Крупнейшая бесплатная информационно-справочная система онлайн доступа к полному собранию технических нормативно-правовых актов РФ. Огромная база технических нормативов (более 150 тысяч документов) и полное собрание национальных стандартов, аутентичное официальной базе Госстандарта. GOSTRF.com - это более 1 Терабайта бесплатной технической информации для всех пользователей интернета. Все электронные копии представленных здесь документов могут распространяться без каких-либо ограничений. Поощряется распространение информации с этого сайта на любых других ресурсах. Каждый человек имеет право на неограниченный доступ к этим документам! Каждый человек имеет право на знание требований, изложенных в данных нормативно-правовых актах!

  


 

ОТКРЫТОЕ АКЦИОНЕРНОЕ ОБЩЕСТВО «ГАЗПРОМ»

СТАНДАРТ ОРГАНИЗАЦИИ

ИНСТРУКЦИЯ ПО ПРОЕКТИРОВАНИЮ ТРУБОПРОВОДОВ
С КОМПЕНСАЦИЕЙ ПРОДОЛЬНЫХ ДЕФОРМАЦИЙ

СТО Газпром 2-2.1-318-2009

ОТКРЫТОЕ АКЦИОНЕРНОЕ ОБЩЕСТВО «ГАЗПРОМ»

Общество с ограниченной ответственностью «Научно-исследовательский институт
природных газов и газовых технологий - ВНИИГАЗ»

Общество с ограниченной ответственностью «Газпром экспо»

Москва 2009

Предисловие

1 РАЗРАБОТАН Обществом с ограниченной ответственностью «Научно-исследовательский институт природных газов и газовых технологий - ВНИИГАЗ»

2 ВНЕСЕН Управлением проектирования и нормирования Департамента инвестиций и строительства ОАО «Газпром»

3 УТВЕРЖДЕН И ВВЕДЕН В ДЕЙСТВИЕ Распоряжением ОАО «Газпром» от 17 сентября 2008 г. № 280

4 ВВЕДЕН ВПЕРВЫЕ

Содержание

1 Область применения

2 Термины и определения

3 Общие положения

4 Основные требования к конструктивным решениям и проектированию трубопроводов

5 Методы расчета трубопроводов при компенсации продольных деформаций, обусловленных внутренним давлением, температурными воздействиями и возможными перемещениями грунта

5.1 Общие требования

5.2 Расчет на прочность и устойчивость подземных и наземных (в насыпи) трубопроводов

5.3 Расчет на прочность и устойчивость надземных трубопроводов

5.4 Расчет компенсационных участков

Приложение А (рекомендуемое) Определение расчетного радиуса кривизны участка подземного трубопровода

Библиография

Введение

Настоящий стандарт разработан в рамках тематического плана НИОКР ОАО «Газпром», утвержденного Председателем Правления А.Б. Миллером от 15.04.2002 г., пункт 12,1 «Разработка и совершенствование научно-технической, нормативно-методической и нормативно-правовой документации по освоению газовых и газоконденсатных месторождений, проектированию, строительству и эксплуатации, повышению эксплуатационной надежности и безопасности, продлению ресурса объектов газовой промышленности» Перечня приоритетных научно-технических проблем ОАО «Газпром».

В настоящем стандарте представлены основные положения по расчету магистральных трубопроводов с учетом продольных напряжений, вызванных внутренним давлением, изменением температуры, упругим изгибом, взаимодействием трубопровода с грунтом, осадками, пучением грунта и другими причинами.

Настоящий стандарт разработан на основе научно-исследовательских работ, анализа опыта проектирования, строительства и эксплуатации трубопроводов в различных районах страны.

Настоящий стандарт разработан в целях методической реализации основных положений СНиП 2.05.06-85* [1] по проектированию трубопроводов с учетом компенсации деформаций, возникающих при действии температуры и давления транспортируемого продукта.

Разработка выполнена авторским коллективом в составе:

Черний В.П. - руководитель темы, Курганова М.А., Рассохина А.В. - ООО «ВНИИГАЗ»;

Поддубский СВ., Пугаченко В.Н. - ОАО «Газпром».

СТО Газпром 2-2.1-318-2009

СТАНДАРТ ОТКРЫТОГО АКЦИОНЕРНОГО ОБЩЕСТВА
«ГАЗПРОМ»

ИНСТРУКЦИЯ ПО ПРОЕКТИРОВАНИЮ ТРУБОПРОВОДОВ
С КОМПЕНСАЦИЕЙ ПРОДОЛЬНЫХ ДЕФОРМАЦИЙ

Дата введения - 2009-05-04

1 Область применения

1.1 Настоящий стандарт распространяется на проектирование линейной части вновь строящихся и реконструируемых магистральных стальных трубопроводов, соответствующих требованиям СНиП 2.05.06-85* [1], диаметром до 1420 мм включительно, рассчитанных на рабочее давление от 1,2 до 10,0 МПа.

1.2 В настоящем стандарте устанавливаются основные конструктивные решения, а также требования к расчету на прочность и проектированию магистральных трубопроводов:

- подземных;

- наземных (в насыпи);

- надземных.

1.3 Требования настоящего стандарта обязательны для дочерних обществ и организаций ОАО «Газпром», занимающихся расчетом и проектированием линейной части магистральных трубопроводов.

2 Термины и определения

В настоящем стандарте применены следующие термины с соответствующими определениями:

2.1 воздействие: Явление, вызывающее внутренние силы в элементе трубопровода (изменение температуры стенки трубы, деформация основания, усадка и ползучесть материала, сейсмические и другие явления).

2.2 вставка кривая: Криволинейный участок трубопровода, смонтированный из гнутых отводов.

2.3 давление: Механическая величина, характеризующая интенсивность сил, действующих на внутреннюю (внутреннее давление среды) или наружную (внешнее давление воды, грунта) поверхность трубопровода по нормали к ней.

2.4 дневная поверхность грунта: Исходная поверхность грунта, относительно которой определяют положение трубопровода.

2.5 компенсатор: Участок трубопровода специальной конструкции, предназначенный для восприятия температурных деформаций трубопровода за счет своей податливости.

2.6 компенсационный участок: Конструктивный участок трубопровода, характеризующийся повышенными деформациями и перемещениями, обеспечивающий снижение уровня напряжений в трубопроводе.

2.7 магистральный трубопровод (далее - трубопровод): Комплекс производственных объектов, обеспечивающих транспорт природного или попутного нефтяного газа, в состав которого входят однониточный газопровод, компрессорные станции, установки дополнительной подготовки газа (например, перед морским участком), участки с лупингами, переходы через водные преграды, запорная арматура, камеры пуска и приема очистных и диагностических устройств, система электрохимической защиты от коррозии, линии и сооружения технологической связи, газораспределительные станции, газоизмерительные станции, станции охлаждения газа.

2.8 нагрузка: Силовое воздействие, вызывающее изменение напряженно-деформированного состояния конструкции (трубопровода).

2.9 направляющая продольно-подвижная опора: Скользящая опора, допускающая перемещения вдоль оси трубопровода.

2.10 отвод гнутый: Соединительная деталь трубопровода, предназначенная для выполнения поворотов в вертикальной или горизонтальной плоскости линейной части магистральных трубопроводов и ответвлений от них, изготовляемая на трубогибочном оборудовании способом поперечной гибки труб в холодном состоянии.

2.11 предел прочности (временное сопротивление): Нормативное минимальное значение напряжения, при котором происходит разрушение материала труб при растяжении.

2.12 предел текучести: Нормативное минимальное значение напряжения, при котором начинается интенсивный рост пластических деформаций (при незначительном увеличении нагрузки) при растяжении материала труб.

2.13 предельное состояние: Состояние трубопровода, за пределами которого он перестает удовлетворять заданным эксплуатационным требованиям.

2.14 рабочее давление: Наибольшее внутреннее давление, при котором обеспечивается заданный режим эксплуатации газопровода (нормальное протекание рабочего процесса).

2.15 расчетная схема: Упрощенное изображение конструкции трубопровода, принимаемое для выполнения расчетов на прочность и устойчивость.

2.16 свободно-подвижная опора: Скользящая или роликовая опора, допускающая перемещения трубопровода в произвольном направлении в горизонтальной плоскости.

2.17 соединительные детали: Элементы трубопровода, предназначенные для изменения направления его оси, ответвления от него, изменения его диаметра и др. (отводы, тройники, переходники и др.).

2.18 способ прокладки: Вид прокладки трубопровода (подземный, наземный (в насыпи), надземный (на опорах)).

2.19 температура замыкания: Температура, при которой фиксируется расчетная схема трубопровода (свариваются захлесты, привариваются компенсаторы, производится засыпка трубопровода и т.п., т.е. когда фиксируется положение трубопровода при строительстве).

2.20 температурный перепад нормативный: Разница между максимально или минимально возможной температурой стенок труб в процессе эксплуатации и наименьшей или наибольшей температурой, при которой фиксируется расчетная схема трубопровода (свариваются захлесты, привариваются компенсаторы, производится засыпка трубопровода и т.п.).

2.21 температурный перепад расчетный: Температурный перепад, принимаемый для расчетов магистральных трубопроводов на прочность от расчетных нагрузок и воздействий.

2.22 толщина стенки номинальная: Толщина стенки трубы или соединительной детали, указанная в стандартах или технических условиях.

