

(81853) 4-04-17, 4-04-25, ф. 4-39-32

Южный федеральный округ

Департамент по недропользованию по Южному ФО

344090 г. Ростов-на-Дону, пр-т 40-летия Победы, 330

(863) 266-97-81, 266-97-82, ф. 269-34-77

Управление по недропользованию по Республике Адыгея

385000 Республика Адыгея г. Майкоп, ул. Гагарина 52

(8772) 57-79-31

Управление по недропользованию по Республике Дагестан

367010, Республика Дагестан г. Махачкала, ул. Гагарина 51

(8722) 63-62-68, 63-55-92, ф. 63-55-92

Управление по недропользованию по Республике Ингушетия

386140, г. Назрань, ул. Бакинская, 1

(8734) 22-19-09, 22-17-08

Управление по недропользованию по Кабардино-Балкарской республике

360030, г. Нальчик, ул. Тарчокова, 18а

(8662) 47-45-72

Управление по недропользованию по Республике Калмыкия

358000, Республика Калмыкия, г. Элиста, ул. Лермонтова, 4

(84722) 5-43-21 ф. 5-43-21

Управление по недропользованию по Карачаево-Черкесской Республике

369000, г. Черкесск, ул. Гагарина, 17

(87822) 26-10-89, ф. 26-10-89

Управление по недропользованию по Республике Северная Осетия - Алания

362021, Северная Осетия, г. Владикавказ, ул. Иристонская, 25

(8672) 74-99-60, 74-10-78, ф. 74-99-60

Управление по недропользованию по Чеченской Республике

366900, Чеченская Республика г. Гудермес, ул. Проезжая, 7

(7152) 2-23-52, ф. 2-23-52

Управление по недропользованию по Краснодарскому краю

350640, г. Краснодар, ул. Красная 19

(8612) 68-19-15, ф. 67-11-82

Управление по недропользованию по Ставропольскому краю

355006, г. Ставрополь, ул. Голенева, 18

(8652) 26-87-69 ф. 95-67-05

Управление по недропользованию по Астраханской области

414000, г. Астрахань, ул. Бакинская, 113

(8512) 39-01-55

Управление по недропользованию по Волгоградской области

400001, г. Волгоград, ул. Профсоюзная, 30

(8442) 94-87-05, ф. 94-87-05

Приволжский федеральный округ

Департамент по недропользованию по Приволжскому ФО

603005, г. Нижний Новгород, ул. Малькова 4/2

(831) 434-34-87, 433-78-91, 434-37-43

Управление по недропользованию по Республике Башкортостан

450077 Республика Башкортостан г. Уфа ул. Ленина 86 комн. 302

(3472) 91-42-15, 73-28-56, ф. 73-28-56

Управление по недропользованию по Республике Татарстан

420059, г. Казань, ул. Эсперанто, 15

(843) 277-00-85

Управление по недропользованию по Удмуртской Республике

426000, г. Ижевск ул. Пушкинская, 214

(3412) 51-18-77, ф. 51-18-77

Управление по недропользованию по Оренбургской области

460000, г. Оренбург, Парковый пр., 6

(3532) 78-05-69, 77-85-16

Управление по недропользованию по Пермскому краю

614016, г. Пермь, ул. Камчатовская, 5-30

(342) 291-09-67, 243-30-65

Управление по недропользованию по Самарской области

443010 г. Самара, ул. Куйбышева, 145, оф. 731

(8462) 333-31-83, 333-31-83, ф. 333-68-72

Управление по недропользованию по Саратовской области

410600 г. Саратов ул. Московская, 70

(8452) 26-06-20

Управление по недропользованию по Ульяновской области

432018 г. Ульяновск ул. Хвашкова, 18

(8422) 46-80-00, ф. 46-80-00

Уральский федеральный округ

Департамент по недропользованию по Уральскому ФО

620014, г. Екатеринбург, ул. Вайнера, 55

(343) 257-84-59, ф. 257-65-74

Управление по недропользованию по Тюменской области

625000, г. Тюмень, ул. Республики, 55

(3452) 75-03-08

Управление по недропользованию по Челябинской области

