Крупнейшая бесплатная информационно-справочная система онлайн доступа к полному собранию технических нормативно-правовых актов РФ. Огромная база технических нормативов (более 150 тысяч документов) и полное собрание национальных стандартов, аутентичное официальной базе Госстандарта. GOSTRF.com - это более 1 Терабайта бесплатной технической информации для всех пользователей интернета. Все электронные копии представленных здесь документов могут распространяться без каких-либо ограничений. Поощряется распространение информации с этого сайта на любых других ресурсах. Каждый человек имеет право на неограниченный доступ к этим документам! Каждый человек имеет право на знание требований, изложенных в данных нормативно-правовых актах!

  


 

Приказ Министерства промышленности и торговли РФ от 29 апреля 2010 г. № 357

Об утверждении Правил определения производителями и импортерами класса энергетической эффективности товара и иной информации о его энергетической эффективности

В соответствии с частью 4 статьи 10 Федерального закона от 23 ноября 2009 г. № 261-ФЗ "Об энергосбережении и о повышении энергетической эффективности и о внесении изменений в отдельные законодательные акты Российской Федерации" (Собрание законодательства Российской Федерации, 2009, № 48, ст. 5711), пунктом 28 Плана мероприятий по энергосбережению и повышению энергетической эффективности в Российской Федерации, направленных на реализацию Федерального закона "Об энергосбережении и о повышении энергетической эффективности и о внесении изменений в отдельные законодательные акты Российской Федерации", утвержденного распоряжением Правительства Российской Федерации от 1 декабря 2009 г. № 1830-р (Собрание законодательства Российской Федерации, 2009, № 50, ст. 6114) и постановлением Правительства Российской Федерации от 31 декабря 2009 г. № 1222 "О видах и характеристиках товаров, информация о классе энергетической эффективности которых должна содержаться в технической документации, прилагаемой к этим товарам, в их маркировке, на их этикетках, и принципах правил определения производителями, импортерами класса энергетической эффективности товара" (Собрание законодательства Российской Федерации, 2010, № 5, ст. 526) приказываю:

1. Утвердить прилагаемые Правила определения производителями и импортерами класса энергетической эффективности товара и иной информации о его энергетической эффективности.

2. Настоящий приказ вступает в силу в установленном порядке.

3. Контроль за исполнением настоящего приказа возложить на заместителя Министра В.Ю. Саламатова.

Врио Министра                                                                                                         А.В. Дементьев

Зарегистрировано в Минюсте РФ 11 июня 2010 г.

Регистрационный № 17550

Правила определения производителями и импортерами класса энергетической эффективности товара и иной информации о его энергетической эффективности

Приложение № 1 Определение классов энергетической эффективности бытовых холодильников, морозильников и их комбинаций

Приложение № 2 Определение классов энергетической эффективности для бытовых стиральных машин

Приложение № 3 Определение классов энергетической эффективности для бытовых кондиционеров, электовоздухоохладителей

Приложение № 4 Определение классов энергетической эффективности для машин посудомоечных бытовых

Приложение № 5 Определение классов энергетической эффективности для бытовых кухонных электроплит

Приложение № 6 Определение классов энергетической эффективности для жарочных электрошкафов (электродуховки бытовые)

Приложение № 7 Определение характеристик энергетической эффективности для микроволновых печей

Приложение № 8 Определение характеристик энергетической эффективности для телевизоров и аппаратуры телевизионной комбинированной

Приложение № 9 Определение характеристик энергетической эффективности для бытовых электроприборов для отопления

Приложение № 10 Определение характеристик энергетической эффективности для бытовых электроприборов для нагревания жидкостей

Приложение № 11 Определение классов энергетической эффективности для бытовых электрических ламп

Приложение № 12 Определение характеристик энергетической эффективности для компьютерных мониторов

Приложение № 13 Определение характеристик энергетической эффективности для принтеров и копировальных аппаратов

Приложение № 14 Определение характеристик энергетической эффективности для лифтов