2.23 трасса: Положение оси трубопровода, отвечающее ее положению на местности и определяемое ее проекциями в горизонтальной и вертикальной плоскостях.

2.24 устойчивость трубопровода: Свойство конструкции трубопровода поддерживать первоначальную форму оси или форму его поперечного сечения.

3 Общие положения

3.1 Настоящий стандарт разработан в развитие раздела 8 СНиП 2.05.06-85* [1].

3.2 Способ прокладки трубопровода должен выбираться в зависимости от мерзлотно-грунтовых и гидрологических условий, рельефа местности и температуры трубопровода в процессе строительства и эксплуатации. Для каждого способа прокладки должны проверяться расчетом продольные напряжения, действующие вдоль оси трубопровода.

3.3 Нормативный температурный перепад в металле стенок труб следует принимать равным разнице между максимально или минимально возможной температурой стенок труб в процессе эксплуатации и наименьшей или наибольшей температурой, при которой фиксируется расчетная схема трубопровода.

3.4 Нормативный температурный перепад определяется отдельно для каждого конкретного случая:

- при вычислении напряжений в элементах конструкций трубопровода;

- при определении перемещений трубопровода, воздействия его на окружающий грунт, а также при выборе материалов.

3.5 Температуру различных участков трубопровода следует определять путем применения соответствующих методик и компьютерных программ по гидравлическому и тепловому расчету трубопроводов.

3.6 Для надземной прокладки при определении максимальной температуры трубопровода поправку на солнечную радиацию следует принимать по часу наибольшей ее интенсивности в данный период года в соответствии со Справочником [2].

3.7 Расчетные температуры наружного воздуха следует определять в соответствии со СНиП 2.01.07-85* [3]. Расчетные температуры многолетнемерзлых грунтов на глубине заложения трубопровода следует определять в соответствии со СНиП 2.02.04-88 [4].

3.8 Категории участков трубопроводов, проектируемых с учетом компенсации продольных деформаций, и соответствующие им расчетные коэффициенты определяются в соответствии с разделом 8 СНиП 2.05.06-85* [1].

4 Основные требования к конструктивным решениям и проектированию трубопроводов

4.1 Компенсацию деформаций трубопровода следует предусматривать на выпуклых участках трассы при малых радиусах изгиба трубопровода, уложенного в грунтах с низкой удерживающей способностью, а также на криволинейных в плане участках трубопровода из-за нагрева трубопровода и повышения внутреннего давления, когда возможно возникновение значительных поперечных перемещений, которые могут привести к потере устойчивости положения трубопровода (выпучиванию), гофрообразованию и разрушению трубопровода.

4.2 Для предотвращения выпучивания трубопровода следует применять различные конструктивные решения:

- балластировку трубопровода на выпуклых участках;

- закрепление его анкерами;

- устройство компенсационных участков.

4.3 Компенсация деформаций осуществляется на открытых наклонных или горизонтальных компенсационных участках. Компенсационные участки следует сооружать в местах трассы, где радиус кривизны трубопровода в вертикальной плоскости на выпуклом участке наименьший, или в местах поворота трассы в плане.

4.4 При надземной и наземной прокладке углы поворота трассы подземного трубопровода в вертикальной и горизонтальной плоскостях следует совмещать с компенсационными участками.

4.5 Трубопроводы с компенсацией продольных деформаций независимо от способа прокладки (подземной, в насыпи или надземной) необходимо сооружать по системе прямолинейной прокладки с надземными компенсационными участками. Допускается применять компенсационные слабоизогнутые (А-образные) участки, трапецеидальной, П-, Z- и Г- образной формы, как показано на рисунках 1 и 2.

4.6 Компенсационные участки должны быть подняты выше снегового покрова на свайных или поверхностных опорах, обеспечивающих перемещение по ним трубопровода при изменении температуры и давления.

4.7 Компенсационные участки могут быть сварены из прямолинейных труб и кривых вставок либо полностью из кривых вставок. Количество прямых труб и кривых вставок может быть различным.

4.8 Расстояния от низа трубы (или элементов пролетных строений) до поверхности земли или уровня воды (при прокладке трубопровода через водные препятствия) должны соответствовать требованиям СНиП 2.05.06-85* [1]. На компенсационных участках должно быть обеспечено нахождение трубопровода выше уровня снегового покрова и свободное перемещение трубопровода поперек его оси.

4.9 Радиус кривизны оси трубопровода в вертикальной плоскости ρ на прямолинейных в плане участках, примыкающих к компенсационным участкам, должен быть не менее 2500D на длине, равной не менее половины длины рассчитываемого участка (0,5Вп), независимо от способа прокладки и формы рельефа местности.

4.10 В местах переходов через овраги, ручьи, водотоки на прямолинейных участках, независимо от способа прокладки, можно устраивать надземные балочные переходы на свайных (или другого типа) опорах. На отдельных прямолинейных в плане участках трубопровода допускается одновременно применять различные способы прокладки.

4.11 Все трубопроводы следует защищать прочным антикоррозионным покрытием, соответствующим способу прокладки.

а) со слабоизогнутыми компенсационными участками

б) с П-образными компенсаторами

в) с трапециевидными компенсаторами

г) со слабоизогнутыми компенсационными участками в месте поворота трассы

1 - участки трубопровода подземные и наземные (в насыпи); 2 - компенсационный участок; 3 - свободно-подвижные опоры; 4 - направляющие продольно-подвижные опоры; 5 - место выхода трубопровода на поверхность; 6 - неподвижное сечение трубопровода; В*n - длина примыкающего к компенсатору участка трубопровода, который вызывает деформации в компенсаторе; Вn - общая длина рассчитываемого участка между условно неподвижными опорами - для подземных трубопроводов с надземным компенсационным участком или между неподвижными («мертвыми») опорами - для надземных трубопроводов; L - длина компенсационного участка; l - расстояние между опорами (пролет) надземного трубопровода; п - число пролетов компенсационного участка; f - вылет компенсатора; ψ - угол наклона в слабо изогнутых и трапециевидных компенсаторах.

Рисунок 1 - Расчетные схемы конструкций трубопроводов при подземной прокладке и прокладке в насыпи с компенсацией продольных деформаций

а) со слабоизогнутыми компенсационными участками

б) с П-образными компенсаторами

в) с трапециевидными компенсаторами

г) со слабо изогнутыми компенсационными участками в месте поворота трассы

1 - надземный трубопровод; 2 - компенсационный участок; 3 - свободно-подвижные опоры; 4 - направляющие продольно-подвижные опоры; 5 - неподвижные опоры;

(условные обозначения приведены на рисунке 1)

Рисунок 2 - Расчетные схемы конструкций трубопроводов при надземной прокладке

4.12 При подземной прокладке и прокладке в насыпи трубопровод на вогнутых участках, не имеющих компенсационных устройств, может иметь отводы или кривые вставки с радиусом кривизны, обеспечивающим пропуск внутритрубных устройств (ВТУ) и удовлетворяющим расчетным положениям. Все углы поворота в плане и вертикальной плоскости при наземной прокладке трубопровода (в насыпи) следует совмещать с углами компенсационных участков. При подземной и наземной (в насыпи) прокладке трубопровода на участках без компенсации продольных деформаций допускается устраивать повороты трубопровода в плане путем врезки кривых вставок заводского изготовления, обеспечивающих пропуск ВТУ и удовлетворяющих расчетным положениям.

4.13 Надземные прямолинейные в плане участки трубопровода предпочтительно прокладывать без применения упругого изгиба в вертикальной плоскости. При необходимости на надземном участке радиус кривизны трубопровода в вертикальной плоскости допускается принимать не менее 2500D.

4.14 При наземной прокладке трубопровода (в насыпи) с компенсацией продольных деформаций, в частности на заливаемых участках и в слабых грунтах, необходимо устраивать продольно-подвижные (направляющие) опоры, особенно в местах выхода трубопровода из насыпи (см. рисунок 1).

4.15 При подземной и наземной (в насыпи) прокладке трубопровода участки с компенсацией продольных деформаций и без нее могут располагаться рядом и чередоваться в любой последовательности, независимо от их напряженного состояния.

4.16 При подземной и наземной (в насыпи) прокладке трубопровода на обводненных и периодически обводняемых участках следует предусматривать балластировку трубопроводов или закрепление их анкерами. Балластировку или закрепление анкерами можно также использовать для обеспечения устойчивости трубопровода при значительном перепаде температур, однако при этом необходимо расчетом проверить трубопровод на прочность.

При применении анкерных устройств необходимо учитывать ограничения в их использовании на участках трубопроводов, имеющих значительные продольные перемещения. Данные ограничения должны соответствовать требованиям ВСН 39-1.9-003-98 [5] и СП 107-34-96 [6].

4.17 Надземные переходы трубопровода могут быть любой конструкции, но они не должны нарушать принятую общую схему компенсации деформаций трубопровода. На переходах через реки, овраги и другие препятствия компенсацию продольных деформаций допускается осуществлять за счет применения Г-, Z-, П-образных и других компенсаторов с кривыми вставками с радиусом изгиба, равным не менее 5D. В отдельных случаях, когда не предусматривается пропуск на данном участке трубопровода ВТУ, допускается применение кривых вставок с радиусом кривизны не менее 2D.