454048 г. Челябинск ул. Блюхера, 8а

(3512) 32-87-16, ф. 32-87-15

Управление по недропользованию по Ханты-Мансийскому автономному округу

628012, г. Ханты-Мансийск ул. Студенческая, 2

(34671) 5-32-02

Управление по недропользованию по Ямало-Ненецкому автономному округу

629008, Ямало-Ненецкий АО г. Салехард, ул. Мира, 40, секция, а/я 7а

(34922) 4-40-32, ф. 4-40-32

Сибирский федеральный округ

Департамент по недропользованию по Сибирскому ФО

630099, г. Новосибирск, Красный проспект, 35

(3832) 27-04-12, ф. 27-04-08, 27-04-13

Управление по недропользованию по Республике Алтай

649, г. Горно-Алтайск, ул. Ленкина, 12

(38822) 2-56-57, ф. 2-56-57

Управление по недропользованию по Республике Бурятия

670000 Республика Бурятия г. Улан-Удэ, ул. Ленина, 57

(3012) 21-15-34, ф. 21-47-46

Управление по недропользованию по Республике Тыва

667003 г. Кызыл, ул. Улуг-Хемская, 14

(39422) 9-22-33

Управление по недропользованию по Республике Хакасия

655012, Республика Хакасия, г. Абакан, ул. Хакасская, 21

(3902) 24-68-25, ф. 25-66-93

Управление по недропользованию по Алтайскому краю

656056, Алтайский край, г. Барнаул, ул. Пролетарская, 61

(3852) 35-46-15, ф. 35-30-97

Управление по недропользованию по Красноярскому краю

660049, г. Красноярск ул. Карла Маркса 62

(3912) 23-42-10, 23-49-09

Управление по недропользованию по Иркутской области

664011, г. Иркутск, ул. Российская, 17

(3952) 33-50-71, 20-05-27, ф. 33-50-71

Управление по недропользованию по Кемеровской области

650099, Кемеровская обл. г. Кемерово, ул. Ноградская, 19а

(3842) 31-22-74

Управление по недропользованию по Омской области

644007, г. Омск, ул. Герцена, 50

(3812) 32-51-40, ф. 30-54-27

Управление по недропользованию по Томской области

634021, г. Томск, пр. Фрунзе, 232

(3822) 24-18-64, 24-29-77, 24-18-64

Управление по недропользованию по Забайкальскому краю

672090, г. Чита, ул. Амурская, 91/15

(3022) 35-46-42

Дальневосточный федеральный округ

Департамент по недропользованию по Дальневосточному ФО

680000, г. Хабаровск, ул. Л. Толстого, 8

(4212) 32-47-92, ф. 30-57-79

Управление по недропользованию по Республике Саха (Якутия)

677018, Республика Саха (Якутия), г. Якутск, ул. Амосова, 18

(4112) 42-56-20

Управление по недропользованию по Приморскому краю

690021, г. Владивосток, Океанский пр-т, 31

(4232) 40-23-73

Управление по недропользованию по Амурской области

675029, г. Благовещенск, Амурской обл., переулок Чудиновский, 15

(4162) 37-69-25

Управление по недропользованию по Камчатскому краю

683016, г. Петропавловск-Камчатский, ул. Мишенная, 106

(4152) 23-96-07, ф. 23-91-66

Управление по недропользованию по Магаданской области

685000, г. Магадан, ул. Пролетарская, 11

(4132) 69-96-81, 66-66-59, ф. 62-20-90

Управление по недропользованию по Сахалинской области

693000, г. Южно-Сахалинск, Коммунистический пр-т, 49

(4242) 50-02-35, ф. 50-02-37

Управление по недропользованию по Чукотскому автономному округу

686000, Чукотский АО, г. Анадырь, ул. Куркутского, 34

(42722) 2-86-38, ф. 2-69-83

Управление по недропользованию по Еврейской автономной области

679016, г. Биробиджан, ул. Советская, 111

(42622) 4-68-42

Приложение 2

Распределение полномочий между Роснедрами и его территориальными органами при исполнении государственных функций

