Крупнейшая бесплатная информационно-справочная система онлайн доступа к полному собранию технических нормативно-правовых актов РФ. Огромная база технических нормативов (более 150 тысяч документов) и полное собрание национальных стандартов, аутентичное официальной базе Госстандарта. GOSTRF.com - это более 1 Терабайта бесплатной технической информации для всех пользователей интернета. Все электронные копии представленных здесь документов могут распространяться без каких-либо ограничений. Поощряется распространение информации с этого сайта на любых других ресурсах. Каждый человек имеет право на неограниченный доступ к этим документам! Каждый человек имеет право на знание требований, изложенных в данных нормативно-правовых актах!

  


 

Приказ Федеральной службы по тарифам от 21 августа 2009 г. № 201-э/1

"Об утверждении Методических указаний по определению размера платы за технологическое присоединение к электрическим сетям"

В соответствии с Федеральным законом от 26 марта 2003 г. № 35-ФЗ "Об электроэнергетике" (Собрание законодательства Российской Федерации, 2003, № 13, ст. 1177; 2004, № 35, ст. 3607; 2005, № 1 (часть 1), ст. 37; 2006, № 52 (часть 1), ст. 5498; 2007, № 45, ст. 5427; 2008, № 29 (часть 1), ст. 3418; № 52 (часть 1), ст. 6236), Положением о Федеральной службе по тарифам, утвержденным постановлением Правительства Российской Федерации от 30 июня 2004 г. № 332 (Собрание законодательства Российской Федерации, 2004, № 29, ст. 3049; 2006, № 3, ст. 301; № 23, ст. 2522; № 48, ст. 5032; № 50, ст. 5354; 2007, № 16, ст. 1912; № 25, ст. 3039; № 32, ст. 4145; 2008, № 7, ст. 597; № 17, ст. 1897; № 23, ст. 2719; № 38, ст. 4309; № 46, ст. 5337; 2009, № 1, ст. 142; № 3, ст. 378; № 6, ст. 738; № 9, ст. 1119; № 18 (часть 2), ст. 2249) постановлением Правительства Российской Федерации от 26 февраля 2004 г. № 109 "О ценообразовании в отношении электрической и тепловой энергии в Российской Федерации" (Собрание законодательства Российской Федерации, 2004, № 9, ст. 791; 2005, № 1 (часть 2), ст. 130; № 43, ст. 4401; № 47, ст. 4930; № 51, ст. 5526; 2006, № 23, ст. 2522; № 36, ст. 3835; № 37, ст. 3876; 2007, № 1 (часть 2), ст. 282; № 14, ст. 1687; № 16, ст. 1909; 2008, № 2, ст. 84; № 25, ст. 2989; № 27, ст. 3285; 2009, № 8, ст. 980; № 8, ст. 981; № 8, ст. 982; № 12, ст. 1429; № 25, ст. 3073; № 26, ст. 3188; № 32, ст. 4040), Правилами технологического присоединения энергопринимающих устройств потребителей электрической энергии, объектов по производству электрической энергии, а также объектов электросетевого хозяйства, принадлежащих сетевым организациям и иным лицам, к электрическим сетям, утвержденными постановлением Правительства Российской Федерации от 27 декабря 2004 г. № 861 (Собрание законодательства Российской Федерации, 2004, № 52 (часть 2), ст. 5525; 2006, № 37, ст. 3876; 2007, № 14, ст. 1687, № 31, ст. 4100; 2009, № 8, ст. 979; № 9, ст. 1103; № 17, ст. 2088; № 25, ст. 3073), а также учитывая итоги рассмотрения данного вопроса на Правлении ФСТ России (протокол от 21 августа 2009 г. № 50-э) приказываю:

1. Утвердить Методические указания по определению размера платы за технологическое присоединение к электрическим сетям согласно приложению к настоящему приказу.

2. Признать утратившими силу:

- приказ Федеральной службы по тарифам от 23 октября 2007 г. № 277-э/7 "Об утверждении Методических указаний по определению размера платы за технологическое присоединение к электрическим сетям" (зарегистрировано Минюстом России 28 ноября 2007 г., регистрационный № 10556);

- приказ Федеральной службы по тарифам от 7 октября 2008 г. № 202-э/2 "О внесении изменений и дополнений в Методические указания по определению размера платы за технологическое присоединение к электрическим сетям, утвержденные приказом Федеральной службы по тарифам от 23 октября 2007 г. № 277-э/7" (зарегистрировано Минюстом России 10 ноября 2008 г., регистрационный № 12605);

- приказ Федеральной службы по тарифам от 20 января 2009 г. № 3-э/3 "О внесении дополнений в Методические указания по определению размера платы за технологическое присоединение к электрическим сетям, утвержденные приказом Федеральной службы по тарифам от 23 октября 2007 г. № 277-э/7" (зарегистрировано Минюстом России 11 февраля 2009 г., регистрационный № 13297).

Нумерация пунктов приводится в соответствии с источником

2. Настоящий приказ вступает в силу в установленном порядке.

 

И.о. Руководителя Федеральной службы по тарифам                          Д. Сальков

 

Зарегистрировано в Минюсте РФ 7 октября 2009 г.

Регистрационный № 14985

Приложение

Методические указания по определению размера платы за технологическое присоединение к электрическим сетям

Содержание

I. Общие положения

II. Расчет размера платы за технологическое присоединение к электрическим сетям на уровне напряжения не ниже 35 кВ и мощности не менее 10000 кВА

III. Расчет ставок и размера платы за технологическое присоединение к электрическим сетям на уровне напряжения ниже 35 кВ и присоединенной мощности менее 10000 кВА

IV. Расчет платы за технологическое присоединение посредством применения стандартизированных тарифных ставок

Приложение 1 Расчет необходимой валовой выручки по технологическому присоединению

Приложение 2 Калькуляция стоимости мероприятий, осуществляемых при технологическом присоединении единицы мощности (1 кВт)

Приложение 3 Информация для расчета платы за технологическое присоединение генерирующих объектов и энергоустановок потребителя с применением стандартизированных ставок

Приложение 4 Граничные значения присоединяемой мощности и постоянная часть стоимости подготовки ТУ и проверки их выполнения, и переменные параметры цены в рублях за кВА присоединяемой мощности

 

