Крупнейшая бесплатная информационно-справочная система онлайн доступа к полному собранию технических нормативно-правовых актов РФ. Огромная база технических нормативов (более 150 тысяч документов) и полное собрание национальных стандартов, аутентичное официальной базе Госстандарта. GOSTRF.com - это более 1 Терабайта бесплатной технической информации для всех пользователей интернета. Все электронные копии представленных здесь документов могут распространяться без каких-либо ограничений. Поощряется распространение информации с этого сайта на любых других ресурсах. Каждый человек имеет право на неограниченный доступ к этим документам! Каждый человек имеет право на знание требований, изложенных в данных нормативно-правовых актах!

  


 

Приказ Министерства энергетики РФ от 28 января 2010 г. № 28

"Об утверждении Нормативов по организации военизированных горноспасательных частей"

В целях обеспечения аварийно-спасательного обслуживания организаций по добыче (переработке) угля (горючих сланцев) и на основании постановления Правительства Российской Федерации от 25 июня 1992 г. № 432 "О военизированных горноспасательных частях угольной промышленности Министерства топлива и энергетики Российской Федерации" в редакции постановления Правительства Российской Федерации от 15 июня 1994 г. № 681 (Собрание законодательства Российской Федерации, 1994, № 8, ст. 873) приказываю:

Утвердить прилагаемые Нормативы по организации военизированных горноспасательных частей.

 

Министр                            С.И. Шматко

 

Зарегистрировано в Минюсте РФ 6 мая 2010 г.

Регистрационный № 17142

Нормативы по организации военизированных горноспасательных частей

Содержание

 

Приложение № 1 Структура военизированной горноспасательной части (ВГСЧ)

Приложение № 2 Структура управления оперативной работой отдельного военизированного горноспасательного отряда

Приложение № 3 Структура управления профилактической работой отдельного военизированного горноспасательного отряда

Приложение № 4 Структура военизированного горноспасательного взвода

Приложение № 5 Перечень служебных помещений военизированного горноспасательного взвода (ВГСВ)

Приложение № 6 Дислокация подразделений ____________________ ОВГСО (ОБР) на ____________ гг.

 

1. Настоящие Нормативы по организации военизированных горноспасательных частей (далее - Нормативы), разработаны в соответствии с Федеральным законом от 20 июня 1996 г. № 81-ФЗ "О государственном регулировании в области добычи и использования угля, об особенностях социальной защиты работников организаций угольной промышленности" (Собрание законодательства Российской Федерации, 1996, № 26, ст. 3033; 2000, № 33, ст. 3348; 2004, № 35, ст. 3607; 2006, № 25, ст. 2647; 2007, № 31, ст. 4010; 2008, № 30, ст. 3616; 2009, № 1, ст. 17) и постановлениями Правительства Российской Федерации от 25 июня 1992 г. № 432 "О военизированных горноспасательных частях угольной промышленности Министерства топлива и энергетики Российской Федерации" в редакции постановления Правительства Российской Федерации от 15 июня 1994 г. № 681 (Собрание законодательства Российской Федерации, 1994, № 8, ст. 873) и от 30 декабря 2004 г. № 883 "Об утверждении Положения о функционировании аварийно-спасательной службы для организаций по добыче (переработке) угля (горючих сланцев)" (Собрание законодательства Российской Федерации, 2005, № 1, ст. 125).

2. Нормативы распространяются на военизированные горноспасательные части (далее - ВГСЧ), осуществляющие горноспасательное обслуживание организаций по добыче (переработке) угля (горючих сланцев) и устанавливают основные требования к структуре, численности и дислокации подразделений ВГСЧ бассейна (области) с учетом показателей опасности возникновения аварий в обслуживаемых организациях и их территориального расположения.