1. Принятие решений о переоформлении лицензий, внесении изменений и дополнений в лицензии, прекращении, приостановлении или ограничении права пользования недрами, предоставлении краткосрочного права пользования недрами, а также об оформлении, государственной регистрации и выдаче лицензий осуществляется территориальными органами Роснедр в отношении участков недр, содержащих указанные в Таблице, являющейся Приложением к настоящему Распределению (далее - Таблица), полезные ископаемые в количестве, не превышающем предельные размеры, указанные в Таблице.

Исключение составляют участки недр федерального значения, а также участки недр, содержащие общераспространенные полезные ископаемые и участки недр местного значения.

По участкам недр, в соответствии с настоящим Распределением подпадающим под полномочия территориального органа Роснедр, но расположенным на территории двух и более субъектов Российской Федерации, оформление, регистрация и выдача лицензий на пользование недрами, а также принятие решения о внесении изменений и дополнений в лицензии на пользование участками недр, переоформлении лицензий, и досрочном прекращении, приостановлении и ограничении права пользования участками недр, осуществляется Роснедрами. По поручению Роснедр функции по оформлению, регистрации и выдаче лицензии на пользование недрами и изменений и дополнений в лицензию на пользование недрами могут быть возложены на соответствующие территориальные органы Роснедр по федеральным округам, в состав которых входят субъекты Российской Федерации, на территории которых расположены указанные участки недр.

2. Принятие решений о переоформлении лицензий, внесении изменений и дополнений в лицензии, прекращении, приостановлении или ограничении права пользования недрами, предоставлении краткосрочного права пользования недрами, а также об оформлении, государственной регистрации и выдаче лицензий по участкам недр, содержащим не вошедшие в прилагаемую Таблицу полезные ископаемые или включенные в Таблицу, но содержащиеся на участках в количестве, превышающем предельные размеры, указанные в Таблице, а также по участкам недр федерального значения осуществляется Роснедрами.

Передача функций Роснедр по принятию решений о внесении изменений и дополнений в лицензии на пользование участками недр, о переоформлении лицензий, прекращении, приостановлении или ограничении права пользования недрами, а также по оформлению, государственной регистрации и выдаче лицензий по конкретным участкам недр может осуществляться на основании письменного поручения начальника структурного подразделения Роснедр, ответственного за лицензирование.

3. Распределение полномочий между Роснедрами и его территориальными органами по вопросам принятия решений об утверждении результатов конкурсов и аукционов и на их основе оформления, регистрации и выдачи лицензий на пользование недрами устанавливается в перечне объектов, предлагаемых для предоставления в пользование, по соответствующим субъектам Российской Федерации.

4. По участкам недр (кроме участков недр федерального значения), на которых планируется проведение геологического изучения или осуществляется геологическое изучение на основании государственного контракта на выполнение работ по геологическому изучению недр (в том числе региональному), заключенного в соответствии с Федеральным законом от 21.07.2005 № 94-ФЗ "О размещении заказов на поставки товаров, выполнение работ, оказание услуг для государственных и муниципальных нужд" (Собрание законодательства Российской Федерации, 2005, № 30, ст. 3105; 2006, № 1, ст. 18, № 31, ст. 3441; 2007, № 17, ст. 1929, № 31, ст. 4015, № 46, ст. 5553; 2008, № 30, ст. 3616, № 49, ст. 5723; 2009, № 1, ст. 16, 31), оформление, регистрация и выдача лицензий на пользование недрами, а также принятие решения о внесении изменений и дополнений в эти лицензии, переоформлении лицензий и досрочном прекращении, приостановлении или ограничении права пользования этими участками недр, осуществляют территориальные органы Роснедр.

