Крупнейшая бесплатная информационно-справочная система онлайн доступа к полному собранию технических нормативно-правовых актов РФ. Огромная база технических нормативов (более 150 тысяч документов) и полное собрание национальных стандартов, аутентичное официальной базе Госстандарта. GOSTRF.com - это более 1 Терабайта бесплатной технической информации для всех пользователей интернета. Все электронные копии представленных здесь документов могут распространяться без каких-либо ограничений. Поощряется распространение информации с этого сайта на любых других ресурсах. Каждый человек имеет право на неограниченный доступ к этим документам! Каждый человек имеет право на знание требований, изложенных в данных нормативно-правовых актах!

  


 

Приказ Министерства промышленности и торговли РФ от 30 декабря 2009 г. № 1215

"Об утверждении нормативных методических документов, регулирующих функционирование и эксплуатацию аэродромов экспериментальной авиации"

В соответствии с Положением о Министерстве промышленности и торговли Российской Федерации, утвержденным постановлением Правительства Российской Федерации от 5 июня 2008 г. № 438 (Собрание законодательства Российской Федерации, 2008, № 24, ст. 2868; № 42, ст. 4825; № 46, ст. 5337; 2009, № 3, ст. 378; № 6, ст. 738; № 11, ст. 1316; № 33, ст. 4088), поручением Правительства Российской Федерации от 8 июля 2008 г. № СИ-П7-4100 и в целях государственного регулирования деятельности аэродромов экспериментальной авиации приказываю:

1. Утвердить прилагаемые Нормы годности к эксплуатации аэродромов экспериментальной авиации и Руководство по эксплуатационному содержанию аэродромов экспериментальной авиации.

2. Контроль за исполнением настоящего приказа возложить на заместителя Министра Мантурова Д.В.

 

Министр                           В.Б. Христенко

 

Зарегистрировано в Минюсте РФ 5 апреля 2010 г.

Регистрационный № 16822

Руководство
по эксплуатационному содержанию аэродромов экспериментальной авиации
(РЭСА ЭА)

Содержание

 

Глава I. Определения, обозначения и сокращения

1.1. Определения*

1.2. Обозначения и сокращения

Глава II. Основные положения по эксплуатационному содержанию аэродромов

2.1. Общие положения

2.2. Структура аэродромно-технической службы

2.3. Порядок согласования строительства объектов на приаэродромной территории и в районе аэродрома. Контроль за ходом строительства этих объектов

Глава III. Общие требования по эксплуатации аэродромов

3.1. Технологические требования по подготовке летных полей аэродромов

3.2. Взаимодействие служб аэродрома, обеспечивающих полеты

3.3. Требования к организации связи при выполнении работ на летном поле

3.4. Требования к аэродромным машинам при работе на летном поле

3.5. Требование к содержанию зон КРМ и ГРМ РМС

3.6. База аэродромно-технической службы (АТС)

3.7. Требование к проведению работ на летном поле в условиях действующего аэродрома с привлечением сторонних организаций

Глава IV. Планирование, учет и отчетность

Глава V. Маркировка аэродрома и препятствий

5.1. Общие положения

5.2. Маркировка искусственной взлетно-посадочной полосы

5.3. Маркировка рулежных дорожек

5.4. Маркировка мест стоянок и наладочно-испытательных площадок

5.5. Маркировка препятствий

5.6. Светоограждение препятствий

Глава VI. Эксплуатационное содержание и ремонт аэродромов

6.1. Основные положения

6.2. Осмотры летного поля аэродрома

6.3. Перечень работ при текущем и капитальном ремонтах

6.4. Содержание искусственных покрытий аэродромов в летний период

6.5. Текущий ремонт искусственных покрытий

6.6. Содержание и текущий ремонт грунтовых частей летного поля

6.7. Содержание и ремонт водоотводных и дренажных систем

6.8. Содержание и ремонт внутриаэродромных и подъездных дорог

Глава VII. Содержание летного поля в зимний период

7.1. Общие положения

7.2. Очистка аэродромных полей от снега

7.3. Общие положения по удалению гололедных и снежно-ледяных образований с искусственных покрытий аэродрома

7.4. Химико-механический способ борьбы с гололедными явлениями

7.5. Тепловой способ удаления и предупреждения гололедных образований

7.6. Зимнее содержание грунтовых аэродромов

Глава VIII. Аэродромные тормозные установки (АТУ)

8.1. Назначение, общие сведения

8.2. Привязка на аэродроме, монтаж и демонтаж

8.3. Содержание и эксплуатация

Глава IX. Охрана окружающей среды при эксплуатации аэродромов

Приложение 1 ЖУРНАЛ УЧЕТА СОСТОЯНИЯ И ГОТОВНОСТИ АЭРОДРОМА К ПОЛЕТАМ

Приложение 2 Методы и средства оценки состояния элементов летного поля

Приложение 3 Эксплуатация воздушных судов на аэродроме по методу "ACN - PCN"

Приложение 4 Схемы маркировки аэродромов и препятствий

Приложение 5 Оформление дефектовочного плана искусственного покрытия

Приложение 6 Условные обозначения дефектов искусственных покрытий

Приложение 7 Ведомости дефектов искусственного покрытия

Приложение 8 Методика оценки эксплуатационно-технического состояния покрытий элементов летного поля

Приложение 9 Акт № ____ технического обследования искусственного покрытия элемента летного поля аэродрома

Приложение 10 Материалы для ремонта искусственного покрытия

Приложение 11 Способы текущего ремонта искусственных покрытий и применяемые материалы

Приложение 12 Контроль качества работ при текущем ремонте

Приложение 13 Определение показателя прочности грунтов летного поля

Приложение 14 Примерные составы травосмесей для глинистых, суглинистых, супесчаных и засоленных почв в различных зонах

Приложение 15 Основные технические характеристики машин эксплуатационного содержания аэродрома

Приложение 16

Приложение 17

 

Глава I. Определения, обозначения и сокращения

1.1. Определения*

В настоящем Руководстве по эксплуатационному содержанию аэродромов экспериментальной авиации (РЭСА ЭА) используются следующие определения:

1. Аэродром экспериментальной авиации - аэродром, главным предназначением которого является обеспечение полетов экспериментальных воздушных судов с целью проведения опытно-конструкторских, экспериментальных, научно-исследовательских работ, а также испытаний авиационной и другой техники.

2. Аэродромный маркировочный знак - символ или группа символов, располагаемых на поверхности искусственных покрытий и препятствий, расположенных в пределах приаэродромной территории.

3. Аэродромное искусственное покрытие - верхний слой аэродромной одежды, непосредственно воспринимающей нагрузки и воздействия от воздушных судов, эксплуатационных и природных факторов.

4. Аэродромная одежда - многослойная конструкция, устраиваемая, как правило, на грунте и воспринимающая нагрузки и воздействия от воздушных судов, эксплуатационных и природных факторов, включающая искусственное основание и аэродромное искусственное покрытие.

5. Боковая полоса безопасности (далее - БПБ) - специально подготовленный участок летной полосы, примыкающий к боковой границе взлетно-посадочной полосы, предназначенный для обеспечения безопасности при взлете и посадке воздушных судов.

6. Взлетно-посадочная полоса (далее - ВПП) - основная часть летной полосы аэродрома, специально подготовленная и оборудованная для обеспечения разбега при взлете и пробега после посадки воздушного судна. ВПП может быть с искусственным аэродромным покрытием (ИВПП) и грунтовой (ГВПП).

7. Видимость (дальность видимости) - максимальное расстояние, с которого видны и опознаются объекты.

8. Видимость на ВПП (дальность видимости на ВПП) - максимальное расстояние, в пределах которого пилот воздушного судна, находящегося на осевой линии ВПП, может видеть маркировку ее покрытия или световые ориентиры. За видимость на ВПП ночью принимается видимость световых ориентиров.

9. Влажность воздуха относительная - отношение фактической абсолютной влажности к абсолютной влажности для состояния насыщения при той же температуре. Выражается в процентах.

10. Водоотвод - мероприятия по отводу поверхностных вод на аэродромах.

11. Превышение аэродрома (вертодрома) - абсолютная высота наивысшей точки ВПП.

12. Внутренние аэродромные дороги - дороги, расположенные на аэродроме и соединяющие между собой группы, отдельные здания и сооружения аэродрома.

13. Главная ВПП - ВПП на аэродроме расположенная, как правило, в направлении господствующих ветров и имеющая наибольшую длину в стандартных условиях.

14. Давление на аэродроме - атмосферное давление на уровне рабочего порога ВПП.

15. Дренаж - мероприятия по отводу грунтовых вод. Подразделяется на: дренаж глубокого заложения - для общего водопонижения; пристенный дренаж для отвода грунтовой воды из под фундаментов зданий и сооружений и закромочный дренаж - для отвода грунтовой воды из пористого основания и покрытий.

16. Контрольная точка аэродрома (далее - КТА) - точка, определяющая местоположение аэродрома в выбранной системе координат.

17. Концевая полоса безопасности (далее - КПБ) - специально подготовленный участок летной полосы, примыкающий к концу взлетно-посадочной полосы и предназначенный для обеспечения безопасности при взлете и посадке воздушных судов.

18. Летное поле - часть аэродрома, на которой расположены одна или несколько летных полос, рулежные дорожки, места стоянок воздушных судов и площадки специального назначения.

19. Летная полоса аэродрома - часть летного поля аэродрома, предназначенная для взлета и посадки воздушных судов, включающая ВПП, БПБ и КПБ.

20. Магистральная рулежная дорожка (далее - МРД) - рулежная дорожка, располагающаяся, как правило, вдоль ВПП и обеспечивающая руление воздушных судов от одного конца ВПП к другому.

21. Место ожидания на рулежной дорожке - определенное место на рулежной дорожке, предназначенное для остановки воздушных судов и транспортных средств перед ВПП.

22. Место стоянки (далее - МС) - подготовленная площадка для размещения и обслуживания воздушного судна. Место стоянки может быть индивидуальным или групповым.

23. Независимый источник питания электроэнергией - источник питания, который в установленных пределах (в том числе и для послеаварийного режима) сохраняет параметры электроэнергии при нарушении их на других источниках.

24. Обочина - участок, прилегающий к краю искусственного покрытия элементов аэродрома и подготовленный таким образом, чтобы обеспечить переход от искусственного покрытия к прилегающей грунтовой поверхности.

25. Площадки специального назначения:

наладочно-испытательные площадки (далее - НИП);

площадка для списывания девиации (девиационный круг);

площадка для отработки топливных систем;

площадка для отработки двигателей;

площадка перед ангаром (для временной стоянки и руления воздушных судов);

площадка мойки воздушных судов;

площадка для стоянки спецмашин;

площадки для противооблединительной обработки воздушных судов.

26. Поверхность ограничения препятствий - условная поверхность, регламентирующая допустимые высоты препятствий над аэродромом и приаэродромной территорией.

27. Полоса воздушных подходов - часть воздушного пространства в установленных границах, примыкающая к торцу ВПП и расположенная в направлении ее оси, в котором воздушные суда производят набор высоты после взлета и снижение при заходе на посадку (пункт 2 Федеральных правил использования воздушного пространства Российской Федерации).

28. Порог ВПП - начало участка ВПП, предназначенного для приземления воздушных судов.

29. Препятствие - рельеф местности, естественные или искусственные объекты на ней, представляющие угрозу безопасности воздушного движения.

30. Приаэродромная территория - прилегающая к аэродрому местность определенных размеров, над которой воздушные суда маневрируют при взлете и заходе на посадку и в пределах которой с помощью условных поверхностей регламентируются высоты естественных и искусственных препятствий. Размеры приаэродромной территории определяется классом аэродрома.

31. Рулежная дорожка (далее - РД) - часть летного поля, специально подготовленная для руления воздушных судов.

32. Рулежная дорожка вспомогательная - рулежная дорожка аэродрома, соединяющая места стоянки самолетов и площадки специального назначения с магистральной рулежной дорожкой.

33. Рулежная дорожка выводная - рулежная дорожка, связывающая цех окончательной сборки воздушных судов с аэродромом.

34. Рулежная дорожка соединительная - рулежная дорожка, связывающая ВПП с МРД в местах предполагаемого окончания пробега воздушных судов и выхода их на концевые участки ВПП для взлета.

35. Стандартные условия - условия, принятые за эталон при определении длины ВПП аэродромов:

температура наружного воздуха 15°С (280,15 К);

атмосферное давление 760 мм. рт. ст. = 1013,25 гПа;

относительная влажность равна нулю;

штиль;

поверхность ВПП горизонтальная;

покрытие ВПП бетонное и сухое. (К сц. = 0,8 - 0,9).

36. Слякоть - пропитанный водой снег, который при ударе по нему разбрызгивается в разные стороны, плотностью от 0,50 до 0,80 г/куб.см.

37. Сухой снег - снег, который в рыхлом состоянии может сдуваться ветром, при сжатии рукой рассыпается, плотностью до 0,35 г/ куб.см.

38. Сырой (мокрый) снег - снег, который после сжатия не рассыпается и образует снежные комки, плотность снега от 0,35 до 0,50 г/куб.см.

39. Снег уплотненный - снег, который спрессовывается в твердую массу, не подающийся дальнейшему уплотнению, при отрыве от поверхности не рассыпается и ломается на куски, плотностью более 0,50 г/куб.см.

40. Снежный (пыльный) вихрь - снег (пыль), поднятый потоком от несущего винта вертолета при взлете или посадки, ухудшающий видимость.

41. Смещенный порог ВПП - порог ВПП, отличный от постоянного порога и имеющий собственную маркировку, нанесенную установленным порядком.

42. Укрепленный участок КПБ - участок концевой полосы безопасности с искусственным покрытием, примыкающий к взлетно-посадочной полосе с искусственным покрытием, предназначенный для предотвращения струйной эрозии грунта и сопряжения с грунтовой поверхностью.

43. Уширение ВПП - часть ВПП, предназначенная для обеспечения разворота воздушных судов.

44. Эксплуатационное содержание аэродрома - комплекс организационных и технических мер, направленных на обеспечение функционирования аэродрома в постоянной готовности к полетам воздушных судов и обеспечения безопасности полетов в различных климатических условиях и в любое время года.

45. Электроснабжение аэродрома - подача электроэнергии от внешних источников до центрального распределительного пункта или вводных трансформаторных подстанций аэродрома.

46. Электропитание объектов аэродрома - подача электроэнергии от щитов гарантированного электропитания к объектам управления воздушным движением, радионавигации, посадки и связи.

1.2. Обозначения и сокращения

АИП (AIP) - сборник аэронавигационной информации

ACN - классификационное число воздушного судна

АТС - аэродромно-техническая служба

АТУ - аэродромная тормозная установка

БПРМ - ближний приводной радиомаркерной пункт

ВС - воздушное судно

ГВПП - грунтовая взлетно-посадочная полоса

ГРМ - глиссадный радиомаяк

ГРП - группа руководства полетами

ДК - девиационный круг

ДПРМ - дальний приводной радиомаркерный пункт

ИВПП - взлетно-посадочная полоса с искусственным покрытием

ILS - инструментальная система посадки ICAO

КДП - командно-диспетчерский пункт

КНС - кодовый неоновый светомаяк

КРАМС - комплексная радиотехническая аэродромная метеорологическая станция

КРМ - курсовой радиомаяк

ЛИП - летно-испытательное подразделение

ЛП - летная полоса

МК - магнитный курс

НИП - наладочно-испытательная площадка

NOTAM - уведомление, содержащее данные о введении в действие, состоянии и изменении аэронавигационного оборудования, обслуживания и правил, а также информацию об опасностях, своевременное предупреждение о которых имеет важное значение.

ОРЛ-А - обзорный радиолокатор аэродромный

ОРЛ-Т - обзорный радиолокатор трассовый

ОСП - оборудование системы посадки

ПВП - полоса воздушных подходов

PCN - классификационное число покрытия аэродрома

ПТ - приаэродромная территория

РМС - радиомаячная система

РСТО - радиосветотехническое оборудование

РТО - радиотехническое оборудование

СДП - стартовый диспетчерский пункт

SNOW NOTAM - NOTAM специальной серии, уведомляющей о существовании или ликвидации опасных условий, вызванных наличием снега, льда, слякоти или стоячей воды на рабочей площади аэродрома

СКП - стартовый командный пункт

ССО - светосигнальное оборудование

СРП - старший руководитель полетов

ТП - трансформаторная подстанция

ТУ - технические условия

ЦРП - центральный распределительный пункт

ЭА - экспериментальная авиация

ЭД - эксплуатационная документация

ЭРТОС - служба эксплуатации радиотехнического оборудования и связи

ЭСТОП - служба эксплуатации светотехнического оборудования полетов и электроустановок

Глава II. Основные положения по эксплуатационному содержанию аэродромов

2.1. Общие положения

2.1.1. Руководство по эксплуатационному содержанию аэродромов экспериментальной авиации (далее - Руководство), разработано в соответствии с действующим воздушным законодательством Российской Федерации.

2.1.2. Действие настоящего Руководства распространяется на организации, летно-исследовательские и научно-исследовательские институты, имеющие в своем ведении аэродромы экспериментальной авиации.

2.1.3. Настоящее Руководство является основным нормативным документом, определяющим требования к эксплуатационному содержанию и ремонту аэродромов экспериментальной авиации, в целях обеспечения исправности и работоспособности всех элементов аэродромной инфраструктуры. Руководство определяет порядок согласования строительства зданий и сооружений, на приаэродромной территории аэродрома.

2.1.4. Все издаваемые другие документы по технической эксплуатации аэродрома должны разрабатываться в соответствии с требованиями данного Руководства.

2.1.5. Постоянная эксплуатационная готовность аэродрома достигается проведением комплекса организационно-технических мероприятий, включающего регулярное проведение работ по текущему ремонту, эксплуатационному содержанию и систематическому контролю за состоянием искусственных покрытий ИВПП, РД, МС и НИП, грунтовой летной полосы и аварийных тормозных установок.

2.1.6. Поддержание аэродрома в эксплуатационном состоянии и подготовка его к полетам возлагается на аэродромно-техническую службу.

2.2. Структура аэродромно-технической службы

2.2.1. Аэродромно-техническая служба (далее - АТС) является структурным подразделением авиационной организации, в собственности или хозяйственном ведении которой находится аэродром (оператора аэродрома).

2.2.2. Организационная структура АТС, численность ее состава, оснащение техническими средствами устанавливается в зависимости от класса аэродрома, общей площади искусственных покрытий, от климатической зоны расположения и объема летно-испытательной работы.

В штат АТС рекомендуется включать следующих работников:

начальник АТС - 1 человек;

комендант аэродрома - 1 человек;

инженер по эксплуатации аэродромов - 1 человек;

техник - 1-2 человека;

рабочие - 8-10 человек (в зависимости от класса аэродрома и объемов работ).

При выполнении на летном поле большого объема работ, допускается привлечение работников из других подразделений авиационной организации (например: летом при выполнении текущего ремонта, зимой для расчистки летного поля после снегопадов и т.п.)

АТС осуществляет следующие функции:

обеспечивает эксплуатационное состояние летного поля аэродрома в соответствии с действующими стандартами, нормами, правилами и настоящим Руководством;

осуществляет ежедневный контроль состояния поверхности летного поля. Результаты осмотров вносит в журнал учета состояния и готовности аэродрома к полетам (Приложение 1);

контролирует состояние ограждения аэродрома и обеспечивает его своевременный ремонт;

обеспечивает контроль установленного режима движения автотранспорта и людей по территории аэродрома;

обеспечивает эксплуатационное состояние внутриаэродромных дорог;

осуществляет мероприятия по охране окружающей среды при эксплуатации аэродрома;

участвует в аварийно-спасательных работах на территории аэродрома и на приаэродромной территории;

осуществляет подготовку авиационного персонала службы по особенностям эксплуатации аэродромной техники и содержанию аэродрома в различные периоды года;

оборудует элементы летного поля техническими средствами противодействия несанкционированному выруливанию и взлету воздушного судна;

осуществляет мероприятия по улучшению орнитологической обстановки в районе аэродрома (изготовление и установка технических средств, ликвидация свалок мусора, вырубка леса и выкашивание травы в местах гнездования птиц).

Организационные мероприятия:

ежегодная проверка комиссией эксплуатационного состояния аэродрома с актированием результатов, планирование работ и их финансирование;

заключение договоров на выполнения ремонта;

подготовка аэродрома к зимней и осенней эксплуатации;

планирование и проведение технической учебы с авиационным персоналом АТС, аттестация ее специалистов и работников.

2.2.3. АТС, для полного и своевременного выполнения своих функциональных задач по содержанию и ремонту летного поля, должна иметь специально подготовленную базу аэродромно-технической службы.

2.3. Порядок согласования строительства объектов на приаэродромной территории и в районе аэродрома. Контроль за ходом строительства этих объектов

2.3.1. В соответствии с Воздушным кодексом Российской Федерации (Собрание законодательства Российской Федерации, 1997, № 12, ст. 1383; 2004, № 35, ст. 3607; № 45, ст. 4377; 2005, № 13, ст. 1078; 2006, № 30, ст. 3290; 2007, № 1 (ч. 1), ст. 29, № 50, ст. 6245; 2008, № 29 (ч. 1), ст. 3418), № 30 (ч. 2), ст. 3616; 2009, № 1, ст. 17, № 29, ст. 3616) в пределах приаэродромной территории аэродрома проектирование, строительство и развитие городских и сельских поселений, а также строительство и реконструкция промышленных, сельскохозяйственных и иных объектов должны проводиться по согласованию с собственником аэродрома.

2.3.2. Согласованию подлежит размещение:**

объектов в границах полос воздушных подходов к аэродрому, а также вне границ этих полос в радиусе 10 км от контрольной точки аэродрома;

объектов высотой 50 м и более относительно уровня аэродрома в радиусе 30 км от контрольной точки аэродрома;

линий связи и электропередачи, а также других источников радио- и электромагнитных излучений, которые могут создавать помехи для нормальной работы радиотехнических средств независимо от места их размещения;

взрывоопасных объектов не зависимо от места их размещения;

факельных устройств для аварийного сжигания сбрасываемых газов высотой 50 м и более (учетом возможной высоты выброса пламени) независимо от места их размещения;

промышленных и иных предприятий и сооружений, деятельность которых может привести к ухудшению видимости в районах аэродромов независимо от места размещения этих предприятий и сооружений.

2.3.3. Запрещается размещать в полосах воздушных подходов на удалении менее 30 км, а вне полос воздушных подходов - менее 15 км от контрольной точки аэродрома мест выбросов пищевых отходов, строительство животноводческих ферм, скотобоен и других объектов, способствующих привлечению и массовому скоплению птиц.**

2.3.4. Организации, заинтересованные в размещении объектов в районе аэродрома, должны согласовать их размещение со старшим авиационным начальником аэродрома.**

2.3.5. Согласование размещения объектов в районе совместного базирования производится с учетом интересов всех пользователей воздушного пространства, воздушные суда которых базируются на этом аэродроме.**

2.3.6. Размещение объектов вне районов аэродромов, если их истинная высота превышает 50 м, подлежит согласованию с командующим объединением Военно-воздушных сил и Противовоздушной обороны (далее ВВС и ПВО) и руководителем территориального органа Федеральной аэронавигационной службы, который несет ответственность за организацию использования воздушного пространства в зоне Единой системы организации воздушного движения (далее - ЕС ОрВД), где планируется размещение этих объектов.**

2.3.7. Лица, в чей собственности, хозяйственном ведении, оперативном управлении находятся постоянные или временные сооружения, в целях обеспечения безопасности полетов воздушных судов обязаны размещать на этих сооружениях за свой счет ночные и дневные маркировочные знаки в соответствии с нормами годности к эксплуатации аэродромов.**

2.3.8. Для согласования необходимо представить следующие документы:

письмо с просьбой о согласовании объекта в районе аэродрома, в котором указано назначение подлежащего строительству объекта, его, местоположение, абсолютные отметки основания и верха сооружений объекта;

карту (выкопировку из карты) или ситуационный план в масштабе 1:10000, 1:25000, 1:100000 с нанесенным размещением объекта и привязкой его к крупным ориентирам, жилым массивам и т.п.

2.3.9. В случае если размещение объекта согласовано, проверка и контроль за ходом и состоянием строительством, возлагается на АТС аэродрома. Проверки оформляются актом, по материалам которого эксплуатант (оператор) аэродрома принимает меры по устранению выявленных нарушений.

2.3.10. Лица, допустившие нарушение предусмотренного Федеральными правилами порядка размещения сооружений, обязаны по требованию старшего авиационного начальника аэродрома, а также командующего объединением ВВС и ПВО произвести в установленный ими срок за свой счет снос, перенос или необходимые изменения сооружений.**

Глава III. Общие требования по эксплуатации аэродромов

3.1. Технологические требования по подготовке летных полей аэродромов

3.1.1. Летное поле аэродром в целом или отдельные участки летного поля аэродрома считаются подготовленными к эксплуатации при соблюдении следующих условий:

значение коэффициента сцепления (к.с.) на всей длине ИВПП будет не ниже 0,4 ед. к.с;

различие коэффициента сцепления на близлежащих участках ИВПП с обеих сторон от оси не превышает 0,20 ед. к.с. (Приложение 3);

толщина слоя атмосферных осадков (снега, слякоти, воды) на рабочей части ИВПП не выше допустимых значений, установленных требованиями РЛЭ;

микронеровности покрытия ИВПП не превышают 25 мм, покрытия РД 30 мм, а на грунтовой (заснеженной) поверхности летного поля, под 3-х метровой рейкой, не превышают 100 мм;

сопряжения очищенных и не очищенных участков от снега не превышают значения уклонов более 0,20;

отсутствие на поверхности покрытия посторонних предметов, продуктов разрушения покрытий, кусков льда и уплотненного снега;

отсутствие загрязнений (проливы нефтепродуктов) на поверхности искусственных покрытий ИВПП и РД;

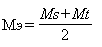
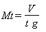
прочность покрытия, выраженная классификационным числом (PCN) соответствует классификационным числам (ACN) воздушных судов, допущенных к эксплуатации, с учетом ограничений критериев интенсивности полетов по соотношению массы ВС, давления в пневматиках (Приложение 3).

показатели прочности грунтов на ГВПП не ниже значений, установленных требованиями РЛЭ, а микронеровности под 3-х метровой рейкой, во всех направлениях, не превышают 10 см;

в зимнее время: покрытие ИВПП, РД, НИП, МС должны быть очищены: от снега, льда, воды и посторонних предметов. Грунтовые поверхности примыкающие, к кромкам ИВПП должна быть очищены, на ширину не менее 10 м с каждой стороны и иметь сопряжение с заснеженной поверхностью с уклоном не более 0,20;

подготовлены зона А ГРМ и зоны А и Б КРМ;

водосточно-дренажные системы должны быть в исправном состоянии.

Соответствие перечисленным условиям определяется перед каждым открытием аэродрома (перед летной сменой).

3.2. Взаимодействие служб аэродрома, обеспечивающих полеты

3.2.1. Для обеспечения взаимодействия между АТС и службами аэродрома при выполнении работ по содержанию аэродрома в эксплуатационном состоянии должна быть отработана и утверждена старшим авиационным начальником аэродрома (оператором аэродрома) "Технология взаимодействия АТС с другими наземными службами, обеспечивающими полеты".

3.2.2. В дни полетов работы по подготовке аэродрома к полетам выполняются только с разрешения старшего руководителя полетов.

3.2.3. Старший руководитель полетов (далее - СРП), до начала производства работ, должен получить информацию от АТС о необходимости выполнения работы, месте, продолжительности, характере ее выполнения и принять решение о выполнении работ и порядке их проведения. По окончании работ, получить доклад от начальника АТС (ответственного представителя службы), об освобождении летной полосы, и о готовности ее к полетам и лично проконтролировать готовность.

3.2.4. Въезд транспортных средств на летную полосу и другие рабочие площади, производится только с разрешения СРП.

3.2.5. Начальник АТС (ответственный представитель службы), до начала работ, обязан:

информировать СРП о необходимости выполнения работ, месте проведения, характере и предполагаемой ее продолжительности;

согласовать с СРП, порядок их выполнения, начало и окончания работ, количество работающих специалистов, спецавтотехники и место сосредоточения;

уточнить порядок радиосвязи, условные сигналы (при потери радиосвязи), предназначенные для незамедлительного покидания занимаемых площадей;

сосредоточить, в установленное время и в условленном месте, спецавтотехнику и рабочих;

после получения разрешения СРП о начале работы, расставить рабочих и спецавтотехнику по месту работы, следить за ходом выполнения работы;

проводить контрольную проверку радиосвязи в соответствии с установленными временными интервалами СРП (РП). В случае потери радиосвязи, незамедлительно прекратить работы и вывести людей и технику за пределы летной полосы и критических зон РМС;

после выполнения работ убедиться, что при производстве не было допущено никаких отклонений, препятствующих безопасному выполнению полетов. Доложить СРП об окончании работ и вывести технику и людей за пределы летной полосы и критических зон РМС. При работе на ВПП, РД произвести оценку их состояния, доложить о параметрах СРП (РП) и сделать запись в журнал учета состояния и готовности аэродрома к полетам (Приложение 1).

3.2.6. При изменении на аэродроме метеоусловий, которые могут вызвать изменение коэффициента сцепления покрытия ВПП, СРП должен дать указания начальнику АТС на измерение коэффициента сцепления, величины слоя осадков т.п., сообщить соответствующим службам о данном распоряжении и существующем порядке обеспечении безопасности полетов.

3.2.7. Начальник АТС (ответственное лицо), после получения разрешения на занятие ВПП, выполняет процедуру замеров величин, и после освобождения ВПП докладывает их значения СРП (РП).

3.2.8. Результаты измерений коэффициента сцепления, толщины слоя осадков, осмотр ВПП и ее состояния должны быть оформлены и записаны в журнале учета состояния и готовности аэродрома к полетам не позднее чем через 15 минут после процедуры измерения.

3.3. Требования к организации связи при выполнении работ на летном поле

3.3.1. Радиообмен между службами аэродрома осуществляется в соответствии с требованиями действующих нормативных и внутренних документов.

3.3.2. Для обеспечения радиосвязи аэродромная служба должна снабжаться стационарными и переносными радиостанциями.

3.3.3. Все переговоры по радио и телефонной связи, при выполнении работ на летном поле, должны записываться на магнитофон.

3.4. Требования к аэродромным машинам при работе на летном поле

3.4.1. Передвижение средств аэродромной механизации, автотранспорта и людей на аэродроме устанавливаются инструкцией по производству полетов на аэродроме (далее ИПП) в соответствии с разработанными и утвержденными схемами маршрутов движения.

3.4.2. Все средства спецавтотранспорта, участвующие в движении по площади маневрирования аэродрома, должны быть оборудованы средствами аэродромной радиосвязи с СРП (РП), проблесковыми огнями желтого света. Выключение радиосвязи и проблесковых огней, во время работ на летной полосе, РД, МС, запрещается.

В случае выхода из строя на аэродромной машине средств связи она должна покинуть летное поле.

3.5. Требование к содержанию зон КРМ и ГРМ РМС

3.5.1. К основным требованиям по содержанию зон КРМ и ГРМ РМС относятся высота травяного и снежного покрова, неровности микрорельефа и соблюдение уклонов рельефа.

3.5.2. В зонах РМС всех категорий местность должна быть свободной от автомобильных и железных дорог, линий связи и электропитания, леса, кустарника и других местных препятствии высотой более 1 м.

3.5.3. В местах пересечения критическими зонами РМС внутриаэродромных автодорог, должны быть установлены дорожные знаки "Проезд без остановки запрещен" и щиты с надписью "Зона РМС. Проезд без разрешения запрещен".

В качестве дневной маркировки, определяющей границу критической зоны РМС при пересечении с РД, служит маркировка мест ожидания ВС, которая приведена в Главе V настоящего Руководства и в Приложении 4.

3.6. База аэродромно-технической службы (АТС)

3.6.1. База аэродромно-технической службы (АТС) предназначена для:

хранения и подготовки к применению всех видов строительных материалов и конструкций необходимых для выполнения работ по эксплуатационному содержанию летного поля, включая и неприкосновенный (пополняемый) запас оперативного ремонта.

хранения и подготовки к применению технического инвентаря, приборов, спецоборудования и материалов и т.п.

хранения, технического обслуживания, ремонта всех видов средств механизации и

хранения и подготовки к применению технического инвентаря, приборов, спецоборудования и материалов и т.п.

хранения, технического обслуживания, ремонта всех видов средств механизации и оборудования.

3.6.2. Размеры территории базы АТС и ее производственные площади зданий и сооружений устанавливаются в зависимости от класса аэродрома и объема выполняемых работ.

На территории базы АТС должны размещаться:

административно-бытовое здание;

ремонтные мастерские;

гаражи для хранения техники и оборудования;

склады для хранения: мастик для заполнения температурных швов и трещин, семена травосмесей, лакокрасочных материалов и растворителей и т.п.;

площадки с покрытием для открытого хранения техники и материалов.

3.6.3. Пиломатериалы и другие деревянные изделия должны храниться под навесом.

3.6.4. Площадки хранения сыпучих материалов должны быть обеспечены средствами механизации для погрузочно-разгрузочных работ.

3.6.5. Мастики, семена травосмесей, химические антигололедные реагенты должны храниться на складах, в соответствии с техническими условиями (ТУ) предприятий-изготовителей.

3.6.6. База аэродромно-технической службы (АТС) должна размещаться вблизи летного поля, с учетом требований нормативных технологических разрывов от летной полосы, иметь удобный и кратчайший выезд на летное поле.

3.7. Требование к проведению работ на летном поле в условиях действующего аэродрома с привлечением сторонних организаций

3.7.1. Проведение работ при реконструкции или ремонте элементов летных полей в условиях действующего аэродрома с привлечением сторонних организаций, между Заказчиком (авиационной организацией) и Подрядчиком совместно с проектной организацией должны быть разработаны:

проект организации строительства (далее - ПОС), разрабатывает проектная организация;

проект производства работ (далее - ППР), разрабатывает генподрядная организация.

Согласовываются виды и объемы, технологическая последовательность, сроки выполнения работ, а также условия их совмещения с выполнением полетов на реконструируемых участках покрытия в течение выделенного технологического "окна".

3.7.2. Координацию действий сторонних организаций осуществляют должностные лица, назначенные приказом по авиационной организации, при необходимости может быть создана группа взаимодействия.

Должен быть определен порядок оперативного руководства и взаимодействия служб аэродрома и подрядчика при выполнении работ на летном поле.

Группа обеспечения взаимодействия должна быть оснащена радиотелефонной и внутриаэродромной радио связью.

Глава IV. Планирование, учет и отчетность

4.1. Планирование, учет и отчетность АТС должны быть направлены и организованы таким образом, чтобы техническая эксплуатация и подготовка аэродромов к полетам воздушных судов выполнялись при минимуме затрат и высоких технико-экономических показателях.

4.2. Планирование работы АТС должно обеспечить:

своевременное определение объемов, способов и сроков выполнения работ, а также потребное количество рабочей силы, средств механизации и материалов для содержания и ремонта аэродромов;

правильную расстановку рабочей силы, использование механизмов, оборудования и материалов и создание необходимых условий для выполнения работ за отведенное время;

осуществление контроля за производством работ, расходом материалов, количеством машиносмен, рабочей силы и учета выполнения плана ремонта и работ по содержанию аэродрома.

4.3. Планирование работ по текущему ремонту производится на основании актов технического обследования, составляемых на каждый элемент аэродрома.

Согласно актам составляется годовой план текущих ремонтных работ отдельно на каждый элемент летного поля, с учетом их окончания к началу осенне-зимней эксплуатации. План разрабатывается АТС, утверждается руководителем авиационной организации и согласовывается со всеми службами аэродрома, принимающими участие в обеспечении полетов.

В годовом плане текущего ремонта должны быть перечислены виды и объемы работ, сроки их выполнения с указанием ответственных исполнителей по каждому виду и участку работ.

В план не включаются работы, относящиеся к капитальному ремонту.

4.4. На основании годового плана составляются календарные графики с разбивкой объемов работ по месяцам или кварталам.

В графиках предусматривается первоочередное выполнение тех видов работ, которые обеспечивают нормальную эксплуатацию и сохранность отдельных элементов летного поля аэродрома или конструкции.

При разработке графиков необходимо учитывать соблюдение технологической последовательности выполнения работ и сезонные климатические условия.

4.5. При проведении ремонтных работ без прекращения летной эксплуатации необходимо включать в план-график выполнение работ с указанием времени начала и окончания работ.

4.6. Ремонтные работы выполняются силами АТС. Для повышения качества работ к проведению текущего ремонта целесообразно привлекать подрядные организации, оснащенные необходимым оборудованием, техникой и материалами и имеющие лицензию на право проведения ремонтных работ.

В этом случае АТС осуществляет функции заказчика:

выдает задание на проведение специального обследования;

выдает задание на текущий ремонт;

осуществляет контроль за качеством работ и их приемку.

4.7. Все работы по текущему ремонту, выполняемые АТС подлежат учету в "Журнале учета и контроля работ".

По окончании работ по текущему ремонту составляется акт приемки выполненных работ.

4.8. Планирование капитального ремонта на аэродромах подразделяется на перспективное и годовое (текущее).

4.9. В перспективных планах определяются потребные ассигнования на капитальный ремонт, исходя из основных объемов и видов ремонтных работ и потребности в строительных материалах и изделиях.

4.10. Исходя из перспективных планов составляются годовые (текущие) планы, в которых намечается конкретная программа ремонтно-строительных работ на год.

4.11. Работы по капитальному ремонту элементов летного поля аэродромов выполняются, как правило, подрядным способом на основании договора между заказчиком (авиационной организацией) и подрядчиком.

4.12. При проведении капитального ремонта без прекращения летной эксплуатации должен разрабатываться проект производства работ.