3. Для целей настоящих Нормативов используются следующие понятия:

опасность возникновения аварий - совокупность факторов, обусловленная технологиями добычи и переработки угля (горючего сланца), горно-геологическими и газодинамическими факторами: горным давлением, скоплением метана, угольной пыли, внезапными выбросами угля и газа, склонности угля к самовозгоранию, прорывов воды (плывунов) (определяются согласно Правилам безопасности в угольных шахтах, утвержденными постановлением Госгортехнадзора России от 05.06.2003 № 50 (зарегистрировано в Минюсте России 19.06.2003 № 4737);

план ликвидации аварии (далее - ПЛА) - план согласованных действий рабочих, застигнутых аварией в шахте, руководства и инженерно-технических работников шахты, работников горноспасательных подразделений и членов вспомогательной горноспасательной службы шахты (далее - ВГС), направленный на вывод людей из выработок аварийного участка и ликвидацию аварии;

горноспасательное обслуживание - комплекс мероприятий, включающий профилактическую деятельность по предупреждению возникновения аварий в организациях, поддержание сил и средств ВГСЧ в постоянной боевой готовности к выезду на ликвидацию аварий и проведение горноспасательных и технических работ;

горноспасательные работы - экстренные и неотложные действия по спасению людей, оказанию помощи пострадавшим, локализации и ликвидации последствий взрывов, пожаров, загазирований, обрушений, внезапных выбросов горной массы, затоплений и других видов аварий и инцидентов;

технические работы - работы выполняемые работниками ВГСЧ на обслуживаемых объектах с применением средств защиты органов дыхания или другого горноспасательного оснащения;

респираторщик - работник ВГСЧ, занимающий должность, относящуюся к категории рабочих, подготовленный и аттестованный в установленном порядке на проведение горноспасательных работ с применением средств защиты органов дыхания (респираторов), владеющий навыками работы по основным профессиям подземных рабочих и приемами оказания первой медицинской помощи пострадавшим;

4. Структура ВГСЧ определяется ее руководителем в соответствии с настоящими Нормативами с учетом показателей опасности обслуживаемых объектов и их территориального расположения.

5. Структура ВГСЧ должна обеспечивать централизованное управление горноспасательными подразделениями, их постоянную боевую готовность и выполнение экстренных и неотложных действий по спасению людей и ликвидации аварий, размещение подразделений в месте расположения обслуживаемых объектов (бассейне, области).

6. Для выполнения своих функций ВГСЧ имеет в своем составе аппарат управления, горноспасательные формирования ВГСЧ бассейна (области) - отдельные военизированные горноспасательные отряды (далее - ОВГСО), располагаемые в районах размещения обслуживаемых объектов.

Для выполнения своих функций в состав ВГСЧ могут входить отряд быстрого реагирования (далее - ОБР), учебный центр по подготовке и переподготовке работников ВГСЧ и предприятий (далее - УЦ ВГСЧ) (приложение № 1) и другие подразделения.

7. ОВГСО осуществляет горноспасательное обслуживание организаций на определенной территории угледобывающего региона (бассейна, области).

8. ОБР осуществляет горноспасательное обслуживание организаций в регионе своей дислокации, а также оказывает помощь региональным ОВГСО в ликвидации сложных аварий и катастроф.

9. ОВГСО (ОБР) возглавляет командир отряда, который несет ответственность за постоянную боевую готовность вверенного ему подразделения к горноспасательным работам в обслуживаемых организациях. Командир отряда назначается руководителем ВГСЧ.

10. В состав ОВГСО (ОБР) входят:

оперативные подразделения - военизированные горноспасательные пункты (далее - ВГСП), военизированные горноспасательные взводы (далее - ВГСВ). Их количество определяется в соответствии с настоящими Нормативами, исходя из показателей опасности возникновения аварий и территориального расположения обслуживаемых организаций по добыче и переработке угля;

контрольно-испытательные лаборатории (далее - КИЛ), выполняющие анализы проб шахтного воздуха, испытания материалов и другие виды деятельности;

группы аэрологической безопасности (далее - ГАБ), выполняющие оценки состояния вентиляции шахт и разработку мер, обеспечивающих устойчивость вентиляционных режимов при ликвидации аварий на шахтах.

При необходимости в состав ОВГСО (ОБР) могут входить:

реанимационно-противошоковые группы (далее - РПГ);

взводы по обслуживанию и применению специальной горноспасательной техники (далее - ВСГТ);

отделения респираторщиков-водолазов для ведения подводно-технических и поисково-спасательных водолазных работ;

станции технического обслуживания пожаротушащей техники и горношахтного оборудования (далее - СТО);

учебные центры и взводы для обучения работников ВГСЧ и предприятий;

другие специализированные подразделения.

11. Организация выполнения оперативной работы в отряде возлагается на заместителя командира отряда по оперативной работе. В его непосредственном подчинении находятся:

помощники командира отряда, осуществляющие круглосуточную оперативную работу;

другие работники отряда, обеспечивающие постоянную боевую готовность сил и средств отряда к выезду на аварию, организующие и выполняющих работы по спасению людей и ликвидации последствий аварий в обслуживаемых организациях (приложение № 2).