5. По участкам недр федерального значения, на которых планируется проведение геологического изучения или осуществляется геологическое изучение на основании государственного контракта на выполнение работ по геологическому изучению недр (в том числе региональному), заключенного в соответствии с Федеральным законом от 21.07.2005 № 94-ФЗ "О размещении заказов на поставки товаров, выполнение работ, оказание услуг для государственных и муниципальных нужд", оформление, регистрация и выдача лицензий на пользование недрами, а также принятие решения о внесении изменений и дополнений в эти лицензии, переоформлении лицензий и досрочном прекращении, приостановлении или ограничении права пользования этими участками недр, осуществляется Роснедрами.

6. По участкам недр, на которых планируется или осуществляется строительство и эксплуатация подземных сооружений, не связанных с добычей полезных ископаемых, а также геологического изучения в указанных целях (кроме строительства и эксплуатации нефтегазохранилищ, размещения отходов в пластах горных пород и глубоких горизонтах), оформление, регистрация и выдача лицензий на пользование недрами, а также принятие решения о внесении изменений и дополнений в эти лицензии, переоформлении лицензий и досрочном прекращении, приостановлении или ограничении права пользования этими участками недр, осуществляют территориальные органы Роснедр.

7. По участкам недр, на которых планируется или осуществляется строительство и эксплуатация нефтегазохранилищ, размещение отходов в пластах горных пород и глубоких горизонтах, оформление, регистрация и выдача лицензий на пользование недрами, а также принятие решения о внесении изменений и дополнений в эти лицензии, переоформлении лицензий и досрочном прекращении, приостановлении или ограничении права пользования этими участками недр, осуществляется Роснедрами.

Приложение к распределению

Таблица предельных объемов запасов и прогнозных ресурсов полезных ископаемых, залегающих на участках недр

Полезные ископаемые месторождений или проявлений на участках недр

Единица измерения

Максимальное количество

Балансовых запасов по категориям А+В+С12

Прогнозных ресурсов по категориям Р1233012)

1

2

3

4

I. Углеводородное сырье

Нефть

млн. т (извл.)

1

2

Газ

млрд. м3 (извл.)

3

5

II. Энергетическое сырье

Уголь каменный и антрацит

млн. т

10

20

Уголь бурый

млн. т

100

200

Торф и горючие сланцы

Без ограничений

III. Черные металлы

Железные руды

млн. т

100

200

Марганцевые руды

млн. т

3

6

Хромовые руды

млн. т

1

2

IV. Цветные и редкие металлы

Алюминиевое сырье, в т.ч. бокситы для производства глинозема, алуниты, нефелины

млн. т

10

20

Вольфрам

тыс. т WО3

10

20

Висмут

тыс. т

5

10

Медь

тыс. т

100

200

Молибден

тыс. т

10

20

Олово

тыс. т

10

20

Ртуть

тыс. т

1

2

Свинец

тыс. т

100

200

Стронций

тыс. т

100

200

Сурьма

тыс. т

20

40

Титан коренной

млн. т. TiO2

5

10

Титан россыпной

млн. т. TiO2

1

2

Цезий (оксид)

тыс. т

1

2

Цинк

тыс. т

100

200

Цирконий

млн. т ZrO2

0,5

1

V. Благородные металлы

Золото коренное

т

10

20

Золото россыпное

т

1

2

Серебро

т

1000

2000

VI. Промышленные воды - гидроминеральное сырье, обеспечивающие производство:

Иода

т/год

100

500

Брома

т/год

1000

2000

VII. Горно-химическое сырье без ограничений, кроме:

Апатиты и фосфориты

млн. т Р2О5

20

40

Борные руды

млн. т ВО3

1

2

Калийные соли

млн. т

200

400

Сера самородная

млн. т

5

10

Сода природная

млн. т

5

10

Соли поваренные

млн. т

200

400

Магниевые соли (бишофит)

млн. т

20

40

Сульфат натрия

млн. т

5

10

VIII. Горнорудное сырье и нерудное сырье без ограничений, кроме:

Асбест хризотиловый

млн. т

5

10

Асбест антофиллитовый

тыс. т

10

20

Асбест амфиболитовый

тыс. т

2

4

Барит

млн. т

1

2

Брусит

млн. т

2

4

Волластонит

млн. м3

1

2

Графит

млн. т

1

2

Тальк, тальковый камень

млн. т

2

4

Каолины

млн. т

5

10

Магнезит

млн. т

10

20

Мраморы (архитектурно-строительные, поделочные и статуарные)

