Крупнейшая бесплатная информационно-справочная система онлайн доступа к полному собранию технических нормативно-правовых актов РФ. Огромная база технических нормативов (более 150 тысяч документов) и полное собрание национальных стандартов, аутентичное официальной базе Госстандарта. GOSTRF.com - это более 1 Терабайта бесплатной технической информации для всех пользователей интернета. Все электронные копии представленных здесь документов могут распространяться без каких-либо ограничений. Поощряется распространение информации с этого сайта на любых других ресурсах. Каждый человек имеет право на неограниченный доступ к этим документам! Каждый человек имеет право на знание требований, изложенных в данных нормативно-правовых актах!

  


 

Приказ Министерства жилищно-коммунального хозяйства РСФСР от 8 мая 1981 г. N 260

Об утверждении рекомендаций по нормированию скоростей сообщения трамвайных вагонов и троллейбусов

Приказываю:

1. Утвердить и ввести в действие с 1 января 1982 года "Рекомендации по нормированию скоростей сообщения трамвайных вагонов и троллейбусов" согласно приложению.

2. Министрам жилищно-коммунального хозяйства АССР, начальникам управлений коммунального хозяйства край (обл)исполкомов, начальникам трамвайно-троллейбусных, трамвайных, троллейбусных управлений и Главного Управления пассажирского транспорта Мосгорисполкома обеспечить в срок до 31 декабря 1981 года изучение указанных Рекомендаций руководящим составом Управления, работниками служб движения, энергохозяйства, водителями трамваев и троллейбусов и приступить к их внедрению.

При внедрении Рекомендаций особое внимание обратить на обеспечение безопасности движения, на необходимость учета водителями при выборе режима движения дорожных условий.

3. Академии коммунального хозяйства (т. Скачкову) и объединению "Росремэлектротранс" (т. Грандову) обеспечить в 1982 году оказание методической помощи по нормированию скоростей движения трамвайных вагонов и троллейбусов десяти трамвайным и троллейбусным предприятиям.

4. Академии коммунального хозяйства (т. Тарнижевскому) в четвертом квартале 1981 года размножить Рекомендации в количестве 700 экземпляров и разослать по разнарядке Главного управления городского электротранспорта.

5. Контроль за исполнением настоящего приказа возложить на Главное управление городского электротранспорта (т. Власова).

Министр                                                                                С.М. Бутусов

Текст приводится в соответствии с источником

Содержание

1. Общие положения

2. Исходные данные для расчета времени рейса

3. Расчет суммарных затрат времени tдв на движение по маршруту

4. Разметка маршрута в натурных условиях в соответствии с расчетным режимом движения

5. Расчет суммарных затрат времени на стоянку на остановочных пунктах

6. Расчет затрат времени на задержки на регулируемых пересечениях

7. Расчет затрат времени на случайные задержки

8. Расчет времени рейса и скорости сообщения

9. Пример расчета времени рейса

10. Экспериментальная проверка выполненных расчетов

1. Общие положения

1.1. Нормирование скорости сообщения на маршрутах осуществляется с целью сокращения времени поездки пассажиров, увеличения регулярности движения, улучшения экономических показателей транспортных предприятий и экономии расхода электроэнергии.

1.2. Нормирование скорости сообщения выполняется на основе рациональных режимов ведения, с учетом условий движения на маршруте, наличия случайных задержек в процессе движения, необходимости соблюдения регулярности движения в установленных пределах.

1.3. В "Рекомендациях" изложен расчетный способ нормирования скоростей сообщения, разработанный Академией коммунального хозяйства им. К.Д. Памфилова на основе моделирования с применением ЭВМ движения трамвая и троллейбуса по маршрутам с учетом результатов экспериментальных исследований на всех участках маршрутов, включая регулируемые пересечения и остановочные пункты.

1.4. Данные рекомендации включают в себя как составную часть расчеты, выполняемые при разработке карт вождения согласно "Рекомендациям по составлению карт вождения трамвайных вагонов и троллейбусов".

1.5. В целях сокращения трудоемкости расчетов в "Рекомендациях" применен упрощенный, графоаналитический метод нормирования скорости движения с использованием таблиц, номограмм и графиков, который позволяет сократить время на выполнение вычислений.

1.6. Изложенная в "Рекомендациях" методика может быть использована для нормирования времени движения, расчета резервов сокращения времени поездки и обоснования мероприятий по увеличению скоростей движения трамвайных вагонов и троллейбусов.

2. Исходные данные для расчета времени рейса

2.1. Расчет времени рейса осуществляется по каждому маршруту по двум направлениям движения.

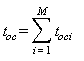
2.2. Время рейса складывается из следующих составляющих:

,

где T - полное время движения по маршруту от начального до конечного пункта;

tдв - суммарные по маршруту затраты времени на движение по перегонам;

tос - суммарные по маршруту затраты времени на стоянку на остановочных пунктах;

tрп - суммарные по маршруту затраты времени на задержки у регулируемых пересечений;

tсл - суммарные по маршруту затраты времени на случайные задержки.

Каждое из слагаемых указанной формулы, в свою очередь, представляет собой сумму соответствующих затрат времени по перегонам.