1. Правила определения производителями и импортерами класса энергетической эффективности товара и иной информации о его энергетической эффективности (далее - Правила) разработаны в соответствии с частью 4 статьи 10 Федерального закона от 23 ноября 2009 г. № 261-ФЗ "Об энергосбережении и о повышении энергетической эффективности и о внесении изменений в отдельные законодательные акты Российской Федерации" (Собрание законодательства Российской Федерации, 2009, № 48, ст. 5711), пунктом 28 Плана мероприятий по энергосбережению и повышению энергетической эффективности в Российской Федерации, направленных на реализацию Федерального закона "Об энергосбережении и о повышении энергетической эффективности и о внесении изменений в отдельные законодательные акты Российской Федерации", утвержденного распоряжением Правительства Российской Федерации от 1 декабря 2009 г. № 1830-р (Собрание законодательства Российской Федерации, 2009, № 50, ст. 6114) и постановлением Правительства Российской Федерации от 31 декабря 2009 г. № 1222 "О видах и характеристиках товаров, информация о классе энергетической эффективности которых должна содержаться в технической документации, прилагаемой к этим товарам, в их маркировке, на их этикетках, и принципах правил определения производителями, импортерами класса энергетической эффективности товара" (Собрание законодательства Российской Федерации, 2010, № 5, ст. 526).

Настоящими Правилами предусматривается порядок определения производителями и импортерами класса энергетической эффективности товара, а также иной информации товара о его энергетической эффективности.

2. Испытания (измерения) для определения класса и характеристик энергетической эффективности товара проводят аккредитованные испытательные лаборатории (центры) в порядке, установленном постановлением Правительства Российской Федерации от 24 февраля 2009 г. № 163 "Об аккредитации органов по сертификации и испытательных лабораторий (центров), выполняющих работы по подтверждению соответствия" (Собрание законодательства Российской Федерации, 2009, № 10, ст. 1221).

3. Настоящие Правила распространяются на электрические холодильные приборы компрессионного типа, предназначенные для хранения и/или замораживания пищевых продуктов в бытовых условиях. Правила устанавливают классы и характеристики энергетической эффективности холодильных приборов (приложение № 1).

4. Настоящие Правила распространяются на стиральные и комбинированные стирально-сушильные электрические машины бытового назначения, питающиеся от электрической сети переменного тока напряжением до 250 В и частотой 50 Гц, предназначенные для стирки текстильных изделий с применением моющих средств, а также полоскания, отжима и сушки (при наличии) в автоматическом режиме.

Действие Правил не распространяется на стиральные машины с отдельными баками для стирки и отжима (например, машины с двумя баками), а также на стиральные машины, работающие на других видах энергии.

Правила устанавливают классы и характеристики энергетической эффективности бытовых стиральных и комбинированных стирально-сушильных электрических машин (приложение № 2).

5. Настоящие Правила распространяются на бытовые кондиционеры, питающиеся от электрической сети переменного тока напряжением до 250 В и частотой 50 Гц (далее - кондиционеры).

Действие Правил не распространяется на кондиционеры:

работающие от других источников энергии;

с паро- и водоводяным тепловым насосом;

с холодопроизводительностью более 12 кВт.

Правила устанавливают классы и характеристики энергетической эффективности бытовых кондиционеров (приложение № 3).

6. Настоящие Правила распространяются на бытовые посудомоечные машины, питающиеся от электрической сети переменного тока напряжением до 250 В и частотой 50 Гц.

Действие Правил не распространяется на приборы, которые также могут использовать иные источники энергии.

Правила устанавливают классы и характеристики энергетической эффективности бытовых посудомоечных машин (приложение № 4).

7. Настоящие Правила распространяются на бытовые кухонные электроплиты (далее - электроплита), работающие от электрической сети. Действие Правил не распространяется на электроплиты с высокочастотным нагревом.

Правила устанавливает классы и характеристики энергетической эффективности электроплит (приложение № 5).

8. Настоящие Правила распространяются на жарочные электрошкафы (бытовые электродуховки), работающие от электрической сети.

Действие Правил не распространяется на электрошкафы:

микроволновые печи и микроволновые комбинированные печи;

малогабаритные шкафы (с полезным объемом менее 12 л);

электродуховки без терморегулирования;

электродуховки со способом разогрева пищи, отличным от указанного (стандартный разогрев пищи, разогрев пищи принудительной циркуляцией воздуха и разогрев пищи горячим паром).

Правила устанавливает классы и характеристики энергетической эффективности жарочных электрошкафов (приложение № 6).

9. Настоящие Правила распространяются на бытовые микроволновые печи, предназначенные для нагрева пищевых продуктов и напитков в камере посредством электромагнитной энергии на одной или нескольких полосах частот (далее - микроволновые печи) в диапазоне от 300 МГц до 30 ГГц с номинальным напряжением не более 250 В и частотой 50 Гц.