млн. т

0,5

1

Пески стекольные, формовочные

млн. т

10

20

Плавиковый шпат

млн. т

1

3

Слюда-мусковит

тыс. т

10

20

Слюда-флогопит и вермикулит

тыс. т

1

2

Цеолиты

тыс. т

100

200

IX. Камнесамоцветное, кварцевое и пьезооптическое сырье

Поделочные камни: змеевик, оникс мраморный, офикальцит, яшма и др.

т

1000

1000

X. Подземные воды и лечебные минеральные ресурсы

Термальные для производства тепловой или электрической энергии

МВт

50

50

Подземная минеральная вода

 

 

 

Лечебная грязь и другие минеральные ресурсы, отнесенные к категории

 

 

 

IX. Камнесамоцветное, кварцевое и пьезооптическое сырье

Поделочные камни: змеевик, оникс мраморный, офикальцит, яшма и др.

т

1000

1000

X. Подземные воды и лечебные минеральные ресурсы

Термальные для производства тепловой или электрической энергии

МВт

50

50

Подземная минеральная вода

Без ограничений, кроме промышленного розлива (согласование с Роснедра)

Лечебная грязь и другие минеральные ресурсы, отнесенные к категории

Без ограничений

Приложение 3

Блок-схема последовательности действий при исполнении государственной функции по осуществлению выдачи, оформления и регистрации лицензий на пользование недрами

Приложение 4

Форма бланка лицензии на пользование недрами
(лицевая сторона)

Герб Российской Федерации

_______________________________________________________

(наименование органа, выдавшего лицензию)

ЛИЦЕНЗИЯ
на пользование недрами

 

 

 

 

 

 

 

 

 

 

 

 

 

 

 

 

 

серия

 

 

номер

 

 

вид лицензии

 

Выдана ______________________________________________________________________

(субъект предпринимательской деятельности, получивший

________________________________________________________________________________

данную лицензию)

________________________________________________________________________________

в лице __________________________________________________________________________

(ф.и.о. лица, представляющего субъект предпринимательской деятельности)

________________________________________________________________________________

с целевым назначением и видами работ ______________________________________________

________________________________________________________________________________

________________________________________________________________________________

Участок недр расположен _________________________________________________________

(наименование населенного пункта,

________________________________________________________________________________

района, области, края, республики)

Описание границ участка недр, координаты угловых точек, копии топопланов, разрезов и др. приводятся в приложении _________________________________________________________

(№ прилож.)

Участок недр имеет статус ________________________________________________________

(геологического или горного отвода)

Дата окончания действия лицензии _________________________________________________

(число, месяц, год)

Место штампа
государственной регистрации

Форма бланка лицензии на пользование недрами (оборот)

Неотъемлемыми составными частями настоящей лицензии являются следующие документы (приложения):

1. Условия пользования недрами, на _____ л.;

2. Копия решения, являющегося основанием предоставления лицензии, принятого в соответствии со статьей 10.1 Закона Российской Федерации "О недрах" на _____ л.;

3. Схема расположения участка недр на ______ л.;

4. Копия свидетельства о государственной регистрации юридического лица на ______ л.;

5. Копия свидетельства о постановке пользователя недр на налоговый учет на ______ л.;

6. Документ на _____ л., содержащий, сведения об участке недр, отражающие:

- местоположение участка недр в административно-территориальном отношении с указанием границ особо охраняемых природных территорий, а также участков ограниченного и запрещенного землепользования с отражением их на схеме расположения участка недр;

- геологическую характеристику участка недр с указанием наличия месторождений (залежей) полезных ископаемых и запасов (ресурсов) по ним;

- обзор работ, проведенных ранее на участке недр, наличие на участке недр горных выработок, скважин и иных объектов, которые могут быть использованы при работе на этом участке;