2.3. При расчете времени движения tдв учитываются: тип и загрузка подвижного состава, расстояние между остановочными пунктами, спецчастями пути и контактной сети, светофорами, интенсивность движения попутного транспорта на перегоне, наличие пересечений в одном уровне, план и профиль пути, наличие знаков ограничения скорости, состояние дорожного и путевого полотна и другие стационарные причины ограничения скорости.

2.4. При расчете времени стоянки на остановочных пунктах tос учитываются время подготовки к открытию и закрыванию дверей и время, затрачиваемое на вход и выход пассажиров. Время стоянки зависит от типа подвижного состава, его наполнения и пассажирооборота каждого остановочного пункта.

2.5. Время на задержки у регулируемого пересечения tрп зависит от продолжительности цикла светофорного регулирования и соотношения красной и зеленой фаз в цикле.

2.6. Затраты времени на случайные задержки tсл включают в себя случайные задержки в движении, отклонения от средних значений при посадке и высадке пассажиров, при остановках на регулируемом пересечении и другие формы случайных отклонений. Время, задаваемое на компенсацию случайных задержек, зависит от наполнения транспортной единицы, протяженности маршрута и интенсивности движения маршрутизированного транспорта.

2.7. Исходными данными для расчета времени рейса являются:

- общая длина маршрута;

- количество остановочных пунктов и расстояния между ними;

- наличие регулируемых и нерегулируемых пересечений и их расстояния от остановочных пунктов;

- расстояния спецчастей контактной сети и трамвайного пути;

- расстояния знаков ограничения скорости движения по дорожным условиям от остановочных пунктов;

- план и профиль пути;

- продолжительность цикла светофорного регулирования и соотношение фаз в цикле по каждому регулируемому пересечению;

- тип эксплуатируемого на маршруте подвижного состава;

- наполнение подвижного состава;

- интенсивность движения маршрутизированного транспорта по участкам маршрута;

- суммарная интенсивность движения всех видов транспорта по участкам маршрута;

- интервал движения на маршруте;

- пассажирооборот остановочных пунктов.

3. Расчет суммарных затрат времени tдв на движение по маршруту

3.1. Расчет суммарных затрат времени (tдв) на движение по перегонам осуществляется в несколько этапов:

- весь маршрут рассматривается состоящим из отдельных перегонов (между остановочными пунктами); каждый перегон разбивается на отдельные участки в соответствии с расположением на нем пунктов ограничения скорости движения по любым причинам;

- в зависимости от протяженности участков, на которые разбиваются перегоны, выбирается рациональный режим ведения по каждому участку и затем перегону;

- при выбранном на перегоне рациональном режиме ведения определяется время движения на каждом из них; при расчете времени движения учитываются, кроме длины перегона и отдельных его участков, также качество дорожного покрытия, план и профиль пути и загрузка ПЕ;

- суммарные затраты времени на движение (tдв) по маршруту в целом рассчитываются суммированием времени движения по каждому перегону.

Ниже дан порядок выполнения расчетов по каждому этапу.

3.2. Разбиение перегона на участки.

3.2.1. При наличии на перегоне участков с ограниченной скоростью движения или пунктов ограничения скорости* перегон разбивается на отдельные участки пути.

Пример 1. На перегоне длиной 400 м имеет место ограничение скорости до 15 км/ч на расстоянии 150 м, причем начало участка ограничения скорости находится на расстоянии 100 м от остановочного пункта отправления. Тогда весь перегон разбиваем на три участка: 100 м - без ограничения скорости 150 м - с ограничением скорости до 15 км/ч и 150 м - без ограничения скорости.

3.2.2. Для каждого участка и перегона в целом определяется рациональный режим движения.

3.3. Выбор рационального режима движения на перегоне.

3.3.1. Выбор режима движения подвижной единицы жестко связан с условиями дорожного движения: длиной перегона, наличием участков и пунктов ограничения скорости. Поэтому рациональный режим движения следует понимать как наилучший в заданных конкретных условиях. Условия могут быть такими, что режим движения не будет рациональным в строгом значении этого слова.

3.3.2. Основным критерием правильного режима ведения в заданных условиях является выбор рациональной скорости разгона Vр, до которой целесообразно разгонять подвижную единицу к началу участка выбега.

Выбор из всех возможных рациональной скорости разгона к началу выбега рекомендуется ввиду того, что она обеспечивает наиболее экономичный режим ведения, минимальное количество пусков на перегоне.

3.3.3. Для перегона или отдельного его участка любой длины можно указать максимально возможную скорость разгона Vmax (рис. 1), при которой режим движения складывается только из участков разгона и торможения. При этом достигается минимальное время хода на перегоне, но за счет большего расхода энергии. Не следует допускать такого режима движения.

Рис. 1. Зависимость скорости разгона от длины перегона:

Vmax - максимально возможная скорость разгона к началу выбега;

Vр - рациональная скорость разгона к началу выбега;

Vmin - минимальная скорость разгона к началу выбега;

3.3.4. Для перегона любой длины можно указать минимальную скорость разгона Vmin (рис. 1), при которой с увеличением времени хода по перегону увеличивается и расход электроэнергии.

Не следует допускать такого режима движения.

3.3.5. Величину рациональной скорости разгона для любой возможной длины перегона или отдельного его участка можно определить по кривой Vр (рис. 1). Каждой длине перегона (горизонтальная ось) соответствует точка кривой Vр, которая определяет соответствующее значение рациональной скорости (вертикальная ось) на данном перегоне.

