В соответствии с
Федеральным законом от 30.03.1999 № 52-ФЗ
"О санитарно-эпидемиологическом благополучии населения" (Собрание
законодательства Российской Федерации, 1999, № 14, ст. 1650; 2002, № 1 (ч. 1),
ст. 2; 2003, № 2, ст. 167; № 27 (ч. 1), ст. 2700; 2004, № 35, ст. 3607; 2005, №
19, ст. 1752; 2006, № 1, ст. 10; № 52 (ч. 1), ст. 5498; 2007, № 1 (ч. 1), ст.
21, 29; № 27, ст. 3213; № 46, ст. 5554; № 49, ст. 6070; 2008, № 24, ст. 2801; №
29 (ч. 1), ст. 3418; № 30 (ч. 2), ст. 3616; № 44, ст. 4984; № 52 (ч. 1), ст.
6223; 2009, № 1, ст. 17) и постановлением Правительства Российской Федерации от
24.07.2000 №
554 "Об утверждении Положения о государственной
санитарно-эпидемиологической службе Российской Федерации и Положения о
государственном санитарно-эпидемиологическом нормировании" (Собрание
законодательства Российской Федерации, 2000, № 31, ст. 3295; 2004, № 8, ст.
663; № 47, ст. 4666; 2005, № 39, ст. 3953) постановляю:
1. Утвердить
Методические указания МУ 2.6.1.2574-2010 "Определение суммарных
(накопленных) доз облучения лиц из населения, подвергшихся радиационному
воздействию вследствие ядерных испытаний на Семипалатинском полигоне"
(приложение).
2. Ввести в действие
Методические указания МУ 2.6.1.2574-2010 с 4 мая 2010 г.
Г.Г.
Онищенко
Зарегистрировано в Минюсте РФ 18 марта
2010 г.
Регистрационный №
16642
Приложение
1.1. Настоящие
Методические указания МУ 2.6.1.2574-2010 (далее - МУ) предназначены для
определения значений суммарных (накопленных) эффективных доз облучения граждан,
которые проживали в 1949 - 1963 годах в населенных пунктах Российской Федерации
и за ее пределами, включенных в утверждаемые Правительством Российской
Федерации перечни населенных пунктов, подвергшихся радиационному воздействию
вследствие атмосферных ядерных испытаний на Семипалатинском полигоне (далее -
лиц из населения).
В соответствии с
настоящими МУ определяются дозы облучения лиц из населения различного возраста
за любой промежуток времени, включающий или не включающий дату локального
выпадения радиоактивных продуктов испытательного ядерного взрыва.
Адресная оценка
суммарной (накопленной) эффективной дозы облучения конкретного лица в
соответствии с настоящими МУ определяется на основании сведений о датах
проживания и возрасте во время проживания этого лица в упомянутых населенных
пунктах.
1.2. Установленные в
результате адресного применения настоящих МУ оценки доз облучения конкретных
лиц из населения предназначаются для вынесения официальных заключений о
соответствии (несоответствии) полученных ими суммарных (накопленных)
эффективных доз облучения законодательной норме, дающей право на получение
установленных Федеральным законом от 10 января 2002 г. № 2-ФЗ "О
социальных гарантиях гражданам, подвергшимся радиационному воздействию
вследствие ядерных испытаний на Семипалатинском полигоне"*
льгот и компенсаций в порядке обеспечения гарантий социальной защиты граждан,
подвергшихся радиационному воздействию вследствие ядерных испытаний на
Семипалатинском полигоне.
Вынесение официальных
заключений этого содержания в другом порядке не допускается.
1.3. Дозы облучения
определяются для расчетной модели человека из наиболее облучаемой группы. Выбор
наиболее облучаемой группы осуществляется по соотношению времени пребывания на
открытом воздухе (без ослабления дозы) и внутри строений (с частичным
ослаблением дозы) с учетом видов занятости населения городской и сельской
местности. При расчетах доз облучения всех групп населения по пероральному пути
поступления радионуклидов учитываются сведения о сроках проведения основных
сельскохозяйственных работ и рационах питания.
1.4. Значения
суммарных (накопленных) эффективных доз, установленные в соответствии с
настоящими МУ, не должны применяться для проведения эпидемиологических
исследований.
2.1. Для определения
накопленных эффективных доз облучения лиц из населения, подвергшихся
радиационному воздействию испытательного ядерного взрыва, используются исходные
данные пяти типов:
а) данные о ядерном
взрыве и условиях его проведения;
б) данные о
результатах радиационной разведки на радиоактивном следе облака ядерного взрыва
за пределами границ полигона;
в) данные об условиях
жизни лиц из населения;
г) дозовые коэффициенты
при внешнем гамма-облучении человека, ингаляционном и пероральном поступлении
радионуклидов в организм;
д) сведения о
возрасте, сроках и месте (местах) проживания лиц из населения в населенных
пунктах, включаемых в утверждаемые Правительством Российской Федерации перечни
населенных пунктов, подвергшихся радиационному воздействию вследствие ядерных
испытаний на Семипалатинском полигоне.
2.2. Исходные данные о
ядерном взрыве и условиях его проведения включают в себя:
а) полную мощность
(тротиловый эквивалент) взрыва q;
б) мощность взрыва по
делению qf;
в) состав
разделившихся материалов ядерного взрывного устройства (Pu239,
U235,
U238)
в соотношении компонентов α239 : α235 : α238;
г) астрономическое
время проведения tex
(дата и местное время), высоту Н и географические координаты
(широта φex
и долгота Θex)
эпицентра ядерного взрыва;
д) распределения по
высоте атмосферы z модуля скорости ветра v(z) и направления ветра φ(z), измеренные в районе опытной площадки
полигона за срок, ближайший к моменту взрыва.
2.3.
Результаты радиационной разведки в регионе выпадения радиоактивных продуктов
испытательного ядерного взрыва применительно к целям настоящих МУ задаются
выкопировкой любого из имеющихся в архиве материалов испытаний, где они
представлены в виде:
а) прямых измерений в
населенном пункте мощности экспозиционной дозы**
гамма-излучения на высоте 1 м от поверхности земли Pγ(t*) с указанием времени измерения t*;
б) нанесенных на
топографическую основу карт-схем радиоактивного загрязнения поверхности земли в
виде изолиний мощности экспозиционной дозы гамма-излучения и распределений
мощности дозы гамма-излучения вдоль оси радиоактивного следа, приведенных к
моменту времени t*
после взрыва;
в) наборов приведенных
к моменту времени t*
после взрыва значений мощности экспозиционной дозы гамма-излучения, измеренных
в совокупности точек на радиоактивном следе облака взрыва, не совпадающих с
координатами населенных пунктов.
2.4.
К исходным данным об условиях жизни лиц относятся:
а) режим проживания
лиц из населения на радиоактивно загрязненных территориях с чередованием
времени пребывания вне/внутри зданий (задается моментами времени Tr1
и Tr2,
соответствующими их переходу из состояния "внутри зданий" в состояние
"вне зданий" и обратно);
б) численная оценка
физического ослабления мощности дозы гамма-излучения koc и снижения концентраций радиоактивных продуктов
в воздухе внутри зданий k3inh по отношению к
аналогичным параметрам на открытой местности;
в) дифференцированное
по сезонам либо среднегодовое суточное потребление продуктов питания местного
происхождения: мяса, молока, хлеба (ржаного и пшеничного раздельно), листовых
овощей в разных возрастных группах населения (до 1 года, от 1 до 2 лет, от 2 до
7 лет, от 7 до 12 лет, от 12 до 17 лет, старше 17 лет);
г) времена наступления
основных фаз развития растений, сроки возделывания пищевых и кормовых культур и
пастбищного содержания мясомолочного скота, рационы их кормления.
2.5. Преобразование
величин, характеризующих физические поля и факторы радиационного воздействия на
человека в реальной среде его обитания, в эффективные дозы облучения
осуществляется с использованием дозовых коэффициентов трех типов, связывающих
а) эффективные дозы
внешнего облучения человека с величиной поглощенной дозы гамма-излучения в
воздухе в месте пребывания человека;
б) эффективные дозы
внутреннего облучения с величиной ингаляционного поступления отдельных
радионуклидов в дыхательную систему человека;
в) эффективные дозы
внутреннего облучения с величиной перорального поступления отдельных
радионуклидов в организм человека.
Дозовые коэффициенты
по пункту "а", соответствующие осесимметричному облучению человека
гамма-квантами с энергией Е, падающими нормально к поверхности
цилиндрического фантома (коэффициенты e1(E)), применяются для определения
эффективной дозы облучения открыто расположенного человека от радиоактивных
продуктов, выпавших на поверхность земли. Аналогичные коэффициенты,
соответствующие изотропному облучению человека гамма-квантами, падающими из
верхнего полупространства (коэффициенты e2(E)), применяются для определения
эффективных доз облучения человека в условиях его пребывания в зданиях, а также
для определения эффективных доз облучения от радиоактивных продуктов,
взвешенных в воздухе в период формирования радиоактивного следа.
Умеренно
консервативное завышение эффективных доз внутреннего облучения человека в
результате ингаляции радиоактивных продуктов взрыва обеспечивается применением
в расчетах дозовых коэффициентов по пункту "б", соответствующих стандартизованной
дисперсности аэрозоля радиоактивных частиц (логарифмически-нормальное
распределение с АМАД = 1 мкм и геометрическим стандартным отклонением 2,5), но
дифференцированных по классу растворимости компонентов, содержащихся в объеме и
на поверхности радиоактивных частиц (возрастзависимые коэффициенты hiv0
и his0,
соответственно).
2.6. Сведения о
возрасте, сроках и месте проживания конкретного лица задаются датами начала и
окончания его проживания в населенном пункте, географическими координатами
населенного пункта φНП, ΘНП (φНП
- широта, град с.ш., ΘНП - долгота, град з.д.) и возрастом в
период проживания в этом населенном пункте. Если таких населенных пунктов
несколько, указанные выше сведения задаются для каждого из мест проживания
лица. Принимается, что время начала его проживания в населенном пункте Та1
совпадает с 0 часов местного времени даты начала проживания, а время окончания
проживания Та2 - с 24 часами местного времени даты
окончания проживания.
3.1. Определение
накопленной эффективной дозы облучения конкретного лица соответствует случаю,
когда это лицо в период с 1949 г. по 1963 г. непрерывно проживало только в
одном из населенных пунктов, подвергшихся радиационному воздействию вследствие
ядерных испытаний на Семипалатинском полигоне. Если один и тот же населенный
пункт подвергался воздействию в результате различных ядерных испытаний, то
эффективная доза облучения лица за период его проживания в таком населенном
пункте определяется от каждого ядерного испытания раздельно, а результаты
суммируются. В случае, когда лицо в указанный период времени последовательно
проживало в нескольких населенных пунктах, излагаемая ниже последовательность
действий выполняется многократно, и определяются эффективные дозы облучения за
периоды времени его проживания в каждом из населенных пунктов с учетом возраста
в эти периоды времени. Суммарная (накопленная) эффективная доза облучения лица
определяется суммированием эффективных доз, накопленных за периоды времени
последовательного проживания в разных населенных пунктах.
3.2. Для расчета
вводится декартова система координат, начало которой совмещается с эпицентром
ядерного взрыва, ось х направлена на восток, ось у - на север. Отсчет всех
углов ведется от северного направления по часовой стрелке. Географические
координаты населенного пункта, для которого должны быть выполнены расчеты,
преобразуются в декартовы координаты xНП,
уНП в соответствии с правилом
, км,
(1)
, км,
.
Отсчет времени t
ведется от момента взрыва tex.
Моменты времени Tr1
и Tr2,
определяющие режим проживания человека на радиоактивно загрязненных
территориях, а также моменты времени начала и окончания проживания человека в
населенном пункте пересчитываются к моменту взрыва:
,
(2)
.
3.3. Определяется
значение мощности экспозиционной дозы гамма-излучения в точке с координатами
населенного пункта Pγ(t*) = P*γ на
время t*
после взрыва. Если указанное значение является результатом прямого измерения в
ареале населенного пункта, время t* имеет смысл времени измерения. Если измерения
мощности экспозиционной дозы гамма-излучения в ареале населенного пункта не
проводились, значение указанной характеристики радиационного поля определяется
путем интерполяции в точку с координатами населенного пункта данных измерений,
выполненных в соседних точках региона, с использованием одного из двух ниже
описанных алгоритмов в зависимости от способа представления результатов
радиационной разведки в архивных документах. Время t* в этом случае имеет смысл времени, к
которому приведены результаты измерений (обычно 3 часа после взрыва).
Первый алгоритм
применяется в тех случаях, когда результаты радиационной разведки на территории
региона представлены картами-схемами радиоактивного загрязнения местности,
отображенными в виде изолиний мощности экспозиционной дозы и распределений
мощности экспозиционной дозы гамма-излучения вдоль оси радиоактивного следа,
приведенных на 3 часа после взрыва. Реализация алгоритма в этом случае включает
три этапа.
На первом этапе
проводится верификация первичных данных. Она состоит в проверке согласованности
осевых распределений со значениями мощностей доз в точках пересечения изолиний
с осью следа. При наличии расхождений проводится корректировка положения
изолиний в локальных областях, примыкающих к точкам их пересечения с осью
следа.
На втором этапе
решается задача восстановления двумерного поля мощностей доз гамма-излучения
над поверхностью земли в узлах регулярной координатной сетки по координатам
линий уровня этого поля. С этой целью используется численный метод, реализующий
решение уравнения Пуассона для логарифмов характеристики поля в замкнутых
областях двух типов: имеющих внешнюю и внутреннюю границы, совпадающие с
линиями уровня двумерного поля, и имеющих только внешнюю границу.
Математическая
постановка задачи о восстановлении характеристик радиационного поля в областях
первого типа имеет вид
,
(3)
,
.
где P*γ (x, y) - величина мощности дозы
гамма-излучения в точке с координатами (х, у), приведенная на
время t*
после взрыва, Pэi, Pэi+1,
- экспериментальные значения мощностей доз, соответствующие внешней (Гi) и внутренней (Гi=1)
границам (линиям уровня) области.
Математическая постановка задачи о восстановлении
характеристик радиационного поля в областях второго типа имеет вид
,
(4)