4.13. Основные положения по организации капитального ремонта разрабатываются проектной организацией, а проект производства работ - подрядной строительной организацией и согласовываются со всеми службами аэродрома, принимающими участие в обеспечении полетов.

Нумерация пунктов приводится в соответствии с источником

4.2.14. Разработка проектной документации на капитальный ремонт элементов летного поля аэродрома производится в следующей последовательности:

заказчик передает проектной организации задание на разработку технической документации;

заказчиком составляется акт технического обследования;

проектная организация до начала составления проектно-сметной документации на капитальный ремонт изучает существующую проектную и техническую документацию на элементы летного поля и проводит их обследование для установления технического состояния, уточнения объемов работ и установления степени износа основных конструкций и предлагает проектное решение на их восстановление и усиление.

4.15. Проект организации и выполнения работ по капитальному ремонту должен содержать:

строительный генеральный план с расположением ремонтируемых элементов летного поля;

план и профиль ремонтируемого элемента летного поля;

схему размещения ремонтных подразделений, средств механизации и оборудования;

схему размещения ремонтно-строительных материалов;

комплексную ведомость на ремонтно-строительные материалы и график их поступления;

календарный график выполнения работ по срокам;

схему допустимых перемещений в границах летного поля механизмов, машин и рабочих;

план расположения по фронту работ средств связи;

схему эвакуации механизмов, машин и рабочих по окончании производства работ или в экстренных случаях;

пояснительную записку с обоснованием всех положений организации работ с необходимыми расчетами.

4.16. Контроль качества производства работ, а также контроль за соблюдением установленных сроков и выполнением технических условий производства работ в соответствии с утвержденной проектно-сметной документацией осуществляются инженерно-техническими работниками аэродромной службы.

4.17. Приемочная комиссия, назначаемая инстанцией, утвердившей проектно-сметную документацию, после окончания ремонтных работ проводит детальный осмотр и проверку выполненных работ, их соответствие проектно-сметной документации и составляет акт сдачи-приемки выполненных работ.

4.18. Отчетными документами по работам капитального ремонта являются:

проектно-сметная документация;

исполнительные чертежи по всем видам работ, выполненных работ с приложением перечня отступлений от проектных материалов и документов;

журнал работ, отражающий ход и состояние производства ремонтных работ по каждому виду работ;

журналы испытаний контрольных образцов материалов и изделий;

акты на скрытые работы;

акты промежуточной приемки работ;

акт приемки работ в целом по капитальному ремонту.

Глава V. Маркировка аэродрома и препятствий

5.1. Общие положения

5.1.1. Маркировка аэродрома и препятствий предназначена для обеспечения условий безопасности проведения испытательных полетов на аэродромах экспериментальной авиации.

Маркировка аэродромных покрытий и препятствий принята в соответствии с нормами годности к эксплуатации аэродромов экспериментальной авиации.

5.1.2. Маркировочные знаки наносятся красками соответствующего цвета с помощью маркировочных машин или вручную по специальным шаблонам: на ИВПП - белой, а на РД и МС - желтой (оранжевой) краской, на сооружения и искусственные препятствия - красной и белой, границы зон повышенной опасности - красной, пути движения спецмашин - белой краской.

5.1.3. Работы по маркировке искусственных аэродромных покрытий организует и проводит начальник АТС, как правило, 2 раза в год, весной и осенью, по завершению ремонта покрытий, переноса порога ИВПП, а также для обновления маркировочных линий, в зависимости от состояния покраски.

5.2. Маркировка искусственной взлетно-посадочной полосы

5.2.1. Маркировка ИВПП не должна влиять на условия сцепления пневматиков колес воздушных судов с аэродромным покрытием.

5.2.2. На поверхности покрытий ИВПП маркировочными знаками наносятся:

осевая линия;

пороги и их номера;

зоны приземления;

полоса точного приземления;

линии выхода с ИВПП на РД.

5.2.3. Маркировку покрытия ИВПП или ее обновление следует проводить со стороны порога основного курса посадки. Очередность нанесения знаков при их обновлении не регламентируется и зависит от конкретных условий эксплуатации ИВПП и их состояния.

5.2.4. Маркировка ИВПП, размеры маркировочных знаков, их количество, вид и расстояние между ними должны соответствовать схеме (рисунок 4.1, Приложение 4).

5.2.5. Осевая линия ИВПП маркируется пунктирной линией с шагом 30 м и шириной 0,5 м.

5.2.6. Порог ИВПП маркируют параллельными прямоугольными полосами, расположенными симметрично оси ИВПП на удалении 15 м от торца и не более 3-х м от кромок. Ширина полос и расстояние между ними должны быть 1,8-2,0 м, длина - 30 м, а расстояние между двумя полосами, ближайшими к оси - 3,6-4,0 м.

Цифровые знаки номера порога состоят из двухзначных чисел, обозначающих магнитный курс посадки (рисунок 4.2, Приложение 4).

Номер порога определяют в зависимости от направления ИВПП в соответствии с таблицей 5.1.

Таблица 5.1. - Значения номера порога ИВПП в зависимости от магнитного курса посадки (МК пос.)

МК пос., °

Номер порога ВПП

МК пос., °

Номер порога ВПП

0,5-14

01

185-194

19

15-24

02

195-204

20

25-34

03

205-214

21

35-44

04

215-224

22

45-54

05

225-234

23

55-64

06

235-244

24

65-74

07

245-254

25

75-84

08

255-264

26

85-94

09

265-274

27

95-104

10

275-284

28

105-114

11

285-294

29

115-124

12

295-304

30

125-134

13

305-314

31

135-144

14

315-324

32

145-154

15

325-334

33

155-164

16

335-344

34

165-174

17

345-354

35

175-184

18

355-004

36

 

5.2.7. Латинскими буквами L (левая) и R (правая) дополнительно маркируют ИВПП на аэродромах с двумя ВПП. Буквы располагают по центру полосы между порогом и цифровым знаком номера порога.

5.2.8. Зоны приземления маркируют симметричными полосами относительно осевой линии ИВПП, проходящими вдоль ИВПП. Шаг нанесения полос равен 150 м.

Размеры полос и места их нанесения даны на рисунке 4.1 Приложения 4.

5.2.9. Полоса точного приземления обозначается двумя параллельными полосами, расположенными симметрично относительно осевой линии ИВПП и на удалении 300 м от торца полосы.

Размеры знаков: ширина - 8 м; длина - 50 м.

5.2.10. Линии выхода с ИВПП на РД обозначаются пунктирной линией шириной 0,15 м и длиной 5 м при интервале 5 м.

5.2.11. При смещенном пороге на ИВПП к маркировке смещенного порога должна быть добавлена поперечная линия шириной 1,8 м. Все маркировочные знаки, предшествующие смещенному порогу, должны быть ликвидированы, а осевая линия ИВПП преобразуется в стрелки-указатели (рисунок 4.3, Приложение 4).

5.2.12. Дополнительно к маркировке искусственных покрытий предусматривают установку дневных ориентиров по оси ИВПП между ДПРМ и БПРМ, призм обозначения боковых границ полосы подхода к ИВПП, начала и конца ИВПП, полосы точного приземления (рисунки 4.4 и 4.5, Приложение 4).

5.3. Маркировка рулежных дорожек

5.3.1. На покрытии РД маркируются:

продольная ось;

места ожидания ВС при выруливании на ИВПП;

участки сопряжения РД с ИВПП.

Примечание - Маркировке не подлежат РД, не используемые для движения ВС.

5.3.2. Продольная ось РД маркируется пунктирной линией шириной 0,15 м, длиной 5 м и с интервалом 15 м.

5.3.3. Место ожидания перед выруливанием на ИВПП должно маркироваться четырьмя поперечными линиями - двумя сплошными со стороны РД и двумя пунктирными со стороны ИВПП на расстоянии не ближе 50 м от кромки ИВПП. Ширина линий и расстояние между ними - 0,15 м, шаг пунктирных линий - 0,9 м.

5.3.4. Маркировка мест ожидания ВС на РД, примыкающих к ИВПП, оборудованных РМС, должна наноситься с соблюдением следующих требований:

расстояние от осевой линии ИВПП до маркировки места ожидания ВС на РД должно составлять не менее 120 м;

маркировка места ожидания ВС на РД не должна располагаться в пределах критических зон РМС.

5.3.5. Маркировка мест ожидания ВС на РД, примыкающих к ИВПП, не оборудованных РМС, должна наноситься с соблюдением следующих требований:

расстояние от осевой линии ИВПП до знака места ожидания ВС должно составлять:

а) не менее 90 м для ИВПП на аэродромах ВК и I класса;

б) не менее 75 м для ИВПП на аэродромах II и III классов;

ни одна из частей ВС не должна располагаться в пределах летной полосы.

5.3.6. В местах примыкания и пересечения РД необходимые пути руления ВС маркируются пунктирной линией шириной 0,15 м с укороченным шагом (меньше чем на прямолинейных участках РД).

5.4. Маркировка мест стоянок и наладочно-испытательных площадок

5.4.1. Число мест стоянок (МС) и наладочно-испытательных площадок (далее НИП) оборудуется в зависимости от располагаемой площади летного поля, отведенного для МС и НИП, типов и числа ВС, базирующихся (испытываемых) на аэродроме, а также производственной необходимости.

5.4.2. На МС и НИП должны быть нанесены маркировочные знаки:

оси руления ВС (линии заруливания, разворотов и выруливания);

Т-образный знак остановки ВС и спецмашин;

номера стоянок;

границы зон повышенной опасности для обслуживающего ВС авиационного персонала при гонках двигателей;

пути движения спецмашин при обслуживании ВС.

5.4.3. Ось руления ВС на МС и НИП на прямоугольных и криволинейных участках маркируется также как РД.

5.4.4. Маркировка проводится в соответствии с утвержденной схемой расстановки ВС на МС и НИП. При этом интервал между концевыми обтекателями крыльев рядом стоящих ВС должны быть:

для ВС с одним авиационным двигателем - не менее 2 м;

для ВС с двумя авиационными двигателями - не менее 3 м;

для ВС с четырьмя и более двигателями - не менее 5 м.

Для ВС с изменяющейся стреловидностью крыла интервалы определяются при минимальном угле стреловидности.

Интервалы между осями винтов вертолетов должны быть не менее двух диаметров несущего винта.

5.5. Маркировка препятствий

5.5.1. Маркировке подлежат все искусственные препятствия, расположенные в пределах приаэродромной территории, высота которых превышает условные поверхности ограничения высот препятствий или превышает 100 м.

Кроме того, в полосах воздушных подходов маркировке подлежат искусственные препятствия, превышающие уровень порога ИВПП:

1) на 1,0 м и более - на расстоянии до 1 км от конца летной полосы (далее именуется - ЛП);

2) на 10 м и более - на расстоянии от 1 до 4 км от конца ЛП;

3) на 50 м и более на расстоянии 4 км от конца ЛП и до конца полосы воздушных подходов.

Дневная маркировка высотных препятствий должна отчетливо выделяться на фоне местности, быть визуально видной со всех направлений и иметь два резко отличающихся друг от друга маркировочных цвета: красный (оранжевый) и белый.

Маркировке не подлежат препятствия, которые своей формой, размером и цветом резко выделяются на общем фоне, затененные другими препятствиями, имеющими маркировку, а также средства и объекты связи РТО.

На подлежащих маркировке препятствиях высотой до 100 м маркировочные знаки наносятся от верхней его точки на 1/3 общей высоты (рисунок 4.6, Приложение 4)

Маркировка производится горизонтальными чередующимися по цвету полосами шириной 0,5-6,0 м в зависимости от размеров маркируемой поверхности. Число чередующихся по цвету полос должно быть не менее трех. Крайние по высоте полосы окрашиваются в темные цвет. На препятствиях, имеющих ширину (диаметр) 40 м и более, допускается маркировочные полосы разбивать на квадраты и закрашивать в шахматном порядке.

На дымовых трубах верхняя маркировочная полоса наносится на 1,5-2,0 м ниже обреза трубы (рисунок 4.7, Приложение 4).

Сооружения высотой более 100 м должны маркироваться с высоты не более 75 м от основания до верхней точки сооружения (если это расстояние не оговаривается при согласовании строительства данного объекта) чередующимися по цвету полосами шириной не более 30 м в соответствии с данными таблицы 5.2.

Таблица 5.2. - Ширина маркировочного знака

Высота сооружения, м

Ширина маркировочного знака в долях общей высоты сооружения

От 100 до 210

1/7

От 210 до 270

1/9

От 270 до 330

1/11

От 330 до 390

1/13

От 390 до 450

1/15

От 450 до 510

1/17

От 510 до 570

1/19

От 570 до 630

1/21

5.6. Светоограждение препятствий

5.6.1. Все препятствия, имеющие дневную маркировку, должны иметь светоограждение. Светоограждение устанавливается на самой верхней части препятствия и ниже через каждые 45 м (рисунки 4.6 и 4.7, Приложение 4).

Искусственные препятствия высотой 100 м и более подлежат светоограждению независимо от места расположения.

Расстояние между ярусами, как правило, должно быть одинаковым. На дымовых трубах верхние огни размещаются ниже обреза трубы на 1,5-3,0 м.

5.6.2. Количество и расположение заградительных огней на каждом ярусе должно быть таким, чтобы с любого направления полета было видно не менее двух огней.

5.6.3. Для светового ограждения должны быть использованы огни красного цвета.

5.6.4. Сооружения, превышающие условные плоскости ограничения препятствий, дополнительно светоограждаются огнями на уровне пересечения их с плоскостями.

5.6.5. Световое ограждение объектов связи и РТО выполняется заградительными огнями, входящими в комплект радиосветотехнического оборудования.

5.6.6. В верхних точках препятствий устанавливаются по два огня (основной и резервный), работающих одновременно или по одному при наличии автоматического устройства при выходе из работы основного огня.

5.6.7. Высоковольтные линии электропередач создают особую опасность ввиду их малозаметности. Для повышения заметности их опоры линий должны иметь световое ограждение. Светоограждение осуществляется только высокоинтенсивными импульсными огнями в три пояса.

Первый пояс устанавливается на верхней точке опоры, второй - на уровне нижних проводов, а в середине между ними третий пояс светоограждения. Огни каждого уровня вспыхивают одновременно серией из трех импульсов для всей системы.

5.6.8. Заградительные огни и световые маяки должны давать излучение красного цвета с доминирующей длиной волны не менее 6100 А и насыщенностью не менее 95%.

5.6.9. Светораспределение и установка заградительных огней и световых маяков должны обеспечивать видимость их со всех направлений в пределах от зенита до 5° ниже горизонта. Максимальная сила света заградительных огней и автомаяков должна быть направлена под углом 7-15° над горизонтом.

5.6.10. Излучение заградительных огней должно быть постоянным или проблесковым. Заградительные огни должны выделятся среди окружающих огней и иметь максимальную силу света не менее 70 кд в красном диапазоне в пределах требуемых углов излучения. Заградительные светомаяки должны иметь частоту 20-60 проблесков в минуту и обеспечивать максимальную силу света не менее 2000 кд в красном диапазоне.

5.6.11. Интенсивность излучения световых маяков в зависимости от их максимальной силы света должна регулироваться двумя ступенями в 30 и 100% от номинального значения.

5.6.12. Световое ограждение должно включаться в период полетов в темное время суток, а также в светлое время при недостаточной видимости (туман, дымка, снегопад, дождь и т.п.).

5.6.13. Заградительные огни и световые маяки должны питаться по от дельным фидерам. Фидеры должны быть обеспечены аварийным (резервным) электроснабжением.

Включение аварийного электропитания при выходе из работы основного питания должно быть обеспечено в автоматическом, а также и ручном режиме.

Глава VI. Эксплуатационное содержание и ремонт аэродромов

6.1. Основные положения

6.1.1. Для обеспечения постоянной эксплуатационной готовности летного поля аэродрома необходимо своевременное проведение комплекса организационных мероприятий и работ по ремонту его элементов.

6.1.2. Содержание летного поля аэродрома заключается в контроле его технического состояния и выполнение работ по обеспечению его готовности к полетам.

6.1.3. Ремонт сооружений летного поля аэродрома представляет собой комплекс инженерно-технических мероприятий, направленных на поддержание или восстановление первоначальных эксплуатационных качеств летного поля в целом, а также его отдельных элементов и конструкций.

6.1.4. В зависимости от объемов, характера, а также возможности выполнения ремонтные работы элементов летного поля подразделяются на:

текущие;

капитальные.

6.1.5. К текущим ремонтам относятся работы по своевременному и систематическому предохранению элементов летного поля аэродрома, конструкций и оборудования от преждевременного износа. Текущий ремонт аэродромных сооружений осуществляется путем проведения профилактических мероприятий и устранения повреждений и неисправностей на небольших площадях покрытия.

6.1.6. Текущий ремонт подразделяется на плановый и непредвиденный (оперативный). Плановый ремонт производится по плану-графику, утвержденному руководителем предприятия. Непредвиденный (оперативный) ремонт выполняется по мере возникновения аварийных дефектов, угрожающих безопасности полетов. Повреждения аварийного характера должны устраняться немедленно.

6.1.7. Текущий ремонт проводится в перерывах между полетами (без прекращения летной эксплуатации) силами и средствами АТС или подрядными организациями.

После окончания ремонтных работ целесообразно заключение с подрядными организациями договора на дальнейшее сервисное обслуживание отремонтированного аэродромного покрытия.

6.1.8. Для проведения оперативного ремонта аэродромно-техническая служба должна иметь базу с запасом необходимых материалов, готовых элементов конструкций и средств малой механизации.

6.1.9. Капитальный ремонт проводится на больших площадях с прекращением летной эксплуатации аэродрома и предусматривает восстановление разрушенного покрытия и при необходимости искусственного основания.

Работы по капитальному ремонту элементов летного поля аэродромов выполняются подрядными организациями, согласно разработанным проектам.

6.1.10. Ремонт аэродромных покрытий осуществляется в соответствии с проектно-сметной документацией и включает выбор способа ремонта, заблаговременную заготовку ремонтных материалов, обеспечение необходимым комплектом инструментов, машин и механизмов, подготовку участка покрытия к ремонту, выполнение ремонтных работ.

6.1.11. При проведении ремонтных работ особое внимание должно обращаться на осуществление мероприятий, обеспечивающих безопасность полетов в случае совмещения ремонтно-строительных работ с полетами.

6.1.12. При производстве ремонтных работ необходимо учитывать правила и требования техники безопасности, охраны труда и противопожарной безопасности.

6.2. Осмотры летного поля аэродрома

6.2.1. Систематический контроль за эксплуатационно-техническим состоянием элементов летного поля производится:

ежедневно (наблюдение за состоянием аэродромных покрытий и грунтовых летных полос до и после полетов);

в весенний и осенний период года (очередной осмотр);

после аварийных ситуаций (внеочередной осмотр).

6.2.2. При ежедневных осмотрах следует производить проверку состояния поверхности (ровность, дефекты, посторонние предметы) искусственных покрытий, прилегающих к ним грунтовых участков летного поля, укрепленных грунтовых сопряжений, примыкающих к границам искусственных покрытий.

6.2.3. Очередные осмотры делятся на общие, когда обследуются все элементы летного поля, включая инженерное оборудование летного поля, и частные, при которых осматриваются лишь отдельные элементы.

6.2.4. Общие очередные осмотры должны проводиться не реже двух раз в год, как правило, весной и осенью.

При весеннем общем осмотре, проводимом после таяния снега, тщательно проверяется состояние летного поля аэродрома после зимней эксплуатации, уточняются объемы работ по текущему ремонту, запланированному на летний период, выявляются работы неотложного характера, не предусмотренные в плане текущего ремонта, и в случае необходимости, определяются объемы работ по капитальному ремонту на следующий год.

При проведении осеннего осмотра (до наступления отрицательных температур воздуха) определяются объемы работ по текущему ремонту на следующий год, и проверяется подготовка летного поля аэродрома к осенне-зимней эксплуатации.

6.2.5. Частные осмотры проводятся по мере необходимости с целью выявления технического состояния отдельных элементов сооружений и инженерного оборудования летного поля и установления причин преждевременного выхода их из строя.

6.2.6. Внеочередные осмотры проводят после аварийных ситуаций на аэродроме, а также после сильных ливней, ураганных ветров, снегопадов, землетрясений и других стихийных явлений.

6.2.7. По результатам осмотров составляются акты и проводятся мероприятия по устранению обнаруженных неисправностей и подготовке летного поля аэродрома к эксплуатации.

6.2.8. Осмотр водоотводных и дренажных систем производиться при подготовке к зиме, после окончания снеготаяния и после выпадения обильных осадков.

6.2.9. Дневные маркировочные знаки на искусственных покрытиях и переносные на грунтовых аэродромах осматриваются ежедневно.

6.2.10. Осмотр искусственных покрытий следует проводить в зависимости от метеорологических факторов, интенсивности и напряженности работы аэродрома, причем число проверок рекомендуется ежедневно не менее:

четырех раз для покрытий ИВПП: на рассвете, утром, днем и вечером;

одного раза для РД и МС, которые используются регулярно в процессе эксплуатации.

6.2.11. Грунтовые участки летного поля рекомендуется проверять с той же частотой, участки с дерновым покрытием проверяются через промежутки времени, позволяющие отличать ухудшение их состояния.

6.2.12. При осмотрах и проверке участков летного поля с искусственными покрытиями и грунтовых обращается внимание на:

чистоту поверхности, наличие посторонних предметов;

повреждения поверхности (дефекты);

видимость маркировочных знаков ВПП;

состояние и крепление крышек водоприемных устройств;

заполнение герметиками деформационных швов и трещин;

колейность и выбоины на грунтовом (заснеженном) летном поле.

6.2.13. При осмотрах участков летного поля с дерновым покрытием следует обращать внимание на: состояние травяного покрова, просадки грунтов, наличие эрозии грунтов, неровности, застаивание воды на отдельных участках, состояние переносных маркировочных знаков.

6.2.14. Параметры состояния летного поля, подлежащие обязательному измерению и учету:

аэродромы с искусственными покрытиями: на ИВПП - коэффициент сцепления; наличие, вид и толщина атмосферных осадков; состояние и качество очистки поверхности; состояние и видимость дневных и переносных маркировочных знаков; на БПБ - ширина очищенной от снега полосы; величина уклонов сопряжения очищенной части со снежным покровом; плотность грунта и ровность покрытия; на КПБ - размер очищенной части; плотность грунта и ровность поверхности; на МС, РД, НИП - наличие, вид и толщина атмосферных осадков; состояние и видимость маркировочных знаков.

грунтовые аэродромы: состояние поверхности и качество дернового покрова; глубина промерзания; прочность грунта (плотность уплотненного снега); ровность поверхности грунтового (заснеженного аэродрома); состояние и видимость переносных маркировочных знаков; величина уклонов сопряжения рабочей части ГВПП с БПБ.

6.2.15. Коэффициент сцепления на покрытии ИВПП должен измеряться с помощью аттестованных измерительных устройств, деселерометрами или измерительной машиной типа АТТ-2 (Приложение 2).

6.2.16. На грунтовых аэродромах допускается, характеристику условий торможения, давать по описательной характеристике состояния рабочей поверхности ГВПП.

6.2.17. Измеренные параметры должны записываться в журнал учета состояния и готовности аэродрома к полетам не позднее чем через 15 минут после их измерений.

6.2.18. При осмотре летного поля определяется вид и физические характеристики атмосферных осадков, которые для каждой 1/6 части ИВПП записываются в журнал учета состояния и готовности аэродрома к полетам. Толщина слоя атмосферных осадков и слякоти измеряется с помощью металлической миллиметровой линейки, а воды - с помощью линейки ОЛ-1.

6.2.19. Прочность грунта на грунтовых аэродромах определяется, в каждом случае изменения состояния грунта, специальным прибором типа У-1 (Приложение 13) или пробным рулением.

6.3. Перечень работ при текущем и капитальном ремонтах

6.3.1. Текущий ремонт.

Виды и объемы работ по текущему ремонту летных полей:

жестких покрытий: цементобетонных, армобетонных, и ж/бетонных монолитных покрытий или сборных предварительно напряженных плит типа ПАТ, с заменой отдельных участков покрытия в количестве, не превышающем 1% от общего количества аэродромных покрытий. Ремонт и заделка поверхностных сквозных трещин, раковин, выбоин, отколов, шелушений и т.д. Ремонт и заполнение мастикой деформационных швов. Сварка дефектных стыков и оголившейся арматуры в сборных плитах. Ремонт отдельных участков грунтовой части летной полосы.

асфальтобетонных покрытий: ямочный ремонт, устранение трещин, просадок, колей и т.д. с объемом работ не превышающим 1% от всей площади аэродромных покрытий.

ремонт участков сопряжения кромок покрытия с грунтовой частью летного поля.

грунтовых частей летного поля: в первую очередь, ГВПП, БПБ, КПБ, а также другие участки летного поля устранение колей, выбоин, засыпка просадок с восстановлением дернового покрова и т.д. Объем работ не более 30% от общей площади летного поля.

водостоков и дренажей: очистка и ремонт смотровых колодцев и труб дренажно-водосточной сети и водостоков, открытых и закрытых лотков. Устранение промывов по трассам водостоков, в устьевых сооружениях, около смотровых колодцев и т.д. Окраска люков и крышек смотровых колодцев и решеток дождеприемников. Объем работ не более 10% общей протяженности сетей. Работы по текущему ремонту являются плановыми, выполняются в свободное от полетов время.

6.3.2. Капитальный ремонт:

жестких покрытий состоит: из замены отдельных деформированных плит (частей плит) или участков монолитных покрытий (со слабыми грунтовыми основаниями и т.п.) и плит сборных покрытий, в объеме до 10% от общей площади аэродромных покрытий, с учетом использования при ремонте современных индустриальных методов, пункт 6.3.3.

Выравнивание просевшего покрытия, в объеме до 10% от общей площади, методом укладки нового слоя покрытия: из асфальтобетона, сборных предварительно напряженных плит, песчаного монолитного цементобетона не ниже класса В4,0/50, приготовленного на специальных растворах. Устранение поверхностных деформаций покрытия: сколов углов и кромок плит, шелушения, раковин, выбоин плит на участках площадью до 30% от общей площади аэродромных покрытий.

асфальтобетонных покрытий: выравнивание и усиление существующих покрытий укладкой нового слоя асфальтобетона на всей площади, или отдельных его частях: (стартовые участки и/или центральная часть ВПП, более деформированные участки и т.д.). Объем выполняемых работ от 30 до 100% от общей площади асфальтобетонных покрытий аэродрома.

грунтовых частей летного поля: исправление микрорельефа на грунтовых участках, подсыпка грунта на деформированных участках с проведением агротехнических мероприятий на площади 30-50% от общей площади грунтовой части летного поля.

водостоков и дренажей: ремонт, восстановление элементов водосточно-дренажной сети: смотровых и дождеприемных колодцев, замена изношенных труб коллекторов, дрен и перепусков в количестве до 25% от общей протяженности водосточно-дренажной сети.

В некоторых случаях, восстановление работоспособности водосточных коллекторов и дрен, рекомендуется выполнять промывкой по специальным технологиям, с использованием каналопромывочных машин с высоким рабочим давлением. Диаметры прочищаемых труб при промывке могут, составлять от 150 до 1200 мм.

6.3.3. Текущие и капитальные ремонты в условиях действующего аэродрома, как правило, выполняют предприятия, которые используют высокоэффективные отечественные и зарубежные перспективные технологии и материалы. Применяют специальные добавки, необходимые для повышения скорости набора и величины прочности бетона и т.п. Такой подход позволяет сократить время закрытия ремонтируемого участка до 6-12 часов и увеличить срок службы покрытия в несколько раз.

6.3.4. Предварительный вид ремонта (реконструкции) допускается оценивать по степени дефектности приведенной в классификаторе дефектов (таблица 6.1):

степень дефектности 1, 2 с площадью участков покрытия, требующих замены плит (частей плит) не более 1% от общей площади покрытия - текущий ремонт;

степень дефектности 3 с площадью участков покрытия, требующих замены плит (частей плит) не более 10% от общей площади покрытия - капитальный ремонт;

степени дефектности 4 с площадью участков покрытия требующих замены плит (частей плит) более 10% от общей площади покрытия, рекомендуется выполнять реконструкцию.

6.3.5. Целесообразность выполнения капитального ремонта или реконструкции (усиления) покрытий, следует определять экономическими расчетами, с учетом перспективы развития аэродрома с привлечением проектных организаций.

6.3.6. Реконструкция покрытий аэродромов (рекомендация).

На аэродромах экспериментальной авиации, с шириной покрытий ВПП от 70 до 100 м, реконструкцию ВПП рекомендуется выполнять по следующей технологии: из 100 метровой ширины ВПП, существующего покрытия, по оси выделяется центральная (рабочая) часть шириной 50-60 м. Крайние участки ВПП, шириной 25-20 м с обеих сторон ВПП оформляются, как укрепленные обочины, способные воспринимать разовые нагрузки расчетного самолета при возникновении аварийных ситуаций (выкатка ВС за пределы ВПП). Рабочая часть покрытия усиливается цементобетоном, с разделением на группы участков (А, Б, В, Г) по степени воздействия нагрузок ВС и несущей способности, в соответствии с действующими нормативами.

Для усиления и выравнивания покрытия на укрепленных обочинах укладывается 2 слоя асфальтобетона толщиной 10 см. Рекомендуемый способ значительно снизит затраты на реконструкцию, не снижая требований к безопасности полетов.

6.4. Содержание искусственных покрытий аэродромов в летний период

6.4.1. При выполнении работ по содержанию летного поля аэродрома в летний период необходимо обеспечить эксплуатационные качества аэродромных покрытий: ровность; фрикционные свойства; чистоту поверхности; сохранность проектных геометрических форм и размеров.

6.4.2. Эксплуатационное содержание искусственных покрытий элементов летного поля в летний период включает:

ежедневную проверку состояния поверхности аэродромных покрытий (в том числе на участках, примыкающих к торцам ВПП);

проверку ровности аэродромных покрытий;

очистку покрытий от грязи, пыли, мусора и других посторонних предметов;

удаление резиновых отложений, битумных и масленых пятен и других загрязнений с поверхности покрытий;

поливку покрытий с целью охлаждения и обеспыливания в жаркое время;

удаление луж после обильных осадков в местах застаивания воды на поверхности покрытий;

обновление маркировки покрытий и переносных маркировочных знаков;

текущий и капитальный ремонт элементов аэродромных покрытий.

6.4.3. По результатам ежедневной проверки состояния аэродромных покрытий дается оценка их подготовленности к полетам, которая фиксируется в журнале учета состояния и готовности аэродрома к полетам (Приложение 1).

6.4.4. Ровность искусственных аэродромных покрытий проверяется весной, после полного оттаивания грунта, а также эпизодически в течение летнего периода.

6.4.5. Чистота поверхности искусственных аэродромных покрытий поддерживается регулярной уборкой: подметанием, продувкой, поливкой и мойкой покрытий аэродромно-уборочными машинами. Периодичность выполнения таких работ устанавливается в зависимости от степени загрязненности участков покрытий летного поля.

6.4.6. Очистка поверхности искусственных покрытий производится подметально-уборочными, ветровыми и вакуумно-уборочными машинами.

При очистке поверхности отряд подметально-уборочных машин должен двигаться с уступом на расстоянии 10-20 м друг от друга, перекрытие подметаемых полос должно быть не менее чем 0,5 м. Выходящие из форсунок струи воды с расходом до 0,03 л/м2, должны равномерно распыляться и перекрываться у поверхности покрытия.

Деформация ворса цилиндрических щеток, прижатых к покрытию, должна быть одинаковой по всей длине щетки и составлять 15-20 мм.

Длина ворса цилиндрической щетки должна быть в пределах 60-180 мм.

При подметании рабочая скорость движения подметально-уборочных машин выбирается с учетом загрязненности покрытия: при сильном загрязнении 5-6 км/ч, а при обычных условиях 10-15 км/ч.

Для уборки с покрытия стального ворса, образующегося при использовании металлических щеток, применяются электромагнитные очистители, которые движутся вслед за подметальными машинами.

Продувка покрытия осуществляется щеточно-пневматическими (ветровыми) машинами.

6.4.7. В сухие и жаркие дни для уменьшения запыленности и снижения температуры аэродромных покрытий производится поливка. Неоднократной поливке, особенно в жаркое время, подвергаются стартовые участки.

Количество воды, распределяемое по поверхности, должно обеспечивать равномерное смачивание всей поверхности, в то же время не должно происходить стекания воды. Расход воды на 1 м2 покрытия составляет 0,2-0,5 л.

Поливка производится поливомоечными машинами, причем струя воды должна быть направлена вперед и вверх, наивысшая точка струи - 1,5 м от покрытия.

6.4.8. После окончания весенней распутицы искусственные покрытия, находящиеся в исправном состоянии, промываются.

Мойка обеспечивается одновременно двумя процессами: отделение пыли и загрязнений от поверхности покрытий и их перемещение в направлении продольных и поперечных уклонов к водоприемному сооружению. Расход воды при мойке на 1 м2 покрытия составляет не менее 0,8-1,1 л/м2. Мойку следует вести под уклон.

Мойка покрытия производится отрядом поливомоечных машин, причем расстояние машин друг от друга составляет 10-20 м. Рекомендуется движение машин вести уступом с перекрытием обрабатываемых полос на 0,7-1,0 м.

Чрезмерно загрязненные покрытия рекомендуется мыть со скоростью 5-10 км/ч, а небольшие загрязнения - 10-15 км/ч.

6.4.9. Водосточно-дренажную систему необходимо периодически очищать от пыли и мусора (смываемых с поверхности покрытий водой) насосными машинами или машинами для прочистки канализационных сетей.

6.4.10. Первоначальную шероховатость поверхности покрытий на участках, загрязненных смазочными материалами, маркировочной краской, резиновыми отложениями и др. необходимо восстанавливать.

6.4.11. Удаление отложений резины производится химическим, механическим методами, или гидравлическим способом - струей воды высокого давления до 40 МПа.

При химическом методе происходит разрушение резины, продукты разрушения смываются водой, остатки подметаются уборочными машинами или удаляются машинами-пылесосами.

При механическом методе резиновые отложения удаляются фрезерованием, затем пыль и остатки резины удаляются подметально-уборочными машинами.

6.4.12. Загрязнения от пролитых горюче-смазочных материалов удаляются путем распыления веществ, растворяющих топливо и масла с последующим удалением продуктов реакции.

Загрязненные места обрабатывают маслопоглащающим веществом, затем очищают и подметают. При очистке покрытия химическими веществами необходимо проводить мероприятия по охране окружающей среды.

6.4.13. В летнее время на аэродроме должны наноситься дневные маркировочные знаки в соответствии с требованиями Главы V.

Дневные маркировочные знаки на покрытии очищаются от пыли и грязи и обновляются по мере износа, затирания резиной и выцветания краски.

Переносные маркировочные знаки ремонтируются по мере разрушения или износа их конструкции с обновлением окраски.

Для очистки маркировочных знаков рекомендуется применять моющие (поверхностно активные) растворы.

6.5. Текущий ремонт искусственных покрытий

6.5.1. Общие принципы организации ремонтных работ

6.5.1.1. На основании обследования, проводимого перед производством ремонтных работ, устанавливаются виды и очередность проведения работ по текущему ремонту искусственных аэродромных покрытий.

6.5.1.2. Для каждого объекта с учетом применяемого оборудования и материалов должен быть разработан проект производства работ или технологический регламент на выполнение ремонтных работ.

6.5.1.3. Ремонт покрытий аэродромов должен осуществляться с соблюдением требований государственных строительных норм и правил, ведомственных строительных норм, стандартов, а также правил и положений по технике безопасности, охране труда и пожарной безопасности.

6.5.1.4. Неисправности конструкций аэродромных покрытий устраняются в порядке планового текущего ремонта. Дефекты и неисправности, угрожающие безопасности полетов, устраняются немедленно до начала полетов.

Срок службы (долговечность) оперативно отремонтированных участков покрытия должен обеспечивать нормальную эксплуатацию до начала строительного сезона, когда будет возможность выполнить текущий ремонт в соответствии с нормативными требованиями.

6.5.1.5. При текущем ремонте осуществляется контроль качества работ в процессе их проведения, а также при приемке отремонтированных участков перед сдачей покрытия в эксплуатацию.

6.5.1.6. Планирование работ по плановому текущему ремонту производится на основании акта технического обследования искусственных покрытий элементов летного поля.

6.5.1.7. Выполнению ремонтных работ должен предшествовать анализ причин возникновения дефектов и их устранение.

6.5.2. Основные факторы, вызывающие разрушение искусственных покрытий

6.5.2.1. Искусственные аэродромные покрытия в процессе эксплуатации под воздействием нагрузок от воздушных судов и природно-климатических факторов постепенно изнашиваются, а когда напряжения и деформации, возникающие в покрытии, превышают допустимые значения, - разрушаются.

6.5.2.2. В процессе эксплуатации на искусственное покрытие передаются:

усилия, под воздействием нагрузок от воздушных судов, вызывающие вертикальные и горизонтальные напряжения в конструктивных слоях покрытия;

силовое и температурное воздействие газовой струи реактивных двигателей самолетов и тепловых машин при борьбе с гололедом.

6.5.2.3. Покрытия в зависимости от гидрологических и гидрогеологических условий местности, геологии, климата, рельефа, растительного покрова постоянно подвергаются агрессивному воздействию целого ряда природных факторов:

температуры и влажности окружающего воздуха;

суточных и сезонных перепадов температуры воздуха;

осадков (их количества и распределения по сезонам года);

промерзания грунта;

снегового покрова;

силы, направления и продолжительности преобладающих ветров и т.д.

6.5.2.4. На эксплуатационное состояние покрытий также влияют:

эксплуатация покрытий с перегрузкой;

правильность принятых технических решений при проектировании;

качество строительства (достаточное уплотнение оснований, качество исходных материалов, качество производства работ);

эксплуатационный уход, в том числе своевременное проведение ремонтных работ.

