|
|
|
Приказ Министерства энергетики РФ от 30 декабря 2008 г. № 325 "Об организации в Министерстве энергетики Российской Федерации работы по утверждению нормативов технологических потерь при передаче тепловой энергии" (с изменениями от 1 февраля 2010 г.) В соответствии с пунктом 4.2.4 Положения о Министерстве энергетики Российской Федерации, утвержденного постановлением Правительства Российской Федерации от 28 мая 2008 г. № 400 (Собрание законодательства Российской Федерации, 2008, № 22, ст. 2577; № 42, ст. 4825; № 46, ст. 5337), приказываю: 1. Утвердить прилагаемую Инструкцию по организации в Министерстве энергетики Российской Федерации работы по расчету и обоснованию нормативов технологических потерь при передаче тепловой энергии. 2. Признать утратившими силу приказ Министерства промышленности и энергетики Российской Федерации от 4 октября 2005 г. № 265 "Об организации в Министерстве промышленности и энергетики Российской Федерации работы по утверждению нормативов технологических потерь при передаче тепловой энергии" (зарегистрирован в Минюсте России 19 октября 2005 г. № 7094).
Министр С.И. Шматко
Зарегистрировано в Минюсте РФ 16 марта 2009 г. Регистрационный № 13513 Инструкция по организации в Минэнерго России работы по расчету и обоснованию нормативов технологических потерь при передаче тепловой энергии Содержание
I. Общие положения1. Нормативы технологических потерь при передаче тепловой энергии разрабатываются для каждой организации, эксплуатирующей тепловые сети для передачи тепловой энергии потребителям (далее - теплосетевая организация). Разработка нормативов технологических потерь при передаче тепловой энергии осуществляется выполнением расчетов нормативов для тепловой сети каждой системы теплоснабжения независимо от присоединенной к ней расчетной часовой тепловой нагрузки. Нормативы технологических потерь при передаче тепловой энергии по тепловым сетям организаций, для которых передача тепловой энергии не является основным видом деятельности (далее - предприятия), оказывающим услуги по передаче тепловой энергии сторонним потребителям (абонентам), подключенным к тепловым сетям предприятия, утверждаются Министерством в части, относящейся к сторонним потребителям. При этом технологические потери при передаче тепловой энергии для собственного потребления предприятия из указанных нормативов исключаются. В случае передачи тепловой энергии собственным и сторонним потребителям (абонентам) не по выделенным теплопроводам нормативы технологических потерь распределяются пропорционально количеству тепловой энергии, передаваемой для собственного теплового потребления предприятия и сторонним потребителям. В случае если энергопринимающие устройства потребителя тепловой энергии имеют опосредованное присоединение к сетям теплоснабжающей или теплосетевой организации, объем технологических потерь при передаче тепловой энергии в теплосетевом хозяйстве, через которое осуществляется такое присоединение, может рассчитываться в соответствии с настоящей Инструкцией отдельно от расчета нормативных технологических потерь, возникающих в тепловых сетях теплоснабжающей или теплосетевой организации. Факт опосредованного присоединения потребителя к сетям теплоснабжающей или теплосетевой организации и использования теплопроводов для передачи тепловой энергии этому потребителю подтверждается документом компетентного органа администрации соответствующего муниципального образования, содержащим характеристики этих теплопроводов, являющихся частью тепловой сети на территории муниципального образования. В нормативы технологических потерь при передаче тепловой энергии не включаются потери и затраты на источниках теплоснабжения и в энергопринимающих установках потребителей тепловой энергии, включая принадлежащие последним трубопроводы тепловых сетей и тепловые пункты. 2. Нормативы технологических потерь при передаче тепловой энергии разрабатываются по следующим показателям: потери и затраты теплоносителей (пар, конденсат, вода); потери тепловой энергии в тепловых сетях теплопередачей через теплоизоляционные конструкции теплопроводов и с потерями и затратами теплоносителей (пар, конденсат, вода); затраты электрической энергии на передачу тепловой энергии. 3. Нормативы технологических потерь для водяных тепловых сетей систем централизованного теплоснабжения с присоединенной расчетной часовой тепловой нагрузкой потребителей 50 Гкал/ч (58 МВт) и более разрабатываются с учетом нормативных энергетических характеристик или нормативных значений показателей функционирования водяных тепловых сетей (далее - энергетические характеристики) путем пересчета от условий, принятых при их разработке, к условиям предстоящего периода регулирования в соответствии с главой III настоящей Инструкции. В случае отсутствия на период разработки или пересмотра энергетических характеристик для водяных тепловых сетей с присоединенной к ним расчетной часовой тепловой нагрузкой 50 Гкал/ч (58 МВт) и более нормативы технологических потерь при передаче тепловой энергии определяются в соответствии с главой II настоящей Инструкции. При этом теплосетевая организация представляет официальное подтверждение о разработке (пересмотре) энергетических характеристик в течение года, подписанное руководителем организации. 4. Нормативы технологических потерь при передаче тепловой энергии для водяных тепловых сетей с присоединенной к ним расчетной часовой тепловой нагрузкой менее 50 Гкал/ч (58 МВт) и для паровых тепловых сетей, разрабатываются в соответствии с главой II настоящей Инструкции. 5. При определении нормативов технологических потерь при передаче тепловой энергии на предстоящий период регулирования допускается использование расчетов указанных нормативов на предыдущий регулируемый период с пересчетом их по упрощенным формулам, приведенным в главе III настоящей Инструкции, в случае если в предстоящий период регулирования не планируется отклонение от условий работы тепловых сетей, принятых при разработке указанных нормативов, более пределов, указанных ниже, а именно: 5.1. по нормативу "потери и затраты теплоносителей": при изменении емкости (внутреннего объема) трубопроводов тепловых сетей, эксплуатируемых теплосетевой организацией, на 5%; 5.2. по нормативу "потери тепловой энергии теплопередачей через теплоизоляционные конструкции теплопроводов и с потерями и затратами теплоносителей": при изменении материальной характеристики тепловых сетей, эксплуатируемых теплосетевой организацией, на 5%; при сохранении эксплуатационного температурного графика отпуска тепловой энергии в системе теплоснабжения; при изменении тепловых потерь по результатам очередных испытаний на 5% по сравнению с результатами предыдущих испытаний. 5.3. по нормативу "затраты электрической энергии на передачу тепловой энергии": при изменении количества насосных станций и центральных тепловых пунктов (далее - ЦТП), если суммарная мощность насосных агрегатов насосных станций и ЦТП изменилась на 5% от прежней суммарной мощности; то же - при изменении производительности или количества насосов при неизменном количестве станций и ЦТП; при изменении условий функционирования насосов (автоматизация, изменение диаметра рабочих колес насосов, изменение расхода и напора сетевой воды), если суммарная мощность насосных агрегатов изменилась на 5%; при сохранении эксплуатационного температурного графика отпуска тепловой энергии в системе теплоснабжения. Приказом Минэнерго России от 1 февраля 2010 г. №36 в пункт 6 настоящей Инструкции внесены изменения 6. В составе документов по утверждению нормативов технологических потерь при передаче тепловой энергии Минэнерго рассматривает: нормативные и отчетные, в том числе полученные на основании показаний приборов учета, значения технологических потерь при передаче тепловой энергии за два года, предшествующих текущему году, нормативные значения технологических потерь текущего года и планируемые значения технологических потерь на регулируемый год (Приложение 5, таблицы 5.3, 5.4 и 5.5); прогнозируемые значения влияющих показателей (пункт 5 настоящей Инструкции), и их сопоставление с аналогичными показателями за год, предшествующий периоду регулирования. При установлении нормативных значений технологических потерь при передаче тепловой энергии на регулируемый период (отклонения от условий работы тепловых сетей при этом не должны превышать изложенных в пункте 5 настоящей Инструкции) в случае, если фактические значения технологических потерь при передаче тепловой энергии, полученные на основании показаний приборов учета, ниже их расчетных значений, в норматив включаются фактические значения технологических потерь при передаче тепловой энергии. При обосновании нормативов технологических потерь при передаче тепловой энергии могут использоваться энергетические характеристики тепловых сетей, в случае если отклонения условий не превышают значений, указанных в пункте 5 настоящей Инструкции. Приказом Минэнерго России от 1 февраля 2010 г. №36 в пункт 7 настоящей Инструкции внесены изменения 7. Теплосетевая организация, в составе документов по утверждению нормативов технологических потерь при передаче тепловой энергии, представляет: сведения о результатах ежегодного сопоставления нормативных и отчетных показателей и выявленные при этом резервы экономии тепловой и электрической энергии и теплоносителя (энергосберегающий потенциал); мероприятия по повышению энергетической эффективности рассматриваемой тепловой сети и системы централизованного теплоснабжения, к которой относится рассматриваемая тепловая сеть, с указанием по каждому мероприятию сроков их выполнения, затрат на реализацию, экономического эффекта, годовой экономии тепловой, электрической энергии (топлива) и теплоносителя (химочищенной воды), сроков окупаемости. Разработка указанных мероприятий осуществляется на основе результатов энергетических обследований тепловых сетей, осуществляемых в соответствии с Федеральным законом от 23 ноября 2009 г. № 261-ФЗ "Об энергосбережении и о повышении энергетической эффективности и о внесении изменений в отдельные законодательные акты Российской Федерации" (Собрание законодательства Российской Федерации, 2009, № 48, ст. 5711). II. Определение нормативов технологических потерь при передаче тепловой энергии8. Формулы расчетов нормативов технологических потерь при передаче тепловой энергии, приведенные в настоящей главе, применяются для следующих тепловых сетей: паровых, независимо от присоединенной к ним расчетной часовой тепловой нагрузки; водяных, с присоединенной к ним расчетной часовой тепловой нагрузкой менее 50 Гкал/ч (58 МВт); водяных, с присоединенной к ним расчетной часовой тепловой нагрузкой 50 Гкал/ч (58 МВт) и более при временном, не более одного года, отсутствии нормативных энергетических характеристик тепловых сетей на период их разработки или пересмотра. 9. К нормативам технологических потерь при передаче тепловой энергии относятся потери и затраты энергетических ресурсов, обусловленные техническим состоянием теплопроводов и оборудования и техническими решениями по надежному обеспечению потребителей тепловой энергией и созданию безопасных условий эксплуатации тепловых сетей, а именно: потери и затраты теплоносителя (пар, конденсат, вода) в пределах установленных норм; потери тепловой энергии теплопередачей через теплоизоляционные конструкции теплопроводов и с потерями и затратами теплоносителя; затраты электрической энергии на передачу тепловой энергии (привод оборудования, расположенного на тепловых сетях и обеспечивающего передачу тепловой энергии). 10. Определение нормативов технологических потерь и затрат теплоносителей. 10.1. Теплоноситель - вода. 10.1.1. К нормируемым технологическим затратам теплоносителя относятся: затраты теплоносителя на заполнение трубопроводов тепловых сетей перед пуском после плановых ремонтов и при подключении новых участков тепловых сетей; технологические сливы теплоносителя средствами автоматического регулирования теплового и гидравлического режима, а также защиты оборудования; технически обоснованные затраты теплоносителя на плановые эксплуатационные испытания тепловых сетей и другие регламентные работы. 10.1.2. К нормируемым технологическим потерям теплоносителя относятся технически неизбежные в процессе передачи и распределения тепловой энергии потери теплоносителя с его утечкой через неплотности в арматуре и трубопроводах тепловых сетей в пределах, установленных правилами технической эксплуатации электрических станций и сетей, а также правилами технической эксплуатации тепловых энергоустановок. Нормативные значения потерь теплоносителя за год с его нормируемой утечкой, м3, определяются по формуле:
где а - норма среднегодовой утечки теплоносителя, м3/чм3, установленная правилами технической эксплуатации электрических станций и сетей, а также правилами технической эксплуатации тепловых энергоустановок, в пределах 0,25% среднегодовой емкости трубопроводов тепловых сетей в час; Vгод - среднегодовая емкость трубопроводов тепловых сетей, эксплуатируемых теплосетевой организацией, м3; nгод - продолжительность функционирования тепловых сетей в году, ч;
Значение среднегодовой емкости трубопроводов тепловых сетей, м3 определяется из выражения:
где Vот и Vл - емкость трубопроводов тепловых сетей в отопительном и неотопительном периодах, м3; nот и nл - продолжительность функционирования тепловых сетей в отопительном и неотопительном периодах, ч.
При расчете значения среднегодовой емкости необходимо учесть: емкость трубопроводов, вновь вводимых в эксплуатацию, и продолжительность использования данных трубопроводов в течение календарного года; емкость трубопроводов, образуемую в результате реконструкции тепловой сети (изменения диаметров труб на участках, длины трубопроводов, конфигурации трассы тепловой сети) и период времени, в течение которого введенные в эксплуатацию участки реконструированных трубопроводов задействованы в календарном году; емкость трубопроводов, временно выводимых из использования для ремонта, и продолжительность ремонтных работ. При определении значения среднегодовой емкости тепловой сети в значении емкости трубопроводов в неотопительном периоде должно учитываться требование правил технической эксплуатации о заполнении трубопроводов деаэрированной водой с поддержанием избыточного давления не менее 0,5 кгс/см2 в верхних точках трубопроводов. Прогнозируемая продолжительность отопительного периода принимается как средняя из соответствующих фактических значений за последние 5 лет или в соответствии со строительными нормами и правилами по строительной климатологии. Потери теплоносителя при авариях и других нарушениях нормального эксплуатационного режима, а также сверхнормативные потери в нормируемую утечку не включаются. 10.1.3. Затраты теплоносителя, обусловленные вводом в эксплуатацию трубопроводов тепловых сетей, как новых, так и после плановых ремонтов или реконструкции, принимаются в размере 1,5-кратной емкости соответствующих трубопроводов тепловых сетей. 10.1.4. Затраты теплоносителя, обусловленные его сливом средствами автоматического регулирования и защиты, предусматривающими такой слив, определяются конструкцией указанных приборов и технологией обеспечения нормального функционирования тепловых сетей и оборудования. Значения годовых потерь теплоносителя в результате слива, м3, определяются из формулы:
где m - технически обоснованный расход теплоносителя, сливаемого каждым из действующих приборов автоматики или защиты одного типа, м3/ч; N - количество действующих приборов автоматики или защиты одного типа, шт.; nгод.авт. - продолжительность функционирования однотипных приборов в течение года, ч; k - количество групп однотипных действующих приборов автоматики и защиты.
10.1.5. Затраты теплоносителя при проведении плановых эксплуатационных испытаний тепловых сетей и других регламентных работ включают потери теплоносителя при выполнении подготовительных работ, отключении участков трубопроводов, их опорожнении и последующем заполнении. Нормирование затрат теплоносителя на указанные цели производится с учетом регламентируемой нормативными документами периодичности проведения эксплуатационных испытаний и других регламентных работ и утвержденных эксплуатационных норм затрат для каждого вида испытательных и регламентных работ в тепловых сетях для данных участков трубопроводов. План проведения эксплуатационных испытаний тепловых сетей и других регламентных работ утверждается руководителем теплосетевой организации и включается в состав обосновывающих нормативы материалов. 10.2. Теплоноситель - пар. 10.2.1. Нормируемые потери пара, т, допускается определять по нормам для водяных тепловых сетей, используя формулу:
где rп - плотность пара при средних параметрах теплоносителя (давление и температура) по паропроводу, от источника теплоснабжения до границ эксплуатационной ответственности, кг/м3; Vп. год - среднегодовая емкость паропроводов, эксплуатируемых теплосетевой организации, м3; определяется по формуле (2).
Средние параметры теплоносителя по паропроводу определяются как средневзвешенные значения по материальной характеристике каждого i-го участка паропровода по формулам:
где tср.i и рср.i - средние температура и абсолютное давление теплоносителя на i-ом участке паропровода, °С и кгс/см2; Мi, SМi - материальная характеристика i-го участка паропровода и суммарная материальная характеристика паропровода, м2.
10.2.2. Потери конденсата GПК, т, определяются по норме для водяных тепловых сетей с использованием формулы:
где Vк.год - среднегодовая емкость конденсатопроводов, м3; определяется по формуле (2); rк - плотность конденсата при его средней температуре, кг/м3.
10.2.3. Затраты теплоносителя в паровых тепловых сетях при проведении плановых эксплуатационных испытаний тепловых сетей и других регламентных работ включают потери теплоносителя при выполнении подготовительных работ, отключении, опорожнении участков трубопроводов и последующем их заполнении, включая затраты на заполнение, прогрев, продувку трубопроводов перед вводом в эксплуатацию. Нормирование затрат теплоносителя на указанные цели производится с учетом регламентируемой нормативными документами периодичности проведения эксплуатационных испытаний и других регламентных работ и утвержденных эксплуатационных норм затрат для каждого вида работ в тепловых сетях. План проведения эксплуатационных испытаний тепловых сетей и других регламентных работ утверждается руководителем теплосетевой организации и включается в состав обосновывающих нормативы материалов. 11. Нормативные технологические потери и затраты тепловой энергии при ее передаче включают: потери и затраты тепловой энергии, обусловленные потерями и затратами теплоносителя; потери тепловой энергии теплопередачей через изоляционные конструкции теплопроводов и оборудование тепловых сетей. 11.1. Определение нормативных технологических затрат и потерь тепловой энергии, обусловленных потерями и затратами теплоносителя - воды. 11.1.1. Определение нормативных технологических потерь тепловой энергии, Гкал, обусловленных потерями теплоносителя производится по формуле:
где rгод - среднегодовая плотность теплоносителя при средней (с учетом b) температуре теплоносителя в подающем и обратном трубопроводах тепловой сети, кг/м3; b - доля массового расхода теплоносителя, теряемого подающим трубопроводом тепловой сети (при отсутствии данных можно принимать от 0,5 до 0,75); t1 год и t2 год - среднегодовые значения температуры теплоносителя в подающем и обратном трубопроводах тепловой сети по температурному графику регулирования тепловой нагрузки, °С; tх год - среднегодовое значение температуры исходной воды, подаваемой на источник теплоснабжения и используемой для подпитки тепловой сети, °С; с - удельная теплоемкость теплоносителя, ккал/кг °С.
Среднегодовые значения температуры теплоносителя в подающем и обратном трубопроводах рассчитываются как средневзвешенные по среднемесячным значениям температуры теплоносителя в соответствующем трубопроводе с учетом числа часов работы в каждом месяце. Среднемесячные значения температуры теплоносителя в подающем и обратном трубопроводах определяются по эксплуатационному температурному графику отпуска тепловой энергии в соответствии с ожидаемыми среднемесячными значениями температуры наружного воздуха. Ожидаемые среднемесячные значения температуры наружного воздуха определяются как средние из соответствующих статистических значений по информации метеорологической станции за последние 5 лет, или в соответствии со строительными нормами и правилами по строительной климатологии и климатологическим справочником. Средневзвешенные значения температуры теплоносителя в подающих t1 год и обратных t2 год трубопроводах тепловой сети, °С, можно определить по формулам:
где t1i и t2i - значения температуры теплоносителя в подающем и обратном трубопроводах тепловой сети по эксплуатационному температурному графику отпуска тепловой энергии при средней температуре наружного воздуха соответствующего месяца, °С.
Среднегодовое значение температуры tх год исходной воды, подаваемой на источник теплоснабжения для подпитки тепловой сети, °С, определяется по формуле, аналогичной формулам (9а) и (9б). При отсутствии достоверной информации по температурам исходной воды допустимо принимать tх. от=5°С, tх. л=15°С.
11.1.2. Нормативные технологические затраты тепловой энергии на заполнение новых участков трубопроводов и после плановых ремонтов, Гкал, определяются:
где Vтр.з - емкость заполняемых трубопроводов тепловых сетей, эксплуатируемых теплосетевой организации, м3; rзап - плотность воды, используемой для заполнения, кг/м3; tзап - температура воды, используемой для заполнения, °С; tх - температура исходной воды, подаваемой на источник тепловой энергии в период заполнения, °С.
11.1.3. Нормативные технологические потери тепловой энергии со сливами из приборов автоматического регулирования и защиты, Гкал, определяются по формуле:
где Gа.н. - годовые потери теплоносителя в результате слива, м3; rсл - среднегодовая плотность теплоносителя в зависимости от места установки автоматических приборов, кг/м3; tсл и tх - температура сливаемого теплоносителя и исходной воды, подаваемой на источник теплоснабжения в период слива, °С.
11.1.4. При запланированном проведении эксплуатационных испытаний и других регламентных работ должны быть определены затраты тепловой энергии с этой составляющей затрат теплоносителя по формулам, аналогичным формуле (11). 11.2. Определение нормативных технологических затрат и потерь тепловой энергии, обусловленных потерями и затратами теплоносителя - пара. 11.2.1. Нормативные потери тепловой энергии, обусловленные потерями пара, Гкал, определяются по формуле:
где iп и iх - энтальпия пара при средних значениях давления и температуры по отдельным магистралям на источнике теплоснабжения и на границе эксплуатационной ответственности, а также исходной воды, ккал/кг.
11.2.2. Нормативные потери тепловой энергии, обусловленные потерями конденсата, Гкал, определяются по формуле:
где tконд и tх - средние за период функционирования паровых сетей значения температуры конденсата и исходной воды на источнике теплоснабжения, °С.