3.3.6. Режим движения, при котором на участке пути длиной li выбрана скорость разгона Vр, обеспечит минимальное время хода по перегону при рациональном расходовании электроэнергии на движение.

3.3.7. Рациональный режим движения для перегона, применительно к данной методике расчета, складывается из нахождения по графику Vр (рис. 1) скорости разгона, соответствующей заданным длинам участков li, из которых состоит перегон. Например, для перегона длиной 400 м при отсутствии участков или пунктов ограничения скорости рациональный режим движения согласно кривой Vр рис. 1 будет определяться скоростью разгона 47 км/ч. При разбиении этого перегона на участках 150, 100, 150 метров рациональный режим движения определяется скоростями к началу выбега соответственно 28, 22, 28 км/ч.

3.3.8. Если рациональная скорость разгона, устанавливаемая по рис. 1, превышает допустимую по дорожным условиям скорость движения на участке, то Vр должна быть приравнена к допустимой скорости движения. В этом случае режим движения будет определяться не рациональными, а вынужденными скоростями движения.

Пример 2. Для условий примера 1 найти рациональный режим движения. На участках длиной 150 м Vр=28 км/ч, однако на первом из них по дорожным условиям скорость ограничена до 15 км/ч, поэтому принимаем Vр = 15 км/ч. Отсюда режим движения по данному перегону длиной 400 м складывается: разгон до 22 км/ч, выбег к концу участка длиной 100 м, снижение скорости до 15 км/ч и поддержание скорости на этом уровне на протяжении 150 м, затем разгон до скорости 28 км/ч, выбег и торможение к остановочному пункту.

3.4. Расчет времени движения по перегону.

3.4.1. После разбиения перегона на отдельные участки пути выполняется следующий этап расчета - определение времени движения по каждому участку пути. Расчет этот ведется графоаналитическим методом: в зависимости от длины участка l и найденного значения скорости разгона Vр по графическим зависимостям рис. 2 для трамвайных вагонов и рис. 3 для троллейбусов устанавливается время движения tx.

Рис. 2. Зависимость времени хода трамвая от длины перегона при различных Vр км/ч

Рис. 3. Зависимость времени хода троллейбуса от длины перегона при различных значениях Vр км/ч

Пример 3. Найти расчетные время движения трамвая КТМ-5 по перегону длиной 500 м при отсутствии ограничения скорости.

По графику рис. 1 устанавливается рациональная скорость разгона для перегона длиной 500 м - Vр = 50 км/ч. По графику рис. 2 для этой рациональной скорости разгона и длины перегона l = 500 м устанавливаем расчетное время движения tx = 48 с.

3.4.2. Расчетное время tx, определяемое по графикам рис. 2 и рис. 3, установлено исходя из следующих условий:

- предполагается на каждом участке маршрута разгон до скорости Vр выполняется с места с дальнейшим выбегом и торможением до полной остановки;

- движение осуществляется по прямому участку пути без подъема и уклона;

- расчетная загрузка определена исходя из всех занятых мест для сидения и количества стоящих пассажиров 8 чел. на 1 м2 свободной площади пола;

- скорость разгона не менее 15 км/ч;

- движение осуществляется без помех, создаваемых попутным транспортом;

- дорожное полотно (путь) удовлетворительного качества, сухое.

Ниже описаны методы учета отклонений от перечисленных условий.

3.4.3. Учет того, что на стыке двух участков не происходит полной остановки ПЕ, а только частичное снижение или увеличение скорости движения, производится с помощью введения поправки tэк по графическим зависимостям (рис. 4). При изменении скорости движения с меньшей на большую и наоборот поправка берется от меньшей из них до нуля.

Рис. 4. Графические зависимости для определения задержек времени движения на разгон и торможение

Например, на стыке участков допустимая скорость движения троллейбуса должна быть снижена с 50 км/ч до 20 км/ч. При расчете времени tx скорость движения в конце участка предполагается равной нулю (остановка).

Фактически скорость движения снижается не до 0, а до 20 км/ч. Поправка tэк берется от 20 км/ч до нуля и определяется по рис. 4, б следующим образом:

Находим на оси абсцисс точку, соответствующую скорости 20 км/ч, и по кривой графика движемся до пересечения этой линии с осью ординат. Эта точка определяет значение поправки tэк ≈ 10 сек. Поправка tэк вычитается из расчетного времени tx.

Пример 4. Рассчитать время движения троллейбуса по перегону длиной 400 м при наличии ограничения скорости 20 км/ч на расстоянии 150 м от пункта отправления. Перегон следует рассматривать состоящим из двух участков пути - 150 и 250 м, и на стыке между ними скорость движения должна быть не более 20 км/ч. По рис. 1 и 3, при l1 = 150 м Vр = 28 км/ч и tx = 26 с; при l2 = 250 м Vр = 38 км/ч и tx = 31 с.

При расчете движения по каждому участку предполагалось снижение скорости на стыке между участками до 0. Фактически снижение скорости осуществляется до 20 км/ч. Поэтому определяем по рис. 4, б поправку времени на разгон и торможение от 20 км/ч до 0. Это время равно 10 с.

Общее время движения по рассматриваемому перегону равно:

26 + 31 - 10 = 47 с.

3.4.4. Учет профиля пути при расчете времени движения по участку.