I. Общие положения

1. Настоящие Методические указания по определению размера платы за технологическое присоединение к электрическим сетям (далее - Методические указания) разработаны в соответствии с Федеральным законом от 14 апреля 1995 г. № 41-ФЗ "О государственном регулировании тарифов на электрическую и тепловую энергию в Российской Федерации" (Собрание законодательства Российской Федерации, 1995, № 16, ст. 1316; 1999, № 7, ст. 880; 2003, № 2, ст. 158; № 13, ст. 1180; № 28, ст. 2894; 2004, № 35, ст. 3607; 2005, № 1 (часть 1), ст. 37; № 49, ст. 5125; № 52 (часть 1), ст. 5597; 2006, № 1, ст. 10; 2007, № 43, ст. 5084; № 45, ст. 5427; 2008, № 52 (часть 1), ст. 6236), Федеральным законом от 26 марта 2003 г. № 35-ФЗ "Об электроэнергетике" (Собрание законодательства Российской Федерации, 2003, № 13, ст. 1177; 2004, № 35, ст. 3607; 2005, № 1 (часть 1), ст. 37; 2006, № 52 (часть 1), ст. 5498; 2007, № 45, ст. 5427; 2008, № 29 (часть 1), ст. 3418; № 52 (часть 1), ст. 6236), Основами ценообразования в отношении электрической и тепловой энергии в Российской Федерации (далее - Основы ценообразования), утвержденными постановлением Правительства Российской Федерации от 26 февраля 2004 г. № 109 (Собрание законодательства Российской Федерации, 2004, № 9, ст. 791; 2005, № 1 (часть 2), ст. 130; № 43, ст. 4401; № 47, ст. 4930; № 51, ст. 5526; 2006, № 23, ст. 2522; № 36, ст. 3835; № 37, ст. 3876; 2007, № 1 (часть 2), ст. 282; № 14, ст. 1687; № 16, ст. 1909; 2008, № 2, ст. 84, № 25, ст. 2989, № 27, ст. 3285; 2009, № 8, ст. 980; № 8, ст. 981; № 8, ст. 982; № 12, ст. 1429; № 25, ст. 3073; № 26, ст. 3188; № 32, ст. 4040) и Правилами технологического присоединения энергопринимающих устройств потребителей электрической энергии, объектов по производству электрической энергии, а также объектов электросетевого хозяйства, принадлежащих сетевым организациям и иным лицам, к электрическим сетям (далее - Правила), утвержденными постановлением Правительства Российской Федерации от 27 декабря 2004 г. № 861 (Собрание законодательства Российской Федерации, 2004, № 52 (часть 2), ст. 5525; 2006, № 37, ст. 3876; 2007, № 14, ст. 1687, № 31, ст. 4100; 2009, № 8, ст. 979; № 9, ст. 1103; № 17, ст. 2088; № 25, ст. 3073).

2. Методические указания определяют основные положения по расчету размера платы за технологическое присоединение энергопринимающих устройств потребителей электрической энергии, объектов по производству электрической энергии, а также объектов электросетевого хозяйства, принадлежащих сетевым организациям и иным лицам, (далее - Устройства) к объектам электросетевого хозяйства (далее - плата за технологическое присоединение) сетевых организаций, и предназначены для использования Федеральной службой по тарифам (далее - Служба), органами исполнительной власти субъектов Российской Федерации в области государственного регулирования тарифов, сетевыми организациями, а также лицами, обратившимися к сетевым организациям с заявками на технологическое присоединение Устройств к объектам электросетевого хозяйства сетевых организаций (далее - Заявители).

3. Понятия, используемые в Методических указаниях, соответствуют определениям, данным в Федеральном законе от 14 апреля 1995 г. № 41-ФЗ "О государственном регулировании тарифов на электрическую и тепловую энергию в Российской Федерации" (Собрание законодательства Российской Федерации, 1995, № 16, ст. 1316; 1999, № 7, ст. 880; 2003, № 2, ст. 158; № 13, ст. 1180; № 28, ст. 2894; 2004, № 35, ст. 3607; 2005, № 1 (часть 1), ст. 37; № 49, ст. 5125; № 52 (часть 1), ст. 5597; 2006, № 1, ст. 10; 2007, № 43, ст. 5084; № 45, ст. 5427; 2008, № 52 (часть 1), ст. 6236), Федеральном законе от 26 марта 2003 г. № 35-ФЗ "Об электроэнергетике" (Собрание законодательства Российской Федерации, 2003, № 13, ст. 1177; 2004, № 35, ст. 3607; 2005, № 1 (часть 1), ст. 37; 2006, № 52 (часть 1), ст. 5498; 2007, № 45, ст. 5427; 2008, № 29 (часть 1), ст. 3418; № 52 (часть 1), ст. 6236), Основах ценообразования и в постановлении Правительства Российской Федерации от 27 декабря 2004 г. № 861 "Об утверждении Правил недискриминационного доступа к услугам по передаче электрической энергии и оказания этих услуг, Правил недискриминационного доступа к услугам по оперативно-диспетчерскому управлению в электроэнергетике и оказания этих услуг, Правил недискриминационного доступа к услугам администратора торговой системы оптового рынка и оказания этих услуг и Правил технологического присоединения энергопринимающих устройств потребителей электрической энергии, объектов по производству электрической энергии, а также объектов электросетевого хозяйства, принадлежащих сетевым организациям и иным лицам, к электрическим сетям" (Собрание законодательства Российской Федерации, 2004, № 52 (часть 2), ст. 5525; 2006, № 37, ст. 3876; 2007, № 14, ст. 1687; № 31, ст. 4100; 2009, № 8, ст. 979; № 9, ст. 1103; № 17, ст. 2088; № 25, ст. 3073) (далее Правила технологического присоединения).

4. Плата за технологическое присоединение взимается в случаях присоединения впервые вводимых в эксплуатацию, ранее присоединенных реконструируемых Устройств, присоединенная мощность которых увеличивается, а также в случаях, при которых в отношении ранее присоединенных Устройств изменяются категория надежности электроснабжения, точки присоединения, виды производственной деятельности, не влекущие пересмотр величины присоединенной мощности, но изменяющие схему внешнего электроснабжения таких Устройств.

5. Плата за технологическое присоединение взимается однократно.

Изменение формы собственности или собственника (Заявителя или сетевой организации) не влечет за собой повторную оплату за технологическое присоединение.