12. Организация выполнения профилактической работы в отряде возлагается на заместителя командира отряда по профилактической работе. В его непосредственном подчинении находятся:

помощники командира отряда, осуществляющие профилактическую работу в каждой обслуживаемой организации;

начальники КИЛ и ГАБ (приложение № 3).

13. Штатную численность работников выполняющих вспомогательные работы по обеспечению функционирования ОВГСО (ОБР) определяет руководитель ВГСЧ.

14. ВГСВ состоит из четырех и более горноспасательных отделений для выполнения основных видов горноспасательных работ на обслуживаемых объектах, а также других работников, обеспечивающих функционирование подразделения (приложение № 4).

ВГСВ возглавляет командир взвода. Для обеспечения круглосуточной готовности к выезду на аварийный объект, организации и ведению горноспасательных работ в штат ВГСВ входят заместитель командира взвода и не менее четырех помощников командира взвода.

15. ВГСВ осуществляет обслуживание не более четырех угледобывающих организаций, соответственно с подземным или открытым способом добычи угля (горючих сланцев). При обслуживании более четырех угледобывающих организаций производится увеличение количества отделений в ВГСВ, с учетом показателей опасности возникновения аварий в обслуживаемых организациях.

ВГСВ обеспечивает, с учетом соблюдения норм рабочего времени и графика работы (службы) личного состава, постоянную боевую готовность к выезду на ликвидацию аварий в организациях с открытым или подземным способом добычи угля, соответственно не менее одного или не менее двух горноспасательных отделений. При этом время дежурства работников, непосредственно связанных с постоянной боевой готовностью к выезду на аварию, находящихся в режиме ожидания на дому, учитывается в размере одной четвертой часа за каждый час дежурства.

16. По согласованию с федеральным органом исполнительной власти, осуществляющим контроль за состоянием и готовностью подразделений ВГСЧ к ликвидации аварий на обслуживаемых предприятиях, для обслуживания одного, удаленно расположенного, объекта допускается создание ВГСП.

ВГСП обеспечивает, с учетом соблюдения норм рабочего времени и графика работы личного состава, выезд на ликвидацию аварии не менее одного горноспасательного отделения для выполнения горноспасательных работ в первоначальный период, совместно с членами вспомогательных горноспасательных команд обслуживаемой организации.

Для размещения ВГСП обслуживаемая организация предоставляет ему служебные помещения, в которых организуется дежурство личного состава, хранение и проверка приборов защиты органов дыхания, другого табельного оснащения, а также профессиональная тренировка приемам ликвидации аварий.

17. Для ликвидации аварий в подземных условиях, оказания помощи и эвакуации пострадавших, горноспасательное отделение должно состоять не менее чем из пяти человек: командира отделения и четырех респираторщиков.

Для ликвидации аварии в условиях открытых горных работ горноспасательное отделение должно состоять не менее чем из трех человек: командира отделения и двух респираторщиков.

18. РПГ служат для оказания экстренной квалифицированной медицинской помощи пострадавшим работникам обслуживаемых организаций непосредственно на рабочем месте, для медицинского обеспечения горноспасательных работ и контроля состояния здоровья работников ВГСЧ.

Руководство деятельностью РПГ осуществляет помощник командира отряда, который непосредственно подчиняется заместителю командира отряда по оперативной работе.

РПГ состоят из медицинских работников (помощников командира взвода), сгруппированных в бригады РПГ из двух человек. Дежурство бригады РПГ выполняется в круглосуточном режиме на специально предназначенном для оказания скорой медицинской помощи автомобиле.

При отсутствии РПГ во взводе должно быть предусмотрено наличие медицинского работника в должности помощника командира взвода.

19. Подразделения ВГСЧ размещаются в зданиях и помещениях, специально оборудованных для несения круглосуточного дежурства, подготовки, тренировки, отдыха работников ВГСЧ, оперативного выезда автотранспорта, ремонта, хранения и содержания горноспасательного оснащения (приложение № 5).

В проектах на строительство предприятий по добыче угля (горючих сланцев), находящихся вне зоны обслуживания имеющихся подразделений ВГСЧ, должно предусматриваться наличие специально оборудованных зданий и помещений для размещения подразделений ВГСЧ.