Действие Правил не распространяется на следующие приборы:

коммерческие микроволновые печи;

промышленное микроволновое нагревательное оборудование;

приборы для медицинских целей;

приборы, предназначенные для применения в местах с особыми условиями (например, газ, пар, пыль).

Правила устанавливают характеристики энергетической эффективности микроволновых печей (приложение № 7).

10. Настоящие Правила распространяются на телевизоры цветного изображения и аппаратуру телевизионную комбинированную.

Правила устанавливают характеристики энергетической эффективности телевизоры цветного изображения и аппаратуру телевизионную комбинированную (приложение № 8).

11. Настоящие Правила распространяются на бытовые электроприборы для отопления, а именно на электрорадиаторы теплоаккумуляционные, электроконвекторы, электротепловентиляторы, электрорадиаторы без аккумуляционного сердечника, питающиеся от электрической сети переменного тока напряжением до 250 В и частотой 50 Гц.

Правила устанавливают характеристики энергетической эффективности бытовых электроприборов для отопления (приложение № 9).

12. Настоящие Правила распространяются на бытовые электроприборы для нагрева жидкостей, а именно на электробойлеры бытовые, электроводонагреватели проточные, питающиеся от электрической сети переменного тока напряжением до 250 В и частотой 50 Гц.

Правила устанавливают характеристики энергетической эффективности бытовых электроприборов для нагрева жидкостей (приложение № 10).

13. Настоящие Правила распространяются на бытовые электрические лампы, работающие от электрической сети системы электроснабжения общего назначения и предназначенные для работы в осветительных приборах (лампы накаливания и люминесцентные лампы со встроенным пускорегулирующим устройством), а также бытовые люминесцентные лампы (включая лампы с одним и двумя цоколями и лампы без встроенного пускорегулирующего устройства), которые предназначены для применения не только в бытовых условиях (далее - лампы).

Действие Правил не распространяется на лампы:

со световым потоком свыше 6500 лм;

с потребляемой мощностью менее 4 Вт;

рефлекторные;

предназначенные для работы с другими источниками энергии, например питающиеся от батарей;

не предназначенные для излучения света видимого диапазона частот (длина волны от 400 до 800 нм);

для работы в приборе, не предназначенном для освещения. Если такие лампы предлагаются для продажи отдельно (например, в качестве запасных частей), то действие методики на них распространяется.

Правила устанавливают классы и характеристики энергетической эффективности ламп (приложение № 11).

14. Настоящие Правила распространяются на мониторы компьютерные.

Правила устанавливают характеристики энергетической эффективности мониторов компьютерных (приложение № 12).

15. Настоящие Правила распространяются на принтеры и копировальные аппараты. Правила устанавливают характеристики энергетической эффективности принтеров и копировальных аппаратов (приложение № 13).

16. Настоящие Правила распространяется на лифты, предназначенные для перевозки людей (лифты пассажирские, лифты грузопассажирские). Действие Правил не распространяется на лифты, предназначенные для использования в производственных целях.

Правила устанавливают характеристики энергетической эффективности лифтов, предназначенных для перевозки людей (приложение № 14).

Приложение № 1

к Правилам определения

производителями и импортерами

класса энергетической эффективности

товара и иной информации о его

энергетической эффективности

Определение классов энергетической эффективности бытовых холодильников, морозильников и их комбинаций

Для обозначения холодильных приборов с наибольшей энергетической эффективностью, в зависимости от индекса энергетической эффективности, установлено два класса (по возрастанию) - "А+" и "А++", согласно таблице 1.

Таблица 1

Класс энергетической эффективности

Индекс энергетической эффективности альфа (Iα), %

А++

30 > Iα

А+

42 > Iα ≥ 30

Индекс энергетической эффективности Iα, вычисляют по формуле

,                                                                                                       (1)

где: Ефакт - фактическое годовое потребление электроэнергии холодильным прибором, кВт·ч;

Еαстанд - стандартное годовое α-потребление электроэнергии для холодильного прибора данного типа, определяемое расчетным путем, кВт·ч.

Стандартное годовое потребление электроэнергии холодильным прибором Еαстанд, кВт·ч, вычисляют по формуле

,                              (2)

где: n - количество отделений холодильного прибора;

Vc - объем для хранения продуктов каждого отделения, л;

Tc - температура, установленная для каждого отделения прибора, °С.

Значения коэффициентов Mα, Nα и коэффициентов FF, CC, BI, СН для различных типов холодильных приборов приведены в таблицах 2 и 3 соответственно.