6.5.3. Деформации и разрушения цементобетонных покрытий

6.5.3.1. К характерным дефектам и разрушениям цементобетонных покрытий относятся:

трещины (усадочные и сквозные);

разрушение верхнего слоя покрытия на глубину до 10 мм (шелушение);

разрушение верхнего слоя покрытия на глубину более 10 мм;

раковины и выбоины;

сколы кромок плит;

отколы углов и краев плит;

разрушение плит;

уступы в швах и трещинах;

просадки и проломы плит или участков покрытия;

разрушение заполнителя швов;

потеря продольной устойчивости (коробление плит);

оголение арматуры.

6.5.3.2. Трещины по характеру могут быть поверхностными (усадочными) и сквозными.

Поверхностные трещины бывают усадочного и температурного происхождения и возникают при совместном действии температуры и эксплуатационной нагрузки от воздушных судов, а также при несоблюдении требований к подбору состава смеси, неправильном уходе за свежеуложенным бетоном. Поверхностные трещины постепенно увеличиваются в глубину и длину и часто разветвляются в разных направлениях.

Причины возникновения сквозных трещин:

совместное действие эксплуатационной нагрузки и температурных напряжений при недостаточной несущей способности покрытия;

действие сверхрасчетных нагрузок;

появление усталости бетона при длительной эксплуатации;

потеря контакта с основанием;

дефекты основания (просадки);

поздняя нарезка шва во время строительства;

отраженные трещины.

Основная опасность сквозных трещин состоит в том, что они снижают несущую способность цементобетонных плит и создают условия для проникновения воды через покрытие в грунтовое основание.

6.5.3.3. Разрушение поверхностного слоя покрытия на глубину до 10 мм (шелушение) представляет собой механическое отслоение верхнего слоя бетона от основного вследствие недостаточной его прочности.

Разрушение поверхностного слоя покрытия на глубину более 10 мм также является механическим отслоением верхнего слоя бетона от основного. Происходит это, как правило, в результате дальнейших приложений нагрузок и воздействия климатических факторов на участках с шелушением поверхности.

Разрушение поверхностного слоя покрытия вызывается следующими причинами:

применением некачественных материалов и нарушением технологии бетонных работ;

многократным воздействием нагрузок от воздушных судов;

действием высоких температур тепловых машин и газовых струй реактивных двигателей;

применением противогололедных химических реагентов;

резким колебанием температуры окружающей среды и частыми периодами замораживания и оттаивания.

Последствиями разрушения поверхностного слоя покрытия являются:

уменьшение толщины покрытия, что снижает его несущую способность;

увеличение влагозадержания на поверхности покрытия, что способствует развитию дальнейшего разрушения, особенно в период заморозков и оттаивания;

интенсивное образование гололеда;

выкрашивание крупного заполнителя бетона, что ведет к образованию раковин, выбоин, сколов кромок плит.

6.5.3.4. Выбоины образуются в основном в результате уже имеющихся выкрашиваний цементобетона под воздействием повторяющихся динамических нагрузок от воздушных судов. Обычно они имеют вид воронкообразных круглых или овальных углублений диаметром 5-30 см и глубиной до 10 см.

6.5.3.5. Раковины имеют такую же форму, как и выбоины, но меньших размеров. Причиной их образования являются: применение неморозостойкого крупного заполнителя, который быстро разрушается и выкрашивается из покрытия; попадание в верхний слой бетонного покрытия инородных тел, легко отделяющихся от бетона; недоуплотнение бетонной смеси и некачественная отделка поверхности покрытия при его устройстве.

6.5.3.6. Сколы кромок плит представляют собой разрушение кромок плит в результате эксплуатации покрытия с перегрузкой и нарушения работы деформационных швов. С обломов кромок обычно начинается разрушение стыковых соединений. Разрушение кромок плит увеличивает ширину швов и создает большие неровности на покрытии, что особенно сказывается при воздействии динамических нагрузок.

6.5.3.7. Отколы углов и краев плит являются результатом дальнейшего развития трещин на этих участках под давлением внешних нагрузок. Таким разрушениям способствует недостаточная прочность бетона из-за плохого уплотнения, неправильная установка штыревых соединений в швах, а также наличие зазоров между плитой и искусственным основанием, в результате чего угол или край плиты работает на изгиб как консоль. Под действием эксплуатационных нагрузок эти участки плит (края и углы) откалываются и проседают или раскалываются на более мелкие части.

6.5.3.8. Разрушение плит - появление на одной плите трех и более сквозных трещин в результате воздействия силовых нагрузок.

6.5.3.9. Уступы в швах и трещинах могут быть вызваны: поднятием одной плиты или ее части под воздействием сжимающих усилий от температурных деформаций покрытия в летний период; опусканием одной из плит из-за недостаточного уплотнения основания; потерей несущей способности основания в результате переувлажнения.

6.5.3.10. Просадки и проломы плит или участков покрытия (вертикальные смещения) - результат потери несущей способности искусственного основания или подстилающего грунта при недостаточном его уплотнении в процессе строительства, неравномерной осадке и вымывании оснований из-под покрытия. Смещение плит в вертикальном направлении способствует также эксплуатация покрытия с перегрузкой и пучение грунта зимой. Кроме того, вертикальные смещения плит могут быть следствием некачественного монтажа покрытий из сборных предварительно напряженных плит (далее ПАГ).

Вертикальные смещения и перекосы плит создают опасные условия для эксплуатации воздушных судов.

6.5.3.11. Разрушение заполнителя швов в большинстве случаев является следствием недостаточной его температурной устойчивости. Разрушение проявляется в виде выкрашивания, выплавления и выдувания герметизирующего материала. Выкрашивание происходит обычно при отрицательных температурах наружного воздуха, когда герметик теряет эластичность, становится хрупким. Выплавление и выдувание - результат действия на герметик горячих газов, выходящих из реактивных двигателей с большой скоростью. Помимо этого заполнитель швов разрушается из-за прямого контакта с пневматиками колес самолетов, особенно при торможении, а также из-за некачественно выполненной первоначальной герметизации швов.

6.5.3.12. Потеря покрытием продольной устойчивости (коробление плит) - изменение продольного профиля покрытия из-за отсутствия или не функционирования деформационных швов.

6.5.3.13. Оголение арматуры происходит в местах разрушения защитного слоя бетона. Выходящая на поверхность арматура представляет опасность для пневматиков колесных шасси воздушных судов. Прокол пневматиков арматурой создает аварийную ситуацию.

6.5.4. Деформации и разрушения асфальтобетонных покрытий

6.5.4.1. Характерные деформации и разрушения асфальтобетонных покрытий:

трещины;

выкрашивание поверхности;

выбоины;

сдвиги и волны;

колеи;

просадки и проломы;

уступы в швах и трещинах.

6.5.4.2. Трещины являются наиболее распространенным и опасным видом деформации асфальтобетонного покрытия ведущим к быстрому его разрушению.

Причины образования трещин:

резкое изменение температуры (при быстром и резком понижении температуры асфальтобетон теряет пластичность, становится хрупким и теряет деформативную способность);

большие сдвигающие силы при посадке воздушных судов с торможением;

старение асфальтобетона;

неоднородность подстилающих грунтов или переувлажнение отдельных мест, что ведет к неравномерному изменению объема грунтов и просадкам;

наличие пучинистых грунтов;

плохая подготовка бетонного основания при усилении его асфальтобетоном или недостаточная толщина слоя усиления. На слое асфальтобетонного покрытия появляются отраженные трещины, т.е. трещины повторяющие швы, или незаделанные трещины нижележащего цементобетонного покрытия;

нарушение технологии укладки асфальтобетонной смеси, особенно при сопряжении вновь укладываемой смеси с ранее уложенной. Плохо выполненное место стыка превращается в трещину с легко разрушающимися краями и впоследствии приводит к образованию выбоин.

6.5.4.3. Выкрашивание - разрушение поверхностного слоя асфальтобетонного покрытия.

Выкрашиванию подвержены, главным образом, покрытия из пористого, неводоустойчивого асфальтобетона.

Причинами выкрашивания асфальтобетонной поверхности являются:

использование некачественных материалов (например, щебня, поверхность зерен которого покрыта пылеватыми и глинистыми частицами, влажных минеральных материалов и т.д.);

недостаток битума;

расслоение асфальтобетонной смеси;

нарушение технологии производства работ (например, недостаточное уплотнение асфальтобетонной смеси);

укладка асфальтобетонной смеси в дождливую погоду.

6.5.4.4. Выбоины - разрушения покрытия разной формы в виде углублений с резко выраженными крутыми краями, образовавшиеся в результате выкрашивания поверхности.

6.5.4.5. Сдвиги и волны-деформации асфальтобетонного покрытия, образующиеся из-за:

недостаточной температурной устойчивости асфальтобетона;

недостаточного сцепления асфальтобетона с основанием;

касательных усилий возникающих при торможении самолетов;

неправильно подобранного состава смеси;

нарушения технологии при укладке асфальтобетонной смеси.

6.5.4.6. Колеи - деформации асфальтобетонного покрытия в виде продольных борозд разной глубины. Образуются под воздействием колес воздушных судов, идущих в один след, при недостаточной прочности покрытии и ослабленном основании.

6.5.4.7. Просадки асфальтобетонного покрытия являются следствием неравномерной осадки основания и подстилающего грунта, образующейся обычно при некачественном и неравномерном их уплотнении в процессе строительства или при переувлажнении подстилающих грунтов в период эксплуатации.

При несвоевременном устранении просадок, вода скапливается в просевших местах покрытия, разрушает асфальтобетон, проникает в основание и под действием внешней нагрузки возникают проломы покрытия.

6.5.4.8. Уступы в швах и трещинах могут быть вызваны: воздействием сжимающих усилий от температурных деформаций покрытия в летний период, недостаточным уплотнением основания; потерей несущей способности основания в результате переувлажнения.

6.5.5. Повреждения искусственного покрытия аварийного характера

6.5.5.1. К аварийным относятся повреждения покрытия, опасные для полетов воздушных судов и требующие немедленного устранения, так как могут привести к летным происшествиям.

6.5.5.2. На поверхности аэродромных покрытий не допускаются:

посторонние предметы или продукты разрушения покрытия;

оголение стержней арматуры;

наплывы мастики высотой более 15 мм;

выбоины и раковины с размерами в плане более 50 мм и глубиной более 30 мм (для ИВПП - 25 мм), не залитые мастикой;

уступы в швах смежных плит или кромки трещин высотой более 30 мм (для ИВПП - 25 мм)

неровности на ИВПП, образующие просвет под трехметровой рейкой более 25 мм (кроме вершины двускатного профиля и дождеприемных лотков);

алгебраическая разность продольных уклонов соседних плит более 0,033 (для ИВПП - 0,02);

сколы кромок плит шириной более 30 мм и глубиной более 25 мм, не залитые мастикой.

6.5.6. Оценка эксплуатационно-технического состояния аэродромных покрытий

6.5.6.1. В основе определения необходимости проведения и назначения вида ремонта лежит оценка эксплуатационно-технического состояния покрытия и сопоставление его с принятыми критериями, при которых эксплуатация покрытия недопустима по условиям обеспечения безопасности взлетно-посадочных операций.

Техническое состояние и несущая способность покрытий может определяться по методу ACN/PCN, с периодичностью обследования и дефектации:

при коэффициенте перегрузки ACN/PCN = 1 и более, 4 раза в год;

при коэффициенте перегрузки ACN/PCN = 0,8 - 1.0, 2 раза в год;

при коэффициенте перегрузки ACN/PCN = менее 0.8, 1 раз.

6.5.6.2. Оценка технического состояния производится путем количественного определения степени разрушения и износа покрытия на момент обследования.

6.5.6.3. Степень разрушения покрытия определяется на основании данных обследования, по результатам которых производится оценка его технического состояния и делается вывод о степени соответствия состояния покрытия требованиям норм годности к эксплуатации аэродромов.

6.5.6.4. Определение состояния покрытий аэродрома проводится по элементам летного поля, раздельно по ВПП, каждой РД и МС.

6.5.6.5. Перед проведением обследования необходимо изучить имеющуюся проектную и эксплуатационную документацию, включая данные о предыдущих обследованиях покрытия. Должна быть установлена конструкция покрытия с указанием толщин отдельных слоев, размеров плит и т.д. Кроме того, необходимо установить время строительства или реконструкции для оценки долговечности покрытия.

6.5.6.6. Процесс дефектации покрытия включает в себя два вида работ: периодические визуальные обследования и инструментальные измерения, которые проводятся при необходимости.

6.5.6.7. В тех случаях, когда по результатам визуального обследования не удалось распознать скрытые дефекты или установить причины их образования, рекомендуется использовать инструментальные методы исследований: ультразвуковой, тепловизорный, радиоизотопный, георадиолокационный и т.п. Применение этих методов должно соответствовать действующим стандартам, а также технологическим инструкциям на измерительные приборы и дефектоскопы.

6.5.6.8. В качестве отчетных материалов составляются:

отчет с методикой обследования, дефектовочный планом, ведомостью дефектов и оценкой эксплуатационно-технического состояния покрытия;

данные специального бурения и исследования материалов покрытия (при необходимости); акт технического обследования.

6.5.6.9. Дефектовочный план аэродромного покрытия составляется в масштабе 1:300-1:350, Приложение 5.

6.5.6.10. На дефектовочном плане цементобетонного покрытия показывается фактическая раскладка плит покрытия по пикетам. Покрытие разбивается на ряды в соответствии с Приложением 5, рисунок 5.5.

6.5.6.11. Обнаруженные при визуальном обследовании дефекты заносятся в виде условных обозначений (Приложение 6) на дефектовочный план с указанием размеров дефектов.

6.5.6.12. Размеры уступов в швах между соседними плитами или кромками трещин, наплывов мастик, выбоин, раковин, сколов кромок плит, разрушения поверхностного слоя покрытия и т.д. определяются с помощью линейки.

Неровности покрытия измеряются трехметровой рейкой и промерником (линейкой).

6.5.6.13. Дефекты, занимающие определенную площадь на поверхности покрытия (разрушение поверхностного слоя покрытия, усадочные трещины и др.), показываются в масштабе. При зарисовке сквозных трещин на плане необходимо по возможности точнее указывать их расположение на поверхности покрытия, ширину раскрытия и длину трещин.

6.5.6.14. По дефектовочным планам составляется ведомость дефектов с указанием количества дефектов на каждом пикете и сводная ведомость в целом по покрытию, Приложение 7.

В ведомости дефектов по пикетам, указывается вид дефектов, количество плит с данными разрушениями (для цементобетонного покрытия), суммарный размер дефектов в следующих единицах измерения:

м2 - сетка усадочных трещин, разрушение поверхностного слоя и оголение арматуры на цементобетонном покрытии, жировые загрязнения, наплывы мастики, выбоины, сколы кромок плит, выкрашивание поверхности на асфальтобетонном покрытии, просадки и проломы участков асфальтобетонного покрытия;

шт. - раковины, плиты покрытия с просадками, проломами и короблением, отколами углов и краев, разрушенные плиты и плиты, имеющие уступы в швах;

м - трещины, участки с разрушенным заполнителем швов;

мм - максимальная величина уступа в швах, колеи асфальтобетонного покрытия.

В сводной ведомости дополнительно указывается процент плит с повреждениями от общего количества плит покрытия для цементобетонного покрытия и процент поврежденной площади для асфальтобетонного покрытия, таблица 9.2.

6.5.6.15. Для оценки технического состояния покрытия следует пользоваться классификатором дефектов, таблица 6.1.

Таблица 6.1. - Классификатор дефектов покрытий

Описание дефектов (повреждений)

Показатель повреждений

Степень дефектности

0

1

2

3

4

Продольные и поперечные трещины в асфальтобетоне

Среднее расстояние между трещинами

Отсут.

более 30

15-30

5-15

менее 5

Частая сетка трещин на а/бетоне

Процент повреждений площади

Отсут.

менее 5

5-20

20-50

более 50

Эрозия асфальтобетона

Процент повреждений площади

Отсут.

менее 5

5-20

20-50

более 50

Колея асфальтобетонного покрытия

Глубина колеи, мм

Отсут.

менее 10

5-25

25-40

более 40

Трещины в плитах бетонного и армобетонного покрытия

Процент плит, имеющих трещины

Отсут.

менее 5

5-10

10-20

более 20

Сколы кромок бетонных и армобетонных покрытиях

Процент со сколами кромок

Отсут.

менее 2

2-5

5-10

более 10

Шелушения бетона на поверхности

Процент плит с шелушением поверх.

Отсут.

менее 5

5-10

10-20

более 20

Неровности покрытия в виде уступов

Высота уступов, мм

Отсут.

менее 5

5-15

15-25

более 25

Неровности в виде волн

Высота неровности на длине 3 м, мм

Отсут.

менее 5

5-15

15-25

более 25

 

Обнаруженные дефекты относят к одному из приведенных в таблице 6.1, определяют объем дефектов и по этим двум признакам оценивают состояние покрытия по пятибалльной шкале.

6.5.6.16. Одна из методик по определению эксплуатационно-технического состояния аэродромных покрытий, основанная на визуальной дефектации покрытий, "весовой градации" дефектов по степени их серьезности и определения интегральной оценки состояния покрытий с учетом плотности распространения дефектов по площади покрытия приведена в Приложении 8.

6.5.6.17. Образец составления акта технического обследования искусственных покрытий элементов летного поля с заключением по техническому состоянию покрытия и рекомендациями по его эксплуатационному содержанию и ремонту приведен в Приложении 9.

6.5.7. Способы ремонтных работ и применяемые материалы

6.5.7.1. Выбор способа ремонта покрытий и соответственно ремонтных материалов производится в каждом конкретном случае в зависимости от ремонтируемого участка, вида разрушений, объема работ, имеющихся механизмов и оборудования.

6.5.7.2. При выполнении работ по текущему ремонту должны учитываться требования настоящего руководства и рекомендаций (инструкций, технологического регламента) по применению конкретного ремонтного материала.

6.5.7.3. Выбор способа ремонтных работ и применяемых материалов следует осуществлять в соответствии с Приложением 11: для цементобетонных покрытий - таблица 11.1, для асфальтобетонного покрытия - таблица 11.2.

6.5.7.4. Ремонтные материалы по виду вяжущего вещества подразделяются:

на основе минеральных вяжущих материалов;

на основе битумов (асфальтобетон и др.);

на основе полимерных связующих.

6.5.7.5. Материалы для ремонта должны иметь паспорта, сертификаты соответствия органа Системы сертификации на воздушном транспорте, нормативную документацию на продукцию с указанием о возможности ее применения на аэродромах, технологический регламент (инструкцию) по применению.

В сертификате должны быть отражены:

основные характеристики данного материала и их соответствие требованиям нормативно-технической документации;

соответствие материала конкретной дорожно-климатической зоне или его универсальность;

гарантийные сроки эксплуатации при условии полного соблюдения разработанных для данного материала правил его хранения и технологии применения.

6.5.7.6. Все материалы, применяемые при ремонте, должны быть химически нейтральны к материалам ремонтируемого покрытия или быть химически совместимы с ними, чтобы предотвратить естественное отторжение.

6.5.7.7. При выборе материала для восстановления покрытия необходимо учитывать совместимость выбранного материала и существующего покрытия по усадочным деформациям, коэффициенту линейной температурной деформации.

Наилучших результатов можно добиться, применяя ремонтные материалы однородные с основным покрытием.

6.5.7.8. При ремонте цементобетонного покрытия на РД и МС допускается использовать плотный асфальтобетон типа Б марки I, приготовленный из горячей мелкозернистой смеси.

При ремонте асфальтобетонного покрытия тип и марка асфальтобетонной смеси должна быть аналогична асфальтобетону существующего покрытия.

6.5.7.9. Покрытия, обработанные защитными пропитками, должно отвечать требованию безопасности полетов, которое в данном случае характеризуется коэффициентом сцепления обработанного участка с пневматиками колес шасси самолетов.

6.5.7.10. Ремонтные материалы по физико-механическим показателям должны соответствовать требованиям, приведенным в Приложении 10, таблица 10.1.

6.5.7.11. Примерный перечень материалов для проведения ремонта искусственных покрытий аэродромов приведен в Приложении 10, таблицы 10.2-10.7.

6.5.8. Требования к отремонтированным участкам

6.5.8.1. Все отремонтированные участки покрытия любых типов по главным характеристикам не должны отличаться от основного покрытия.

6.5.8.2. Освидетельствование отремонтированного участка покрытия производится визуально и с помощью измерительных установок и инструментов. При визуальной оценке устанавливается сплошность поверхности: на отремонтированных участках не должно быть раковин, выбоин и других дефектов, ухудшающих условия эксплуатации.

6.5.8.3. Прочность на сжатие материала отремонтированного участка должна быть не меньше прочности материала основного покрытия. Несущая способность покрытия с отремонтированными участками должна быть не ниже проектного значения.

6.5.8.4. Ровность отремонтированного участка: просвет под трехметровой рейкой должен быть не более 3 мм в любом направлении, 2% результатов определений могут иметь значения просветов до 6 мм.

6.5.8.5. Превышение граней поверхности отремонтированного участка и смежных с ним участков основного покрытия не должно превышать 3 мм, 10% результатов определений могут иметь значения просветов в продольном направлении до 10 мм, поперечном до 6 мм.

6.5.8.6. Коэффициент сцепления пневматиков колес воздушных судов на отремонтированном участке, а также на участках укрепления бетона способом пропитки не должен отличаться от коэффициента сцепления с основным покрытием более чем на 10%, и быть не менее 0,45.

6.5.8.7. Толщина конструктивного слоя при замене участков плит должна соответствовать толщине заменяемого покрытия. Не более 5% результатов определений толщины могут иметь отклонения от проектных значений до минус 7,5%, остальные до минус 5%, но не более 10 мм.

6.5.8.8. На сопряжения "старого" и "нового" участков жесткого покрытия обязательно должны быть восстановлены существовавшие ранее деформационные швы. Ширина и глубина новых швов должна быть не менее ширины и глубины фактического раскрытия сохранившихся швов соседних участков, но не более 35 мм.

6.5.8.9. Для приемки отремонтированных участков должны быть представлены исходные документы:

паспорт применяемых ремонтных материалов;

сертификат качества или другой документ, разрешающий применение этих материалов для ремонта аэродромных покрытий;

гарантия исполнителя на определенный срок службы отремонтированного участка.

Составляется акт приемки в эксплуатацию отремонтированного покрытия с приложением перечисленных выше документов.

6.5.9. Ремонт цементобетонного покрытия. Подготовка поверхности цементобетонного покрытия

6.5.9.1. Подготовка поверхности выполняется с целью обеспечения высокой прочности сцепления ремонтных материалов с существующим покрытием. От тщательности подготовки поверхности зависит долговечность и надежность работы отремонтированного участка.

Требования к подготовке бетонной поверхности и способ производства работ устанавливаются в зависимости от степени разрушения и применяемых материалов для ремонта.

6.5.9.2. Подготовка поверхности заключается в:

очистке поверхности от пыли и грязи;

удалении различных загрязнений (пятен масла, краски и т.д.)

удалении слабого разрушенного слоя бетона;

промывке очищенной поверхности, продувке и высушивании (в случае применения ремонтных составов, которые нельзя укладывать на влажную поверхность).

6.5.9.3. Очистка покрытия от пыли и грязи производится механическими щетками поливомоечной машины и газовоздушной струей ветровой машины. Сильно загрязненные участки покрытия промываются водоструйной машиной и затем просушиваются ветровой машиной.

6.5.9.4. Удаление поверхностных разрушений, наплывов герметика, наслоений резины производится путем обработки поверхности шероховальной машиной или холодной фрезой, на глубину 1-3 мм. Обработанная поверхность очищается механическими щетками, промывается водой под давлением и высушивается с применением компрессора.

Загрязнения от пролитых ГСМ удаляются путем распыления веществ, растворяющих топливо и масла с последующим удалением продуктов реакции.

Очистка покрытий при поверхностных разрушениях и загрязнения, толщиной до 2 мм, распространенных на значительной площади, может быть выполнена с применением пескоструйного аппарата.

6.5.9.5. Отдельные глубинные разрушения покрытия перед их очисткой оконтуривают прямыми линиями параллельными швам покрытия, нарезаемыми алмазным диском. Не допускается запиливание за границы дефектного участка.

Из дефектных участков удаляют ослабленный бетон на глубину, равную глубине дефекта, но не менее требуемой толщины укладываемого слоя. Стенки вырубки должны быть вертикальными, дно горизонтальным.

Удаление бетона производится фрезерованием или с использованием маломощного ударного инструмента. Для облегчения работ во втором случае рекомендуется предварительно по площади дефектного участка нарезать пазы шагом 50-70 мм на глубину разрушения цементобетона.

Поверхность дефектного участка очищается от остатков бетона, пыли и грязи путем промывки водой под напором и продувки сжатым воздухом.

6.5.9.6. При вскрытии арматурных стержней в процессе подготовки бетонной поверхности не допускается их повреждение алмазными дисками. Минимальная глубина резанья бетона по периметру ремонтируемого участка в этом случае должна быть 20 мм, а максимальная не должна превышать толщину защитного слоя.

Вскрытые арматурные стержни должны быть полностью оголены, а зазоры между подготовленной поверхностью и стержнем должны быть не менее 10 мм при крупности заполнителя в ремонтном материала до 5 мм, и не менее 20 мм при крупности заполнителя более 5 мм.

Стальная арматура в армобетонных и железобетонных конструкциях, а также вновь устанавливаемые металлические элементы должны быть очищены от ржавчины, окалины и краски.

6.5.9.7. Окончательно поверхность ремонтируемого покрытия во всех случаях промывается струей воды под давлением. Перед нанесением ремонтных материалов на основе цемента излишки воды удаляются сжатым воздухом так, чтобы поверхность сцепления была только влажной (влажность поверхности не более 95%). В случае применения материалов на основе битума и полимеров поверхность должна быть тщательно высушена (влажность не более 4%).

6.5.9.8. Без тщательной подготовки поверхности дефектных участков покрытия укладка ремонтных материалов категорически запрещается.

Ремонт поверхностных (усадочных) трещин

6.5.9.9. Усадочные трещины в целях предотвращения развития их в глубокие, широкие и сквозные заделываются путем нанесения на всю площадь участка, на котором они расположены, сплошного слоя ремонтного материала.

6.5.9.10. Ремонтируемый участок предварительно тщательно очищают от пыли, грязи и других загрязнений в соответствии с пунктами 6.5.9.3-6.5.9.4.

6.5.9.11. После очистки участок промывается водой под давлением и высушивается, затем наносится ремонтный материал в виде высокодисперсной цементной суспензии или гидрофобизирующего пропиточного состава.

Ремонт сквозных трещин шириной менее 40 мм без обрушения кромок

6.5.9.12. Ремонт сквозной трещины в цементобетонном покрытии в случае, когда ее кромки не обрушены, и при ширине раскрытия трещины менее 40 мм осуществляется путем ее разделки и заливки герметизирующим материалом для швов аэродромных покрытий.

6.5.9.13. В верхней части трещины по ее контуру прорезается паз машиной для разделки трещин. Не допускается запиливание за контур трещины.

Размеры паза:

ширина 10-12 мм, глубина 30-36 мм - для трещин с шириной раскрытия до 10 мм;

ширина на 1-2 мм больше ширины раскрытия, глубина в 3 раза больше ширины паза - для трещин шириной раскрытия более 10 мм.

6.5.9.14. Сформированный паз промывают водой из водоструйной машины с рабочим давлением не менее 10 МПа, и продувают сжатым воздухом от компрессора с рабочим давлением не менее 0,7 МПа.

6.5.9.15. На дно паза укладывают уплотнительный термостойкий шнур с диаметром на 10% превышающим ширину паза трещины, при этом используют специальный колесный уплотнитель шнура.

6.5.9.16. Торцевые грани паза трещины грунтуют праймером.

6.5.9.17. После высыхания последнего в разделанную трещину вносят герметик. При заливке герметика внутренний диаметр выходящего сопла не должен превышать ширину подготовленной трещины. Приготовление герметика горячего применения осуществляется в котлах, оснащенных объемным обогревом, регулятором температуры и внутренним перемешиванием.

6.5.9.18. После остывания герметика его посыпают минеральным порошком для предотвращения налипания на пневматики самолетного шасси.

Ремонт сквозных трещин шириной более 40 мм или с обрушенными кромками

6.5.9.19. В случае когда, кромки трещины обрушены или ширина трещины более 40 мм, ремонт выполняется по типу ремонта сколов, в следующей последовательности:

маркировка и оконтуривание дефектного места;

удаление разрушенного бетона пневматическим инструментом с малой энергией удара;

очистка от остатков бетона, пыли и грязи путем промывки водой под напором и продувки сжатым воздухом;

установка гибкой опалубки для создания камеры под герметик;

установка анкерных стержней;

грунтование поверхности;

заполнение поврежденного участка ремонтным материалом на основе минерального вяжущего;

удаление мягкой опалубки после затвердевания ремонтного материала;

герметизация шва (запрессовка уплотнительного шнура, обработка праймером и заливка герметика).

Для герметизации трещин применяют герметизирующие материалы для швов аэродромных покрытий.

Ремонт разрушения верхнего слоя покрытия на глубину до 10 мм

6.5.9.20. Разрушение верхнего слоя покрытия глубиной до 5 мм консервируется путем обработки покрытия гидрофобизирующими пропиточными составами или устраиваются защитные коврики из материалов на основе полимерных связующих.

6.5.9.21. Ремонт разрушения верхнего слоя покрытия на глубину 5-10 мм производится путем устройства защитного коврика с использованием материалов на основе полимерных связующих.

6.5.9.22. Пропитка бетона при разрушении верхнего слоя до 5 мм производится в безветренную погоду при температуре окружающего воздуха не ниже +10°С.

Перед началом работ производят очистку покрытия от пыли и грязи в соответствии с пунктами 6.5.9.3, 6.5.9.4 и высушивают в случае необходимости.

Пропитку производят в два или три приема (в зависимости от пористости бетонной поверхности покрытия) с временным интервалом между каждой обработкой не менее 4 часов и с общим расходом 0,6 до 1,2 л/м2.

Для проведения защитной пропитки следует использовать поливомоечные машины, автополивоцистерну или окрасочные агрегаты.

Двух- и многокомпонентные составы готовят путем смешения компонентов в необходимой пропорции в соответствии с требованиями технологического регламента на конкретный материал в специальных емкостях или в емкости поливомоечной машины.

Если после окончания обработки величина коэффициента сцепления колеса с покрытием ниже требуемой, то гидрофобную пленку с поверхности цементобетонного покрытия снимают путем обработки ее тепловой машиной.

6.5.9.23. Ремонт разрушения верхнего слоя на глубину до 10 мм производится путем устройства защитного коврика с использованием материалов на основе полимерных связующих в следующей последовательности:

удаление ослабленного бетона и загрязнений, наплывов герметика, наслоений резины и очистка обработанной поверхности производиться в соответствии с пунктом 6.5.9.4;

нанесение праймера и ремонтного материала в соответствии с технологическим регламентом на каждый конкретный материал.

Ремонт разрушения верхнего слоя покрытия на глубину более 10 мм

6.5.9.24. Ремонт разрушения верхнего слоя на глубину более 10 мм производится путем замены разрушенной части плиты на глубину разрушения, используя ремонтный материал на основе минеральных вяжущих. Толщина укладываемого слоя должна быть не менее 50 мм, если в указаниях по применению конкретного материала не приведены другие ограничения. На РД и МС допускается использование асфальтобетона с толщиной слоя не менее 50 мм.

6.5.9.25. Если границы ремонтируемого участка совпадают со швом, то из паза шва следует удалить герметик и уплотнительный шнур на длину, превышающую ширину ремонтируемого участка на 50-100 мм. Для этого следует использовать специальные машины или стальные крючки.

6.5.9.26. Дефектные участки оконтуривают пазом, удаляют ослабленный бетон на глубину равную глубине дефекта, но не менее требуемой толщины укладываемого слоя, очищают поверхность от остатков бетона, пыли и грязи в соответствии с пунктами 6.5.9.5-6.5.9.7

6.5.9.27. Если границы ремонтируемого участка совпадают со швом, то следует сформировать паз шва, для чего по линии шва следует установить прокладку из материала, не имеющего адгезии с твердеющим ремонтным материалом. Толщина прокладки должна быть равной ширине шва на смежных участках.

6.5.9.28. Перед укладкой ремонтных смесей на горизонтальные и вертикальные поверхности ремонтируемого участка в случае необходимости наносят праймер согласно технологического регламента на применяемый ремонтный материал.

6.5.9.29. Укладку ремонтного материала следует производить при среднесуточной температуре воздуха не ниже +5°С и минимальной суточной температуре не ниже 0°С, если в указаниях по применению конкретного материала не приведены другие ограничения.

6.5.9.30. Перед укладкой ремонтных смесей поверхность должна быть влажной, но на ней не должно быть свободной воды.

6.5.9.31. Применение арматурной сетки и анкеров обуславливается видом ремонтного материала, глубиной разрушения и площадью ремонтируемого участка.

6.5.9.32. Приготовление ремонтных смесей на основе минеральных вяжущих следует производить в передвижных бетоносмесителях, емкостью 50-320 л, как правило, на месте производства ремонтных работ.

Ремонтные смеси должны иметь марку по удобоукладываемости не выше П2.

6.5.9.33 Распределение ремонтных смесей следует производить с учетом припуска на уплотнение, таким образом, чтобы поверхность ремонтируемого участка была заподлицо с поверхностью покрытия.

Уплотнение ремонтных смесей выполняют виброрейкой за 2-3 прохода по одному следу.

Окончательную отделку поверхности начинают немедленно после последнего прохода виброрейки и осуществляют в максимально короткие сроки.

6.5.9.34. При использовании ремонтных материалов, содержащих металлическую фибру, ее наличие после окончания отделки на поверхности не допускается.

6.5.9.35. За материалами на основе минеральных вяжущих следует осуществлять уход путем нанесения пленкообразующих материалов сразу после окончания отделки поверхности.

6.5.9.36. После затвердевания ремонтного материала следует удалить прокладку из шва и герметизировать его.

6.5.9.37. Укладку горячих асфальтобетонных смесей следует производить в сухую погоду при температуре окружающего воздуха не ниже 5°С.

Перед укладкой смеси поверхность вырубки следует обработать вязким битумом.

При укладке смеси в два или более слоя обработку битумом ранее уложенного слоя не производят, если он выполнен не ранее чем за двое суток до укладки вышележащего слоя.

Смесь в вырубку следует укладывать слоями 50-60 мм. смеси при укладке должна быть не ниже +120°С.

Смесь разравнивают лопатами, гладилками, граблями и послойно уплотняют катками или нагретыми металлическими трамбовками.

Ремонт раковин, выбоин и сколов кромок плит размером менее 50 мм

6.5.9.38. Ремонт раковин, выбоин и сколов кромок плит размером менее 50 мм производится путем заполнения их герметизирующими материалами.

6.5.9.39. Из раковин, выбоин и сколов кромок плит удаляют разрушившийся бетон при помощи отбойных молотков и перфораторов ударного действия.

6.5.9.40. Образовавшиеся углубления промывают водой и продувают сжатым воздухом от компрессора с рабочим давлением не менее 7 атм.

6.5.9.41. Грунтовка поверхности ремонтного участка выполняется в соответствии с требованиями технологического регламента по применению на конкретный герметизирующий материал.

6.5.9.42. Предварительно разогретый до рабочей температуры герметизирующий материал заливают в раковины, выбоины и сколы.

Ремонт раковин, выбоин и сколов кромок плит размером более 50 мм

6.5.9.43. Ремонт раковин, выбоин и сколов кромок плит размером более 50 мм производится путем замены разрушенной части плиты на глубину разрушения, используя ремонтные материалы на основе минеральных вяжущих.

На РД и МС допускается использование асфальтобетона.

6.5.9.44. Ремонт осуществляется аналогично ремонту разрушения верхнего слоя на глубину более 10 мм. Оконтуривание поврежденного участка, вырубка бетона на оконтуренном участке, очистка вырубленного участка от осколков бетона и пыли, промывка водой поверхности и продувка сжатым воздухом, устройство деформационного шва (в случае сколов кромок плит), нанесение грунтовок, укладка и разравнивание и уплотнение ремонтных смесей, уход за поверхностью бетонного покрытия производится в соответствии с пунктами 6.5.9.24-6.5.9.35.

Ремонт отколов углов, краев и разрушенных плит

6.5.9.45. Ремонт отколов углов, краев и разрушенных плит производится заменой разрушенной части или всей плиты на полную толщину товарным бетоном или ремонтными материалами на основе минеральных вяжущих.

Размеры заменяемой части плиты в плане должны быть не менее 1,5 м.

6.5.9.46. Удаление из покрытия разрушенных плит или частей плит производят таким способом, чтобы не повредить бетон смежных участков и основание. Первоочередной работой является резка заменяемого участка (плиты) на отдельные блоки на всю толщину с последующим их удалением автокраном с использованием цанговых захватов. Допускается разрушение поврежденных плит бетоноломами и отбойными молотками с удалением разрушенного бетона автопогрузчиками.

6.5.9.47. После извлечения разрушенного участка необходимо убедиться в целостности основания и в случае необходимости выполнить ремонт.

6.5.9.48. Основание покрытия следует тщательно очистить от остатков бетона и уложить на него разделительную прослойку из рулонных материалов типа битумизированной бумаги. Грани смежных плит и незаменяемой части плиты обрабатывают клеящим составом.

6.5.9.49. По контуру заменяемого участка следует, как правило, предусматривать устройство штыревого соединения со смежными участками покрытия.