11.2.3. Потери тепловой энергии, связанные с проведением эксплуатационных испытаний паропроводов и конденсатопроводов и (или) других регламентных работ, включая прогрев, продувку паропроводов определяются по формулам, аналогичным формулам (12) и (13). 11.3. Определение нормативных технологических потерь тепловой энергии теплопередачей через теплоизоляционные конструкции трубопроводов водяных тепловых сетей. 11.3.1. Определение нормативных технологических потерь тепловой энергии теплопередачей через теплоизоляционные конструкции трубопроводов производится на базе значений часовых тепловых потерь при среднегодовых условиях эксплуатации тепловых сетей. В отдельных случаях возникает необходимость вместо среднегодовых значений удельных часовых тепловых потерь определять среднесезонные значения, например, при работе сетей только в отопительный период при отсутствии горячего водоснабжения или при самостоятельных тепловых сетях горячего водоснабжения, осуществлении горячего водоснабжения по открытой схеме по одной трубе (без циркуляции). При этом температурные условия определяются как средневзвешенные за период по аналогии с алгоритмом, приведенным в пункте 11.1.1 настоящей Инструкции. Определение нормативных значений часовых потерь тепловой энергии производится в следующем порядке: для всех участков тепловых сетей, на основе сведений о конструктивных особенностях теплопроводов (тип прокладки, год проектирования, наружный диаметр трубопроводов, длина участка) и норм тепловых потерь (теплового потока), указанных в таблицах приложений 1, 2, 3 и 4 к настоящей Инструкции, пересчетом табличных значений удельных норм на среднегодовые (среднесезонные) условия эксплуатации, определяются значения часовых тепловых потерь теплопередачей через теплоизоляционные конструкции трубопроводов, эксплуатируемых теплосетевой организацией; для участков тепловой сети, характерных для нее по типам прокладки и видам изоляционной конструкции и подвергавшимся испытаниям на тепловые потери, в качестве нормативных принимаются полученные при испытаниях значения фактических часовых тепловых потерь, пересчитанные на среднегодовые условия эксплуатации тепловой сети; для участков тепловой сети, аналогичных подвергавшимся тепловым испытаниям по типам прокладки, видам теплоизоляционных конструкций и условиям эксплуатации, в качестве нормативных принимаются значения часовых тепловых потерь, определенные по соответствующим нормам тепловых потерь (теплового потока) с введением поправочных коэффициентов, определенных по результатам испытаний; для участков тепловой сети, не имеющих аналогов среди участков, подвергавшихся тепловым испытаниям, а также вводимых в эксплуатацию после монтажа, реконструкции или капитального ремонта с изменением типа или конструкции прокладки и изоляционной конструкции трубопроводов, в качестве нормативных принимаются значения часовых тепловых потерь, определенные теплотехническим расчетом. Значения нормативных часовых тепловых потерь в тепловой сети в целом при среднегодовых (среднесезонных) условиях эксплуатации определяются суммированием значений часовых тепловых потерь на отдельных участках. 11.3.2. Определение нормативных значений часовых тепловых потерь для среднегодовых (среднесезонных) условий эксплуатации трубопроводов тепловых сетей производится согласно значениям норм тепловых потерь (теплового потока), приведенным в таблицах приложений 1, 2, 3 и 4 к настоящей Инструкции, в соответствии с годом проектирования конкретных участков тепловых сетей. Значения нормативных удельных часовых тепловых потерь при среднегодовых (среднесезонных) условиях эксплуатации, отличающихся от значений, приведенных в соответствующих таблицах, ккал/мч, определяются линейной интерполяцией или экстраполяцией. 11.3.3. Определение нормативных значений часовых тепловых потерь для среднегодовых (среднесезонных) условий эксплуатации трубопроводов тепловых сетей, производится в зависимости от года проектирования теплопроводов: спроектированных с 1959 г. по 1989 г. включительно; спроектированных с 1990 г. по 1997 г. включительно; спроектированных с 1998 г. по 2003 г. включительно; спроектированных с 2004 г. Определение нормативных значений часовых тепловых потерь, Гкал/ч, для среднегодовых (среднесезонных) условий эксплуатации трубопроводов тепловых сетей производится по формуле:
где qиз.н - удельные часовые тепловые потери трубопроводами каждого диаметра, определенные пересчетом табличных значений норм удельных часовых тепловых потерь на среднегодовые (среднесезонные) условия эксплуатации, ккал/чм; L - длина участка трубопроводов тепловой сети, м; b - коэффициент местных тепловых потерь, учитывающий тепловые потери запорной и другой арматурой, компенсаторами и опорами (принимается 1,2 при диаметре трубопроводов до 150 мм и 1,15 - при диаметре 150 мм и более, а также при всех диаметрах трубопроводов бесканальной прокладки, независимо от года проектирования).
11.3.4. Значения нормативных часовых тепловых потерь, Гкал/ч, участков трубопроводов тепловых сетей, аналогичных участкам трубопроводов, подвергавшихся испытаниям на тепловые потери, по типу прокладки, виду изоляционных конструкций и условиям эксплуатации, определяются для трубопроводов подземной и надземной прокладки отдельно по формуле, аналогичной формуле (8):
где kи - поправочный коэффициент для определения нормативных часовых тепловых потерь, полученный по результатам испытаний на тепловые потери. 11.3.5. Значения поправочного коэффициента kи определяются по формуле:
где Qиз.год.и и Qиз.год.н - тепловые потери, определенные в результате испытаний на тепловые потери, пересчитанные на среднегодовые условия эксплуатации каждого испытанного участка трубопроводов тепловой сети, и потери, определенные по нормам для тех же участков, Гкал/ч.
Максимальные значения коэффициента kи не должны быть больше значений, приведенных в таблице 5.1 приложения 5 к настоящей Инструкции. 11.3.6. Значения тепловых потерь трубопроводами тепловых сетей за год, Гкал, определяются на основании значений часовых тепловых потерь при среднегодовых (среднесезонных) условиях эксплуатации. 11.4. Определение нормативных значений часовых тепловых потерь паропроводов для всех участков магистралей производится на основе сведений о конструктивных особенностях теплопроводов (тип прокладки, год проектирования, наружный диаметр трубопроводов, длина участка) и норм тепловых потерь (теплового потока), указанных в таблицах приложений 1, 2, 3 и 4 к настоящей Инструкции, пересчетом табличных значений удельных норм на средние параметры теплоносителя на каждом участке магистрали. Для определения средних параметров теплоносителя на i-ом участке магистрали необходимо рассчитать конечные параметры теплоносителя i-го участка исходя из среднегодовых параметров (давление и температура) пара на источнике теплоснабжения и максимальных договорных расходов пара у каждого потребителя. Конечная температура (t2i) i-го участка магистрали определяется по формуле:
где t1i - температура пара в начале i-го участка, °С; b - коэффициент местных тепловых потерь (принимается согласно пункту 11.3.3); Ri - суммарное термическое сопротивление i-го участка, (м×ч×°С)/ккал, определяется в соответствии с методическими указаниями по составлению энергетических характеристик для систем транспорта тепловой энергии; Gi - расход пара на i-ом участке, т/ч; ci - удельная изобарная теплоемкость пара при средних значениях давления и температуры (среднее значение температуры на 1-ой итерации принимается равным tср.i = t1i - 30°С) на i-ом участке, ккал/(кг×°С).
После вычисления t2i уточняется
удельная изобарная теплоемкость пара ci (при температуре Конечное абсолютное давление пара i-го участка магистрали определяется по формуле:
где Р1i - абсолютное давление пара в начале i-го участка, кгс/см2; Li - длина i-го участка паропровода, м; R1i - удельное линейное падение давления i-го участка, кгс/м2×м; ai коэффициент местных потерь давления i-го участка.
Удельное линейное падение давления на i-ом участке определяется по формуле:
где r1i плотность пара i-го участка паропровода, кг/м3; dвн.i - внутренний диаметр паропровода на i-ом участке, м.
Коэффициент местных потерь давления i-го участка определяется по формуле:
где Sxi сумма коэффициентов местных сопротивлений на i-ом участке.
Результаты расчетов параметров пара сводятся в таблицу 6.6 Приложения 6. 11.4.1. Для паровых сетей в системах теплоснабжения от отопительных (производственно-отопительных) котельных с присоединенной тепловой нагрузкой (по пару) до 7 Гкал/ч ожидаемые средние значения давления пара и его температуры могут определяться по каждому паропроводу в целом по приведенным ниже формулам (21) и (22): среднее давление пара Рср в паропроводе, кгс/см2, определяется по формуле:
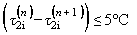
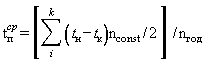
где Рн и Рк - давление пара в начале каждого паропровода и на границах эксплуатационной ответственности организации по периодам функционирования nconst, ч, с относительно постоянными значениями давления, кгс/см2; nгод - продолжительность функционирования каждого паропровода в течение года, ч; k - количество паропроводов паровой сети, шт. средняя температура
пара
где tн и tк - температура пара в начале каждого паропровода и на границах эксплуатационной ответственности организации по периодам функционирования, °С.
Результаты расчета параметров пара сводятся в таблицу 6.6а Приложения 6. 11.5. Определение нормативных значений часовых тепловых потерь для условий, средних за период эксплуатации конденсатопроводов, производится согласно значениям норм тепловых потерь (теплового потока), приведенным в таблицах приложений 1, 2, 3 и 4 к настоящей Инструкции, в соответствии с годом проектирования конкретных участков тепловых сетей. Значения нормативных удельных часовых тепловых потерь при условиях, средних за период эксплуатации, отличающихся от значений, приведенных в соответствующих таблицах, ккал/мч, определяются линейной интерполяцией или экстраполяцией. 11.6. Потери (затраты) тепловой энергии и теплоносителя, возникающие в технологическом оборудовании, зданиях и сооружениях тепловых сетей (ЦТП, насосных подстанциях, баках-аккумуляторах и других теплосетевых объектах), определяются в соответствии с Инструкцией по организации в Минэнерго России работы по расчету и обоснованию нормативов удельных расходов топлива на отпущенную электрическую и тепловую энергию от тепловых электростанций и котельных. 12. Определение нормативных технологических затрат электрической энергии на передачу тепловой энергии. 12.1. Нормативные технологические затраты электрической энергии представляют собой затраты на привод насосного и другого оборудования, находящегося в ведении организации, осуществляющей передачу тепловой энергии, с учетом ее хозяйственных нужд (освещение и электродвигатели систем вентиляции помещений насосных станций и ЦТП, электроинструмент, электросварка, электродвигатели приспособлений и механизмов для текущего ремонта оборудования). 12.2. Нормативные технологические затраты электрической энергии определяются для следующего насосного и другого оборудования, находящегося в ведении организации, осуществляющей передачу тепловой энергии: подкачивающие насосы на подающих и обратных трубопроводах тепловых сетей; подмешивающие насосы в тепловых сетях; дренажные насосы; насосы зарядки-разрядки баков-аккумуляторов, находящихся в тепловых сетях; циркуляционные насосы отопления и горячего водоснабжения, а также насосы подпитки II контура отопления в центральных тепловых пунктах; электропривод запорно-регулирующей арматуры; другое электротехническое оборудование в составе теплосетевых объектов, предназначенное для передачи тепловой энергии. 12.3. Затраты электрической энергии, кВтч, определяются раздельно по каждому виду насосного оборудования с последующим суммированием полученных значений. Необходимая (потребная) мощность, кВт, на валу электродвигателя насоса вычисляется по формуле:
где Gp - расчетный расход теплоносителя, перекачиваемого насосом, м3/ч, принимаемый в зависимости от назначения насоса; Нp - напор, м, развиваемый насосом при расчетном расходе теплоносителя; hнhтр - КПД насоса и трансмиссии, %; r - плотность теплоносителя при его средней температуре за каждый период работы насосного агрегата, кг/м3.
Расчетные расходы теплоносителя, перекачиваемого насосом, принимаются в соответствии с расчетными гидравлическими режимами функционирования тепловых сетей. Напор, развиваемый насосом при каждом расходе теплоносителя, определяется по характеристике конкретного насоса (паспортной или полученной в результате испытаний насоса). Значения КПД насосов hн определяются также по их характеристикам. КПД трансмиссии может быть принят 98%. Затраты электроэнергии насосного агрегата, кВтч, определяются по формуле:
где nн - продолжительность функционирования насоса в каждый период, ч; hдв - КПД электродвигателя, %.
Значения КПД электродвигателей могут определяться по таблице 5.2 приложения 5 к настоящей Инструкции с учетом загрузки электродвигателей. 12.4. Если насосная группа состоит из однотипных насосов, расход теплоносителя, перекачиваемого каждым насосом, определяется делением суммарного расчетного значения расхода теплоносителя на количество работающих насосов. Если насосная группа состоит из насосов различных типов или рабочие колеса однотипных насосов имеют различные диаметры, для определения расхода теплоносителя, перекачиваемого каждым из насосов, необходимо построить результирующую характеристику совместно (параллельно) работающих насосов; с помощью этой характеристики определить расход теплоносителя, приходящийся на каждый из насосов. 12.5. В случае регулирования напора и производительности насосов изменением частоты вращения рабочих колес результирующая характеристика насосов, работающих параллельно, определяется по результатам гидравлического расчета тепловой сети. Значения расхода теплоносителя для каждого из работающих насосов и развиваемого напора позволяют определить требуемую частоту вращения рабочих колес:
где Н1 и Н2 - напор, развиваемый насосом при частоте вращения n1 и n2, м; G1 и G2 - расход теплоносителя при частоте вращения n1 и n2, м3/ч; n1 и n2 - частота вращения рабочих колес, мин-1.
12.6. Мощность насосного агрегата, кВт, потребляемая на перекачку теплоносителя центробежными насосами, с учетом частоты вращения рабочих колес, измененной по сравнению с первоначальной частотой, определяется по формулам (21) и (21а) с подстановкой соответствующих значений расхода теплоносителя, перекачиваемого насосом, развиваемого при этом расходе напора, КПД насоса, КПД электродвигателя и КПД преобразователя частоты; последний - в знаменатель формулы. 12.7. Для определения нормативного значения затрат электрической энергии на привод циркуляционных или подкачивающих насосов горячего водоснабжения следует принимать для расчета среднюю часовую за неделю тепловую нагрузку горячего водоснабжения. 12.8. Нормативные значения затрат электрической энергии на привод подпиточных и циркуляционных насосов отопления, установленных в тепловой сети, эксплуатируемой организацией, осуществляющей передачу тепловой энергии, определяются по расходу теплоносителя, перекачиваемого этими насосами, зависящему от емкости трубопроводов отопительных контуров тепловой сети и систем отопления (подпиточные насосы) и тепловой нагрузки отопления при средней температуре наружного воздуха за отопительный период (циркуляционные насосы). 12.9. Нормативные значения затрат электрической энергии на привод подкачивающих и подмешивающих насосов, установленных в тепловой сети, эксплуатируемой организацией, осуществляющей передачу тепловой энергии, определяются по расходу теплоносителя, перекачиваемого этими насосами. 12.10. Расход теплоносителя и продолжительность функционирования насосов зарядки-разрядки баков-аккумуляторов, расположенных в тепловых сетях, эксплуатируемых организацией, осуществляющей передачу тепловой энергии, определяются режимами работы баков-аккумуляторов в зависимости от режимов водопотребления горячего водоснабжения. 12.11. Нормативные затраты электрической энергии на привод запорно-регулирующей арматуры и средств автоматического регулирования и защиты, кВтч, определяются в зависимости от мощности установленных электродвигателей, назначения, продолжительности работы соответствующего оборудования и КПД привода по формуле:
где mпр - количество однотипных приводов электрифицированного оборудования; Nпр - мощность установленных электроприводов, кВт; hпр - КПД электроприводов; nгод пр - продолжительность функционирования электроприводов каждого вида оборудования в год, ч; k - количество групп электрооборудования.