где Г - граница
подобласти, Г1 - часть ограничивающей изолинии, заключенная между
точками ее пересечения с осью следа, Г2 - часть оси следа,
ограниченная указанными точками, Pэ1
- величина мощности дозы, равная значению изолинии, f(x, y)
- функция, задающая распределение мощности дозы на оси следа.
На третьем этапе
полученные в узлах значения мощностей доз интерполируются в координаты
населенных пунктов.
Второй алгоритм
применяется в тех случаях, когда результаты радиационной разведки территории
региона представлены в виде набора результатов измерений, пространственно не
объединенных, но приведенных к одному моменту времени после взрыва.
Пространственное объединение этих результатов и их интерполяция в точки с
координатами населенных пунктов производится с использованием гауссовой модели
радиоактивного следа. Сущность этой модели состоит в том, что распределение
мощностей доз гамма-излучения в сечениях, перпендикулярных оси радиоактивного
следа, на каждой дистанции аппроксимируется нормальным законом. Для полного
пространственного описания радиационного поля по результатам обработки данных
измерений устанавливаются следующие функции:
xэ0(s), yэ0(s) - координаты оси радиоактивного следа
как функции расстояния s от эпицентра ядерного взрыва, отсчитанного
вдоль оси следа;
P0γ(t*, s) - распределение мощностей доз
гамма-излучения, приведенных на время t* после взрыва, вдоль оси радиоактивного
следа;
σ0p(s) - зависимость среднеквадратического
отклонения рассеяния примеси в сечениях, перпендикулярных оси следа, от
расстояния вдоль оси.
Восстановление
мощности дозы гамма-излучения в произвольной точке с координатами (х, у)
производится с использованием соотношения
,
(5)
где
,
,
smin - величина,
соответствующая минимуму функционала
.
(6)
3.4. Методами математического моделирования
процессов образования радиоактивных частиц и их выпадения на поверхность земли
из объемного источника радиоактивного загрязнения в точке с координатами
населенного пункта определяются временные характеристики и дисперсность
радиоактивных выпадений, включающие в себя
αγ
- вклад в мощность экспозиционной дозы гамма-излучения радиоактивных частиц,
образованных в результате осаждения радионуклидов на частицы раздробленного
грунта (далее именуются частицами 1-го типа);
- распределение по размерам d массы
выпавших радиоактивных частиц 1-го типа;
- распределение по размерам d массы
выпавших радиоактивных частиц конденсационно-коагуляционного происхождения
(далее именуются частицами 2-го типа);
tн1,
tо1
- времена начала и окончания выпадения радиоактивных частиц 1-го типа;
tн2,
tо2
- времена начала и окончания выпадения радиоактивных частиц 2-го типа.
Математическая
постановка задачи, константное обеспечение и метод ее решения, обеспечивающие
определение указанных параметров и функций, приведены в Приложениях
1 и 2
к МУ.
С целью снижения
погрешностей определения расчетной информации реализуется двухэтапная процедура
вычислений. На первом этапе по исходным данным о распределениях скоростей и
направлений ветра по высоте атмосферы, измеренных в районе испытательной
площадки полигона за срок, ближайший к моменту взрыва, рассчитывается
распределение мощности дозы гамма-излучения на территории региона и
определяются расчетные координаты оси радиоактивного следа x0(s) и y0(s) как функции расстояния s от
эпицентра взрыва, отсчитанного вдоль оси следа. Далее результаты расчета
корректируются по фактическим данным радиационной разведки. Смысл корректировки
состоит в определении такой угловой поправки Δφ к направлениям ветра
на всех высотах, при которой новые расчетные координаты оси радиоактивного
следа будут минимально отклоняться от фактической оси. В математическом плане
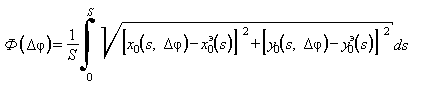
эта задача сводится к поиску минимума функционала вида
,
(7)
где xэ0(s), yэ0(s) - фактические координаты оси
радиоактивного следа, S - расстояние вдоль оси радиоактивного следа до
границы зоны, где проводилась радиационная разведка, x0(s, Δφ), y0(s, Δφ) - расчетные координаты
оси радиоактивного следа при введении поправки Δφ;
,
(8)
.
На втором этапе проводится расчет искомых параметров
и функций с учетом найденной угловой поправки к направлениям ветра.
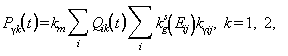
3.5. Определяется
эффективная доза внешнего облучения лица Еγ(Т1,
Т2), накопленная за период его проживания в населенном пункте от
момента времени Т1 до момента времени Т2. В
общем случае эта величина является суммой двух компонент Еsγ(Т1,
Т2) и Еvγ.
Первая компонента (Еsγ(Т1,
Т2)) обусловлена радиоактивными продуктами, выпавшими на
поверхность земли, вторая компонента (Еvγ)
- радиоактивными продуктами, взвешенными в приземном слое воздуха в период
формирования радиоактивного следа. Ввиду кратковременности периода выпадения
радиоактивных частиц в фиксированной точке следа по сравнению с периодом
накопления дозы обоснованно считать, что а) степень защищенности человека к
воздействию радиоактивных продуктов взрыва в течение этого периода не
изменяется и б) накопление дозы от радиоактивных продуктов, взвешенных в
воздухе, является одномоментным. С учетом изложенного условие суммирования
указанных компонент записывается в виде
,
(9)
где
- компоненты эффективной дозы Еvγ,
соответствующие радиоактивным частицам k-го типа (k = 1, 2),
δ(t)
- функция Хевисайда;