Установку штырей по контуру заменяемого участка выполняют в заранее высверленные перфоратором отверстия диаметром на 1-2 мм больше, чем диаметр стержня. Штыри изготавливают из арматурной стали класса А-II.

6.5.9.50. Армирование заменяемых участков производят аналогично армированию существующего покрытия.

6.5.9.51. После бетонирования участка производят уход за свежеуложенным бетоном.

6.5.9.52. Деформационные швы на заменяемом участке следует устраивать по всему периметру, а также в местах швов существующего покрытия. Формирование пазов швов выполняют установкой прокладок до начала бетонирования или нарезкой швов в затвердевшем бетоне. Деформационные швы необходимо загерметизировать.

Ремонт уступов в швах

6.5.9.53. Ремонт уступов в швах выполняется двумя способами:

срезкой превышения;

заделкой пониженных мест ремонтными материалами.

6.5.9.54. Срезку кромок производят фрезерованием на ширину в 100 раз большую высоты уступа. Для этой операции применяют машины, рабочий орган которых - вал с набором алмазных дисков.

6.5.9.55. Устройство выравнивающего слоя выполняют из ремонтных материалов на основе минеральных вяжущих. На РД и МС допускается использовать асфальтобетон.

6.5.9.56. Для повышения прочности сцепления выравнивающего слоя с существующим покрытием по линиям их сопряжения (контуру участка укладки ремонтного материала) прорубают паз глубиной 20-30 мм и шириной не менее 50 мм, а на остальной части ремонтируемого покрытия делают насечку внутри контура с помощью нарезчика швов. При слабом бетоне верхний его слой на глубину 20-30 мм рекомендуется, предварительно разрушив, удалить.

6.5.9.57. Поверхность дефектного участка очищается от остатков бетона, пыли и грязи промывкой водой под напором и продувкой сжатым воздухом.

6.5.9.58. Грунтование и укладка выравнивающего слоя выполняются теми же способами, что и при устранении глубокого шелушения в соответствии с пунктами 6.5.9.27-6.5.9.35.

Ремонт просадок плит

6.5.9.59. Ремонт просадок плит выполняют заменой их на полную толщину или устройством выравнивающего слоя.

6.5.9.60. Размеры ремонтируемого участка следует определять по результатам геодезической съемки высотных отметок дефектного участка по углам плит и вдоль трещин, если таковые имеются.

6.5.9.61. В случае, когда деформации вызвавшие просадку стабилизировались, ремонт выполняют устройством выравнивающего слоя из материалов на основе минеральных вяжущих. На РД и МС допускается использовать асфальтобетон.

Технология ремонтных работ та же, что и при ремонте разрушения верхнего слоя покрытия на глубину более 10 мм в соответствии с пунктами 6.5.9.24-6.5.9.35.

6.5.9.62. Замену просевших плит покрытия выполняют путем их вскрытия с устранением причин образования просадки и восстановления плит покрытия. Замену плит выполняют в соответствии с требованиями пунктов 6.5.9.43-6.5.9.50.

6.5.9.63. Несущая способность восстановленного участка должна быть не ниже несущей способности существующего покрытия.

Герметизация швов

6.5.9.64. При подготовке швов к герметизации последние тщательно очищаются от старого заполнителя минитрактором с плужком с металлическим зубом переменной ширины (ширина зуба должна соответствовать ширине шва). Затем при необходимости швы разделываются нарезчиком швов с алмазными дисками со снятием фасок (при ширине шва менее 8 мм).

6.5.9.65. Очистка швов от грязи и выкрошившегося бетона производится металлическими щетками или нарезчиками швов с дисковыми щетками.

6.5.9.66. Расчищенные швы промывают водой, просушивают и обеспыливают сжатым воздухом от компрессора под давлением не менее 0,7 МПа.

6.5.9.67. На дно паза укладывают уплотнительный термостойкий шнур, с диаметром на 10% превышающим ширину паза шва. При этом используют специальный колесный уплотнитель шнура.

6.5.9.68. Боковые грани паза шва грунтуют праймером. После высыхания последнего в паз вносят герметик, при этом внутренний диаметр выходящего сопла заливщика швов не должен превышать ширину паза.

При необходимости герметик после остывания посыпают минеральным порошком для предотвращения налипания его на пневматики самолетного шасси.

6.5.9.69. Для разогрева и внесения герметиков горячего применения в швы используют плавильные заливочные устройства, основные параметры которых должны удовлетворять следующим требованиям:

рабочая температура разогрева герметиков должна регулироваться в диапазоне 110-180°С;

объемный обогрев и внутреннее перемешивание должны обеспечивать однородность плавления герметика;

время от начала разогрева герметика до момента внесения его в швы должно быть не более 3 часов;

должно обеспечиваться автоматическое выключение горелки при перегреве термального масла, автоматическое выключение мешалки при загрузке, электроподогрев шланга и аппликатора.

6.5.9.70. Герметизацию швов производят в сухую и безветренную погоду при температуре покрытия не ниже +5°С для герметиков горячего применения.

6.5.9.71. Швы заполняют на всю глубину заливки за один проход заподлицо с покрытием.

Соотношение глубины заливки шва к его ширине регламентируется технологией укладки на конкретный герметик.

Устройство компенсационных швов

6.5.9.72. Компенсационные швы устраивают при потере продольной устойчивости плит из-за температурного перенапряжения плит, с тем, чтобы исключить сколы и трещинообразование.

6.5.9.73. Компенсационные швы устраиваются по типу швов расширения перпендикулярно оси ВПП, таким образом, чтобы они не совпадали с имеющимися швами покрытия. Ширина швов и расстояние между ними определяется расчетом.

6.5.9.74. Нарезку швов производят нарезчиками с отрезными алмазными дисками диаметром не менее 800 мм при непрерывной подаче воды. Бетон режут поэтапно с глубиной каждого пропила 50 мм. Работы выполняют при положительных температурах в весенний или осенний период.

6.5.9.75. Удаление из швов бетона осуществляют вручную или трактором с тросом и крюком.

Швы промывают водой, просушивают и обеспыливают сжатым воздухом от компрессора.

6.5.9.76. На расчетную глубину укладывают в несколько слоев уплотнительный шнур, и швы заполняют герметиком холодного или горячего применения по предварительно огрунтованной поверхности.

6.5.9.77. При уменьшении ширины швов за счет обжатия покрытия, образовавшийся наплыв герметизирующего материала срезают и удаляют с покрытия.

Ликвидация оголения арматуры

6.5.9.78. Выходящая на поверхность арматура, особенно ее концы, является источником повышенной опасности для пневматиков колесных шасси проходящих по ним воздушных судов. Во избежание такой ситуации необходимо немедленно после обнаружения дефекта закрыть дефектный участок для движения до окончания производства ремонтных работ.

6.5.9.79. Ликвидация обнаруженного дефекта включает два этапа:

обрезка выходящих за плоскость поверхности покрытия концов арматуры заподлицо с неразрушенным бетоном;

заполнение образовавшейся выбоины быстротвердеющим ремонтным составом с выравниванием поверхности на уровне смежных плит покрытия.

6.5.9.80. Перед укладкой ремонтного состава место под него должно быть тщательно очищено от продуктов разрушения бетона, продуто сжатым воздухом, промыто водой, если последнее рекомендовано технологией на конкретный ремонтный материал.

6.5.9.81. Выбор ремонтного материала зависит от времени схватывания, которое необходимо для достижения им минимально допустимых прочностных характеристик (прочность на сжатие не менее 20 МПа).

Ремонт покрытий из сборных железобетонных плит

6.5.9.82. В качестве сборных плит применяются предварительно напряженные аэродромные плиты типа ПАГ.

6.5.9.83. Основным принципом ремонта сборного аэродромного покрытия из плит ПАГ является не ремонт каждой дефектной плиты в отдельности, а ее замена.

6.5.9.84. Отдельные небольшие дефекты сборных плит могут быть устранены без их замены: подготовка поверхности в соответствии с пунктами 6.5.9.1-6.5.9.8; устранение усадочных трещин в соответствии с пунктами 6.5.9.9-6.5.9.11; устранение поверхностного шелушения в соответствии с пунктами 6.5.9.20-6.5.9.23; ремонт раковин, выбоин, сколов кромок плит размером менее 50 мм в соответствии с пунктами 6.5.9.38-6.5.9.42 настоящего Руководства.

Разгерметизированные швы ремонтируют путем их очистки от остатков старого герметика, восстановления междушовного пескоцементного заполнителя и заполнения новым герметизирующим материалом, по технологическому регламенту на конкретный герметик.

6.5.9.85. Замена плиты обязательна при появлении поперечных сквозных трещин и при интенсивном выкрашивании бетона на поверхности покрытия (шелушении более 30 мм) и в районе монтажных скоб (сколы кромок плит более 50 мм), которое может привести к оголению арматуры.

6.5.9.86. Замена дефектных плит осуществляется плитами аналогичными существующему покрытию по марке и толщине в следующей последовательности:

расчищают кромки плиты по периметру от герметика;

расчищают монтажные скобы от заполнения;

разрезают автогеном стыковые скобы плит без нарушения скоб и закладных деталей соседних плит;

удаляют разрушенную плиту при помощи автокрана;

очищают образовавшееся "гнездо" от обломков бетона;

ремонтируют и уплотняют основание;

укладывают новую плиту автокраном на освободившееся место за два приема: пробным опусканием плиты (с подгонкой основания) и окончательной установкой плиты;

сваривают закладные детали вновь уложенной плиты и соседних плит;

герметизируют швы по периметру плиты по технологическому регламенту на конкретный герметик.

6.5.9.87. Плиты с нарушением вертикального положения, а также "хлюпающие" плиты, не имеющие поверхностных дефектов, подлежат перекладке в соответствии с пунктом 6.5.9.84. с исправлением основания.

6.5.10. Ремонт асфальтобетонного покрытия. Ремонт трещин

6.5.10.1. Для ремонта трещин используются материалы, обладающие эластичностью, водонепроницаемостью, температурной устойчивостью, а также имеющие хорошее сцепление с асфальтобетоном. К ним относятся битумно-полимерные герметики.

6.5.10.2. Ремонт осуществляется в сухую теплую погоду весной или осенью, преимущественно в первой половине дня, когда трещины наиболее раскрыты.

6.5.10.3. В зависимости от ширины и вида трещины ремонт осуществляется следующими способами:

консервация трещин без разделки (трещины шириной до 8 мм);

разделка трещин под шов (трещины шириной 8-35 мм);

ремонт трещин вставкой асфальтобетона с устройством деформационного шва (трещины всех типов шириной от 35 до 150 мм);

ремонт с устройством деформативных вставок с трещинопрерывающими прослойками (трещины со сколами кромок шириной более 150 мм).

6.5.10.4. Сетку мелких волосяных трещин, при отсутствии просадок, устраняют укаткой покрытия в жаркую погоду тяжелыми катками (гладковальцовыми или на пневматическом ходу массой 10-15 т), а также разливом по этому участку разжиженного или горячего битума с последующей присыпкой его песком или минеральным порошком в количестве 1 м3 на 10000 м2 и укаткой катками.

Консервация трещин шириной до 8 мм включает:

очистку трещин от пыли и грязи и продувку сжатым горячим воздухом;

грунтовку стенок трещин и поверхности покрытия вокруг них;

заполнение (заливка) трещин герметиком с превышением, чтобы заливочная масса пропитала микротрещины и образовала профилактическую защиту на асфальтобетоне в зоне ремонтируемой трещины;

присыпку заделанных трещин минеральным материалом и выравнивание.

6.5.10.5. Ремонт трещин шириной 8-35 мм с разделкой под шов включает следующие операции:

разделка трещин под шов с формированием паза фрезой с алмазными дисками;

очистка и просушка паза шва;

укладка уплотнительного шнура, диаметром превышающим в 1,2-1,5 раза максимальную ширину паза шва;

грунтовка паза шва праймером;

приготовление (разогрев) герметика;

заливка паза шва герметиком. Соотношение ширины и глубины заливки паза шва по технологическому регламенту на конкретный материал;

удаление при необходимости излишков герметика.

6.5.10.6. Ремонт трещин шириной 35-150 мм вставкой асфальтобетона состоит из подготовки ремонтного участка, укладки мелкозернистой асфальтобетонной смеси по типу и марке аналогичной покрытию и устройства деформационного шва.

Подготовка ремонтного участка включает:

вырубку или холодное фрезерование асфальтобетонного покрытия в месте трещины на ширину не менее 1 м и глубину верхнего слоя покрытия;

очистку поверхности и трещины нижнего слоя от пыли и грязи, продувку воздухом под давлением;

заливку трещины нижнего слоя герметиком горячего применения;

грунтование стенок и поверхности покрытия жидким или вязким битумом, битумной эмульсией;

разогрев кромок ремонтного участка.

Укладка асфальтобетонной смеси выполняется при малых площадях ремонтируемого участка вручную или асфальтоукладчиком, разравнивается лопатами, гладилками и уплотняется нагретыми металлическими трамбовками или малогабаритными виброкатками.

Устройство деформационного шва производится строго над существующей трещиной нижнего слоя с разделкой шва на ширину 10-12 мм, глубиной около 40 мм и последующей его герметизацией в соответствии с пунктом 6.5.10.5.

6.5.10.7. Ремонт трещин со сколами кромок шириной более 150 мм включает:

фрезерование асфальтобетонного покрытия в месте трещины на ширину не менее 350 мм и глубину верхнего слоя покрытия;

удаление поврежденного асфальтобетона, очистка дна и стенок, продувка горячим воздухом;

грунтовка дна и стенок покрытия праймером;

укладка над трещиной нижнего слоя трещинопрерывающей прослойки;

заполнение минерально-мастичной смесью;

посыпка фракционированным песком.

Устранение выкрашивания поверхности покрытия

6.5.10.8. Восстановление поверхности покрытия должно осуществляться с предварительным удалением дефектного асфальтобетона на глубину его разрушения или на толщину всего слоя в случае образования дефекта из-за плохого качества асфальтобетона.

6.5.10.9. Перед укладкой асфальтобетонной смеси необходимо подготовить ремонтный участок: удалить разрушенный асфальтобетон, очистить от пыли и грязи, продуть воздухом под давлением, прогрунтовать стенки и поверхность покрытия жидким или вязким битумом.

6.5.10.10. Вновь укладываемый асфальтобетон должен быть аналогичен существующему по типу и марке.

6.5.10.11. Укладка горячей асфальтобетонной смеси выполняется асфальтоукладчиком, уплотняется - виброкатками. Укладку горячих асфальтобетонных смесей следует производить в сухую погоду при температуре окружающего воздуха весной и летом не ниже +5°С, осенью не ниже +10°С. Температура асфальтобетонной смеси - не ниже +120°С.

Устранение поверхностных деформаций и разрушений (волн, сдвигов и колеи)

6.5.10.12. Способы устранения волн, сдвигов и колеи на асфальтобетонном покрытии зависят от размеров и характера их деформации.

6.5.10.13. При отсутствии разрывов в покрытии эти дефекты устраняют укаткой от краев к середине с перекрытием следов проходов катка на 20-25 см. Укатку производят в жаркую погоду или по предварительно разогретому покрытию катками массой 10-15 тонн.

6.5.10.14. Большие по площади и высоте волны, бугры и сдвиги фрезеруют или вырубают на всю толщину покрытия. После исправления основания с устройством шероховатой поверхности, стенки основания грунтуют жидким или вязким битумом и укладывают асфальтобетонную смесь с учетом осадки на уплотнение согласно пунктам 6.5.10.10-6.5.10.11.

Ремонт выбоин

6.5.10.15. При заделке выбоин в качестве ремонтных материалов используют плотные горячие и холодные мелкозернистые асфальтобетонные смеси.

В качестве временной меры при оперативном ремонте допускается применять литой асфальтобетон.

6.5.10.16. Ремонт покрытия с использованием горячих асфальтобетонных смесей выполняют в сухое время при температуре воздуха не ниже +5°С.

6.5.10.17. Холодные смеси, и литой асфальтобетон допускается применять при пониженной температуре воздуха до -5°С.

6.5.10.18. Подготовка ремонтируемого участка покрытия включает:

оконтуривание поврежденного участка прямыми линиями вдоль и поперек осей элементов летного поля с захватом неразрушенного слоя покрытия на 30-50 мм, при этом несколько близко расположенных выбоин объединяют одним контуром;

вырубку или холодное фрезерование асфальтобетона в оконтуренном участке на всю глубину выбоины, но не менее чем на 20-30 мм, боковые стенки должны быть вертикальными. При ремонте выбоин на двухслойном покрытии, когда сцепление верхнего слоя с нижним слоем ослаблено, покрытие вырубают на толщину слоя, а если разрушение распространилось и на нижний слой, то на всю толщину покрытия;

очистку дна и стенок ремонтного участка от мелких кусков, крошек и пыли;

обработку дна и стенок тонким слоем вязкого битума или битумной эмульсии. Избыточная смазка битумом, как и недостаточная отрицательно сказываются на качестве сцепления нового слоя покрытия со старым покрытием.

6.5.10.19. На подготовленное место (вырубку) укладывают ремонтный материал слоями по 50-60 мм, с учетом коэффициента запаса на уплотнение, асфальтоукладчиком или вручную при малой площади ремонтируемой поверхности.

6.5.10.20. Уплотнение уложенной смеси производят виброплитами или малогабаритными виброкатками, на малых площадях 0,2-1,0 м2 с помощью трамбовки или предварительно нагретыми ручными металлическими катками. Смесь уплотняют от краев к середине.

6.5.10.21. Отремонтированные участки должны быть на уровне примыкающего асфальтобетонного покрытия.

Ремонт участков с просадками и проломами

6.5.10.22. Размеры ремонтируемого участка определяются по результатам геодезической съемки высотных отметок дефектного участка.

6.5.10.23. Ремонт участков с просадками и проломами выполняется в следующей последовательности:

очерчивают границы пролома или просадки;

в пределах контура вырубают асфальтобетон;

разбирают искусственное основание;

проверяют подстилающий грунт, который в зависимости от состояния укрепляют вяжущими материалами или заменяют на другой, более устойчивый;

восстанавливают искусственное основание;

укладывают асфальтобетонную смесь слоями 50-60 мм в соответствии с пунктам 6.5.10.10-6.5.10.11.

6.5.10.24. Проломы, возникающие в результате пучения подстилающих грунтов, ремонтируют только после устройства нового искусственного основания с термоизолирующим слоем.

Устранение уступов в швах и трещинах

6.5.10.25. Уступы в швах и трещинах должны устраняться фрезерованием выступающей части покрытия или устройством переходных пандусов, уклоны которых не должны превышать 1%.

6.5.11. Контроль качества выполнения работ

6.5.11.1. Контроль качества ремонтных работ должен обеспечивать систематическое наблюдение за выполнением работ в целях выяснения и обеспечения соответствия выполняемых работ и применяемых материалов и конструкций требованиям проекта.

6.5.11.2. При выполнении ремонтных работ следует осуществлять входной, операционный и приемочный контроль качества.

6.5.11.3. Входной контроль заключается в проверке качества поступающих на объект ремонтных материалов. У всех материалов, поступающих на объект, проверяют целостность упаковки и срок хранения с момента изготовления.

При нарушении целостности упаковки материалов на основе минеральных вяжущих веществ их применение не допускается.

После истечения гарантийного срока хранения использование материалов допускается только после лабораторных испытаний, подтверждающих соответствие свойств материалов каждой партии требованиям технических условий.

6.5.11.4. Операционный контроль осуществляется в ходе производственных операций и должен обеспечивать своевременное выявление нарушений и причин их возникновения и принятие мер по их устранению и предупреждению.

В ходе выполнения ремонтных работ операционному контролю подлежат все технологические операции по каждому виду работ. Регламент операционного контроля качества устанавливается с учетом вида применяемых материалов и технологических решений по ремонту покрытия.

6.5.11.5. Приемочный контроль осуществляется технической службой совместно с исполнителем работ в целях проверки и оценки качества восстановленного покрытия или отдельных участков.

6.5.11.6. Контроль качества материалов, конструкций и выполненных работ осуществляется путем их сплошной или выборочной проверки, вскрытия в необходимых случаях ранее выполненных скрытых работ, а также испытания восстановленных участков покрытий неразрушающими методами контроля, пробными нагрузками и иными способами в целях сопоставления с требованиями проекта и нормативных документов.

6.5.11.7. Требования, которые необходимо выполнять при ремонтных работах и контролировать при операционном контроле, объемы и методы контроля следует принимать по Приложению 12 (таблицы 12.1-12.3).

6.5.11.8. При приемочном контроле производят оценку параметров отремонтированных участков покрытия в соответствии с Приложением 12 (таблица 12.4).

6.6. Содержание и текущий ремонт грунтовых частей летного поля

6.6.1. К грунтовым частям летного поля аэродрома относятся:

грунтовая взлетно-посадочная полоса (ГВПП);

боковые полосы безопасности (БПБ);

концевые полосы безопасности (КПБ);

территория между БПБ и магистральной рулежной дорожкой (МРД);

территория между боковой полосой безопасности (БПБ) и ограждением территории аэродрома; территории прилегающие к местам стоянок самолетов (МС) и наладочно-испытательным площадкам (НИП), а также все остальные территории не имеющие искусственных покрытий.

6.6.2. Содержание и ремонт грунтовых частей летного поля в летний период включает:

проверку и обеспечение надлежащей ровности, прочности и плотности грунтов на рабочих элементах летного поля;

проведение мероприятий по обеспыливанию и уборке с поверхности посторонних предметов;

обеспечение водоотвода с поверхности летного поля и поддержание в исправном состоянии дренажно-водосточных систем;

проведение комплекса агротехнических мероприятий и улучшение состояния дернового покрова летного поля;

проведение мероприятий по сокращению нелетного периода;

обновление аэродромных маркировочных знаков.

6.6.3. Состояние грунтовой взлетно-посадочной полосы, боковых и концевых полос безопасности должно отвечать возможности эксплуатации ее определенными типами воздушных судов, базируемых на аэродроме. Не допускается эксплуатация ее судами массой больше расчетной, в данный период года.

6.6.4. Поверхность ГВПП, КПБ и БПБ должна быть однородной по прочности грунтов, тщательно спланированной и не иметь колей, впадин и других неровностей.

Контроль ровности поверхности грунтовых частей летного поля заключается в выявлении микронеровностей (колеи, выбоины, блюдца и т.п.) и мезонеровностей (изменение профиля поверхности в виде волнистости, образования бугров и впадин на участках длиной до 40 м), превышающих предельно допустимые значения, указанные в таблице 6.2.

Таблица 6.2. - Контроль ровности поверхности грунтовых частей ЛП

Эксплуатируемый тип воздушных судов

Неровности под трехметровой рейкой, см

Разность смежных уклонов при расстоянии между точками измерения отметок, м

5

10

20

Транспортные

15

0,040

0,030

0,020

Другие типы

10

0,030

0,022

0,015

 

6.6.5. Наличие микронеровностей выявляют визуально. Величина отдельных неровностей измеряется просветом под трехметровой рейкой. При микронеровностях более допустимых значений, указанных в таблице 6.2, грунтовая поверхность должна ремонтироваться.

6.6.6. Мезонеровности определяются нивелирной съемкой профиля поверхности по характерным направлениям дефектного участка.

6.6.7. Контроль ровности поверхности производится весной после полного оттаивания грунта, а также после ремонта грунтовой поверхности летного поля.

6.6.8. Прочность грунта (s) - способность грунта выдерживать нагрузку от колес самолетов, зависит от влажности, гранулометрического состава, степени уплотнения грунта и должна проверяться весной и осенью, во время распутицы, летом - в период дождей, после ремонта и в случае изменения состояния грунта.

Контроль прочности грунта должен осуществляться в сроки, указанные в Приложении 13, таблица 13.2.

6.6.9. Под проходимостью воздушного судна по грунту понимается его способность стронуться с места на тяге собственных двигателей с грунта минимальной прочности для данного типа самолета и в пределах ГВПП набрать скорость, достаточную для отрыва, с обеспечением устойчивости в начальный период разбега.

Проходимость воздушных судов по грунту характеризуется:

минимальной прочностью (sстрmin) без дернового покрова, при которой воздушное судно может стронуться с места, производить руление, разбег и пробег с образованием колеи максимально допустимой глубины (Hmax);

эксплуатационной прочностью (sэкспл.), равной или выше sстрmin, при которой образуется колея эксплуатационной глубины (Нэкспл.), необходимая для сохранения дернового покрова.

Для каждого типа воздушного судна существуют свои значения прочности грунта и глубины колеи.

6.6.10. Эксплуатация воздушных судов на грунтах минимальной прочности sстрmin разрешается только на грунтовых аэродромах без дернового покрова, поскольку образующаяся колея Hmax разрушает дерновый покров. Исключение составляет только те воздушные суда, для которых sстрmin=sэкспл.

6.6.11. Эксплуатационная глубина колеи Нэкспл. зависит от размеров колес главных опор воздушных судов и определяется из условий сохранения дернового покрова. В тех случаях, когда Нэкспл. больше или равна Hmax, полеты воздушных судов могут производиться на грунтовых аэродромах с дерновым покровом при минимальной прочности грунта.

6.6.12. Колеи, образующиеся при полетах воздушных судов аэродромов, имеющих прочность грунта выше эксплуатационной sэкспл., могут быть исправлены укаткой катками с пневматическими шинами или металлическими катками без разрушения дернового покрова.

Заделка колей глубиной более Нэкспл. на грунтах прочностью ниже sэкспл. должна производиться сразу же после окончания полетов.

6.6.13. Определение прочности грунта производится с помощью ударника типа У-1 по методике, изложенной в Приложении 13, или пробным рулением нагруженного самолета со скоростью 8-15 км/ч с последующим измерением глубины колеи. По глубине колеи конкретного типа самолета устанавливается условная прочность грунта, которая используется для определения возможности взлета или посадки.

6.6.14. Плотность грунта в значительной степени обуславливает его прочность, а также устойчивость к воздействиям погодно-климатических факторов.

Коэффициент уплотнения грунтов (отношение величины фактической плотности грунта к величине его максимальной плотности) на глубину до 30 см должен быть не менее:

на стартовых участках ГВПП, местах опробования двигателей, путях руления: для песков и супесей - 0,95, для суглинков и глин - 1,00;

на средних участках ГВПП и остальных грунтовых элементах летной полосы, а также для насыпных грунтов на летном поле, не входящих в летную полосу - 0,90 и 0,95 соответственно.

Коэффициент уплотнения грунтов на глубину до 55 и до 70 см может быть снижен не более чем на 5 и 15% соответственно.

6.6.15. Грунты рекомендуется уплотнять при оптимальной влажности, при которой достигается максимальная плотность средствами уплотнения при минимальных затратах. Допустимые отклонения влажности грунта не должны превышать 0,8-1,1 величины его оптимальной влажности.

При недостаточной влажности уплотнение грунтов потребует использование более тяжелых катков, а при избыточной влажности - времени на просушку или применения различных катков с постепенным переходом от легких к тяжелым.

6.6.16. Число проходов катков по одному следу рекомендуется ориентировочно принимать согласно таблице 6.3.

Таблица 6.3. - Число проходов катков по одному следу

Толщина уплотнения, см

Песчаные и супесчаные грунты

Суглинистые и глинистые грунты

коэффициент уплотнения

ориентировочное число проходов катков

Коэффициент уплотнения

ориентировочное число проходов катков

гладких металлических

на пневматических шинах массой 10-50 т

гладких металлических

на пневматических шинах массой 10-50 т

30

0,95

5

5

1,00

12

8

25

0,90

4

3

0,95

10

7

Примечания:

1. Тип грунта определяется на основе данных лабораторного анализа его гранулометрического состава, а в полевых условиях - приближенным способом по методу Красюка (Приложение 13, таблица 13.3);

2. Катки массой 25-50 т применяются на грунтах с влажностью ниже оптимальной.

 

6.6.17. Объем выполняемых измерений прочности и плотности должен быть не менее, чем в трех точках на поперечнике грунтовой части летного поля на каждые 2000 м2. При этом поперечник размещают не реже, чем через 50 м.

Качество уплотнения грунта контролируется сравнением его фактической плотности с максимальной (коэффициент уплотнения).

6.6.18. Прочность уплотненного грунта определяется выборочно, прежде всего, в тех местах, где первоначальная ее величина (перед уплотнением) была наименьшей. Определение прочности производится не раньше чем через 5-6 часов после завершения работ по уплотнению грунта. При этом учитывается, что последующие 1-4 суток после уплотнения грунта его прочность обычно возрастает на значение до 2 кгс/см2.

6.6.19. Если по результатам контроля качества работ по уплотнению грунта обнаруживаются участки летного поля с недостаточной плотностью или прочностью грунта, то принимаются необходимые меры по дополнительному его уплотнению.

6.6.20. Грунтовая летная полоса считается пригодной к эксплуатации, если:

средняя прочность грунта на летной полосе не ниже допустимой величины (smin) для данного типа воздушного судна;

отсутствуют участки протяженностью более 10 м со средней прочностью грунта менее 0,6min;

неровности не превышают значений, приведенных в таблице 6.2.

Содержание и ремонт грунтовых частей летного поля аэродрома без дернового покрова

6.6.21. Содержание и ремонт грунтовых частей летного поля без дернового покрова предусматривает планировку, исправление микрорельефа, заделку колей и уплотнение грунта укаткой на отдельных участках и элементах летного поля.

6.6.22. Планировочные работы выполняются с целью придания грунтовой поверхности ровности, отвечающей требованиям безопасности полетов, и уклонов, обеспечивающих отвод атмосферных и паводковых вод.

На аэродромах, грунты которых имеют каменные включения (гравий, щебень), необходимо систематически производить планировку поверхности с последующим увлажнением, укаткой тяжелыми гладкими металлическими катками и удалением несвязных камней во избежание повреждения самолетов.

6.6.23. Исправление микрорельефа производится по мере накопления неровностей, если они не превышают допустимых, и немедленно, если выбоины, бугры, просадки и т.п. представляют опасность для полетов.

Микрорельеф исправляется путем срезки, перемещения и перераспределения минимальных объемов грунта в пределах 10-12 см толщины поверхностного слоя.

6.6.24. Уплотнение грунтов до определенной плотности производится после планировки и исправления микрорельефа катками на пневматических шинах, либо гладкими металлическими катками в соответствии с пунктами 6.6.14-6.6.19.

6.6.25. На грунтовых частях летного поля аэродрома без дернового покрова происходит значительное выдувание грунта от работающих двигателей воздушных судов. Наибольшей эрозией обладают несвязные грунты с размерами частиц 0,1-0,15 мм.

6.6.26. При выборе наиболее рационального способа обеспыливания для конкретных условий рекомендуется учитывать срок использования грунтового летного поля аэродрома, продолжительность обеспыливающего действия, наличие соответствующих механизмов и материалов для производства работ.

Снижение пылеобразования достигается:

уменьшением степени воздействия на грунт аэродинамических и механических нагрузок путем устройства различного рода искусственных покрытий или созданием дернового покрова;

поддержанием структурного и влажностного режима грунта, который обеспечивал бы его связность и отсутствие структурной и механической эрозии;

введением различных вяжущих веществ для укрепления грунта и стабилизации.

6.6.27. На стартовых участках летной полосы, наиболее подверженных воздействию воздушных потоков и колес воздушных судов, можно применять наиболее доступный метод - поливку водой с расходом 0,5-0,8 л/м2.

6.6.28. Для обеспыливания рекомендуется использовать способ укрепления грунта известью, которую можно вносить в виде пушонки или известкового молока в соотношении 1:4-1:5 в количестве 3-5% от массы грунта обрабатываемого слоя или применять хлористый кальций с расходом 1 кг/м2 на каждые 10 см толщины обрабатываемого слоя.

6.6.29. На грунтовых частях летного поля аэродрома для борьбы с пылимостью можно применять следующие материалы и вяжущие вещества:

гигроскопические соли;

отходы целлюлозно-бумажной промышленности;

различные минеральные и органические вяжущие.

6.6.30. Наиболее эффективными в борьбе с пылимостью грунтов являются органические вяжущие материалы: битумы, сырая нефть, битумные эмульсии и маслобитумные вяжущие. Норма розлива органических вяжущих составляет ориентировочно: для сырой нефти 3 л/м2, битумных эмульсий 2-3 л/м2, разбавленной битумной пасты 6-8 л/м2, разжиженного битума 3 л/м2, маслобитумного вяжущего 3-4,5% от массы сухого супесчаного и суглинистого грунта.

6.6.31. Технология производства работ при обработке грунтов для обеспыливания включает в себя следующие операции:

разрыхление, выравнивание и планировку участка;

приготовление и розлив (внесение) вяжущего на обрабатываемый участок;

уплотнение обработанного слоя грунта, если это требуется.

Выравнивание и планировка обрабатываемого участка производятся автогрейдерами, при этом спланированный участок не должен иметь уклоны свыше 20% и неровности более 6 см глубиной.

Розлив органических вяжущих производится, как правило, автогудронаторами, а битумных эмульсий - с помощью навесных дождевальных установок равномерно по всей обрабатываемой площади. Слой пропитки должен быть не менее 25-30 мм, а там, где он оказался менее указанной толщины, необходимо обработку осуществлять повторно.

Содержание и ремонт грунтовых частей летного поля аэродрома с дерновым покровом

6.6.32. Несущая способность грунтового летного поля повышается в среднем на 4-5 кгс/см2 при создании и сохранении дернового покрова (верхний слой почвы с многолетней дернообразующей (густо переплетенной корнями) растительностью).

6.6.33. Дернина должна удовлетворять следующим требованиям:

иметь густоту травостоя и плотное сплетение корневищ на глубину не менее 12-18 см;

обладать связностью, упругостью и устойчивостью к истиранию;

иметь высоту травостоя не более 30 см, а после скашивания не менее 8 см.

6.6.34. Качество дернового покрова должно отвечать нормативным требованиям, приведенным в таблице 6.4.

Таблица 6.4. - Качество дернового покрова

Нормативные требования

Значение нормативных требований

Метод контроля

Плотность дернового покрова (число побегов растений на участке площадью 400 см2) при преобладании трав с характером роста:

 

 

низовым

200-300 шт.

Подсчет числа побегов

верховым

100-200 шт.

-"-

Примечание - В случае неблагоприятных погодных условий допускается плотность с числом побегов 100 шт. для трав с низовым характером роста и 50 шт. - с верховым.

 

6.6.35. Уход за дерновым покровом состоит из следующих работ:

прочесывания травостоя и разравнивания мелких неровностей;

прикатывания дернового покрова;

подкормки трав минеральными удобрениями;

искусственного водополива травяной растительности;

скашивания трав и уничтожения сорняков;

борьбы с грызунами.

6.6.36. Прочесывание дернового покрова производится, как правило, весной на старых посевах с густым травостоем для удаления отмерших растений и улучшения аэрации почвы. Прочесывание выполняется за два прохода по одному следу легкими зубовыми боронами или механическими граблями.

6.6.37. Прикатывание дернового покрова производится ранней весной для повышения несущей способности, ускорения просыхания, усиления кущения низовых злаковых трав, устранения кочек, колейности и других деформаций. Прикатывание выполняется 2-4 проходами 5-тонных катков на супесчаных грунтах и 10-тонных - на суглинистых при влажности больше оптимальной на 2-3%.

6.6.38. Подкормку дернового покрова надо производить весной и летом после первого скашивания травостоя, внося каждый раз половинную норму подкормки. В районах с недостаточным количеством осадков в летне-осенний период подкормку следует производить только ранней весной.

Количество удобрений зависит от состояния почвы и травостоя. Удобрения равномерно распределяются по поверхности участка с дерновым покровом.

6.6.39. В сухое время года, а также в засушливых районах для усиления роста трав рекомендуется искусственный водополив. Рекомендуемая норма полива - не менее 200 м3/га.

6.6.40. Скашивание травостоя рекомендуется выполнять не менее чем 2 раза в год. Первое скашивание делается при достижении растениями высоты 30 см, второе - осенью до наступления заморозков. Высота травостоя при скашивании должна быть 8-10 см.

6.6.41. Сорняки дернового покрова уничтожаются скашиванием, выкорчевыванием и обработкой гербицидами.

Сорняки скашиваются до начала их обсеменения и сжигаются за пределами летного поля. Многолетние сорняки (имеющие глубокие стержневые и разветвленные корни), а также деревья и кустарники выкорчевываются с предварительным резанием корней.

Обработку травостоя гербицидами рекомендуется производить в утренние или вечерние часы при скорости ветра не более 4 м/с в ясную погоду.

6.6.42. Необходимо систематически вести борьбу с грызунами одним из возможных способов (механическим, бактериологическим и химическим).

6.6.43. Ремонт дернового покрова заключается в восстановлении густоты травостоя на изреженных участках или задернением участков полного оголения.

6.6.44. Дерновой покров с изреженным травостоем должен быть восстановлен в зависимости от степени изреженности: сильно изреженный покров с травостоем, имеющим менее 15% ценных трав; средне изреженный - от 15 до 35% и слабо изреженный - более 35%. Рекомендуемая технология восстановления дернового покрова на участках с сильно и средне изреженным травостоем предусматривает следующие виды работ: внесение удобрений, разрыхление почвы дисковыми культиваторами или почвенными фрезами на глубину 3-5 см; разбрасывание семян трав, наиболее приспособленных к природным условиям аэродрома с заделкой их боронами "зиг-заг" в 2-3 раза по одному следу и последующее прикатывание 3-тонными катками.

На слабо изреженных участках достаточно производить только подкормку растений удобрениями.

Отремонтированные участки не рекомендуется эксплуатировать в течение 2-3 месяцев до восстановления травостоя и создания прочной дернины.