12.12. В нормативные затраты электрической энергии при передаче тепловой энергии не включаются затраты электрической энергии на источниках теплоснабжения. III. Определение нормативов технологических потерь при передаче тепловой энергии с использованием нормативных энергетических характеристик тепловых сетей13. Энергетические характеристики работы водяных тепловых сетей каждой системы теплоснабжения разрабатываются по следующим показателям: потери сетевой воды; потери тепловой энергии; удельный среднечасовой расход сетевой воды на единицу расчетной присоединенной тепловой нагрузки потребителей; разность температур сетевой воды в подающих и обратных трубопроводах (или температура сетевой воды в обратных трубопроводах); удельный расход электроэнергии на единицу отпущенной тепловой энергии от источника теплоснабжения (далее - удельный расход электроэнергии). 14. При разработке нормативов технологических потерь при передаче тепловой энергии используются технически обоснованные энергетические характеристики (потери сетевой воды, потери тепловой энергии, удельный расход электроэнергии). Энергетическая характеристика тепловой сети по показателю "потери сетевой воды" устанавливает зависимость технически обоснованных потерь теплоносителя на транспорт и распределение от источника тепловой энергии до потребителей от характеристик и режима работы системы теплоснабжения. При расчете норматива технологических потерь теплоносителя используется значение энергетической характеристики по показателю "потери сетевой вода" только в части тепловых сетей, находящихся в эксплуатационной ответственности теплосетевой организации. Энергетическая характеристика тепловой сети по показателю "тепловые потери" устанавливает зависимость технологических затрат тепловой энергии на ее транспорт и распределение от источника тепловой энергии до границы балансовой принадлежности тепловых сетей от температурного режима работы тепловых сетей и внешних климатических факторов при заданной схеме и конструктивных характеристиках тепловых сетей. Гидравлическая энергетическая характеристика тепловой сети (энергетическая характеристика по показателю "удельный расход электроэнергии") устанавливает зависимость от температуры наружного воздуха в течение отопительного сезона отношения нормируемого часового среднесуточного расхода электроэнергии на транспорт и распределение тепловой энергии в тепловых сетях к нормируемому среднесуточному отпуску тепловой энергии от источников тепловой энергии. 15. К каждой энергетической характеристике прилагается пояснительная записка с перечнем необходимых исходных данных и краткой характеристикой системы теплоснабжения, отражающая результаты пересмотра (разработки) нормативной энергетической характеристики в виде таблиц и графиков. Каждый лист нормативных характеристик, содержащий графические зависимости показателей, подписывается руководителем организации, эксплуатирующей тепловые сети. На титульном листе предусматриваются подписи должностных лиц организаций, указываются срок действия энергетических характеристик и количество сброшюрованных листов. 16. Срок действия энергетических характеристик устанавливается в зависимости от степени их проработки и достоверности исходных материалов, но не превышает пяти лет. Внеочередной пересмотр характеристик осуществляется в соответствии с пунктом 17 настоящей Инструкции. 17. Пересмотр энергетических характеристик (частичный или в полном объеме) производится: при истечении срока действия нормативных характеристик; при изменении нормативно-технических документов; по результатам энергетического обследования тепловых сетей, если выявлены отступления от требований нормативных документов. Кроме того, пересмотр энергетических характеристик тепловых сетей производится в связи с произошедшими изменениями приведенных ниже условий работы тепловой сети и системы теплоснабжения более пределов, указанных ниже: по показателю "потери сетевой воды": при изменении объемов трубопроводов тепловых сетей на 5%; при изменении объемов внутренних систем теплопотребления на 5%; по показателю "тепловые потери": при изменении тепловых потерь по результатам очередных испытаний на 5% по сравнению с результатами предыдущих испытаний; при изменении материальной характеристики тепловых сетей на 5%; при изменении эксплуатационного температурного графика отпуска тепловой энергии; по показателям "удельный среднечасовой расход сетевой воды на единицу присоединенной тепловой нагрузки потребителей" и "разность температур сетевой воды в подающих и обратных трубопроводах": при изменении эксплуатационного температурного графика отпуска тепловой энергии; при изменении суммарных договорных нагрузок на 5%; при изменении тепловых потерь в тепловых сетях, требующих пересмотра соответствующей энергетической характеристики; по показателю "удельный расход электроэнергии на транспорт и распределение тепловой энергии": при изменении количества насосных станций или центральных тепловых пунктов (далее - ЦТП) в тепловой сети на балансе энергоснабжающей (теплосетевой) организации, в случае, если электрическая мощность электродвигателей насосов во вновь подключенных или снятых с баланса насосных станциях и ЦТП изменилась на 5% от суммарной нормируемой электрической мощности; то же относится к изменению производительности (или количества) насосов при неизменном количестве насосных станций и ЦТП; при изменении эксплуатационного температурного графика отпуска тепловой энергии; при изменении условий работы насосных станций и ЦТП (автоматизация, изменение диаметров рабочих колес насосных агрегатов, изменение расходов и напоров сетевой воды), если суммарная электрическая мощность электрооборудования изменяется на 5%. При пересмотре энергетической характеристики по одному из показателей проводится корректировка энергетических характеристик по другим показателям, по которым в результате указанного пересмотра произошло изменение условий или исходных данных (если взаимосвязь между показателями обусловлена положениями методики разработки энергетических характеристик). 18. Использование показателей энергетических характеристик для расчета нормативов технологических потерь при передаче тепловой энергии, устанавливаемых на предстоящий период регулирования для водяных тепловых сетей с расчетной присоединенной тепловой нагрузкой потребителей тепловой энергии 50 Гкал/ч (58 МВт) и более, не допускается, если в предстоящий регулируемый период планируется отклонение от условий, принятых при разработке энергетических характеристик, более пределов, указанных в пункте 5 настоящей Инструкции. В этом случае расчет нормативов технологических потерь при передаче тепловой энергии осуществляется соответствии с главой II настоящей Инструкции. 19. Корректировка показателей технологических потерь при передаче тепловой энергии с расчетной присоединенной тепловой нагрузкой 50 Гкал/ч (58 МВт) и выше для периода регулирования осуществляется приведением утвержденных нормативных энергетических характеристик к прогнозируемым условиям периода регулирования согласно пунктам 20, 21 и 22 настоящей Инструкции. 20. Расчет ожидаемых значений показателя "потери сетевой воды" в части тепловых сетей, находящихся в эксплуатационной ответственности теплосетевой организации, на период регулирования при планируемых изменениях объемов тепловых сетей в размерах, не превышающих указанных в пункте 17 настоящей Инструкции, ожидаемые значения показателя "потери сетевой воды" допускается определять по формуле:
где
21. Расчет ожидаемых значений показателя "тепловые потери" на период регулирования при планируемых изменениях материальной характеристики тепловых сетей теплосетевой организации, а также среднегодовых значений температуры теплоносителя и окружающей среды (наружного воздуха или грунта при изменении глубины заложения теплопроводов) на предстоящий период регулирования в размерах, не превышающих указанных в пункте 5 настоящей Инструкции, рекомендуется производить раздельно по видам тепловых потерь (через теплоизоляционные конструкции и с потерями сетевой воды). При этом планируемые тепловые потери через теплоизоляционные конструкции трубопроводов тепловых сетей определяются раздельно для надземной и подземной прокладки. 21.1. Расчет ожидаемых на период регулирования среднегодовых тепловых потерь через теплоизоляционные конструкции тепловых сетей осуществляется по формулам: для участков подземной прокладки:
где
для участков надземной прокладки: (раздельно по подающим и обратным трубопроводам)
где
21.2. Расчет ожидаемых на период регулирования среднегодовых тепловых потерь с потерями сетевой воды осуществляется по формуле:
где С - удельная теплоемкость сетевой воды, принимаемая равной 1 ккал/кг °С;
21.3. Ожидаемые на
период регулирования суммарные среднегодовые тепловые потери
22. Расчет ожидаемых на период регулирования значений показателя "удельный расход электроэнергии". При планируемых на период регулирования изменениях влияющих факторов, предусмотренных пунктом 17 настоящей Инструкции, ожидаемые значения показателя "удельный расход электроэнергии" определяются для каждой из характерных температур наружного воздуха, принятых при разработке энергетических характеристик. С целью упрощения расчетов допускается определение планируемого на период регулирования удельного расхода электроэнергии только при температуре наружного воздуха, соответствующей точке излома утвержденного температурного графика. В этом случае значения планируемого показателя "удельный расход электроэнергии" при других характерных температурах наружного воздуха строятся на нормативном графике параллельно линии изменения нормативного показателя на одинаковом расстоянии, соответствующем расстоянию между значениями нормативного и ожидаемого удельного расхода электроэнергии в точке излома. Значение планируемого
на период регулирования удельного расхода электроэнергии в точке излома
температурного графика
где:
Для расчета суммарной электрической мощности всех электродвигателей насосов различного назначения, участвующих в транспорте и распределении тепловой энергии, рекомендуется использовать формулы, приведенные в действующих методиках по составлению энергетических характеристик для систем транспорта тепловой энергии и определения нормативных значений показателей функционирования водяных тепловых сетей, а также главы II настоящей Инструкции, с подстановкой в них планируемых на период регулирования значений расходов и соответствующих напоров сетевой воды, а также коэффициентов полезного действия насосов и электродвигателей. IV. Структура и состав документации по расчетам и обоснованию нормативов технологических потерь при передаче тепловой энергии23. В состав документации по нормативам технологических потерь при передаче тепловой энергии, входят: общие сведения об энергоснабжающей (теплосетевой) организации, составленные согласно образцу, приведенному в Приложении 7 к настоящей Инструкции; общая характеристика систем теплоснабжения, составленная согласно образцу, приведенному в Приложении 8 к настоящей Инструкции; общая характеристика систем транспорта и распределения тепловой энергии (тепловых сетей), составленная согласно образцу, приведенному в Приложении 9 к настоящей Инструкции; исходные данные для расчета нормативов технологических потерь, составленные согласно образцу, приведенному в Приложении 6 к настоящей Инструкции; энергетические характеристики тепловых сетей для систем централизованного теплоснабжения с присоединенной тепловой нагрузкой 50 Гкал/ч (58 МВт) и более; результаты энергетических обследований тепловых сетей, энергетический паспорт тепловой сети, содержащий топливно-энергетический баланс и перечень мероприятий, направленных на сокращение затрат энергоресурсов при передаче тепловой энергии (энергосберегающих мероприятий, мероприятий по сокращению резерва тепловой экономичности); результаты расчета нормативов технологических потерь при передаче тепловой энергии, составленные согласно образцу, приведенному в Приложении 10 к настоящей Инструкции; фактические затраты энергоресурсов за периоды, предшествующие регулируемому, составленные согласно образцу, приведенному в Приложении 10 к настоящей Инструкции; результаты расчетов гидравлических режимов работы систем теплоснабжения для обоснования нормативных расходов теплоносителей; перечень предложений (мероприятий) по повышению энергетической эффективности работы систем транспорта тепловой энергии, составленный согласно образцу, приведенному в Приложении 11 к настоящей Инструкции; план разработки нормативных энергетических характеристик тепловых сетей. 24. Рекомендации по оформлению документации по нормативам технологических потерь при передаче тепловой энергии. 24.1. Документация по нормативам технологических потерь при передаче тепловой энергии оформляется в соответствии с требованиями настоящей Инструкции и брошюруется в отдельные тома (книги), как правило, по каждой системе централизованного теплоснабжения, населенному пункту или в целом по энергоснабжающей (теплосетевой) организации. При этом под понятием "система централизованного теплоснабжения" в настоящей Инструкции понимается совокупность одного или нескольких источников тепловой энергии, объединенных единой тепловой сетью, предназначенной для теплоснабжения потребителей тепловой энергией, которая функционирует с определенным видом теплоносителя (пар-конденсат по параметрам, горячая вода), гидравлически изолированная от других систем, для которой устанавливается единый тепловой и материальный баланс. 24.2. В отдельную, как правило, последнюю книгу (том) брошюруются: общие сведения об энергоснабжающей (теплосетевой) организации, составленные согласно образцу, приведенному в Приложение 7 к настоящей Инструкции; общая характеристика систем теплоснабжения, составленная согласно образцу, приведенному в Приложении 8 к настоящей Инструкции; общая характеристика систем транспорта и распределения тепловой энергии (тепловых сетей), составленная согласно образцу, приведенному в Приложении 9 к настоящей Инструкции; результаты расчета нормативов технологических потерь при передаче тепловой энергии, составленные согласно образцу, приведенному в Приложении 10 к настоящей Инструкции; динамика нормируемых показателей за год, предшествующий базовому, за базовый год, на текущий и регулируемый годы по образцам, приведенным в Приложении 5 настоящей Инструкции; фактические затраты энергоресурсов за периоды, предшествующие регулируемому (прогнозируемому) периоду, составленные согласно образцу, приведенному в Приложении 10 к настоящей Инструкции; перечень предложений (мероприятий) по повышению энергетической эффективности работы систем транспорта тепловой энергии, составленный согласно образцу, приведенному в Приложении 11 к настоящей Инструкции. 24.3. Каждая книга (том) оформляется титульным листом согласно образцу, приведенному в Приложении 12 к настоящей Инструкции. Титульные листы каждой книги (тома) подписываются руководителями (техническими руководителями) энергоснабжающей организации, эксплуатирующей тепловые сети соответствующей системы теплоснабжения (населенного пункта). 25. Рекомендации по оформлению результатов расчетов и обоснованию нормативов технологических потерь приведены в Приложении 13 к настоящей Инструкции.
Приложение 1Нормы
|
|||||||||||||||||||||||||||||||||||||||||||||||||||||||||||||||||||||||||||||||||||||||||||||||||||||||||||||||||||||||||||||||||||||||||||||||||||||||||||||||||||||||||||||||||||||||||||||||||||||||||||||||||||||||||||||||||||||||||||||||||||||||||||||||||||||||||||||||||||||||||||||||||||||||||||||||||||||||||||||||||||||||||||||||||||||||||||||||||||||||||||||||||||||||||||||||||||||||||||||||||||||||||||||||||||||||||||||||||||||||||||||||||||||||||||||||||||||||||||||||||||||||||||||||||||||||||||||||||||||||||||||||||||||||||||||||||||||||||||||||||||||||||||||||||||||||||||||||||||||||||||||||||||||||||||||||||||||||||||||||||||||||||||||||||||||||||||||||||||||||||||||||||||||||||||||||||||||||||||||||||||||||||||||||||||||||||||||||||||||||||||||||||||||||||||||||||||||||||||||||||||||||||||||||||||||||||||||||||||||||||||||||||||||||||||||||||||||||||||||||||||||||||||||||||||||||||||||||||||||||||||||||||||||||||||||||||||||||||||||||||||||||||||||||||||||||||||||||||||||||
|
Условный диаметр, мм |
Температура теплоносителя, °С |
||||||||||
|
50 |
75 |
100 |
125 |
150 |
200 |
250 |
300 |
350 |
400 |
450 |
|
|
Тепловые потери, ккал/чм |
|||||||||||
|
25 |
12 |
20 |
28 |
35 |
43 |
58 |
74 |
90 |
105 |
120 |
136 |
|
40 |
13 |
22 |
31 |
40 |
49 |
65 |
84 |
102 |
119 |
136 |
154 |
|
50 |
14 |
23 |
32 |
43 |
53 |
70 |
90 |
108 |
127 |
145 |
165 |
|
65 |
15 |
26 |
37 |
49 |
58 |
78 |
99 |
120 |
141 |
162 |
183 |
|
80 |
16 |
27 |
39 |
52 |
62 |
82 |
105 |
126 |
149 |
170 |
193 |
|
100 |
22 |
34 |
45 |
57 |
68 |
90 |
113 |
137 |
160 |
182 |
205 |
|
125 |
27 |
40 |
53 |
65 |
76 |
101 |
126 |
152 |
176 |
201 |
226 |
|
150 |
31 |
45 |
60 |
72 |
84 |
112 |
140 |
166 |
192 |
220 |
247 |
|
175 |
35 |
50 |
66 |
80 |
93 |
124 |
153 |
182 |
212 |
242 |
273 |
|
200 |
38 |
52 |
70 |
85 |
100 |
132 |
165 |
196 |
227 |
260 |
290 |
|
250 |
42 |
59 |
78 |
95 |
111 |
146 |
183 |
218 |
253 |
289 |
323 |
|
300 |
45 |
65 |
85 |
104 |
122 |
160 |
200 |
240 |
278 |
317 |
355 |
|
350 |
50 |
70 |
92 |
112 |
131 |
175 |
218 |
260 |
300 |
344 |
385 |
|
400 |
53 |
75 |
98 |
120 |
140 |
190 |
235 |
280 |
322 |
370 |
415 |
|
450 |
60 |
83 |
109 |
133 |
155 |
205 |
253 |
303 |
349 |
400 |
448 |
|
500 |
66 |
90 |
120 |
145 |
170 |
220 |
270 |
325 |
375 |
430 |
480 |
|
600 |
82 |
110 |
140 |
170 |
195 |
253 |
310 |
370 |
425 |
485 |
540 |
|
700 |
95 |
125 |
160 |
190 |
220 |
280 |
340 |
405 |
470 |
530 |
590 |
|
800 |
110 |
145 |
180 |
220 |
250 |
315 |
380 |
445 |
515 |
580 |
645 |
|
900 |
135 |
165 |
205 |
240 |
275 |
345 |
415 |
480 |
555 |
625 |
695 |
|
1000 |
150 |
190 |
225 |
265 |
300 |
370 |
450 |
525 |
600 |
670 |
745 |
|
1400 |
210 |
260 |
300 |
350 |
400 |
500 |
585 |
680 |
780 |
870 |
970 |
Таблица 1.2
Нормы тепловых потерь изолированными теплопроводами на открытом воздухе с расчетной температурой наружного воздуха tнв = + 5°С
|
Условный диаметр, мм |
Разность температуры теплоносителя и наружного воздуха,°С |
||||||||||
|
45 |
70 |
95 |
120 |
145 |
195 |
245 |
295 |
345 |
395 |
445 |
|
|
Тепловые потери, ккал/чм |
|||||||||||
|
25 |
15 |
23 |
31 |
38 |
46 |
62 |
77 |
93 |
108 |
124 |
140 |
|
40 |
18 |
27 |
36 |
45 |
53 |
72 |
90 |
108 |
125 |
144 |
162 |
|
50 |
21 |
30 |
40 |
49 |
58 |
78 |
96 |
115 |
134 |
153 |
173 |
|
65 |
25 |
35 |
45 |
55 |
66 |
86 |
108 |
128 |
148 |
170 |
190 |
|
80 |
28 |
38 |
50 |
60 |
71 |
93 |
114 |
136 |
158 |
180 |
202 |
|
100 |
31 |
43 |
55 |
67 |
77 |
101 |
125 |
148 |
172 |
195 |
218 |
|
125 |
35 |
48 |
60 |
74 |
85 |
111 |
136 |
162 |
188 |
212 |
239 |
|
150 |
38 |
50 |
65 |
80 |
94 |
120 |
148 |
175 |
205 |
230 |
260 |
|
175 |
42 |
58 |
73 |
88 |
103 |
130 |
162 |
192 |
223 |
250 |
280 |
|
200 |
46 |
60 |
78 |
95 |
110 |
140 |
175 |
208 |
240 |
270 |
302 |
|
250 |
53 |
70 |
87 |
107 |
125 |
160 |
198 |
233 |
268 |
305 |
340 |
|
300 |
60 |
80 |
100 |
120 |
140 |
180 |
220 |
260 |
300 |
340 |
380 |
|
350 |
71 |
93 |
114 |
135 |
156 |
199 |
240 |
283 |
326 |
370 |
410 |
|
400 |
82 |
105 |
128 |
150 |
173 |
218 |
260 |
306 |
352 |
398 |
440 |
|
450 |
89 |
113 |
136 |
160 |
185 |
235 |
280 |
330 |
375 |
420 |
470 |
|
500 |
95 |
120 |
145 |
170 |
196 |
245 |
300 |
350 |
400 |
450 |
500 |
|
600 |
104 |
133 |
160 |
190 |
218 |
275 |
330 |
385 |
440 |
500 |
555 |
|
700 |
115 |
145 |
176 |
206 |
238 |
297 |
358 |
420 |
480 |
542 |
602 |
|
800 |
135 |
168 |
200 |
233 |
266 |
330 |
398 |
464 |
535 |
600 |
665 |
|
900 |
155 |
190 |
225 |
260 |
296 |
370 |
440 |
515 |
585 |
655 |
725 |
|
1000 |
180 |
220 |
255 |
292 |
330 |
407 |
485 |
565 |
640 |
720 |
793 |
|
1400 |
230 |
280 |
325 |
380 |
430 |
532 |
630 |
740 |
840 |
940 |
1040 |
Таблица 1.3
Нормы тепловых потерь изолированными водяными теплопроводами в непроходных каналах и при бесканальной прокладке с расчетной температурой грунта tнв = + 5°С на глубине заложения теплопроводов
|
Условный диаметр, мм |
Нормы тепловых потерь трубопроводами, ккал/чм |
|||
|
обратным трубопроводом при разности температур теплоносителя и грунта 45°С (t2 = 50°С) |
2-х трубной прокладки при разности температур теплоносителя и грунта 52,5°С (t1 = 65°C) |
2-х трубной прокладки при разности температур теплоносителя и грунта 65°С (t1 = 90°С) |
2-х трубной прокладки при разности температур теплоносителя и грунта 75°С (t1 = 110°С) |
|
|
25 |
20 |
45 |
52 |
58 |
|
50 |
25 |
56 |
65 |
72 |
|
70 |
29 |
64 |
74 |
82 |
|
80 |
31 |
69 |
80 |
88 |
|
100 |
34 |
76 |
88 |
96 |
|
150 |
42 |
94 |
107 |
117 |
|
200 |
51 |
113 |
130 |
142 |
|
250 |
60 |
132 |
150 |
163 |
|
300 |
68 |
149 |
168 |
183 |
|
350 |
76 |
164* |
183 |
202 |
|
400 |
82 |
180* |
203 |
219 |
|
450 |
91 |
198* |
223 |
241 |
|
500 |
101 |
216* |
243 |
261 |
|
600 |
114 |
246* |
277 |
298 |
|
700 |
125 |
272* |
306 |
327 |
|
800 |
141 |
304* |
341 |
364 |
|
900 |
155 |
333* |
373 |
399 |
|
1000 |
170 |
366* |
410 |
436 |
|
1200 |
200 |
429 |
482 |
508 |
|
1400 |
228 |
488 |
554 |
580 |
Примечания:
1) отмеченные * значения норм тепловых потерь приведены как оценочные в силу отсутствия в Нормах соответствующих значений удельных часовых тепловых потерь подающим трубопроводом отмеченных диаметров;
2) значения удельных часовых тепловых потерь трубопроводами диаметром 1200 и 1400 мм в связи с отсутствием в Нормах определены экстраполяцией и приведены как рекомендуемые.