4.18 При необходимости увеличения пролетов между опорами на переходах через реки, овраги и другие препятствия необходимо применять системы с распором, воспринимаемым самим трубопроводом.

4.19 Надземные участки трубопровода и отдельные надземные переходы, расположенные вблизи выхода трубопровода из грунта, следует проектировать с учетом продольных перемещений трубопровода на примыкающих участках подземной и наземной (в насыпи) прокладки.

4.20 Требования к конструкциям и высоте опор надземных трубопроводов должны соответствовать положениям СНиП 2.05.06-85* [1]. Тип опор следует выбирать в зависимости от характеристик грунтового основания. Конструкции неподвижных опор должны обеспечивать отсутствие линейных и угловых перемещений опорных сечений трубопровода.

4.21 При надземной прокладке трубопровода, обладающего положительной плавучестью, на периодически затопляемых участках трассы следует предусматривать конструктивные меры, обеспечивающие его проектное положение (например, применение опор со специальными хомутами или дополнительным ригелем и т.п.).

4.22 При всех расчетах трубопроводных систем на прочность и устойчивость следует учитывать все неблагоприятные сочетания одновременно действующих факторов, например: обводнение участка трассы с возможными при этом максимальными или минимальными температурами, воздействие ветровых нагрузок и т.д. Все элементы конструкций трубопроводов должны быть проверены расчетом в соответствии со СНиП 2.05.06-85* [1].

4.23 При наземной прокладке трубопровода (в насыпи) необходимо предусматривать меры для обеспечения устойчивого положения насыпи и трубопровода, включая организованный пропуск поверхностных вод и мероприятия против образования наледей.

4.24 Размеры компенсационных участков при всех видах прокладки и расстояния между ними определяются в соответствии с настоящим стандартом.

4.25 Углы в основании слабоизогнутого компенсационного участка необходимо принимать равными 12°-15°, а в вершине 24°-30°.

4.26 Углы поворота трассы надземного трубопровода, приведенные на рисунке 3, следует предусматривать кратными 3°, принимая набор угловых отводов для различных углов поворота в соответствии с таблицами 1 и 2.

1 - свободно-подвижная опора; 2 - направляющая продольно-подвижная опора; ψ0 - угол поворота трассы; ψ1, ψ2 - углы отводов наклона

Рисунок 3 - Схема компенсационного участка

4.27 При углах поворота трассы до 48° слабоизогнутый участок размещается преимущественно внутри угла поворота трассы. В пределах компенсационного участка следует устраивать свободно-подвижные опоры. Ближайшие к углу поворота трассы опоры могут быть как направляющими продольно-подвижными, так и свободно-подвижными. В предварительном расчете назначаются продольно-подвижные опоры. Если в результате расчета окажется, что на некоторых опорах поперечные усилия на ограничители поперечных перемещений трубопровода окажутся чрезмерными, то в данных местах назначаются свободно-подвижные опоры. Окончательное решение по назначению типов опор следует принимать на основании вариантных расчетов трубопровода на прочность.

4.28 При углах поворота трассы от 51° и более для компенсации деформаций следует использовать угол поворота трассы, не изменяя его конфигурации. При этом способ назначения направляющих продольно-подвижных и свободно-подвижных опор следует применять тот же, что и в 4.27.

4.29 Число свободно-подвижных опор за пределами компенсационных участков для надземных трубопроводов (см. рисунки 2 и 3) следует назначать по результатам расчетов на прочность. Число таких опор должно быть достаточным для обеспечения необходимых перемещений трубопровода и условий его деформативности.

4.30 Рабочая часть ригеля на свободно-подвижных опорах должна назначаться в зависимости от значений поперечных перемещений опорных сечений трубопровода, полученных на основании расчетов трубопровода как деформируемой системы.

4.31 Допускается подземная и наземная (в насыпи) прокладка трубопроводов с применением способа упругого изгиба в вертикальной плоскости. Применение способа упругого изгиба в горизонтальной плоскости допускается только для подземной прокладки в случае, если верхняя образующая трубопровода расположена ниже дневной поверхности грунта.

Таблица 1 - Зависимость углов отводов ψ1 и ψ2 от угла поворота трассы ψ0, градусов, при угле в основании компенсационного участка 12°

ψ0

ψ1

ψ2

2ψ1 - ψ2 = ψ0

0

12

24

0

3

15

27

3

6

15

24

6

9

18

27

9

12

18

24

12

15

21

27

15

18

21

24

18

21

24

27

21

24

24

24

24

27

27

27

27

30

27

24

30

33

30

27

33

36

30

24

36

39

33

27

39

42

33

24

42

45

36

27

45

48

36

24

48

Таблица 2 - Зависимость углов отводов ψ1 и ψ2 от угла поворота трассы ψ0, градусов, при угле в основании компенсационного участка 15°

ψ0

ψ1

ψ2

2ψ1 - ψ2 = ψ0

0

15

30

0

3

18

33

3

6

18

30

6

9

21

33

9

12

21

30

12

15

24

33

15

18

24

30

18

21

27

33

21

24

27

30

24

27

30

33

27

30

30

30

30

33

33

33

33

36

33

30

36

39

36

33

39

42

36

30

42

45

39

33

45

48

39

30

48

5 Методы расчета трубопроводов при компенсации продольных деформаций, обусловленных внутренним давлением, температурными воздействиями и возможными перемещениями грунта

5.1 Общие требования

5.1.1 Расчетные вертикальные и горизонтальные нагрузки на трубопроводы следует определять в соответствии с указаниями норм СНиП 2.05.06-85* [1].

5.1.2 Толщины стенок труб следует определять в соответствии с требованиями СНиП 2.05.06-85* [1].

5.1.3 Определение напряженно-деформированного состояния и проверку на прочность и деформативность трубопроводов с компенсацией продольных деформаций следует выполнять на основе требований СНиП 2.05.06-85* [1] и с применением компьютерных программ [7, 9], соответствующих требованиям настоящего стандарта.

5.1.4 Формулы, приведенные в настоящем стандарте, следует применять для предварительных приближенных расчетов, а также при выборе способа прокладки, при назначении конфигурации трубопровода и основных размеров расчетных участков.

5.1.5 Расчетный температурный перепад ДТ следует принимать как разность между наибольшей возможной в процессе эксплуатации температурой трубопровода на данном участке и температурой замыкания данного участка трубопровода.

5.2 Расчет на прочность и устойчивость подземных и наземных (в насыпи) трубопроводов

5.2.1 Расчет подземных и наземных (в насыпи) трубопроводов на прочность и устойчивость следует выполнять с применением компьютерного комплекса ПРУТ [7].

5.2.2 Вычисление вспомогательных данных, а также проведение предварительных приближенных расчетов следует выполнять в соответствии с настоящим подразделом.

5.2.3 Участки трубопроводов при подземной и наземной (в насыпи) прокладке необходимо проектировать с частичной компенсацией деформаций, дополнительной балластировкой или закреплением трубопровода анкерными устройствами при выполнении следующего условия:

                                                                                                               (5.1)

где Seq - эквивалентное продольное сжимающее усилие;

m - коэффициент условий работы участка трубопровода;

Scr - критическое продольное усилие.

Примечание - Оба усилия в формуле (5.1) условно считаются положительными.

5.2.4 Эквивалентное продольное сжимающее усилие Seq, МН, вычисляют по формуле

                                                                                              (5.2)

где F - площадь поперечного сечения трубы, м2;

α - коэффициент линейного расширения материала труб, °С-1;

Е - модуль упругости материала труб, МПа;

ΔT - расчетный температурный перепад, °С;

σкц - кольцевое напряжение от внутреннего давления, МПа.

5.2.5 Кольцевое напряжение от действия внутреннего давления σкц, МПа, вычисляют по формуле

                                                                                                         (5.3)

где п - коэффициент надежности по внутреннему давлению;

р - рабочее (нормативное) внутреннее давление, МПа;

D - диаметр трубопровода наружный, м;

δ - толщина стенки трубы номинальная, м.

5.2.6 Если поворот оси трубопровода выполняется в вертикальной плоскости, то критическое продольное усилие Svcr, МН, вычисляют по формуле

                                                                                       (5.4)

где Svcr - критическое продольное усилие при повороте оси трубопровода в вертикальной плоскости, МН;

D - диаметр трубопровода наружный, м;

L0 - единичная длина оси трубопровода, равная 1 м;

βv - суммарное давление на грунт криволинейного участка трубопровода в вертикальной плоскости, учитывающее балластировку и закрепление анкерами, МПа, определяемое в соответствии с 5.2.13;

ρ0 - расчетный радиус кривизны оси трубопровода в вертикальной плоскости на выпуклых участках при прокладке без компенсации продольных деформаций, м;

τ - наименьшие за период эксплуатации нормативные касательные напряжения в грунте вдоль оси трубопровода, МПа, определяемые в соответствии с 5.2.18.