Определение компоненты
дозы Еsγ(Т1,
Т2) производится с использованием соотношений
,
(10)
где
,
(11)
,
,
,
,
,
(12)
,
,

(13)
Определение компоненты дозы
производится с использованием соотношений

(14)
где
,
(15)
,
(16)
,
,
, м/с,
[ρн] = г/см3, [d] = мкм.
В приведенных
соотношениях приняты следующие обозначения физических величин (из числа не обозначенных
ранее по тексту МУ):
Qpk - плотность выпадения
массы радиоактивных частиц k-го типа, km - коэффициент,
учитывающий микрорельеф поверхности земли, kp -
коэффициент перехода от экспозиционной дозы к поглощенной дозе гамма-излучения
в воздухе, ηk(t) - динамика выпадения радиоактивных
частиц k-го типа, aik(d, t) - удельная (на единицу массы частицы)
активность i-го радионуклида в частице k-го типа диаметром d
на время t после взрыва, kγij, Eij - дифференциальная
гамма-постоянная и энергия j-ой линии i-го радионуклида, ksg(E), kvg(E) - коэффициенты, учитывающие
геометрический фактор при формировании мощности дозы гамма-излучения с энергией
квантов Е над плоским источником с постоянной плотностью (поверхностной
активностью) загрязнения и на границе полубесконечного пространства с
постоянной удельной объемной активностью излучателей, β0 -
скорость сухого осаждения "невесомой" примеси на подстилающую
поверхность, w(z =
0, d)
- скорость гравитационного осаждения частицы 1-го типа диаметром d на
высоте поверхности земли, ρн - плотность радиоактивных частиц
1-го типа.
Знак суммы по индексу i
в соотношениях (10), (11) и (15) подразумевает
суммирование по всем радионуклидам, входящим в состав изобарных цепочек с
массовыми номерами от 72 до 160, знак суммы по индексу j - суммирование
по всем гамма-линиям i-го радионуклида. В случае, когда t* является временем приведения, значение
ηik(t*) в соотношении (11) следует принять
тождественно равным 1.
Способ определения
функций aik(d, t) изложен в Приложении
2 к МУ, рекомендуемые значения коэффициентов ksg
и kvg,
а также дозовых коэффициентов е1 и е2 в
зависимости от энергии гамма-квантов приведены в Приложении
4 к МУ. Рекомендуемые значения других величин, встречающихся в приведенных
выше формулах: km
= 0,8; kp
= 0,88 сГр/Р, ρн = 2,5 г/см3, β0 =
0,01 м/с.
3.6. Определяется
эффективная доза внутреннего облучения лица Н(Т1, Т2),
накопленная в результате ингаляции радиоактивных продуктов взрыва за период его
проживания в населенном пункте от момента времени Т1 до
момента времени Т2. В общем случае эта величина представляет
собой сумму двух компонент Нv и
(Нs(Т1,
Т2)). Первая компонента (Нv) соответствует
эффективной дозе, обусловленной вдыханием воздуха, загрязненного выпадающими из
облака взрыва радиоактивными частицами, вторая компонента Нs(Т1,
Т2) - эффективной дозе вследствие ингаляции радиоактивных
аэрозолей, оказавшихся в зоне дыхания в результате их дефляции (вторичного
ветрового подъема) с поверхности земли. В силу кратковременности периода
выпадения радиоактивных частиц по сравнению с периодом накопления дозы
суммирование указанных компонент производится в соответствии с правилом
,
(17)
где
- компоненты эффективной дозы Нv, соответствующие
радиоактивным частицам k-го типа.
Определение компонент
дозы
и Нs(Т1,
Т2) производится на основании соотношений

(18)

,
(19)
,

,
.
В приведенных
соотношениях приняты следующие обозначения физических величин (из числа не
упомянутых ранее по тексту МУ):
Ve
- скорость вентиляции легких человека, a0ik(d) - приведенная к моменту взрыва удельная
активность i-го радионуклида в частицах k-го типа размером d,
a0si1(d) - приведенная к моменту взрыва удельная
активность i-го радионуклида, содержащегося на поверхности частицы 1-го типа
размером d, λi
- постоянная распада i-го радионуклида, dmax - максимальный
диаметр частиц, поднимаемых на высоту органов дыхания в результате дефляции.
Знак
суммы по индексу i в соотношениях (18) и (19) подразумевает суммирование
по основным дозообразующим радионуклидам, актуальным при внутреннем облучении.
Перечень этих радионуклидов и соответствующие им значения дозовых коэффициентов
his0
и hiv0
для различных возрастных групп населения приведены в Приложении
4 к МУ. Способ определения функций a0ik(d) и a0si1(d) изложен в Приложении
2 к МУ. Объемная интенсивность вентиляции легких для разных возрастных
групп населения приведена в Приложении
4 к МУ. Рекомендуемые значения других величин, встречающихся в приведенных
выше формулах: β* = 0,014 м/с, dmax = 100 мкм, k2
= 10-9 м-1, λ1 = 1,46·10-7 с-1,
λ2 = 2,2·10-7 с-1,

3.7. На основе
сведений по пунктам 2.4 "в" и 2.4
"г" с использованием метода, описанного в Приложении
3 к МУ, определяются как функции времени, отсчитанного от момента окончания
радиоактивных выпадений tok,
интенсивности перорального поступления отдельных радионуклидов в организм
человека, нормированные на единичные плотности радиоактивного загрязнения
поверхности земли каждым радионуклидом, содержащимся в биологически доступных
(растворимых) формах на монодисперсных частицах 1-го и 2-го типов диаметром d
(функции Ipi1(d, t) и Ipi2(d, t), соответственно). В составе рациона
питания человека учитываются мясо, молоко, хлеб (ржаной и пшеничный раздельно)
и листовые овощи, загрязненные радионуклидами, перечень которых представлен в Приложении
4 к МУ.
3.8. Определяется
эффективная доза внутреннего облучения лица G(T1,
T2),
накопленная в результате потребления им загрязненных продуктов питания местного
происхождения за период проживания в населенном пункте от момента времени T1
до момента времени T2
,
(20)
где gi - дозовый коэффициент
для i-го радионуклида при его пероральном поступлении в организм
человека.
Значения коэффициентов
gi,
соответствующие различным возрастным группам населения, приведены в Приложении
4 к МУ.
3.9. Полная
эффективная доза облучения лица E(T1, T2),
накопленная за период времени его проживания в населенном пункте от момента T1
до момента T2,
определяется суммированием