6. Размер платы за технологическое присоединение к электрическим сетям, относимым к Единой национальной (общероссийской) электрической сети (далее - ЕНЭС), устанавливается Службой в соответствии с разделами II и IV Методических указаний.

7. Размер платы за технологическое присоединение к территориальным распределительным сетям устанавливается органами исполнительной власти субъектов Российской Федерации в области государственного регулирования тарифов в соответствии с разделами II, III и IV Методических указаний.

8. Размер платы за технологическое присоединение должен компенсировать плановые экономически обоснованные расходы на проведение мероприятий по технологическому присоединению объекта к электрическим сетям и рассчитывается в соответствии с разделами II и III Методических указаний или определяется посредством применения стандартизированных тарифных ставок в соответствии с разделом IV Методических указаний.

При выборе Заявителем метода по определению размера платы посредством применения стандартизированных тарифных ставок, Заявитель направляет информацию для расчета платы за технологическое присоединение в соответствии с Приложением 3.

9. Плановые экономически обоснованные расходы сетевой организации на выполнение мероприятий по технологическому присоединению к ее сетям Устройств юридических и физических лиц для целей определения размера платы за технологическое присоединение в соответствии с разделами II и III Методических указаний определяются путем расчета необходимой валовой выручки согласно Основ ценообразования в соответствии с Приложением 1.

В случае если объекты электросетевого хозяйства включены в инвестиционные программы субъектов естественных монополий в соответствии с законодательством Российской Федерации либо в утверждаемые представительными органами местного самоуправления инвестиционные программы, целью которых является реализация программы комплексного развития систем коммунальной инфраструктуры, в состав необходимой валовой выручки включаются экономические обоснованные расходы на строительство и реконструкцию указанных объектов электросетевого хозяйства, в том числе объектов электросетевого хозяйства смежной и (или) вышестоящей сетевой организации (за исключением компенсирующих устройств для обеспечения качества электрической энергии), осуществляемые в целях присоединения новых и (или) увеличения мощности устройств, присоединенных ранее, а также для присоединения мощности строящихся (реконструируемых) электрических станций от границ балансовой принадлежности соответствующих электрических станций до существующих объектов электросетевого хозяйства.

10. Расходы на строительство и реконструкцию объектов электросетевого хозяйства (за исключением компенсирующих устройств для обеспечения качества электрической энергии) в целях присоединения новых и (или) увеличения мощности Устройств, присоединенных ранее, а также для присоединения мощности строящихся (реконструируемых) электрических станций от границ балансовой принадлежности соответствующих электрических станций до существующих объектов электросетевого хозяйства учитываются при установлении платы за технологическое присоединение к электрическим сетям пропорционально размеру планируемой для использования мощности строящихся (реконструируемых) в указанных целях объектов электросетевого хозяйства.

11. При установлении платы за технологическое присоединение по индивидуальному проекту учитываются расходы сетевой организации по осуществлению технологического присоединения Заявителя, включающие:

- стоимость мероприятий, перечисленных в пункте 12 Методических указаний, кроме стоимости выполнения технических условий сетевой организации в части обоснованных требований к усилению существующей электрической сети в связи с присоединением новых мощностей;

- обоснованные требования к усилению существующей электрической сети в связи с присоединением новых мощностей (строительство новых линий электропередачи, подстанций, увеличение сечения проводов и кабелей, замена или увеличение мощности трансформаторов, расширение распределительных устройств, установка устройств регулирования напряжения для обеспечения надежности и качества электроэнергии), обязательные для исполнения сетевой организацией.

В случае выполнения Заявителем полностью или частично в соответствии с договором о технологическом присоединении мероприятий по строительству и реконструкции объектов электросетевого хозяйства, предусмотренных выданными сетевой организацией техническими условиями, расходы на их выполнение не учитываются регулирующим органом при установлении платы за технологическое присоединение.

Для заявителей - юридических лиц или индивидуальных предпринимателей в целях технологического присоединения по одному источнику электроснабжения энергопринимающих устройств, максимальная мощность которых составляет до 100 кВт включительно (с учетом ранее присоединенной в данной точке присоединения мощности), а также для физических лиц в целях технологического присоединения энергопринимающих устройств, максимальная мощность которых составляет до 15 кВт включительно (с учетом ранее присоединенной в данной точке присоединения мощности), которые используются для бытовых и иных нужд, не связанных с осуществлением предпринимательской деятельности, и электроснабжение которых предусматривается по одному источнику, в случае осуществления технологического присоединения энергопринимающих устройств указанных заявителей к электрическим сетям классом напряжения до 20 кВ включительно, плата за технологическое присоединение по индивидуальному проекту не устанавливается.

11.1. Любое лицо, заинтересованное в перераспределении в свою пользу присоединенной мощности других лиц, энергопринимающие устройства которых присоединены в установленном порядке к электрическим сетям, вправе при наличии согласия этих лиц обратиться в сетевую организацию, к сетям которой присоединены их энергопринимающие устройства, за расчетом стоимости технологического присоединения посредством перераспределения присоединенной мощности (далее - запрос расчета) по индивидуальному проекту.

Размер платы за технологическое присоединение для заявителя, в пользу которого предполагается перераспределить присоединенную мощность, определяется по индивидуальному проекту исходя из расходов сетевой организации на осуществление мероприятий, связанных исключительно с мероприятиями по перераспределению присоединенной мощности конкретных энергопринимающих устройств (электрических сетей) и сооружением сетевой инфраструктуры от границ участка заявителя до электрической сети сетевой организации.

При этом стоимость информации, предоставляемой сетевой организацией по запросу лица, заинтересованного в перераспределении в свою пользу присоединенной мощности других лиц не входит в состав платы за технологическое присоединение и оплачивается отдельно в размере, не превышающем 550 рублей.

12. Для расчета размера платы за технологическое присоединение к электрическим сетям учитываются расходы на выполнение сетевой организацией следующих мероприятий:

а) подготовку сетевой организацией технических условий и их согласование с системным оператором (субъектом оперативно-диспетчерского управления в технологически изолированных территориальных электроэнергетических системах), а в случае выдачи технических условий электростанцией - согласование их с системным оператором (субъектом оперативно-диспетчерского управления в технологически изолированных территориальных электроэнергетических системах) и со смежными сетевыми организациями.