20. Подразделения ВГСЧ, для выполнения своих функций, должны иметь необходимую горноспасательную аппаратуру и оборудование, запас материалов, а также специальный автотранспорт для доставки этого оснащения и работников ВГСЧ на аварийный объект.

21. Личный состав ВГСЧ, непосредственно участвующий в горноспасательных и технических работах продолжительностью более шести часов, обеспечивается помещением для отдыха и питанием за счет средств организаций по месту выполнения горноспасательных работ.

22. Дислокация подразделений ОВГСО (ОБР) определяет расположение и состав, входящих в отряд подразделений (ВГСВ, количество отделений, размещение РПГ, ГАБ, КИЛ и других подразделений), расстояние между взводами и до обслуживаемых объектов организаций, их наименование и краткую характеристику (приложение № 6).

23. Дислокация подразделений ОВГСО (ОБР) утверждается Минэнерго России один раз в три года, по согласованию с территориальными органами Ростехнадзора.

Дислокация подразделений ОВГСО (ОБР) может корректироваться в зависимости от изменения количества обслуживаемых организаций, показателей опасности возникновения аварий и других факторов.

24. Военизированные горноспасательные взводы, в зависимости от опасности возникновения аварий в обслуживаемых организациях, и для обеспечения своевременного принятия мер по спасению людей и ликвидации аварий должны находиться от этих организаций на расстоянии не далее:

20 км - от шахт, разрабатывающих пласты опасные по внезапным выбросам метана, угля и породы, и пласты, склонные к горным ударам; от шахт сверхкатегорных по метану, разрабатывающих пласты угля, склонные к самовозгоранию;

40 км - от шахт сверхкатегорных по метану, разрабатывающих пласты угля, не склонные к самовозгоранию; от шахт III, II и I категории по метану, разрабатывающих пласты угля склонные к самовозгоранию;

60 км - от шахт III, II и I категории по метану, разрабатывающих пласты угля, не склонные к самовозгоранию; от не газовых шахт и организаций по переработке и обогащению угля (горючих сланцев);

300 км - от угольных разрезов и карьеров.

25. Горноспасательное обслуживание строящихся, закрываемых и находящихся на консервации шахт осуществляется в соответствии с проектами на строительство, ликвидацию и консервацию указанных шахт.

26. При выполнении сложных и затяжных горноспасательных работ привлечение необходимого числа отделений и горноспасательной техники из других отрядов ВГСЧ определяется согласно плану взаимодействия подразделений ВГСЧ, утвержденному руководителем ВГСЧ.

27. Подразделения ВГСЧ должны иметь телефонную и радиосвязь с обслуживаемыми предприятиями, горноспасательным отрядом, а также с другими подразделениями ВГСЧ для оперативного реагирования на аварии и выполнения работ по их ликвидации.

28. Нормативы времени на выезд подразделений ВГСЧ по сигналу "Тревога" для ликвидации аварий в обслуживаемых организациях устанавливается применительно к специфике каждого региона и утверждаются руководителем ВГСЧ.

29. Необходимое количество отделений в одном ВГСВ (ВГСП) для обеспечения круглосуточного дежурства определяется по формуле:

N=K´A/B+DO

где N - количество отделений во взводе для обеспечения круглосуточного дежурства, ед.;

К - нормативное количество отделений выезжающих из одного взвода на ликвидацию аварии на обслуживаемом объекте, ед.;

А - годовой календарный фонд времени, час;

В - годовой фонд рабочего времени одного отделения, час;

DO - дополнительное количество отделений, ед. Принимается при увеличении обслуживаемых объектов более четырех и устанавливается от одного отделения и более в зависимости от потенциальной аварийной опасности.

30. Расчет количества отделений в отряде выполняется с учетом фактической аварийности на обслуживаемых шахтах за последние десять лет (количество возникших аварий, длительность и трудоемкость их ликвидации), среднегодовой нагрузки на отделение по объему выполнения аварийных и технических работ, а также удаленности шахт от подразделений соседних отрядов.