(21)
4.1. Неопределенность
установленных значений эффективных доз облучения лиц из населения определяется
следующими составляющими:
неопределенность εm метода преобразования
мощности экспозиционной дозы гамма-излучения в точке с координатами населенного
пункта в параметры, характеризующие физические поля и факторы радиационного
воздействия на человека в реальной среде его обитания (поглощенные дозы в
воздухе, ингаляционные и пероральные поступления радионуклидов в организм
человека);
неопределенность
интерполяции измеренной мощности экспозиционной дозы гамма-излучения в точку с
координатами населенного пункта εp.
В силу независимости
указанных составляющих и линейной связи параметров полей и факторов воздействия
с величиной мощности дозы общая оцененная неопределенность установленного
значения эффективных доз εE рассчитывается по формуле
.
(22)
4.2. Максимальная
суммарная неопределенность для последовательности процедур преобразования
мощности экспозиционной дозы гамма-излучения в параметры указанных выше
физических полей и факторов по результатам тестовых расчетов для расстояний от
эпицентра взрыва, не превышающих 1000 км, оценивается величиной ±30 %, что
соответствует среднеквадратичному значению εm =
10 %.
4.3. Значение величины
εp
зависит от способа задания исходных данных по пункту
2.3.
Если значение мощности
экспозиционной дозы гамма-излучения является результатом прямого измерения в
ареале населенного пункта, то погрешность значения этой величины принимается
равной нулю.
Если исходные данные по
пункту 2.3 заданы в виде карты-схемы
радиоактивного загрязнения местности, то величина εp рассчитывается по
формуле
,
(23)
где Pэi, Pэi+1
- экспериментальные значения мощности экспозиционной дозы гамма-излучения,
соответствующие внешней и внутренней границам (линиям уровня) пространственной
области, содержащей точку с координатами населенного пункта.
Если исходные данные по
пункту 2.3 заданы в виде набора
результатов измерений в точках, не совпадающих с координатами населенного
пункта, то величина εp рассчитывается по
формуле
,
(24)
где Pэγ(xi, yi) - приведенные на время
t* результаты измерений мощности экспозиционной дозы гамма-излучения в
точке с координатами (xi,
yi),
P*γ(xi, yi) - расчетные значения
этой же величины, полученные по формуле (5), N
- общее количество точек измерений.
При установлении в соответствии с настоящими МУ
значения доз облучения конкретных лиц из населения проводится округление до
второй значащей цифры по правилу округления с избытком.
_____________________________
*
Собрание законодательства Российской Федерации, 2002 г. № 2, ст. 128; 2004 г. №
12, ст. 1035, № 35, ст. 3607; 2005 г. № 1 (часть I), ст. 25; 2007 г. № 45, ст.
5421; 2008 г. № 9, ст. 817, № 29 (часть I), ст. 3410, № 30 (часть II), ст.
3616, № 52 (часть I), ст. 6236; 2009 г. № 18 (часть I), ст. 2152, № 30, ст.
3739
** Внесистемная величина
"экспозиционная доза" с единицей измерения "рентген" (Р)
указывается здесь и далее в связи с использованием ее при измерениях в период
проведения испытаний.
Приложение 1
к МУ 2.6.1.2574-2010,
утверждены постановлением
Главного государственного
санитарного врача РФ
от 21 января 2010 г. № 5
1. В основе способа
определения временных характеристик и дисперсного состава радиоактивных
выпадений на следе облака атмосферного ядерного взрыва лежит математическое
моделирование процессов образования радиоактивных частиц, вовлечения их в
атмосферу воздушными потоками поднимающегося облака взрыва, последующего
выпадения на поверхность земли под воздействием ветра, атмосферной
турбулентности и силы гравитации, формирования полей гамма-излучения над
радиоактивно загрязненной территорией. Для количественного описания этих
процессов используется комплекс физико-математических моделей и методов,
включающий в себя:
- метод определения
радионуклидного состава радиоактивных частиц;
- модель объемного
источника радиоактивного загрязнения внешней среды, представляющую собой
совокупность соотношений, описывающих распределение радиоактивных частиц по
размерам и пространству возмущенной области атмосферы на момент окончания
подъема и стабилизации облака взрыва в атмосфере;
-
физико-математическую модель распространения радиоактивных примесей в
атмосфере;
- метод расчета
характеристик радиационных полей над загрязненной поверхностью земли.
Рассматриваются
процессы образования и пространственного переноса радиоактивных частиц двух
типов. К радиоактивным частицам 1-го типа отнесены частицы, образующиеся в результате
осаждения радионуклидов на частицы раздробленного грунта, к частицам 2-го типа
- мелкодисперсные аэрозоли, образующиеся в результате совместной конденсации
паров грунта, испаренных конструкционных материалов взрывного устройства и
радионуклидов - продуктов деления ядерного горючего.
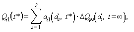
В результате расчетов
по описанному ниже методу в точке с координатами населенного пункта
устанавливаются значения следующих характеристик радиоактивного загрязнения:
αγ
- вклад в мощность экспозиционной дозы гамма-излучения радиоактивных частиц
1-го типа;
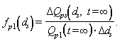
fp1(d) - распределение по размерам d
массы выпавших радиоактивных частиц 1-го типа;
fp2(d) - распределение по размерам d
массы выпавших радиоактивных частиц 2-го типа;
tн1,
to1
- времена начала и окончания выпадения радиоактивных частиц 1-го типа;
tн2,
to2
- времена начала и окончания выпадения радиоактивных частиц 2-го типа.
2. Для проведения
расчетов задаются следующие исходные данные:
- полная мощность
взрыва q, т;
- высота взрыва Н,
м;
- распределения модуля
скорости v(z), м/с, и направления φ(z), град,
штурманского ветра (куда дует) по высоте атмосферы z;
- горизонтальные (kx, ky) и вертикальная kz составляющие
коэффициента турбулентной диффузии, м2/с.
3. Алгоритм расчета
включает следующие вычислительные процедуры.
3.1. По формуле 1
Приложения 1 к МУ (далее - П.1.1) определяются максимальный (Dmax) и минимальный (Dmin) размеры
радиоактивных частиц 1-го типа, распределенных в источнике загрязнения
,
,
(П.1.1)
,
где ξ1,
σ1 - параметры логарифмически-нормального распределения массы
образующихся радиоактивных частиц 1-го типа по их размерам.
Далее диапазон
размеров частиц от Dmin
до Dmax
разбивается на S фракций и определяются ширина фракции Δds и средний размер
частиц внутри фракции ds

(П.1.2)
3.2. Для среднего размера
частиц каждой фракции ds
решается система одномерных дифференциальных уравнений в частных производных
следующего вида
,
,
(П.1.3)
,
где L -
дифференциальный оператор вида
,
(П.1.4)
Θ00, xc, yc, σx, σy, Rxy
- центральные моменты распределения радиоактивной примеси на
высоте z атмосферы в момент времени t после взрыва, ws = w(z, ds) - скорость
гравитационного осаждения частицы диаметром ds на высоте z
атмосферы, vx,
vy
- составляющие скорости ветра на высоте z атмосферы по осям х и у,
соответственно;
,
м/с,
(П.1.5)

ρн -
плотность радиоактивных частиц 1-го типа, ρа(z) - плотность воздуха на высоте z, км,
атмосферы; [ρа] = [ρн] = г/см3,
[ds]
= мкм.
Граничные условия для задачи
(П.1.3), (П.1.4)
задаются в виде соотношений
,

(П.1.6)


где β(ds) = β0
+ w(0,
ds).
Начальные условия для
системы уравнений (П.1.3), (П.1.4) имеют вид:


(П.1.7)

Расчет значений
функций fh1(z), φ1(d/z) и σr1(z), описывающих объемный источник
радиоактивного загрязнения, производится на основе соотношений


(П.1.8)






(П.1.9)

3.3. Радиоактивные
частицы 2-го типа рассматриваются как одна фракция с нулевой скоростью
осаждения. Для этих частиц система уравнений (П.1.3),
(П.1.4) решается при дополнительном условии w(z, d) º
0 и следующих начальных условиях:

(П.1.10)

Расчет значений
функций fh2(z) и σr2(z), описывающих пространственное
распределение в объемном источнике загрязнения радиоактивных частиц 2-го типа,
производится на основе соотношений

(П.1.11)
3.4. Массовая
концентрация фракции частиц 1-го типа размером ds (массовая
концентрация частиц 2-го типа) в произвольной точке пространства (x, y,
z) на любой момент времени t после взрыва рассчитывается по
соотношению

(П.1.12)

3.5. Плотность
выпадения массы фракции радиоактивных частиц 1-го типа размером ds в точке с
координатами населенного пункта xнп, унп
определяется численным интегрированием по времени плотности потока массы
радиоактивной примеси:

(П.1.13)
Полная плотность
выпадения массы радиоактивных частиц 1-го типа, а также плотность
радиоактивного загрязнения поверхности земли z-ым радионуклидом,
содержащимся на частицах 1-го типа, находятся суммированием по всем фракциям
частиц:

(П.1.14)

где ai1(ds, t) - удельная активность i-го
радионуклида в частице 1-го типа диаметром ds на время t после
взрыва.
Установленная в
результате аналогичного интегрирования по времени плотности потока массы
радиоактивных частиц 2-го типа величина плотности выпадения массы этих частиц Qp2(t) используется для расчета плотности
загрязнения поверхности земли i-ым радионуклидом, содержащимся на
частицах 2-го типа