Плата за выдачу технических условий не взимается с заявителей:

- юридических лиц или индивидуальных предпринимателей, суммарная присоединенная мощность энергопринимающих устройств которых не превышает 750 кВА;

- юридических лиц или индивидуальных предпринимателей в целях технологического присоединения по одному источнику электроснабжения энергопринимающих устройств, максимальная мощность которых составляет до 100 кВт включительно (с учетом ранее присоединенной в данной точке присоединения мощности);

- в целях временного (на срок не более 6 месяцев) технологического присоединения принадлежащих ему энергопринимающих устройств для обеспечения электрической энергией передвижных объектов с максимальной мощностью до 100 кВт включительно (с учетом ранее присоединенной в данной точке присоединения мощности);

- физических лиц в целях технологического присоединения энергопринимающих устройств, максимальная мощность которых составляет до 15 кВт включительно (с учетом ранее присоединенной в данной точке присоединения мощности), которые используются для бытовых и иных нужд, не связанных с осуществлением предпринимательской деятельности, и электроснабжение которых предусматривается по одному источнику).

б) разработку сетевой организацией проектной документации согласно обязательствам, предусмотренным техническими условиями;

в) выполнение технических условий сетевой организацией, включая осуществление сетевой организацией мероприятий по подключению Устройств под действие аппаратуры противоаварийной и режимной автоматики в соответствии с техническими условиями;

г) проверку сетевой организацией выполнения заявителем технических условий;

д) участие сетевой организации в осмотре (обследовании) присоединяемых Устройств должностным лицом федерального органа исполнительной власти по технологическому надзору при участии собственника таких устройств, а также соответствующего субъекта оперативно-диспетчерского управления в случае, если технические условия подлежат в соответствии с Правилами согласованию с таким субъектом оперативно-диспетчерского управления.

е) осуществление сетевой организацией фактического присоединения объектов заявителя к электрическим сетям и включение коммутационного аппарата (фиксация коммутационного аппарата в положении "включено").

По указанным мероприятиям сетевая организация представляет калькуляцию согласно Приложению 2.

13. Плата за технологическое присоединение подлежит отдельному учету со стороны сетевой организации и не учитывается в необходимой валовой выручке сетевой организации по иным регулируемым видам деятельности.

14. Заявитель, подающий заявку на технологическое присоединение энергопринимающих устройств максимальной присоединенной мощностью, не превышающей 15 кВт включительно (с учетом ранее присоединенной в данной точке присоединения мощности), оплачивает работы, указанные в пункте 12 Методических указаний, в объеме, не превышающем 550 рублей, при условии, что расстояние от границ участка заявителя до объектов электросетевого хозяйства необходимого заявителю класса напряжения сетевой организации, в которую подана заявка, составляет не более 300 метров в городах и поселках городского типа и не более 500 метров в сельской местности.

Под расстоянием от границ участка заявителя до объектов электросетевого хозяйства сетевой организации понимается минимальное расстояние, измеряемое по прямой линии от границы участка (нахождения присоединяемых энергопринимающих устройств) заявителя до ближайшего объекта электрической сети (опора линий электропередачи, кабельная линия, распределительное устройство, подстанция), имеющего класс напряжения, указанный в заявке, существующего или планируемого к вводу в эксплуатацию в соответствии с инвестиционной программой сетевой организации, утвержденной в установленном порядке и реализуемой в сроки, предусмотренные подпунктом "б" пункта 16 Правил.

В случае, если с учетом последующего увеличения присоединяемой мощности ранее присоединенного Устройства присоединяемая мощность превысит 15 кВт или вышеуказанные расстояния, расчет платы за технологическое присоединение производится в соответствии с разделом разделом III Методических указаний.

Если Заявителем на технологическое присоединение выступает юридическое лицо - некоммерческая организация для поставки электроэнергии гражданам - членам этой организации, рассчитывающимся по общему счетчику на вводе, плата Заявителя сетевой организации не должна превышать 550 рублей, умноженных на количество членов (абонентов) этой организации, при условии присоединения каждым членом этой организации не более 15 кВт.

К юридическим лицам - некоммерческим организациям, на которых распространяется вышеуказанная плата, относятся:

- садоводческие, огороднические или дачные некоммерческие объединения граждан (садоводческое, огородническое или дачное некоммерческое товарищество, садоводческий, огороднический или дачный потребительский кооператив, садоводческое, огородническое или дачное некоммерческое партнерство) - некоммерческие организации, учрежденные гражданами на добровольных началах для содействия ее членам в решении общих социально-хозяйственных задач ведения садоводства, огородничества и дачного хозяйства (далее - садоводческое, огородническое или дачное некоммерческое объединение);

- содержащиеся за счет прихожан религиозные организации;

- гаражно-строительные, гаражные кооперативы, автостоянки, объединенные хозяйственные постройки граждан (погреба, сараи и иные сооружения), рассчитывающиеся по общему счетчику на вводе, в случае, если по решению органов исполнительной власти субъектов Российской Федерации в области государственного регулирования тарифов и оформленные отдельным решением указанные потребители отнесены к тарифной группе "Население".

14.1. Заявитель, подающий заявку в целях временного (на срок не более 6 месяцев) технологического присоединения принадлежащих ему энергопринимающих устройств для обеспечения электрической энергией передвижных объектов с максимальной мощностью:

- до 15 кВт включительно (с учетом ранее присоединенной в данной точке присоединения мощности), оплачивает работы в соответствии с пунктом 14 Методических указаний;

- до 100 кВт включительно (с учетом ранее присоединенной в данной точке присоединения мощности), в том числе и заявитель до 15 кВт, не удовлетворяющий требованиям, установленным п. 14 Методических указаний, оплачивает работы, указанные в пункте 12 Методических указаний, без учета инвестиционной составляющей на покрытие расходов, связанных с развитием существующей инфраструктуры, в том числе связей между объектами территориальных сетевых организаций и объектами единой национальной (общероссийской) электрической сети, за исключением расходов на строительство объектов электросетевого хозяйства от существующих объектов электросетевого хозяйства до границы участка заявителя, в соответствии с разделом III Методических указаний.

II. Расчет размера платы за технологическое присоединение к электрическим сетям на уровне напряжения не ниже 35 кВ и мощности не менее 10000 кВА

15. Размер платы за технологическое присоединение (ПТП) производится по формуле:

ПТП=Р+РИ, (руб.)                               (1)

где:

Р - расходы на технологическое присоединение по мероприятиям, указанным в пункте 12 Методических указаний, не включающие в себя расходы на строительство и реконструкцию объектов электросетевого хозяйства в соответствии с пунктом 9 Методических указаний (руб.).