6.6.45. При подсеве и оздоровлении старой дернины должны быть соблюдены два условия: временное ослабление жизнеспособности старых вегетативно возобновляющихся трав и максимальное улучшение водно-воздушно-пищевого режима среды для укоренения подсеянных трав. Первое достигается боронованием или дискованием дернины дочерна, а второе - частично этой же обработкой и частично внесением удобрений, и при необходимости орошением или осушением почвы. Удобрение в таких случаях вносится в полных нормах.

Подсев семян должен быть произведен немедленно после обработки дернины. Запоздалый подсев, вследствие быстрого восстановления жизнедеятельности старых трав, может оказаться неэффективным.

6.6.46. Образовавшиеся колеи устраняется сразу же после полетов:

колеи глубиной до 6 см устраняют прикатыванием металлическими гладкими катками массой 3-5 т при влажности грунта, близкой к оптимальной;

колеи, выбоины и блюдца глубиной до 15 см засыпают местным грунтом с предварительным рыхлением основания на глубину до 5 см;

колеи, выбоины и блюдца глубиной более 15 см засыпают обычным рыхлым грунтом, а затем растительным грунтом слоем 10-12 см.

При глубинах колей и выбоин до 20 см уплотнение грунта производится в один слой, а при глубине более 20 см - в два слоя.

Не допускается засыпать выбоины и колеи песком, щебнем, шлаком или другими сыпучими материалами, отличающимися от грунтов летной полосы.

6.6.47. Задернение колей и выбоин производят засевом семенами трав или путем пересадки заранее заготовленной дернины.

Посев производится семенами той же травосмеси, которая произрастает на летном поле аэродрома с поливом водой из расчета не менее 20 л/м2.

Пересадка дернины производится на подготовленные участки. При небольшой площади участок должен иметь форму прямоугольного корыта с вертикальными стенками глубиной на 1-2 см меньше высоты пластов дернины, с таким расчетом, чтобы после укатки или трамбовки (на малых участках) дернины поверхность ее была на одном уровне с поверхностью смежных участков. На участках пересадки дернины вносятся удобрения, затем она плотно укладывается и прикатывается 3-5-тонными катками.

Отремонтированные путем пересадки дернины покрытия можно эксплуатировать сразу после окончания работ. Однако хорошее приживание пластов дернины к основанию и друг к другу достигается при выдерживании определенного срока, который в зависимости от климатических условий, времени пересадки, качества дернины и производства работ составляет 0,5-1,5 месяца.

Наилучшей дерниной для пересадки считается дернина из низовых трав: овсяницы красной, мятлика лугового и т.п.

6.6.48. При гибели травостоя грунт в этих местах рекомендуется разрыхлить, внести минеральные удобрения и засеять травосмесью. Если верхний слой грунта сильно пропитан ГСМ, его следует заменить на глубину 20-30 см новым, засеять или покрыть дерном.

6.6.49. Аэродромная травосмесь подбирается из 3-7 видов трав, наиболее подходящих для данных условий. Примерный состав травосмесей приведен в Приложении 14.

Окончательный состав травосмесей корректируется с учетом местоположения аэродрома, общей характеристики почвенно-климатической зоны и географического района.

6.6.50. Для сохранения дернового покрова одним из основных мероприятий является равномерная эксплуатация летного поля с переносом старта по мере износа дернового покрова с периодичностью 5-15 дней.

Особенности содержания грунтовых частей летного поля в период весенне-осенней распутицы

6.6.51. Нелетные периоды возникают в течение распутицы из-за сильного переувлажнения верхних слоев грунта и снижения его прочности. Распутицы различают: продолжительные распутицы по времени (осенние и весенние) и кратковременные - летние. В южных районах распутица может продолжаться в течение всего зимнего периода с небольшими перерывами, а в районах Крайнего Севера - в течение лета.

6.6.52. Осенняя распутица возникает из-за частых дождей и понижения среднесуточной температуры воздуха, когда грунт переувлажняется и переходит в пластичное или даже текучее состояние.

6.6.53. Весенняя распутица начинается сразу после схода снежного покрова и оттаивания верхнего слоя грунта. Дополнительное увлажнение грунта происходит от весенних дождей.

6.6.54 Летняя распутица может наступить при затяжных дождях, когда количество осадков достигает 40-70 мм, в особенности, когда дожди совпадают с понижением температуры.

6.6.55. Период распутицы считается нелетным, когда прочность грунтов летной полосы становится ниже  для аэродромов без дернового покрова и ниже sэкспл. для аэродромов с дерновым покровом.

6.6.56. Улучшение эксплуатационного состояния грунтовых частей летного поля обеспечивается:

созданием хорошего дернового покрова, способствующего более быстрому высыханию грунта;

уплотнением грунтов до определенной плотности, снижающей просачивание влаги в грунт;

осушительными мероприятиями на участках с неблагоприятными гидрогеологическими условиями и рельефом местности, а также защитой территории аэродрома от притока ливневых и талых вод с прилегающих участков.

Обновление маркировочных знаков

6.6.57. Обновление маркировочных знаков должно проводиться не менее двух раз в год, и, как правило, - весной и осенью.

Переносные маркировочные знаки ремонтируются по мере разрушения или износа их конструкции с обновлением окраски.

Для очистки маркировочных знаков рекомендуется применять моющие (мыльные) растворы.

6.7. Содержание и ремонт водоотводных и дренажных систем

6.7.1. Водоотводные и дренажные системы аэродромов предназначены для:

защиты территории аэродрома от притока воды, стекающей со смежных водосборов и ближайших водоемов при подъеме уровня воды;

сбора и отвода поверхностных вод из замкнутых понижений летного поля, а также вод, стекающих с покрытий и прилегающих к ним грунтовых водосборов, за границы аэродрома;

понижения уровня грунтовых вод;

отвода избыточных вод из дренирующих оснований искусственных покрытий.

6.7.2. Водоотводные и дренажные системы включают следующие элементы: нагорные канавы, открытые лотки в покрытиях, грунтовые лотки, смотровые, дождеприемные и тальвежные колодцы, коллекторы, дренирующие слои, закромочные дрены, трубчатые перепуски и осушители и т.д.

Содержание водоотводных и дренажных систем

6.7.3. Водоотводные и дренажные системы на аэродромах должны постоянно находиться в исправном состоянии и обеспечивать сбор и отвод воды с обслуживаемых ими площадей. Повреждение или засорение водоотводных и дренажных систем приводит к явлениям подтопления, размыва, просадок и заболачиванию участков летного поля.

Отсутствие нормальной работы системы способствует разрушению искусственных аэродромных покрытий, их оснований, выходу из строя грунтовых летных полос и разрушению самих водоотводных устройств.

6.7.4. Водоотводная дренажная система должна поддерживаться в эксплуатационной готовности, осматриваться и систематически ремонтироваться.

Надежность работы систем обеспечивается их защитой от повреждений и засорения. Смотровые колодцы на системах должны быть постоянно закрыты и открываться только для наблюдения за работой систем или при их ремонте и очистке. Не разрешается без специального проекта проводить земляные работы вблизи водоотводных и дренажных систем и возводить какие-либо сооружения по их трассам.

6.7.5. Регулярный осмотр водоотводных и дренажных систем производится осенью - при подготовке систем к зиме (до начала заморозков), весной - вслед за окончанием снеготаяния и в летнее время - после выпадения сильных дождей (ливней).

Осмотру подлежат все незаглубленные (открытые) элементы систем и сооружения на системах, а также поверхность грунта и покрытий над заглубленными элементами и сооружениями. Кроме того, весной вскрываются для осмотра и очистки все смотровые колодцы, в том числе и с заглубленными крышками.

В процессе осмотра систем фиксируются их повреждения, заиливание и засорение. С учетом результатов осмотров и требований ухода за системами организуется содержание и ремонт водоотводных устройств.

6.7.6. Осенью, начиная за 1-1,5 месяца до наступления зимнего сезона, проводится подготовка водоотводных и дренажных систем к зиме. С этой целью выполняются работы по ремонту, очистке и защите водоотводных устройств от заноса снегом.

Для защиты водоотводных устройств от заноса снегом под решетчатые крышки дождеприемных и тальвежных колодцев укладываются деревянные щиты или металлические листы.

Оголовки коллекторов закрываются дощатыми щитами. В районах с непродолжительной и малоснежной зимой оголовки коллекторов не закрываются, а периодически очищаются от снега.

В зимнее время при оттепелях и дождях для удаления воды с покрытий и от покрытий дождеприемные, тальвежные колодцы и оголовки коллекторов должны временно открываться.

6.7.7. Весной в период снеготаяния дождеприемные, тальвежные колодцы и оголовки коллекторов освобождаются от крышек и щитов. Открытые и закрытые лотки, нагорные канавы, места сброса воды из водоотводных устройств в водоприемники, смотровые колодцы с решетчатыми крышками, поглощающие колодцы и места выхода дренажных воронок и дрен к кюветам на дорогах очищаются от снега, льда и различных наносов.

6.7.8. Для предупреждения подтопления аэродромов и поступления воды на аэродромные покрытия ВПП, РД, МС и ГВПП перед весенним снеготаянием необходимо:

устраивать в снегу временные перехватывающие канавы или снежные валики для отвода талой воды в пониженные места за пределы аэродрома;

проводить систематическое наблюдение за пропуском талых вод водоотводными устройствами, не допуская перелива талых вод, создания подпора и засорения водоотводящих устройств во время интенсивного снеготаяния.

После пропуска весеннего паводка поврежденные участки откосов канав и лотков восстанавливаются.

6.7.9. В весенний, летний и осенний периоды производится очистка элементов и сооружений водоотводных систем от посторонних предметов, грязи и ила. Особое внимание следует обращать на своевременность и доброкачественность очистки поглощающих колодцев и мест сброса воды из водоотводных и дренажных устройств в открытые канавы и на рельеф местности.

6.7.10. Проверка состояния труб водоотводных линий осуществляется с помощью зеркала и фонаря. Зеркало и фонарь устанавливаются соответственно в смежных смотровых колодцах, свет фонаря направляется на зеркало через осматриваемую трубу. По отражению в зеркале судят о заиливании, засорении и повреждении (просадке) труб.

Трубы диаметром более 0,8 м проверяют непосредственным осмотром.

6.7.11. Чистка труб через смотровые колодцы производится:

наращиваемыми трубчатыми штангами с "ершом" на конце;

протаскиванием толстой проволоки или троса с прикрепленным "ершом";

промывкой труб водой под напором.

Целесообразно совмещать механическую чистку труб с промывкой водой под напором.

Ремонт водоотводных и дренажных систем

6.7.12. Наиболее характерными разрушениями и неисправностями водоотводных и дренажных систем на аэродромах являются:

заиливание фильтрующей засыпки осушителей, собирателей, закромочных и глубинных дрен;

размыв грунта и сопутствующие ему просадки по трассе водосточно-дренажной сети;

разрушение стенок, днищ и решеток закрытых лотков;

разрушение стенок и крышек дождеприемных, тальвежных и смотровых колодцев;

выпирания, просадки и перекосы дождеприемных, тальвежных и смотровых колодцев;

просадки, разрушения труб водосточно-дренажной сети;

размыв и разрушение устьевых сооружений, оголовков, откосов и дна открытых канав;

заиливание и засорение колодцев, труб, открытых канав.

6.7.13. При текущем ремонте элементов водоотводных и дренажных систем выполняются следующие работы:

очистка дождеприемных, смотровых, тальвежных колодцев и труб;

устранение отдельных свищей и трещин в стенках колодцев, заделка отдельных выпадающих кирпичей и стыков между железобетонными элементами колодцев, восстановление плотного сопряжения труб со стенками колодцев и перепускных камер;

замена неисправных дырчатых камней закрытых лотков и пришедших в негодность труб на отдельных участках водосточно-дренажной сети;

устранение размывов и промоин по трассам скрытых элементов водосточной сети, размывов в устьевых сооружениях, грунтовых лотках, открытых канавах и около смотровых и тальвежных колодцев, восстановление и укрепление отмосток;

укрепление откосов и дна открытых канав, утепление смотровых колодцев, ремонт или замена неисправных крышек для дождеприемных и тальвежных колодцев;

антикоррозионная окраска решеток дождеприемных и тальвежных колодцев;

замена неисправных блоков крышек смотровых колодцев.

6.7.14. Просадки и повреждения покрытий в открытых лотках, вызванные вымыванием дренажных оснований (особенно у дождеприемных колодцев), устраняются путем вскрытия покрытий, подсыпки вымытого основания с тщательной трамбовкой и восстановления покрытия лотка на ремонтируемом участке, с заливкой мастикой зазоров между стенками колодцев и плит.

6.7.15. В закрытых лотках наиболее часто встречаются повреждения их стенок, дна, решетчатых крышек и мест сопряжения лотков с покрытиями и отмостками.

Поврежденные швы, трещины в стенках и днищах заделываются цементным раствором, мастикой или песчано-эпоксидной смесью. Неисправные решетчатые крышки заменяются на новые. Восстанавливаются разрушенные участки лотков и мест сопряжений с покрытиями и отмосткой.

6.7.16. Промоины и просадки в грунтовых лотках засыпаются местным грунтом с трамбованием и выравниванием поверхности. При наличии в лотках нарушенного дернового покрова производится пересадка пластов дернины или подсев трав.

6.7.17. Промоины и просадки по трассам заглубленных водоотводных линий без фильтрующей засыпки (собиратели, коллекторы, перепуски) и трассам дрен (закромочным и глубинным) устраняются так же, как и в грунтовых лотках. Сверху закромочных дрен восстанавливается разрушенная отмостка.

На водоотводных линиях с фильтрующей засыпкой, выходящей на поверхность земли (осушители), подсыпается фильтрующий материал.

6.7.18. При повреждении, засорении и заиливании элементов систем с фильтрующей засыпкой (осушители, дрены, поглощающие колодцы) следует произвести их очистку.

Материал фильтрующей засыпки, вынутый из траншеи, необходимо промыть или заменить новым. Прежде чем засыпать промытый материал обратно в траншею, следует спрофилировать ее дно и исправить стенки.

При добавке нового материала для фильтрующей засыпки состав и крупность его должны быть такими же, как и у материала существующей засыпки.

6.7.19. Дефекты дождеприемных, тальвежных, смотровых и поглощающих колодцев устраняются следующим образом:

разрушенные решетки, крышки или отдельные элементы крышек колодцев удаляются и заменяются новыми;

трещины в стенках и днищах колодцев, разрушения швов кирпичной кладки или швов между сборньми элементами должны быть тщательно заделаны цементным раствором, мастикой или песчано-эпоксидной смесью;

нарушенные сопряжения труб с колодцами забиваются на всю толщину стенки просмоленной пенькой и заделываются мастикой;

просадки покрытий, образующиеся вокруг дождеприемных колодцев, устраняются восстановлением покрытий и их оснований с заливкой мастикой зазоров между стенками колодцев и плитами. Отремонтированная поверхность покрытий должна обеспечивать свободное поступление воды в дождеприемники;

размывы и просадки, образовавшиеся около тальвежных и поглощающих колодцев, устраняются засыпкой промоин и восстановлением отмостки вокруг колодцев.

6.7.20. Повреждения колодцев и закрытых лотков, вызванные пучинистыми явлениями (выпирание стенок над поверхностью покрытия или отмостки, просадки и перекосы, не превышающие по высоте 10 см) устраняются путем срезки выступающей части или наращивании просевших мест цементным раствором, бетонной смесью или кирпичом.

Если высота просадок, вспучиваний и перекосов более 10 см, необходимо полностью разобрать колодец и на этом же месте построить новый. При этом обязательно принять меры, исключающие повторение пучинистых и просадочных явлений, для чего, после установки колодца, пазухи между стенками колодца и котлованом рекомендуется заполнять грунтом, обработанным гидрофобными материалами.

6.7.21. Просадки труб, уложенных на грунтовое основание, устраняются путем подсыпки грунта в местах просадки с тщательным уплотнением.

Труба должна опираться на основание по всей длине без провисаний. Особое внимание должно быть обращено на плотность прилегания труб к основанию в местах их стыковых соединений.

Устранение просадки труб, уложенных на бетонное или железобетонное основание, осуществляется путем подливки цементного раствора. При этом необходимо устранить первопричины просадки труб.

Трубу, вновь укладываемую в траншею, до опускания тщательно осматривают с целью выявления возможных дефектов (трещины, раковины, свищи и т.д.).

6.7.22. Замена неисправных труб на отдельных участках транспортирующих водоотводных линий производится в следующем порядке: вскрывается коллектор, удаляются поврежденные трубы, ремонтируется или устраивается заново основание под трубы; укладываются трубы и заделываются их стыки; засыпается траншея ранее вынутым грунтом с послойным трамбованием; поверхность траншеи закрывается пластами дернины и уплотняется.

В случае замены или ремонта труб на отдельных участках собирающих элементов систем (осушителей, дрен) порядок ремонтных работ остается таким же, исключая заделку стыков. При этом, фильтрующий материал перед засыпкой промывается или заменяется на новый, а сверху осушителей устраиваются водоприемные щели.

6.7.23. Стыки раструбных труб при ремонте транспортирующих водоотводных линий (коллекторов, собирателей, перепусков) заделываются цементным раствором. При этом стыковое пространство заполняют уплотняющим материалом, а оставшееся пространство заливают цементным раствором (состав 1:2) с устройством снаружи скоса под углом 45°.

6.7.24. Соединение гладких (безраструбных) бетонных и железобетонных труб производится впритык. Стыки при этом заделываются устройством вокруг них цементных поясков или поясков из рулонных гидроизоляционных материалов.

Цементные пояски устраиваются при помощи деревянной опалубки - футляра, который надевают на трубу. Швы между опалубкой и поверхностью труб замазывают жирной глиной. Цементный раствор (состав 1:2) заливают сверху через одно из отверстий опалубки до появления раствора в другом отверстии.

Перед устройством поясков из рулонных гидроизоляционных материалов концы стыкуемых труб очищают от грязи, промывают водой, просушивают и обмазывают клеящей мастикой. Гидроизоляционный материал наклеивают в несколько слоев шириной 20-25 см (количество слоев зависит от применяемого материала).

Стыки гладких (безраструбных) асбестоцементных труб соединяют асбестоцементными двухтрубными муфтами с резиновыми кольцами.

6.7.25. При укладке новых труб особое внимание обращают на точность сопряжения их стыков и на сохранение проектного уклона вновь уложенного участка трубопровода.

6.7.26. Размытые места у устьевых сооружений исправляются путем перекладки камней, образующих мощение дна канавы и низа откосов.

Перед восстановлением мощения дно канавы и поверхность откосов у устьевого сооружения должно быть тщательно выровнено и уплотнено. Укладываемые камни должны быть хорошо подогнаны друг к другу и плотно прилегать к основанию.

Чтобы предотвратить размыв грунта и разрушение отмостки у устьевых сооружений водами, поступающими с окружающей местности, устраивают невысокие ограждающие земляные валики, располагая их по периметру устьевого сооружения.

Откосы открытых канав, укрепленных камнем, ремонтируются перекладкой булыжных камней на размытых местах.

Откосы канав, укрепленных дерном, ремонтируются путем укладки на отдельных размытых участках новых пластов дернины. Грунтовая поверхность должна быть хорошо выровнена и уплотнена.

6.7.27. Места сопряжений водоотводных устройств с водоприемниками подлежат особо тщательному наблюдению и ремонту, а сами водоприемники при необходимости прочищаются с целью предупреждения подпоров воды в водоотводных и дренажных системах.

В местах сброса воды из водоотводных устройств на рельеф местности образовавшиеся промоины и размытые участки необходимо засыпать глинистым грунтом при тщательном послойном трамбовании; укрепить размытые участки путем мощения камнем, одерновкой или другими средствами. При необходимости создаются перепады.

6.7.28. После ремонта водоотводных и дренажных систем все восстановленные участки должны соответствовать их предназначениям и работать полным сечением, для чего сохранение прямолинейности, проектных уклонов является обязательным. В отдельных случаях не исключено изменение водоотводной системы при изменении гидрогеологических условий на прилегающей к аэродрому территории, произошедших со времени первоначального проектирования. Это должно быть подкреплено дополнительными изысканиями и проектированием, выполненными компетентной организацией.

6.8. Содержание и ремонт внутриаэродромных и подъездных дорог

6.8.1. Основная задача эксплуатационного содержания дорог - обеспечение круглогодичного, бесперебойного, безопасного движения транспортных средств на дорогах. Очистка и ремонт их без перерыва движения.

Содержание автомобильных дорог зависит от сезона года:

теплого времени года (весна, лето, осень) со средними температурами выше 0°С;

холодного времени года (зима) с температурами ниже 0°С.

6.8.2. В весенний период, до бурного таяния снега, необходимо:

удалить снег и наледи как с проезжей части, так и с обочин (так, чтобы под искусственное покрытие не проникала талая вода);

очистить кюветы для пропуска талых вод;

открыть (закрытые на зиму) водопропускные трубы и очистить их от снега;

очистить от снега русло тальвегов.

6.8.3. Во время пропуска весенних вод необходимо следить, чтобы не образовывалось заторов и размытия откосов, кюветов и особенно оголовков у водопропускных труб, а размываемые места укреплять заранее заготовленными материалами.

После прохода весенних вод и просыхания грунта необходимо:

очистить дорожное покрытие от пыли, грязи и катуна;

очистить кюветы от наносов;

выправить места оплывов в кюветах;

восстановить разрушенные отмостки у оголовков труб;

отремонтировать искусственное покрытие дорог в местах его нарушения;

подсыпать обочины, предварительно удалив растительность;

проверить работоспособность дренажных воронок;

восстановить маркировочные знаки.

6.8.4. В течение летнего периода необходимо:

постоянно очищать дороги от пыли и мусора;

удалять растительность (траву) с обочины и в кюветах;

после прохождения ливневых дождей выявлять дефекты и производить текущий ремонт.

6.8.5. В осенний период при подготовке дорог к зиме должны быть:

подготовлены машины и механизмы для очистки дорог от снега;

заготовлены колья и реечные щиты для снегозадержания;

закрыты специальными щитами оголовки перепускных труб;

отремонтированы и расставлены дорожные знаки.

6.8.6. В осенний период перед наступлением заморозков дороги должны быть полностью отремонтированы, швы и трещины залиты, колеи и выбоины заделаны, проезжая часть выровнена, обочины спланированы, водоотводные и нагорные канавы очищены, исправлен поперечный профиль канав и кюветов, водоотводные и перепускные трубы очищены и закрыты щитами от попадания снега.

6.8.7. При содержании дорог в зимний период выполняются следующие работы:

установка, разборка и ремонт снегозадерживающих ограждений, устройство снежных валов;

установка оградительно-указательных вех (через 10-20 м) для обозначения направления дороги;

систематическая очистка покрытий от снега и льда;

устранение гололеда антигололедными реагентами.

6.8.8 Ремонт дорожных покрытий осуществляется аналогично аэродромным покрытиям.

Глава VII. Содержание летного поля в зимний период

7.1. Общие положения

Подготовку к зимнему содержанию летного поля следует начинать заблаговременно. При подготовке аэродрома к зимней эксплуатации необходимо:

разработать план зимнего содержания аэродрома;

своевременно закончить все виды ремонтов искусственных покрытий, грунтовых элементов и водосточно-дренажных сооружений аэродрома;

восстановить маркировку аэродромных покрытий и переносных маркировочных знаков для ВПП;

установить ориентиры для обозначения места расположения посадочных огней, смотровых колодцев подземных коммуникаций и т.д.;

провести ремонт и подготовку зимних аэродромных машин, тракторов и прицепных механизмов к работе в зимних условиях;

заготовить в необходимом количестве антигололедные реагенты и пополнить запасы строительных материалов и конструкций для выполнения непредвиденных ремонтов;

укомплектовать штаты аэродромно-технической службы и автобазы водителями и рабочими.

Ответственный представитель авиационной организации за подготовку и содержание аэродрома в зимнее время, обязан:

ежедневно изучать метеообстановку и прогноз погоды для своевременного составления плана организации работ по очистке от снега и льда на различных элементах аэродрома;

перед каждой сменой утверждать конкретные задания личному составу по очистке аэродрома;

обеспечивать эффективное использование средств механизации на снегоуборочных работах и химических реагентов для ликвидации гололеда на искусственных покрытиях летного поля;

разбирать каждый случай несвоевременной или некачественной подготовки аэродрома к полетам.

Расчет средств аэродромной механизации для зимнего содержания аэродрома производится исходя из условий подготовки к полетам основных элементов аэродрома в установленные сроки.

Очередность подготовки (очистки) летного поля:

первая очередь: очистка ВПП, БПБ на ширину 10 м от краев покрытия ВПП, основного маршрута РД, с дальнейшим устройством сопряжений с неочищенной поверхностью с уклоном не более 0,10 и подготовка зоны А ГРМ и зон А, Б КРМ;

вторая очередь: очистка (подготовка) ГВПП, МС, остальных РД;

третья очередь: очистка БПБ и КПБ на ширину до 50 м, всех специальных площадок аэродромного цеха, планировка откосов ВПП и РД, очистка подъездных путей к объектам РСТО, ГСМ и т.д.

Как правило, основные применяемые для зимнего содержания аэродромов средства механизации подразделяются на три группы:

первая группа - плужно-щеточные снегоочистители;

вторая группа - роторные снегоочистители, снегопогрузчики, автогрейдеры, бульдозеры, плужные снегоочистители;

третья группа - тепловые машины, механизмы и машины для разбрасывания (розлива) антигололедные реагентов.

7.2. Очистка аэродромных полей от снега

Для поддержания аэродрома в постоянной готовности, подготовка элементов аэродрома, относящихся к первой очереди, должна быть начата методом патрулирования с начала снегопада и закончена не позже 1-2 часов после его прекращения.

Расчет количества машин механизмов первой группы производится по формуле

, (1)

где S - площадь элементов первой очереди, м2; t - время очистки первой очереди, час; П - производительность машин и механизмов, м2/час; Ктг = 0,85, коэффициент технической готовности; Кив = 0,95, коэффициент использования.

Расчет количество машин и механизмов второй группы производится по формуле

, (2)

где h - толщина слоя снега суточного снегопада, см; р - плотность снега т/м3; П - производительность машин и механизмов, т/час; t - время уборки снег принимается 3 часа (из условия, что суточный снегопад h может выпасть за 3 часа); n - коэффициент многократности перевалки снега, зависит от ширины очищаемой поверхности, высоты снега и дальности отброса снега механизмом; плотности снега 0.1-0.15 г/см3.

В случае недостаточного количества на аэродроме снегоуборочной техники, по формулам (1) и (2) можно рассчитать время, необходимое для расчистки элементов летного поля первой очереди снегоочистки, имеющимся парком снегоуборочных машин.

Расчетная толщина суточного снегопада:

г. Воронеж - 8 см, г. Иркутск - 4 см, г. Казань - 8 см, г. Луховицы - 8 см, г. Москва - 7 см, г. Нижний Новгород - 8 см, г. Новосибирск - 7 см, г. Омск - 4 см, г. Ростов-на-Дону - 6 см, г. Таганрог - 3 см, г. Ульяновск - 7 см, г. Саратов - 8 см, г. Комсомольск-на-Амуре - 10 см, г. Улан-Удэ - 2 см.

Для очистки покрытий ВПП и РД от снега основными средствами являются плужно-щеточные машины и шнекороторные снегоочистители.

При снежном покрове толщиной до 50 мм. снег убирают на всю ширину покрытия ВПП плужно-щеточными снегоочистителями. Снег от продольной оси ВПП к боковым полосам безопасности смещают кольцевыми проходами плужно-щеточных снегоочистителей до образования продольных волов у боковых кромок ВПП. Параллельно должны работать шнекороторные снегоочистители, перебрасывая снег на расстояние 25 м от кромок покрытия не допуская, смерзания снега в валах. На месте укладки снега, автогрейдеры устраивают сопряжение с уклоном 0.1, очищенной и заснеженной поверхностей летного поля.

Очистка ВПП от снега толщиной более 50 мм, как правило, осуществляется с дополнительными перекидками снега и дальнейшим подметанием покрытия щетками.

Максимально возможная ширина очищаемых полос, на которых кольцевыми проходами плужно-щеточных снегоуборочных машин, создаются снежные валы предельных размеров, определяется по графику (рисунок 7.1). Образование предельных валов зависит от толщины слоя снега и его плотности.

Рисунок 7.1. - Предельная ширина очистки снега.

Работа плужно-щеточных снегоочистителей в отряде должна быть организована таким образом, что машины последовательно двигаясь друг за другом на расстоянии 30-35 м, с перекрытием предыдущего ряда на 30-40 см.

Очистка снега плужно-щеточными снегоочистителями в зависимости от скорости бокового ветра производится следующим образом:

при скорости бокового ветра от 3 до 5 м/с очистка ведется от оси ВПП к обочинам;

при скорости бокового ветра от 5 до 10 м/с, ширина покрытия делится на две неравные части. Величина смещения оси начала работ, в зависимости от силы бокового ветра, определяется по графику рисунка 7.2. Очистка снега начинается участка с меньшей шириной покрытия и ведется в направлении против ветра, затем очищается в направлении ветра большая часть ширины покрытии;

при скорости бокового ветра более 10 м/с, ширина очищаемой площади ведется только в направление ветра, не допуская холостого хода машин (поворотом отвала) в конце каждого ряда.

Рисунок 7.2. - Зависимость величины смещения продольной оси начала движения машин.

В случаях использования ветровых машин при снегоуборочных работах рекомендуется учитывать скорость боковой составляющей и направление ветра:

при скорости ветра от 3 до 5 м/с работы следует проводить от оси ВПП, сдувая снег к обочинам;

при скорости ветра более 5 м/с уборочные работы следует вести в направлении ветра, начиная от обочины ВПП и продвигаясь к месту укладки снега.

7.3. Общие положения по удалению гололедных и снежно-ледяных образований с искусственных покрытий аэродрома

Гололед представляет собой слой плотного льда толщиной от 0.5 до 4 мм, который образуется при температуре воздуха от 0 до - 6°С.

Начало образования гололеда происходит при скорости ветра до 7 м/с и относительной влажности воздуха 94-100%

Снежно-ледяные образования возникают при формировании слоя уплотненного снега на покрытиях, который преобразуется в снежно-ледяной накат и лед толщиной 20 мм и более. Продолжительность формирования гололедных явлений зависит от местных метеорологических условий.

Борьба с гололедными и снежно-ледяными образованиями на аэродромных покрытиях осуществляется химико-механическим и тепловым способами.

7.4. Химико-механический способ борьбы с гололедными явлениями

Химико-механический способ борьбы с гололедными явлениями заключается в обработке аэродромных покрытий антигололедными реагентами. Химические антигололедные реагенты представляют собой гранулы диаметром 3 мм, легко растворяющиеся в воде. Объемная масса гранулированного реагента составляет 0.7-0.9 г/см3.

На цементобетонных покрытиях используются химические антигололедные реагенты - типа АНС, на асфальтобетонных покрытиях - карбамид.

Основными технологическими операциями при использовании антигололедных химических реагентов являются:

установка расхода реагента в соответствии с нормами;

распределения реагента по поверхности покрытия;

уборка остатков разрушенного льда, слякоти и образовавшегося раствора реагента;

окончательная подсушка покрытия.

Наиболее эффективное действие и существенное сокращение норм расхода реагента (30-40%) достигается при распределении его в процессе формирования гололеда.

Предотвращение гололедных образований проводят в периоды их возможного интенсивного образования при температуре воздуха в пределах от 0 до минус 6°С, после получения прогноза о возможности образования гололеда, на поверхности покрытия распределяют реагент в растворе или в твердом виде:

на сухих покрытиях используется 30-50% раствор реагентов АНС и карбамида при температуре до минус 2°С с расходом 0.05-0.3 л/м2;

на влажных (мокрых) покрытиях используются гранулированные и порошковые реагенты, с нормами расхода: при температурах от 0°С до минус 2°С - 20 г/см2; от минус 2°С до минус 4°С - 35 г/см2; от минус 4°С до минус 6°С - 40 г/см2.

Образующийся в этих условиях лед имеет рыхлую структуру, слабое сцепление с поверхностью покрытия и легко убирается щетками снегоуборочных машин.

Удаление гололедных образований на поверхности аэродромных искусственных покрытий производится гранулированными реагентами в твердом виде. Водные растворы реагентов рекомендуется применять при толщине гололеда до 1 мм.

Средние нормы расхода гранулированных реагентов на удаления гололедных образований толщиной 1 мм приведены в таблице 7.1.

Таблица 7.1. - Средняя норма расхода гранулированных реагентов

Антигололедные химические реагенты (тип)

Расходы реагентов, г/м2 в интервале температур, минус °С

0-2

2-4

2-6

6-8

8-10

10-12

АНС

35

55

75

100

120

150

Карбамид

45

45

80

-

-

-

Примечание. При изменении слоя льда расход реагента увеличивается на каждый его дополнительный миллиметр на 50% от значений, указанных в таблице 5.5.

Расход реагента в порошкообразном виде определяется в зависимости от расхода гранулированного реагента умноженного на коэффициент "К", в зависимости от толщины гололедного слоя и температуры воздуха, приведенный в таблице 7.2.

Таблица 7.2. - Расход порошкового реагента (коэффициент К)

Толщина слоя льда, мм

Температура воздуха, °С

2

4

6

8

10

12

0.5

1.78

3.57

3.86

3.40

2.87

2.44

1.0

1.25

2.50

2.70

2.38

1.70

1.70

1.5

1.01

2.03

2.20

1.93

1.63

1.39

2.0

0.87

1.75

1.89

1.66

1.40

1.19

2.5

0.77

1.55

1.68

1.47

1.25

1.06

3.0

0.70

1.41

1,53

1.34

1.14

0.96

 

Для распределения гранулированных и порошковых реагентов используют самоходные и прицепные разбрасывающие машины. Расход реагента зависит от скорости машины и регулировки дозирующего устройства.

Водные растворы химических реагентов могут, приготавливаются # в цистернах специальных или поливочных машин. Для приготовления растворов следует применять теплую воду с температурой 50-60°С. На 1 куб.м раствора, 50% концентрации необходимо 630 кг реагента и 630 литров воды.

Общее количество реагента типа АНС на всю обрабатываемую площадь зависит от температуры воздуха, толщины гололедного слоя и площади покрытия и может определяться по графику (рисунок 7.3).

Рисунок 7.3. - График общего расхода реагента типа АНС на обрабатываемую площадь искусственного покрытия.

Рисунок 7.4. - Принципиальная схема организации работ на ВПП по удалению гололеда химическим способом.

7.5. Тепловой способ удаления и предупреждения гололедных образований

Тепловой способ удаления и предупреждения гололедных образований применяется, как правило, на жестких бетонных покрытиях и в тех случаях, когда для удаления гололедных образований невозможно применить химический метод.

Тепловой способ удаления и предупреждения образования гололеда осуществляется с помощью тепловых машин, принцип действия которых основан на воздействии высоких температур выхлопных газов от специальных двигателей к поверхности льдообразований и послойном, последовательном плавлении льда.

Схема движения тепловых машин выбирается с учетом поперечного профиля искусственных покрытий для обеспечения наилучшего стока воды и направления ветра:

при двухскатном поперечном профиле движение организовывается по кольцевой схеме, начиная от продольной оси ВПП;

при односкатном поперечном профиле движение организовывается по челночной схеме, начиная со стороны верхней кромки покрытия.

При одновременной работе нескольких тепловых машин их движение организуется уступами с расстояниями между ними 20-25 м. и перекрытием полосы обработки 0.2-0.4 м. При первом проходе у ведущей тепловой машины насадка реактивного двигателя должна быть повернута вдоль оси ВПП. При последующих проходах машины (группы машин) насадка устанавливается под углом 15-45 градусов, в зависимости от толщины льда и температуры воздуха, меньшему углу соответствует более низкая температура воздуха.

Рабочие скорости тепловых машин устанавливаются в зависимости от толщины льда и температуры воздуха с таким расчетом, чтобы не допускать полного высушивания поверхности покрытий во избежание ее разрушения. Не следует допускать снижения скорости движения тепловой машины менее 2 км/час или ее остановки без снижения частоты вращения турбины.

7.6. Зимнее содержание грунтовых аэродромов

Зимние содержание грунтовых аэродромов и запасных грунтовых посадочных полос на аэродромах с ИВПП может производиться методом очистки или методом уплотнения снега. На аэродромах экспериментальной авиации применяется метод очистки грунтовых элементов летного поля от снега.

Подготовка содержания грунтовых элементов летного поля методом очистки от снега, выполняется в начальный период зимы. Создается слой уплотненного снега толщиной 6-8 см, который служит для выравнивания грунтовой поверхности и защиты дернового покрова от вымерзания и повреждения при работе снегоочистительной техники. После создания слоя уплотненного снега дальнейшее содержание производится путем очистки от снега по правилам, изложенным в пункте 7.2. настоящих рекомендаций.

Периодически, рекомендуется проверять толщину уплотненного слоя, а в случае, если толщина будет менее 6 см, на этих участках вместо очисти, следует уплотнять снег.

Уплотнение снега следует производить постепенно, независимо от его количества, с диапазоном давления от 1 до 2 кгс/кв.м, комбинированным использованием гладилок и катков. Свежевыпавший снег начинают уплотнять гладилками, затем катками. Количество проходов по одному следу рекомендуется принимать:

для гладилок - один, а при наличии надувов 2-3 раза;

катков металлических - 2-3 раза;

катков на пневмашинах - 1-2 раза.

Каждый последующий проход должен перекрывать предыдущий след не менее чем на 20-30 см.

Глава VIII. Аэродромные тормозные установки (АТУ)

8.1. Назначение, общие сведения

8.1.1. АТУ предназначены для улавливания самолетов при выкатывании их за пределы ИВПП в аварийных ситуациях (прерванный взлет, ошибки пилотирования, отказ тормозов и др.) в зону концевой полосы безопасности (КПБ).