(П.1.15)
где ai2(t) - удельная активность i-го
радионуклида в частицах 2-го типа на время t после взрыва.
Мощности
экспозиционной дозы гамма-излучения, сформированные выпавшими радиоактивными
частицами 1-го и 2-го типов, на время t после взрыва рассчитываются по
соотношению

(П.1.16)
где km - коэффициент,
учитывающий микрорельеф поверхности земли, kγij, Eij - дифференциальная
гамма-постоянная и энергия j-ой линии i-го радионуклида, ksg(E) - коэффициент, учитывающий
геометрический фактор при формировании мощности дозы гамма-излучения с энергией
квантов Е над плоским источником с постоянной плотностью (поверхностной
активностью) загрязнения.
Знак суммы по индексу i
в соотношении (П.1.16) подразумевает суммирование по всем радионуклидам,
входящим в состав изобарных цепочек с массовыми номерами от 72 до 160, знак
суммы по индексу j - суммирование по всем гамма-линиям i-го
радионуклида. Способ определения функций ai1(ds, t) и ai2(t) изложен в Приложении
2 к МУ, рекомендуемые значения коэффициента ksg
в зависимости от энергии гамма-квантов приведены в Приложении
4 к МУ. Значения других величин, встречающихся в приведенных выше формулах,
следует задавать равными:



(П.1.17)

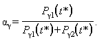
3.6. Величина αγ
рассчитывается по соотношению

(П.1.18)
Момент времени t* имеет разный смысл в зависимости от способа
задания исходных данных по пункту 2.3 МУ.
Если исходные данные по пункту 2.3 МУ
заданы в виде "а" и t*
имеет смысл времени измерения мощности экспозиционной дозы гамма-излучения, то
расчет величины αγ проводится строго по формуле (П.1.18).
В противном случае входящие в соотношение (П.1.18) величины Pγ1(t*) и Pγ2(t*) должны рассчитываться по формулам


(П.1.19)

Условие t =
¥
в формулах (П.1.19) подразумевает интегрирование в соотношении (П.1.13) по такому конечному интервалу времени, который
заведомо превышает время окончания выпадения радиоактивных частиц в точке с
координатами населенного пункта.
Дискретная функция
плотности распределения по размерам d массы выпавших радиоактивных
частиц 1-го типа определяется по формуле

(П.1.20)
Функция плотности
распределения по размерам d массы выпавших радиоактивных частиц 2-го
типа определяется соотношением

(П.1.21)
где ξ2
= 1,7 мкм, σ2 = 0,15.
Времена начала и окончания
выпадения радиоактивных частиц 1-го и 2-го типов рассчитываются по формулам (k
= 1, 2)

(П.1.22)

4. Численное решение
системы уравнений (П.1.3), (П.1.4) с граничными условиями (П.1.6)
и начальными условиями (П.1.7), (П.1.10) проводится с использованием разностной
схемы Самарского, представляющей собой абсолютно устойчивую монотонную схему
второго порядка точности по координатам и первого порядка точности по времени
для уравнения диффузии общего вида. Для вычисления интегралов по времени
используются стандартные процедуры с автоматическим выбором шага
интегрирования, обеспечивающие относительную погрешность вычислений не более 10-3.
Приложение 2
к МУ 2.6.1.2574-2010,
утверждены постановлением
Главного государственного
санитарного врача РФ
от 21 января 2010 г. № 5
1. В основе метода
определения радионуклидного состава радиоактивных частиц при атмосферных
ядерных взрывах лежит двухкаскадная схема индуктивного соосаждения
радиоактивных веществ в светящейся области и облаке взрыва. В соответствии с
этой схемой рассматриваются процессы осаждения радионуклидов на
частицы-носители двух типов. К частицам 1-го типа отнесены частицы
расплавленного грунта, образующиеся в результате интенсивного теплового и
механического действия ядерного взрыва на грунт подстилающей поверхности, к
частицам 2-го типа - мелкодисперсные аэрозоли, образующиеся в результате
совместной конденсации паров грунта, испаренных конструкционных материалов
взрывного устройства и радионуклидов - продуктов деления ядерного горючего. В
результате расчетов по указанной схеме определяются удельные активности
произвольного i-го радионуклида в радиоактивных частицах 1-го и 2-го
типов на любой момент времени после ядерного взрыва.
2. Для проведения
расчетов задаются следующие исходные данные:
- полная мощность
взрыва q, т;
- мощность взрыва по
делению qf,
т;
- высота взрыва Н,
м;
- состав разделившихся
материалов (Pu239,
U235,
U238)
в соотношении компонентов α239 : α235 : α238;
- схемы радиоактивных
цепочек распада, периоды полураспада Ti, с, и коэффициенты ветвления радионуклидов;
- независимые выходы
радионуклидов при различных типах деления ядерного горючего.
3. Алгоритм расчета включает
следующие вычислительные процедуры.
3.1. По формулам 1
Приложения 2 к МУ (далее - П.2.1) определяются моменты времени первого (t1)
и второго (t2)
каскадов конденсации

(П.2.1)

3.2. Определяются независимые
выходы радионуклидов, входящих в состав изобарной цепочки, содержащей i-ый
радионуклид (j≤i)

(П.2.2)
где Yj239,
Yj
235, Yj
238 - независимые выходы j-го
радионуклида при делении Pu239
и U235
нейтронами спектра деления и U238
нейтронами с энергией 14 МэВ.
3.3. Рассчитываются
активности ядер i-го радионуклида цепочки, содержащихся в газопаровой
фазе на моменты времени 1-го и 2-го каскадов конденсации Ai(t1)
и Ai(t2),
соответственно)

(П.2.3)

где
- постоянная распада j-го
радионуклида, β1j -
коэффициент соосаждения j-го радионуклида на 1-ом каскаде конденсации;

(П.2.4)

В соотношениях (П.2.3)
и (П.2.4) суммирование ведется по всем радионуклидам - предшественникам i-го
радионуклида по цепочке радиоактивных превращений.
3.4. Рассчитываются удельные
активности i-го радионуклида в объеме (индекс "v") и на
поверхности (индекс "s") частиц 1-го типа диаметром d на
моменты времени 1-го и 2-го каскадов конденсации

(П.2.5)

где M =
lge
≈ 0,4343, β2i - коэффициент
соосаждения i-го радионуклида на 2-ом каскаде конденсации, P1
- масса радиоактивных частиц 1-го типа, образующихся при ядерном взрыве, г;

(П.2.6)

(П.2.7)

(П.2.8)


Значения коэффициентов
соосаждения β1i и β2i определяются принадлежностью i-го
радионуклида к одной из четырех термодинамических групп химических элементов в
соответствии с таблицей 1 Приложения 2 к МУ (далее -
таблица П.2.1).
Таблица П.2.1
|
Коэффициент, отн. ед.
|
Группа элементов
|
|
Ga, Sr, Y, Zr,
|
Ge, As, Se, Rb,
|
Br, I
|
Kr, Xe
|
|
Nb,
|
Cs,
|
|
|
|
Ag, Ba, La, Ce,
|
Mo, Tc, Ru, Rh,
|
|
|
|
Pr,
|
Pd, Sn, Cd, In,
|
|
|
|
Nd, Pm, Sm, Eu,
|
Sb,
|
|
|
|
Gd
|
Те
|
|
|
|
β1i
|
1
|
0,32
|
0,05
|
0,013
|
|
β2i
|
1
|
1
|
0,1
|
0,037
|
3.5. Рассчитываются удельные активности i-го радионуклида в объеме (индекс "v") и на поверхности (индекс "s") радиоактивных частиц 2-го типа на
моменты времени 1-го и 2-го каскадов конденсации

(П.2.9)

где P2
- масса радиоактивных частиц 2-го типа, образующихся при ядерном взрыве, г;

(П.2.10)
3.6. Удельные
активности i-го радионуклида в частицах 1-го и 2-го типов на любой
момент времени t, с, после ядерного взрыва, превышающий время t2,
рассчитываются по формулам

(П.2.11)

3.7. Приведенные к
моменту взрыва удельные активности i-го радионуклида, содержащиеся на
частицах (a0i1(d), a0i2),
в объеме (a0vi1(d), a0vi2)
и на поверхности (a0si1(d), a0si2)
частиц, рассчитываются по формулам

(П.2.12)


где tn - момент времени,
равный 24 ч (tn
= 8,64·104 с).
Приложение 3
к МУ 2.6.1.2574-2010,
утверждены постановлением
Главного государственного
санитарного врача РФ
от 21 января 2010 г. № 5
1. В основе способа
определения интенсивностей перорального поступления радионуклидов в организм
человека при его проживании на следе облака атмосферного ядерного взрыва лежит
математическое моделирование процессов миграции радионуклидов в системах
"почва" - "растение" - "животное" -
"человек" и "почва" - "растение" -
"человек".
Для количественного
описания этих процессов используются следующие математические модели:
- модели расчета величины
первоначального задержания радиоактивных частиц растениями;
- модель метаболизма
радионуклидов в организме мясомолочного скота;
- камерная модель
миграции радионуклидов в системе "почва" - "растение";
- модель рационов
кормления мясомолочного скота;
- модель потребления
продуктов питания человеком.
Блок-схемы камерной
модели миграции радионуклидов в пищевых цепях и модели метаболизма
радионуклидов в организме мясомолочного скота представлены на рисунках 1 и 2
Приложения 3 к МУ (далее - рисунок П.3.1 и П.3.2). Рассматриваются воздушный и
корневой пути формирования радиоактивного загрязнения сельскохозяйственных
растений. При воздушном пути загрязнения учитываются процессы непосредственного
загрязнения надземных частей растений радиоактивными выпадениями и их
последующего загрязнения частицами почвы, поднятыми с подстилающей поверхности
в приповерхностный слой воздуха с брызгами дождя или за счет вторичного
пылеобразования; процессы очищения поверхностей растений за счет выветривания и
смывания осадками. При расчете корневого (почвенного) пути загрязнения
учитывается поступление радионуклидов в растения из загрязненного
корнеобитаемого слоя почвы посредством корневого усвоения.