Поправку на учет профиля пути и загрузку вагона при перегонах протяженностью до 400 м можно не вводить.

Для учета профиля участка пути необходимо определить эквивалентный подъем (уклон) в тысячных долях по формуле:

,

где l - длина участка пути, на котором имеет место n-й уклон (подъем);

in - величина уклона в тысячных долях;

ln - длина уклона.

Величине iэкв присваивается знак плюс при движении на спуске и знак минус - при движении на подъеме.

Расчет времени хода с учетом эквивалентного уклона (подъема) на участке пути выполняется по формуле:

,

где Кi - поправочный коэффициент.

Величина Кi берется по графику рис. 5 в зависимости от длины li и скорости разгона к началу выбега.

Рис. 5. Значение поправочного коэффициента для учета профиля пути;

а - трамвай; б - троллейбус.

3.4.5. Учет загрузки ПЕ пассажирами при расчете времени движения по участку пути**.

Установить загрузку вагона Р в долях по отношению к расчетной. Расчетная загрузка определена из условия наполнения 8 чел/м2.

Пример 5. Установить загрузку троллейбуса ЗиУ-9 в долях по отношению к расчетной при наполнении салона 4 чел/м2 свободной площади пола. Загрузка при наполнении салона ЗиУ-9 8 чел/м2 равна 115 чел. Загрузка при наполнении 4 чел/м2 равна 72 чел. Расчетная загрузка в долях:

.

Примечание: Для упрощения расчетов величину Р можно принимать равной 0 - при порожнем вагоне, 0,2 - при занятых местах для сидения, 0,4 - при наполнении 2 чел/м2, 0,6 - при наполнении 4 чел/м2, 1,0 - при наполнении 8 чел/м2.

Поправка от величины загрузки вагона при определении времени хода выполняется по формуле Δt(1-p), где значение поправки Δt на задержку времени при изменении загрузки вагона определяется по рис. 6 в зависимости от расчетной скорости разгона на перегоне и длины перегона. Значение поправки вычитается из величины расчетного времени движения tx.

Рис. 6. Значение поправки на задержку времени при изменении загрузки вагона

Пример 6. Рассчитать время хода трамвая КТМ-5М при движении по участку пути длиной l = 400 м с подъемом 15_ на длине 300 м и отсутствии ограничения скорости для расчетной загрузки вагона 4 чел/м2. Рациональную скорость разгона 45 км/ч устанавливаем по графику рис. 1 для перегона 400 м. Время хода по участку при наполнении салона 8 чел/м2 (Р=1) определяем по графику рис. 2 - tx = 50 с. и Δt = 3 с по графику рис. 4. Определяем эквивалентный подъем:

tэкв=15×300:400≈11%.

Определяем значение поправочного коэффициента по графику рис. 5: Кi = 0,0014. Рассчитываем ходовое время по формуле:

,

3.4.6. Как указано в п. 3.4.2, для участков пути, на которых скорость движения ограничена величиной 15 км/ч и менее, графики рис. 2 и рис. 3 для определения времени хода неприменимы. В этом случае расчетная ходовая скорость устанавливается по формуле Vx = 0,7 Vp где Vp не более 15 км/ч.

Время движения для этого участка определяется по формуле:

, с.

Пример 7. Найти расчетное время хода трамвая КТМ-5М на участке длиной 150 м при ограничении скорости 10 км/ч. Расчетная ходовая скорость движения по участку равна Vx = 0,7×10 = 7 км/ч. Время хода по участку: tx = 150×3,6 : 7 = 77 с.

3.4.7. Учет помех движения, создаваемых попутным транспортным потоком, при большой интенсивности которого скорость движения троллейбуса может быть ограничена. Ограничение скорости в зависимости от интенсивности транспортного потока может быть определена по формуле:

,

где Vогр - скорость движения троллейбуса при учете влияния транспортного потока, км/ч;

N - интенсивность движения транспортного потока на одну полосу движения, автомобили/час.

Если расчетная скорость движения Vp устанавливаемая при выборе рационального режима ведения, превышает скорость Vогр, то в расчетах времени движения tx необходимо принять Vp = Vогр, тем самым будет учтено влияние интенсивности транспортного потока.

Пример 8. Рассчитать время движения троллейбуса на перегоне длиной 350 м при интенсивности движения 800 авт/час на одну полосу.

Если не учитывать влияние интенсивности движения, то по графику рис. 1 устанавливаем Vp = 45 км/ч и по 3tx≈38 сек.

При учете интенсивности транспортного потока вычисляется скорость ограничения

,

тогда принимаем Vp = 35 км/ч, откуда из графиков рис. 3 устанавливаем tx≈47 сек. Таким образом, за счет влияния транспортного потока на данном перегоне теряется 9 сек. времени на движение.

3.4.8. Учет влияния погодных и дорожных условий. Изменение погодных или дорожных условий может быть учтено введением частичных (на отдельных участках пути) или по всему маршруту ограничений скорости. При этом при выборе режима движения скорость разгона Vp не должна превышать вводимой скорости ограничения. Например, в условиях плохой видимости скорость движения по всему маршруту ограничена 40 км/ч. Тогда на всех участках при определении времени движения скорость Vp не должна превышать 40 км/ч. Соответственно изменится время движения по всему маршруту.