5.2.7 Если поворот оси трубопровода выполняется в горизонтальной плоскости, то критическое продольное усилие Scr, МН, вычисляют по формуле

                                                                                 (5.5)

где Shcr - критическое продольное усилие при повороте оси трубопровода в горизонтальной плоскости, МН;

D - диаметр трубопровода наружный, м;

к - коэффициент, зависящий от глубины заложения трубопровода (до нижней образующей) и его диаметра и определяемый в соответствии с 5.2.21;

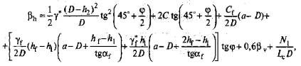
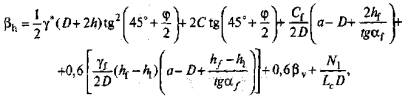
βh - приведенное суммарное давление на грунт криволинейного участка трубопровода, учитывающее балластировку, закрепление анкерами, а также упругий отпор грунта в горизонтальной плоскости, определяется в соответствии с 5.2.16, МПа;

ρh - радиус кривизны оси трубопровода в горизонтальной плоскости при прокладке без компенсации продольных деформаций, м;

τ - наименьшие за период эксплуатации нормативные касательные напряжения в грунте вдоль оси трубопровода, МПа, определяемые в соответствии с 5.2.18.

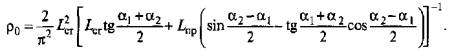
5.2.8 Для вертикальных углов поворота выпуклостью вверх, образованных в результате упругого изгиба с радиусом кривизны ρ, м, расчетный радиус кривизны ρ0 принимается равным

                                                                                                                       (5.6)

при этом допускается упругий изгиб, удовлетворяющий условию

                                                                                                               (5.7)

где D - диаметр трубопровода наружный, м.

При более крутых поворотах трассы следует использовать вставки холодного гнутья и

заводские отводы с радиусом кривизны оси R ≥ 5D.

5.2.9 Прямолинейные участки трубопровода рассматриваются как изогнутые (выпуклостью вверх), для них расчетный радиус кривизны принимается равным ρ0 = 5000 м.

5.2.10 Для вертикальных углов поворота трассы, образованных с помощью вставок холодного гнутья и заводских отводов, расчетный радиус кривизны ρ0 подземного трубопровода определяется в зависимости от конструктивной схемы угла поворота трассы в соответствии с приложением А.

5.2.11 В случае, когда условие (5.1) общей устойчивости участка трубопровода не соблюдается, необходимо выполнить одно или несколько следующих мероприятий:

- увеличить глубину засыпки грунтом;

- изменить схему выполнения угла поворота трассы;

- применить балластировку участка трубопровода грузами;

- применить закрепление участка трубопровода анкерными устройствами.

5.2.12 Участки трубопроводов, имеющих выпуклые кривые в вертикальной плоскости и кривизну в горизонтальной плоскости, прокладывать наземным способом (в насыпи) не рекомендуется.

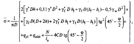
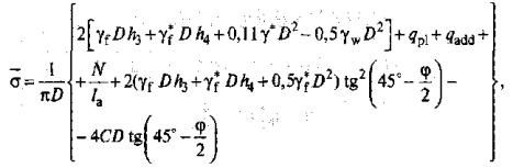
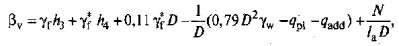
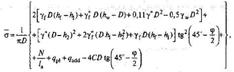
5.2.13 Суммарное давление на грунт βv, МПа, криволинейного участка трубопровода (в вертикальной плоскости), учитывающее балластировку и закрепление анкерами, определяется для выпуклых участков трубопроводов в зависимости от глубины заложения, типа балластировки или закрепления трубопровода и объемного веса грунта. При этом учитывается худший вариант обводненности трубопровода, т.е. когда уровень воды находится выше как уровня дневной поверхности грунта, так и уровня верхней образующей трубопровода.

Если верхняя образующая трубы расположена ниже дневной поверхности грунта, как показано на рисунке 4, то

              (5.8)

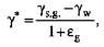
где γ* - объемный вес фунта во взвешенном состоянии, МН/м3, определяемый по формуле (5.11);

h - высота слоя грунта от верхней образующей трубопровода до дневной поверхности грунта, м;

D - диаметр трубопровода наружный, м;

γ*f - объемный вес грунта насыпи во взвешенном состоянии, МН/м3;

h1 - толщина слоя воды выше дневной поверхности грунта, м;

γf - объемный вес грунта насыпи, МН/м3;

hf - высота насыпи, м;

γw - объемный вес воды с учетом растворенных и взвешенных в ней веществ, МН/м3;

qрl - расчетный погонный вес трубопровода, МН/м;

qadd - расчетный вес транспортируемого продукта и других дополнительных нагрузок, МН/м;

N - усилие в анкерном устройстве или величина пригрузки, определяемой с учетом выталкивающей силы воды, МН;

lа - расстояние между анкерными устройствами или грузами, м.

Если верхняя образующая трубы расположена выше, а нижняя - ниже дневной поверхности грунта, как показано на рисунке 5, то

                    (5.9)

где γf, hf, At, h1, γ*f, D, γw, qрl, qadd, N, lа - см. пояснения к формуле (5.8);

hw - толщина слоя воды выше нижней образующей трубопровода, м.

Рисунок 4 - Схема сечения трубопровода при расположении верхней образующей трубопровода ниже дневной поверхности грунта

Если нижняя образующая трубы расположена выше дневной поверхности грунта (или находится на одном с ней уровне), как показано на рисунке 6, то

                                  (5.10)

где γf, γ*f, D, γw, qрl, qadd, N, lа - см. пояснения к формуле (5.8);

h3 - высота слоя насыпи, расположенного выше уровня воды (см. рисунок 6), м;

h4 - толщина слоя воды выше верхней образующей трубопровода (см. рисунок 6), м.

Рисунок 5 - Схема сечения трубопровода при расположении верхней образующей трубы выше, а нижней - ниже дневной поверхности грунта

Рисунок 6 - Схема сечения трубопровода при расположении нижней образующей трубы выше дневной поверхности грунта

5.2.14 Объемный вес грунта во взвешенном состоянии γ*, МН/м3, вычисляют по формуле

                                                                                                              (5.11)

где γs.g - средний удельный вес частиц фунта, МН/м3;

γw - объемный вес воды с учетом растворенных веществ, МН/м3;

εg - коэффициент пористости грунта, принимаемый в соответствии со СНиП 2.02.01-83 [8].

Средний удельный вес минерального грунта γs.g равен 2,7·10-2 МН/м3, торфа - (1,4-1,6)·10-2 МН/м3.

Объемный вес грунта насыпи во взвешенном состоянии определяется по формуле (5.11), но с учетом среднего удельного веса грунта насыпи.

5.2.15 При определении коэффициента βv вес фунта засыпки следует учитывать в тех случаях, когда для балластировки трубопровода используются устойчивые фунты и невозможны нарушения балластной засыпки: размыв, выветривание и т.п. В остальных случаях объемный вес фунта следует принимать равным нулю.

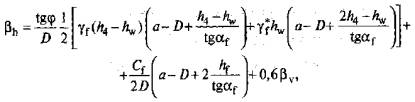
5.2.16 Приведенное суммарное давление на фунт криволинейного участка трубопровода βh, учитывающее балластировку, закрепление анкерами, а также упругий отпор фунта в горизонтальной плоскости, определяется в зависимости от конструкции, глубины заложения трубопровода, типа балластировки или закрепления трубопровода, объемного веса фунта при полной обводненности трубопровода.

Если верхняя образующая трубы расположена ниже дневной поверхности грунта, как показано на рисунке 4, то

                               (5.12)

где γ* - объемный вес грунта во взвешенном состоянии, МН/м3, определяемый по формуле (5.11);

D - диаметр трубопровода наружный, м;

h - высота слоя грунта от верхней образующей трубопровода до дневной поверхности грунта, м;

hf - высота насыпи, м;

hl - толщина слоя воды выше дневной поверхности грунта, м;

γf - объемный вес грунта насыпи, МН/м3;

βv - давление, определяемое по формуле (5.8);

φ - угол внутреннего трения грунта (расчетное значение), градусов;

c - удельное сцепление грунта траншеи, МПа;

Cf - удельное сцепление грунта насыпи, МПа;

а - ширина насыпи по верху, м;

af - угол между основанием и откосом насыпи, градусов;

N1 - суммарное горизонтальное усилие от анкерных устройств или пригрузов, препятствующих горизонтальному перемещению трубопровода, МН;

Lc - длина криволинейного (в плане) участка трубопровода, м.

Если верхняя образующая трубы расположена выше, а нижняя - ниже дневной поверхности грунта, как показано на рисунке 5, то

                            (5.13)

где γ*, D, hf h1 γf, φ, С, Cf, a, af, N1 Lc - см. пояснения к формуле (5.12);

h2 - расстояние от верхней образующей трубопровода до дневной поверхности грунта, м;

γ*f - объемный вес грунта насыпи во взвешенном состоянии, МН/м3;

βv - давление, определяемое по формуле (5.9).

Если нижняя образующая трубы расположена выше дневной поверхности грунта (или находится на одном с ней уровне), как показано на рисунке 6, то

                              (5.14)

где φ, D, γf, a, αf, Cf, hf - см. пояснения к формуле (5.12);

hw - толщина слоя воды выше нижней образующей трубопровода, м;

h4 - расстояние от верхней образующей трубопровода до дневной поверхности грунта, м;

βv - давление, определяемое по формуле (5.10).

Значения характеристик грунта φ, С и Cf определяются по данным изысканий по трассе трубопровода. Их предварительные значения можно определять в соответствии со СНиП 2.02.01-83 [8].