РИ - расходы на строительство и реконструкцию объектов электросетевого хозяйства в соответствии с пунктом 9 Методических указаний (руб.).

III. Расчет ставок и размера платы за технологическое присоединение к электрическим сетям на уровне напряжения ниже 35 кВ и присоединенной мощности менее 10000 кВА

16. Расчет размера платы исходя из ставок платы за технологическое присоединение к электрическим сетям на уровне напряжения ниже 35 кВ и мощности менее 10000 кВА производится раздельно для каждой сетевой организации.

Органы исполнительной власти субъекта Российской Федерации в области государственного регулирования тарифов могут ввести разбивку ставок платы за технологическое присоединение к электрическим сетям по уровням напряжения и (или) объему присоединяемой мощности.

Уровень напряжения определяется по границе балансовой принадлежности электрических сетей сетевой организации и Заявителя.

17. Органы исполнительной власти субъекта Российской Федерации могут дифференцировать плату за технологическое присоединение к распределительным электрическим сетям по муниципальным образованиям и по районам.

18. Расчет ставки за 1 кВт мощности технологического присоединения производится на основе представленных в уполномоченный орган исполнительной власти в области государственного регулирования тарифов сетевой организацией прогнозных данных о планируемых расходах за технологическое присоединение на календарный год с учетом стоимости каждого мероприятия в отдельности в соответствии с Приложением 2.

При этом указанные данные определяются сетевой организацией с учетом перспективного плана мероприятий по присоединению и прогнозируемого спроса на дополнительную мощность в зонах существующей и будущей застройки на основании утвержденных в установленном порядке инвестиционных программ.

Включение в состав платы за технологическое присоединение энергопринимающих устройств заявителей в целях временного (на срок не более 6 месяцев) технологического присоединения принадлежащих ему энергопринимающих устройств для обеспечения электрической энергией передвижных объектов с максимальной мощностью до 100 кВт включительно (с учетом ранее присоединенной в данной точке присоединения мощности), инвестиционной составляющей на покрытие расходов, связанных с развитием существующей инфраструктуры, в том числе связей между объектами территориальных сетевых организаций и объектами единой национальной (общероссийской) электрической сети, за исключением расходов на строительство объектов электросетевого хозяйства до границы участка заявителя, не допускается.

В целях недопущения необоснованного роста размера платы за технологическое присоединение сетевая организация также представляет в уполномоченный орган исполнительной власти в области государственного регулирования тарифов фактические данные о количестве и стоимости технологических присоединений за предшествующий регулируемый период.

19. Ставка платы за технологическое присоединение (Сij) на напряжении i и (или) в диапазоне присоединяемой мощности j устанавливается уполномоченным органом исполнительной власти в области государственного регулирования тарифов на основании данных, представленных сетевой организацией в соответствии с Приложением 1 к Методическим указаниям по формуле:

, (руб./кВт)                                    (2)

где:

Pij - расходы на технологические присоединения планируемого годового объема мощности на уровне напряжения i и (или) в диапазоне мощности j по мероприятиям, указанным в пункте 12 Методических указаний, не включающим в себя расходы на строительство и реконструкцию объектов электросетевого хозяйства в соответствии с пунктом 10 Методических указаний (руб.);

Pиij - расходы на строительство и реконструкцию объектов электросетевого хозяйства в соответствии с пунктом 9 Методических указаний при осуществлении технологического присоединения планируемого годового объема мощности на уровне напряжения i и (или) в диапазоне мощности j (руб.);

Nij - суммарная мощность всех технологических присоединений на уровне напряжения i и (или) в диапазоне присоединяемой мощности j (кВт).

При осуществлении расчета за технологическое присоединение перевод одного кВА в один кВт производится следующим образом: кВА * cos j = кВт, где cos j =0,85.

Если при осуществлении технологического присоединения Заявителей, кроме строительства или реконструкции объектов электросетевого хозяйства сетевой организации требуются расходы на строительство и реконструкцию объектов электросетевого хозяйства (за исключением компенсирующих устройств для обеспечения качества электрической энергии) смежной сетевой организации, то эти расходы включаются в счет ставки платы за технологическое присоединение в объеме, определенном уполномоченным органом исполнительной власти в области государственного регулирования тарифов пропорционально присоединяемой мощности, независимо от уровня напряжения. Оставшийся объем таких расходов, предусмотренный инвестиционной программой, учитывается при представлении обосновывающих материалов при установлении тарифа на передачу электрической энергии в расчетном периоде регулирования. В случае невозможности такого учета в расчетном периоде регулирования, объем расходов на строительство объектов электросетевого хозяйства смежной сетевой организации учитывается при установлении тарифа на передачу электрической энергии в следующем периоде регулирования.

20. Плата за технологическое присоединение (Тij) рассчитывается в отношении каждого случая присоединения для одного Заявителя на основании ставок платы за технологическое присоединение по следующей формуле:

Тij = Cij * Nij, (руб.)                            (3)

где:

Сij - ставка платы за технологическое присоединение в классе напряжения i и (или) диапазоне мощности j (руб./кВт);

Nij - суммарная мощность технологического присоединения одного Заявителя в классе напряжения i и (или) диапазоне мощности j (кВт).

21. Расчет ставки платы за технологическое присоединение в классе напряжения i и (или) диапазоне мощности j производится по формуле (2) и применяется при условии, что количество присоединений, используемых в расчете, не менее 10.

В случае, если количество технологических присоединений менее 10, расчет платы за технологическое присоединение производится индивидуально для каждого технологического присоединения по формуле (1).

22. Размер платы за технологическое присоединение энергопринимающих устройств определяется с учетом запрашиваемой Заявителем категории надежности электроснабжения.

23. В случае, если Заявитель при технологическом присоединении запрашивает третью категорию надежности электроснабжения, что требует технологического присоединения к одному источнику энергоснабжения, размер платы за технологическое присоединение для него определяется по формуле (3).

24. В случае, если Заявитель при технологическом присоединении запрашивает вторую или первую категорию надежности электроснабжения, что требует технологического присоединения к двум независимым источникам энергоснабжения, то размер платы за технологическое присоединение (Pобщ.) определяется следующим образом:

Pобщ = Рист1 + Рист2, (руб.)                               (4)

где:

Рист1 - затраты на технологическое присоединение к первому независимому источнику энергоснабжения (руб.);

Рист2 - затраты на технологическое присоединение ко второму независимому источнику энергоснабжения (руб.).