3.4.9. Затраты времени на движение по маршруту tдв определяются суммированием времени движения по каждому перегону:

,

где i - номер перегона;

txi - время движения на i-ом перегоне, с.

M - количество остановочных пунктов на маршруте.

4. Разметка маршрута в натурных условиях в соответствии с расчетным режимом движения

В некоторых случаях для облегчения водителям соблюдения выбранного режима движения целесообразно размечать маршрут. Разметка заключается в вывешивании в определенных точках маршрута знаков начала пуска и начала выбега. Знаки начала пуска вывешиваются только в переломных точках перегона, там, где должно происходить увеличение скорости движения. Знаки начала выбега вывешиваются на определенном расстоянии от знаков начала пуска в зависимости от скорости разгона, устанавливаемой в соответствии с заданным режимом движения. Это расстояние в м, может быть определено из графиков рис. 7.

Рис. 7. Характеристика разгона

а) - трамвая и б) - троллейбуса

Для этого в соответствии с рассчитанным режимом движения на оси ординат находится скорость движения в начале и конце участка разгона. На оси абсцисс находятся соответствующие точки, определяющие длину пути, который будет пройден при этом, и соответственно место установки знаков.

Например, установить место установки знака начала выбега троллейбуса при движении от остановочного пункта и при скорости разгона к началу выбега 45 км/ч. По графику рис. 7, б находим, что при разгоне троллейбуса от 0 до 45 км/ч должен быть пройден путь 120 м. Соответственно на расстоянии 120 м от остановочного пункта вывешивается знак начала выбега.

5. Расчет суммарных затрат времени на стоянку на остановочных пунктах

5.1. Затраты времени на стоянку на остановочном пункте складываются из:

- времени подготовки и завершения обслуживания, затрачиваемого на открытие и закрывание дверей и подготовку пассажиров к выходу и посадке;

- времени обслуживания, затрачиваемого на вход и выход пассажиров.

Ожидание освобождения остановочного пункта от предыдущей транспортной единицы входит в случайные помехи, время на которое рассчитывается в разделе 7.

5.2. Время подготовки обслуживания tоб.п принимается величиной постоянной для всех типов подвижного состава и равно 6 с.

5.3. Расчет времени, необходимого на стоянку, проведем на примере одного из маршрутов. Исходные данные и рассчитываемые параметры представлены в табл. 1.

Таблица 1

Затраты времени на остановочных пунктах

№ остановочного пункта

\

рассчитываемые параметры

1

2

3

4

5

6

7

8

9

10

11

Входящие Вi, [чел.]

350

114

312

197

154

402

242

114

135

175

182

Выходящие Ci, [чел.]

0

4

29

43

59

345

85

69

63

202

185

пассажиропоток Аi

350

460

743

897

998

1055

1212

1257

1329

1302

1299

наполнение m =(Аi/tобсл)I

25,6

33,58

54,24

65,48

72,85

77,02

88,48

91,76

97,02

95,05

94,83

t1, [с]

1,66

1,74

1,94

2,05

2,13

2,17

2,28

2,32

2,37

2,35

2,35

t2, [с]

1,5

1,57

1,73

1,82

1,88

1,92

2,0

2,03

2,08

2,06

2,06

25,67

8,34

22,88

14,45

11,29

29,42

17,75

8,36

9,89

12,83

13,34

0

0,29

2,13

3,15

3,89

25,3

6,23

5,06

4,62

14,81

13,56

t1i = n1 t1

42,61

24,51

44,39

29,62

24,03

63,84

40,47

19,4

23,44

30,15

31,35

T2i = n2 t2

0

0,46

3,68

5,73

7,31

46,58

12,46

10,27

9,61

30,51

27,93

η

1,77

1,03

1,74

1,38

1,38

3,02

1,69

1,24

1,29

1,85

1,82

toci

30,73

20,53

33,63

31,62

28,72

43,23

37,32

29,03

31,62

38,79

38,57

 

№ остановочного пункта

\

рассчитываемые параметры

12

13

14

15

16

17

18

19

20

21

Входящие Вi , [чел.]

239

83

64

77

19

39

54

18

1

0

Выходящие Ci, [чел.]

246

272

399

109

44

192

220

213

48

151

пассажиропоток Аi

1292

1103

768

736

711

558

392

197

150

227

наполнение m =(Аi/tобсл)I

94,32

80,52

56,06

53,73

51,9

40,73

28,62

14,38

10,95

16,57

t1, [с]

2,34

2,21

1,96

1,94

1,92

1,81

1,69

1,54

1,51

1,57

t2, [с]

2,06

1,94

1,75

1,73

1,71

1,63

1,53

1,42

1,39

1,43

17,52

6,08

4,69

5,64

1,39

2,86

3,96

1,32

0,07

16,71

18,03

19,94

29,24

8,0

3,22

14,07

16,13

15,61

3,52

11,07

t1i = n1 t1

41

13,44

9,19

10,94

2,67

5,18

6,69

2,03

0,11

26,23

T2i = n2 t2

37,14

38,68

51,17

13,84

5,51

22,93

24,68

22,17

4,89

15,83

η

2,62

1,78

2,12

1,25

0,86

1,39

1,53

1,39

0,82

1,86

toci

35,82

35,28

34,47

25,82

21,51

26,22

26,5

23,41

12,12

28,61

5.3.1. Исходными параметрами, помещенными в первых двух графах таблицы, являются данные о количестве входящих в транспортные единицы данного маршрута Вi и выходящих Ci из них пассажиров за время обследования tобсл на каждом остановочном пункте. Время обследования tобсл должно быть не менее 1 часа.