5.2.18 Наименьшее за период эксплуатации касательное напряжение в грунте вдоль оси трубопровода τ вычисляют по формуле

                                                                                                                (5.15)

где  - среднее значение нормального сжимающего напряжения по поверхности сдвига, МПа, которое определяется в зависимости от расчетных случаев по следующим формулам: - для случая, приведенного на рисунке 4,

                          (5.16)

где γ* - объемный вес грунта во взвешенном состоянии, МН/м3, определяемый по формуле (5.11);

D - диаметр трубопровода наружный, м;

h - высота слоя грунта от верхней образующей трубопровода до дневной поверхности грунта, м;

γ*f - объемный вес грунта насыпи во взвешенном состоянии, МН/м3;

h1 - толщина слоя воды выше дневной поверхности грунта, м;

γf - объемный вес грунта насыпи, МН/м3;

hf - высота насыпи, м;

γw - объемный вес воды с учетом растворенных и взвешенных в ней веществ, МН/м3;

φ - угол внутреннего трения грунта (расчетное значение), градусов;

qp1 - расчетный погонный вес трубопровода, МН/м;

qadd - расчетный вес транспортируемого продукта и других дополнительных нагрузок, МН/м;

N - усилие в анкерном устройстве или величина пригрузки, определяемой с учетом выталкивающей силы воды, МН;

lа - расстояние между анкерными устройствами или грузами, м;

С - удельное сцепление грунта траншеи, МПа;

- для случая, приведенного на рисунке 5,

               (5.17)

где γf, D, hf, h1, γ*f, γ*, γw, φ, N, lа, qp1, qadd - см. пояснения к формуле (5.16);

hw - толщина слоя воды выше нижней образующей трубопровода, м;

h2 - расстояние от верхней образующей трубопровода до дневной поверхности фунта, м;

- для случая, приведенного на рисунке 6,

                 (5.18)

где γf, D, γ*f, γ*, γw, qp1, qadd, N, lа, φ - см. пояснения к формуле (5.16);

h3 - высота слоя насыпи, расположенного выше уровня воды (см. рисунок 6), м;

h4 - толщина слоя воды выше верхней образующей трубопровода (см. рисунок 6), м.

5.2.19 При прокладке на заболоченных, обводненных, периодически заливаемых участках, а также в переувлажненных грунтах, теряющих при оттаивании несущую способность, трубопроводы должны быть рассчитаны на устойчивость, положения и в случае необходимости забалластированы или заанкерены в соответствии с требованиями СНиП 2.05.06-85* [1].

5.2.20 Критический перепад температур (ΔT)сr, °С, при котором не может быть допущена бескомпенсаторная прокладка или прокладка трубопровода без балластировки или закрепления анкерами, определяется по формуле, учитывающей, соответственно, криволинейные участки в вертикальной и горизонтальной плоскостях,

                                                                              (5.19)

где (ΔT)vсr - критический перепад температур при повороте оси трубопровода в вертикальной плоскости, СС, вычисляемый по формуле

                                                            (5.20)

где F - площадь поперечного сечения трубы, м2;

α - коэффициент линейного расширения материала труб, °С-1;

Е - модуль упругости материала труб, МПа;

D - диаметр трубопровода наружный, м;

L0 - единичная длина оси трубопровода, равная 1 м;

βv - суммарное давление на грунт криволинейного участка трубопровода в вертикальной плоскости, учитывающее балластировку и закрепление анкерами, МПа, определяемая в соответствии с 5.2.13;

ρv - расчетный радиус кривизны оси трубопровода в вертикальной плоскости на выпуклых участках при прокладке без компенсации продольных деформаций, м;

τ - наименьшие за период эксплуатации нормативные касательные напряжения в грунте вдоль оси трубопровода, МПа, определяемые в соответствии с 5.2.18;

σкц - кольцевое напряжение от внутреннего давления, МПа.

Критический перепад температур (ΔT)vсr при повороте оси трубопровода в горизонтальной плоскости, °С, вычисляемый по формуле

                                               (5.21)

где F, α, Е, D, L0, τ, σкц - см. пояснения к формуле (5.20);

βh - приведенное суммарное давление на грунт криволинейного участка трубопровода, учитывающее балластировку, закрепление анкерами, а также упругий отпор грунта в горизонтальной плоскости, определяемое в соответствии с 5.2.16, МПа;

ρh - радиус кривизны оси трубопровода в горизонтальной плоскости при прокладке без компенсации продольных деформаций, м.

При проверке в вертикальной плоскости радиус кривизны должен находиться в пределах, указанных в 5.2.8.

5.2.21 Коэффициент к, входящий в формулу (5.21), зависит от параметра Н*, м-1, вычисляемого по формуле

                                                                                                             (5.22)

где Н - расстояние от нижней образующей трубопровода до дневной поверхности грунта, м (см. рисунки 4 и 5);

D - диаметр трубопровода наружный, м.

Коэффициент к определяется из условий:

- при

                                                                                    (5.23)

- при

                                                                                  (5.24)

- при

к = 0,260.                                                                                                                    (5.25)

5.2.22 Полную длину участка трубопровода, деформации которого компенсируются (включая надземные компенсационные участки), с учетом условий защемления трубопровода в грунте Вn, м, вычисляют по формуле

                                                                                                    (5.26)

где В*n - длина подземного или наземного (в насыпи) участка трубопровода от неподвижного сечения или неподвижной опоры до надземного участка трубопровода, м, вычисляется по формуле (5.27);

Lн - длина надземного участка трубопровода, м;

В - полная длина участка трубопровода, м, деформации которого воспринимаются компенсатором принятых размеров без учета защемления трубы в грунте, определяется в соответствии с 5.2.27.

                                                                                                       (5.27)

где G - удельное сопротивление основания перемещению трубопровода, определяемое в соответствии с 5.2.26, МН/м;

Е - модуль упругости материала труб, МПа (для трубных сталей Е = 2,06·105 МПа);

F - площадь поперечного сечения трубы, м2;

Hk - реакция отпора (распора) компенсатора при продольных деформациях трубопровода, МН, определяемая для П-, Г- и Z - образных компенсаторов в соответствии с нормами СНиП 2.05.06-85* [1];

ε - относительная продольная деформация трубопровода от действия внутреннего давления и изменения температуры, вычисляется по формуле

                                                                                                 (5.28)

где α - коэффициент линейного расширения материала труб, 1/°С (для трубных сталей равен 1,2·10-5 1/°С);

ΔT - расчетный температурный перепад, °С;

σкц - кольцевое напряжение от внутреннего давления, МПа;

Е - модуль упругости материала труб, МПа.

5.2.23 Для слабоизогнутых компенсационных участков Hk вычисляют по формуле

                                                                                             (5.29)

где Вn - полная длина участка трубопровода, деформации которого компенсируются, м;

EI - изгибная жесткость сечения трубопровода, МН·м2;

L - длина компенсационного участка, м;

f - расстояние от вершины компенсационного участка до прямой, соединяющей прямолинейные в плане участки трубопровода, м;

ε - относительная продольная деформация трубопровода от действия внутреннего давления и изменения температуры;

ψ - угол между прямой, соединяющей прямолинейные участки, и осью прямолинейной части слабоизогнутого участка (см. рисунки 1, 2).

При приближенных расчетах допускается определять В*n в первом приближении, принимая в формуле (5.27) Hk = 0.

5.2.24 Если участки трассы, примыкающие с обеих сторон к надземному компенсационному участку трубопровода, сложены фунтами с резко различающимися физико-механическими характеристиками или значительно отличаются друг от друга по длине, то величину В*n следует определять для каждого участка отдельно по формуле (5.26), записанной в виде

                                                                                            (5.30)

где В*n1, В*n2 - длины подземных или наземных (в насыпи) участков трубопровода от неподвижного сечения или неподвижной опоры до надземного участка трубопровода, м.

5.2.25 Если условия (5.2.24) или (5.2.2) не выполняются, то компенсационные участки следует располагать с шагом не более В, соответственно уменьшив В*n, или увеличить допускаемую деформацию компенсационных участков, изменив их размеры.

5.2.26 Удельное сопротивление основания перемещению трубопровода G, МН/м, вычисляют по формуле

                                                                                                                     (5.31)

где τ - касательное напряжение в фунте, определяемое в соответствии с 5.2.18;

D - диаметр трубопровода наружный, м.

5.2.27 Полную длину участка трубопровода В, деформации которого компенсируются компенсационным участком принятых размеров без учета защемления трубопровода грунтом или трения его по основанию, вычисляют по формуле

                                                                                                                      (5.32)

где Δk - допускаемое удлинение компенсационного участка, м, без предварительной растяжки, определяемое для П-, Г- и Z - образных компенсаторов в соответствии со СНиП 2.05.06-85* [1], а для слабоизогнутых треугольных участков - в соответствии с 5.4.5;

ε - относительная продольная деформация трубопровода от действия внутреннего давления и изменения температуры.

5.2.28 Компенсационные участки должны быть рассчитаны на компенсацию деформаций.