При этом Рист1 и Рист2 рассчитываются по формуле (3).

IV. Расчет платы за технологическое присоединение посредством применения стандартизированных тарифных ставок

25. Перечень стандартизированных тарифных ставок.

Для расчета платы за технологическое присоединение утверждаются следующие стандартизированные тарифные ставки.

 - стандартизированная тарифная ставка на покрытие расходов на технологическое присоединение объектов по производству электрической энергии по мероприятиям, указанным в пункте 12 Методических указаний, не включающим в себя строительство и реконструкцию объектов электросетевого хозяйства, в расчете на 1 МВт присоединяемой мощности, (руб./МВт).

В указанную ставку включаются также расходы на разработку предварительных параметров выдачи мощности с учетом требований пункта 71 Основ ценообразования;

 - стандартизированная тарифная ставка на покрытие расходов на разработку и согласование схемы выдачи мощности электростанции, в случае если договором об осуществлении технологического присоединения объектов по производству электрической энергии к электрическим сетям предусмотрено обязательство сетевой организации осуществить разработку и согласование такой схемы выдачи мощности, в расчете на 1 МВт присоединяемой мощности, (руб./МВт);

 - стандартизированная тарифная ставка на покрытие расходов на технологическое присоединение энергопринимающих устройств потребителей электрической энергии, объектов электросетевого хозяйства, принадлежащих сетевым организациям и иным лицам, по мероприятиям, указанным в пункте 12 Методических указаний, не включающим в себя строительство и реконструкцию объектов электросетевого хозяйства, в расчете на 1 МВт присоединяемой мощности, (руб./МВт);

 - стандартизированная тарифная ставка на покрытие расходов на строительство и реконструкцию объектов электросетевого хозяйства при технологическом присоединении объектов по производству электрической энергии в части расходов на строительство и реконструкцию воздушных линий электропередачи на i-м классе напряжения, в расчете на 1 км линий, (руб./км);

 - стандартизированная тарифная ставка на покрытие расходов на строительство и реконструкцию объектов электросетевого хозяйства при технологическом присоединении объектов по производству электрической энергии в части расходов на строительство и реконструкцию кабельных линий электропередачи на i-м классе напряжения, в расчете на 1 км линий, (руб./км);

 - стандартизированная тарифная ставка на покрытие расходов на строительство и реконструкцию объектов электросетевого хозяйства при технологическом присоединении объектов по производству электрической энергии в части расходов на строительство и реконструкцию подстанций на i-м классе напряжения, в расчете на каждую линию, (руб.);

 - стандартизированная тарифная ставка на покрытие расходов на строительство и реконструкцию объектов электросетевого хозяйства при технологическом присоединении энергопринимающих устройств потребителей электрической энергии, объектов электросетевого хозяйства, принадлежащих сетевым организациям и иным лицам в части расходов на строительство и реконструкцию воздушных линий электропередачи на i-м классе напряжения, в расчете на 1 км линий, (руб./км);

 - стандартизированная тарифная ставка на покрытие расходов на строительство и реконструкцию объектов электросетевого хозяйства при технологическом присоединении энергопринимающих устройств потребителей электрической энергии, объектов электросетевого хозяйства, принадлежащих сетевым организациям и иным лицам, в части расходов на строительство и реконструкцию кабельных линий электропередачи на i-м классе напряжения, в расчете на 1 км линий, (руб./км);

 - стандартизированная тарифная ставка на покрытие расходов на строительство и реконструкцию объектов электросетевого хозяйства при технологическом присоединении энергопринимающих устройств потребителей электрической энергии, объектов электросетевого хозяйства, принадлежащих сетевым организациям и иным лицам, в части расходов на строительство и реконструкцию подстанций на i-м классе напряжения, в расчете на каждую линию, (руб.).

Г - строящиеся (реконструируемые) генерирующие объекты;

П - потребители электрической энергии.

Стандартизированные тарифные ставки , , , ,  устанавливаются либо раздельно для технологического присоединения объектов по производству электрической энергии и прочих Устройств, либо равными для всех Устройств, либо устанавливаются только для объектов по производству электрической энергии.

При осуществлении технологических присоединений к ЕНЭС стандартизированные тарифные ставки , , , ,  определяются на основании приказа Службы.

26. Расчет стандартизированных тарифных ставок:

Стандартизированная тарифная ставка ,  и  рассчитывается по следующей формуле:

, (руб./МВт)                         (5)

, (руб./МВт)                                  (6)

где:

 - расходы на технологическое присоединение Устройств по мероприятиям, указанным в пункте 12 Методических указаний, не включающим в себя строительство и реконструкцию объектов электросетевого хозяйства, а также не включающим разработку и согласование схемы выдачи мощности объектов по производству электрической энергии, в расчете на 1 МВт присоединяемой мощности, в ценах того года и для того субъекта Российской Федерации, данные по которым используются для расчета, (руб./МВт).

Данные расходы распределяются с учетом ожидаемой величины присоединяемой мощности и с учетом укрупненных ресурсных расчетов трудозатрат на подготовку технических условий (далее - ТУ) и проверку их выполнения определяются граничные значения присоединяемой мощности (в границах от 0 до 1000 кВА, от 1000 до 10000 кВА, от 10000 до 50000 кВА, от 50000 и выше).

Для граничных значений присоединяемой мощности в соответствии с Приложением 4 определены постоянная часть стоимости подготовки ТУ и проверки их выполнения, учитывающая базовую величину затрат для обеспечения проведения указанных работ (Рпост.) и переменные параметры цены в рублях за кВА присоединяемой мощности (Рперем.) для перехода к следующему граничному значению, учитывающие рост расходов и трудозатрат, связанный с увеличением сложности работ при увеличении присоединяемой мощности.

Для граничных значений присоединяемой мощности от 0 до 1000 кВА и от 1000 до 10000 кВА органы исполнительной власти субъекта Российской Федерации в области государственного регулирования тарифов могут произвести более детальную разбивку граничных значений присоединяемой мощности и определить для них постоянную и переменную часть расходов по данной стандартизированной ставке.