31. Количество отделений в отряде (взводе, пункте) определяется по формуле:

N=Oср´К1´К2´К3´К4´К5´К6;

где Оср - среднее значение максимального количества работавших в одну смену отделений на авариях всех видов за десятилетний период по обслуживаемому району;

где Ов - среднее значение максимального количества работавших в одну смену отделений при ликвидации последствий взрыва за десятилетний период;

Ав - среднегодовое количество взрывов метана и угольной пыли за десятилетний период;

Оп - среднее значение максимального количества работавших в одну смену отделений при ликвидации последствий пожара за десятилетний период;

Ап - среднегодовое количество пожаров, рецидивов и загораний, ликвидированных в начальной стадии за десятилетний период;

Овв - среднее значение максимального количества работавших в одну смену отделений при ликвидации последствий внезапных выбросов за десятилетний период;

Авв - седнегодовое количество внезапных выбросов угля и газа за десятилетний период;

Ор - среднее значение максимального количества работавших в одну смену отделений при ликвидации последствий разгазирования за десятилетний период;

Ар - среднегодовое количество случаев разгазирования горных выработок за десятилетний период;

Оо - среднее значение максимального количества работавших в одну смену отделений при ликвидации последствий обрушения за десятилетний период;

Ао - среднегодовое количество обрушений пород, прорывов воды и глинистой пульпы за десятилетний период;

Од - среднее значение максимального количества работавших в одну смену отделений при ликвидации последствий других аварий за десятилетний период;

Ад - среднегодовое количество других подземных и поверхностных аварий за десятилетний период;

От - среднее значение максимального количества работавших в одну смену отделений на технических работах за десятилетний период;

Ат - среднегодовое количество технических работ за десятилетний период.

К1 - коэффициент учитывающий влияние длительности ликвидации аварии в обслуживаемом районе. Зависит от средней длительности ликвидации одной аварии и принимается равным:

К1=1, если Д не превышает 6 часов;

К1=Д/6, если Д от 6 часов до 24 часов;

К1=4, если Д превышает 24 часа,

где Д - средняя длительность горноспасательных работ по ликвидации одной аварии (час);

К2 - коэффициент, учитывающий взаимопомощь соседних военизированных горноспасательных отрядов, зависит от времени прибытия отделений из подразделений соседних отрядов и принимается равным:

К2=2 - при времени прибытия отделений из соседних подразделений на наиболее удаленную шахту свыше 24 часов;

К2=1,5 - при времени прибытия отделений из соседних подразделений на наиболее удаленную шахту от 6 до 24 часов с момента возникновения аварии;

К2=1 - при времени прибытия отделений из соседних подразделений на наиболее удаленную шахту в течение первых 6 часов ликвидации аварии.

К3 - коэффициент учитывающий график работы в подразделениях отряда.

Его величина определяется отношением общего числа отделений в подразделениях к числу отделений, готовых к выезду на ликвидацию аварии (суммарному среднесуточному числу дежурных и резервных отделений в подразделении).

Если в отряде имеются подразделения с разными графиками, то значение К3 определяется как средневзвешенное.

К4 - коэффициент, учитывающий нагрузки на отделение среднегодовых объемов, выполненных аварийных и технических работ, принимается равным:

К4=0,5, если Тотд меньше 360 чел. часов;

К4=1, если Тотд составляет от 360 до 1800 чел. часов;

К4=Тотд/Тн, если Тотд превышает 1800 чел. часов,

где Тотл - среднегодовая нагрузка на отделение по выполнению аварийных и технических работ, чел. час;

Тн=1800 - нормативная годовая нагрузка на отделение по выполнению аварийных и технических работ в шахтах, чел-ч/год;

К5 - коэффициент учитывающий протяженность горных выработок обслуживаемых шахт. Принимается равным:

К5=0,5 - при суммарной протяженности горных выработок шахт до 60 км;

К5=0,6 - при суммарной протяженности от 60 до 120 км;

К5=0,8 - при суммарной протяженности от 120 до 240 км;

К5=1,0 - при суммарной протяженности более 240 км.

К6 - коэффициент учитывающий число горнорабочих, одновременно работающих в подземных условиях. Принимается равным:

К6=1,2 - при общей численности подземных трудящихся в наиболее загруженную смену до 1000 чел.;

К6=1,6 - при общей численности от 1000 до 3000 чел.,

К6=Р/1500 - при общей численности более 3000 чел.,

где Р - общая численность подземных трудящихся в наиболее загруженную смену, чел.

32. Если расчетное количество отделений в отряде (взводе) N превышает фактическое количество отделений в отряде, то принимается решение о формировании дополнительных отделений, в первую очередь - во взводах, обслуживающих организации с наибольшей опасностью возникновения аварий.