8.1.2. Все типы АТУ содержат три основных узла: приемное устройство (далее - ПУ), энергопоглощающие тормозные механизмы и систему автоматического (полуавтоматического) управления. Узел приемного устройства непосредственно контактирует с самолетом, обеспечивая его надежное улавливание при выкатывании за пределы ИВПП. Тормозные механизмы поглощают энергию движения аварийного самолета, останавливая его в пределах КПБ. систему автоматического (полуавтоматического) управления обеспечивает управление упомянутыми узлами.

Принцип действия АТУ заключается в том, что самолет, выкатившийся за пределы ИВПП, улавливается ПУ и при дальнейшем движении под воздействием энергопоглощающих тормозных механизмов, которые связаны с ПУ, тормозится до полной остановки.

После освобождения самолета от ПУ и отбуксирования его с КПБ начинается подготовка АТУ к очередному циклу работы в соответствии с требованиями, изложенными в эксплуатационной документации.

8.1.3. АТУ подразделяются на три следующих класса в зависимости от массы улавливаемых самолетов:

АТУ-Л для самолетов легкого типа массой до 25 т;

АТУ-С для самолетов среднего типа массой 25-50 т;

АТУ-Т для самолетов тяжелого типа массой более 50 т.

8.1.4. Для самолетов массой до 40 т на аэродромах могут устанавливаться АТУ типа АТУ2МЛ, АТУ2МС и 2АТУ2МЛС. Основные технические характеристики этих установок приведены в Приложении 17.

8.1.5. Подробное описание конструкции и работы АТУ приводятся в сопроводительной документации на каждый конкретный тип установки.

8.2. Привязка на аэродроме, монтаж и демонтаж

8.2.1. АТУ устанавливаются, как правило, за торцом ИВПП, в пределах КПТ. Примеры размещения установок АТУ2МЛ и 2АТУ2МЛ приведены на рисунках 17.1, 17.2, Приложения 17.

В случаях ограниченной длины КПТ (из-за рельефа местности, городских застроек и т.д.) допускается размещение АТУ в конце ИВПП с учетом использования части этой полосы для дистанции торможения.

8.2.2. В зоне размещения АТУ выполняются железобетонные площадки с фундаментными болтами в соответствии со строительными чертежами фундаментов. В ряде случаев установка узлов АТУ может производиться с помощью грунтовых якорей - фундаментных рам. При этом предварительно производят разметку, рытье котлованов, а затем установку фундаментных рам и их закрепление в грунте в соответствии с документацией на эти работы.

8.2.3. Размеры полос, на которых должно происходить торможение аварийного самолета, определяются инструкциями по эксплуатации АТУ. Рельеф и несущая способность участков полос, на которых осуществляется аварийное торможение, должны соответствовать требованиям к КПТ аэродромов.

8.2.4. Монтаж и демонтаж узлов АТУ должен осуществляться в соответствии с разработанной документацией на проведение этих работ.

8.2.5. Работы по монтажу и демонтажу узлов АТУ следует производить, соблюдая все указания по технике безопасности, изложенные в инструкциях по эксплуатации этих установок.

8.3. Содержание и эксплуатация

8.3.1. Содержание и штатная эксплуатация АТУ производится в полном соответствии с требованиями, изложенными в эксплуатационной документации на конкретный тип тормозной установки.

8.3.2. В формуляры АТУ заносятся:

сведения о регламентных работах;

данные о замене агрегатов и причинах замены;

количество штатных срабатываний при аварийных выкатываниях самолетов с указанием их типа, массы, скорости входа в АТУ и дистанции торможения.

8.3.3. Специалисты, обслуживающие АТУ, должны быть аттестованы на право осуществлять проведение эксплуатационных работ с АТУ, установленной на аэродроме.

8.3.4. Руководитель полетов обязан знать устройство, работу и технические возможности АТУ, проверять перед полетами их работоспособность в соответствии с имеющимися инструкциями.

Летный состав должен знать принципиальное устройство и технические возможности АТУ, установленных на аэродроме.

Производить полеты с поднятой сетью или неисправной АТУ запрещается.

Глава IX. Охрана окружающей среды при эксплуатации аэродромов

9.1. Деятельность по эксплуатационному содержанию и ремонту аэродромов экспериментальной авиации должна осуществляться в соответствии с Федеральным законом от 10.01.02 г. № 7-ФЗ "Об охране окружающей среды" ("Российская газета" от 12.01.2002 г. № 9), другими законодательными и нормативными правовыми актами в области природопользования и охраны окружающей среды.

9.2. При строительстве и эксплуатации аэродромов охрана окружающей среды включает осуществление ряда мероприятий, направленных на:

снижение и защиту от шума, возникающего при работе авиационных двигателей при запуске, взлете, посадке, передвижении по аэродрому воздушных судов и испытаниях на наладочно-испытательных площадках;

защиту людей (обслуживающего персонала и местного населения) от воздействия сверхвысоких радиочастот, возникающих при работе радиолокационных станций и других радиотехнических средств как стационарных, так и передвижных;

уменьшение загрязнений атмосферы и почвенного слоя и грунтов;

сохранение почвенного покрова (растительного слоя) земли и рациональное его использование;

предупреждение и защиту от загрязнения водоемов и подземных вод сточными водами;

улучшение орнитологической обстановки в районе аэродрома.

9.3. Нормируемыми параметрами авиационного шума на территории жилой застройки являются эквивалентный уровень звука LАэкв и максимальный уровень звука LА, измеряемые в дБ (А). Уровень акустического воздействия (шума) на территории жилой и иной застройки вблизи аэродрома при каждом полете самолета (вертолета) и при испытании двигателя не должен превышать значений, указанных в таблице 9.1.

Таблица 9.1

Время суток

Эквивалентный уровень звука LАэкв, ДБ (А)

Максимальный уровень звука при единичном воздействии LA, дБ (А)

День (с 7.00 до 23.00 ч)

65

85

Ночь (с 23.00 до 7.00 ч)

55

75

 

Допускается превышение в дневное время установленного уровня звука LА на значение не более 10 дБ (А) для аэродромов 1-го, 2-го классов и для заводских аэродромов, но не более 10 пролетов в один день.

При реконструкции аэродромов или изменении условий эксплуатации воздушных судов акустическая обстановка на территориях жилой застройки не должна ухудшаться.

При полетах сверхзвуковых самолетов допускается превышать установленные уровни звука LА на 10 дБ (А) и LАэкв на 5 дБ (А) в течение не более двух суток одной недели.

Основными путями снижения шума в районе аэродрома являются:

уточнение маршрутов выхода и подхода с тем, чтобы исключить пролеты воздушных судов над крупными населенными пунктами;

использование по возможности (с учетом реальных характеристик воздушных судов и требований по безопасности полетов) профилей набора высоты после взлета;

ограничение ночных полетов;

сооружение на аэродромах шумоглушащих экранов и устройств;

строительство шумоглушащих ангаров и станций по испытанию двигателей.

9.4. При эксплуатации радиотехнических объектов на аэродроме следует руководствоваться Санитарными нормами и правилами защиты населения от воздействия электромагнитных полей и проводить комплекс мероприятий, предусматривающих устройство специальных экранов из радиозащитных материалов, использование защитных лесопосадок, систематический контроль уровней излучений.

Уровни электромагнитных полей (далее - ЭМП) на рабочих местах контролируются измерением в диапазоне частот 60 кГц - 300 МГц напряженности электрической и магнитной составляющих, в диапазоне частот 300 МГц - 300 ГГц плотности потока энергии ЭМП с учетом времени пребывания персонала в зоне облучения и не должны превышать установленных предельно допустимых уровней (далее именуется - ПДУ).

9.5. Концентрация загрязненных веществ, поступающих в атмосферу при производстве строительных (ремонтных) работ, а также из двигателей воздушных судов и наземного транспорта при эксплуатации аэродрома должна контролироваться и не превышать предельно допустимых значений, установленных санитарными нормами.

9.6. Степень загрязнения почв не должна превышать предельно допустимой концентрации (далее - ПДК) и ориентировочные допустимые количества (далее - ОДК) химических веществ.

9.7. Аэродромы, имеющие системы водоотвода с искусственных покрытий и дренажа поверхностных сточных вод (ливневых, талых), должны быть оборудованы локальными сооружениями для механической, биологической и иной очистки загрязненных вод, содержащих масла, керосин, жидкости из гидросистем самолетов, антиобледенительные жидкости и другие химические реагенты. Сброс поверхностного стока дождевых, талых и дренажных вод в городскую систему канализации должен по номенклатуре и количественному составу загрязняющих веществ удовлетворять требованиям Правил приема производственных сточных вод в системе канализации населенных пунктов.

9.8. В весенний период, когда начинается снеготаяние, а затем активное оттаивание грунта необходимо регулировать прохождение образующихся потоков сточных вод по искусственно созданным канавкам в снегу с выпуском в водосборы. Особое внимание надо обращать на работу водосточно-дренажной системы с тем, чтобы не было заторов и разрушений. Данные требования следует выполнять для предупреждения эрозии почвы, загрязнения и уноса верхнего растительного грунта.

9.9. В летний период должен быть обеспечен уход за грунтовой частью аэродрома с дерновым покрытием и лесными насаждениями, внесены удобрения и произведена обработка пестицидами с учетом агротехнических рекомендаций. При этом должны быть обеспечены условия хранения удобрений и пестицидов. Наличие зеленого (дернового) покрова и насаждений уменьшают зашумленность и запыленность приземного воздуха.

9.10. В зимний период при уборке снега с ИВПП, РД и МС его следует вывозить на участки прохождения коллекторов водосточно-дренажной системы с тем, чтобы сточные воды можно было направить в систему водостока, тем самым, предупредив образование эрозии почв.

9.11. Для предупреждения угнетения растительного покрова от применения гигроскопических солей (при борьбе с гололедом) необходимо при размещении посадок учитывать направление стока поверхностных и грунтовых вод и при необходимости предусматривать искусственные меры по отводу засоленных вод от растений путем заложения перехватывающих и отводящих дренажей или отстойников.

9.12. Территория аэродрома в летний период должна быть очищена от грязи и захламления, а ИВПП, МС и подъездные дороги - от пыли, которая уносится в атмосферу. Загрязняющие отбросы и атмосферные образования необходимо вывозить в места расположения специальных сооружений для обезвреживания и утилизации.

9.13. К охране окружающей среды относится также задача по предохранению столкновения самолетов с птицами для обеспечения безопасности полетов.

Необходимо производить эколого-орнитологические обследования окружающий аэродром местности для выявления сезонных особенностей полета птиц. Эффективными мероприятиями по уменьшению скоплений птиц является их отпугивание от аэродрома и устранение условий, способствующих скоплению птиц.

9.14. Основные мероприятия по охране окружающей среды при ремонте асфальтобетонных и цементобетонных покрытий аэродрома сводятся к следующему:

вяжущие материалы, активаторы и поверхностно-активные вещества не должны попадать на прилегающие к дороге покрытия, в канавы, чтобы не загрязнять воды, стекающие по ним;

места приготовления и разогрева герметиков и пленкообразующих веществ следует располагать не ближе 50 м от лесных и кустарниковых массивов, предварительно сняв почвенно-растительный покров толщиной не менее 30 см, а затем его восстановить;

при мойке машин необходимо ограничивать растекание воды по большим площадям и не направлять ее в реки, пруды и пониженные места, где бы она могла потребляться животными и птицами. Для этого следует сооружать простейшие отстойники ямного типа;

на подъездных дорогах, используемых для движения транспортных средств в период ремонта покрытия, во избежание образования пыли и загрязнения соседних полей необходимо систематически производить обеспыливание этих дорог.

9.15. В авиационных организациях, эксплуатирующих аэродромы экспериментальной авиации, должны быть организованы службы (назначены должностные лица), ответственные за организацию и контроль деятельности по всем направлениям природопользования и охране окружающей среды.

9.16. В организации, эксплуатирующей аэродром экспериментальной авиации, должна выполняться оценка воздействия на окружающую среду (далее - ОВОС) планируемой деятельности аэродрома, а также разработаны практические мероприятия, гарантирующие экологическую безопасность обществу.

Материалы ОВОС должны содержать оценку возможных аварийных ситуаций и перечень мероприятий по ограничению и ликвидации последствий аварийных ситуаций, обеспечивающих безопасность людей и окружающей природной среды, в соответствии с требованиями ведомственных нормативных документов.

______________________________

* Здесь и далее в тексте настоящего Руководства по эксплуатационному содержанию аэродромов экспериментальной авиации основные определения применяются в соответствии с воздушным законодательством Российской Федерации и с учетом рекомендаций Международных стандартов и Рекомендуемой практики ИКАО.

** Федеральные правила использования воздушного пространства Российской Федерации, утвержденные постановлением Правительства Российской Федерации от 22 сентября 1999 г. № 1084 (Собрание законодательства Российской Федерации, 1999, № 40, ст. 4861).

Приложение 1

ЖУРНАЛ УЧЕТА СОСТОЯНИЯ И ГОТОВНОСТИ АЭРОДРОМА К ПОЛЕТАМ

Начат " "____________20____году

Окончен " "____________20____году

Дата (часы, число, месяц)

Выявленные, неисправности на ВПП, РД, МС и их устранение

Пригодность ВПП, РД, МС и замечания по режиму эксплуатации их самолетами

Расписка начальника АТС о сдаче объекта в эксплуатацию

Расписка дежурного по полетам о принятии объекта к эксплуатации

1

2

3

4

5

 

 

 

 

 

 

 

 

 

 

 

 

 

 

 

 

 

 

 

 

 

 

 

 

 

 

 

 

 

 

 

 

 

 

 

 

 

 

 

 

 

 

 

 

 

 

 

 

 

 

Приложение 2

Методы и средства оценки состояния элементов летного поля

1. Оценка состояния элементов летного поля производится по значениям величин, получаемых в процессе измерений, параметров оценки.

2. К параметрам оценки состояния покрытий относятся:

тормозные свойства покрытий;

вид осадков и толщина слоя осадков;

доля площади, покрытая загрязнениями (осадками).

Тормозные свойства покрытий оцениваются величиной коэффициента сцепления.

Вид осадков оценивается кодовыми числами 1-9 с соответствующей каждому числу описательной характеристики осадков и оценивается числом, соответствующим толщине слоя в миллиметрах. Доля площади, покрытая осадками, оценивается в процентах.

3. Оценка условий торможения определяется с помощью специального прибора деселерометров 1155М или аэродромной тормозной тележки АТТ-2, а при их отсутствии оценку эффективности торможения можно осуществить обработкой результатов вычислений расстояния или времени торможения до остановки грузового или легкового автомобиля, двигающего с заданной скоростью при торможении, обеспечивающем полный юз колес.

Применяемый на аэродромах деселерометр 1155М представляет собой малогабаритный переносной прибор, закрепляемый на лобовом стекле автомобиля специальными присосами так, чтобы ось маятника располагалась горизонтально, плоскость качения маятника была в плоскости движения автомобиля. Подробная методика измерения приведена в техническом паспорте прибора, но следует помнить, что показания прибора необходимо умножить на коэффициент 0.1 (например: измеренное показание 4 м/с2 соответствует коэффициенту сцепления (далее - КС) 0.4, так как шкала прибора отградуирована в единицах ускорения от 0 до 8 м/с2 с шагом 1 м/с2).

В качестве базового автомобиля могут использоваться автомобили типа УАЗ, ГАЗ (с гидравлической системой торможения, при использовании автомобилей с пневматической системой торможения, к показанию прибора необходимо прибавить единицу. Например, (4 + 1 ´ 0.1 = 0.5 - значение КС). Базовый автомобиль должен иметь серийные шины с небольшим равномерным износом протектора и давлением в соответствии с техническим паспортом. Тормозная система должна быть исправна и отрегулирована на одновременную блокировку всех колес.

4. Определение коэффициента сцепления обработкой результатов вычислений расстояния или времени торможения до остановки грузового или легкового автомобиля, двигающего с заданной скоростью при торможении, обеспечивающем полный юз колес.

При измерении дистанции торможения, эффективность торможения определяется по формуле:

, (В.1)

где V - скорость в момент включения тормозов, м/с;

S - дистанция торможения, м;

g - ускорение силы тяжести, м/с2.

 

При измерении времени торможения эффективность торможения определится по формуле:

, (В.2)

где t - время до остановки, с.

 

Эффективность торможения определится по формуле;

 (В .3)

На каждом оцениваемом участке ВПП выполняется не менее 4 измерений по левой и правой стороне на линии движения основных опор самолета (5-10 м от оси ВПП).

По результатам 8-ми измерений вычисляется среднеарифметическое значение нормативного коэффициента сцепления для участка ВПП.

5. Измерение коэффициента сцепления аэродромной тормозной тележкой (типа АТТ-2).

Конструкция АТТ представляет собой прицепной агрегат. Измерительным параметром АТТ является сила сцепления измерительного колеса в процессе его перекатывания по поверхности с проскальзыванием 15±2%. Измерительная сила скоррелирована с величиной коэффициента сцепления. Записывающая аппаратура состоит из прибора со стрелочной шкалой, отградуированной в величинах коэффициента сцепления с записью на бумажную ленту самописца. Подробное устройство конструкции и методика измерения коэффициента сцепления с использованием АТТ приведены в техническом паспорте.

В качестве автомобиля-буксировщика для АТТ используются автомобили массой до двух тонн, имеющих прицепное устройство и возможность транспортировать АТТ в горизонтальном положении. Скорость движения автомобиля при измерении коэффициента сцепления должна быть 40 км/час. Измерение КС выполняются с двух сторон (справа и слева) от продольной оси ВПП, на расстоянии 5-10 м.

На каждом оцениваемом участке ВПП выполняются измерения по левой и правой сторонам (линии движения основных опор самолета 5-10 м от оси ВПП) и вычисляется среднеарифметическое значение КС данного участка.

Вычисленная для участка величина коэффициента сцепления с помощью корреляционной таблицы 2.1 приводится к значению нормативного КС.

Таблица 2.1 - Корреляционная таблица

Коэффициент сцепления по АТТ

0.1

0.15

0.20

0.25

0.30

0.35

0.40

0.45

0.50

0.55

0.60

Нормативный коэффициент сцепления

0.26

0.29

0.32

0.34

0.37

0.39

0.42

0.45

0.49

0.54

0.57

Примечание. Для иностранных самолетов значения КС передается в виде значений полученных непосредственно с аэродромной тормозной тележки типа АТТ-2 с пометкой "SFT".

6. При отсутствии на аэродроме инструментальных средств оценки фрикционных свойств покрытия информация о коэффициенте сцепления может выдаваться в кодовом обозначении (справочно) в соответствии с таблицей 2.2.

Таблица 2.2 - Кодовое обозначение коэффициента сцепления

Код

Расчетная эффективность торможения

Нормативный коэффициент торможения

Эксплуатационное значение покрытия

5

Хорошая

0.4 и выше

Можно предполагать, что ВС произведет без особых трудностей путевого управления

4

Средняя - хорошая

0.39-0.36

То же

3

Средняя

0.35-0.30

Возможно ухудшения путевого управления

2

Средняя - плохая

0.29-0.26

То же

1

Плохая

0.18-0.25

Путевое управление плохое

0

Ненадежная

0.17 и ниже

Путевое управление не контролируется

 

Цифры в колонке "Нормативный коэффициент сцепления" не являются абсолютными или измеренными, а отражают относительное улучшение или ухудшение эффективности торможения. Кодовая оценка составляется на основании субъективного опыта лица, выполняющего оценку.

7. Оценка вида атмосферных осадков представляется в информации числовым кодом от 1 до 9 с описательно характеристикой:

NIL - чисто и сухо;

1 - влажно;

2 - мокро или отдельные участки стоячей воды;

3 - иней или изморось;

4 - сухой снег;

5 - мокрый снег;

6 - слякоть;

7 - лед;

8 - уплотненный или укатанный снег;

9 - мерзлый снег с неровной поверхностью (борозды, рытвины).

Понятие "влажно" соответствует состоянию, когда поверхность изменяет цвет;

"мокро", когда поверхность пропитана водой, но стоячая вода отсутствует;

"участки воды" - видны участки стоячей воды;

"иней или изморозь" - снеговидные кристаллические льдообразования на поверхности покрытия;

"сухой снег" - снег в рыхлом состоянии может сдуваться ветром или рассыпаться;

"мокрый снег" - снег, который не рассыпается и образует снежный ком;

"слякоть" - пропитанный водой снег, который при ударе разбрызгивается в стороны;

"лед" - вода в замершем состоянии, на аэродромных покрытиях проявляется в виде гололеда или гололедицы;

"уплотненный или укатанный снег" - снег спрессованный в твердую массу, при отрыве от земли не рассыпается или образует куски;

"мерзлый снег" - длительно лежавший на поверхности неэксплуатируемого покрытия и пропитанный замершей водой снег, имеет шероховатую поверхность;

Толщина слоя снега, слякоти на ВПП измеряется с помощью переносной металлической линейкой длиной 250 мм. Погрешность измерения не более 1 мм.

8. Осадки в виде сплошного слоя воды, распределенные на поверхности покрытия: песок, пыль, грунт и т.п., представляются в информации открытым текстом "залитая водой", "пыль" и т.п.

9. Информация о степени наличия осадков на покрытии по площади, относится к дополнительным сведениям, сообщаемым открытым текстом при этом используются следующая градация оценки:

10% при осадках на площади менее 10% ВПП;

25% при осадках на площади 11-25% ВПП и т.д.

Приложение 3

Эксплуатация воздушных судов на аэродроме по методу "ACN - PCN"

Метод заключается в сопоставлении классификационного числа покрытия PCN с классификационным числом ВС ACN при одной и той же прочности основания.

Классификационные числа PCN и ACN определяются по формуле

PCN (ACN) = 2М, где М - эквивалентная одноколесная нагрузка в тоннах с давлением в пневматиках колес 1,25 МПа, получаемая расчетом по стандартным программам ИКАО или определяется расчетно-теоретическим методом на основании данных

Информация о несущей способности искусственного покрытия, предназначенного для эксплуатации ВС массой более 5700 кг, должна содержать следующие данные:

классификационное число покрытия (PCN);

тип покрытия;

прочность основания;

максимально допустимое давление в шине колеса главной опоры ВС;

метод оценки прочности покрытия.

Тип покрытия: R - жесткие покрытия или усиленные асфальтобетоном с дополнительным кодом "смешенное";

F - нежесткие покрытия.

Прочность оснований приведена в таблице 3.1.

Таблица 3.1. - Прочности оснований

Код основания

Категория прочности основания

Коэффициент постели оснований жестких покрытий МН/куб.м

Модуль упругости грунтового основания нежестких покрытий МПа

А

Высокая

Более 120

Более 130

В

Средняя

120 - 60

130 - 60

С

Низкая

60-25

60-40

D

Очень низкая

Менее 25

Менее 40

 

Максимально допустимое давление в шинах колес:

W - высокое давление, более 1,50 МПа;

X - среднее давление, до 1,50 МПа;

Y - низкое давление, до 1,00 МПа;

Z - очень низкое давление, до 0,50 МПа.

Метод оценки прочности покрытия:

Т - техническая оценка, полученная на основании исследований или теоретическим методом (расчет прочности покрытия);

U - Использование опыта эксплуатации ВС.

Максимально допустимое давление в шинах колес ВС для не жестких покрытий принимается по таблице 3.2.

Таблица 3.2. - Максимально допустимое давление в шинах колес

Суммарная толщина асфальтобетонных слоев, см

Максимально допустимое значение в шинах колес ВС, МПа

Код максимально допустимого давления

Более 25

Более 1,50

W

10-25

До 1,50

X

7-15

До 1,00

Y

5 и менее

До 0,50

Z

 

Информация о несущей способности покрытий выражается в следующем виде:

PCN70/R/B/W/T - для жестких покрытий;

PCN60/R/С/X/Т - для жестких покрытий, усиленных асфальтобетоном;

PCN40/F/В/Y/Т - для нежестких покрытий.

Покрытие может эксплуатироваться ВС без ограничений, при соблюдется* условия:

PCN > ACN, если условие не выполняется, необходимо ввести ограничение по интенсивности движения или по массе ВС:

Методика ограничения интенсивности движения ВС или его массы по соотношению PCN/ ACN:

для жестких покрытий: 1> PCN / ACN > =0,85 - десять самолетовылетов

при 0,85 > PCN / ACN > =0,80 - два самолетовылета;

0,8 > PCN / ACN > =0,75 - один самолетовылет.

 

для нежестких покрытий: 1 > PCN / ACN > =0,80 - двадцать

при самолетовылетов;

0,80 > PCN/ ACN > =0,70 - пять

самолетовылетов.

Примечание. Интенсивность для жестких покрытий определяется как среднесуточная интенсивность за год, для нежестких покрытий как среднесуточное количество.

В случае невыполнения условия равенства ACN/PCN, по условию ограничения интенсивности, возможно ограничение массы ВС, которое превышает допустимое значение PCN, по формуле:

где: Мдоп - максимально допустимая масса ВС;

М1 - максимальная взлетная масса ВС;

М2 - масса пустого ВС;

ACN1 - классификационное число ВС при М1;

ACN2 - классификационное число пустого ВС;

PCN - классификационное число покрытия.

Примечание.

1. Значения ACN1 и ACN2 воздушных судов приведены в таблице 3.3.

2. Значения PCN и ACN определяются по формуле PCN (ACN) = 2М, где М - масса в тоннах нагрузки на покрытие, приложенной через одноколесную опору с давлением в шине колеса 1,25 МПа

Таблица 3.3. - Классификационные числа (ACN) воздушных судов

№ п. п.

Тип воздушного судна

Масса самолета, максимальная, пустого кг

Нагрузка на главную опору, кг

Давление в пневматике, МПа

Число колес на главной опоре

Координаты колес главной опоры

Значения ACN воздушного судна для соответствующего типа покрытия на указанном коде основания

X, см

Y, см

Жесткие покрытия

Нежесткие покрытия

А

В

С

D

А

В

С

D

1

Ан-12

61000

32000

28060

14720

0,74

4

0

0

123

123

0

49

0

49

14

8

17

7

21

9

24

10

16

7

18

8

22

9

26

12

2

Ан-22

225000

118700

103010

54330

0,54

6

0

200

250

-250

-250

0

125

0

125

0

115

25

13

27

14

27

16

37

15

29

13

36

16

43

18

60

23

3

Ан-24

21000

13400

9786

6244

0,49

2

0

0

0

50

10

6

11

7

12

7

13

8

8

5

10

6

12

7

14

8

4

Ан-26

24000

15000

11180

7000

0,39

2

0

0

0

51

11

6

15

7

13

8

14

8

8

4

10

6

14

8

16

9

5

Ан-70

130000

68000

60090

31432

0,78

6

0

0

150

150

-150

-150

0

72

0

72

0

72

17

10

22

9

31

11

39

15

24

10

26

11

33

13

43

18

6

Ан-72

34500

19000

15840

8720

2

0

0

126

0

0

12

7

13

7

15

8

16

8

10

5

12

7

14

8

17

9

7

Ан-124

398000

180000

190642

86220

1,08

10

0

0

171

171

342

342

-171

-171

-342

-342

0

100

0

100

0

100

0

100

0

100

37

17

49

16

74

19

101

25

51

17

60

19

77

22

106

32

8

Ан-225

600000

254000

285000

120650

1,27

14

0

0

171

171

342

342

513

513

-171

-171

-342

-342

-513

-513

0

100

0

100

0

100

0

100

0

100

0

100

0

100

43

17

58

17

85

20

121

26

62

18

73

20

95

24

133

35

9

Ту-22

92000

45000

41400

20250

1,08

4

0

0

123

123

0

65

0

65

24

10

28

11

33

13

38

15

25

11

28

11

34

13

43

16

10

Ту-26

123000

61500

57500

28750

1,18

6

0

0

106

106

-108

-108

0

71

0

71

0

62

26

9

34

12

43

15

50

18

27

11

31

12

39

14

51

19

11

Ту-95

185000

88270

84180

40160

1,23

4

0

0

165

165

0

80

0

80

51

21

60

22

71

26

80

30

56

22

64

23

74

27

91

34

12

Ту-134

47600

29350

21700

13380

0,83

4

0

0

89

89

0

56

0

56

11

6

14

7

16

9

19

10

12

7

13

7

16

8

22

11

13

Ту-154

98000

53500

44200

24100

0,93

6

0

0

103

103

-98

-98

0

62

0

62

0

62

17

7

24

9

30

12

36

15

20

9

23

10

29

12

37

16

14

Ту-160

274000

140000

123000

62850

1,67

6

0

0

132

132

-132

-132

0

94

0

94

0

94

66

23

84

29

102

37

117

45

67

27

78

29

96

35

119

48

15

Ту-204

103000

50000

47380

23000

1,42

4

0

0

127

127

0

80

0

80

28

12

32

13

38

15

43

17

28

12

31

13

37

14

48

17

16

Ту-214

112000

68000

51520

31280

1,42

4

0

0

127

127

0

80

0

80

31

16

36

19

42

22

48

25

32

17

35

18

42

21

54

27

17

Ту-334

47000

30050

21620

13823

1,08

2

0

0

0

80

25

15

27

16

29

17

30

18

23

14

24

14

27

16

31

18

18

Бе-12

34000

20000

15300

9000

0,44

1

0

0

20

12

21

13

22

13

23

14

17

10

21

13

26

15

28

17

19

Ил-14

22700

14500

10780

6890

0,59

2

0

0

0

53

11

7

12

7

13

8

14

9

9

6

11

7

13

8

16

9

20

Ил-18

64500

33600

30315

15792

0,92

4

0

98

98

0

0

0

62

62

17

7

20

8

24

10

28

12

18

8

20

9

24

10

32

13

21

Ил-62

162600

66400

76422

31208

1,08

4

0

0

165

165

0

80

0

80

42

16

50

16

60

18

69

21

48

16

55

17

65

19

80

24

22

Ил-62М

168000

71400

78960

33558

1,08

4

0

0

165 165

0

80

0

80

44

17

53

17

63

20

72

23

50

17

57

18

68

21

83

27

23

Ил-76Т

171000

83800

80370

39386

0,59

8

0

0

0

0

258

258

258

258

0

-62

82

144

0

-62

82

144

29

10

33

13

30

15

34

14

24

9

28

10

34

12

46

16

24

Ил-76МД

191000

87200

89770

40984

0,70

8

0

0

0

0

258

258

258

258

0

-62

82

144

0

-62

82

144

36

12

38

14

35

17

41

16

29

10

33

11

41

13

54

18

25

Ил-86

216400

110700

67517

34538

0,93

4

0

0

149

149

0

125

0

125

28

14

33

15

41

17

49

20

36

16

38

17

46

19

64

23

26

Ил-96

213000

111500

73227

35346

1,08

4

0

140

140

0

0

0

110

110

36

15

44

17

53

20

62

23

42

18

47

18

58

21

77

27

27

МиГ-23

17800

9780

7743

4259

1,03

1

0

0

15

8

15

8

15

9

15

9

15

8

15

9

15

9

16

9

28

МиГ-25

43000

20340

18920

8950

1,23

1

0

0

38

18

38

18

38

18

38

18

38

18

38

18

38

18

38

18

29

МиГ-27

18500

10200

8048

4437

1,08

1

0

0

16

9

16

9

16

9

16

9

16

9

16

9

16

9

16

9

30

МиГ-29

15800

9670

6794

4158

1,18

1

0

0

11

9

14

9

11

9

14

9

18

9

18

9

18

9

18

9

31

МиГ-31

45900

22680

19967

9866

1,32

2

0

112

0

36

23

11

24

11

25

12

26

12

20

10

20

10

21

10

23

10

32

Су-24

39700

21180

17960

9584

1,23

2

0 0

0 43

18

10

18

10

18

10

18

10

18

10

18

10

18

10

18

10

33

Су-25

17350

8800

7374

3740

0,98

1

0

0

11

7

14

7

14

7

14

7

14

8

15

8

15

8

15

7

34

Су-27

30090

16400

13029

7101

1,23

1

0

0

26

15

26

15

26

15

26

15

26

15

26

15

26

15

26

15

35

Як-40

16000

9700

7040

4268

0,39

1

0

0

9

6

10

6

10

6

11

7

7

4

9

6

12

7

13

8

36

Як-42

56500

31800

26555

14946

0,88

4

0

0

98

98

0

62

0

62

14

7

17

8

20

9

23

11

15

8

16

8

20

9

26

12

37

Ми-6

44000

27070

16720

10287

0,74

1

0

0

28

17

28

18

29

18

29

18

27

17

30

19

31

19

33

20

38

Ми-8

12000

7170

4500

2689

0,54

1

0

0

7

4

7

5

8

5

8

5

6

4

7

5

8

5

9

5

39

Ми-26

56000

28150

20720

10416

0,59

2

0 0

0 77

20

9

22

10

24

11

26

12

17

8

21

9

24

10

29

10

40

А300 Модель В4

157000

87826

73005

40839

1,41

4

0

0

140

140

0

93

0

93

44

20

52

23

61

27

69

32

46

22

51

23

62

27

79

35

41

А300-600

170250

89400

80869

42465

1,33

4

0

0

140

140

0

69

0

69

59

24

69

28

79

33

88

37

60

25

68

28

78

33

94

41

42

А320

68100

41640

32348

19779

1,21

2

0

0

0

92,71

39

22

42

24

44

25

46

26

36

21

37

21

41

23

47

26

43

А330

208840

115750

99199

54981

1,38

4

0

0

198

198

0

140

0

140

47

27

53

26

63

29

74

34

55

27

59

28

68

31

92

38

44

А340

254240

126000

99154

49140

1,38

4

(+ центра­льные спарен­ные колеса)

0

0

198

198

0

140

0

140

47

21

53

23

63

26

24

29

55

24

59

25

68

27

92

33

45

А737-200

52616

27293

23940

12418

1,10

2

0

0

0

78

24

11

26

12

29

13

31

14

21

10

26

11

29

13

34

15

46

В737-800

78542

61060

37300

29004

1,41

2

0

0

0

86

50

37

52

39

55

41

57

43

43

30

46

31

51

34

56

38

47

В747-400

396342

242680

94329

57758

1,38

4

0

0

147

147

0

112

0

112

54

29

65

33

77

39

87

45

59

32

66

34

84

39

104

54

48

В757

113500

83460

53913

39644

1,24

4

0

0

114

114

0

86

0

86

31

21

38

25

44

29

50

33

33

22

37

24

46

29

59

39

49

В757-200

109318

59013

49521

26733

1,21

4

0

0

114

114

0

86

0

86

28

12

33

14

39

17

44

19

29

13

32

14

40

16

52

22

50

В767-200

141520

80890

63373

37937

1,26

4

0

0

142

142

0

114

0

114

33

17

38

19

46

22

53

25

37

19

40

20

48

22

66

28

51

B767-300ER

185686

133810

88201

63560

1,38

4

0

0

142

142

0

114

0

114

50

32

59

38

70

45

80

52

54

36

60

39

75

45

96

62

52

В777-200С

327788

200000

155700

95000

1,50

6

0

0

145

145

-145

-145

0

140

0

140

0

140

62

33

81

38

103

48

124

60

78

39

88

43

112

52

145

73

53

Конкорд

185066

78398

88803

37775

1,26

4

0

0

167

167

0

68

0

68

61

21

71

22

82

25

21

29

65

21

72

22

81

26

98

32

54

DC-8-63

162386

72002

77296

34273

1,30

4

0

0

140

140

0

81

0

81

50

17

60

19

69

23

78

26

52

18

59

19

71

22

87

29

55

DC-9-82

67133

44755

31999

21326

1,24

2

0

0

0

71

44

27

46

28

48

30

49

31

38

23

41

24

45

27

49

31

56

DC-10-40

253105

122567

95421

46208

1,17

4

(+ центра­льные спарен­ные колеса)

0

0

163

163

0

137

0

137

44

20

53

21

64

24

75

28

53

22

59

23

70

26

97

32

57

MD-11

281943

125780

109954

49054

1,41

4

(+ центра­льные спарен­ные колеса)

0

0

163

163

0

137

0

137

58

23

67

25

82

28

94

32

66

25

73

26

88

28

117

36

58

MD-90-30

71278

36600

33857

17385

1,38

2

0

0

0

71

48

22

51

23

52

24

54

25

42

19

45

20

49

22

52

25

59

F-100

45400

24380

21565

11581

0,98

2

0

0

0

59

28

14

30

15

32

15

33

16

25

12

27

13

31

14

33

17

60

L-1011

226092

109300

107394

51918

1,24

4

0

179

179

0

132

0

132

52

24

61

24

74

28

87

33

62

26

68

27

82

30

110

38

61

C-5

349126

169115

83092

40249

0,73

6

0

0

165

0

165

0

0

86

0

-14

-140

-226

26

12

30

13

39

14

49

17

32

13

36

14

44

16

59

21

62

С-17А

265590

128650

126155

61109

0,95

6

0

0

-246

-246

27

-219

0

105

0

105

-105

-105

54

23

50

26

58

24

71

26

54

21

61

23

73

27

94

34

63

С-130

79450

34387

37739

16334

0,72

2

0

152

0

0

34

14

37

15

41

16

43

17

31

12

35

14

38

15

44

17

64

С-141

156630

67246

74399

31942

1,31

4

0

0

122

122

0

83

0

83

50

16

60

19

69

22

77

25

51

17

59

19

72

21

86

28

65

КС-10

264682

130000

103226

50700

1,22

4

(+ центра­льные спарен­ные колеса)

0

0

163

163

0

137

0

137

50

23

60

24

72

28

85

33

60

25

66

26

80

30

108

38

66

Р-3

64468

28120

30662

13357

1,31

2

0

0

0

66

44

17

46

18

48

18

49

19

38

15

41

15

45

16

47

19

Приложение 4

Схемы маркировки аэродромов и препятствий

Рисунок 4.1. - Схема маркировки ВПП, полосы подхода к ВПП (размеры в метрах)

Рисунок 4.2. - Размеры и форма цифр и букв на ИВПП (размеры в метрах)

Рисунок 4.3. - Схема маркировки смещенного порога (размеры в метрах)

Рисунок 4.4. - Призмы для обозначения границ летного поля (размеры в метрах)

Рисунок 4.5. - Отдельные элементы маркировки летного поля (размеры в метрах)

Рисунок 4.6. - Схема маркировки и светоограждения вертикальных конструкций зданий и сооружений (размеры в метрах)

Рисунок 4.7. - Схема дневной маркировки и светоограждения дымовых труб и мачт (размеры в метрах)

Приложение 5

Оформление дефектовочного плана искусственного покрытия

Рисунок 5.1.- Первый лист дефектовочного плана

Рисунок 5.2. - Второй лист дефектовочного плана

Рисунок 5.3. Третий лист дефектовочного плана

Рисунок 5.4. Пример оформления четвертого листа дефектовочного плана

Рисунок 5.5. - Пример оформления дефектовочного плана цементобетонного покрытия (по пикетам)

Примечание - Плита имеет номер плиты и ряда, например I-3

Приложение 6

Условные обозначения дефектов искусственных покрытий

Таблица 6.1.