- сведения о добытых полезных ископаемых за период пользования участком недр (если ранее производилась добыча полезных ископаемых);

- наличие других пользователей недр в границах данного участка недр;

7. Перечисление предыдущих пользователей данным участком недр (если ранее участок недр находился в пользовании) с указанием оснований, сроков предоставления (перехода права) участка недр в пользование и прекращения действия лицензии на пользование этим участком недр (указывается при переоформлении лицензии), на _____ л.;

8. Краткая справка о пользователе недр, содержащая: юридический адрес пользователя недр, банковские реквизиты, контактные телефоны, на ____ л.;

9. Иные приложения ___________________________________________________________

(название документов, количество страниц)

________________________________________________________________________________

________________________________________________________________________________

Уполномоченное должностное лицо
органа, выдавшего лицензию

__________________________________________

(должность, ф.и.о. лица, подписавшего лицензию)

__________________________________________

Подпись __________________________________

М.п. дата __________________________________

 

Приложение 5

Образец штампа государственной регистрации лицензии на пользование недрами

______________________________

регистрирующий орган

ЗАРЕГИСТРИРОВАНО

"_____" _________ 200___ г.

№ ____________________

_______________________________

(подпись уполномоченного регистратора)

_______________________________

(фамилия, имя, отчество регистратора)

 

Приложение 6

Аббревиатуры наименований субъектов Российской Федерации и морей Российской Федерации, принятые для обозначения серий лицензий на пользование недрами

№ п/п

Республика

Административный центр (город)

Принятые в Лицензиях сокращения

Республики Российской Федерации

1

Адыгея

Майкоп

МАЙ

2

Алтай

Горно-Алтайск

ГОА

3

Башкортостан

Уфа

УФА

4

Бурятия

Улан-Удэ

УДЭ

5

Дагестан

Махачкала

МАХ

6

Ингушская

Назрань

НЗР

7

Кабардино-Балкарская

Нальчик

НАЛ

8

Калмыкия Хальм-Тангч

Элиста

ЭЛИ

9

Карачаево-Черкесская

Черкесск

ЧЕР

10

Карелия

Петрозаводск

ПТЗ

11

Коми

Сыктывкар

СЫК

12

Марий Эл

Йошкар-Ола

ЙШК

13

Мордовия

Саранск

СРН

14

Саха (Якутия)