33. Штатная численность работников, осуществляющих профилактическую деятельность, определяется в соответствии с объемом выполняемых ими работ, вытекающих из должностных функциональных обязанностей, направленных на решение задач противоаварийной защиты обслуживаемых опасных производственных объектов.

34. Штатная численность работников ОВГСО (ОБР), осуществляющих профилактическую работу на угольных предприятиях (помощники командира отряда по профилактической работе - ПКОПР), определяется по формуле:

;

где Lг - суммарная протяженность горизонтальных горных выработок по каждому обслуживаемому предприятию, м;

Lн - суммарная протяженность наклонных горных выработок по каждому обслуживаемому предприятию, м;

Lв - суммарная протяженность вертикальных горных выработок по каждому обслуживаемому предприятию, м;

Lву - суммарная протяженность линии очистных забоев по каждому обслуживаемому предприятию, м;

Lк - сумма средних высот башенных копров по каждому обслуживаемому предприятию, м;

L - суммарная протяженность линии очистных забоев при отработке крутых пластов (включая системы разработки ПГО и ПШО) по обслуживаемым предприятиям, м;

Vг - средняя скорость передвижения по горизонтальным горным выработкам, м/час;

Vн - средняя скорость передвижения по наклонным горным выработкам, м/час;

Vв - средняя скорость передвижения по вертикальным горным выработкам (вниз), м/час;

Vву - средняя скорость передвижения по очистным забоям, м/час;

Vк - средняя скорость передвижения по вертикальным горным выработкам (вверх), м/час;

Т - рабочее время в подземных условиях, час;

Рабочее время в подземных условиях принимается не более 132 часов в соответствии со статьей 91 Трудового Кодекса Российской Федерации, при 30 часовой рабочей неделе;

В - среднее рабочее время за месяц, час;

Среднее рабочее время за месяц составляет 166,1 час., принимается в соответствии со статьей 91 Трудового Кодекса Российской Федерации, при 40 часовой рабочей неделе.

Nш - количество обслуживаемых шахт;

Nр - количество обслуживаемых разрезов;

Nо - количество обслуживаемых обогатительных фабрик;

Е - коэффициент, учитывающий обследование лав при отработке крутых пластов (включая системы разработки ПГО и ПШО), принимается по таблице:

 

Угол наклона выработки, град

Поправочный коэффициент

13-30

1.16

31-45

1.30

46 и более

1.54

 

X=1,10, коэффициент, учитывающий время на отдых, согласно "Нормативу времени на отдых для работников занятых на горных работах в угольной промышленности".

Г - коэффициент учитывающий производство работ по пластам, опасным или угрожаемым по внезапным выбросам угля и газа, а также горным ударам, категорию обслуживаемых шахт по газу метану. Величина коэффициента принимается по таблице:

 

Показатель

Шахты (категории по газу метану)

Не газовые

I, II

III категории

Сверхкатегорийные

Г

1

1.05

1.11

1.176

 

К - коэффициент запаса численности состава, определяется по формуле:

где А - календарная продолжительность года, дней;

П - продолжительность праздничных дней в году, дней;

Р - продолжительность выходных дней в году, дней;

О - продолжительность отпуска, дней;

N - сумма дополнительных отпусков в году, дней.

Z - коэффициент, учитывающий количество невыходов по прочим уважительным причинам, равен 0,96.

Затраты времени на обследование предприятий определяем по формуле:

Ф=(С+R+S)´Д

где С - количество рабочих дней, отведенных на проведение занятий в учебной шахте (1 день), на командирскую учебу (2 дня), на подготовку информации о проделанной работе за отчетный месяц (1 день), проверка соответствия ПЛА, действительному положению ведения горного хозяйства в шахте (1 день), оценка по данным КИЛ эндогенной пожароопасности шахты (1 день). Всего С равно 6 дням.

R - количество дней на посещение разрезов (равно количеству разрезов);

S - количество дней на посещение ОФ (равно количеству ОФ, ОУ и пр.);

Д - продолжительность рабочего дня на поверхности, 8 часов;

35. Штатная численность работников контрольно-измерительной лаборатории (КИЛ) определяется по формуле:

, человек

где  - списочная численность КИЛ, человек;

 - суммарные трудозатраты всех видов работ КИЛ, чел. смен;

m - количество видов работ, выполняемых КИЛ;

Ксписок - коэффициент списочного состава численности КИЛ, устанавливается с учетом фактической средней продолжительности трудовых отпусков, больничных по временной нетрудоспособности и других потерь времени, установленных трудовым законодательством;

Vj - объем j-го вида работ, чел. смен;

Hj - норма времени выполнения единицы j-го вида работ, чел. смен;

Tj - годовой фонд рабочего времени, на поверхности (максимальный) - 252 рабочих дня.