Расходы на технологическое присоединение Устройств по мероприятиям, указанным в пункте 12 Методических указаний, не включающим в себя строительство и реконструкцию объектов электросетевого хозяйства, а также не включающим разработку и согласование схемы выдачи мощности объектов по производству электрической энергии, определяются по формуле:

, (руб.)                                 (7)

, (руб.)                                   (8)

где:

N - объем присоединяемой мощности (кВА);

Ц - цена единицы присоединяемой мощности (руб./кВА);

Рпост - базовая величина затрат для обеспечения проведения указанных работ

 - расходы на разработку и согласование схемы выдачи мощности объектов по производству электрической энергии, в случае если договором об осуществлении технологического присоединения объектов по производству электрической энергии к электрическим сетям предусмотрено обязательство сетевой организации осуществить разработку и согласование такой схемы выдачи мощности, в расчете на 1 МВт присоединяемой мощности, в ценах того года и для того субъекта Российской Федерации, данные по которым используются для расчета, (руб./МВт);

 - индекс изменения сметной стоимости по строительно-монтажным работам для субъекта Российской Федерации на квартал, предшествующий кварталу, данные по которым используются для расчета, к федеральным единичным расценкам 2001 года, рекомендуемый Министерством регионального развития Российской Федерации в рамках реализации полномочий в области сметного нормирования и ценообразования в сфере градостроительной деятельности.

Стандартизированные тарифные ставки , ,  рассчитываются по следующим формулам:

, (руб./км)                              (9)

, (руб./км)                              (10)

, (руб./км)                              (11)

 - расходы на строительство и реконструкцию воздушных линий электропередачи на i-м классе напряжения, (с учетом для строительно-монтажных работ - сметных норм дополнительных затрат по температурным зонам по строительству электрических подстанций , установленные для температурной зоны субъекта Российской Федерации) в ценах того года и для того субъекта Российской Федерации, данные по которым используются для расчета, в расчете на 1 км линий, (руб./км);

 - расходы на строительство и реконструкцию кабельных линий электропередачи на i-м классе напряжения (с учетом для строительно-монтажных работ - сметных норм дополнительных затрат по температурным зонам по строительству электрических подстанций , установленные для температурной зоны субъекта Российской Федерации), в ценах того года и для того субъекта Российской Федерации, данные по которым используются для расчета, в расчете на 1 км линий, (руб./км);

 - расходы на строительство и реконструкцию подстанций на i-м классе напряжения (с учетом для строительно-монтажных работ - сметных норм дополнительных затрат по температурным зонам по строительству электрических подстанций , установленные для температурной зоны субъекта Российской Федерации), в ценах того года и для того субъекта Российской Федерации, данные по которым используются для расчета, в расчете на каждую линию, (руб).

27. Расчет платы за технологическое присоединение объектов по производству электрической энергии посредством применения стандартизированных тарифных ставок рассчитывается по следующей формуле:

 , (руб.) (12)

, (руб.) (13)

где:

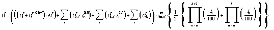
 - индекс изменения сметной стоимости по строительно-монтажным работам для субъекта Российской Федерации, в котором располагаются существующие узловые подстанции, к которым предполагается технологическое присоединение Устройств, на квартал, предшествующий кварталу, в котором утверждается плата за технологическое присоединение, к федеральным единичным расценкам 2001 года, рекомендуемый Министерством регионального развития Российской Федерации в рамках реализации полномочий в области сметного нормирования и ценообразования в сфере градостроительной деятельности;

 - прогнозный индекс-дефлятор по подразделу "Строительство" на n-й год, публикуемый Министерством экономического развития Российской Федерации, (при отсутствии данного индекса используется индекс потребительских цен на n-й год), (%);

а - год, в котором утверждается плата за технологическое присоединение;

b - год планируемого ввода в эксплуатацию строящихся (реконструируемых) объектов электросетевого хозяйства (если b-величина не кратная 2, то в формулах (12) - (13) принимаем );

NГ(П) - присоединяемая мощность при технологическом присоединении Устройств - объектов по производству электрической энергии, энергопринимающих устройств потребителей электрической энергии, объектов электросетевого хозяйства, принадлежащих сетевым организациям и иным лицам, (МВт);

 - суммарная протяженность воздушных линий на i-том классе напряжения, входящая в предварительные параметры выдачи мощности строящихся (реконструируемых) объектов по производству электрической энергии (в отношении объекта, по которому рассчитывается плата) либо параметры согласно индивидуальному проекту для прочих Устройств (км);

 - суммарная протяженность кабельных линий на i-том классе напряжения, входящем в предварительные параметры выдачи мощности строящихся (реконструируемых) объектов по производству электрической энергии (в отношении объекта, по которому рассчитывается плата) либо параметры согласно индивидуальному проекту для прочих Устройств (км).

Приложение 1

Расчет необходимой валовой выручки по технологическому присоединению

тыс. руб.

N п/п

Показатели

Ожидаемые данные за текущий период

Плановые показатели на следующий период

1

2

3

4

1.

Расходы по выполнению мероприятий по технологическому присоединению, за исключением инвестиционной составляющей, всего

 

 

1.1.

Вспомогательные материалы

 

 

1.2.

Энергия на хозяйственные нужды

 

 

1.3.

Оплата труда ППП (без ЕСН)

 

 

1.4.

Отчисления на социальные нужды

 

 

1.5.

Прочие расходы, всего, в том числе:

 

 

1.5.1.

- работы и услуги производственного характера

 

 

1.5.2.

- налоги, всего

 

 

1.5.3.

- работы и услуги непроизводственного характера, в т.ч.:

 

 

1.5.3.1

услуги связи

 

 

1.5.3.2

расходы на охрану и пожарную безопасность

 

 

1.5.3.3

расходы на информационное обслуживание, консультационные и юридические услуги

 

 

1.5.3.4

плата за аренду имущества

 

 

1.5.3.5

другие прочие расходы, связанные с производством и реализацией

 

 

1.6.

Внереализационные расходы, всего

 

 

1.6.1.

- расходы на услуги банков

 

 

1.6.2.

- % за пользование кредитом

 

 

1.6.3.

- налог на имущество

 

 

1.6.4.

- другие обоснованные расходы

 

 

1.6.5.

- денежные выплаты социального характера (по Коллективному договору)

 

 

1.6.6.

- другие расходы из прибыли

 

 

2.