Таблица 1.4
Нормы тепловых потерь изолированными паропроводами и конденсатопроводами в непроходных каналах при расчетной температуре грунта tгр = + 5°С на глубине заложения теплопроводов
|
Конденсатопровод |
Паропровод |
Суммарные тепловые потери при 2-х трубной прокладке конденсатопровода и паропровода (tп=150°C), ккал/чм |
Паропровод |
Суммарные тепловые потери при 2-х трубной прокладке конденсатопровода и паропровода (tп = 200°С), ккал/чм |
|||
|
Температура конденсата tк = 70°С |
Температура пара tп = 150°С |
Температура пара tп = 200°C |
|||||
|
Условный диаметр, мм |
Тепловые потери, ккал/чм |
Условный диаметр, мм |
Тепловые потери, ккал/чм |
Условный диаметр, мм |
Тепловые потери, ккал/чм |
||
|
20 |
21 |
25 |
49 |
70 |
25 |
61 |
82 |
|
25 |
27 |
50 |
61 |
88 |
50 |
75 |
102 |
|
50 |
33 |
65 |
68 |
101 |
65 |
84 |
117 |
|
50 |
33 |
80 |
73 |
106 |
80 |
90 |
123 |
|
50 |
33 |
100 |
80 |
113 |
100 |
98 |
131 |
|
80 |
41 |
150 |
96 |
137 |
150 |
116 |
157 |
|
100 |
45 |
200 |
115 |
160 |
200 |
139 |
184 |
|
100 |
45 |
250 |
131 |
176 |
250 |
158 |
203 |
|
100 |
45 |
300 |
146 |
191 |
300 |
175 |
220 |
|
150 |
55 |
350 |
158 |
213 |
350 |
188 |
243 |
|
150 |
55 |
400 |
182 |
237 |
400 |
202 |
277 |
|
200 |
67 |
450 |
184 |
251 |
450 |
217 |
284 |
|
200 |
67 |
500 |
199 |
266 |
500 |
226 |
293 |
|
250 |
77 |
600 |
223 |
300 |
600 |
262 |
339 |
|
300 |
83 |
700 |
239 |
322 |
700 |
287 |
370 |
Таблица 1.4а
Нормы тепловых потерь изолированными паропроводами и конденсатопроводами в непроходных каналах при расчетной температуре грунта tгр = + 5°С на глубине заложения теплопроводов
|
Паропровод |
Конденсатопровод |
Суммарные тепловые потери при 2-х трубной прокладке, ккал/чм |
||
|
Температура пара tп = 250°С |
Температура конденсата tк = 70°С |
|||
|
Условный диаметр, мм |
Тепловые потери, ккал/чм |
Условный диаметр, мм |
Тепловые потери, ккал/чм |
|
|
25 |
73 |
20 |
21 |
98 |
|
50 |
89 |
25 |
27 |
116 |
|
65 |
99 |
50 |
33 |
132 |
|
80 |
105 |
50 |
33 |
138 |
|
100 |
115 |
50 |
33 |
148 |
|
150 |
136 |
80 |
41 |
177 |
|
200 |
170 |
100 |
45 |
215 |
|
250 |
182 |
100 |
45 |
227 |
|
300 |
202 |
100 |
45 |
247 |
|
350 |
217 |
150 |
55 |
272 |
|
400 |
233 |
150 |
55 |
288 |
|
450 |
251 |
200 |
67 |
318 |
|
500 |
270 |
200 |
67 |
337 |
|
600 |
302 |
250 |
77 |
379 |
|
700 |
326 |
300 |
88 |
414 |
Таблица 1.4б
Нормы тепловых потерь изолированными паропроводами и конденсатопроводами в непроходных каналах при расчетной температуре грунта tгр = + 5°С на глубине заложения теплопроводов
|
Паропровод |
Конденсатопровод |
Суммарные тепловые потери при 2-х трубной прокладке, ккал/чм |
||
|
Температура пара tп = 250°С |
Температура конденсата tк = 70°С |
|||
|
Условный диаметр, мм |
Тепловые потери, ккал/чм |
Условный диаметр, мм |
Тепловые потери, ккал/чм |
|
|
25 |
73 |
20 |
21 |
98 |
|
50 |
89 |
25 |
27 |
116 |
|
65 |
99 |
50 |
33 |
132 |
|
80 |
105 |
50 |
33 |
138 |
|
100 |
115 |
50 |
33 |
148 |
|
150 |
136 |
80 |
41 |
177 |
|
200 |
170 |
100 |
45 |
215 |
|
250 |
182 |
100 |
45 |
227 |
|
300 |
202 |
100 |
45 |
247 |
|
350 |
217 |
150 |
55 |
272 |
|
400 |
233 |
150 |
55 |
288 |
|
450 |
251 |
200 |
67 |
318 |
|
500 |
270 |
200 |
67 |
337 |
|
600 |
302 |
250 |
77 |
379 |
|
700 |
326 |
300 |
88 |
414 |
Таблица 1.4в
Нормы тепловых потерь изолированными паропроводами и конденсатопроводами в непроходных каналах при расчетной температуре грунта tгр = + 5°С на глубине заложения теплопроводов
|
Паропровод |
Конденсатопровод |
Суммарные тепловые потери при 2-х трубной прокладке, ккал/чм |
||
|
Температура пара tп = 400°C |
Температура конденсата tк = 120°C |
|||
|
Условный диаметр, мм |
Тепловые потери, ккал/чм |
Условный диаметр, мм |
Тепловые потери, ккал/чм |
|
|
100 |
160 |
50 |
51 |
211 |
|
150 |
188 |
65 |
58 |
246 |
|
200 |
221 |
100 |
67 |
288 |
|
250 |
254 |
100 |
67 |
321 |
|
300 |
279 |
150 |
81 |
360 |
|
350 |
299 |
150 |
81 |
380 |
|
400 |
316 |
200 |
98 |
414 |
Таблица 2.1
Нормы тепловых потерь трубопроводов, расположенных на открытом воздухе
|
Условный диаметр, мм |
Продолжительность эксплуатации до 5 000 ч/год включительно |
Продолжительность эксплуатации более 5 000 ч/год |
||||||||||||||||||
|
Температура теплоносителя, °С |
||||||||||||||||||||
|
20 |
50 |
100 |
150 |
200 |
250 |
300 |
350 |
400 |
450 |
20 |
50 |
100 |
150 |
200 |
250 |
300 |
350 |
400 |
450 |
|
|
Нормы плотности теплового потока, ккал/чм |
||||||||||||||||||||
|
25 |
5 |
13 |
24 |
36 |
49 |
63 |
77 |
93 |
109 |
128 |
4 |
11 |
22 |
32 |
45 |
57 |
71 |
85 |
101 |
118 |
|
40 |
7 |
15 |
28 |
42 |
57 |
74 |
90 |
108 |
128 |
149 |
6 |
13 |
25 |
38 |
51 |
66 |
82 |
99 |
117 |
136 |
|
50 |
8 |
16 |
31 |
46 |
61 |
78 |
97 |
116 |
137 |
158 |
6 |
15 |
27 |
40 |
55 |
71 |
88 |
106 |
125 |
144 |
|
65 |
9 |
20 |
35 |
52 |
70 |
89 |
109 |
131 |
153 |
178 |
8 |
16 |
31 |
46 |
62 |
80 |
98 |
118 |
139 |
161 |
|
80 |
9 |
22 |
39 |
57 |
75 |
96 |
118 |
140 |
164 |
190 |
9 |
18 |
34 |
50 |
66 |
85 |
105 |
126 |
148 |
172 |
|
100 |
11 |
24 |
43 |
63 |
83 |
106 |
129 |
153 |
179 |
207 |
9 |
21 |
37 |
55 |
73 |
94 |
115 |
138 |
161 |
186 |
|
125 |
13 |
28 |
48 |
70 |
92 |
120 |
144 |
172 |
200 |
231 |
10 |
23 |
42 |
60 |
80 |
105 |
128 |
153 |
179 |
206 |
|
150 |
15 |
30 |
54 |
77 |
101 |
132 |
159 |
188 |
220 |
253 |
12 |
26 |
46 |
66 |
88 |
115 |
141 |
167 |
194 |
224 |
|
200 |
19 |
38 |
66 |
94 |
122 |
158 |
190 |
225 |
261 |
298 |
15 |
32 |
56 |
80 |
105 |
137 |
167 |
196 |
229 |
262 |
|
250 |
22 |
44 |
76 |
108 |
138 |
178 |
213 |
252 |
289 |
331 |
18 |
37 |
65 |
91 |
119 |
154 |
185 |
218 |
253 |
290 |
|
300 |
26 |
51 |
87 |
120 |
156 |
199 |
239 |
279 |
322 |
366 |
22 |
42 |
72 |
101 |
133 |
170 |
206 |
241 |
279 |
318 |
|
350 |
30 |
57 |
96 |
133 |
172 |
219 |
262 |
305 |
352 |
401 |
24 |
47 |
80 |
113 |
146 |
187 |
224 |
263 |
304 |
347 |
|
400 |
33 |
63 |
105 |
146 |
187 |
237 |
285 |
332 |
380 |
432 |
26 |
52 |
88 |
122 |
159 |
203 |
243 |
284 |
327 |
372 |
|
450 |
35 |
69 |
114 |
157 |
200 |
256 |
304 |
354 |
405 |
460 |
28 |
56 |
94 |
131 |
169 |
217 |
259 |
302 |
347 |
396 |
|
500 |
39 |
76 |
123 |
169 |
216 |
277 |
326 |
380 |
435 |
493 |
31 |
61 |
102 |
143 |
181 |
233 |
277 |
323 |
371 |
422 |
|
600 |
46 |
86 |
142 |
194 |
248 |
314 |
372 |
429 |
490 |
554 |
36 |
71 |
117 |
162 |
206 |
263 |
312 |
363 |
415 |
471 |
|
700 |
52 |
98 |
158 |
215 |
274 |
347 |
409 |
473 |
538 |
608 |
41 |
79 |
130 |
180 |
227 |
290 |
343 |
398 |
455 |
515 |
|
800 |
58 |
110 |
176 |
239 |
304 |
384 |
452 |
520 |
592 |
667 |
46 |
89 |
144 |
183 |
251 |
319 |
377 |
436 |
498 |
562 |
|
900 |
65 |
121 |
194 |
263 |
334 |
419 |
494 |
568 |
644 |
725 |
51 |
97 |
158 |
218 |
274 |
348 |
410 |
474 |
540 |
610 |
|
1000 |
71 |
133 |
212 |
286 |
362 |
457 |
535 |
615 |
697 |
783 |
56 |
107 |
173 |
237 |
298 |
377 |
444 |
512 |
582 |
656 |
|
Криволинейные поверхности диаметром более 1020 мм и плоские |
Нормы поверхностной плотности теплового потока, ккал/чм2 |
|||||||||||||||||||
|
22 |
38 |
61 |
76 |
93 |
114 |
131 |
142 |
163 |
180 |
16 |
30 |
46 |
60 |
73 |
90 |
103 |
116 |
129 |
142 |
|
Таблица 2.2
Нормы тепловых потерь трубопроводов, расположенных в помещении и тоннеле
|
Условный диаметр, мм |
Продолжительность эксплуатации до 5 000 ч/год включительно |
Продолжительность эксплуатации более 5 000 ч/год |
||||||||||||||||
|
Температура теплоносителя, °С |
||||||||||||||||||
|
50 |
100 |
150 |
200 |
250 |
300 |
350 |
400 |
450 |
50 |
100 |
150 |
200 |
250 |
300 |
350 |
400 |
450 |
|
|
Нормы плотности теплового потока, ккал/чм |
||||||||||||||||||
|
25 |
9 |
22 |
34 |
46 |
60 |
75 |
91 |
108 |
126 |
9 |
19 |
30 |
42 |
55 |
68 |
83 |
99 |
116 |
|
40 |
11 |
25 |
40 |
55 |
71 |
89 |
107 |
126 |
146 |
10 |
22 |
35 |
49 |
64 |
80 |
96 |
115 |
134 |
|
50 |
13 |
28 |
42 |
58 |
77 |
95 |
114 |
134 |
157 |
11 |
24 |
38 |
52 |
69 |
85 |
103 |
122 |
143 |
|
65 |
15 |
32 |
49 |
67 |
87 |
107 |
128 |
151 |
175 |
13 |
28 |
43 |
59 |
77 |
96 |
115 |
137 |
159 |
|
80 |
17 |
35 |
53 |
72 |
93 |
114 |
138 |
162 |
188 |
14 |
30 |
46 |
64 |
83 |
102 |
123 |
145 |
169 |
|
100 |
19 |
39 |
59 |
80 |
102 |
126 |
151 |
176 |
204 |
15 |
34 |
52 |
70 |
90 |
112 |
134 |
158 |
183 |
|
125 |
22 |
44 |
66 |
88 |
116 |
142 |
169 |
197 |
229 |
18 |
38 |
57 |
77 |
101 |
125 |
151 |
176 |
204 |
|
150 |
24 |
48 |
73 |
98 |
128 |
156 |
185 |
216 |
249 |
21 |
42 |
63 |
84 |
112 |
138 |
163 |
192 |
221 |
|
200 |
31 |
60 |
89 |
118 |
154 |
186 |
220 |
257 |
294 |
25 |
51 |
76 |
101 |
133 |
163 |
194 |
224 |
259 |
|
250 |
36 |
70 |
101 |
133 |
173 |
208 |
247 |
286 |
328 |
29 |
58 |
86 |
114 |
150 |
181 |
214 |
249 |
286 |
|
300 |
41 |
79 |
114 |
150 |
194 |
232 |
274 |
316 |
362 |
34 |
66 |
96 |
128 |
166 |
200 |
237 |
274 |
315 |
|
350 |
46 |
89 |
126 |
166 |
213 |
257 |
301 |
347 |
397 |
38 |
73 |
107 |
141 |
182 |
220 |
259 |
299 |
342 |
|
400 |
52 |
97 |
139 |
181 |
231 |
279 |
326 |
375 |
427 |
41 |
80 |
116 |
153 |
198 |
237 |
279 |
322 |
368 |
|
450 |
55 |
105 |
149 |
194 |
250 |
298 |
348 |
400 |
455 |
45 |
87 |
125 |
163 |
211 |
253 |
297 |
342 |
391 |
|
500 |
61 |
114 |
162 |
209 |
270 |
321 |
374 |
429 |
487 |
49 |
94 |
134 |
176 |
227 |
272 |
318 |
366 |
417 |
|
600 |
70 |
131 |
185 |
238 |
307 |
364 |
423 |
483 |
548 |
58 |
108 |
154 |
200 |
256 |
306 |
357 |
410 |
466 |
|
700 |
78 |
146 |
206 |
266 |
339 |
402 |
465 |
531 |
601 |
64 |
120 |
171 |
220 |
282 |
336 |
392 |
449 |
509 |
|
800 |
88 |
163 |
228 |
294 |
375 |
443 |
513 |
584 |
660 |
72 |
133 |
189 |
243 |
311 |
370 |
429 |
491 |
556 |
|
900 |
98 |
180 |
251 |
323 |
411 |
484 |
559 |
636 |
718 |
80 |
146 |
207 |
266 |
340 |
402 |
467 |
533 |
604 |
|
1000 |
108 |
197 |
273 |
351 |
446 |
525 |
605 |
688 |
777 |
88 |
160 |
225 |
288 |
368 |
435 |
504 |
574 |
652 |
|
Криволинейные поверхности диаметром более 1020 мм и плоские |
Нормы поверхностной плотности теплового потока, ккал/чм2 |
|||||||||||||||||
|
31 |
54,2 |
73,1 |
90,3 |
114 |
130 |
146 |
162 |
180 |
24,9 |
43 |
58,5 |
71,4 |
89,4 |
102 |
115 |
128 |
142 |
|
Примечание: при расположении трубопроводов в тоннеле к нормам тепловых потерь, приведенным в данной таблице, необходимо вводить коэффициент 0,85.
Таблица 2.3
Нормы тепловых потерь трубопроводов водяной тепловой сети при бесканальной прокладке
|
Условный диаметр, мм |
Нормы плотности теплового потока, ккал/чм |
|||||||
|
Продолжительность эксплуатации до 5000 ч/год включительно |
Продолжительность эксплуатации более 5000 ч/год |
|||||||
|
трубопровод |
||||||||
|
подающий |
обратный |
подающий |
обратный |
подающий |
обратный |
подающий |
обратный |
|
|
Температура теплоносителя, °С |
||||||||
|
65 |
50 |
90 |
50 |
65 |
50 |
90 |
50 |
|
|
25 |
31 |
23 |
41 |
22 |
28 |
22 |
38 |
21 |
|
50 |
38 |
29 |
52 |
28 |
34 |
27 |
46 |
25 |
|
65 |
43 |
33 |
58 |
31 |
39 |
29 |
52 |
28 |
|
80 |
44 |
34 |
59 |
32 |
40 |
30 |
52 |
29 |
|
100 |
47 |
36 |
64 |
34 |
42 |
33 |
56 |
30 |
|
125 |
52 |
40 |
70 |
38 |
46 |
35 |
62 |
34 |
|
150 |
59 |
45 |
78 |
42 |
52 |
40 |
69 |
37 |
|
200 |
66 |
51 |
87 |
46 |
57 |
43 |
77 |
41 |
|
250 |
71 |
54 |
95 |
51 |
62 |
47 |
83 |
44 |
|
300 |
78 |
59 |
105 |
55 |
68 |
51 |
90 |
48 |
|
350 |
87 |
65 |
114 |
59 |
74 |
56 |
97 |
52 |
|
400 |
93 |
69 |
120 |
63 |
78 |
58 |
104 |
54 |
|
450 |
100 |
74 |
130 |
67 |
83 |
62 |
111 |
58 |
|
500 |
106 |
78 |
140 |
71 |
90 |
67 |
119 |
62 |
|
600 |
120 |
89 |
160 |
81 |
101 |
75 |
134 |
69 |
|
700 |
134 |
96 |
175 |
86 |
108 |
80 |
146 |
74 |
|
800 |
145 |
105 |
194 |
94 |
120 |
88 |
160 |
80 |
Примечание: при применении в качестве теплоизоляционного слоя пенополиуретана, фенольного поропласта и полимербетона значения норм тепловых потерь для трубопроводов следует определять с коэффициентом Киз, приведенным в таблице 2.3а:
Таблица 2.3а
|
Материал теплоизоляционного слоя |
Условный диаметр трубопроводов, мм |
|||
|
25-65 |
80-150 |
200 - 300 |
350-500 |
|
|
Коэффициент Киз |
||||
|
пенополиуретан, фенольный поропласт ФЛ |
0,5 |
0,6 |
0,7 |
0,8 |
|
полимербетон |
0,7 |
0,8 |
0,9 |
1,0 |
Таблица 2.4
Нормы тепловых потерь паропроводов и конденсатопроводов при их совместной прокладке в непроходных каналах
|
Условный диаметр |
Нормы плотности теплового потока, ккал/чм |
||||||||||||
|
пар |
конд |
пар |
конд |
пар |
конд |
пар |
конд |
пар |
конд |
пар |
конд |
||
|
паропровод |
конденсатопровод |
Расчетная температура теплоносителя, °С |
|||||||||||
|
115 |
100 |
150 |
100 |
200 |
100 |
250 |
100 |
300 |
100 |
350 |
100 |
||
|
25 |
25 |
24 |
19 |
31 |
19 |
42 |
19 |
52 |
19 |
66 |
19 |
82 |
19 |
|
30 |
25 |
25 |
19 |
33 |
19 |
45 |
19 |
56 |
19 |
71 |
19 |
86 |
19 |
|
40 |
25 |
27 |
19 |
34 |
19 |
46 |
19 |
60 |
19 |
76 |
19 |
90 |
19 |
|
50 |
25 |
29 |
19 |
37 |
19 |
53 |
19 |
66 |
19 |
82 |
19 |
97 |
19 |
|
65 |
30 |
33 |
22 |
44 |
22 |
60 |
22 |
73 |
22 |
90 |
21 |
107 |
21 |
|
80 |
40 |
38 |
23 |
47 |
23 |
64 |
22 |
77 |
22 |
95 |
22 |
112 |
22 |
|
100 |
40 |
40 |
23 |
51 |
23 |
68 |
22 |
83 |
22 |
101 |
22 |
120 |
22 |
|
125 |
50 |
45 |
25 |
55 |
25 |
74 |
24 |
90 |
24 |
110 |
24 |
130 |
24 |
|
150 |
70 |
48 |
28 |
59 |
28 |
80 |
27 |
97 |
27 |
119 |
27 |
146 |
27 |
|
200 |
80 |
56 |
30 |
70 |
30 |
92 |
29 |
112 |
29 |
135 |
29 |
158 |
29 |
|
250 |
100 |
63 |
33 |
77 |
33 |
102 |
32 |
123 |
32 |
151 |
32 |
177 |
32 |
|
300 |
125 |
69 |
35 |
86 |
34 |
114 |
34 |
137 |
34 |
164 |
34 |
192 |
34 |
|
350 |
150 |
76 |
40 |
93 |
39 |
122 |
39 |
147 |
38 |
176 |
38 |
206 |
38 |
|
400 |
180 |
81 |
44 |
99 |
43 |
131 |
43 |
157 |
42 |
188 |
42 |
219 |
42 |
|
450 |
200 |
87 |
46 |
107 |
46 |
138 |
46 |
167 |
46 |
200 |
45 |
231 |
45 |
|
500 |
250 |
93 |
52 |
114 |
52 |
147 |
51 |
178 |
51 |
213 |
51 |
247 |
51 |
|
600 |
300 |
104 |
58 |
126 |
57 |
164 |
57 |
196 |
56 |
234 |
56 |
269 |
55 |
|
700 |
300 |
113 |
58 |
137 |
57 |
177 |
57 |
210 |
56 |
250 |
55 |
289 |
54 |
|
800 |
300 |
122 |
58 |
148 |
57 |
191 |
57 |
227 |
56 |
- |
- |
- |
- |
Таблица 2.5
Нормы тепловых потерь трубопроводов водяных тепловых сетей в непроходных каналах
|
Условный диаметр, мм |
Нормы плотности теплового потока, ккал/чм |
|||||||||||
|
Продолжительность эксплуатации до 5000 ч/год включительно |
Продолжительность эксплуатации более 5000 ч/год |
|||||||||||
|
трубопровод |
||||||||||||
|
подающий |
обратный |
подающий |
обратный |
подающий |
обратный |
подающий |
обратный |
подающий |
обратный |
подающий |
обратный |
|
|
Температура теплоносителя, °С |
||||||||||||
|
65 |
50 |
90 |
50 |
110 |
50 |
65 |
50 |
90 |
50 |
110 |
50 |
|
|
25 |
15 |
10 |
22 |
9 |
27 |
9 |
14 |
9 |
20 |
9 |
24 |
8 |
|
30 |
16 |
11 |
23 |
10 |
28 |
9 |
15 |
10 |
21 |
9 |
26 |
9 |
|
40 |
18 |
12 |
25 |
11 |
31 |
10 |
15 |
11 |
22 |
10 |
28 |
9 |
|
50 |
19 |
13 |
28 |
12 |
34 |
11 |
17 |
12 |
24 |
11 |
30 |
10 |
|
65 |
23 |
16 |
33 |
14 |
40 |
12 |
20 |
14 |
29 |
13 |
34 |
11 |
|
80 |
25 |
17 |
35 |
15 |
44 |
13 |
22 |
15 |
31 |
14 |
38 |
12 |
|
100 |
28 |
19 |
40 |
16 |
49 |
15 |
24 |
16 |
35 |
15 |
41 |
13 |
|
125 |
29 |
20 |
42 |
17 |
52 |
15 |
27 |
18 |
36 |
15 |
43 |
14 |
|
150 |
33 |
22 |
46 |
19 |
56 |
16 |
28 |
19 |