Рисунок П.3.1 - Блок-схема камерной модели
миграции радионуклидов по пищевым цепям.

Рисунок П.3.2 - Блок-схема модели метаболизма
радионуклидов в организме мясомолочного скота.
В результате расчетов
по указанным выше моделям определяются как функции времени, отсчитанного от
момента окончания радиоактивных выпадений tok, интенсивности
перорального поступления отдельных радионуклидов в организм человека,
нормированные на единичные плотности радиоактивного загрязнения поверхности
земли каждым радионуклидом, содержащимся в биологически доступных (растворимых)
формах на монодисперсных частицах 1-го и 2-го типов диаметром d (функции
IPi1(d, t) и IPi2(d, t), соответственно).
2. Для проведения
расчетов задаются следующие исходные данные:
- дифференцированное
по сезонам либо среднегодовое суточное потребление продуктов питания местного
происхождения: мяса, молока, хлеба (ржаного и пшеничного раздельно), листовых
овощей разными возрастными группами населения (до 1 года, от 1 до 2 лет, от 2
до 7 лет, от 7 до 12 лет, от 12 до 17 лет, старше 17 лет);
- времена наступления
основных фаз развития растений, сроки возделывания пищевых и кормовых культур и
пастбищного содержания мясомолочного скота, рационы их кормления.
Расчеты проводятся для
четырех продуктов питания человека: молоко, мясо, листовые овощи и хлеб. На
рисунке П.3.3 показана временная диаграмма, характеризующая сроки проведения
сельскохозяйственных работ, времена наступления основных фаз развития растений
и характерные времена потребления продукции растениеводства.

Рисунок П.3.3 - Временная диаграмма основных событий,
определяющих радиоактивное загрязнение продукции растениеводства; а)
сельскохозяйственные культуры, потребляемые в свежем виде (листовые овощи,
пастбищная трава); б) заготавливаемые яровые сельскохозяйственные культуры
(пшеница, травы сенокосов); в) заготавливаемые озимые сельскохозяйственные
культуры (рожь);
Обозначения, принятые
на рисунке П.3.3:
Tt - время проведения
вспашки почвы;
T0
- время начала всходов;
T1
- время набора максимальной величины биомассы на поле;
Th
- время начала сбора урожая;
Dt
- продолжительность сбора урожая;
ts
- время выдержки до начала потребления соответствующего
продукта питания;
tsA - время выдержки до
начала потребления соответствующего корма мясомолочного скота;
Tc
- продолжительность потребления продукта питания.
Все характерные
времена задаются в сутках от начала года.
3. Функции, задающие
интенсивности перорального поступления i-радионуклида, содержащегося на
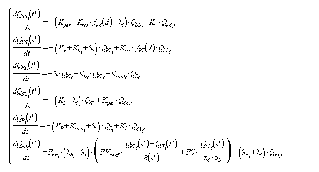
частицах k-типа (k=1, 2), с j-продуктом питания (IPikj(d, t)) определяются на основе решения систем
обыкновенных дифференциальных уравнений первого порядка следующего вида
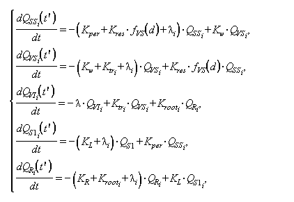
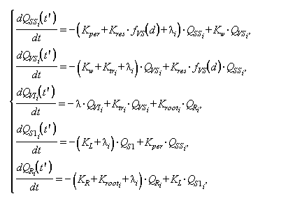
Листовые
овощи, потребляемые в свежем виде

(П.3.1)
удельное загрязнение продуктов,
потребляемых в свежем виде


Заготавливаемые
листовые овощи, яровая пшеница, озимая рожь

(П.3.2)
удельное загрязнение
заготавливаемых продуктов


Молоко (пастбищный
период содержания коров)

(П.3.3)
удельное загрязнение
молока




Молоко (стойловый
период содержания коров)

(П.3.4)
удельное загрязнение
молока




Мясо (пастбищный
период содержания коров)

(П.3.5)
удельное загрязнение
мяса




(П.3.6)


Мясо (стойловый период
содержания коров)

(П.3.7)


(П.3.8)


(П.3.9)
удельное загрязнение
мяса

Начальные условия:
первоначальное
выпадение радиоактивных продуктов


(П.3.10)

вспашка почвы




(П.3.11)


где δ→0.
Расчеты по
соотношениям (П.3.1)-(П.3.9) проводятся отдельно для каждого i-радионуклида,
переносимого частицами k-го типа.
Величины
задают загрязнение i-радионуклидом в
отдельных камерах модели миграции, блок-схема которой приведена на рисунках
П.3.1 и П.3.2.
По результатам
расчетов с использованием соотношений (П.3.1)-(П.3.9) определяются величины удельных
загрязнений j-продукта питания i-радионуклидом, выпадающим на
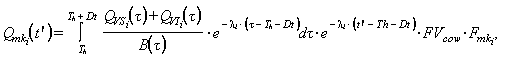
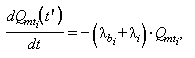
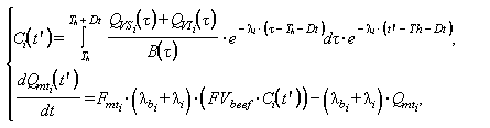
частицах k-типа (Pikj(t')), и интенсивности поступления i-радионуклида
с j-продуктом питания (Iikj(d, t)).
Интенсивность
перорального поступления i-радионуклида, выпадающего на частицах k-го
типа, с продуктами питания местного происхождения рассчитывается по формуле

(П.3.12)
где t - время,
прошедшее от момента выпадения радиоактивных продуктов в данной точке
местности, сут, tex
- время взрыва, отсчитываемое в сутках от начала года, t'
- текущее время от начала года в сутках, tox
- момент времени окончания формирования выпадений в данном
населенном пункте, отсчитываемый в сутках от момента взрыва.
4. Численные значения
параметров модели, используемые при проведении расчетов, представлены ниже.
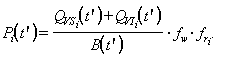
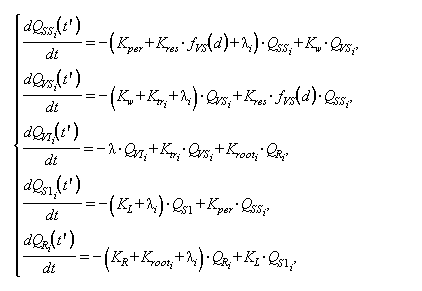
fSS(d), fVS(d) - доли активности, выпадающей на
частицах k-типа размером d, перехватываемые поверхностью почвы и
растений, соответственно, вычисляются по следующему соотношению

(П.3.13)
где α(d) - величина коэффициента первоначального
задержания радионуклида на растительности в зависимости от размера выпадающих
частиц, кг/м2, d - диаметр частицы, мкм,
- величина биомассы на поле на момент
выпадения активности, кг/м2.
Величина коэффициента
первоначального задержания рассчитывается по формуле

(П.3.14)
где d0 @
40 мкм; n = 1,5.
Зависимость величины
биомассы на поле в течение периода роста растений задается кусочно-линейной
функцией вида:

(П.3.15)
где Bmin, Bmax
- минимальная и максимальная величины биомассы
сельскохозяйственной культуры на поле, кг/м2.
Значения величин Bmin, Bmax
приведены в таблице 1 Приложения 3 к МУ (далее - таблица
П.3.1).
Таблица П.3.1
|
С/х культура
|
Bmin
|
Bmax
|
|
трава пастбищ и сенокосов
|
0
|
0,24
|
|
листовые овощи
|
0
|
0,24
|
|
пшеница, рожь
|
0
|
0,54
|
В таблицах П.3.2 - П.3.5 приведены
параметры, характеризующие миграцию радионуклидов в растительных цепочках.
Таблица П.3.2
|
Параметр модели
|
Значение, сут-1
|
|
Kres
|
9,5×10-3
|
|
Kw
|
5,0×10-2
|
|
Kper
|
1,98×10-2
|
|
KL
|
1,4×10-3
|
|
KR
|
5,5×10-5
|
Таблица П.3.3
|
Параметр модели
|
Значение
|
|
xS
|
0,001 м
|
|
xS1
|
0,01м
|
|
xR
|
0,25 м
|
|
ρS
|
1800 кг/м3
|
Таблица П.3.4
|
Нуклид
|
Ktr, сут-1
|
|
Cs, Те, Mo
|
5,5×10-3
|
|
Sr, Ba
|
1,0×10-3
|
|
I
|
8,5×10-3
|
Таблица П.3.5
|
Нуклид
|
Ktr, (Бк/кг)/(Бк/кг)
|
|
Sr
|
3,0
|
|
Zr
|
0,003
|
|
Ru
|
0,2
|
|
Cs
|
0,46
|
|
Ba
|
0,03
|
|
Се
|
0,03
|
Величина
коэффициента fc
задается равной 1 для всех сельскохозяйственных культур
кроме пшеницы и ржи, для которых значение fc принято равным 0,25.
Значение коэффициента fw
для пшеницы и ржи равно 0,86, для листовых овощей - 0,25.
Параметры,
характеризующие миграцию радионуклидов в мясомолочной цепочке, представлены в таблицах
П.3.6, П.3.7.
Таблица П.3.6
|
Параметр модели
|
Значение
|
|
FVcow
|
10 кг/сут
|
|
FVbeef
|
8 кг/сут
|
|
FS
|
0,5 кг/сут
|
|
Tlive
|
1,5 года
|
Таблица П.3.7
|
Нуклид
|
Fmk, сут/л
|
Fmt, сут/кг
|
λb 1/сут
|
|
131I
|
8,6×10-3
|
3,4×10-3
|
3,9×10-2
|
|
133I
|
4,0×10-3
|
5,1×10-4
|
3,9×10-2
|
|
135I
|
1,7×10-3
|
1,7×10-4
|
3,9×10-2
|
|
132Те
|
2,7×10-4
|
1,1×10-3
|
5,5×10-3
|
|
136Cs
|
7,2×10-3
|
6,0×10-3
|
2,3×10-2
|
|
137Cs
|
1,0×10-2
|
2,0×10-2
|
2,3×10-2
|
|
141Се
|
1,96×10-5
|
8,3×10-5
|
1,2×10-3
|
|
143Се
|
1,3×10-5
|
3,7×10-6
|
1,2×10-3
|
|
144Се
|
2,0×10-5
|
5,0×10-4
|
1,2×10-3
|
|
140Ва
|
2,3×10-4
|
1,0×10-4
|
5,7×10-2
|
|
103Ru
|
2,7×10-6
|
5,4×10-3
|
2,1×10-2
|
|
106Ru
|
4,6×10-6
|
9,2×10-3
|
2,1×10-2
|
|
89Sr
|
1,6×10-3
|
8,7×10-4
|
9,3×10-2
|
|
90Sr
|
1,7×10-3
|
1,7×10-3
|
9,3×10-2
|
|
91Sr
|
1.6е-4
|
5.0е-5
|
9,3×10-2
|
|
99Mo
|
1,0×10-3
|
3,0×10-3
|
9,3×10-2
|
|
95Zr
|
1,5×10-5
|
4,1×10-3
|
1,5×10-3
|
Численные значения коэффициентов
переработки приведены в таблице П.3.8. Времена выдержки перед началом
потребления (ts) составляют 90 сут
для хлеба, 1 сут для листовых овощей и 0,5 сут для мяса и молока.
Таблица П.3.8
|
Продукт питания (химический
элемент)
|
fr, отн. ед.
|
|
Листовые овощи
|
1,0
|
|
Мясо
|
1,0
|
|
Молоко
|
1,0
|
|
Хлеб
|
Sr
|
0,4
|
|
Cs
|
0,6
|
|
Остальные
|
0,5
|
5. Численное решение систем обыкновенных
дифференциальных уравнений первого порядка (П.3.1)
- (П.3.9) с начальными условиями (П.3.10) и (П.3.11)
проводится с использованием метода Рунге-Кутта четвертого порядка точности. Для
вычисления интегралов по времени используются процедуры, обеспечивающие
точность вычисления не ниже точности вычислений при решении описанных систем
обыкновенных дифференциальных уравнений. Общая относительная погрешность
вычислений не более 10-3.
Приложение 4
к МУ 2.6.1.2574-2010,
утверждены постановлением
Главного государственного
санитарного врача РФ
от 21 января 2010 г. № 5
Таблица П.4.1
|
Энергия гамма-кванта, МэВ
|
ksg, отн. ед.
|
kvg, м
|
Энергия гамма-кванта, МэВ
|
ksg, отн. ед.
|
kvg, м
|
|
0.010
|
48633.5
|
10.7
|
0.200
|
71.4
|
1826.5
|
|
0.015
|
21020.2
|
38.9
|
0.300
|
45.7
|
1693.6
|
|
0.020
|
10698.4
|
96.8
|
0.400
|
38.4
|
1649.1
|
|
0.030
|
4073.1
|
334.2
|
0.500
|
35.6
|
1623.6
|
|
0.040
|
2056.3
|
781.9
|
0.600
|
34.4
|
1640.5
|
|
0.050
|
1215.1
|
1292.8
|
0.800
|
33.7
|
1689.0
|
|
0.060
|
794.2
|
1693.6
|
1.000
|
33.7
|
1740.5
|
|
0.070
|
557.0
|
1864.4
|
2.000
|
35.2
|
2073.7
|
|
0.080
|
411.9
|
2073.7
|
4.000
|
37.4
|
2628.9
|
|
0.100
|
252.7
|
2101.4
|
6.000
|
38.7
|
2977.8
|
|
0.150
|
113.2
|
1951.3
|
8.000
|
39.5
|
3238.8
|
|
|
|
|
10.000
|
40.0
|
3396.3
|
Таблица П.4.2
|
Энергия гамма-кванта, МэВ
|
Дозовый коэффициент, Зв/Гр
|
Энергия гамма-кванта, МэВ
|
Дозовый коэффициент, Зв/Гр
|
|
e1
|
е2
|
e1
|
е2
|
|
0.010
|
0.0033
|
0.0027
|
0.200
|
0.8540
|
0.6790
|
|
0.015
|
0.0153
|
0.0123
|
0.300
|
0.8240
|
0.6640
|
|
0.020
|
0.0462
|
0.0362
|
0.400
|
0.8140
|
0.6670
|
|
0.030
|
0.1910
|
0.1430
|
0.500
|
0.8120
|
0.6750
|
|
0.040
|
0.4260
|
0.3260
|
0.600
|
0.8140
|
0.6840
|
|
0.050
|
0.6610
|
0.5110
|
0.800
|
0.8210
|
0.7030
|
|
0.060
|
0.8280
|
0.6420
|
1.000
|
0.8310
|
0.7190
|
|
0.070
|
0.9240
|
0.7200
|
2.000
|
0.8710
|
0.7740
|
|
0.080
|
0.9610
|
0.7490
|
4.000
|
0.9090
|
0.8240
|
|
0.100
|
0.9600
|
0.7480
|
6.000
|
0.9250
|
0.8460
|
|
0.150
|
0.8920
|
0.7000
|
8.000
|
0.9340
|
0.8590
|
|
|
|
|
10.000
|
0.9410
|
0.8680
|
Таблица П.4.3
|
Возрастная группа, лет
|
|
до 1
|