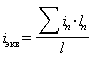
5.3.2. К расчетным параметрам относится пассажиропоток Аi, осваиваемый данным маршрутом от i-той остановки к следующей (третья графа), вычисляемый по формуле:

,

где Аi-1 - пассажиропоток к предыдущей остановке;

А1 = В1 - пассажиропоток на первой остановке равен количеству вошедших на этой остановке пассажиров;

Вi - количество пассажиров, вошедших на i-той остановке;

Ci - количество пассажиров, вышедших на i-ой остановке.

5.3.3. Расчетный параметр m - наполнение, помещенный в четвертой графе таблицы вычисляется по формуле:

,

где I - расчетный интервал движения ПЕ.

Среднее время на посадку t1, среднее время на высадку t2 одного пассажира (пятая и шестая графы) рассчитываются по формулам:

5.3.4. В седьмой и восьмой графах таблицы соответственно приведены средние количества входящих n1 и выходящих n2 пассажиров из одной ПЕ, вычисляемые по формулам:

5.3.5. Суммарное время посадки t1i и высадки t2i на данной остановке (девятая и десятая графы таблицы) вычисляются по формулам:

5.3.6. Коэффициент η, зависящий от типа и наполнения ПЕ, помещенный в одиннадцатой строке, вычисляется по формуле:

 - трамвай

 - троллейбус

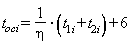
5.3.7. Расчетное время стоянки на каждом остановочном пункте (двенадцатая графа), включающее время посадки и высадки и подготовки к обслуживанию, вычисляется по формуле:

5.4. Время стоянок на всех остановочных пунктах маршрута в целом определяется суммированием tосi по всем остановочным пунктам маршрута (М).

6. Расчет затрат времени на задержки на регулируемых пересечениях

6.1. Время задержки на i-ом регулируемом пересечении определяется по формуле:

,

где Тц - полная продолжительность цикла светофорного регулирования, с;

Ткр - продолжительность красной фазы в цикле светофорного регулирования, с.

6.2. Время задержки по маршруту в целом определяется суммированием tрпi по всем i = Р регулируемым пересечениям

7. Расчет затрат времени на случайные задержки

7.1. Затраты времени на случайные задержки при движении зависят от протяженности и сложности маршрута, интервала движения на маршруте с учетом участков наложения других маршрутов, а также от среднего расчетного наполнения на маршруте.

7.2. Нормируемые затраты времени на случайные задержки устанавливаются для каждого перегона в зависимости от количества остановочных пунктов М на маршруте и интервала движения по графическим зависимостям для межпикового (рис. 8) или пикового (рис. 9) периода времени IΣ.

Рис. 8. Зависимости для определения дополнительных затрат времени требуемых на обеспечение регулярности давления

Рис. 9. Зависимости для определения дополнительных затрат времени требуемых на обеспечение регулярности движения.

7.3. Для перегонов с одним и тем же значением интервала IΣ затраты времени на случайные задержки, определенные по указанным рис. 8 и рис. 9, будут одинаковы.

Общее время на случайные задержки на маршруте определяется суммированием задержек по каждому перегону.

7.4. Интервал движения на данном участке необходимо определять с учетом совмещения всех маршрутов данного вида транспорта.

Интервал движения на совмещенном участке IΣ определяется по формуле:

,

где I1, I2, ... In - интервалы движения на каждом из n маршрутов, проходящих по рассматриваемому участку маршрутной сети, мин.

8. Расчет времени рейса и скорости сообщения

8.1. Суммарные затраты времени на движение по маршруту до конца или до любого контрольного пункта с учетом времени стоянок на остановочных пунктах определяются по формуле:

,

8.2. Скорость сообщения на маршруте определяется по формуле:

,

где L - протяженность маршрута,

T - суммарные затраты времени на маршруте.

9. Пример расчета времени рейса

Согласно излагаемой методике время рейса T складывается из составляющих времени движения tдв, времени стоянки на остановочных пунктах tос, времени задержки у регулируемых пересечений tрп и время на случайные задержки tсл.

.

9.1. Затраты времени на движение.

Затраты времени на движение определяются в процессе составления карт вождения согласно "Рекомендациям по составлению карт вождения трамвайных вагонов и троллейбусов" или в соответствии с разделом 3 данной методики. Подробно пример расчета времени движения для одного из маршрутов троллейбуса приведен в "Рекомендациях по составлению карт вождения". Воспользуемся данными полученными в "Рекомендациях", с тем, чтобы не повторять весь процесс расчета. Для целей нормирования времени движения из карт вождения выбираются данные, представленные в табл. 2.

Рассматриваемый маршрут имеет 21 остановочный пункт и 20 перегонов. Для каждого перегона определяется расчетное время движения. Протяженность маршрута в одном направлении 10,8 км.

Расчетное время движения в одном направлении 1259 сек., ходовая скорость движения 30,9 км/ч.

Таблица 2

Время движения по перегонам

Наименование остановочного пункта

Расстояние между остановочными пунктами, м

Время движения, сек.