Полное продольное удлинение рассматриваемого участка трубопровода Δ, м, вычисляют по формуле

                                                                                        (5.33)

где Δni (i - 1,2) - продольное удлинение с правого (левого) примыкающего к надземному подземного или наземного (в насыпи) участка трубопровода, м, определяемое без учета сопротивления основания перемещению трубопровода и отпора компенсационного участка по формуле

                                                                                                                               (5.34)

Δн - продольное удлинение надземного участка трубопровода, определяемое без учета сопротивления основания перемещению трубопровода и отпора компенсационного участка по формуле

                                                                                                                    (5.35)

5.2.29 При прокладке трубопроводов в устойчивых грунтах, где невозможны их размыв, выветривание и другие нарушения балластной засыпки, допускается определять Δni (i - 1,2) с учетом сопротивления основания перемещению трубопровода и отпора компенсационных участков по формуле

                                                                        (5.36)

При расчете по формуле (5.36) значение G следует принимать минимально возможным за период эксплуатации трубопровода.

5.2.30 Продольные напряжения σ1, МПа, следует определять по формуле

                                                                     (5.37)

где α - коэффициент линейного расширения, равный 1,2·10-5 °С-1,

Е - модуль упругости материала труб (стали), МПа;

ΔT - температурный перепад, равный разности между максимальной (минимальной) температурой стенок трубопровода в период эксплуатации и температурой замыкания трубопровода при строительстве, °С (для подземных трубопроводов за температуру замыкания можно принять среднее значение между температурой грунта засыпки и температурой окружающего воздуха в момент засыпки);

σкц - кольцевые напряжения, определяемые по формуле (5.3), МПа;

σΔ,s - напряжения, вызванные осадками и пучением грунта, МПа;

D - диаметр трубопровода наружный, м;

ρ - радиус кривизны оси трубопровода от упругого изгиба, м.

5.2.31 Продольные напряжения, определенные по формуле (5.37), должны удовлетворять условию

                                                                                                                  (5.38)

где Rн2 - нормативный предел текучести материала труб, МПа;

ψ - коэффициент снижения расчетного сопротивления при сложном напряженном состоянии, который принимается равным ψ = 1 при растягивающих продольных напряжениях (σ1 ≥ 0), а при сжимающих продольных напряжениях (σ1 < 0) его следует вычислять по формуле

                                                                                          (5.39)

Примечание - Проверку продольных напряжений по условию (5.38) следует выполнять при максимальном и минимальном значениях температурного перепада.

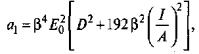
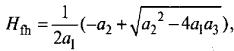
5.2.32 Для оценки прочности трубопровода на участках с многолетне мерзлыми пучинистыми грунтами следует определять допустимое вертикальное перемещение при пучении участка трубопровода, находящегося в многолетне мерзлом грунте. В зоне сопряжения с участком трубопровода, в котором пучение отсутствует, допустимое перемещение Нfh, м, вычисляют по формуле

                                                                           (5.40)

где a1, a2, а3 - коэффициенты, вычисляемые по формулам:

                                                                                    (5.41)

                                                                                          (5.42)

                                                                                    (5.43)

где β - множитель в аргументах функций Крылова, 1/м;

E0 - модуль упругости материала труб, МПа;

D - диаметр трубопровода наружный, м;

I - момент инерции поперечного сечения трубопровода, м4;

А - площадь поперечного сечения трубопровода, м2;

v0 - коэффициент Пуассона;

σh - кольцевое напряжение от действия внутреннего давления, МПа, определяемое по формуле (5.3);

σу - нормативный предел текучести материала труб, МПа.

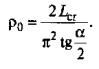
5.2.33 Множитель в аргументах функций Крылова р вычисляют по формуле

                                                                                                                 (5.44)

где k - коэффициент постели грунта основания участка трубопровода, примыкающего к участку пучения, МН/м/м;

E0I - изгибная жесткость сечения трубы, МН·м2.

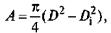
5.2.34 Площадь поперечного сечения трубопровода вычисляют по формуле

                                                                                                          (5.45)

где D - наружный диаметр номинальный, м;

Di - внутренний диаметр трубы, м.

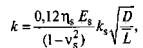
5.2.35 Коэффициент постели (при вертикальных перемещениях трубопровода вверх) грунта основания участка трубопровода, примыкающего к участку пучения k, следует определять в зависимости от типа грунта по формулам:

- для талых грунтов

                                                                                                  (5.46)

где ηs - коэффициент снижения модуля деформации фунта засыпки по сравнению с грунтом ненарушенной структуры;

Es - модуль деформации грунта ненарушенной структуры, МПа;

D - наружный диаметр трубопровода номинальный, м;

vs - коэффициент поперечной деформации грунта;

ks - коэффициент учета высоты фунта засыпки над трубой, вычисляют по формуле

                                                                                                     (5.47)

где Hа - расстояние от поверхности фунта до оси трубы, м;

е - основание натуральных логарифмов;

- для многолетнемерзлых фунтов

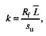
                                                                                                               (5.48)

где Rf - расчетное давление на мерзлый фунт (сопротивление мерзлого фунта нормальному давлению), МПа;

 - единичная длина трубопровода ( = 1 м);

su - предельно допустимая совместная осадка (деформация) основания и сооружения (трубопровода), м.

5.2.36 Характеристики мерзлого фунта Rf и su для непучинистого участка трубопровода следует определять на основании результатов изысканий и лабораторных исследований фунтов.

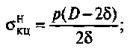
5.3 Расчет на прочность и устойчивость надземных трубопроводов

5.3.1 Проверку прочности и оценку общей устойчивости надземных участков трубопроводов следует выполнять в соответствии со СНиП 2.05.06-85* [1].

5.3.2 Определение напряженно-деформированного состояния надземных трубопроводов и проверку их на прочность и устойчивость в соответствии с требованиями СНиП 2.05.06-85* [1] следует выполнять с применением соответствующих компьютерных программ (например, программы СТАРТ [9]).

Вычисление вспомогательных данных, а также проведение предварительных приближенных расчетов следует выполнять в соответствии с настоящим подразделом.

5.3.3 Надземные (открытые) трубопроводы следует проверять на прочность и общую устойчивость, а также на статическое и динамическое воздействие ветровых нагрузок. При этом не должно возникать резонансных колебаний трубопроводов.

5.3.4 Надземные трубопроводы должны проектироваться с учетом нагрузок от возможного пропуска по ним ВТУ.

5.3.5 Балочные системы надземных трубопроводов должны рассчитываться с учетом трения на опорах, при этом принимается меньшее или большее из возможных значений коэффициента трения в зависимости от того, что опаснее для данного расчетного случая.

5.3.6 Расчетные величины продольных перемещений надземных участков трубопровода следует определять от максимального повышения температуры стенок труб (положительного расчетного температурного перепада) и внутреннего давления (удлинение трубопровода), а также от наибольшего понижения температуры стенок труб (отрицательного температурного перепада) при отсутствии внутреннего давления в трубопроводе (укорочение трубопровода).

5.3.7 Пролет надземного балочного многопролетного участка трубопровода должен удовлетворять условиям статической прочности и аэродинамической устойчивости (условию отсутствия резонансных колебаний трубопровода в ветровом потоке).

5.3.8 Пролет надземного трубопровода следует определять для стадии его эксплуатации. В случае гидростатических испытаний трубопровода необходимо определить длину пролета для стадии испытаний или предусмотреть монтаж дополнительных временных опор на период испытаний.

5.3.9 Пролет надземного балочного многопролетного участка трубопровода L, м, должен приниматься как меньшее из двух значений пролета:

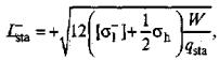
- из условия статической прочности Lsta м;

- из условия аэродинамической устойчивости Ldyn м;

                                                                                                      (5.49)

5.3.10 Определение пролета из условия статической прочности

5.3.10.1 Пролет из условия статической прочности должен приниматься как меньшее из двух значений пролета, определяемых для растянутой L+sta и сжатой L-sta зон поперечного сечения, в котором действует максимальный изгибающий момент

                                                                                               (5.50)

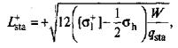
5.3.10.2 Значения пролетов из условия статической прочности для растянутой и сжатой зон следует определять соответственно по формулам:

                                                                                   (5.51)

                                                                                   (5.52)

где [σ+1] - допускаемое продольное фибровое напряжение в растянутой зоне сечения трубопровода, МПа;

σh - кольцевое напряжение от внутреннего давления, МПа;

W - момент сопротивления сечения трубопровода, м3;

qsta - погонный вес трубопровода в расчете на статические нагрузки и воздействия, МН/м;

-1] - допускаемое продольное фибровое напряжение в сжатой зоне сечения трубопровода, МПа.

5.3.10.3 Допускаемые продольные фибровые напряжения в растянутой и сжатой зонах сечения трубопровода вычисляют по формулам:

                                                                                                                    (5.53)

                                                                                                                (5.54)

где R*2 - расчетное сопротивление по пределу текучести, МПа;

ψ - понижающий коэффициент.

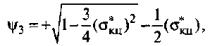
5.3.10.4 Понижающий коэффициент ψ3, учитывающий сложное напряженное состояние в соответствии с теорией Мизеса, вычисляют по формуле

                                                                                 (5.55)

где σкц - относительное напряжение.

5.3.10.5 Относительное напряжение σкц вычисляют по формуле

                                                                                                             (5.56)

где σнкц - кольцевое напряжение от внутреннего давления, МПа, вычисляемое по формуле

                                                                                                     (5.57)

р - рабочее давление, МПа;

D - диаметр трубопровода наружный, м;

δ - толщина стенки трубы, м.