38 |
16 |
47 |
15 |
|
200 |
41 |
27 |
57 |
22 |
71 |
20 |
34 |
23 |
46 |
19 |
58 |
18 |
|
250 |
46 |
30 |
65 |
25 |
80 |
22 |
39 |
26 |
55 |
22 |
66 |
20 |
|
300 |
53 |
34 |
75 |
28 |
89 |
24 |
43 |
28 |
60 |
24 |
72 |
22 |
|
350 |
58 |
38 |
80 |
29 |
101 |
25 |
47 |
32 |
65 |
26 |
81 |
22 |
|
400 |
65 |
40 |
94 |
32 |
106 |
26 |
50 |
33 |
71 |
28 |
87 |
24 |
|
450 |
66 |
42 |
96 |
34 |
116 |
28 |
58 |
37 |
80 |
31 |
92 |
25 |
|
500 |
76 |
46 |
108 |
37 |
144 |
28 |
58 |
38 |
84 |
33 |
101 |
28 |
|
600 |
84 |
50 |
120 |
39 |
147 |
30 |
68 |
43 |
94 |
35 |
114 |
29 |
|
700 |
92 |
54 |
140 |
40 |
159 |
33 |
77 |
47 |
108 |
37 |
130 |
32 |
|
800 |
112 |
62 |
156 |
41 |
183 |
36 |
86 |
52 |
120 |
39 |
140 |
34 |
|
900 |
119 |
65 |
163 |
49 |
201 |
38 |
91 |
57 |
130 |
46 |
160 |
37 |
|
1000 |
131 |
67 |
171 |
51 |
214 |
42 |
101 |
61 |
136 |
49 |
165 |
40 |
|
1200 |
159 |
74 |
221 |
57 |
258 |
46 |
124 |
68 |
159 |
55 |
197 |
45 |
|
1400 |
175 |
77 |
244 |
59 |
277 |
50 |
131 |
71 |
181 |
58 |
217 |
48 |
Таблица 3.1
Нормы тепловых потерь трубопроводов, расположенных на открытом воздухе
|
Условный диаметр, мм |
Продолжительность эксплуатации до 5 000 ч/год включительно |
Продолжительность эксплуатации более 5 000 ч/год |
||||||||||||||||||
|
Разность температур теплоносителя и наружного воздуха, °С |
||||||||||||||||||||
|
15 |
45 |
95 |
145 |
195 |
245 |
295 |
345 |
395 |
445 |
15 |
45 |
95 |
145 |
195 |
245 |
295 |
345 |
395 |
445 |
|
|
Нормы плотности теплового потока, ккал/чм |
||||||||||||||||||||
|
25 |
4 |
10 |
20 |
29 |
40 |
55 |
64 |
77 |
89 |
105 |
3 |
9 |
17 |
26 |
36 |
46 |
57 |
69 |
82 |
95 |
|
40 |
6 |
13 |
23 |
34 |
46 |
61 |
74 |
89 |
105 |
122 |
4 |
10 |
21 |
31 |
41 |
53 |
66 |
80 |
95 |
110 |
|
50 |
6 |
14 |
26 |
38 |
50 |
65 |
80 |
95 |
112 |
130 |
5 |
12 |
22 |
33 |
45 |
57 |
71 |
86 |
101 |
117 |
|
65 |
7 |
16 |
29 |
43 |
58 |
73 |
89 |
108 |
126 |
146 |
6 |
13 |
25 |
38 |
50 |
65 |
79 |
95 |
113 |
131 |
|
80 |
8 |
18 |
32 |
46 |
61 |
79 |
96 |
115 |
135 |
156 |
7 |
15 |
28 |
40 |
53 |
69 |
85 |
102 |
120 |
139 |
|
100 |
9 |
20 |
35 |
52 |
69 |
87 |
106 |
125 |
147 |
170 |
8 |
16 |
30 |
45 |
59 |
76 |
94 |
112 |
131 |
151 |
|
125 |
10 |
22 |
40 |
57 |
76 |
98 |
119 |
141 |
164 |
190 |
9 |
19 |
34 |
49 |
65 |
85 |
104 |
124 |
145 |
167 |
|
150 |
13 |
25 |
45 |
63 |
83 |
108 |
131 |
155 |
181 |
207 |
9 |
21 |
38 |
53 |
71 |
94 |
114 |
135 |
157 |
181 |
|
200 |
15 |
31 |
54 |
77 |
101 |
130 |
156 |
185 |
214 |
244 |
13 |
26 |
46 |
65 |
85 |
111 |
135 |
159 |
186 |
212 |
|
250 |
18 |
36 |
62 |
89 |
114 |
146 |
175 |
206 |
237 |
272 |
15 |
30 |
52 |
74 |
96 |
125 |
150 |
177 |
205 |
235 |
|
300 |
22 |
41 |
71 |
99 |
128 |
163 |
196 |
229 |
264 |
300 |
17 |
34 |
58 |
83 |
108 |
138 |
167 |
195 |
225 |
258 |
|
350 |
25 |
46 |
79 |
109 |
141 |
180 |
215 |
250 |
288 |
329 |
20 |
39 |
65 |
91 |
119 |
152 |
181 |
213 |
246 |
280 |
|
400 |
27 |
52 |
86 |
120 |
153 |
194 |
233 |
273 |
311 |
354 |
21 |
42 |
71 |
99 |
129 |
164 |
196 |
230 |
265 |
302 |
|
450 |
29 |
57 |
93 |
128 |
164 |
210 |
249 |
291 |
332 |
378 |
23 |
46 |
76 |
106 |
138 |
175 |
210 |
244 |
281 |
321 |
|
500 |
32 |
62 |
101 |
139 |
177 |
227 |
267 |
311 |
357 |
404 |
25 |
50 |
83 |
116 |
147 |
189 |
224 |
262 |
300 |
342 |
|
600 |
38 |
71 |
116 |
159 |
203 |
257 |
304 |
352 |
402 |
454 |
29 |
57 |
95 |
131 |
167 |
213 |
253 |
294 |
336 |
382 |
|
700 |
42 |
81 |
130 |
176 |
225 |
285 |
335 |
388 |
441 |
499 |
34 |
65 |
105 |
145 |
184 |
235 |
278 |
323 |
369 |
417 |
|
800 |
47 |
90 |
144 |
196 |
249 |
316 |
371 |
427 |
485 |
547 |
37 |
71 |
116 |
148 |
204 |
259 |
305 |
353 |
403 |
456 |
|
900 |
53 |
100 |
159 |
216 |
273 |
343 |
405 |
465 |
528 |
594 |
41 |
79 |
128 |
176 |
222 |
282 |
332 |
384 |
438 |
494 |
|
1000 |
58 |
109 |
175 |
235 |
297 |
374 |
439 |
504 |
571 |
642 |
46 |
87 |
140 |
192 |
241 |
305 |
359 |
415 |
471 |
531 |
|
Криволинейные поверхности диаметром более 1020 мм и плоские |
Нормы поверхностной плотности теплового потока, ккал/чм2 |
|||||||||||||||||||
|
18 |
31 |
50 |
62 |
77 |
94 |
108 |
116 |
134 |
147 |
4 |
24 |
38 |
49 |
59 |
73 |
83 |
94 |
105 |
115 |
|
Таблица 3.2
Нормы тепловых потерь трубопроводов, расположенных в помещении и тоннеле
|
Условный диаметр, мм |
Продолжительность эксплуатации до 5 000 ч/год включительно |
Продолжительность эксплуатации более 5 000 ч/год |
||||||||||||||||
|
Температура теплоносителя, °С |
||||||||||||||||||
|
50 |
100 |
150 |
200 |
250 |
300 |
350 |
400 |
450 |
50 |
100 |
150 |
200 |
250 |
300 |
350 |
400 |
450 |
|
|
Нормы плотности теплового потока, ккал/чм |
||||||||||||||||||
|
25 |
8 |
17 |
27 |
37 |
48 |
60 |
73 |
86 |
101 |
7 |
15 |
24 |
34 |
44 |
54 |
67 |
79 |
93 |
|
40 |
9 |
20 |
32 |
44 |
57 |
71 |
85 |
101 |
117 |
9 |
18 |
28 |
40 |
51 |
64 |
77 |
92 |
108 |
|
50 |
10 |
22 |
34 |
46 |
61 |
76 |
91 |
108 |
126 |
9 |
19 |
30 |
42 |
55 |
68 |
83 |
98 |
114 |
|
65 |
12 |
26 |
40 |
53 |
70 |
85 |
102 |
121 |
140 |
10 |
22 |
34 |
47 |
62 |
77 |
92 |
109 |
127 |
|
80 |
14 |
28 |
43 |
58 |
74 |
91 |
110 |
129 |
151 |
11 |
24 |
37 |
51 |
67 |
82 |
98 |
116 |
136 |
|
100 |
15 |
31 |
47 |
64 |
82 |
101 |
120 |
141 |
163 |
12 |
27 |
41 |
56 |
72 |
89 |
108 |
126 |
146 |
|
125 |
17 |
35 |
53 |
71 |
93 |
114 |
135 |
157 |
183 |
15 |
30 |
46 |
62 |
81 |
100 |
120 |
141 |
163 |
|
150 |
19 |
39 |
58 |
78 |
102 |
125 |
148 |
173 |
200 |
16 |
34 |
50 |
67 |
89 |
110 |
131 |
154 |
177 |
|
200 |
25 |
48 |
71 |
95 |
123 |
149 |
176 |
206 |
236 |
20 |
40 |
60 |
81 |
107 |
130 |
155 |
180 |
207 |
|
250 |
29 |
56 |
81 |
107 |
138 |
167 |
198 |
229 |
262 |
23 |
46 |
69 |
91 |
120 |
145 |
171 |
199 |
229 |
|
300 |
33 |
64 |
91 |
120 |
155 |
186 |
219 |
253 |
290 |
27 |
53 |
77 |
102 |
132 |
160 |
189 |
219 |
252 |
|
350 |
36 |
71 |
101 |
132 |
170 |
206 |
241 |
278 |
316 |
30 |
58 |
85 |
113 |
146 |
176 |
207 |
239 |
273 |
|
400 |
41 |
77 |
112 |
144 |
185 |
223 |
261 |
300 |
341 |
33 |
64 |
93 |
122 |
158 |
190 |
223 |
257 |
294 |
|
450 |
44 |
84 |
119 |
155 |
200 |
239 |
279 |
320 |
364 |
36 |
70 |
100 |
131 |
169 |
202 |
237 |
273 |
313 |
|
500 |
49 |
91 |
129 |
167 |
216 |
256 |
299 |
343 |
390 |
40 |
75 |
108 |
141 |
181 |
218 |
255 |
293 |
334 |
|
600 |
56 |
105 |
148 |
191 |
246 |
291 |
339 |
387 |
439 |
46 |
86 |
123 |
160 |
205 |
245 |
286 |
329 |
373 |
|
700 |
63 |
117 |
164 |
212 |
271 |
322 |
372 |
425 |
481 |
51 |
95 |
137 |
176 |
225 |
269 |
314 |
359 |
408 |
|
800 |
71 |
131 |
182 |
236 |
300 |
354 |
410 |
467 |
528 |
58 |
107 |
151 |
194 |
249 |
296 |
343 |
393 |
445 |
|
900 |
78 |
144 |
201 |
258 |
329 |
387 |
447 |
509 |
574 |
64 |
117 |
166 |
212 |
272 |
322 |
374 |
427 |
483 |
|
1000 |
86 |
157 |
218 |
280 |
357 |
421 |
484 |
550 |
621 |
71 |
128 |
181 |
246 |
294 |
348 |
402 |
459 |
521 |
|
Криволинейные поверхности диаметром более 1020 мм и плоские |
Нормы поверхностной плотности теплового потока, ккал/чм2 |
|||||||||||||||||
|
25 |
43 |
58 |
72 |
91 |
104 |
117 |
129 |
144 |
20 |
34 |
46 |
57 |
71 |
82 |
92 |
102 |
114 |
|
Примечание: при расположении трубопроводов в тоннеле к нормам тепловых потерь, приведенным в данной таблице, необходимо вводить коэффициент 0,85.
Таблица 3.3
Нормы тепловых потерь конденсатопроводов и паропроводов, проложенных совместно в непроходных каналах
|
Условный диаметр |
Нормы плотности теплового потока, ккал/чм |
||||||||||||
|
пар |
конд |
пар |
конд |
пар |
конд |
пар |
конд |
пар |
конд |
пар |
конд |
||
|
паропровод |
конденсатопровод |
Расчетная температура теплоносителя, °С |
|||||||||||
|
115 |
100 |
150 |
100 |
200 |
100 |
250 |
100 |
300 |
100 |
350 |
100 |
||
|
25 |
25 |
19 |
15 |
26 |
15 |
35 |
15 |
44 |
15 |
55 |
15 |
68 |
15 |
|
30 |
25 |
20 |
15 |
28 |
15 |
37 |
15 |
46 |
15 |
59 |
15 |
71 |
15 |
|
40 |
25 |
22 |
15 |
28 |
15 |
39 |
15 |
50 |
15 |
63 |
15 |
76 |
15 |
|
50 |
25 |
23 |
15 |
31 |
15 |
45 |
15 |
55 |
15 |
68 |
15 |
82 |
15 |
|
65 |
30 |
27 |
18 |
37 |
18 |
50 |
18 |
61 |
18 |
76 |
17 |
89 |
17 |
|
80 |
40 |
30 |
20 |
40 |
20 |
53 |
20 |
70 |
19 |
84 |
19 |
101 |
18 |
|
100 |
40 |
33 |
20 |
42 |
20 |
57 |
20 |
70 |
19 |
84 |
19 |
101 |
18 |
|
125 |
50 |
36 |
21 |
46 |
21 |
62 |
21 |
76 |
20 |
92 |
20 |
108 |
20 |
|
150 |
70 |
39 |
23 |
50 |
23 |
67 |
23 |
81 |
22 |
99 |
22 |
122 |
22 |
|
200 |
80 |
45 |
23 |
58 |
25 |
77 |
25 |
93 |
24 |
113 |
24 |
132 |
24 |
|
250 |
100 |
50 |
27 |
65 |
27 |
85 |
27 |
102 |
27 |
126 |
27 |
148 |
27 |
|
300 |
125 |
55 |
28 |
71 |
28 |
95 |
28 |
114 |
28 |
137 |
28 |
160 |
28 |
|
350 |
150 |
60 |
33 |
77 |
33 |
101 |
33 |
123 |
32 |
147 |
32 |
172 |
32 |
|
400 |
180 |
65 |
36 |
83 |
36 |
109 |
36 |
132 |
35 |
157 |
35 |
183 |
35 |
|
450 |
200 |
70 |
38 |
89 |
38 |
115 |
38 |
139 |
38 |
166 |
37 |
193 |
37 |
|
500 |
250 |
74 |
43 |
95 |
43 |
123 |
43 |
149 |
42 |
178 |
42 |
206 |
41 |
|
600 |
300 |
83 |
47 |
106 |
47 |
137 |
47 |
163 |
46 |
195 |
46 |
224 |
46 |
|
700 |
300 |
90 |
47 |
114 |
47 |
148 |
47 |
175 |
46 |
209 |
46 |
241 |
46 |
|
800 |
300 |
98 |
47 |
123 |
47 |
159 |
47 |
189 |
46 |
- |
- |
- |
- |
Таблица 3.4
Нормы тепловых потерь трубопроводов, проложенных в непроходных каналах и бесканально
|
Условный диаметр, мм |
Нормы плотности теплового потока, ккал/чм |
|||||||||||
|
Продолжительность эксплуатации до 5000 ч/год включительно |
Продолжительность эксплуатации более 5000 ч/год |
|||||||||||
|
трубопровод |
||||||||||||
|
подающий |
обратный |
подающий |
обратный |
подающий |
обратный |
подающий |
обратный |
подающий |
обратный |
подающий |
обратный |
|
|
Температура теплоносителя, °C |
||||||||||||
|
65 |
50 |
90 |
50 |
110 |
50 |
65 |
50 |
90 |
50 |
110 |
50 |
|
|
25 |
13 |
9 |
19 |
9 |
22 |
9 |
12 |
8 |
17 |
8 |
21 |
7 |
|
30 |
14 |
9 |
20 |
9 |
24 |
9 |
13 |
9 |
17 |
9 |
22 |
8 |
|
40 |
15 |
10 |
22 |
10 |
27 |
9 |
14 |
9 |
19 |
9 |
23 |
9 |
|
50 |
16 |
11 |
24 |
11 |
29 |
10 |
15 |
10 |
21 |
10 |
26 |
9 |
|
65 |
20 |
14 |
28 |
12 |
34 |
11 |
17 |
11 |
25 |
11 |
29 |
10 |
|
80 |
22 |
15 |
30 |
13 |
37 |
12 |
18 |
12 |
27 |
12 |
32 |
11 |
|
100 |
24 |
16 |
34 |
14 |
41 |
14 |
21 |
14 |
30 |
13 |
35 |
12 |
|
125 |
25 |
17 |
36 |
15 |
45 |
15 |
22 |
15 |
33 |
14 |
37 |
13 |
|
150 |
28 |
20 |
40 |
16 |
47 |
16 |
23 |
16 |
36 |
15 |
40 |
14 |
|
200 |
35 |
22 |
47 |
19 |
61 |
17 |
28 |
20 |
42 |
16 |
50 |
15 |
|
250 |
40 |
26 |
56 |
22 |
68 |
18 |
33 |
22 |
46 |
18 |
57 |
17 |
|
300 |
46 |
29 |
64 |
23 |
76 |
21 |
37 |
24 |
52 |
21 |
61 |
18 |
|
350 |
50 |
32 |
68 |
25 |
84 |
22 |
40 |
27 |
55 |
22 |
69 |
19 |
|
400 |
56 |
34 |
75 |
28 |
90 |
22 |
43 |
28 |
60 |
24 |
74 |
21 |
|
450 |
60 |
36 |
82 |
28 |
99 |
23 |
46 |
31 |
68 |
27 |
78 |
22 |
|
500 |
65 |
40 |
92 |
31 |
112 |
24 |
50 |
32 |
72 |
28 |
86 |
23 |
|
600 |
71 |
42 |
102 |
33 |
125 |
26 |
58 |
36 |
80 |
30 |
96 |
27 |
|
700 |
78 |
46 |
120 |
35 |
135 |
28 |
65 |
40 |
92 |
32 |
110 |
27 |
|
800 |
91 |
52 |
129 |
39 |
156 |
31 |
73 |
44 |
102 |
33 |
120 |
29 |
|
900 |
101 |
55 |
139 |
41 |
171 |
32 |
77 |
48 |
110 |
37 |
129 |
32 |
|
1000 |
111 |
57 |
145 |
44 |
182 |
36 |
86 |
52 |
120 |
40 |
140 |
34 |
|
1200 |
135 |
63 |
187 |
47 |
219 |
40 |
98 |
58 |
136 |
46 |
163 |
38 |
|
1400 |
149 |
66 |
207 |
51 |
236 |
42 |
112 |
60 |
154 |
50 |
193 |
41 |
Таблица 4.1
Нормы тепловых потерь трубопроводов, расположенных на открытом воздухе
|
Условный диаметр, мм |
Продолжительность эксплуатации до 5 000 ч/год включительно |
Продолжительность эксплуатации более 5 000 ч/год |
||||||||||||||||||
|
Разность температур теплоносителя и наружного воздуха,°С |
||||||||||||||||||||
|
15 |
45 |
95 |
145 |
195 |
245 |
295 |
345 |
395 |
445 |
15 |
45 |
95 |
145 |
195 |
245 |
295 |
345 |
395 |
445 |
|
|
Нормы плотности теплового потока, ккал/чм |
||||||||||||||||||||
|
25 |
4 |
10 |
20 |
29 |
40 |
51 |
63 |
76 |
89 |
103 |
4 |
9 |
17 |
27 |
36 |
46 |
58 |
70 |
82 |
95 |
|
40 |
5 |
12 |
22 |
33,5 |
45 |
58 |
71 |
85 |
100 |
116 |
4 |
10 |
20 |
30 |
40 |
52 |
65 |
77 |
91 |
106 |
|
50 |
6 |
14 |
25 |
37 |
49 |
63 |
77 |
92 |
108 |
126 |
5 |
12 |
22 |
33 |
44 |
57 |
70 |
84 |
99 |
114 |
|
65 |
7 |
15 |
28 |
41 |
56 |
71 |
86 |
103 |
121 |
139 |
6 |
14 |
25 |
37 |
50 |
64 |
77 |
93 |
109 |
126 |
|
80 |
8 |
17 |
31 |
45 |
59 |
76 |
92 |
110 |
129 |
148 |
7 |
15 |
27 |
40 |
53 |
67 |
83 |
99 |
116 |
134 |
|
100 |
9 |
19 |
34 |
49 |
65 |
83 |
100 |
120 |
139 |
161 |
8 |
16 |
29 |
43 |
58 |
73 |
89 |
107 |
126 |
144 |
|
125 |
10 |
22 |
38 |
54 |
72 |
97 |
118 |
139 |
163 |
186 |
9 |
18 |
33 |
47 |
64 |
80 |
98 |
117 |
137 |
157 |
|
150 |
11 |
23 |
41 |
60 |
79 |
106 |
128 |
151 |
176 |
202 |
9 |
20 |
36 |
52 |
69 |
87 |
114 |
134 |
157 |
180 |
|
200 |
14 |
29 |
51 |
71 |
94 |
126 |
151 |
178 |
206 |
236 |
12 |
24 |
43 |
62 |
82 |
102 |
132 |
157 |
182 |
208 |
|
250 |
16 |
34 |
58 |
82 |
107 |
143 |
171 |
201 |
232 |
264 |
14 |
28 |
49 |
71 |
92 |
114 |
149 |
175 |
203 |
232 |
|
300 |
19 |
38 |
65 |
91 |
119 |
158 |
189 |
222 |
255 |
291 |
15 |
34 |
58 |
82 |
107 |
132 |
164 |
193 |
223 |
255 |
|
350 |
23 |
46 |
79 |
110 |
141 |
174 |
207 |
243 |
279 |
316 |
19 |
39 |
66 |
93 |
120 |
149 |
179 |
210 |
242 |
275 |
|
400 |
26 |
52 |
86 |
120 |
153 |
188 |
224 |
261 |
300 |
340 |
22 |
42 |
72 |
101 |
131 |
161 |
192 |
225 |
259 |
295 |
|
450 |
28 |
56 |
94 |
129 |
165 |
202 |
241 |
280 |
321 |
363 |
23 |
46 |
78 |
109 |
140 |
172 |
206 |
241 |
277 |
314 |
|
500 |
31 |
61 |
101 |
139 |
178 |
218 |
258 |
300 |
343 |
388 |
26 |
50 |
84 |
117 |
151 |
185 |
220 |
257 |
295 |
335 |
|
600 |
36 |
71 |
116 |
159 |
202 |
245 |
291 |
336 |
384 |
433 |
29 |
58 |
96 |
132 |
169 |
207 |
246 |
286 |
329 |
372 |
|
700 |
40 |
78 |
129 |
175 |
223 |
270 |
319 |
369 |
421 |
474 |
33 |
65 |
107 |
146 |
187 |
227 |
269 |
313 |
358 |
404 |
|
800 |
46 |
88 |
143 |
194 |
246 |
298 |
350 |
404 |
460 |
518 |
37 |
71 |
118 |
162 |
205 |
249 |
295 |
341 |
390 |
439 |
|
900 |
51 |
96 |
157 |
213 |
268 |
324 |
381 |
439 |
500 |
561 |
40 |
78 |
129 |
176 |
223 |
271 |
320 |
370 |
421 |
475 |
|
1000 |
55 |
106 |
171 |
231 |
292 |
351 |
412 |
475 |
538 |
604 |
45 |
86 |
140 |
191 |
242 |
292 |
344 |
398 |
453 |
509 |
|
1400 |
75 |
142 |
227 |
305 |
382 |
458 |
534 |
612 |
691 |
772 |
60 |
114 |
185 |
250 |
313 |
378 |
442 |
508 |
576 |
645 |
|
Криволинейные поверхности диаметром более 1400 мм и плоские |
Нормы поверхностной плотности теплового потока, ккал/чм2 |
|||||||||||||||||||
|
16 |
30 |
46 |
60 |
73 |
85 |
96 |
108 |
121 |
136 |
13 |
23 |
35 |
46 |
57 |
66 |
77 |
86 |
95 |
115 |
|
Таблица 4.2
Нормы тепловых потерь трубопроводов, расположенных в помещении
|
Условный диаметр, мм |
Продолжительность эксплуатации до 5 000 ч/год включительно |
Продолжительность эксплуатации более 5 000 ч/год |
||||||||||||||||
|
Температура теплоносителя, °C |
||||||||||||||||||
|
50 |
100 |
150 |
200 |
250 |
300 |
350 |
400 |
450 |
50 |
100 |
150 |
200 |
250 |
300 |
350 |
400 |
450 |
|
|
Нормы плотности теплового потока, ккал/чм |
||||||||||||||||||
|
25 |
7 |
17 |
27 |
37 |
48 |
60 |
73 |
87 |
101 |
7 |
15 |
24 |
34 |
45 |
56 |
68 |
81 |
95 |
|
40 |
9 |
20 |
31 |
42 |