Продолжение таблицы 6.1.

Приложение 7

Ведомости дефектов искусственного покрытия

Таблица 7.1. - Ведомость дефектов покрытия на ГКN - ГКN +1

№ п/п

Вид дефекта

Объем разрушений

Количество* плит, подверженных дефекту, шт

м2

п.м.

мм

 

 

 

 

 

 

 

 

 

 

 

 

 

 

 

 

 

 

 

 

 

 

 

 

Примечание: * - для цементобетонного покрытия

Таблица 7.2. - Сводная ведомость дефектов покрытия

№ п/п

Вид дефекта

Объем разрушений

* Количество плит, подверженных дефекту, шт

* Процент плит с повреждениями от общего количества плит покрытия, %

** Процент поврежденной площади покрытия, %

м2

п.м.

мм

 

 

 

 

 

 

 

 

 

 

 

 

 

 

 

 

 

 

 

 

 

 

 

 

 

 

 

 

 

 

 

 

Примечание:

* - для цементобетонного покрытия;

** - для асфальтобетонного покрытия.

Приложение 8

Методика оценки эксплуатационно-технического состояния покрытий элементов летного поля

Оценка состояния жесткого покрытия по результатам дефектации определяется по формуле:

, (К.1)

где До - обобщенный показатель повреждений покрытий для участков.

 

Для участков покрытий применяется с поправочным коэффициентом:

РД - 1,33; МС - 2,0;

Дтр - показатель растрескивания плит;

Дск - показатель повреждения швов;

Дпл - показатель повреждения поверхности плит;

Qтр, Qск, Qпл - коэффициенты весомости повреждений.

 

Показатель Д определяется по формуле:

, (К.2)

где N1 - количество плит с повреждениями;

N0 - общее количество плит;

 

Значение коэффициентов весомости следует принимать:

Qтр=0,05 Qск= 0,1 Qпл=0,03

 

Общая оценка эксплуатационно-технического состояния покрытия дается с использованием численного значения показателя, определяемого по формуле:

, (К.3)

Величина S не должна быть менее 2,5. В противном случае состояние покрытия следует признать неудовлетворительной.

Оценку технического состояния асфальтобетонных покрытий производится по результатам дефектации с использованием следующей формулы:

, (К.4)

где Pi - показатель состояния по всем видам повреждений, определяемый по таблице 8.1.

Таблица 8.1. - Показатель состояния покрытия в зависимости от степени дефектности

№ п/п

Наименование дефектов

Степень дефектности по классификатору

Показатель состояния для нежестких покрытий, Pi

 

 

0

0,0-0,0

 

 

1

0,0-2,4

1

Поперечные трещины

2

2,4-4,8

 

 

3

4,8-7,2

 

 

4

7,2-9,6

 

 

0

0,0-0,0

 

 

1

0,0-4,0

2

Продольные трещины

2

4,0-8,0

 

 

3

8,0-12,0

 

 

4

12,0-16,0

 

 

0

0,0-0,0

 

 

1

0,0-10,0

3

Частая сетка трещин

2

10,0-20,0

 

 

3

20,0-30,0

 

 

4

30,0-40,0

 

 

0

0,0-0,0

 

 

1

0,0-4,0

4

Эрозия

2

4,0-8,0

 

 

3

8,0-12,0

 

 

4

12,0-16,0

 

 

0

0,0-0,0

 

 

1

0,0-3,2

5

Колея

2

3,2-6,4

 

 

3

6,4-9,6

 

 

4

9,6-12,8

 

Для оценки состояния при обследовании покрытий необходимо пользоваться* классификатором дефектов (таблица 6.1). Для пользования классификатором необходимо отнести обнаруженное повреждение (дефект) к одному из приведенных описаний, определить объем дефектов и по этим двум признакам оценить состояние покрытия по пятибалльной шкале.

Значение показателя состояния для нежестких покрытий следует принимать пропорционально объему повреждений.

Например, если при обследования покрытия зафиксирована частая сетка трещин (вторая строка классификатора дефектов) с повреждением 20% площади, то это повреждение относят к второй степени дефектности по классификатору, показатель состояния при этом будет равен 20.

Общая оценка состояния покрытий производиться с использованием данных таблицы 8.2.

Таблица 8.2. - Показатели состояния покрытий

Показатель состояния для жестких покрытий, S

Показатель состояния для нежестких покрытий, Ро

Состояние покрытия

Стадия эксплуатации

4,5-5,0

0-19

отличное

нормальная

3,5-4,5

20-39

хорошее

нормальная

2,5-3,5

40-69

удовлетворительное

критическая

менее 2,5

70 и более

неудовлетворительное

закритическая

Приложение 9

Образец

 

УТВЕРЖДАЮ

__________________________

(руководитель организации)

__________________________

(подпись)

"___"_________20___г.

Акт № ____
технического обследования искусственного покрытия элемента летного поля аэродрома

от "_______"_______________20___г.

 

Организация ЭА___________________________________________________________

Комиссия в составе ________________________________________________________

(должности, Ф.И.О. членов комиссии)

________________________________________________________________________

действующая на основании__________________________________________________

(указываются полномочия комиссии, № приказа или распоряжения)

________________________________________________________________________

произвела в период с "___"__________200__г. по "___"___________200__г.

техническое обследование___________________________________________________

(наименование элемента летного поля)

в целях установления причин и объемов разрушений и дефектов отдельных элементов конструкций.

На основании технического обследования______________________________________

                                                                                  (сооружение в целом или его отдельных элементов)

комиссия установила, что___________________________________________________

________________________________________________________________________

(вид дефекта, объемы повреждения и причина, послужившая образованию дефекта)

Заключение_______________________________________________________________

                            (техническое состояние искусственного покрытия элемента летного поля)

 

Требуется произвести следующие ремонтные работы:

1.__________________________________________________________________

2.__________________________________________________________________

3.__________________________________________________________________

 

Председатель комиссии ________________________ (Ф.И.О.)

                                                                 (подпись)

Члены комиссии: ________________________ (Ф.И.О.)

                                                                 (подпись)

                              ________________________ (Ф.И.О.)

 

Приложение 10

Материалы для ремонта искусственного покрытия

Таблица 10.1. - Требования к материалам для ремонта искусственного покрытия

Наименование показателя

Нормативные требования

1

2

Материалы на основе минеральных вяжущих

Прочность на сжатие в возрасте 28 суток, МПа, не менее

40

Прочность на растяжение при изгибе в возрасте 28 суток, не менее

5,0

Морозостойкость, циклы, не менее

200

Относительные усадочные деформации, мм/м, не более

 

после 14 суток

0,55

после 120 суток

0,80

Прочность сцепления с бетоном, МПа, не менее

1,5

Материалы на основе полимерных вяжущих

Прочность на сжатие в возрасте 28 суток, МПа, не менее

40

Прочность на растяжение при изгибе в возрасте 28 суток, не менее

18

Предельное значение усадочных деформаций, мм/м, не более

3,6

Модуль упругости, МПа, не более

3000

Коэффициент линейного теплового расширения, a´106, 1/°С, не более

40

Прочность сцепления с бетоном, МПа, не менее

1,5

Герметизирующие материалы

Относительное удлинение в момент разрыва при температуре минус 20°С, %, не менее

75

Температура, характеризующая гибкость, °С, не выше для марок

 

Г25

минус 25

Г35

минус 35

Г50

минус 50

Температура липкости, °С, не ниже

+ 50

Водопоглощение по массе, %, не более

0,5

Жизнеспособность герметиков холодного применения при температурах до +60°С, ч, не менее

1

Старение под воздействием ультрафиолетового излучения, ч, не менее

1000

Выносливость, не менее циклов деформаций

30000

Материалы для защитной пропитки

Коэффициент сцепления колеса с покрытием

Допускается уменьшение по сравнению с необработанной поверхностью не более 10%

Морозостойкость обработанного бетона

Показатель эффективности Пэ - не менее 1,2

 

В таблицах 10.2.-10.7. приведен примерный перечень материалов для ремонта искусственных покрытий. При применении других материалов необходимо наличие Сертификата соответствия Системы сертификации на воздушном транспорте или другой нормативный документ, разрешающий применение их на аэродромах.

Таблица 10.2. - Технические характеристики материалов на основе минеральных вяжущих веществ

Наименование ремонтного материала

Толщина укладки, мм

Прочность на растяжение при изгибе в возрасте 28 суток, МПа (не менее 5,0)

Прочность на сжатие, МПа, в возрасте

Прочность сцепления с бетоном в возрасте 28 суток, МПа (не менее 1,5)

Морозостойкость, циклы (не менее 200)

Относительные усадочные деформации, мм/м (в возрасте 14 суток не более 0,55; в возрасте 120 суток не более 0,80)

6 часов

24 часа

28 суток (не менее 40 МПа)

1

2

3

4

5

6

7

8

9

Сухая смесь типа

РМ-26Ф (с фиброй)

минимальная 45

12,0

до 30

до 50

более 60

2,5

200

не более 0,5

РМ-26С

минимальная 70

9,0

до 25

до 35

более 60

2,5

200

не более 0,55

Сухие смеси типа Emaco S88

10-40

8,7

-

30

75,6

3,2

300

безусадочные

Emaco S66

(с полимерной фиброй)

40 - 100

8,5

-

30

69,9

2,8

300

Emaco SFR (с металлической или полимерной фиброй)

10-40

15,0

 

25

75,6

3,3

300

Сухие бетонные

 

 

 

Класс бетона

 

 

 

смеси

 

 

20 МПа за

 

 

 

 

без фибры

минимальная

Btb 4,8-6,0

72 ч

В30

не менее 1,5

не ниже 200

-

 

100

 

24; 72 ч

В40

 

 

не более 0,7

 

 

 

6; 24; 72 ч

В45

 

 

 

с фиброй

минимальная

Btb 5,6-8,0

24; 72 ч

В40

не менее

не ниже 200

-

 

50

 

6; 24; 72 ч

В45

 

 

не более 0,7

 

 

 

4; 6; 24; 72 ч

В50

 

 

 

Таблица 10.3. - Технические характеристики герметизирующих материалов горячего применения

Наименование герметизирующего материала

Праймер

Относительное удлинение в момент разрыва при минус 20°С, (не менее 75)

Гибкость, °С

Температура липкости, °С (не ниже +50)

Старение под воздействием УФ, ч (не менее 1000)

Выносливость, циклы деформаций (не менее 30 000)

Водопоглощение по массе, % (не более 0,5)

1

2

3

4

5

6

7

8

Битумно-полимерный Герметик типа "ЗАЩИТА"

Раствор герметика в бензине (толуоле, ксилоле и т.д.) в соотношении 1:1

150

минус 35

+75

 

50 000

0,5

Битумно-полимерный герметик типа "Новомаст"

Грунтовка типа "Colzumix"

тип Ш

тип Т

минус 25

не ниже +

не менее

не менее 30

не более

 

 

БГ25

 

75

150

 

 

 

 

 

БГ35

 

150

200

минус 35

50

1000

000

0,5

БГ50

 

200

200

минус 50

 

 

 

 

Битумно-полимерный герметик типа "ИЖОРА" БП-Г 35

Грунт типа "Ижора"

не менее 75

минус 35

не ниже +50

не менее 1000

не менее 30 000

0,5

Мастика битумно-полимерная типа "Аэродор" БП-Г 25

Мастика типа "Аэродор" разжиженная углеводородным растворителем в соотношении 1:1

не менее 75

минус 25

+50

не менее

не менее 30

не более

БП-Г 35

 

минус 35

 

1000

000

0,5

БП-Г 50

 

минус 50

 

 

 

 

Битумно-полимерная мастика типа Прогресстех-АГ тип I (БП-Г35) тип

без праймера

200

минус 40

не ниже +50

не менее

не менее

не более

II (БП-Г50)

 

160

минус 50

 

1000

30 000

0,5

Битумно-эластомер-

Праймер под

не менее

минус 40

+50

не менее

не менее

не более

ная мастика типа МГБЭ марки Ш-75

битумно-полимерные мастики отвечающий требованиям ТУ

120

 

(с присыпкой)

1000

30 000

0,5

Битумно-полимерный

Грунтовка типа

 

минус 40

+50

 

60 000

не более

герметик типа "Biguma"

"Colzumix"

 

 

(с присыпкой)

 

 

0,5

Битумно-полимерный герметик типа

Герметик разжиженный углеводородным растворителем в соотношении 1:1

 

 

 

 

 

 

БП-Г25

не менее 75

минус 25

не ниже +50

не менее

не менее 30

не более

БП-Г35

 

минус 35

 

1000

000

0,5

БП-Г50

 

минус 50

 

 

 

 

Таблица 10.4. - Материалы на основе полимерных связующих

Наименование показателя

Норма

Материал типа РМ-26Э

РМ-26ЭС

РМ-26ЭО

Консистенция смеси, мм

 

160 ± 20

160 ± 20

Прочность на растяжение при изгибе, МПа,

 

 

 

в возрасте 24 часа

не менее

10

10

28 суток

18

18

18

Прочность на сжатие, МПа,

 

 

 

в возрасте 24 часа

не менее

20

20

28 суток

40

40

40

Прочность сцепления с бетоном, МПа

 

 

 

в возрасте 24 часа

не менее

2

2

28 суток

1,5

3

3

Предельное значение усадочных деформаций, мм/м

не более 3,6

3,6

3,6

Модуль упругости, МПа

не более 3000

2500

3000

Коэффициент линейного теплового расширения a ´ 106, 1/°С

не более 40

40

35

Толщина укладки, мм

 

до 5

1,0

Таблица 10.5. - Технические характеристики материалов для защитной пропитки

Защитные пропитки

Плотность, г/см3

Время высыхания каждого слоя, час, не более

Увеличение морозостойкости покрытия, %

Расход г/м2

типа "Барьер 26"

1,1-1,2

2

150

500

типа Burke-O-Lith

1,07

8

60

180

типа "ССС-100"

1,216

*

150

300

типа "ВВМ-М"

*

0,5

150

500

Примечание - * - нет данных

Таблица 10.6. - Технические характеристики битумно-полимерного материала

Наименование показателя

Битумно-полимерный материал (холодный асфальт)

Предел прочности при сжатии при 20°С, МПа, не ниже

1,7

Предел прочности при сжатии при 20°С водонасыщенных образцов, МПа, не ниже

1,2

Водонасыщение, %

5,0

Остаточная пористость, %, не более

6,0

Слеживаемость, не более

10

Таблица 10.7 - Технические характеристики битумно-полимерной композиции типа Монолит-RUS

Наименование показателя

Битумно-полимерная композиция типа Монолит-RUS (холодный асфальт)

Содержание битума и полимеров, %

от 6 до 10

Размер гранул (средний), мм

6,25

Усилие для уплотнения, кгс/см2

4,0

Температура укладки, °С

до минус 26

Предел прочности при сжатии при 20°С, МПа, после прогрева, не ниже

1,02

Коэффициент водостойкости после прогрева

0,92

Набухание по объему, %

0,1

Коэффициент сцепления колеса с покрытием

0,45

Приложение 11

Способы текущего ремонта искусственных покрытий и применяемые материалы

Таблица 11.1

Вид дефекта

Способ ремонта

Материал для ремонта

Усадочные трещины

Защитная пропитка или затирка

Гидрофобизирующие пропиточные материалы или высокодисперсные цементные суспензии

Сквозные трещины шириной менее 40 мм без обрушения кромок

Герметизация

Герметизирующие материалы

Сквозные трещины с обрушенными кромками или шириной более 40 мм

Замена разрушенной части плиты на глубину дефекта с формированием шва

Ремонтные материалы на основе минеральных вяжущих и герметизирующие материалы

Разрушение верхнего слоя на глубину до 5 мм

Защитная пропитка или устройство защитного коврика

Пропиточные материалы или материалы на основе полимерных связующих

Разрушение верхнего слоя на глубину до 10 мм

Устройство защитного коврика

Материалы на основе полимерных связующих

Разрушение верхнего слоя на глубину более 10 мм

Замена разрушенной части плиты на глубину дефекта

Ремонтные материалы на основе минеральных вяжущих На РД и МС допускается использование асфальтобетона

Раковины, выбоины и сколы кромок плит размером менее 50 мм

Заливка герметизирующим материалом

Герметики горячего применения

Раковины, выбоины и сколы кромок плит размером более 50 мм

Замена разрушенной части плиты на глубину дефекта

Ремонтные материалы на основе минеральных вяжущих На РД и МС допускается использование асфальтобетона

Отколы углов и кромок, разрушение плит

Замена части или всей плиты на полную толщину

Товарный бетон или ремонтные материалы на основе минеральных вяжущих

Уступы в швах

Срезание кромок плит или устройство выравнивающего слоя

Ремонтные материалы на основе минеральных вяжущих На РД и МС допускается использование асфальтобетона

Просадки и проломы плит или участков покрытия

Замена плит на полную толщину или устройство выравнивающего слоя

Товарный бетон или ремонтные материалы на основе минеральных вяжущих В качестве выравнивающего слоя на РД и МС допускается использование асфальтобетона

Разрушение заполнителя швов

Герметизация швов

Герметизирующие материалы

Потеря покрытием продольной устойчивости

Устройство компенсационных швов

Герметизирующие материалы

Трещины до 8 мм

Консервация трещины без разделки

Герметизирующие материалы

Трещины шириной 8-35 мм

Разделка трещин под шов и герметизация

Герметизирующие материалы

Трещины всех типов шириной от 35 до 150 м

Ремонт с использованием деформативных вставок и устройством деформационного шва

Асфальтобетонная смесь плотная мелкозернистая, герметизирующие материалы

Трещины со сколами кромок шириной более 150 мм

Ремонт с использованием деформативной вставки и укладки трещинопрерывающей прослойки

Минерально-мастичная смесь, трещинопрерывающея прослойка

Выкрашивание поверхности

Устройство ремонтного слоя

Асфальтобетонная смесь аналогичная существующему покрытию по типу и марке

Волны, наплывы, сдвиги, колеи

Замена покрытия на толщину верхнего слоя или полную толщину с устранением причин, вызвавших образование дефекта

Асфальтобетонная смесь аналогичная существующему покрытию по типу и марке

при отсутствии разрывов покрытия

Укатка

 

Выбоины

Замена разрушенной части покрытия на глубину дефекта

Асфальтобетонная смесь плотная мелкозернистая

Просадки и проломы участков покрытия

Замена покрытия на участке на полную толщину с восстановлением искусственного основания (при пучении с термоизолирующим слоем)

Асфальтобетонная смесь аналогичная существующему покрытию по типу и марке

Уступы в швах и трещинах

Фрезерование или устройство переходного пандуса

Асфальтобетонная смесь плотная мелкозернистая

Приложение 12

Контроль качества работ при текущем ремонте

Таблица 12.1. - Контроль качества ремонтных работ на цементобетонном покрытии.

Контролируемые операции и параметры

Нормативные требования и допускаемые отклонения

Объем контроля

Метод контроля

1

2

3

4

1. Ремонт сквозных трещин с разделкой швов

Ширина и глубина паза

Ширина 10-12 мм, глубина 30-36 мм - для трещин с шириной раскрытия до 10 мм. Ширина - на 1-2 мм больше ширины раскрытия, глубина в 3 раза больше ширины паза для трещин шириной раскрытия более 10 мм. Отклонение не более ±2 мм.

Не менее 3-х измерений на 10 м трещины

Инструментальный, линейка

Качество очистки и просушки паза

Поверхность должна быть сухой и не иметь видимых загрязнений.

Сплошной

Визуальный

Качество укладки уплотнительно-го шнура

Шнур должен лежать на дне паза.

Сплошной

Визуальный

Качество нанесения праймера

Праймер должен равномерно покрывать поверхность бетона

Сплошной

Визуальный

Рабочая температура герметизирующего материала

По техническим условиям на материал, отклонение не более ± 5°С.

Каждый разогрев

Инструментальный, термометр

Качество заполнения паза герметизирующим материалом

Отсутствие пропусков по длине трещины. Поверхность герметика - заподлицо с поверхностью покрытия.

Сплошной

Визуальный

2. Ремонт сквозных трещин со сколами кромок

Оконтуривание дефектного участка

Глубина паза должна соответствовать толщине укладываемого слоя.

Пазы должны быть параллельны швам покрытия.

Не допускается запиливание за границы дефектного участка.

Сплошной

Инструментальный, линейка

Визуальный

Удаление ослабленного бетона

Глубина удаления должна быть равна глубине дефекта, но не менее толщины укладываемого слоя.

Стенки вырубки должны быть вертикальными, дно горизонтальным.

Не менее трех измерений на 1 м2 дефектного участка Сплошной

Инструментальный, линейка

Установка анкеров из арматурной стали

Диаметр арматуры и шаг согласно проекта.

Сплошной

Инструментальный

Укладка ремонтного материала

Укладка материалов на основе минеральных вяжущих веществ.

 

Приложение 10 настоящего Руководства и технологический регламент на конкретный материал

Устройство шва

Герметизация швов согласно Приложению 10 настоящего Руководства.

 

 

3. Ремонт усадочных трещин и разрушений верхнего слоя на глубину до 5 мм защитной пропиткой

Качество очистки и просушки поверхности

Поверхность должна быть сухой и не иметь видимых загрязнений.

Сплошной

Визуальный

Качество нанесения пропиточного материала

Материал должен наноситься равномерно за 2-3 приема с общим расходом 0,6-1,2 л/м2.

Сплошной

Визуальный

4. Ремонт разрушений верхнего слоя на глубину до 10 мм

Удаление ослабленного бетона

Глубина удаления должна быть равна глубине дефекта, но не менее толщины укладываемого слоя.

Не менее трех измерений на 1 м2 дефектного участка

Инструментальный, линейка

Качество очистки и просушки поверхности

Поверхность должна быть сухой и не иметь видимых загрязнений.

Сплошной

Визуальный

Качество нанесения праймера

Праймер должен наноситься равномерно с расходом, указанным в технических условиях.

Сплошной

Визуальный

Нанесение ремонтного материала

После полного высыхания праймера. Расход, толщина слоя соответственно техническим условиям на материал.

Сплошной контроль

Не менее 3-х измерений на 1м2 ремонтируемой поверхности

Визуальный

Инструментальный

5. Ремонт разрушений верхнего слоя на глубину более 10 мм

Удаление герметика и уплотнительного шнура из паза шва

Удаление на длину, превышающую ширину ремонтируемого участка на 5-10 см.

Сплошной

Визуальный

Оконтуривание дефектного участка

Глубина паза должна соответствовать толщине укладываемого слоя. Пазы должны быть параллельны швам покрытия. Не допускается запиливание за границы дефектного участка.

Сплошной

Инструментальный, линейкой

Визуальный

Удаление ослабленного бетона

Глубина удаления должна быть равна глубине дефекта, но не менее толщины укладываемого слоя.

Стенки вырубки должны быть вертикальными, дно - горизонтальным.

Не менее трех измерений на 1 м2 дефектного участка

Сплошной

Инструментальный, линейка

Армирование

Установка анкеров и арматурной сетки в случае необходимости согласно проекту

Диаметр арматуры и шаг установки анкеров, качество сварки.

Сплошной

Инструментальный

Укладка ремонтного материала

Укладка материалов на основе минеральных вяжущих веществ. Укладка горячих асфальтобетонных смесей.

 

Таблица 12.3 и технологический регламент на конкретный материал Таблица 12.4

Устройство шва

Герметизация швов согласно Приложению 10 настоящего Руководства.

 

 

6. Ремонт раковин и выбоин, сколов кромок плит размером менее 50 мм

Удаление разрушенного бетона

Отсутствие частиц разрушенного бетона в зоне ремонта.

Сплошной

Визуальный

Качество очистки и просушки поверхности

Поверхность должна быть сухой и не иметь видимых загрязнений.

Сплошной

Визуальный

Качество нанесение праймера

Праймер должен равномерно покрывать поверхность бетона

Сплошной

Визуальный

Рабочая температура герметизирующего материала

По техническим условиям на материал, отклонение не более ±5°С.

Каждый разогрев

Инструментальный, термометр

Качество заполнения дефектных мест герметизирующим материалом

Поверхность герметика - заподлицо с поверхностью покрытия.

Сплошной

Визуальный

7. Ремонт раковин и выбоин, сколов кромок плит размером более 50 мм

Оконтуривание дефектного участка

Глубина паза должна соответствовать толщине укладываемого слоя.

Пазы должны быть параллельны швам покрытия.

Не допускается запиливание за границы дефектного участка.

Сплошной

Инструментальный, линейка

Визуальный

Удаление ослабленного бетона

Глубина удаления должна быть равна глубине дефекта, но не менее толщины укладываемого слоя.

Стенки вырубки должны быть вертикальными, дно - горизонтальным.

Не менее трех измерений на 1 м2 дефектного участка

Сплошной

Инструментальный, линейка

Установка анкеров из арматурной стали

Диаметр арматуры и шаг.

Сплошной

Инструментальный

Укладка ремонтного материала

Укладка материалов на основе минеральных вяжущих веществ. Укладка горячих асфальтобетонных смесей.

 

Таблица 12.3 и технологический регламент на конкретный материал Таблица 12.4.

8. Ремонт отколов углов и краев, разрушенных плит

Удаление из покрытия разрушенных плит (частей плит)

Разрезка плит на блоки на всю толщину покрытия. Глубина паза за один проход не более 5 см. Удаление блоков автокраном.

Не менее трех замеров на 10 м шва

Сплошной

Инструментальный, линейка

Визуальный

 

Разрушение плит бетоноломами и отбойными молотками. Удаление экскаватором или погрузчиком.

Сплошной

Визуальный

Восстановление основания или нижележащего слоя покрытия

Отсутствие остатков бетона.

Восстановление разрушенных участков.

Укладка на основание или нижележащий слой разделительной прослойки из рулонных материалов.

Сплошной

Визуальный

Обработка смежных плит и незаменяемой части плиты клеящим составом

Сплошность и равномерность обработки.

Сплошной

Визуальный

Установка стержней

По контуру заменяемого участка в соответствии проектной документации.

Сплошной

Инструментальный, линейка, штангенциркуль

Армирование заменяемых участков

В соответствии с армированием существующего покрытия.

Сплошной

Инструментальный, линейка, рулетка, штангенциркуль

Укладка ремонтного материала

Укладка материалов на основе минеральных вяжущих веществ.

 

Таблица 12.3 и технологический регламент на конкретный материал

Устройство деформационных швов

Устраивают по всему периметру, а также в местах швов существующего покрытия Устройство согласно Приложению 10 настоящего Руководства.

Сплошной

Визуальный

Инструментальный

9. Ремонт уступов в швах

Срезка превышений

Фрезерование на ширину в 100 раз большую высоты уступа.

Сплошной

Инструментальный, линейка

Заделка пониженных мест ремонтными материалами

По контуру участка укладки ремонтного материала прорубают паз глубиной 2-3 см и шириной не менее 5 см, а на остальной части ремонтируемого покрытия (внутри контура) с помощью нарезчика швов делают насечку.

Сплошной

Визуальный

Инструментальный, линейка

 

Очистка, продувка, промывка, высушивание ремонтируемого участка, его подгрунтовка и укладка выравнивающего слоя контролируется теме же способами, что и при ремонте разрушений верхнего слоя на глубину более 10 мм.

 

 

10. Ремонт просадок плит

Замена плит на полную толщину

Вскрытие плит с устранением причин образования просадки и восстановления плит покрытия контролируется так же, как и при замене разрушенных плит (п. 8 настоящей таблицы).

 

 

Устройство выравнивающего слоя

Очистка, продувка, промывка, высушивание ремонтируемого участка, его подгрунтовка и укладка выравнивающего слоя контролируется теме же способами, что и при ремонте разрушений верхнего слоя на глубину более 10 мм.

 

 

11. Герметизация швов

Качество подготовки швов к герметизации

Отсутствие старого заполнителя, грязи, выкрошившегося бетона.

Сплошной

Визуальный

Качество укладки уплотнительного шнура

Шнур должен лежать на дне паза шва.

Сплошной

Визуальный

Качество нанесения праймера

Праймер должен равномерно покрывать поверхность бетона.

Сплошной

Визуальный

Рабочая температура герметизирующего материала

По техническим условиям на материал, отклонение ±5°С.

Каждый разогрев

Инструментальный, термометр

Качество заполнения пазов герметизирующим материалом

Отсутствие пропускав по длине шва. Поверхность герметика - заподлицо с поверхностью покрытия.

Сплошной

Визуальный

12. Устройство компенсационных швов

Нарезка пазов компенсационных швов

На всю толщину покрытия, поэтапно с глубиной каждого пропила не более 5 см перпендикулярно оси ВПП таким образом, чтобы они не совпадали с имеющимися швами покрытия. Ширина швов и расстояние между ними согласно проекту.

Каждый шов

Инструментальный, линейка, рулетка

Удаление бетона из паза шва

Отсутствие остатков бетона.

Каждый шов

Визуальный

Качество очистки и просушки поверхности

Поверхность должна быть сухой и не иметь видимых загрязнений.

Каждый шов

Визуальный

Качество укладки уплотнительного шнура

Укладка слоями, количество которых указано в проекте.

Каждый шов

Визуальный

Качество нанесения праймера

Праймер должен равномерно покрывать поверхность бетона.

Сплошной

Визуальный

Рабочая температура герметизирующего материала

По техническим условиям на материал, отклонение ±5°С.

Каждый разогрев

Инструментальный, термометр

Качество заполнения пазов герметизирующим материалом

Отсутствие пропускав по длине шва. Поверхность герметика - заподлицо с поверхностью покрытия.

Сплошной

Визуальный

Таблица 12.2 - Контроль качества ремонтных работ на асфальтобетонном покрытии

Контролируемые операции и параметры

Нормативные требования и допускаемые отклонения

Объем контроля

Метод контроля

1

2

3

4

1. Консервация трещин шириной до 8 мм

Качество очистки и просушки

Поверхность должна быть сухой и не иметь видимых загрязнений.

Сплошной

Визуальный

Качество нанесения праймера

Праймер должен равномерно покрывать стенки трещины и прикромочной зоны (не менее 20 мм по обе стороны).

Сплошной

Визуальный

Рабочая температура герметизирующего материала

По техническим условиям на материал, отклонение ±5°С.

Каждый разогрев

Инструментальный, термометр

Качество заполнения трещины герметизирующим материалом

Отсутствие пропусков по длине трещины. Заполнение трещины с превышением (не более 3 мм).

Сплошной

Визуальный

Качество присыпки

Равномерность посыпки, расход минерального материала 1 м3 на 10000 м2.

Сплошной

Визуальный

2. Ремонт трещин шириной 8-35 мм с разделкой под шов

Ширина и глубина паза

Ширина 10-12 мм, глубина 30-36 мм - для трещин с шириной раскрытия до 10 мм. Ширина на 1-2 мм больше ширины раскрытия, глубина в 3 раза больше ширины паза для трещин шириной раскрытия более 10 мм отклонение ±2 мм.

Не менее трех измерений на 10 м трещины

Инструментальный, линейка

Качество очистки и просушки паза

Поверхность должна быть сухой и не иметь видимых загрязнений.

Сплошной

Визуальный

Качество укладки уплотнительного шнура

Шнур должен лежать на дне паза.

Сплошной

Визуальный

Качество нанесения праймера

Праймер должен равномерно покрывать поверхность асфальтобетона.

Сплошной

Визуальный

Рабочая температура герметизирую­щего материала

По техническим условиям на материал, отклонение не более ±5°С.

Каждый разогрев

Инструментальный, термометр

Качество заполнения паза герметизирующим материалом

Отсутствие пропусков по длине трещины. Поверхность герметика - заподлицо с поверхностью покрытия.

Сплошной

Визуальный

3. Ремонт трещин шириной 35 мм - 150 мм с использованием деформативных вставок

Оконтуривание и удаление асфальтобетона

Глубина удаления должна быть равна глубине верхнего слоя покрытия, ширина не менее 1 м.

Стенки вырубки должны быть вертикальными, дно горизонтальным.

Не менее трех измерений на 1 м2 дефектного участка Сплошной

Инструментальный, линейка

Качество очистки и просушки поверхности и трещины нижнего слоя

Поверхность должна быть сухой и не иметь видимых загрязнений.

Сплошной

Визуальный

Герметизация трещины нижнего слоя:

 

 

 

Нанесение праймера, температура разогрева герметика

Равномерное По техническим условиям на материал, отклонение не более ±5°С.

Сплошной

Каждый разогрев

Визуальный

Инструментальный, термометр

Вставка асфальтобетона

Укладка асфальтобетонной смеси.

 

Таблица 12.4 и технологический регламент на конкретный материал

Устройство шва

Согласно п. 2 настоящей таблицы. Ремонт трещин шириной 8-35 мм с разделкой под шов (ширина паза шва 10-12 мм, глубина 35-40 мм, строго над трещиной нижнего слоя).

 

 

4. Ремонт трещин шириной со сколами кромок более 150 мм

Оконтуривание и удаление асфальтобетона

Глубина удаления должна быть равна глубине верхнего слоя покрытия, ширина не менее 350 мм.

Стенки вырубки должны быть вертикальными, дно горизонтальным.

Не менее трех измерений на 1 м2 дефектного участка Сплошной

Инструментальный, линейка

Качество очистки и просушки поверхности и трещины нижнего слоя

Поверхность должна быть сухой и не иметь видимых загрязнений.

Сплошной

Визуальный

Укладка трещинопреры-вающей прослойки

Ровность укладки, ширина трещинопрерывающей прослойки больше, чем 1,5 ширины сколов кромок трещины нижнего слоя.

Сплошной

Визуальный

Качество нанесения праймера

Праймер должен равномерно покрывать поверхность асфальтобетона.

Сплошной

Визуальный

Заполнение минерально-ма­стичной смесью: температура разогрева мастики

Качество заполнения

По техническим условиям на материал, отклонение не более ±5°С. Соотношение мастики и минерального наполнителя, равномерность перемешивания.

Вровень с покрытием.

Каждый разогрев Каждая партия

Сплошной

Инструментальный, термометр

Визуальный

Качество посыпки фракционированным песком

Равномерность посыпки, расход минерального материала 1 м3 на 10000 м2.

Сплошной

Визуальный

5. Устранение выкрашивания поверхности

Оконтуривание и удаление асфальтобетона

Глубина удаления должна быть равна глубине дефекта или на всю толщину слоя при плохом качестве асфальтобетона.

Стенки вырубки должны быть вертикальными, дно горизонтальным.

Не менее трех измерений на 1 м2 дефектного участка

Сплошной

Инструментальный, линейка

Качество очистки и просушки поверхности

Поверхность должна быть сухой и не иметь видимых загрязнений.

Сплошной

Визуальный

Качество нанесения праймера

Праймер должен равномерно покрывать поверхность асфальтобетона.

Сплошной

Визуальный

Укладка асфальтобетонной смеси

Укладка.

 

Таблица 12.4

6. Устранение поверхностных деформаций и разрушений (сдвиги, волны, наплывы, колеи)

Выравнивание поверхности при отсутствии разрывов

Укатка от краев к середине с перекрытием следов проходов катка на 20-25 см.

Сплошной

Визуальный

Оконтуривание и удаление асфальтобетона

Глубина удаления должна быть на всю толщину покрытия.

Стенки вырубки должны быть вертикальными.

Не менее трех измерений на 1 м2 дефектного участка

Сплошной

Инструмента­льный, линейка

Устранение причин, вызвавших дефект

Исправление основания.

По проекту

 

Качество очистки и просушки поверхности

Поверхность должна быть сухой и не иметь видимых загрязнений.

Сплошной

Визуальный

Качество нанесения праймера

Праймер должен равномерно покрывать поверхность асфальтобетона.

Сплошной

Визуальный

Укладка асфальтобетонной смеси

 

 

Таблица 12.4

7. Ремонт выбоин

Качество ремонтных работ

Согласно п. 5 настоящей таблицы.

 

 

8. Ремонт участков с просадками и проломами

Оконтуривание и удаление асфальтобетона

Глубина удаления должна быть на всю толщину покрытия.

Стенки вырубки должны быть вертикальными.

Не менее трех измерений на 1 м2 дефектного участка

Сплошной

Инструментальный, линейка

Устранение причин образования дефекта

Разборка основания, проверка подстилающего грунта, укрепление его вяжущими материалами или замена на другой, восстановление искусственного основания. В случае пучения - устройство нового искусственного основания с термоизолирующим слоем.

 

 

Укладка асфальтобетонной смеси

 

 

Таблица 12.4.

9. Устранение уступов в швах и трещинах

Срезка превышений

Фрезерование на ширину в 100 раз большую высоты уступа.

Сплошной

Инструментальный, линейка

Заделка пониженных мест

По контуру участка укладки ремонтного материала прорубают паз глубиной 2-3 см и шириной не менее 5 см, а на остальной части ремонтируемого покрытия (внутри контура) с помощью нарезчика швов делают насечку.