1. Ф-ка "Знамя труда"

-

-

2. Школа

400

64

3. К/т им. Ленина

600

64

4. Техникум

500

71

5. Ул. Комсомольская

400

43

6. Пл. Советская

400

43

7. Пл. Революции

600

68

8. К/т "Дружба"

600

71

9. Дом Союзов

400

56

10. Универмаг

300

33

11. Пл. Конституции

700

110

12. Ул. Привокзальная

770

91

13. К/т "Россия"

600

53

14. Швейная ф-ка

300

33

15. Черноречье

500

71

16. Ул. Октябрьская

400

64

17. Ст. техобслуживания

1100

125

18. ГПТУ

500

58

19. Туб. диспансер

800

95

20. Ул. Центральная

400

43

21. Пос. Октябрьский

300

33

9.2. Затраты времени на остановочных пунктах.

Затраты времени на стоянку на каждом остановочном пункте выполняются согласно разделу 5 данной методики. Исходными данными для расчета являются количество входящих и выходящих пассажиров на каждом остановочном пункте. На рассматриваемом маршруте обследования пассажирооборота на остановочных пунктах проводились в течение 80 мин. Результаты расчетов времени задержек на каждом остановочном пункте для рассматриваемого маршрута приведены в таблице 1.

9.3. Расчет времени задержки на регулируемых пересечениях.

Для расчета времени задержки на регулируемом пересечении необходимо знать место расположения светофора, полную продолжительность цикла светофорного регулирования и продолжительность красной фазы.

Расчет времени задержки выполняется по формуле:

Результаты обследований длительности фаз циклов работы светофоров на маршруте и расчета времени задержек приведены в табл. 3.

Таблица 3

Расчет времени задержек на регулируемых пересечениях

Место расположения

Продолжительность цикла TЦ, с

Продолжительность красной фазы Ткр, с

Время задержки tрп, с

1

2

3

4

1. Пл. Советская

64

28

13

2. К-т "Дружба" Дом Союзов

40

13

5

3. Дом Союзов Универмаг

40

13

5

4. Универмаг

Пл. Конституции

51

40

19

20

8

10

5. Пл. Конституции Привокзальная

52

25

12

6. Привокзальная К/т "Россия"

51

15

5

7. Черноречье Ул. Октябрьская

50

25

12

8. Ст. Техобслуживания ГПТУ

35

20

11

9.4. Затраты времени на случайные задержки.

Для расчета затрат времени на случайные задержки необходимо знать протяженность маршрута (количество остановочных пунктов), интервал движения с учетом наложения других маршрутов, а также для какого периода времени (пикового или межпикового) осуществляется нормирование задержек.

Для рассматриваемого случая протяженность маршрута в одном направлении равна 10,8 км, количество остановок 20.

Интервалы движения с учетом совмещения маршрутов даны в таблице 4.

Таблица 4

Участок маршрута

Интервал движения

Задержка

1. Ф-ка "Знамя Труда" Ул. Комсомольская

0,46 мин.

18 с.

2. Ул. Комсомольская Дом Союзов

1,14 мин.

15 с.

3. Дом Союзов -Ул. Привокзальная

1,3 мин.

14 с.

4. Ул. Привокзальная Черноречье

2 мин.

10 с.

5. Черноречье -пос. Октябрьский

3,4 мин.

5 с.

Время задержки установлено по графику рис. 7 для межпикового периода. Время задержки относится к каждому остановочному пункту на данном участке маршрута.

9.5. Суммарное время движения по маршруту.

Время движения ТЕ по маршруту в целом складывается из времени нахождения ТЕ на каждом перегоне, которое в свою очередь состоит из времени движения, времени стоянки на остановочном пункте, времени задержки на пересечении и времени случайной задержки. Все расчетные значения этих параметров для рассматриваемого маршрута приведены в табл. 5.

Таблица 5

Расчетные значения времени нахождения ТЕ на маршруте

№ ост пункта

Наименов. ост. пункта

Движения

Стоянка на ост. пунктах

Задержки на пересечении

Случайная задержка

Сумма

1

2

3

4

5

6

7

1.

Ф-ка "Знамя Труда"

-

30

-

-

30

2.

Школа

64

20

-

18

102

3.

К/т им. Ленина

64

34

-

18

116

4.

Техникум

71

31

-

18

120

5.

Ул. Комсомольская

43

29

-

18

90

6.

Пл. Революции

68

43

13

15

139

7.

Пл. Советская

43

37

-

15

95

8.

К/т "Дружба"

71

30

5

15

121

9.

Дом Союзов

56

38

5

14

113

10.

Универмаг

33

38

18

14

103

11.

Пл. Конституции

110

35

12

14

171

12.

Ул. Привокзальная

91

35

5

10

141

13.

К/т "Россия"

53

34

-

10

97

14.

Швейная ф-ка

33

34

-

10

78

15.

Черноречье

71

25

12

5

113

16.

Ул. Октябрьская

64

21

-

5

90

17.

Ст. Техобслуживания

125

26

11

5

167

18.

ГПТУ

58

26

-

5

89

19.

Туб. диспансер

95

23

2

5

123

20.

Ул. Центральная

43

12

-

5

63

21.

Пос. Октябрьский

33

28

-

5

66

На основании данных табл. 5 определяется время прохождения промежуточных и конечных контрольных пунктов маршрута.