Якутск

ЯКУ

15

Северная Осетия

Владикавказ

ВЛК

16

Татарстан

Казань

ТАТ

17

Тыва

Кызыл

КЗЛ

18

Удмуртская

Ижевск

ИЖВ

19

Хакасия

Абакан

АБН

20

Чеченская

Грозный

ГРЗ

21

Чувашская

Чебоксары

ЧЕБ

Края Российской Федерации

1

Алтайский

Барнаул

БАР

2

Забайкальский

Чита

ЧИТ

3

Камчатский край

Петропавловск-Камчатский

ПТР

4

Краснодарский

Краснодар

КРД

5

Красноярский

Красноярск

КРР

6

Пермский

Пермь

ПЕМ

7

Приморский

Владивосток

ВЛВ

8

Ставропольский

Ставрополь

СТВ

9

Хабаровский

Хабаровск

ХАБ

Области Российской Федерации

1

Амурская

Благовещенск

БЛГ

2

Архангельская

Архангельск

АРХ

3

Астраханская

Астрахань

ACT

4

Белгородская

Белгород

БЕЛ

5

Брянская

Брянск

БРН

6

Владимирская

Владимир

ВЛМ

7

Волгоградская

Волгоград

ВЛГ

8

Вологодская

Вологда

ВОЛ

9

Воронежская

Воронеж

ВРЖ

10

Ивановская

Иваново

ИВА

11

Иркутская

Иркутск

ИРК

12

Калининградская

Калининград

КЛГ

13

Калужская

Калуга

КЛЖ

14

Кемеровская

Кемерово

КЕМ

15

Кировская

Киров

КИР

16

Костромская

Кострома

КОС

17

Курганская

Курган

КУГ

18

Курская

Курск

КРС

19

Ленинградская

Санкт-Петербург

ЛОД

20

Липецкая

Липецк

ЛПЦ

21

Магаданская

Магадан

МАГ

22

Московская

Москва

МСК

23

Мурманская

Мурманск

МУР

24

Нижегородская

Нижний Новгород

НЖГ

25

Новгородская

Новгород

НВГ

26

Новосибирская

Новосибирск

НОВ

27

Омская

Омск

ОМС

28

Оренбургская

Оренбург

ОРБ

29

Орловская

Орел

ОРЛ

30

Пензенская

Пенза

ПНЗ

31

Псковская

Псков

ПСК

32

Ростовская

Ростов

РСТ

33

Рязанская

Рязань

РЯЗ

34

Самарская

Самара

СМР

35

Саратовская

Саратов

СРТ

36

Сахалинская

Южно-Сахалинск

ЮСХ

37

Свердловская

Свердловск

СВЕ

38

Смоленская

Смоленск

СМО

39

Тамбовская

Тамбов

ТМБ

40

Тверская

Тверь

ТВЕ

41

Томская

Томск

ТОМ

42

Тульская

Тула

ТУЛ

43

Тюменская

Тюмень

ТЮМ

43

Тюменская

Тюмень

ТЮМ

44

Ульяновская

Ульяновск

УЛН

45

Челябинская

Челябинск

ЧЕЛ

46

Ярославская

Ярославль

ЯРЛ

47

Еврейская

Биробиджан

БИР

Автономные округа Российской Федерации

1

Агинский Бурятский

Чита

ЧИТ

2

Ненецкий

Нарьян-Мар

НРМ

3

Усть-Ордынский Бурятский

Усть-Ордынский

УОР

4

Ханты-Мансийский

Ханты-Мансийск

ХМН

5

Чукотский

Анадырь

АНД

6

Ямало-Ненецкий

Салехард

СЛХ

Города федерального значения

1

Москва

 

МОС

2

Санкт-Петербург

 

СПБ

Шельфы - территориальных морей

1

Азовское

 

ШАЗ

2

Балтийское

 

ШБТ

3

Баренцево

 

ШБМ

4

Белое

 

ШБЛ

5

Берингово

 

ШБР

6

Восточно-Сибирское

 

ШВС

7

Карское

 

ШКМ

8

Каспийское

 

ШКС

9

Лаптевых

 

ШМЛ

10

Охотское

 

ШОМ

11

Печорское

 

ШПМ

12

Черное

 

ШЧМ

13

Чукотское

 

ШЧУ

14

Японское

 

ШЯМ

Приложение 7

Образец штампа дубликата государственной регистрации лицензии на пользование недрами

______________________________

регистрирующий орган

ДУБЛИКАТ

"_____" _________ 200___ г.

№ ____________________

_______________________________

(подпись уполномоченного регистратора)

_______________________________

(фамилия, имя, отчество регистратора)

 

Приложение 8

Блок-схема последовательности действий при исполнении государственной функции по осуществлению внесения изменений и дополнений в лицензии на пользование участками недр

Приложение 9

Блок-схема последовательности действий при исполнении государственной функции по осуществлению переоформления лицензий

Приложение 10

Блок-схема последовательности действий при исполнении государственной функции по осуществлению принятия, в том числе по представлению Федеральной службы по надзору в сфере природопользования и иных уполномоченных органов, решений о досрочном прекращении, приостановлении и ограничении права пользования участками недр

 

Текст документа соответствует источнику.

 

 

 




ГОСТЫ, СТРОИТЕЛЬНЫЕ и ТЕХНИЧЕСКИЕ НОРМАТИВЫ.
Некоммерческая онлайн система, содержащая все Российские Госты, национальные Стандарты и нормативы.
В Системе содержится более 150000 файлов нормативно-технической документации, действующей на территории РФ.
Система предназначена для широкого круга инженерно-технических специалистов.

Рейтинг@Mail.ru Яндекс цитирования

Copyright © www.gostrf.com, 2008 - 2026