55 |
69 |
83 |
98 |
114 |
8 |
18 |
28 |
39 |
51 |
63 |
77 |
90 |
105 |
|
50 |
9 |
22 |
34 |
46 |
60 |
75 |
90 |
107 |
124 |
9 |
20 |
31 |
43 |
55 |
69 |
83 |
98 |
114 |
|
65 |
11 |
25 |
39 |
53 |
68 |
84 |
101 |
120 |
138 |
10 |
22 |
35 |
48 |
62 |
77 |
92 |
109 |
126 |
|
80 |
12 |
28 |
42 |
57 |
73 |
90 |
108 |
127 |
147 |
11 |
24 |
38 |
52 |
66 |
82 |
98 |
116 |
134 |
|
100 |
14 |
30 |
46 |
63 |
80 |
99 |
118 |
138 |
160 |
12 |
27 |
41 |
56 |
72 |
89 |
107 |
126 |
145 |
|
125 |
15 |
34 |
52 |
70 |
89 |
108 |
130 |
151 |
175 |
14 |
30 |
46 |
62 |
79 |
97 |
117 |
137 |
158 |
|
150 |
18 |
38 |
57 |
77 |
97 |
119 |
141 |
165 |
190 |
15 |
33 |
50 |
68 |
86 |
106 |
126 |
148 |
171 |
|
200 |
22 |
46 |
69 |
92 |
115 |
140 |
167 |
194 |
222 |
19 |
40 |
60 |
80 |
101 |
124 |
148 |
172 |
198 |
|
250 |
26 |
53 |
79 |
105 |
132 |
159 |
187 |
218 |
249 |
22 |
46 |
68 |
91 |
115 |
139 |
166 |
193 |
221 |
|
300 |
29 |
60 |
89 |
117 |
146 |
176 |
207 |
240 |
274 |
25 |
52 |
76 |
101 |
127 |
154 |
182 |
212 |
242 |
|
350 |
33 |
66 |
97 |
128 |
160 |
193 |
226 |
261 |
298 |
28 |
57 |
83 |
111 |
138 |
168 |
198 |
230 |
262 |
|
400 |
36 |
73 |
106 |
139 |
173 |
208 |
244 |
282 |
321 |
31 |
62 |
91 |
120 |
150 |
181 |
212 |
246 |
280 |
|
450 |
40 |
79 |
115 |
151 |
187 |
224 |
262 |
302 |
342 |
34 |
67 |
98 |
129 |
161 |
194 |
227 |
262 |
299 |
|
500 |
44 |
86 |
124 |
163 |
200 |
240 |
281 |
323 |
366 |
37 |
72 |
106 |
138 |
172 |
207 |
243 |
280 |
318 |
|
600 |
50 |
98 |
141 |
184 |
226 |
270 |
316 |
361 |
409 |
42 |
83 |
120 |
156 |
194 |
231 |
271 |
312 |
354 |
|
700 |
56 |
109 |
157 |
203 |
249 |
297 |
346 |
396 |
447 |
47 |
92 |
132 |
172 |
212 |
254 |
296 |
340 |
385 |
|
800 |
63 |
121 |
174 |
224 |
275 |
326 |
379 |
433 |
488 |
52 |
101 |
145 |
189 |
232 |
277 |
323 |
371 |
419 |
|
900 |
70 |
134 |
190 |
245 |
300 |
355 |
412 |
470 |
530 |
58 |
112 |
159 |
206 |
253 |
301 |
350 |
401 |
453 |
|
1000 |
77 |
146 |
207 |
266 |
325 |
384 |
445 |
507 |
570 |
64 |
121 |
173 |
223 |
273 |
324 |
377 |
431 |
486 |
|
1400 |
103 |
194 |
273 |
349 |
423 |
499 |
574 |
652 |
731 |
85 |
161 |
226 |
290 |
353 |
417 |
482 |
549 |
616 |
|
Криволинейные поверхности диаметром более 1400 мм и плоские |
Нормы поверхностной плотности теплового потока, ккал/чм2 |
|||||||||||||||||
|
22 |
40 |
54 |
67 |
79 |
90 |
102 |
114 |
125 |
20 |
35 |
48 |
59 |
71 |
81 |
91 |
101 |
112 |
|
Таблица 4.3
Нормы тепловых потерь трубопроводов водяных тепловых сетей при канальной прокладке
|
Условный диаметр, мм |
Нормы плотности теплового потока, ккал/чм |
|||||
|
Продолжительность эксплуатации до 5000 ч/год включительно |
Продолжительность эксплуатации более 5000 ч/год |
|||||
|
Температура теплоносителя, °С |
||||||
|
65/50 |
90/50 |
110/50 |
65/50 |
90/50 |
110/50 |
|
|
25 |
18 |
22 |
27 |
16 |
21 |
24 |
|
32 |
21 |
25 |
28 |
18 |
22 |
26 |
|
40 |
22 |
27 |
30 |
19 |
24 |
28 |
|
50 |
25 |
29 |
34 |
22 |
26 |
30 |
|
65 |
28 |
34 |
39 |
25 |
30 |
34 |
|
80 |
30 |
36 |
41 |
27 |
32 |
37 |
|
100 |
34 |
40 |
46 |
29 |
34 |
40 |
|
125 |
38 |
46 |
52 |
34 |
40 |
45 |
|
150 |
42 |
51 |
57 |
36 |
43 |
49 |
|
200 |
52 |
61 |
70 |
45 |
52 |
60 |
|
250 |
61 |
71 |
81 |
52 |
61 |
69 |
|
300 |
70 |
81 |
90 |
58 |
68 |
77 |
|
350 |
77 |
90 |
101 |
65 |
76 |
85 |
|
400 |
84 |
99 |
110 |
70 |
83 |
93 |
|
450 |
92 |
108 |
120 |
77 |
89 |
101 |
|
500 |
101 |
118 |
131 |
83 |
97 |
109 |
|
600 |
115 |
134 |
150 |
95 |
111 |
125 |
|
700 |
130 |
151 |
167 |
106 |
124 |
138 |
|
800 |
144 |
168 |
186 |
118 |
138 |
152 |
|
900 |
160 |
186 |
206 |
130 |
151 |
169 |
|
1000 |
175 |
201 |
224 |
143 |
165 |
182 |
|
1200 |
206 |
238 |
262 |
168 |
194 |
215 |
|
1400 |
235 |
272 |
300 |
190 |
220 |
243 |
Таблица 4.4
Нормы тепловых потерь конденсатопроводов и паропроводов, расположенных совместно в непроходных каналах
|
Условный диаметр, мм |
пар |
конд |
пар |
конд пар |
конд |
пар |
конд |
пар |
конд |
пар |
конд |
||
|
паропровод |
конденсатопровод |
Расчетная температура теплоносителя, °C |
|||||||||||
|
115 |
100 |
150 |
100 |
200 |
100 |
250 |
100 |
300 |
100 |
350 |
100 |
||
|
25 |
25 |
19 |
15 |
26 |
15 |
35 |
15 |
44 |
15 |
55 |
15 |
68 |
15 |
|
30 |
25 |
20 |
15 |
28 |
15 |
37 |
15 |
46 |
15 |
59 |
15 |
71 |
15 |
|
40 |
25 |
22 |
15 |
28 |
15 |
39 |
15 |
50 |
15 |
63 |
15 |
76 |
15 |
|
50 |
25 |
23 |
15 |
31 |
15 |
45 |
15 |
55 |
15 |
68 |
15 |
82 |
15 |
|
65 |
30 |
27 |
18 |
37 |
18 |
50 |
18 |
61 |
18 |
76 |
17 |
89 |
17 |
|
80 |
40 |
30 |
20 |
40 |
20 |
53 |
20 |
70 |
19 |
84 |
19 |
101 |
18 |
|
100 |
40 |
33 |
20 |
42 |
20 |
57 |
20 |
70 |
19 |
84 |
19 |
101 |
18 |
|
125 |
50 |
36 |
21 |
46 |
21 |
62 |
21 |
76 |
20 |
92 |
20 |
108 |
20 |
|
150 |
70 |
39 |
23 |
50 |
23 |
67 |
23 |
81 |
22 |
99 |
22 |
122 |
22 |
|
200 |
80 |
45 |
23 |
58 |
25 |
77 |
25 |
93 |
24 |
113 |
24 |
132 |
24 |
|
250 |
100 |
50 |
27 |
65 |
27 |
85 |
27 |
102 |
27 |
126 |
27 |
148 |
27 |
|
300 |
125 |
55 |
28 |
71 |
28 |
95 |
28 |
114 |
28 |
137 |
28 |
160 |
28 |
|
350 |
150 |
60 |
33 |
77 |
33 |
101 |
33 |
123 |
32 |
147 |
32 |
172 |
32 |
|
400 |
180 |
65 |
36 |
83 |
36 |
109 |
36 |
132 |
35 |
157 |
35 |
183 |
35 |
|
450 |
200 |
70 |
38 |
89 |
38 |
115 |
38 |
139 |
38 |
166 |
37 |
193 |
37 |
|
500 |
250 |
74 |
43 |
95 |
43 |
123 |
43 |
149 |
42 |
178 |
42 |
206 |
41 |
|
600 |
300 |
83 |
47 |
106 |
47 |
137 |
47 |
163 |
46 |
195 |
46 |
224 |
46 |
|
700 |
300 |
90 |
47 |
114 |
47 |
148 |
47 |
175 |
46 |
209 |
46 |
241 |
46 |
|
800 |
300 |
98 |
47 |
123 |
47 |
159 |
47 |
189 |
46 |
- |
- |
- |
- |
Таблица 4.5
Нормы тепловых потерь трубопроводов водяных тепловых сетей, проложенных бесканально
|
Условный диаметр, мм |
Нормы плотности теплового потока, ккал/чм |
|||||
|
Продолжительность эксплуатации до 5000 ч/год включительно |
Продолжительность эксплуатации более 5000 ч/год |
|||||
|
Температура теплоносителя, °С |
||||||
|
65/50 |
90/50 |
110/50 |
65/50 |
90/50 |
110/50 |
|
|
25 |
26 |
30 |
34 |
23 |
28 |
31 |
|
32 |
28 |
33 |
37 |
25 |
30 |
34 |
|
40 |
30 |
35 |
40 |
27 |
32 |
36 |
|
50 |
34 |
40 |
46 |
30 |
35 |
40 |
|
65 |
40 |
47 |
52 |
35 |
42 |
46 |
|
80 |
44 |
52 |
57 |
39 |
45 |
51 |
|
100 |
49 |
58 |
64 |
42 |
50 |
57 |
|
125 |
56 |
65 |
72 |
48 |
57 |
63 |
|
150 |
64 |
74 |
81 |
54 |
63 |
71 |
|
200 |
80 |
92 |
101 |
66 |
80 |
86 |
|
250 |
95 |
108 |
119 |
79 |
91 |
101 |
|
300 |
108 |
124 |
135 |
90 |
104 |
114 |
|
350 |
120 |
139 |
152 |
101 |
116 |
127 |
|
400 |
134 |
152 |
167 |
112 |
127 |
140 |
|
450 |
148 |
169 |
183 |
122 |
139 |
152 |
|
500 |
163 |
184 |
200 |
134 |
151 |
167 |
|
600 |
188 |
214 |
231 |
154 |
176 |
192 |
|
700 |
212 |
249 |
260 |
173 |
197 |
214 |
|
800 |
239 |
268 |
293 |
194 |
221 |
240 |
|
900 |
267 |
300 |
327 |
215 |
244 |
265 |
|
1000 |
293 |
336 |
356 |
237 |
268 |
291 |
|
1200 |
345 |
390 |
422 |
280 |
316 |
342 |
|
1400 |
402 |
450 |
488 |
323 |
366 |
396 |
Приказом Минэнерго России от 1 февраля 2010 г. №36 в настоящее Приложение внесены изменения
Таблица 5.1
Поправки к нормируемым тепловым потерям тепловых сетей через теплоизоляционные конструкции
|
Тип прокладки |
Соотношение подземной и надземной прокладок по материальной характеристике |
Значение среднегодовой поправки DК к значениям эксплуатационных тепловых потерь и предельное значение поправочного коэффициента К+DК при различных соотношениях среднечасовых эксплуатационных тепловых потерь и тепловых потерь, определенных по нормам |
Предельное значение поправочного коэффициента К+DК |
|||||||||||||
|
От 0,6 до 0,8 вкл. |
Св. 0,8 до 0,9 вкл. |
Св. 0,9 до 1,0 вкл. |
Св. 1,0 до 1,1 вкл. |
Св. 1,1 до 1,2 вкл. |
Св. 1,2 до 1,3 вкл. |
Св. 1,3 до 1,4 вкл. |
||||||||||
|
DК |
К+DК |
DК |
К+DК |
DК |
К+DК |
DК |
К+DК |
DК |
К+DК |
DК |
К+DК |
DК |
К+DК |
|||
|
Подземная |
0,9 |
0,08 |
1,00 |
0,06 |
1,10 |
0,04 |
1,10 |
0,02 |
1,15 |
0,01 |
1,20 |
- |
- |
- |
- |
1,20 |
|
Надземная |
0,1 |
- |
- |
0,16 |
1,30 |
0,14 |
1,40 |
0,12 |
1,50 |
0,11 |
1,60 |
0,10 |
1,70 |
0,08 |
1,70 |
1,70 |
|
Подземная |
0,8 |
0,10 |
1,00 |
0,07 |
1,10 |
0,05 |
1,20 |
0,03 |
1,20 |
0,02 |
1,25 |
0,01 |
1,30 |
- |
- |
1,30 |
|
Надземная |
0,2 |
- |
- |
0,15 |
1,30 |
0,13 |
1,30 |
0,12 |
1,40 |
0,10 |
1,50 |
0,10 |
1,60 |
0,07 |
1,70 |
1,70 |
|
Подземная |
0,6 |
0,12 |
1,00 |
0,10 |
1,10 |
0,08 |
1,20 |
0,05 |
1,25 |
0,03 |
1,30 |
0,02 |
1,35 |
- |
- |
1,35 |
|
Надземная |
0,4 |
- |
- |
0,12 |
1,20 |
0,11 |
1,30 |
0,10 |
1,40 |
0,08 |
1,40 |
0,05 |
1,50 |
0,04 |
1,60 |
1,60 |
|
Подземная |
0,4 |
0,14 |
1,10 |
0,12 |
1,20 |
0,10 |
1,30 |
0,08 |
1,30 |
0,06 |
1,35 |
0,04 |
1,40 |
- |
- |
1,40 |
|
Надземная |
0,6 |
- |
- |
0,10 |
1,15 |
0,08 |
1,20 |
0,06 |
1,30 |
0,05 |
1,30 |
0,03 |
1,40 |
0,02 |
1,50 |
1,50 |
|
Подземная |
0,3 |
0,15 |
1,10 |
0,13 |
1,20 |
0,11 |
1,30 |
0,09 |
1,30 |
0,08 |
1,40 |
0,05 |
1,40 |
0,04 |
1,40 |
1,40 |
|
Надземная |
0,7 |
- |
- |
0,09 |
1,15 |
0,07 |
1,20 |
0,05 |
1,30 |
0,03 |
1,30 |
0,02 |
1,40 |
0,01 |
1,40 |
1,40 |
|
Подземная |
0,2 |
0,16 |
1,20 |
0,14 |
1,20 |
0,12 |
1,40 |
0,11 |
1,40 |
0,09 |
1,40 |
0,06 |
1,40 |
0,05 |
1,40 |
1,40 |
|
Надземная |
0,8 |
- |
- |
0,08 |
1,15 |
0,05 |
1,20 |
0,03 |
1,30 |
0,02 |
1,30 |
0,01 |
1,40 |
0,01 |
1,40 |
1,40 |
Таблица 5.2
Зависимость КПД асинхронных электродвигателей от степени их загрузки
|
Коэффициент полезного действия, % |
||||||||||||||
|
Паспортная мощность, кВт |
Число оборотов электродвигателя 1500 |
Число оборотов электродвигателя 3000 |
||||||||||||
|
степень загрузки % |
степень загрузки % |
|||||||||||||
|
20 |
40 |
50 |
60 |
70 |
80 |
100 |
20 |
40 |
50 |
60 |
70 |
80 |
100 |
|
|
250 и более |
53 |
62,5 |
72 |
85,7 |
95,1 |
95,2 |
95 |
54 |
63,5 |
84 |
90,7 |
96,1 |
96,2 |
96 |
|
160 |
51 |
60,5 |
70 |
83,65 |
93,09 |
93,17 |
93 |
52 |
61,5 |
82 |
88,65 |
94,09 |
94,17 |
94 |
|
120 |
49,86 |
59,36 |
68,86 |
82,49 |
91,92 |
92,02 |
91,86 |
50,86 |
60,36 |
80,86 |
87,49 |
92,92 |
93,02 |
92,86 |
|
90 |
49 |
58,5 |
68 |
81,62 |
91,04 |
91,15 |
91 |
50 |
59,5 |
80 |
86,62 |
92,04 |
92,15 |
92 |
|
70 |
47,86 |
57,36 |
66,86 |
80,26 |
89,94 |
90 |
89,86 |
48,86 |
58,36 |
78,86 |
85,26 |
90,94 |
91 |
90,86 |
|
55 |
47 |
56,5 |
66 |
79,24 |
89,11 |
89,14 |
89 |
48 |
57,5 |
78 |
84,24 |
90,11 |
90,14 |
90 |
|
45 |
46,20 |
55,70 |
65,20 |
78,43 |
88,31 |
88,33 |
88,20 |
47,20 |
56,70 |
77,20 |
83,43 |
89,31 |
89,33 |
89,20 |
|
30 |
45 |
54,5 |
64 |
77,21 |
87,1 |
87,12 |
87 |
46 |
55,5 |
76 |
82,21 |
88,1 |
88,12 |
88 |
|
20 |
44 |
53,50 |
63 |
76,20 |
86,09 |
86,11 |
86 |
45 |
54,50 |
75 |
81,20 |
87,09 |
87,11 |
87 |
|
10 |
43 |
52,5 |
62 |
75,18 |
85,07 |
85,09 |
85 |
44 |
53,5 |
74 |
80,18 |
86,07 |
86,09 |
86 |
|
5 |
42 |
51,5 |
61 |
74,16 |
84,04 |
84,06 |
84 |
43 |
52,5 |
73 |
79,16 |
85,04 |
85,06 |
85 |
|
2 |
40 |
49,5 |
59 |
72,11 |
82,02 |
82,04 |
82 |
41 |
50,5 |
71 |
77,11 |
83,02 |
83,04 |
83 |
Таблица 5.3
Потери и затраты теплоносителей
|
Наименование системы централизованного теплоснабжения, населенного пункта* |
предшествующий базовому период |
базовый период |
утвержденный период |
период регулирования |
||||||||||||
|
норматив, м3 (т) |
отчет м3(т), в т.ч. факт. по приборам учета |
норматив, м3 (т) |
отчет м3(т), в т.ч. факт. по приборам учета |
норматив, м3 (т) |
% к средегод. объему тепл. сети (расчетно) |
норматив, м3 (т) |
% к среднегод. объему тепл. сети (расчетно) |
к утв. периоду гр. 15: гр. 10, |
||||||||
|
значение** |
№ и дата приказа Министерства энергетики |
Учтено РЭК в тарифах |
значение** |
№ и дата приказа Министерства энергетики |
Учтено РЭК в тарифах |
значение** |
№ и дата приказа Министерства энергетики |
Учтено РЭК в тарифах |
предл. орг. |
предл. эксп. орг |
||||||
|
1 |
2 |
3 |
4 |
5 |
6 |
7 |
8 |
9 |
10 |
11 |
12 |
13 |
14 |
15 |
16 |
17 |
|
Теплоноситель - вода (м3) |
||||||||||||||||
|
|
|
|
|
|
|
|
|
|
|
|
|
|
|
|
|
|
|
Теплоноситель - пар (т) |
||||||||||||||||
|
|
|
|
|
|
|
|
|
|
|
|
|
|
|
|
|
|
|
Теплоноситель - конденсат (м3) |
||||||||||||||||
|
|
|
|
|
|
|
|
|
|
|
|
|
|
|
|
|
|
|
|
|
|
|
|
|
|
|
|
|
|
|
|
|
|
|
|
______________________________
* при предложении об утверждении нормативов, дифференцированных по системам централизованного теплоснабжения, данные приводятся по организации в целом и по каждой системе.
** При отсутствии утвержденного норматива в Министерстве энергетики необходимо указать расчетное значение норматива, предложенного для включения в тариф (в этом случае графы 3, 7 и 11 не заполняются)
Таблица 5.4
|
Наименование системы централизованного теплоснабжения, населенного пункта |
предшествующий базовому период |
базовый период |
утвержденный период |
период регулирования |
||||||||||||||||||
|
норматив, тыс. Гкал |
отчет, тыс. Гкал в т.ч. факт. по приборам учета |
Отпуск тепловой энергии в сеть, тыс. Гкал |
% к отпу ску (гр. 2: гр. 6) |
норматив, тыс. Гкал |
отчет, тыс. Гкал в т.ч. факт. по приборам учета |
Отпуск тепловой энергии в сеть, тыс. Гкал |
% к отпуску (гр. 8: гр. 12) |
норматив, тыс. Гкал |
Отпуск тепловой энергии в сеть, тыс. Гкал |
% к отпуску (гр. 14: гр. 17) |
норматив, тыс. Гкал |
Отпуск тепловой энергии в сеть, тыс. Гкал |
% к отпуску (гр. 2 0:гр. 21) |
к утв периоду гр.20:. гр. 14, |
||||||||
|
значение |
№ и дата приказа Министерства энергетики |
Учтено РЭК в тарифах |
значение |
№ и дата приказа Министерства энергетики |
Учтено РЭК в тарифах |
значение |
№ и дата приказа Министерства энергетики |
Учтено РЭК в тарифах |
предл. орг. |
предл эксп. орг. |
||||||||||||
|
1 |
2 |
3 |
4 |
5 |
6 |
7 |
8 |
9 |
10 |
11 |
12 |
13 |
14 |
15 |
16 |
17 |
18 |
19 |
20 |
21 |
22 |
23 |
|
Теплоноситель - вода |
||||||||||||||||||||||
|
|
|
|
|
|
|
|
|
|
|
|
|
|
|
|
|
|
|
|
|
|
|
|
|
Теплоноситель - пар |
||||||||||||||||||||||
|
|
|
|
|
|
|
|
|
|
|
|
|
|
|
|
|
|
|
|
|
|
|
|
|
Теплоноситель - конденсат |
||||||||||||||||||||||
|
|
|
|
|
|
|
|
|
|
|
|
|
|
|
|
|
|
|
|
|
|
|
|
Таблица 5.5
Расход электроэнергии
|
Наименование системы централизованного теплоснабжения, населенного пункта |
предшествующий базовому период |
базовый период |
утвержденный период |
период регулирования |
||||||||||
|
норматив тыс. кВтч |
отчет, тыс. кВтч в т.ч. факт. по приборам учета |
норматив, тыс. кВтч |
отчет, тыс. кВтч в т.ч. факт. по приборам учета |
норматив, тыс. кВтч |
норматив, тыс. кВтч |
к утв. периоду гр.14: гр. 10 |
||||||||
|
значение |
№ и дата приказа Министерства энергетики |
Учтено РЭК в тарифах |
значение |
№ и дата приказа Министерства энергетики |
Учтено РЭК в тарифах |
значение |
№ и дата приказа Министерства энергетики |
Учтено РЭК в тарифах |
предл. орг . |
предл. эксп. орг. |
||||
|
1 |
2 |
3 |
4 |
5 |
6 |
7 |
8 |
9 |
10 |
11 |
12 |
13 |
14 |
15 |
|
|
|
|
|
|
|
|
|
|
|
|
|
|
|
|
|
|
|
|
|
|
|
|
|
|
|
|
|
|
|
|
(образец)
6.1. Утвержденные нормативные энергетические характеристики (на электронном и бумажном носителях) по показателям: "потери сетевой воды", "тепловые потери", "удельный расход сетевой воды", "разность температур сетевой воды в подающем и обратном трубопроводах (температура в обратном трубопроводе)" и "удельный расход электроэнергии" с указанием срока действия.