5.3.10.6 Расчетное сопротивление по пределу текучести R*2, МПа, вычисляют по формуле

                                                                                                       (5.58)

где т - коэффициент условий работы участка трубопровода;

kн - коэффициент надежности по назначению трубопровода;

Rн2 - нормативный предел текучести материала труб, МПа.

5.3.10.7 Момент сопротивления сечения трубопровода W, м3, вычисляют по формуле

                                                                                                       (5.59)

где D - наружный диаметр трубопровода, м;

Di - внутренний диаметр трубы, м, вычисляемый по формуле

                                                                                                    (5.60)

δnom - номинальная толщина стенки трубы, м.

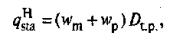
5.3.10.8 Погонная нагрузка на трубопровод в расчете на статические нагрузки и воздействия определяется как равнодействующая вертикальной qvsta и горизонтальной qHsta составляющих

                                                                                                      (5.61)

5.3.10.9 Вертикальную составляющую погонной нагрузки qvsta, МН/м, вычисляют по формуле

                                                                     (5.62)

где  - погонные веса трубы; изоляционного (антикоррозионного) покрытия; теплоизоляционного слоя; снега (или обледенения); перекачиваемого продукта соответственно, МН/м.

5.3.10.10 Погонные весовые нагрузки вычисляют по формулам:

- для собственного веса трубы:

                                                                                                          (5.63)

где γst - плотность материала трубы (стали), равная 7850 кг/м3;

A - площадь поперечного сечения трубы (стали), м2;

g - ускорение свободного падения, м/с2;

- веса изоляционного (антикоррозионного) покрытия:

                                                                                            (5.64)

где Dins - диаметр трубопровода с учетом слоя изоляционного (антикоррозионного) покрытия, м, вычисляемый по формуле

                                                                                                        (5.65)

где D - диаметр трубопровода наружный, м;

γins - плотность изоляционного покрытия, кг/м3;

tins - толщина слоя изоляционного покрытия, м;

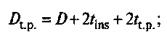
- веса теплоизоляционного слоя:

                                                                                     (5.66)

где Dt.р. - диаметр трубопровода с учетом слоев изоляционного покрытия и теплоизоляции, м, вычисляемый по формуле

                                                                                            (5.67)

γt.p. - плотность теплоизоляционного материала, кг/м3;

tins, tt.p. - толщина слоя изоляционного покрытия и теплоизоляции, м;

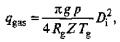
- веса перекачиваемого продукта:

- газа

                                                                                                       (5.68)

где р - рабочее давление, МПа;

Rg - газовая постоянная, Дж/кг·К;

Z - коэффициент сжимаемости газа;

Тg - температура (абсолютная) газа, К;

Di - внутренний диаметр трубопровода, м;

- жидкого продукта

                                                                                                       (5.69)

где γlig - плотность жидкого продукта, кг/м3.

5.3.10.11 Погонную вертикальную нагрузку на надземный трубопровод от веса снега или обледенения qs.i., МН/м, вычисляют по формуле

                                                                                                      (5.70)

где qs - погонная нагрузка от снега, МН/м;

qi - погонная нагрузка от обледенения, МН/м.

Нагрузку от снега вычисляют по формуле

                                                                                                            (5.71)

где Сс - коэффициент перехода от веса снегового покрова на единицу поверхности земли к снеговой нагрузке на единицу поверхности трубопровода, для одиночно прокладываемого трубопровода принимают равным 0,4;

s0 - нормативное значение веса снегового покрова, принимаемое согласно таблице 4 СНиП 2.01.07-85* [3] в зависимости от снегового района, МН/м2;

Dt.p. - диаметр трубопровода с учетом слоев изоляционного покрытия и теплоизоляции, м.

Нагрузку от возможного обледенения трубопровода вычисляют по формуле

                                                                                                            (5.72)

где ki - удельный вес гололеда, равный 1,7·10-2 МН/м3;

b - толщина слоя гололеда, принимаемая согласно таблице 12 СНиП 2.01.07-85* [3] в зависимости от района гололедности, м;

Dt.p. - диаметр трубопровода с учетом слоев изоляционного покрытия и теплоизоляции, м.

5.3.10.12 Ветровую нагрузку на надземные трубопроводы qHsta следует определять как горизонтальную погонную нагрузку от статического действия ветра по формуле

                                                                                           (5.73)

где wm и wp - нормативные значения соответственно средней и пульсационной составляющей ветровой нагрузки, МПа, определяемые согласно 6.3 и 6.7 СНиП 2.01.07-85* [3] (используемое при этом нормативное значение ветрового давления w0 следует принимать по таблице 5 СНиП 2.01.07-85* [3] в зависимости от ветрового района);

Dt.p. - диаметр трубопровода с учетом слоев изоляционного покрытия и теплоизоляции, м, определяемый по формуле (5.67).

5.3.11 Определение пролета из условий аэродинамической устойчивости

5.3.11.1 Пролет из условий аэродинамической устойчивости Ldyn, вычисляют по формуле

                                                                                (5.74)

где к - коэффициент учета числа пролетов (для многопролетной системы с числом пролетов более трех равен π);

δk - конструкционный декремент колебаний (может принимать значения примерно от 0,100 до 0,001);

Kδ - коэффициент запаса по декременту колебаний (> 1);

с - аэродинамический коэффициент (≈ 1,15);

ρ - плотность ветрового потока (≈ 1,25 кг/м3);

Dt.p. - диаметр трубопровода с учетом слоев изоляционного покрытия и теплоизоляции, м, определяемый по формуле (5.67);

v0 - скорость ветра нормативная, м/с;

EI - изгибная жесткость сечения трубопровода, МНм2,

I - момент инерции;

mр.1. - погонная масса трубопровода, кг/м.

5.3.11.2 Значения конструкционного декремента колебаний δk и коэффициента запаса по декременту колебаний δk следует определять на основании экспериментальных данных для конструктивных решений надземного трубопровода, идентичных с проектируемым. При отсутствии экспериментальных данных рекомендуется принимать δk = 0,007, δk = 1,330.

5.3.11.3 Нормативную скорость ветра v0, м/с, вычисляют по формуле

                                                                                                            (5.75)

где К - поправочный коэффициент, принимаемый равным К = 0,75, если ось трубопровода находится на высоте над поверхностью земли ≤ 5 м, и К = 1 при большей высоте;

w0 - нормативное значение ветрового давления, которое следует принимать по таблице 5 СНиП 2.01.07-85* [3] в зависимости от ветрового района;

ρ - плотность ветрового потока (= 1,25 кг/м3).

5.3.11.4 Погонную массу трубопровода mp.1., кг, следует определять для опорожненного состояния по формуле

                                                                              (5.76)

где qwgt, qins, qt.p. - погонные веса трубы, изоляционного (антикоррозионного) покрытия, теплоизоляционного слоя соответственно, МН/м.

5.3.11.5 В случаях, когда пролеты надземного трубопровода не удовлетворяют условиям аэродинамической устойчивости, допускается применять различные конструктивные меры предотвращения резонансных колебаний трубопровода, например:

- установку рассекателей и других конструкций, изменяющих характер обтекания труб ветровым потоком;

- увеличение жесткости трубопроводов шпренгелями, вантами и дополнительными элементами;

- установку антивибрационных опор и гасителей колебаний.

5.3.12 Устойчивость положения надземных участков трубопроводов

5.3.12.1 Устойчивость положения надземного участка трубопровода характеризуется допустимым вертикальным смешением одной из опор (при отсутствии вертикальных смещений смежных опор) при пучении или просадках грунта.

5.3.12.2 Максимально допустимое вертикальное смещение опоры (вверх или вниз) Δmах, м, определяется как меньшее из двух значений:

                                                                                                    (5.77)

где Δ1, Δ2 - максимально допустимые вертикальные смещения опоры при проверке напряжений в растянутой зоне опорного сечения трубопровода и сжатой зоне соответственно, м.

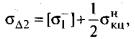
5.3.12.3 Смещения Δ1, Δ2, м, вычисляют по формулам:

                                                                                                    (5.78)

                                                                                                    (5.79)

где σΔ1 - допускаемое напряжение в растянутой зоне опорного сечения трубопровода, МПа;

W - момент сопротивления поперечного сечения трубопровода, определяемый по формуле (5.59), м3;

Е - модуль упругости материала труб, МПа;

D - диаметр трубопровода наружный, м;

qVsta - вертикальная составляющая погонной статической нагрузки на трубопровод, МН/м, определяемая по формуле (5.61);

σΔ2 - допускаемое напряжение в сжатой зоне опорного сечения трубопровода, МПа.

5.3.12.4 Допускаемые напряжения σΔ1, σΔ2 вычисляют по формулам:

                                                                                                       (5.80)

                                                                                                    (5.81)

где [σ+1], [σ-1] - допускаемые продольные фибровые напряжения в растянутой зоне сечения трубопровода, МПа, определяемые по формулам (5.53) и (5.54);

σнкц - кольцевое напряжение от внутреннего давления, МПа, определяемое по формуле (5.57).

5.4 Расчет компенсационных участков

5.4.1 Условия прочности и деформативности для компенсационных участков следует выполнять в соответствии с нормами проектирования СНиП 2.05.06-85* [1].