от 1 до 2
|
от 2 до 7
|
от 7 до 12
|
от 12 до 17
|
больше 17
|
|
0,114
|
0,217
|
0,365
|
0,594
|
0,833
|
0,925
|
Таблица П.4.4
|
Радионуклид
|
Канал поступления
|
|
ингаляционный
|
пероральный
|
|
h0vi
|
h0si
|
gi
|
|
Sr89
|
3.9E-08
|
3.3E-08
|
3.6E-08
|
|
Sr90
|
4.2E-07
|
1.5E-07
|
2.3E-07
|
|
Sr91
|
3.5E-09
|
3.1E-09
|
5.2E-09
|
|
Zr95
|
2.4E-08
|
2.0E-08
|
8.5E-09
|
|
Mo99
|
6.9E-09
|
6.0E-09
|
5.5E-09
|
|
Ru103
|
1.3E-08
|
1.1E-08
|
7.1E-09
|
|
Ru106
|
2.6E-07
|
1.4E-07
|
8.4E-08
|
|
I131
|
8.8E-09
|
7.2E-08
|
1.8E-07
|
|
Те132
|
1.5E-08
|
2.2E-08
|
4.8E-08
|
|
I132
|
3.8E-09
|
1.9E-08
|
4.9E-08
|
|
I133
|
1.8E-09
|
4.1E-09
|
1.0E-08
|
|
Cs136
|
1.5E-08
|
1.3E-08
|
1.5E-08
|
|
Cs137
|
1.1E-07
|
3.6E-08
|
2.1E-08
|
|
Ba140
|
2.9E-08
|
2.7E-08
|
3.2E-08
|
|
Ce141
|
1.6E-08
|
1.4E-08
|
8.1E-09
|
|
Ce143
|
5.9E-09
|
6.6E-09
|
1.2E-08
|
|
Ce144
|
2.1E-07
|
3.6E-07
|
6.6E-08
|
Таблица П.4.5
|
Радионуклид
|
Канал поступления
|
|
ингаляционный
|
пероральный
|
|
h0vi
|
h0si
|
gi
|
|
Sr89
|
3.0Е-08
|
2.4Е-08
|
1.8E-08
|
|
Sr90
|
4.0Е-07
|
1.1Е-07
|
7.3E-08
|
|
Sr91
|
2.5Е-09
|
2.2Е-09
|
4.0E-09
|
|
Zr95
|
1.9Е-08
|
1.6Е-08
|
5.6E-09
|
|
Mo99
|
4.8Е-09
|
4.4Е-09
|
3.5E-09
|
|
Ru103
|
1.0Е-08
|
8.4Е-09
|
4.6E-09
|
|
Ru106
|
2.3Е-07
|
1.1Е-07
|
4.9E-08
|
|
I131
|
6.2Е-09
|
7.2E-08
|
1.8E-07
|
|
Те132
|
1.1Е-08
|
1.8E-08
|
3.0E-08
|
|
I132
|
2.9Е-09
|
1.8E-08
|
4.4E-08
|
|
I133
|
1.3Е-09
|
3.7E-09
|
8.9E-09
|
|
Cs136
|
1.1Е-08
|
1.0E-08
|
9.5E-09
|
|
Cs137
|
1.0Е-07
|
2.9E-08
|
1.2E-08
|
|
Ba140
|
2.2Е-08
|
2.0E-08
|
1.8E-08
|
|
Ce141
|
1.2Е-08
|
1.1E-08
|
5.1E-09
|
|
Ce143
|
4.1Е-09
|
3.9E-09
|
8.0E-09
|
|
Ce144
|
1.8Е-07
|
2.7E-07
|
3.9E-08
|
Таблица П.4.6
|
Радионуклид
|
Канал поступления
|
|
ингаляционный
|
пероральный
|
|
h0vi
|
h0si
|
gi
|
|
Sr89
|
1.7E-08
|
1.3E-08
|
8.9E-09
|
|
Sr90
|
2.7E-07
|
6.5E-08
|
4.7E-08
|
|
Sr91
|
1.2E-09
|
1.1E-09
|
2.1E-09
|
|
Zr95
|
1.2E-08
|
9.7E-09
|
3.0E-09
|
|
Mo99
|
2.4E-09
|
2.2E-09
|
1.8E-09
|
|
Ru103
|
6.0E-09
|
5.0E-09
|
2.4E-09
|
|
Ru106
|
1.4E-07
|
6.4E-08
|
2.5E-08
|
|
I131
|
3.5E-09
|
3.7E-08
|
1.0E-07
|
|
Те132
|
5.8E-09
|
8.5E-09
|
1.6E-08
|
|
I132
|
1.4E-09
|
8.3E-09
|
2.3E-08
|
|
I133
|
6.5E-10
|
1.7E-09
|
4.7E-09
|
|
Cs136
|
5.7E-09
|
6.0E-09
|
6.1E-09
|
|
Cs137
|
7.0E-08
|
1.8E-08
|
9.6E-09
|
|
Ba140
|
1.2E-08
|
1.1E-08
|
9.2E-09
|
|
Ce141
|
7.1E-09
|
6.3E-09
|
2.6E-09
|
|
Ce143
|
2.1E-09
|
1.9E-09
|
4.1E-09
|
|
Ce144
|
1.1E-07
|
1.4E-07
|
1.9E-08
|
Таблица П.4.7
|
Радионуклид
|
Канал поступления
|
|
ингаляционный
|
пероральный
|
|
h0vi
|
h0si
|
gi
|
|
Sr89
|
1.2Е-08
|
9.1Е-09
|
5.8Е-09
|
|
Sr90
|
1.8Е-07
|
5.1Е-08
|
6.0Е-08
|
|
Sr91
|
7.7Е-10
|
6.9Е-10
|
1.2Е-09
|
|
Zr95
|
8.3Е-09
|
6.8Е-09
|
1.9Е-09
|
|
Mo99
|
1.7Е-09
|
1.5Е-09
|
1.1Е-09
|
|
Ru103
|
4.2Е-09
|
3.5Е-09
|
1.5E-09
|
|
Ru106
|
9.1Е-08
|
4.1Е-08
|
1.5E-08
|
|
I131
|
2.4Е-09
|
1.9Е-08
|
5.2E-08
|
|
Те132
|
3.8Е-09
|
4.2Е-09
|
8.3E-09
|
|
I132
|
9.0Е-10
|
3.8Е-09
|
1.0E-08
|
|
I133
|
4.2Е-10
|
7.9Е-10
|
2.2E-09
|
|
Cs136
|
4.1Е-09
|
3.7Е-09
|
4.4E-09
|
|
Cs137
|
4.8Е-08
|
1.3Е-08
|
1.0E-08
|
|
Ba140
|
8.6Е-09
|
7.6Е-09
|
5.8E-09
|
|
Ce141
|
5.3Е-09
|
4.6Е-09
|
1.5E-09
|
|
Ce143
|
1.4Е-09
|
1.3Е-09
|
2.4E-09
|
|
Ce144
|
7.3Е-08
|
7.8Е-08
|
1.1E-08
|
Таблица П.4.8
|
Радионуклид
|
Канал поступления
|
|
ингаляционный
|
пероральный
|
|
h0vi
|
h0si
|
gi
|
|
Sr89
|
9.3E-09
|
7.3E-09
|
4.0E-09
|
|
Sr90
|
1.6E-07
|
5.3E-08
|
8.0E-08
|
|
Sr91
|
4.9E-10
|
4.4E-10
|
7.4E-10
|
|
Zr95
|
7.3E-09
|
5.9E-09
|
1.2E-09
|
|
Mo99
|
1.2E-09
|
1.1E-09
|
7.6E-10
|
|
Ru103
|
3.7E-09
|
3.0E-09
|
9.2E-10
|
|
Ru106
|
7.1E-08
|
3.1E-08
|
8.6E-09
|
|
I131
|
2.0E-09
|
1.1E-08
|
3.4E-08
|
|
Те132
|
2.5E-09
|
2.6E-09
|
5.3E-09
|
|
I132
|
5.3E-10
|
2.2E-09
|
6.8E-09
|
|
I133
|
2.7E-10
|
4.8E-10
|
1.4E-09
|
|
Cs136
|
3.5E-09
|
3.1E-09
|
3.4E-09
|
|
Cs137
|
4.2E-08
|
1.1E-08
|
1.3E-08
|
|
Ba140
|
7.1E-09
|
6.2E-09
|
3.7E-09
|
|
Ce141
|
4.8E-09
|
4.1E-09
|
8.8E-10
|
|
Ce143
|
1.0E-09
|
9.3E-10
|
1.4E-09
|
|
Ce144
|
5.8E-08
|
4.8E-08
|
6.5E-09
|
Таблица П.4.9
|
Радионуклид
|
Канал поступления
|
|
ингаляционный
|
пероральный
|
|
h0vi
|
h0si
|
gi
|
|
Sr89
|
7.9E-09
|
6.1E-09
|
2.6E-09
|
|
Sr90
|
1.6E-07
|
3.6E-08
|
2.8E-08
|
|
Sr91
|
4.1E-10
|
3.7E-10
|
6.5E-10
|
|
Zr95
|
5.9E-09
|
4.8E-09
|
9.5E-10
|
|
Mo99
|
9.9E-10
|
8.9E-10
|
6.0E-10
|
|
Ru103
|
3.0E-09
|
2.4E-09
|
7.3E-10
|
|
Ru106
|
6.6E-08
|
2.8E-08
|
7.0E-09
|
|
I131
|
1.6E-09
|
7.4E-09
|
2.2E-08
|
|
Те132
|
2.0E-09
|
2.0E-09
|
3.8E-09
|
|
I132
|
4.3E-10
|
1.5E-09
|
4.3E-09
|
|
I133
|
2.2E-10
|
3.2E-10
|
9.3E-10
|
|
Cs136
|
2.8E-09
|
2.5E-09
|
3.0E-09
|
|
Cs137
|
3.9E-08
|
9.7E-09
|
1.3E-08
|
|
Ba140
|
5.8E-09
|
5.1E-09
|
2.6E-09
|
|
Ce141
|
3.8E-09
|
3.2E-09
|
7.1E-10
|
|
Ce143
|
8.3E-10
|
7.5E-10
|
1.1E-09
|
|
Ce144
|
5.3E-08
|
4.0E-08
|
5.2E-09
|