6.2. В случае если в качестве материалов, обосновывающих нормативы технологических потерь на регулируемый период, используются утвержденные нормативные энергетические характеристики или утвержденные нормативы технологических потерь на год, предшествующий регулируемому периоду, то прогнозируемые значения влияющих показателей предоставляются в сопоставлении с аналогичными показателями, принятыми соответственно при разработке нормативных энергетических характеристик или нормативов технологических потерь. В данном случае необходимо заполнить таблицу 6.1.
Таблица 6.1
Сопоставление условий, принятых при разработке энергетических характеристик (нормативов технологических потерь на год, предшествующий регулируемому периоду), и при разработке нормативов технологических потерь на регулируемый период
|
Условия работы тепловых сетей |
Принятые при разработке энергетических характеристик или нормативов |
Прогнозируемые на период регулирования |
Изменение или % изменения величины |
|
1 |
2 |
3 |
4 |
|
Объем трубопроводов тепловых сетей, м3 |
|
|
|
|
Материальная характеристика трубопроводов тепловых сетей, м2 |
|
|
|
|
Эксплуатационный температурный график |
|
|
|
|
Суммарная установленная мощность электродвигателей насосов, кВт |
|
|
|
6.3. Характеристика трубопроводов тепловой сети по участкам, эксплуатируемых теплосетевой организацией, раздельно для сетей до ЦТП и после ЦТП (см. таблицы 6.2, 6.3, 6.4) на период регулирования. Для тепловых сетей после ЦТП - раздельно для сетей отопления и вентиляции и сетей горячего водоснабжения. Для паровых сетей: местные сопротивления по участкам, суммарное термическое сопротивление по участкам (см. примерную таблицу 6.5), а также параметры пара на каждом i-ом участке магистрали, определенные исходя из среднегодовых параметров пара на источнике теплоснабжения и максимальных договорных расходах пара у каждого потребителя (см. примерную таблицу 6.6).
6.4. Объем, м3, трубопроводов тепловых сетей, эксплуатируемых теплосетевой организацией, (раздельно для неотопительного и отопительного периодов) в рассматриваемой системе теплоснабжения, согласно таблице 6.7, на период регулирования.
Таблица 6.2
Пример заполнения таблицы исходных данных по характеристике водяных тепловых сетей на балансе до ЦТП
|
Наименование участка |
Наружный диаметр трубопроводов на участке D н, м |
Длина участка (в двухтрубном исчислении) L, M |
Теплоизоляционный материал |
Тип прокладки |
Год ввода в эксплуатацию (перекладки) |
Средняя глубина заложения до оси трубопроводов на участке H, м |
Температурный график работы тепловой сети с указанием температуры срезки, °С |
Поправочный коэффициент к нормам тепловых потерь, К |
Часовые тепловые потери, ккал/ч |
|
1 |
2 |
3 |
4 |
5 |
6 |
7 |
8 |
9 |
10 |
|
НО-1 - НО-24 |
0,920 |
3409 |
Маты минераловатные марки 125 |
надземная |
1968 |
|
150/70 (tcp=130) |
1,1 |
|
|
НО-24 - НО-38 |
0,426 |
1027 |
Армопенобе-тон |
надземная |
1993 |
- |
150/70 (tсp =130) |
1,1 |
|
|
HO-38 - HO-52 |
0,219 |
2514 |
Пенополиуретан |
канальная |
2000 |
1,6 |
150/70 (tcp=130) |
1,0 |
|
|
TK-2 - TK-31 |
0,273 |
512 |
Маты минераловатные |
канальная |
1971 |
1,6 |
150/70 (tcp=130) |
1,1 |
|
|
ТК-31 - ТК-46 |
0,530 |
1006 |
Армопенобе-тон |
бесканальная |
1995 |
2,3 |
150/70 (tcp=130) |
1,1 |
|
|
ТК-46 - TK-64 |
0,720 |
783 |
Пенополиуретан |
бесканальная |
2001 |
2,7 |
150/70 (tcp=130) |
1,0 |
|
|
TK-18 - TK-22 |
0,325 |
102 |
Пенополиуретан |
бесканальная |
1975 |
1,4 |
150/70 (tcp=130) |
1,0 |
|
|
TK-145 - TK-17 |
0,426 |
998 |
Пенополиуретан |
бесканальная |
1994 |
3,1 |
150/70 (tcp=130) |
1,0 |
|
Таблица 6.3
Пример заполнения таблицы исходных данных по характеристике водяных тепловых сетей после ЦТП на балансе организации
|
Наименование участка |
Наружный диаметр трубопроводов на участке D н, м |
Длина трубопровода (в двухтрубном исчислении), м |
Теплоизоляционный материал |
Тип прокладки |
Год ввода в эксплуатацию (перекладки ) |
Средняя глубина заложения оси трубопроводов Н, м |
Назначение тепловой сети |
Температурный график работы тепловой сети |
Поправочный коэффициент к нормам тепловых потерь, К |
Часовые тепловые потери, ккал/ч |
|
1 |
2 |
3 |
4 |
5 |
6 |
7 |
8 |
9 |
10 |
11 |
|
Четырехтрубная прокладка |
||||||||||
|
Т1-Т2 |
0,150 |
200 |
Маты минераловат |
Канальная |
1968 |
2,0 |
Сеть отопления (вентиляции) |
95/70 |
|
|
|
Т1-Т2 |
0,100 |
200 |
Маты минераловат |
Канальная |
1968 |
2,0 |
Сеть ГВС |
70/40 |
|
|
|
Двухтрубная прокладка |
||||||||||
|
Т20-Т21 |
0,100 |
50 |
Пенополиуретан |
В помещении |
2001 |
|
Сеть отопления (вентиляции) |
95/70 |
|
|
Таблица 6.4
Пример заполнения таблицы исходных данных по характеристике паровых тепловых сетей на балансе
|
Наименование участка |
Теплоизоляционный материал |
Тип прокладки* |
Наружный диаметр участка паропровода D н, м |
Толщина стенки, м |
Длина участка паропровода L, м |
Толщина теплоизоляционного слоя, м |
Внутренние размеры канала |
Год ввода в эксплуатацию (перекладки) |
Средняя глубина заложения оси трубопроводов Н, м |
Поправочный коэффициент к нормам тепловых потерь, К |
Часовые тепловые потери, ккал/ч |
|
|
ширина канала b, м |
высота канала h, м |
|||||||||||
|
1 |
2 |
3 |
4 |
5 |
6 |
7 |
8 |
9 |
10 |
11 |
12 |
13 |
|
НО-1 -НО-2 |
Маты минераловатные марки 125 |
надземная |
0,920 |
XXX |
3409 |
XXX |
XXX |
XXX |
1968 |
|
1,1 |
|
|
HO-2 -НО-3 |
Армо-пено-бетон |
надземная |
0,426 |
XXX |
1027 |
XXX |
XXX |
XXX |
1993 |
- |
1,1 |
|
|
НО-3 -ТК-1 |
Пенополиуретан |
канальная |
0,219 |
XXX |
2514 |
XXX |
XXX |
XXX |
2000 |
1,6 |
1,0 |
|
|
ТК-1 -Потребитель 1 |
Маты мине-рало-ватные |
канальная |
0,273 |
XXX |
512 |
XXX |
XXX |
XXX |
1971 |
1,6 |
1,1 |
|
_____________________________
* Для подземной прокладки указать вид грунта (песок, супесь, глина, суглинок, гравий, щебень) и степень его увлажнения (сухой, влажный, водонасыщенный).
Таблица 6.5
Пример таблицы исходных данных по местным сопротивлениям и суммарным термическим сопротивлениям паровых тепловых сетей на балансе
Нумерация граф таблицы приводится в соответствии с источником
|
Участок |
Наименование участка |
Отвод 90° |
Отвод 30° |
Тройник на закрытый проход |
Задвижка |
Задвижка |
Сумма местных сопротивлений по участкам |
Суммарное термическое сопротивление по участкам |
|||||
|
Кол-во |
Сумма x |
Кол-во |
Кол-во |
Кол-во |
Сумма x |
Кол-во |
Сумма x |
Кол-во |
Сумма x |
Сумма x |
R, (m ´ r ´ C)/ккал |
||
|
|
1 |
2 |
3 |
4 |
12 |
12 |
14 |
8 |
9 |
10 |
11 |
12 |
13 |
|
1-2 |
НО-1 - НО-2 |
|
|
|
|
|
|
|
|
|
|
|
|
|
2-3 |
НО-2 - НО-3 |
|
|
|
|
|
|
|
|
|
|
|
|
|
3-4 |
НО-3 - ТК-1 |
|
|
|
|
|
|
|
|
|
|
|
|
|
4-5 |
ТК-1 - Потребитель1 |
|
|
|
|
|
|
|
|
|
|
|
|
Таблица 6.6
Параметры и расходы пара по участкам
|
Наименование участка |
Расход, т/ч |
Температура, °С |
Абсолютное давление, кгс/см2 |
Энтальпия, ккал/кг |
|||||
|
Gi |
в начале участка t1i |
в конце участка t2i |
средняя на участке t(ср.)i |
в начале участка р1i |
в конце участка p2i |
среднее на участке p(ср.)i |
в начале участка h1i |
в конце участка h2i |
|
|
1 |
2 |
3 |
4 |
5 |
6 |
7 |
8 |
9 |
10 |
|
НО-1 - НО-2 |
|
|
|
|
|
|
|
|
|
|
НО-2 - НО-3 |
|
|
|
|
|
|
|
|
|
Таблица 6.6а
Параметры пара в паропроводе
|
Паропровод |
Температура, °C |
Абсолютное давление, кгс/см2 |
Энтальпия, ккал/кг |
||||||
|
начало паропровода t1 |
конец паропровода t2 |
средняя на паропроводе tср |
начало паропровода р1 |
конец паропровода р2 |
среднее на паропроводе рср |
начало паропровода h1 |
конец паропровода h2 |
средняя на паропроводе hср |
|
|
1 |
2 |
3 |
4 |
5 |
6 |
7 |
8 |
9 |
10 |
|
1 |
|
|
|
|
|
|
|
|
|
Таблица 6.7
Пример заполнения таблицы объема, м3, трубопроводов тепловых сетей на балансе организации
|
Сезон |
Температурные графики |
|||
|
150/70 |
130/70 |
95/70 |
70/40 |
|
|
Отопительный |
2000 |
0 |
5000 |
4000 |
|
Неотопительный |
2000 |
0 |
0 |
4000 |
Примечание: заполняется раздельно для каждого вида теплоносителя.
6.5. Прогнозные среднемесячные температуры, °С, как средние из соответствующих статистических значений по информации местной метеослужбы за последние 5 лет или в соответствии со строительными нормами и правилами по строительной климатологии и климатологическим справочникам:
- наружного воздуха,
- грунта на средней глубине заложения трубопроводов,
- в помещениях (при наличии прокладки трубопроводов в помещениях),
- холодной воды (раздельно для каждого источника теплоснабжения и для холодной воды, поступающей в систему ГВС из водоканала).
Пример предоставления данных в табличном виде приведен ниже (таблица 6.8).
Таблица 6.8
Среднемесячные, среднесезонные и среднегодовые температуры наружного воздуха, грунта, сетевой и холодной воды
|
Месяц |
Число часов работы |
Температура, °С |
||||||||||
|
отопит. период |
летний период |
грунта на глубине 2,4 м |
наружного воздуха |
подающего тр-да |
обратного тр-да |
холодной воды |
||||||
|
Январь |
744 |
|
3,5 |
-7,5 |
82,5 |
50,7 |
1 |
|||||
|
Февраль |
672 |
|
2,8 |
-7,8 |
82,9 |
50,9 |
1 |
|||||
|
Март |
744 |
|
2,4 |
-3,2 |
76,9 |
46,8 |
1 |
|||||
|
Апрель |
440 |
280 |
2,3 |
6,6 |
70,0 |
42,5 |
1,7 |
|||||
|
Май |
|
744 |
5,0 |
11,7 |
70,0 |
|
10,32 |
|||||
|
Июнь |
|
552 |
7,9 |
17,0 |
70,0 |
|
17,62 |
|||||
|
Июль |
|
576 |
10,9 |
21,4 |
70,0 |
|
22,18 |
|||||
|
Август |
|
576 |
12,7 |
17,9 |
70,0 |
|
21,26 |
|||||
|
Сентябрь |
|
720 |
12,3 |
12,1 |
70,0 |
|
16,22 |
|||||
|
Октябрь |
416 |
328 |
10,5 |
5,3 |
70,0 |
42,5 |
9,26 |
|||||
|
Ноябрь |
720 |
|
7,8 |
-2,4 |
75,8 |
46,1 |
3,3 |
|||||
|
Декабрь |
744 |
|
5,3 |
-8,7 |
84,1 |
51,7 |
1 |
|||||
|
Среднегодовые значения |
4 480 |
3 776 |
6,8 |
4,5 |
74,6 |
47,9 |
8,2 |
|||||
|
Среднесезонные значения |
отопит. период |
4,7 |
-3,6 |
78,4 |
47,9 |
2,2 |
||||||
|
неотопит. период |
9,2 |
14,0 |
70,0 |
|
15,3 |
|||||||
6.6. Прогнозная продолжительность отопительного и неотопительного периодов (таблица 6.8).
6.7. Утвержденный эксплуатационный температурный график отпуска тепловой энергии на базовый период и на период регулирования от каждого источника тепловой энергии, температурный график работы систем отопления (вентиляции) и ГВС после ЦТП в табличном или графическом виде. Режим отпуска тепловой энергии в неотопительном сезоне за базовый период и период регулирования (температуры сетевой воды в подающем и обратном трубопроводах).
6.8. Для паровых сетей: среднемесячные параметры (температура и давление) пара на источнике теплоснабжения, а также максимальные договорные расходы теплоносителя у каждого потребителя помесячно (таблица 6.9).
Таблица 6.9
Среднемесячные и среднегодовые температуры, давления и расходы пара
|
Месяцы |
Число часов работы |
Источник тепловой энергии |
Потребитель1 |
Потребитель 2 |
||
|
отопит. период |
летний период |
температура, °С |
Абсолютное давление теплоносителя, кгс/см2 |
расход, т/ч |
расход, т/ч |
|
|
Январь |
|
|
|
|
|
|
|
Февраль |
|
|
|
|
|
|
|
Март |
|
|
|
|
|
|
|
Апрель |
|
|
|
|
|
|
|
Май |
|
|
|
|
|
|
|
Июнь |
|
|
|
|
|
|
|
Июль |
|
|
|
|
|
|
|
Август |
|
|
|
|
|
|
|
Сентябрь |
|
|
|
|
|
|
|
Октябрь |
|
|
|
|
|
|
|
Ноябрь |
|
|
|
|
|
|
|
Декабрь |
|
|
|
|
|
|
|
Среднегодовые значения |
|
|
|
|
|
|
6.9. Сведения по гидравлическим системам автоматического регулирования и защиты (САРЗ), предусматривающим слив теплоносителя, в системе теплоснабжения. Количество однотипных САРЗ, находящихся в работе, с указанием технически обоснованного расхода сетевой воды на слив для каждого из типов САРЗ и числа часов работы в году (таблица 6.10).
Таблица 6.10
Данные по средствам автоматики и защиты (САРЗ)
|
Тип САРЗ |
Количество, шт. |
Расход теплоносителя, м3/ч |
Место установки (под./обр. тр-д) |
Продолжительность работы в течение года, ч |
Нормативные годовые потери и затраты теплоносителя, м3 (т) |
|
1 |
2 |
3 |
4 |
5 |
6 |
|
|
|
|
|
|
|
6.10. Результаты испытаний на тепловые потери, проведенных в течение последних 5 лет; результаты определения тепловых потерь иными методами (указать какими) (отчеты на бумажных или электронных носителях).
6.11. Сведения по насосному оборудованию, осуществляющему передачу тепловой энергии и находящемуся на балансе организации (насосное и другое оборудование, установленное на источнике тепловой энергии, к теплосетевому оборудованию не относится). Указать назначение насосного оборудования (подкачивающие насосные станции на подающих и обратных трубопроводах тепловой сети, подмешивающие насосы на тепловой сети, дренажные насосы, насосы зарядки-разрядки районных баков аккумуляторов, насосы отопления и ГВС, насосы подпитки второго контура отопления центральных тепловых пунктов (ЦТП)), состав оборудования (марка, количество, мощность, число оборотов, фактические диаметры рабочих колес), наличие ЧРП.
Расчетные значения расходов через насосное оборудование, обоснованные результатами расчетов гидравлического режима тепловых сетей от всех источников теплоснабжения при характерных температурах наружного воздуха* на протяжении отопительного сезона и расчетные расходы теплоносителя в летний период согласно разработанному летнему режиму работы системы теплоснабжения.
Прогнозные на период регулирования данные по количеству часов использования и количеству работающих насосных агрегатов на каждой из насосных станций и ЦТП.
Данные предоставляются раздельно по системам теплоснабжения для каждого предприятия (филиала), эксплуатирующего тепловые сети энергоснабжающей организации. Пример предоставления данных приведен в таблице 6.11.
6.12. Наличие приводов запорно-регулирующей арматуры в тепловых сетях. Указать количество однотипных приводов электрифицированного оборудования, установленную мощность и КПД электроприводов, годовое число часов работы электроприводов каждого вида оборудования на период регулирования (таблица 6.12).
6.13. Фактические затраты электроэнергии за базовый и предшествующий базовому периоды (помесячно) по каждому ЦТП и насосной станции на балансе энергоснабжающей организации (таблица 6.13).
Таблица 6.11
Сведения по насосному оборудованию
Наименование населенного пункта ________________________________________
Наименование системы теплоснабжения ___________________________________
|
Наименование насосной станции (ЦТП). Назначение |
Продолжительность работы насосной станции (ЦТП) в период регулирования, ч (период работы) |
Марка насоса (место установки ) |
Тип электродвигателя |
Параметры работы в период с характерной температурой наружного воздуха |
|||||||||
|
Характерная тем-ра наружного воздуха, °С |
Число насосов, одновременно находящихся в работе, шт. |
Диаметр рабочего колеса/ диаметр колеса после обрезки мм |
Нормативный расход теплоносителя через насосную станцию (ЦТП), т/ч |
Подача насоса м3/ч |
Напор насоса м |
КПД насоса |
Нормируемая мощность насосной станции (ЦТП), кВт |
Число часов работы насосов, ч |
Нормативные технологические затраты эл. энергии насосной станции (ЦТП), кВт ´ ч |
||||
|
1 |
2 |
3 |
4 |
5 |
6 |
7 |
8 |
9 |
10 |
11 |
12 |
13 |
14 |
|
|
|
|
|
|
|
|
|
|
|
|
|
|
|
|
|
|
|
|
|
|
|
|
|
|
|
|
|
|
|
|
|
|
|
|
|
|
|
|
|
|
|
|
|
Примечание: заполняется раздельно по системам теплоснабжения для каждого предприятия (филиала ЭСО), эксплуатирующего тепловые сети энергоснабжающей организации
Таблица 6.12
Данные по приводам запорно-регулирующей арматуры
|
Тип (марка) приводов |
Количество, шт. |
Установленная мощность, кВт |
КПД, % |
Годовое число часов работы, ч |
Нормативные годовые затраты электроэнергии, кВт ´ ч |
|
1 |
2 |
3 |
4 |
5 |
6 |
|
|
|
|
|
|
|
Таблица 6.13
Данные по фактическим затратам электроэнергии
|
Наименование насосной станции (ЦТП) |
Затраты электроэнергии, кВт х ч |
||||||||||||
|
ян |
фев |
март |
апр |
май |
июнь |
июль |
авг |
сент |
окт |
нояб |
дек |
год |
|
|
1 |
2 |
3 |
4 |
5 |
6 |
7 |
8 |
9 |
10 |
11 |
12 |
13 |
14 |
|
|
|
|
|
|
|
|
|
|
|
|
|
|
|
_____________________________
* Характерные температуры наружного воздуха для определения нормативных затрат электроэнергии рекомендуется принимать следующим образом:
- средняя за отопительный период для закрытых и открытых (автоматизированных - оснащенных регуляторами температуры в системах ГВС) систем теплоснабжения;
- средние за период работы при водоразборе на ГВС из подающей/ обратной линии в отопительный сезон (2 значения) для открытой неавтоматизированной системы.