Сплошной

Визуальный

Инструментальный, линейка

 

Очистка, продувка, высушивание ремонтируемого участка, его подгрунтовка и укладка выравнивающего слоя контролируется теми же способами, что и при устранении выкрашивания покрытия.

 

 

Таблица 12.3. - Контроль качества работ с использованием материалов на основе минеральных вяжущих веществ

Контролируемые операции и параметры

Нормативные требования и допускаемые отклонения

Объем контроля

Метод контроля

1

2

3

4

Работы с использованием материалов на основе минеральных вяжущих веществ

Толщина укладываемого слоя

Не менее 5 см, отклонение не более ±0,5 см.

Не менее трех измерений на 1 м2 дефектного участка

Инструментальный

Качество подготовки поверхности

Поверхность должна быть чистой, влажной, но на ней не должно быть свободной воды.

Сплошной

Визуальный

Качество нанесения клеющего состава или праймера

Состав должен равномерно покрывать поверхность бетона.

Сплошной

Визуальный

Качество ремонтной смеси

Марка по удобоукладываемости не выше П2.

Один раз в смену

 

Качество уплотнения ремонтных смесей

Уплотнение площадочным вибратором или виброрейкой за 2-3 прохода по одному следу. Поверхность материала должна быть заподлицо с поверхностью покрытия.

Сплошной

Визуальный

Качество отделки поверхности

Запрещается использование подмазок раствором и добавление воды в верхний слой ремонтной смеси; на поверхности не должно быть раковин и неровностей. При использовании ремонтных материалов, содержащих металлическую фибру, ее наличие после окончания отделки на поверхности не допускается.

Сплошной

Визуальный

Шероховатость покрытия

Направление бороздок на поверхности покрытия должно быть перпендикулярно оси ВПП, РД фактура поверхности однородной.

Сплошной

Визуальный

Качества ухода за ремонтным материалом

Нанесение на поверхность пленкообразующего материала сразу после окончания отделки; равномерное распределение по всей площади участка.

Сплошной

Визуальный

Таблица 12.4. - Контроль качества работ с применением горячих асфальтобетонных смесей

Контролируемые операции и параметры

Нормативные требования и допускаемые отклонения

Объем контроля

Метод контроля

1

2

3

4

Работы с использованием горячих асфальтобетонных смесей

Толщина укладываемого слоя

Не менее 5 см, отклонение не более ±0,5 см.

Не менее трех измерений на 1 м2 дефектного участка

Инструментальный

Качество подготовки поверхности

Поверхность должна быть чистой, сухой.

Сплошной

Визуальный

Качество нанесения праймера

Сплошность обработки поверхности, равномерность нанесения битума.

Сплошной

Визуальный

Укладка асфальтобетонной смеси в покрытие

Температура смеси при укладке не ниже 120°С.

Три раза в смену

Инструментальный, термометр

Коэффициент уплотнения асфальтобетона

Не ниже 0,99.

Один образец в смену

 

Таблица 12.5. - Приемочный контроль отремонтированных участков

Контролируемые операции и параметры

Нормативные требования и допускаемые отклонения

Объем контроля

Метод контроля

1

2

3

4

1. Для всех видов ремонта

Коэффициент сцепления пневматика колеса с покрытием (при площади ремонтируемых участков более 25 м2)

Коэффициент сцепления пневматика колеса на отремонтированных участках не должен отличаться от коэффициента сцепления покрытия более чем на 10% и быть не менее 0,45.

3 испытания на 1000 м2

Измерение машиной типа АТТ-2 по мокрой поверхности

Уступы на границе отремонтированного участка и покрытия

Не более 10% результатов определений могут иметь значения до 6 мм, остальные - до 3 мм.

1 измерение на 1 пог. м границы

Измерение, металлической линейкой или штангенциркулем

Ровность отремонтированного участка (просвет под 3-х метровой рейкой)

Не более 2% результатов определений могут иметь значения до 6 мм, остальные - до 3 мм.

5 измерений просветов на 10 м2 отремонтированного участка

 

Ширина шва

Ширина шва на отремонтированном участке не должна отличаться более чем на 3 мм от ширины шва на смежных участках, если другое не оговорено проектом, но не более 35 мм - для деформационных швов.

1 измерение на 1 пог. м. шва

Измерение металлической линейкой или штангенциркулем

Толщина конструктивного слоя при замене плит или их участков

Равна толщине заменяемого покрытия.

Не более 5% определений могут иметь отклонение до минус 7,5%, остальные до минус 5%, но не более 10 мм.

1 измерение на 1 пог. м

Измерение металлической линейкой по краю слоя

Прямолинейность продольных и поперечных швов покрытия

Не более 5% результатов определения могут иметь отклонения от прямой линии до 8 мм, остальные до 5 мм на 1 м (но не более 10 мм на 7,5 м).

1 измерение на 1 пог. м. шва

Измерение штангенциркулем

2. При ремонте с использованием материалов на основе полимерных связующих

Свойства материалов при входном контроле

По Приложению 10, таблица 10.1 и НД на материал.

1 проба для каждой партии

Приложению 10, таблица 10.1

Прочность сцепления ремонтного материала в покрытии

Не допускается разрушение по контакту слоев.

3 испытания на 1000 м2, но не менее трех испытаний в месяц

 

3. При ремонте с использованием материалов на основе минеральных вяжущих

Свойства материалов при входном контроле

По Приложению 10, таблица 10.1 и НД на материал.

1 проба для каждой партии

Приложение 10, таблица 10.1

Прочность на сжатии ремонтного материала в покрытии

Не менее 40 МПа.

3 измерения на каждом отремонтированном участке 3 керна на 1000 м2, но не менее 3 кернов в месяц

 

Морозостойкость ремонтного материала в покрытии

Не менее 200 циклов.

1 испытание на 1000 м2

 

Прочность сцепления ремонтного материала в покрытии

Не менее 1,5 МПа.

3 испытания на 1000 м2, но не менее трех испытаний в месяц

 

Усадочные трещины

Наличие усадочных трещин допускается на площади не более 5% от площади отремонтированного участка при условии выполнения требований по морозостойкости.

Каждый отремонтированный участок

Измерение рулеткой

4. Ремонт с использованием цементобетона

Свойства бетона при входном контроле: прочность морозостойкость

По проекту.

1 раз в смену 1 серия на 10000 м2

 

Морозостойкость бетона в покрытии

По проекту.

1 испытание на 1000 м2

 

5. Ремонт с использованием асфальтобетона

Свойства асфальтобетона при входном контроле

 

1 раз в смену

 

Коэффициент уплотнения асфальтобетона

Не ниже 0,99.

1 образец на 1000 м2

 

6. Ремонт с использованием герметизирующих материалов

Свойства герметизирующих материалов при входном контроле

Приложение 10, таблица 10.1 и НД на материал.

1 проба для каждой партии

Приложение 10 настоящего Руководства, таблица 10.1

Качество герметизации

Сплошность герметика.

Весь объем

Визуальный

Приложение 13

Определение показателя прочности грунтов летного поля

Показатель прочности грунта определяется с помощью ударника типа У-1. Ударник типа У-1 (рисунок 13.1) состоит из трех частей: наконечника с нанесенными на нем делениями через 1 см (рисунок 13.2), гири массой 2,5 кг для забивки наконечника в грунт (рисунок 13.3), направляющего штока для движения по нему гири (рисунок 13.4).

Для измерения показателя прочности грунта ударник типа У-1 устанавливают вертикально наконечником на грунт, поднимают по направляющему штоку на высоту 50 см гирю (до упора) и опускают ее. Падая, гиря загоняет стержень наконечника в грунт. Если наконечник ударника попадает на твердый предмет в грунте, то испытание должно быть повторено через 0,5-1 м от этого места.

Сбрасывание гири повторяется до тех пор, пока наконечник не погрузится в грунт на глубину сначала 10 и далее 30 см. В процессе работы подсчитывается число ударов гирей при погружении наконечника на 10 см и нарастающим итогом на 30 см.

 

Рисунок 13.1. - Ударник типа У-1

Рисунок 13.2. - Наконечник ударника. Ст. 30ХГСА

Рисунок 13.3. - Гиря. Ст. 30ХГСА

Рисунок 13.4. - Шток направляющий. Ст. 30ХГСА

Затем определяются средние арифметические значения из полученных измерений отдельно для погружения на 10 и 30 см для каждого места измерений. По графикам рисунка 13.5 или по таблице 13.1, используя средние значения количества ударов, определяется прочность грунта на глубине 10 и 30 см.

Прочность грунта в месте измерения определяется по формуле:

,

где sм - прочность грунта в месте измерения, кПа (кгс/см2);

s10 - прочность грунта на глубине 10 см, кПа (кгс/см2);

s30 - прочность грунта на глубине 30 см, кПа (кгс/см2).

 

Показатель прочности грунта определяется как среднеарифметическое значение показателей прочности грунта мест измерений, деленных на их количество.

Периодически массу гири необходимо контролировать взвешиванием. Допуск на контролируемый параметр ±10 г.

Периодичность контроля показателя прочности грунтов должна быть не менее указанной в таблице 13.2.

Рисунок 13.5. - Графики для определения прочности грунта ударником У-1

Тип почвогрунта определяется на основе данных лабораторного анализа его гранулометрического состава, либо в полевых условиях - приближенным способом по методу Красюка (таблица 13.3).

Таблица 13.1. - Прочности грунта

Песчаные и мелкие

Песчаные, супесчаные

Пылеватые, супесчаные, подзолистые грунты

Пылеватые, суглинистые тяжелые, суглинистые, суглинистые пылеватые и глинистые грунты

Черноземы, каштановые и бурые засоленные грунты

n10

s10

n30

s30

n30

s30

n10

s10

n30

s30

n30

s30

n10

s10

n30

s30

n30

s30

1,0

3,9

7

3,0

29

11,9

1,0

2,2

7

2,0

29

11,9

1,0

1,9

7

1,4

29

9,5

1,5

4,8

8

4,5

30

12,0

1,5

3,4

8

2,2

30

12,0

1,5

2,8

8

1,5

30

9,7

2,0

6,0

9

5,3

31

12,1

2,0

4,7

9

3,0

31

12,1

2,0

4,0

9

1,5

31

9,8

2,5

7,3

10

6,2

32

12,2

2,5

5,8

10

3,6

32

12,2

2,5

5,0

10

1,8

32

10,0

3,0

8,2

11

6,8

33

12,3

3,0

7,0

11

4,3

33

12,3

3,0

5,7

11

1,9

33

10,3

3,5

9,0

12

7,3

34

12,4

3,5

8,0

12

5,0

34

12,4

3,5

6,3

12

2,2

34

10,6

4,0

9,7

13

7,8

35

12,5

4,0

8,7

13

6,0

35

12,5

4,0

6,8

13

2,8

35

10,7

4,5

10,5

14

8,4

36

12,6

4,5

9,5

14

7,2

36

12,6

4,5

7,2

14

3,2

36

10,8

5,0

11,2

15

8,7

37

12,7

5,0

10,2

15

8,1

37

12,7

5,0

7,8

15

3,8

37

11,0

6,0

12,0

16

9,0

38

12,8

6,0

11,2

16

9,0

38

12,8

6,0

8,5

16

4,3

38

11,1

7,0

13,0

17

9,4

39

12,9

7,0

12,0

17

9,4

39

12,9

7,0

9,2

17

5,0

39

11,3

8,0

13,7

18

9,8

40

13,0

8,0

13,0

18

9,8

40

13,0

8,0

9,9

18

5,5

40

11,5

9,0

14,3

19

10,0

41

13,1

9,0

13,8

19

10,0

41

13,1

9,0

10,5

19

6,0

41

11,7

10,0

15,0

20

10,3

42

13,2

10,0

14,5

20

10,3

42

13,2

10,0

11,1

20

6,4

42

11,9

11,0

15,5

21

10,5

43

13,3

11,0

15,0

21

10,5

43

13,3

11,0

11,6

21

6,7

43

12,1

12,0

16,0

22

10,7

44

13,4

12,0

-

22

10,8

44

13,4

12,0

12,1

22

7,3

44

12,2

-

-

23

10,9

45

13,5

-

-

23

10,9

45

13,5

-

-

23

7,6

45

12,3

-

-

24

11,0

46

13,6

-

-

24

11,0

46

13,6

-

-

24

7,9

46

12,5

-

-

25

11,2

47

13,7

-

-

25

11,2

47

13,7

-

-

25

8,3

47

12,6

-

-

26

11,4

48

13,8

-

-

26

11,4

48

13,8

-

-

26

8,5

48

12,8

-

-

27

11,5

49

13,9

-

-

27

11,6

49

13,9

-

-

27

8,9

49

12,9

-

-

28

11,7

50

14,0

-

-

28

11,7

50

14,0

-

-

28

9,2

50

13,0

Таблица 13.2. - Периодичность контроля показателя прочности грунта

Периоды года

Периодичность контроля

Весной после схода снегового покрова до наступления устойчивой среднесуточной температуры выше 10°С

Ежедневно до оттаивания и просыхания грунта на глубину до 30 см, когда прочность грунта будет устойчивой и показатель прочности в течение суток будет изменяться не более, чем на 0,3 кгс/см2

Летом при устойчивой среднесуточной температуре равной или выше 10°С

В бездождливый период при низкой влажности грунта не реже одного раза в неделю; непосредственно после выпадения дождей с количеством осадков от 5 мм и более и в дальнейшем ежедневно до просыхания грунта, когда прочность его будет устойчивой, в период затяжных дождей продолжительностью более суток ежедневно и до просыхания грунта

В осенне-зимний период при среднесуточной температуре ниже 10° С

В сухой период не реже одного раза в неделю до момента промерзания грунта на глубину 10 см. Непосредственно после выпадения дождей с количеством осадков от 3 мм и более, а в дальнейшем ежедневно до просыхания грунта или его промерзания на глубину более 10 см

Таблица 13.3. - Определение вида почвы и грунта в полевых условиях (по методу Красюка)

Вид грунта

Особенности грунта

При растирании на руке

Состояние в сухом виде

Состояние во влажном виде

При скатывании в сыром состоянии

При свертывании шнура в кольцо

При сдавливании в сыром состоянии

Глины

Комочки трудно раздавливаются, а при растирании на пальцах песчаные частицы не чувствуются

Твердые в кусках

Вязкие, пластичные; липкие и мажутся

Образуется длинный шнур тоньше 0,5 мм

Шнур легко свертывается в кольцо без трещин

Шар сдавливается в лепешку, не трескаясь по краям

Суглинки

Комочки раздавливаются легко, а при растирании чувствуются песчаные частицы

Комья и куски от удара молота рассыпаются

Пластичность и липкость слабые

Тонкий и длинный шнур не образуется (шнур рвется при толщине 2 мм)

Шнур при свертывании трескается и ломается

Шар сдавливается в лепешку с трещинами по краям

Супеси

Комочки раздавливаются при слабом сдавливании, при растирании преобладают песчаные частицы

При сдавливании руками комья и куски легко рассыпаются и крошатся

Не пластичные

В шнур почти не скатывается

Шнур при свертывании рассыпается

Шар при сдавливании рассыпается

Пески

Глинистых частиц не чувствуется

Цементации нет

-

-

-

-

Приложение 14

Примерные составы травосмесей для глинистых, суглинистых, супесчаных и засоленных почв в различных зонах

Таблица 14.1

Название трав

Процент участия компонентов в почве

подзолистой и лесостепной зоны

степной зоны

сухих и полупустынных степей

глинистых

суглинистых

супесчаных

глинистых

суглинистых

супесчаных

глинистых и суглинистых

супесчаных

засоленных

Овсяница луговая

20

15

10

-

-

-

-

-

-

Овсяница красная

25

20

15

-

-

 

-

-

-

Овсяница овечья

-

-

-

-

-

-

20

10

10

Костер безостый

15

20

25

10

25

30

15

20

-

Райграс пастбищный

20

10

-

-

-

-

-

-

-

Мятник луговой

-

10

25

-

-

-

-

-

-

Полевица белая

10

15

15

-

-

-

-

-

-

Клевер белый

-

10

10

-

-

-

-

-

-

Клевер розовый

10

-

-

-

-

-

-

-

-

Пырей ползучий

-

-

-

10

25

30

-

10

10

Пырей бескорневищный

-

-

-

35

20

15

15

10

 

Пырей острец

-

-

-

-

-

-

-

-

30

Житняк ширококолосный

-

-

-

35

20

-

30

-

15

Житняк узкоколосный

-

-

-

-

-

10

-

20

-

Люцерна желтая

-

-

-

10

10

15

15

10

10

Свинорой

-

-

-

-

-

-

5

20

10

Прибрежница солончаковая

-

-

-

-

-

-

-

-

15

ИТОГО:

100

100

100

100

100

100

100

100

100

Приложение 15

Основные технические характеристики машин эксплуатационного содержания аэродрома

Таблица 15.1.

Наименование машин и механизмов

Наименование и область применения

Краткие технические характеристики

1

2

3

Машина аэродромная уборочная всасывающая, прицепная

Очистка ВПП, РД, уборка от пыли, грязи, мусора

Производительность, га/ч -9-12, принцип действия эжекторно-вихревой, ширина очистки, м - 8, вместимость бункера, куб.м. - 6.5, рабочая скорость, км/ч. - 12-16

Машина аэродромная уборочная

Очистка покрытий от снега, пыли, грязи и льдообразований

Производительность, га/ч:

при очистке снега сухого и мокрого, высотой 1-4 см - 16;

при очистке сухого снега высотой 1 см - 200;

при удалении гололедных образований толщ. 5 мм - 1,5.

Скорость рабочая, км/ч:

в тепловом режиме - 4;

в ветровом режиме - 44;

при использования отвала, щетки генератора в.п. - 25

Машина аэродромная уборочная

Очистка покрытий от снега, пыли, грязи и льдообразований

 

Машина для всесезонного содержания дорог

Поливомоечные, подметально-уборочные, снегоочистительные, противогололедные, комбинированные с любым набором оборудования

Ширина очищаемой полосы, м - 4-4,6.

Вместимость, куб.м: цистерны - 14; кузова пескоразбрасв. 7.5

Снегоочиститель шнекороторный

Очистка ВПП, РД, подъездных путей к аэродрому.

Производительность, т/ч. - 1500;

дальность отбрасывания снега, м - 30;

ширина захвата, м - 2,81;

толщина слоя снега, м - 1.6

Снегоочиститель шнекороторный

Очистка ВПП, РД, подъездных путей к аэродрому.

Производительность, т/ч.:

- 1560;

дальность отбрасывания снега, м - 30;

ширина захвата, м - 2,56;

толщина слоя снега, м - 1.5

Снегоочиститель шнекороторный

Очистка ВПП, РД, подъездных путей к аэродрому.

Производительность, т/ч. -

1700;

дальность отбрасывания снега, м - 35;

ширина захвата, м - 2,70;

толщ, слоя снега, м - 1.5

Снегоочиститель шнекороторный

Очистка ВПП, РД, подъездных путей к аэродрому.

Производительность, т/ч. -

2700;

дальность отбрасывания снега, м - 42;

шир. захвата, м - 2,70;

толщ. слоя снега, м - 1.6

Снегоочиститель фрезерно-роторный на спецшасси.

Очистка ВПП, РД, подъездных путей к аэродрому.

Производительность, т/ч. -

1500;

дальность отбрасывания снега, м - 25,35;

шир. захвата, м - 2,70;

толщ, слоя снега, м - 1.6

Снегоочиститель фрезерно-роторный на спецшасси (трактор)

Очистка покрытий предангарных площадей, МС, НИП

Производительность, т/ч. -

200;

дальность отбрасывания снега, м - 20;

ширина захвата, м - 2,0;

толщина слоя снега, м - 1.1

Аэродромная комбинированная поливомоечная машина

Предназначена для поддержания аэродром. покрытий в эксплуатационном состоянии.

В зимнее время, удаление снега производится поворотным плугом и щеткой.

В летнее время, поливка и мойка покрытий.

Установлен поворотный ствол для пожаротушения обработки авиатехники.

Емкость цистерны, л - 4200;

Ширина рабочей зоны, м:

при мойке - 8,

поливке -18,

подметании - 2.45,

снегоочистке - 2.68

Аэродромная комбинированная поливомоечная машина

Предназначена для поддержания аэродром, покрытий в эксплуатационном состоянии

Емкость цистерны, куб.м. - 6;

Ширина рабочей зоны, м:

при мойке - 8,

поливке - 15-18,

подметании - 2.5,

снегоочистке - 2.65

Машина аэродромная

Предназначена для внешней мойки ВС и заправки горячей водой туалетов ВС

Вместимость изотермич. цистерны, л - 5000;

температура воды, °С - не более 90;

высота подъема рабочей площадки над уровнем земли, м - 5.3

Машина для распределения жидких противогололедных реагентов

Предназначена для обработки покрытий жидкими противогололедными реагентами.

Ширина рабочей зоны, м от 3.5 до 7;

плотность распределения реагента г/кв.м - от 10 до 150.

Рабочая скорость, км/ч 25.

Масса реагента в цистерне, кг - 6000.

Каналопромывочная машина

Предназначена для прочистки и устранения засоров канализационных сетей

Вместимость водных емкостей 8 куб.м,

производительность насоса 12.5 куб.м/ч,

рабочее давление 16 МПа,

диаметр очищаемых труб 150-1200 мм

Вакуумные машины

Предназначена для очистки покрытий аэродрома

Емкость цистерн, куб.м - 10

глубина - 4 м,

наполнение - 5 мин,

Qвак. насоса - 3-10 куб.м/час.

Вакуумные машины

То же

Емкость цистерны, куб.м

Глубина - 4 м, наполнение - 5 мин,

Qвак. насоса - 360 куб.м/час.

Тепловая противогололедная машина

Очистка покрытий ВПП, РД от гололедных образований

Производительность - 10000 кв.м/час.

Расход топлива 750-1060 кг/час.

Снегопогрузчик лаповый производительностью 140 т/ч. на спец. шасси с мощностью двигателя 45.6 кВт

погрузка в транспорт снега, предварительно собранного в валы

Ширина очистки 2.6 м,

высота погрузки 3.8 м,

рабочая скорость 2 км/час

Автогрейдер среднего класса мощностью 99 кВт с гидромеханической трансмиссией.

Планировка площадей, ремонт и содержание грунт. поверхностей, очистка от снега

Масса 14.6 т.

Длина грейдер. отвала 3724 мм.

высота 620 мм,

боковой вынос 800 мм,

угол резания 30-70 градусов,

заглубление 400 мм.

Автогрейдер легкого класса на базе колесного трактора с мощностью 55 кВт с системой автоматики.

Планировка площадей, ремонт и содержание грунт. поверхностей, очистка от снега

Скорость движения до 35 км/ч,

грейдр. отвал полноповоротный, длина 3040 мм.

высота 500 мм,

угол резания 40 градусов.

Автогрейдер тяжелого класса мощностью 180 кВт с системой автоматики.

Предназначен для тяжелых строительных работ

Скорость движения до 40 км/ч,

грейдерный отвал полноприводный, длина 4800 мм,

высота 800 мм, управление гидравлическое

Бульдозер с неповоротным отвалом на гусеничном тракторе мощностью 128 кВт

Разработка и засыпка траншей, котлованов планировка площадей и др.

Скорость движения до 20 км/ч,

длина отвала 3240,

высота 1300 мм,

угол резания 55 градусов,

подъем 935 мм,

опускание 400 мм

Экскаватор фронтальный и челюстной погрузчик

Разработка грунта, погрузка сыпучих материалов

Базовое шасси МТЗ 82.1,

емкость ковша погрузки 0,82 куб.м,

наибольшая высота погрузки 2,5 м,

выгрузки 3.2 м

Асфальтоукладчик колесная самоходная машина

Предназначен для укладки асфальтобетона

Производительность, т/ч до 500 (500),

ширина укладки, м, - 3-4.5 (6.0)

толщина слоя, мм - 300 (250),

рабочая скорость, м/мин - до 45 (20)

Каток пневмоколесный полуприцепной к тягачу

Послойное уплотн. искусст. оснований при строительстве ВПП, РД и т.д., при возведении насыпей, грунтовых оснований и т.д.

Ширина уплотняемой полосы 2.6 м.

количество колес 5,

давление в шинах 0.42-0.8 МПа,

скорость движения 15-25 км/ч,

масса 7950-30000 кг

Маркировочная машина

Нанесение линий, знаков дневной маркировки

Ширина наносимых линий: термопластиком - 0.1-0.2 м,

краской - 01-1.0 м,

рабочая скорость 1.5-6 км/ч

Малая дорожная техника для ремонта аэродромных покрытий

Швозаливщик, прицепной

Предназначен для санации швов, трещин и производства мелкого ремонта

Вибротрамбовки Виброкатки

 

Раздельщики трещин

Ширина реза, мм - до 50, глубина, мм - 55, масса, кг - до 185, мощность двигателя, кВт -7.5-9.6

Резчики швов

Глубина реза, мм - от 120 до 320, масса, кг -мин. 70, макс. 245, мощность двигателя кВт - от 3 до 11

Виброплиты

Рабочая поверх. м - от 0.12 до 0.24, глубина уплотнения, мм - от 100 до 400, масса, кг от 65 до 300

Шлифовальная машина

Ширина обраб. за 1 проход, м - 0.3-0.6, мощность двигателя, кВт - 4-7,5

Приложение 16

Таблица 16.1. Средства механизации для текущего ремонта искусственных покрытий

Наименование машины и механизма

Назначение и область применения

Краткая техническая характеристика

1

2

3

Подметально-уборочная машина типа ПУМ

Очистка поверхности покрытия от пыли и грязи

 

Комбинированная уборочная машина типа КО-713-01 с поливомоечным, плужно-щеточным оборудованием

Очистка поверхности покрытия от пыли и грязи

Объем цистерны 6350 л, рабочая скорость 18 км/ч

Вакуумная уборочная машина типа В-68

Очистка поверхности покрытия от пыли и грязи

Производительность до 36 кв.м/ч, ширина очистки 2,5 м

Поливомоечная машина типа КО 822

Очистка поверхности покрытия от пыли и грязи

Ширина полива 9 м, объем цистерны 8000 л

Нарезчики швов типа CF

Нарезка швов, оконтуривание разрушенных участков покрытия в бетоне и асфальтобетоне

Максимальная глубина резки 170-580 мм в зависимости от модели

Резчики швов типа CS

Нарезка швов, оконтуривание разрушенных участков покрытия

Максимальная глубина резки 120-320 мм в зависимости от модели

Станки для нарезки швов типа CUTER

Нарезка швов, оконтуривание разрушенных участков покрытия

Максимальная глубина резки 157-190 мм в зависимости от модели

Станки для нарезки швов типа

Нарезка швов, оконтуривание

Максимальная глубина резки:

СС 1300

разрушенных участков покрытия

120 мм

СС 2500

 

111, 187, 264 мм в зависимости от модели

СС 7200

 

264-578 мм в зависимости от модели

Нарезчик швов типа РШ

Нарезка швов, оконтуривание разрушенных участков покрытия

Максимальная глубина резки 120-190 мм в зависимости от модели

Раздельщики трещин типа

Нарезка швов и разделка трещин

Максимальная глубина резки

CS-913

 

55 мм

CS-910E

 

 

Станок для разделки трещин типа PC 200

Разделка трещин (в т.ч. криволинейных)

Глубина фрезерования до 50 мм, ширина фрезерования 12-50 мм

Станок для разделки трещин типа RCC-130

Разделка трещин в цементобетонном и асфальтобетонном покрытии (в т.ч. криволинейных)

Максимальная глубина резки за один проход 38 мм, максимальная ширина раздела за один проход 12,7 мм

Машина для разделки трещин типа "CRF-60B"

Разделка трещин в цементобетонном покрытии

Глубина резки до 60 мм, диаметр диска 180 мм, мощность 5,9 кВт

Машина для снятия фасок типа CF-206

Снятие фасок в швах

Резка фасок под углом 45°

Алмазные дисковые пилы

Резка бетона, железобетона, асфальта

Диаметр от 110-2000 мм

Фрезы типа

Снятие разрушенных участков покрытия

Ширина фрезерования, мм/ глубина фрезерования, мм:

W 1000 F

 

1000/315

W 2000

 

2000/320

W 500

 

500/160

Холодная асфальтовая Фреза типа L1000

 

1000/ -

Дорожная самоходная фреза с транспортером типа WEBER SF 515

Снятие разрушенных участков покрытия

Ширина фрезерования 500 мм, глубина фрезерования 160 мм

Молотки отбойные пневматические типа

Удаление поврежденных участков

 

МО-2А,

 

Энергия удара 39 Дж,

МО-3А

 

число ударов в минуту -1300

ИП-4613

 

Энергия удара 44 Дж, число ударов в минуту -1100

Электрический отбойный молоток типа "Hilti"

Удаление поврежденных участков

Энергия удара до 50 Дж

Игольчатый пистолет типа AT 2 К

Зачистка поверхности

Масса 2 кг, рабочее давление 3,6 бар, сопло 1,4/

Бетоноломы типа Б-1, Б-2, Б-3

Удаление поврежденных участков

Энергия удара 60, 80, 100 Дж в зависимости от модели

Водоструйная установка типа "Karcher"

Очистка поврежденных участков от остатков бетона, пыли и грязи

Рабочее давление воды 20 кг/см2

Воздуходувка типа 141Б

Продувка и сушка поверхности покрытия

Масса 9 кг, скорость воздуха 63 м/с, производительность 560 м3

Ветровая машина типа ВМ-АИ-25

Очистка и сушка поверхности покрытия

Рабочая скорость до 40 км/ч, транспортная скорость 50 км/ч

Компрессор типа ПСКД-5,25 Д

Очистка поврежденных участков

Производительность 5,25 м /мин, рабочее давление 0,7 МПа

Компрессоры типа XAS

Очистка поврежденных участков

Производительность 2,6-5,3 м3/мин в зависимости от модели, рабочее давление 7 атм.

Щеточная машина типа ЩМ-1

Очистка швов и трещин

Рабочий орган -металлическая щетка, производительность 2000 пог.м/ч

Щеточная машина типа SFB-B

Очистка поврежденных участков

Бензиновый двигатель мощностью 16 л. с, диаметр роторных щеток 300 мм

Установка горячего воздуха типа Ш-1

Очистки и просушка швов и трещин

Расход пропана - 3-4 кг/ч,

производительность 2,5 м3/мин

Тепловое копье модель типа В CLASSIC

Очистка и просушка трещин, швов, выбоин и сколов

Производительность 2,5-4,9 м3/мин, рабочее давление компрессора 3,5-12 кг/см2, давление пропана 0,35-2,1 кг/см2

Установка горячего воздуха типа FUGEN

Очистки и просушка швов и трещин

Газ-пропан, расход сжатого воздуха 2,5 м3/мин, расход газа 3-4 кг/ч

Краскопульты типа СО

Огрунтовка поверхности, нанесение защитных пропиток

Рабочее давление, диаметр сопла в зависимости от наносимого материала

Котлы плавильно-варочные типа LS

Разогрев и заливка герметика

Рабочий объем 120-1800 л, температура разогрева 150-180°С в зависимости от модели

Заливщики мастик типа "Super Shot"

Заливка герметика

Электроподогрев шланга и аппликатора, мощность 14-37 л.с, объем материального бака 220-946 л в зависимости от модели

Заливщик швов типа ЗШ-3 Работает в паре с котлами типа К-1000, К-300 или автономно

Заливка герметика

Рабочий объем бака не менее 50 л, способ заливки - самотеком

Котел типа К-500М

Разогрев герметика

Выгрузка герметика самотеком, объем 500 л

Заливщик швов типа ЗШ-7 АВТО

Разогрев и заливка герметика

На съемной платформе, устанавливается в кузов автомобиля, объем варочной ванны 300 л

Бетоносмесители типа

Приготовление ремонтного материала на минеральных связующих

Время перемешивания 60-90 с, номинальная мощность 1,5 кВт.

Объем, л: загрузка/готовый замес

СБР-320

 

320/200

СБР-430

 

430/270

Электрические глубинные Вибраторы типа ИВ-116А

Уплотнение ремонтных смесей

Наружный диаметр наконечника 76 мм, частота колебаний 210 Гц, мощность 1,0 кВт

Электрические глубинные Вибраторы типа ИВ-75

Уплотнение ремонтных смесей

Наружный диаметр наконечника 28 мм, частота колебаний 330 Гц, мощность 0,75 кВт

Виброрейки типа ЭВ 270 А

Уплотнение ремонтных смесей

Рабочая ширина 1,7; 3,2; 4,2, м

Виброплиты типа VS

Уплотнение бетонных смесей

Глубина уплотнения 100-400 мм, частота вибрации 70-98 Гц, сила уплотнения 12-36 кН, мощность двигателя 3,0-6,5 кВт в зависимости от модели

Виброплиты типа ТК

Уплотнение бетонных смесей

Глубина уплотнения 200-250 мм, мощность двигателя 3,5-5,0 л.с, центробежная сила 12-13 кН в зависимости от модели

Виброплиты типа АР 2000Н

Уплотнение бетонных смесей

Глубина уплотнения 310 мм, мощность двигателя 5,5 л.с, центробежная сила 11 кН

Асфальтоукладчик типа 700 В

Укладка асфальтобетона

Ширина укладки 2,4-3,66 м, мощность двигателя 37 л.с, приемный бункер 5,5 т, скорость укладки до 21,3 м/мин, скорость передвижения до 51,8 м/мин

Асфальтоукладчик с профилирующей фрезой типа 1200S

Разделывание и укладка асфальтобетона

Ширина укладки 0,97-1,6 м, мощность двигателя 74 л.с, бункер для битума 379 л, бункер для асфальта 2,5 т, профилирующая фреза шириной 61 см

Асфальтоукладчик типа 1200U

Укладка асфальтобетона

Ширина укладки 0,97-1,6 м, мощность двигателя 37 л.с, бункер для асфальта 2,5 т

Конвеерный асфальтоукладчик типа 8500

Укладка асфальтобетона

Мощность двигателя 56-74 л.с, скорость укладки 42,7 м/мин, скорость передвижения 73,2 м/мин, ширина укладки 2,44-5,57 м, емкость бункера 6,8-7,3 т в зависимости от модели

Асфальтоукладчик типа 8800

Укладка асфальтобетона

Мощность двигателя 74-130 л.с, скорость укладки 43-49 м/мин, скорость передвижения 81-110 м/мин, ширина укладки 2,4-4,9 м, емкость бункера 7,5-10 т в зависимости от модели

Асфальтоукладчики типа TITAN

Укладка асфальтобетона

Ширина укладки 1,5-12 м, бункер 6-14 т в зависимости от модели

Асфальтоукладчики типа АСФ

Укладка асфальтобетона

Ширина укладки 2,2-9 м, производительность 250-500 т/ч в зависимости от модели

Катки типа

GRW-15

HD-90

Уплотнение асфальтобетона

Масса, т:

12-15

9

Катки типа ДУ

Уплотнение асфальтобетона

Масса 1,5-25 т в зависимости от модели

Приложение 17

Таблица 17.1. Техническая характеристика аэродромных тормозных установок

Параметры

Типа АТУ2МЛ

Типа АТУ2МЛС

Типа 2АТУ2МЛС

1

2

3

4

Масса принимаемых самолетов, т

6-20

6-24

6-40

Скорость принимаемых самолетов, км/ч:

 

 

 

- массой до 20 т

60-240

6-305

-

- массой до 40 т

-

-

60-310

Дистанция торможения (max), м

250

250

250

Нагрузка на пилота

до 3 g

до 3 g

до 3 g

Время подъема стоек сети, с

3(+0,1-0,5)

до 3

до 3

Тормозное давление, МПа (плавное автоматическое нарастание от min до max)

От 1,1 до 5,7

От 1,1 до 7,2

От 1,1 до 7,2

Остаточная скорость в конце торможения, км/ч

0

0

0

Откат самолета после полной остановки, м

От 0 до 4

От 0 до 7

От 0 до 8

Наработка на отказ при непрерывной работе (min), ч

5000

4000

4000

Надежность (вероятность улавливания самолета), %

99

98

98

Напряжение питание

Трехфазное, 50 Гц, 380 В

Улавливающее устройство

Сеть типа УС-3МЛ

Сеть типа УС-3МЛС

Сеть типа УС-3МЛС

Параметры сети:

 

 

 

- длина, м

62

62

62

- высота по центру, м

4,4

4,4

4.4

- обозначение центра сети по оси ИВПП

Створный знак из капроновой ткани оранжевого цвета 1 м ´ 1 м

Створный знак из капроновой ткани оранжевого цвета 1 м ´ 1 м со вставками из световозвращающей ткани

- срок эксплуатации сети в АТУ, лет

2

2

2

- назначенный ресурс применений, количество

10

10

10

Срок службы АТУ, лет:

 

 

 

- до ремонта

8

8

8

- с одним капитальным ремонтом

16

16

16

Персонал, чел.:

 

 

 

- управление и обслуживание

1

1

1

- монтаж

4-8

4-8

не более 8

 

Рисунок 17.1. - Схема расположения тормозной установки типа АТУ2МЛ

Рисунок 17.2. - Схема расположения тормозной установки типа 2АТУ2МЛ

* Документ приводится с сохранением орфографии и пунктуации источника

 

 




ГОСТЫ, СТРОИТЕЛЬНЫЕ и ТЕХНИЧЕСКИЕ НОРМАТИВЫ.
Некоммерческая онлайн система, содержащая все Российские Госты, национальные Стандарты и нормативы.
В Системе содержится более 150000 файлов нормативно-технической документации, действующей на территории РФ.
Система предназначена для широкого круга инженерно-технических специалистов.

Рейтинг@Mail.ru Яндекс цитирования

Copyright © www.gostrf.com, 2008 - 2026