Инвестиционная составляющая (расходы на строительство и реконструкцию объектов электросетевого хозяйства, за исключением компенсирующих устройств для обеспечения качества электрической энергии), из утвержденной инвестпрограммы

 

 

 

 

 

 

3.

Выпадающие доходы/экономия средств

 

 

 

 

 

 

4.

Необходимая валовая выручка (сумма п. 1-3)

 

 

 

 

 

 

Приложение 2

Калькуляция стоимости мероприятий, осуществляемых при технологическом присоединении единицы мощности (1 кВт)

руб/кВт

N

Наименование мероприятий

Утвержденная ставка платы

Ожидаемые данные за текущий период

Плановые показатели на следующий период

1

2

3

4

 

Итого ставка платы за технологическое присоединение

 

 

1

Подготовка сетевой организацией технических условий ТУ и их согласование, всего, в т.ч.*

 

 

1.1

 

 

 

1.2

 

 

 

1.3

 

 

 

2

Разработка сетевой организацией проектной документации, всего, в т.ч.

 

 

2.1

 

 

 

2.2

 

 

 

2.3

 

 

 

3

Выполнение ТУ сетевой организацией (с инвестиционной составляющей), всего

 

 

в т.ч.

инвестиционная составляющая**

 

 

3.1

 

 

 

3.2

 

 

 

3.3

 

 

 

4

Проверка сетевой организацией выполнения заявителем ТУ, всего, в т.ч.

 

 

4.1

 

 

 

4.2

 

 

 

4.3

 

 

 

5

Участие в осмотре должностным лицом Ростехнадзора присоединяемых Устройств, всего, в т.ч.***

 

 

5.1

 

 

 

5.2

 

 

 

5.3

 

 

 

6

Фактические действия по присоединению и обеспечению работы Устройств в электрической сети, всего, в т.ч.

 

 

6.1

 

 

 

6.2

 

 

 

6.3

 

 

 

_____________________________

* - данные расходы не учитываются при установлении платы за технологическое присоединение для заявителей - юридических лиц или индивидуальных предпринимателей, суммарная присоединенная мощность энергопринимающих устройств которых не превышает 750 кВА; заявителей - юридических лиц или индивидуальных предпринимателей в целях технологического присоединения по одному источнику электроснабжения энергопринимающих устройств, максимальная мощность которых составляет до 100 кВт включительно (с учетом ранее присоединенной в данной точке присоединения мощности); заявителей в целях временного (на срок не более 6 месяцев) технологического присоединения принадлежащих ему энергопринимающих устройств для обеспечения электрической энергией передвижных объектов с максимальной мощностью до 100 кВт включительно (с учетом ранее присоединенной в данной точке присоединения мощности); заявителей - физических лиц в целях технологического присоединения энергопринимающих устройств, максимальная мощность которых составляет до 15 кВт включительно (с учетом ранее присоединенной в данной точке присоединения мощности), которые используются для бытовых и иных нужд, не связанных с осуществлением предпринимательской деятельности, и электроснабжение которых предусматривается по одному источнику).

** - инвестиционная составляющая не включается в состав платы за технологическое присоединение энергопринимающих устройств заявителей в целях временного (на срок не более 6 месяцев) технологического присоединения принадлежащих ему энергопринимающих устройств для обеспечения электрической энергией передвижных объектов с максимальной мощностью до 100 кВт включительно (с учетом ранее присоединенной в данной точке присоединения мощности).

*** - данные расходы не учитываются при установлении платы за технологическое присоединение для заявителей - юридических лиц или индивидуальных предпринимателей в целях технологического присоединения по одному источнику электроснабжения энергопринимающих устройств, максимальная мощность которых составляет до 100 кВт включительно (с учетом ранее присоединенной в данной точке присоединения мощности); для заявителей в целях временного (на срок не более 6 месяцев) технологического присоединения принадлежащих ему энергопринимающих устройств для обеспечения электрической энергией передвижных объектов с максимальной мощностью до 100 кВт включительно (с учетом ранее присоединенной в данной точке присоединения мощности); для заявителей - физических лиц в целях технологического присоединения энергопринимающих устройств, максимальная мощность которых составляет до 15 кВт включительно (с учетом ранее присоединенной в данной точке присоединения мощности), которые используются для бытовых и иных нужд, не связанных с осуществлением предпринимательской деятельности, и электроснабжение которых предусматривается по одному источнику).

Утверждаю

Руководитель уполномоченного органа исполнительной власти в области государственного регулирования тарифов

подпись

Приложение 3

Информация для расчета платы за технологическое присоединение генерирующих объектов и энергоустановок потребителя с применением стандартизированных ставок

N п/п

Наименование оборудования

Класс напряжения, кВ

Субъект РФ, в котором располагается узловая подстанция

Параметры технического решения согласно Порядку (км, штуки)

Стандартизированная ставка

Индекс изменения сметной стоимости

Год начала строительства

Год окончания строительства

1

Воздушные линии

 

 

 

 

 

 

 

2

Кабельные линии

 

 

 

 

 

 

 

3

Расходы на реконструкцию подстанции (в расчете на 1 линию)

 

 

 

 

 

 

 

4

Расходы на технологическое присоединение Устройств по мероприятиям, указанным в Методических указаний

X

X

X

 

 

 

 

5

Расходы на разработку и согласование схемы выдачи мощности*

X

X

X

 

 

 

 

______________________________

* при технологическом присоединении потребителей электрической энергии строка 5 не заполняется

Приложение 4

Граничные значения присоединяемой мощности и постоянная часть стоимости подготовки ТУ и проверки их выполнения, и переменные параметры цены в рублях за кВА присоединяемой мощности

Мощность, кВА

Постоянная часть, руб.

Цена, руб./кВА

0 - 1 000

 

 

1 000 - 10 000

 

 

10 000 - 50 000

 

 

50 000 и выше

 

 

 

 




ГОСТЫ, СТРОИТЕЛЬНЫЕ и ТЕХНИЧЕСКИЕ НОРМАТИВЫ.
Некоммерческая онлайн система, содержащая все Российские Госты, национальные Стандарты и нормативы.
В Системе содержится более 150000 файлов нормативно-технической документации, действующей на территории РФ.
Система предназначена для широкого круга инженерно-технических специалистов.

Рейтинг@Mail.ru Яндекс цитирования

Copyright © www.gostrf.com, 2008 - 2026