(образец)
|
Наименование населенного пункта |
Наименование системы теплоснабжения |
Наименование источника теплоснабжения |
Установленная тепловая мощность источника |
Располагаемая тепловая мощность источника |
||
|
в горячей воде, Гкал/ч |
в паре, т/ч |
в горячей воде, Гкал/ч |
в паре, т/ч |
|||
|
1 |
2 |
3 |
4 |
5 |
6 |
7 |
|
Населенный пункт 1 |
СЦТ-1 |
Собственные источники тепловой энергии: |
|
|
|
|
|
|
ТЭЦ-1 |
|
|
|
|
|
|
|
ТЭЦ-2 |
|
|
|
|
|
|
|
Источники тепловой энергии других ЭСО: |
|
|
|
|
|
|
|
ЭСО-1 (наименование) |
|
|
|
|
|
|
|
Котельная 1 |
|
|
|
|
|
|
|
Котельная 2 |
|
|
|
|
|
|
|
ЭСО-2 (наименование) |
|
|
|
|
|
|
|
Котельная 1 |
|
|
|
|
|
|
|
СЦТ-2 |
Собственные источники тепловой энергии: |
|
|
|
|
|
|
ТЭЦ-3 |
|
|
|
|
|
|
|
Источники тепловой энергии других ЭСО: |
|
|
|
|
|
|
|
ЭСО-3 (наименование) |
|
|
|
|
|
|
|
Котельная 1 |
|
|
|
|
|
|
Всего по населенному |
пункту |
|
|
|
|
|
|
Населенный пункт 2 |
СЦТ-3 |
Собственные источники тепловой энергии: |
|
|
|
|
|
|
|
|
|
|
|
|
|
Всего по населенному пункту |
|
|
|
|
||
|
Всего по ЭС |
О (ТСО) |
|
|
|
|
|
______________________________
Примечание: таблица заполняется для базового периода
(образец)
Таблица 8.1
Структура отпуска, потребления тепловой энергии
|
Наименование населенного пункта |
Наименование системы теплоснабжения |
Тип системы теплоснабжения (1) |
Тип теплоносителя, его параметры (2) |
Отпуск тепловой энергии в сеть, тыс. Гкал |
Отпуск тепловой энергии из сети (потребителям), тыс. Гкал |
||||||||||
|
отчетный |
плановый |
отчетный |
плановый |
||||||||||||
|
предшествующий базовому периоду |
базовый (3) период |
предшествующий базовому периоду |
базовый период |
утвержденный (4) период |
период регулирования |
предшествующий базовому периоду |
базовый период |
предшествующий базовому периоду |
базовый период |
утвержденный период |
период регулирования |
||||
|
1 |
2 |
3 |
4 |
5 |
6 |
7 |
8 |
9 |
10 |
13 |
14 |
15 |
16 |
17 |
18 |
|
|
|
|
|
|
|
|
|
|
|
|
|
|
|
|
|
|
|
|
|
|
|
|
|
|
|
|
|
|
|
|
|
|
|
|
|
|
|
|
|
|
|
|
|
|
|
|
|
|
|
|
|
|
|
|
|
|
|
|
|
|
|
|
|
|
|
|
|
|
|
|
|
|
|
|
|
|
|
|
|
|
|
|
|
|
|
|
|
|
|
|
|
|
|
|
|
|
|
|
|
|
______________________________
Примечания:
(1). при открытой системе теплоснабжения и подключении местных систем ГВС как по зависимой, так и независимой схемам, указать и суммарной нагрузке ГВС долю нагрузки ГВС тех потребителей, системы теплопотребления которых подключены по зависимой схеме.
(2). тип теплоносителя: вода, пар, конденсат; для пара указать параметры (отборный; 1,2 - 2,5 кгс/см2; 2,5 - 7 кгс/см2; 7 - 13 кгс/см2; >13 кгс/см2; острый).
(3). базовый период - период, предшествующий утвержденному (текущему).
(4). утвержденный (текущий) период - текущий год, на который действуют принятые регулирующим органом нормативы технологических потерь, учтенные в тарифах на передачу тепловой энергии.
Таблица 8.2
Структура расчетной присоединенной тепловой нагрузки
|
Наименование системы теплоснабжения, населенного пункта |
Тип теплоносителя, его параметры(1) |
Присоединенная тепловая нагрузка к тепловой сети, Гкал/ч |
Суммарные нагрузки (отоп.-вент, ГВС (ср. нед), технология), Гкал/ч |
||||||||||||||||||
|
предшествующий базовому периоду |
базовый период |
утвержденный период |
период регулирования |
||||||||||||||||||
|
на отоп. вент. |
на ГВС (ср. нед) |
на ГВС (макс) |
на технологию |
на отоп. вент. |
на ГВС (ср. нед) |
на ГВС (макс) |
на технологию |
на отоп. вент. |
на ГВС (ср. нед) |
на ГВС (макс) |
на технологию |
на отоп. вент. |
на ГВС (ср. нед) |
на ГВС (макс) |
на технологию |
предшествующий базовому периоду |
базовый период |
утвержденный период |
период регулирования |
||
|
1 |
2 |
3 |
4 |
5 |
6 |
7 |
8 |
9 |
10 |
11 |
12 |
13 |
14 |
15 |
16 |
17 |
18 |
19 |
20 |
21 |
22 |
|
|
|
|
|
|
|
|
|
|
|
|
|
|
|
|
|
|
|
|
|
|
|
|
|
|
|
|
|
|
|
|
|
|
|
|
|
|
|
|
|
|
|
|
|
|
|
|
|
|
|
|
|
|
|
|
|
|
|
|
|
|
|
|
|
|
|
|
|
|
|
|
|
|
|
|
|
|
|
|
|
|
|
|
|
|
|
|
|
|
|
|
|
|
|
|
|
|
|
|
|
|
|
|
|
|
|
|
|
|
|
|
|
|
|
|
|
|
|
|
|
|
|
|
|
|
|
|
|
|
|
|
|
|
|
|
|
|
|
|
|
|
|
|
|
|
|
|
|
|
|
|
|
|
|
|
|
|
|
|
|
______________________________
Примечания:
(1). тип теплоносителя: вода, пар, конденсат; для пара указать параметры (отборный; 1,2 - 2,5 кгс/см2; 2,5 - 7 кгс/см2; 7 - 13 кгс/см2; >13 кгс/см2; острый).
(образец)
Таблица 9.1
Общая характеристика систем транспорта и распределения тепловой энергии (тепловых сетей)
|
Наименование системы теплоснабжения, населенного пункта |
Наименование предприятия (филиала ЭСО), эксплуатирующего тепловые сети |
Тип теплоносителя, его параметры (1) |
Протяженность трубопроводов тепловых сетей в однотрубном исчислении, м |
Средний (по материальной характеристике) наружный диаметр трубопроводов тепловых сетей, м |
||||||
|
предшествующий базовому периоду |
базовый период |
утвержденный период |
период регулирования |
предшествующий базовому периоду |
базовый период |
утвержденный период |
период регулирования |
|||
|
1 |
2 |
3 |
4 |
5 |
6 |
7 |
8 |
9 |
10 |
11 |
|
|
|
|
|
|
|
|
|
|
|
|
|
|
|
|
|
|
|
|
|
|
|
|
|
|
|
|
|
|
|
|
|
|
|
|
|
|
|
|
|
|
|
|
|
|
|
|
|
|
|
|
|
|
|
|
|
|
|
|
|
|
|
|
|
|
|
|
|
|
|
|
Продолжение Таблицы 9.1
|
Объем трубопроводов тепловых сетей, м3 |
Количество насосных станций в эксплуатационной ответственности, шт |
Количество ДТП в эксплуатационной ответственности, шт |
|||||||||||||
|
предшествующий базовому периоду |
базовый период |
утвержденный период |
период регулирования |
предшествующий базовому периоду |
базовый период |
утвержденный период |
период регулирования |
предшествующий базовому периоду |
базовый период |
утвержденный период |
период регулирования |
||||
|
отопительный период |
летний период |
отопительный период |
летний период |
отопительный период |
летний период |
отопительный период |
летний период |
||||||||
|
12 |
13 |
14 |
15 |
16 |
17 |
18 |
19 |
20 |
21 |
22 |
23 |
24 |
25 |
26 |
27 |
|
|
|
|
|
|
|
|
|
|
|
|
|
|
|
|
|
|
|
|
|
|
|
|
|
|
|
|
|
|
|
|
|
|
|
|
|
|
|
|
|
|
|
|
|
|
|
|
|
|
|
|
|
|
|
|
|
|
|
|
|
|
|
|
|
|
|
|
|
|
|
|
|
|
|
|
|
|
|
|
|
|
|
|
|
|
|
|
|
|
|
|
|
|
|
|
|
|
|
|
|
|
____________________________
Примечание:
(1) для пара указать параметры (отборный; 1,2 - 2,5 кгс/см2; 2,5 - 7 кгс/см2; 7 - 13 кгс/см2; >13 кгс/см2; острый).
Приказом Минэнерго России от 1 февраля 2010 г. №36 в настоящее Приложение внесены изменения
(образец)
Таблица 10.1
Нормативы технологических затрат и потерь при передаче тепловой энергии на регулируемый период
|
Наименование населенного пункта |
Наименование системы теплоснабжения |
Наименование предприятия (филиала ЭСО), эксплуатирующего тепловые сети |
Тип теплоносителя, его параметры(1) |
Годовые затраты и потери теплоносителя(2), м3 (т) |
Годовые затраты и потери тепловой энергии, Гкал |
Годовые затраты электроэнергии, кВт ´ ч |
|||||||
|
с утечкой |
технологические затраты |
всего |
через изоляцию |
с затратами теплоносителя |
всего |
||||||||
|
на пусковое заполнение |
на регламентные испытания |
со сливами САРЗ |
всего |
||||||||||
|
1 |
2 |
3 |
4 |
5 |
6 |
7 |
8 |
9 |
10 |
11 |
12 |
13 |
14 |
|
|
|
|
|
|
|
|
|
|
|
|
|
|
|
|
|
|
|
|
|
|
|
|
|
|
|
|
|
|
|
|
|
|
|
|
|
|
|
|
|
|
|
|
|
|
|
|
|
|
|
|
|
|
|
|
|
|
|
|
|
|
|
|
|
|
|
|
|
|
|
|
|
|
|
|
|
|
|
|
|
|
|
|
|
|
|
|
|
|
|
|
|
|
|
|
|
|
|
|
|
|
|
|
|
______________________________
Примечание:
(1) тип теплоносителя: горячая вода, пар, конденсат; для пара указать параметры (отборный; 1,2 - 2,5 кгс/см2; 2,5 - 7 кгс/см2; 7 - 13 кгс/см2; >13 кгс/см2; острый).
(2) годовые потери теплоносителя "горячая вода" приводятся в м3, "пар" - в тоннах.
Таблица 10.2
Сводные данные по нормативам технологических затрат и потерь при передаче тепловой энергии
|
Наименование системы теплоснабжения, населенного пункта |
Тип теплоносителя, его параметры (1) |
Годовые затраты и потери теплоносителя(2), м3 (т) |
|||||||||||
|
отчетные за период в т.ч. факт. по приборам учета |
нормативные на период |
||||||||||||
|
предшествующий базовому |
базовый |
предшествующий базовому периоду |
базовый |
утвержденный (текущий) |
регулирование (всего) |
||||||||
|
с утечкой |
технологические затраты |
всего |
с утечкой |
технологические затраты |
всего |
с утечкой |
технологические затраты |
всего |
|||||
|
1 |
2 |
3 |
4 |
5 |
6 |
7 |
8 |
9 |
10 |
11 |
12 |
13 |
14 |
|
|
|
|
|
|
|
|
|
|
|
|
|
|
|
|
|
|
|
|
|
|
|
|
|
|
|
|
|
|
|
Годовые затраты и потери тепловой энергии, Гкал |
Годовые затраты электроэнергии, кВт ´ ч |
||||||||||||||||
|
отчетные за период в т.ч. факт. по приборам учета |
нормативные на период |
отчетные за период в т.ч. факт. по приборам учета |
нормативные на период |
||||||||||||||
|
предшествующий базовому |
базовый |
предшествующий базовому периоду |
базовый |
утвержденный (текущий) |
регулирования (всего) |
предшествующий базовому |
базовый |
предшествующий базовому |
базовый |
утвержденный |
регулирования |
||||||
|
через изоляцию |
с затратами теплоносителя |
всего |
через изоляцию |
с затратами теплоносителя |
всего |
через изоляцию |
с затратами теплоносителя |
всего |
|||||||||
|
15 |
16 |
17 |
18 |
19 |
20 |
21 |
22 |
23 |
24 |
25 |
26 |
27 |
28 |
29 |
30 |
31 |
32 |
|
|
|
|
|
|
|
|
|
|
|
|
|
|
|
|
|
|
|
|
|
|
|
|
|
|
|
|
|
|
|
|
|
|
|
|
|
|
______________________________
Примечание:
(1) тип теплоносителя: горячая вода, пар, конденсат; для пара указать параметры (отборный; 1,2 - 2,5 кгс/см2; 2,5 - 7 кгс/см2; 7 - 13 кгс/см2; >13 кгс/см2; острый).
(2) годовые потери теплоносителя "горячая вода" приводяться в м3, "пар" - в тоннах.
(образец)
Таблица 11.1
Перечень мероприятий по повышению энергетической эффективности работы тепловых сетей
|
№ пп |
Наименование мероприятия, его техническая сущность |
Ожидаемый энергетический эффект |
Необходимые затраты, руб. |
Срок окупаемости, год |
Сроки начала и окончания проведения мероприятия |
|
|
в натуральном выражении |
в денежном выражении, тыс. руб. |
|||||
|
1 |
2 |
3 |
4 |
5 |
6 |
7 |
|
|
|
|
|
|
|
|
(образец)
НОРМАТИВЫ ТЕХНОЛОГИЧЕСКИХ ПОТЕРЬ ПРИ ПЕРЕДАЧЕ ТЕПЛОВОЙ ЭНЕРГИИ____________________________________________________________________________ (наименование энергоснабжающей (теплосетевой) организации) Книга 1. ____________________ (наименование книги) ____________________________________ (наименование системы теплоснабжения)
|
Количество сброшюрованных листов ________________
Главный инженер (Руководитель)
_____________________________________________ _________ _______________
(наименование энергоснабжающей (теплосетевой (подпись) (Ф.И.О.)
организации)
Главный инженер (Руководитель)
_____________________________________________ _________ _______________
(наименование предприятия, эксплуатирующего (подпись) (Ф.И.О.)
тепловые сети)
13.1. При подготовке следующих сведений согласно рекомендуемым образцам: "Общие сведения об энергоснабжающей (теплосетевой) организации" (Приложение 7 настоящей Инструкции), "Общая характеристика систем теплоснабжения" (Приложение 8 настоящей Инструкции), "Общая характеристика систем транспорта и распределения тепловой энергии (тепловых сетей)" (Приложение 9 настоящей Инструкции) используются официальные отчетные данные энергоснабжающей (теплосетевой) организации, данные из договоров теплоснабжения и договоров на оказание услуг по передаче тепловой энергии.
13.2. Расчетный годовой объем отпуска тепловой энергии в паре (по параметрам пара) или в горячей воде, определяется производственной программой энергоснабжающей организации, учитывающей общую потребность в тепловой энергии на цели технологические, отопительно-вентиляционные и горячее водоснабжение при расчетном значении тепловых потерь при передаче тепловой энергии.
Потребность в тепловой энергии на отопительно-вентиляционные цели устанавливается по договорным расчетным (присоединенным) тепловым нагрузкам (мощности) потребителей, исходя из проектных данных и/или паспортов отапливаемых (отопительно вентилируемых) зданий с учетом климатологических данных на отопительный и летний периоды.
Потребность в тепловой энергии на горячее водоснабжение устанавливается по договорным значениям средненедельных присоединенных тепловых нагрузок (мощности) потребителей горячего водоснабжения.
13.3. Расчетные присоединенные тепловые нагрузки (мощность) потребителей определяются договорными их значениями с учетом проектных данных, паспортов теплопотребляющих установок и ранее выданных технических условий на подключение (присоединение). Для потребителей, имеющих на своем балансе тепловые сети, учитываются также нормируемые значения часовых тепловых потерь. Отопительная и вентиляционная тепловая нагрузка (мощность) потребителей, а также часовые тепловые потери в сетях потребителей устанавливаются при условиях, соответствующих расчетной температуре наружного воздуха и соответствующих ей температурах теплоносителя с учетом влияния других внешних факторов (например, температуры грунта на средней глубине заложения теплопроводов, скорости воздуха). При установлении расчетных присоединенных тепловых нагрузок потребителей, применяемых для расчета нормативов технологических потерь, используются средние за неделю часовые договорные тепловые нагрузки на горячее водоснабжение.
13.4. Для систем централизованного теплоснабжения с присоединенной тепловой нагрузкой 50 Гкал/ч и более основным обосновывающим материалом являются нормативные энергетические характеристики тепловых сетей, разработанные и оформленные в соответствии с нормативными документами и методиками составления энергетических характеристик для систем транспорта тепловой энергии, а также определения нормативных значений показателей функционирования водяных тепловых сетей.
К нормативным энергетическим характеристиками тепловых сетей прикладываются материалы, подтверждающие произошедшие изменения, в соответствии с таблицей 6.1 Приложения 6 настоящей Инструкции.
Для организаций с присоединенной нагрузкой менее 50 Гкал/час, а также для организаций с истекшими сроками действия нормативных энергетических характеристик тепловых сетей или с превышением показателей их функционирования нормативы технологических потерь рассчитываются с учетом требований главы II настоящей Инструкции.
13.5. Материалы, касающиеся проведения энергетических обследований, выполненных в соответствии со статьей 10 Федерального закона № 28-ФЗ "Об энергосбережении" (Собрание законодательства Российской Федерации, 1996, № 15, ст. 1551), предоставляются в качестве обоснования реализованных и намеченных к реализации энергосберегающих мероприятий в соответствии с Приложением 11 настоящей Инструкции.
13.6. В целях ускорения процесса утверждения указанных нормативов рекомендуется приложить к утверждаемым материалам экспертное заключение, содержащее выводы об обоснованности исходных данных, выполненных расчетов и значений нормативов.
Приказом Минэнерго России от 1 февраля 2010 г. №36 настоящая Инструкция дополнена Приложением 14
|
№№ пп. |
Показатели* |
Предбазовый период |
Базовый период |
Утвержденный период |
Регулируемый период |
|
отчет, в т.ч факт. потери по приборам учета |
отчет, в т.ч факт. потери по приборам учета |
план |
расчет |
||
|
1 |
теплоноситель |
||||
|
1.1 |
потери и затраты теплоносителя, т(м3): |
|
|||
|
пар |
|
|
|
|
|
|
конденсат |
|
|
|
|
|
|
вода |
|
|
|
|
|
|
1.2 |
среднегодовой объем тепловых сетей, м3: |
|
|||
|
пар |
|
|
|
|
|
|
конденсат |
|
|
|
|
|
|
вода |
|
|
|
|
|
|
1.3 |
отношение потерь и затрат теплоносителя к среднегодовому объему тепловых сетей, %: |
|
|
|
|
|
пар |
|
|
|
|
|
|
конденсат |
|
|
|
|
|
|
вода |
|
|
|
|
|
|
1.4 |
отношение потерь и затрат теплоносителя к среднегодовому объему тепловых сетей, %/час (п. 1.3:8 760): |
|
|
|
|
|
пар |
|
|
|
|
|
|
конденсат |
|
|
|
|
|
|
вода |
|
|
|
|
|
|
2 |
тепловая энергия |
||||
|
2.1 |
потери тепловой энергии, тыс. Гкал: |
|
|
|
|
|
пар |
|
|
|
|
|
|
конденсат |
|
|
|
|
|
|
вода |
|
|
|
|
|
|
2.2 |
материальная характеристика тепловых сетей в однотрубном исчислении, м2 |
|
|||
|
пар |
|
|
|
|
|
|
конденсат |
|
|
|
|
|
|
вода |
|
|
|
|
|
|
2.3 |
отпуск тепловой энергии в сеть, тыс. Гкал: |
|
|
|
|
|
пар |
|
|
|
|
|
|
вода |
|
|
|
|
|
|
2.4 |
суммарная присоединенная тепловая нагрузка к тепловой сети, Гкал/ч: |
|
|
|
|
|
пар |
|
|
|
|
|
|
вода |
|
|
|
|
|
|
2.5 |
отношение потерь тепловой энергии относительно материальной характеристики, |
|
|
|
|
|
|
Гкал/м2: |
|
|
|
|
|
|
пар |
|
|
|
|
|
|
конденсат |
|
|
|
|
|
|
вода |
|
|
|
|
|
2.6 |
отношение потерь тепловой энергии к отпуску тепловой энергии в сеть, %: |
|
|
|
|
|
|
пар |
|
|
|
|
|
|
вода |
|
|
|
|
|
3 |
электрическая энергия |
||||
|
3.1 |
расход электроэнергии. тыс. кВт ´ ч |
|
|
|
|
|
3.2 |
количество, ед: |
|
|
|
|
|
|
ПНС |
|
|
|
|
|
|
ЦТП |
|
|
|
|
______________________________________
* кратко излагаются причины увеличения нормативов на регулируемый год (расчет) относительно показателей текущего периода (план) и (или) фактических показателей предыдущих лет.
|
ГОСТЫ, СТРОИТЕЛЬНЫЕ и ТЕХНИЧЕСКИЕ НОРМАТИВЫ. Некоммерческая онлайн система, содержащая все Российские Госты, национальные Стандарты и нормативы. В Системе содержится более 150000 файлов нормативно-технической документации, действующей на территории РФ. Система предназначена для широкого круга инженерно-технических специалистов. Copyright © www.gostrf.com, 2008 - 2026 |