1 Ф-ка "Знамя Труда"                     - 0

2 Ул. Комсомольская                    - 6 мин.

3 Универмаг                                   - 15 мин.

4 Ул. Привокзальная                     - 20 мин.

5 Черноречье                                  - 25 мин.

6 Пос. Октябрьский                       - 37 мин.

Полное время движения по маршруту равно 37 мин. Скорость сообщения:  км/ч.

10. Экспериментальная проверка выполненных расчетов

По окончании расчетов времени рейса целесообразно сделать контрольные поездки по маршруту.

Контрольные поездки выполняются, во-первых, с целью проверки не допущены ли грубые ошибки при подготовке исходных данных и в процессе проведения расчетов и, во-вторых, с целью подтверждения наличия или отсутствия резерва времени по сравнению с существующими условиями движения.

Для экспериментальной проверки выполненных расчетов достаточно осуществить три контрольных поездки. При контрольных поездках регистрируется время на движение, по каждому перегону, время на стоянку на остановочных пунктах, время задержки на регулируемых пересечениях. По сравнению с расчетными методами при контрольных поездках не может быть замерено время на случайные задержки. Это время может быть затрачено как на стоянку, так и на движение.

Контроль правильности расчета ведется по каждому перегону. При этом по результатам контрольных поездок определяется минимальное и максимальное время, затрачиваемое на каждый перегон. Расчетное суммарное время движения и стоянки по каждому перегону, как правило, должно попадать в этот диапазон. При наличии существенных отклонений между экспериментальными и расчетными значениями по каким-либо перегонам по ним должен быть проведен дополнительный анализ причин отклонения.

Для рассмотренного в разделе 9 маршрута, для которого был выполнен расчет затрат времени, были проведены контрольные поездки. Сравнительные результаты приведены в таблице 6.

Таблица 6

Сравнение расчетных и экспериментальных затрат времени движения на перегонах

№ перегона

Расчетное время

Фактическое время

Минимальное - максимальное

1.

102

90

110

2.

116

117

125

3.

120

105

110

4.

90

83

135

5.

139

90

95

6.

95

110

115

7.

121

100

115

8.

113

85

125

9.

103

80

125

10.

171

100

160

11.

141

123

140

12.

97

75

100

13.

78

70

73

14.

113

100

120

15.

90

95

125

16.

167

105

143

17.

89

95

100

18.

123

105

138

19.

63

85

105

20.

66

75

75

Анализ представленных в табл. 6 данных показывает, что на участках маршрута, обозначенных номерами 5, 6, 10, 16, 17, 19, 20, имеет место расхождение между расчетным и фактическим временем движения. Особенно следует обратить внимание на участки, где расчетное время превышает фактическое. В нашем примере это участки 5, 10, 16. Как правило, превышение расчетного времени над фактическим свидетельствует о том, что в расчеты были включены ограничения скорости на соответствующих участках пути, которые фактически не действуют или не соблюдаются. В первом случае следует ввести уточнения в расчеты, во втором - провести соответствующую работу с водителями. Для приведенного примера оказалось, что на участках 5 и 16 в расчетах были учтены уже не действующие ограничения скорости, а на участке 10 не соблюдались действующие нормы ограничения скорости. Для перегонов 5 и 16 были внесены изменения в исходные данные и повторно выполнены расчеты времени движения: для перегона 5 - 90 сек., для перегона - 16 - 131 сек.

Что касается перегонов 10, 16, 17, 19, 20, то повторная проверка подтвердила правильность расчетов. Время движения на этих перегонах может быть уменьшено по сравнению с фактическим.

Полное время движения по маршруту (в одном направлении) согласно расписанию равно 40 мин. с раскладкой по контрольным пунктам:

1. Ф-ка "Знамя труда"                    - 0

2. Ул. Комсомольская                   - 8 мин.

3. Универмаг                                  - 16 мин.

4. Ул. Привокзальная                    - 22 мин.

5. Черноречье                                 - 28 мин.

6. Пос. Октябрьский                      - 40 мин.

Согласно приведенным расчетам время движения может быть сокращено в межпиковый период до 37 мин. соответственно с раскладкой по контрольным пунктам 0 - 7 - 16 - 22 - 26 - 37 мин.

Ходовая скорость движения при этом увеличивается с 16,2 до 17,5 км/ч. Дальнейшее увеличение скорости движения может быть достигнуто только за счет проведения комплекса организационно технических мероприятий, направленных на снятие ограничений скоростей движения по участкам. Приведенная методика позволяет путем выполнения соответствующих расчетов оценить любое мероприятие как с точки зрения влияния на скорость движения, так и на расход электроэнергии.

______________________________

* Пунктом ограничения скорости называем участок длиной не более 50 м, на всей длине или в любой точке которого необходимо ограничение скорости.

** Выполняется только для троллейбусов.

 

 




ГОСТЫ, СТРОИТЕЛЬНЫЕ и ТЕХНИЧЕСКИЕ НОРМАТИВЫ.
Некоммерческая онлайн система, содержащая все Российские Госты, национальные Стандарты и нормативы.
В Системе содержится более 150000 файлов нормативно-технической документации, действующей на территории РФ.
Система предназначена для широкого круга инженерно-технических специалистов.

Рейтинг@Mail.ru Яндекс цитирования

Copyright © www.gostrf.com, 2008 - 2026