5.4.2 Расчет (определение напряженно-деформированного состояния) открытых компенсационных участков подземных и наземных (в насыпи) трубопроводов следует выполнять с применением компьютерных программ, предназначенных для расчета надземных трубопроводов.

5.4.3 Длину слабоизогнутого компенсационного участка L, м, при подземной и наземной (в насыпи) прокладке, а также надземной прокладке трубопровода не следует принимать более 6l (l - пролет надземного трубопровода). Слабоизогнутый компенсационный участок должен быть проверен расчетом.

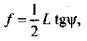
5.4.4 Расстояние от вершины компенсационного участка до прямой, соединяющей прямолинейные в плане участки f, м, вычисляют по формуле

                                                                                                                (5.82)

где L - пролет надземного балочного участка трубопровода;

ψ - угол между прямой, соединяющей прямолинейные участки, и осью прямолинейной части слабоизогнутого участка (см. рисунки 1, 2).

5.4.5 Допускаемое продольное перемещение (укорочение) слабоизогнутого треугольного участка Δk, м, вычисляют по формуле

                                                                                  (5.83)

где R2 - расчетное сопротивление материала труб, принимаемое в соответствии со СНиП 2.05.06-85* [1], МПа;

qw - расчетная ветровая нагрузка на трубопровод, МН/м;

l - расстояние между опорами (пролет) надземного трубопровода;

W - момент сопротивления сечения трубопровода, м3;

σкц - кольцевое напряжение от внутреннего давления, МПа;

ψ - угол между прямой, соединяющей прямолинейные участки, и осью прямолинейной части слабо изогнутого участка (см. рисунки 1, 2).

Е - модуль упругости материала труб, МПа;

I - момент инерции сечения трубы, м4;

F - площадь поперечного сечения трубы, м2.

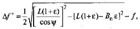
5.4.6 Положительное приращение стрелки слабоизогнутого компенсационного участка Δf+, м, вычисляют по формуле

                                                                (5.84)

где ε - относительная продольная деформация трубопровода от действия внутреннего давления и изменения температуры;

Вn - полная длина участка трубопровода, деформации которого компенсируются, м.

Величину Δf+ допускается также определять по приближенной формуле

                                                                                                            (5.85)

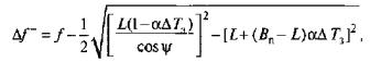
5.4.7 Отрицательное приращение стрелки слабоизогнутого компенсационного участка Δf-, м, вычисляют по формуле

                                                 (5.86)

где α - коэффициент линейного расширения материала труб, 1/°С (для трубных сталей равный 1,2·10-5 1/°С);

ΔT3 - температурный перепад для зимнего периода эксплуатации трубопровода, °С.

Величину Δf- - допускается также определять по приближенной формуле

                                                                                                      (5.87)

5.4.8 Через ΔT3 обозначена абсолютная величина температурного перепада, которую для зимнего времени допускается принимать в виде

                                                                                                    (5.88)

где Т3 - самая низкая возможная в процессе эксплуатации отрицательная температура трубопровода на данном участке.

Приложение А
(рекомендуемое)

Определение расчетного радиуса кривизны участка подземного трубопровода

А.1 Расчетный радиус кривизны ρ0 является характеристикой начального изгиба заглубленного в грунт трубопровода. Под расчетным радиусом ρ0 понимается минимальный радиус кривизны оси трубы, если изгиб имеет место на всей длине волны выпучивания, что обычно наблюдается при свободном (упругом) изгибе трубопровода. Таким образом, если длина хорды кривой больше или равна критической длине волны выпучивания, то в качестве расчетного радиуса принимается фактический радиус оси кривизны трубы, т. е. при

                                                                                                                      (А.1)

где Lcr - критическая длина волны выпучивания, м;

ρ - минимальный радиус оси кривизны трубопровода, м;

α - угол поворота оси трассы трубопровода, градусы.

А.2 Поворот трубопроводов может выполняться с применением отводов (колен) машинного гнутья или заводских отводов с радиусом кривизны оси не менее 5D (см. рисунок А.1). В этом случае обычно условие (А.1) не соблюдается, т.е. перемещение трубопровода происходит на длине, включающей и примыкающие к отводам первоначально прямолинейные участки. Зная длину волны выпучивания, расчетный радиус определяют как радиус кривой, проходящей через начало и конец волны выпучивания и вершину угла поворота.

А.3 Так как длина волны выпучивания зависит от расчетного радиуса кривизны оси, то решение выполняется методом последовательных приближений. Вначале задаются возможной длиной волны выпучивания - примерно (40-70) D.

А.4 В зависимости от схемы угла поворота трассы (см. рисунок А.1) в первом приближении определяется расчетный радиус ρ0.

А.4.1 Схема а) на рисунке А.1

Считается, что угол поворота трассы α ≤ 9°, длина хорды кривой L0 менее длины волны выпучивания и длина каждого из прямолинейных примыкающих участков Ls.1. такова, что выполняется неравенство

                                                                                                       (А.2)

Рисунок А. 1 - Расчетная схема вертикальных выпуклых углов поворота

Расчетный радиус кривизны определяется по формуле

                                                                                   (А.3)

где Lсг - расчетная (критическая) длина волны выпучивания, м;

α - угол поворота трубопровода в вертикальной плоскости, градусы;

ρ - радиус кривизны оси (кривой), м.

А.4.2 Схема б) на рисунке А.1

Расчетный участок состоит из двух кривых вставок с углами поворота α1 и α2 и прямолинейного участка между ними, причем каждый из углов менее 9°. Также выполняется неравенство

                                                                                 (А.4)

Расчетный радиус кривизны определяется по формуле

                                     (А.5)

А.4.3 Схема в) на рисунке А.1

Расчетный участок состоит из одного угла поворота, выполненного с помощью колен радиусом не менее 5D. Расчетный радиус кривизны определяется по формуле

                                                                                                             (А.6)

А.4.4 Схема г) на рисунке А.1

Расчетный участок состоит из двух углов поворота, выполненных с помощью колен (ρk ≥ 5D). Расчетный радиус кривизны определяется по формуле

                    (А.7)

А.4.5 Схема д) на рисунке А.1

Расчетный участок представляет собой кривую угла поворота, замененную ломаной линией с одинаковыми углами, образованными коленами с радиусом кривизны ρk ≥ 5D и углами α = (3-6)°, и с равными расстояниями между ними. Расчетный радиус кривизны определяется по формуле

                                           (A.8)

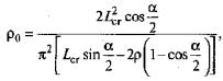
A.5 Определив расчетный радиус кривизны для выбранной рассматриваемой схемы поворота оси трубопровода по одной из приведенных формул (А.3), (А.5)-(А.8), далее определяют расчетную длину волны выпучивания Lkp по формуле

                                                                                                   (А.9)

где

ЕI - изгибная жесткость сечения трубопровода, МН·м2;

q* - предельное погонное сопротивление перемещениям трубопровода вверх, МН/м;

ρ0 - расчетный радиус кривизны оси трубопровода, м.

А.6 Во втором приближении длина волны выпучивания принимается как среднее значение между предшествующим и вычисленным значениями.

Таким образом, в результате нескольких приближений определяется расчетный радиус кривизны ρ0.

Библиография

[1] Строительные нормы и правила Российской Федерации СНиП 2.05.06-85*

Магистральные трубопроводы

[2] Научно-прикладной справочник по климату СССР. - Л.: Гидрометеоиздат, 1990

[3] Строительные нормы и правила Российской Федерации СНиП 2.01.07-85*

Нагрузки и воздействия

[4] Строительные нормы и правила Российской Федерации СНиП 2.02.04-88

Основания и фундаменты на вечномерзлых грунтах

[5] Ведомственные строительные нормы ОАО «Газпром» ВСН 39-1.9-003-98

Конструкции и способы балластировки и закрепления подземных газопроводов

[6] Строительные правила Российской Федерации СП 107-34-96

Свод правил по сооружению линейной части газопровода. Балластировка, обеспечение устойчивости положения газопроводов на проектных отметках

[7] Пособие по расчету напряженнно-деформированного состояния подземного трубопровода при произвольном очертании оси в горизонтальной и вертикальной плоскостях, несовмещенных углах поворота и закреплении грузами и анкерами с малой удерживающей способностью. Программа ПРУТ (к СНиП 2.05.06-85* Магистральные трубопроводы). - М.: ВНИИСТ, 1989

[8] Строительные нормы и правила Российской Федерации СНиП 2.02.01-83

Основания зданий и сооружений

[9] Программная система СТАРТ. Расчет прочности и жесткости трубопроводов. Руководство пользователя. - М.: НТП «Трубопровод», 2004

Ключевые слова: инструкция, проектирование, трубопровод, компенсация, продольная деформация, магистральный газопровод, расчет на прочность и устойчивость

 

 




ГОСТЫ, СТРОИТЕЛЬНЫЕ и ТЕХНИЧЕСКИЕ НОРМАТИВЫ.
Некоммерческая онлайн система, содержащая все Российские Госты, национальные Стандарты и нормативы.
В Системе содержится более 150000 файлов нормативно-технической документации, действующей на территории РФ.
Система предназначена для широкого круга инженерно-технических специалистов.

Рейтинг@Mail.ru Яндекс цитирования

Copyright © www.gostrf.com, 2008 - 2026