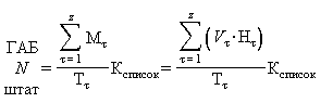
36. Штатная численность работников группы аэрологической безопасности (ГАБ) определяется по формуле:

, человек

где  - списочная численность ГАБ, человек;

 

 - суммарные трудозатраты всех видов работ ГАБ, чел. смен;

z - количество видов работ, выполняемых ГАБ;

Ксписок - коэффициент списочного состава численности ГАБ, устанавливается с учетом фактической средней продолжительности трудовых отпусков, больничных по временной нетрудоспособности и других потерь времени, установленных трудовым законодательством;

Vt - объем t-го вида работ, чел. смен;

Нt - норма времени выполнения единицы t-го вида работ, чел. смен;

Тt - годовой фонд рабочего времени, на поверхности - 252 рабочих дня.

Приложение № 1

Структура военизированной горноспасательной части (ВГСЧ)

Приложение № 2

Структура управления оперативной работой отдельного военизированного горноспасательного отряда

 

Приложение № 3

Структура управления профилактической работой отдельного военизированного горноспасательного отряда

Приложение № 4

Структура военизированного горноспасательного взвода

Приложение № 5

Перечень служебных помещений военизированного горноспасательного взвода (ВГСВ)

1. Гараж оперативных автомобилей (по числу автобусов для выезда отделений, автомобилей РПГ, автомобилей и прицепов для перевозки пожарного оборудования, ГИГ, криогенной техники).

2. База неприкосновенного запаса технического оснащения и аварийных материалов согласно "Табелю минимального оснащения подразделений ВГСЧ".

3. Комната оперативного дежурного у телефона и объявления быстрого сбора личного состава дежурных, резервных и свободных смен по сигналу "Тревога".

4. Комната проверки и настройки аппаратов по защите органов дыхания (респираторов) и приборов искусственной вентиляции легких.

5. Помещение для мойки респираторов.

6. Комната переснаряжения и взвешивания регенеративных патронов.

7. Комната кислородных компрессоров для наполнения малолитражных баллонов.

8. Комната хранения транспортных баллонов с кислородом.

9. Учебная шахта.

10. Комплекс тепловой тренировки респираторщиков и командиров.

11. Учебно-тренировочный полигон по отработке тактики применения горноспасательного оснащения.

12. Спортивно-тренажерный зал.

13. Учебный класс для профессиональной подготовки респираторщиков и командиров.

14. Комнаты отдыха дежурных и резервных смен.

15. Мастерская по ремонту горноспасательного оснащения.

16. Кабинеты командира взвода и его помощников.

17. Бытовые помещения согласно действующим санитарным нормам.

Приложение № 6

Дислокация подразделений ____________________ ОВГСО (ОБР) на ____________ гг.

Наименование подразделений, количество отделений, место дислокации (численность по каждому подразделению)

Наименование обслуживаемых объектов

Краткая характеристика обслуживаемого объекта*

Аварийная опасность** и срок эксплуатации обслуживаемых объектов

Наличие ВГС (численность, чел.)

Расстояние до обслуживаемых объектов, км

1

2

3

4

5

6

______________________________

* В краткой характеристики указывается: годовая добыча предприятия, протяженность горных выработок, численность работников.

** К факторам аварийной опасности относится: категорийность по метану, опасность по горным ударам, внезапным выбросам метана, угля и породы, взрывчатости угольной пыли, самовозгоранию угля.

 

 




ГОСТЫ, СТРОИТЕЛЬНЫЕ и ТЕХНИЧЕСКИЕ НОРМАТИВЫ.
Некоммерческая онлайн система, содержащая все Российские Госты, национальные Стандарты и нормативы.
В Системе содержится более 150000 файлов нормативно-технической документации, действующей на территории РФ.
Система предназначена для широкого круга инженерно-технических специалистов.

Рейтинг@Mail.ru Яндекс цитирования

Copyright © www.gostrf.com, 2008 - 2026