Таблица 2

Тип холодильного прибора

Температура самого холодного отделения прибора, °С

Mα

Nα

Холодильник без НТО

> -6

0,233

245

Холодильник без НТО с отделением для охлажденных продуктов

≤ -6

0,233

245

Холодильник с НТО без звездочек

> -6

0,233

245

Холодильник с НТО

≤ -6

0,643

191

Холодильник с НТО

≤ -12

0,450

245

Холодильник с НТО

≤ -18

0,777

303

Холодильник с морозильным отделением I и II типов

≤ -18

0,777

303

Морозильник типа шкаф

≤ -18

0,539

315

Морозильник типа ларь

≤ -18

0,472

286

Примечания

1. Для многодверных холодильных приборов коэффициенты Mα и Nα следует выбирать в зависимости от самого холодного отделения прибора.

2. Холодильный прибор с отделением для хранения замороженных продуктов при температуре минус 18°С или ниже следует рассматривать как холодильники с морозильным отделением I и II типов.

Таблица 3

Поправочный коэффициент

Значение

Условие применения коэффициента

FF (система "фрост-фри" (ненамораживающий))

1,2

Для холодильных приборов с отделениями для хранения замороженных продуктов с системой "фрост-фри" (вентилируемая)

1

Для прочих холодильных приборов

СС (климатический класс)

1,2

Для холодильных приборов субтропического климатического класса (ST)

1,1

Для холодильных приборов тропического климатического класса (Т)

1

Для прочих холодильных приборов

BI (встраиваемые приборы)

1,2

Холодильные приборы встраиваемого типа шириной менее 58 см.

1

Для прочих холодильных приборов

СН (морозильная камера)

50 кВт×ч/год

Для холодильных приборов с морозильными камерами объемом не менее 15 литров

0

Для прочих холодильных приборов

Для обозначения энергетической эффективности холодильных приборов, в зависимости от индекса энергетической эффективности, установлено семь классов в диапазоне от А (максимальная эффективность) до G (минимальная эффективность), согласно таблице 4.

Таблица 4

Класс энергетической эффективности

Индекс энергетической эффективности (I), %

А

I < 55

В

55 ≤ I < 75

С

75 ≤ I < 90

D

90 ≤ I < 100

Е

100 ≤ I < 110

F

110 ≤ I < 125

G

125 ≤ I

Индекс энергетической эффективности I вычисляют по формуле

,                                                                                                         (3)

где: Ефакт - фактическое годовое потребление электроэнергии холодильным прибором, кВт·ч;

Естанд - стандартное годовое потребление электроэнергии для холодильного прибора данного типа, определяемое расчетным путем, кВт·ч.

Стандартное годовое потребление электроэнергии холодильным прибором Естанд, кВт·ч, вычисляют по формуле

,                                                                                                    (4)

где: VПР - приведенный объем холодильного прибора, л;

М, N - коэффициенты.

Приведенный объем холодильного прибора VПР, л, вычисляют по формуле

,                                                                                                         (5)

где: V1 - объем отделения для хранения свежих продуктов, л;

V2 - объем отделения для хранения замороженных продуктов или отделения для охлаждения продуктов, л;

Q - коэффициент.

Приведенный объем холодильника с морозильным отделением и многодверного холодильного прибора VПР, л, вычисляют по формуле

,                                                                                  (6)

где: n - количество отделений холодильного прибора;

Vc - объем для хранения продуктов каждого отделения, л;

Tc - температура, установленная для каждого отделения прибора, °С.

Значения коэффициентов М, N, Q и Fc для различных типов холодильных приборов приведены в таблице 5 и 6 соответственно.

Таблица 5

Тип холодильного прибора

Температура самого холодного отделения прибора, °С

Q

М

N

Холодильник без НТО

> -6

-

0,233

245

Холодильник без НТО с отделением для охлажденных продуктов

≤ -6

0,75

0,233

245

Холодильник с НТО без звездочек

> -6

1,25

0,233

245

Холодильник с НТО

≤ -6

1,55

0,643

191

Холодильник с НТО

≤ -12

1,85

0,450

245

Холодильник с НТО

≤ -18

2,15

0,657

235

Холодильник с морозильным отделением I и II типов

≤ -18

-

0,777

303

Морозильник типа шкаф

≤ -18

2,15

0,472

286

Морозильник типа ларь

≤ -18

2,15

0,446

181

Примечания

1. Для многодверных холодильных приборов коэффициенты М и N следует выбирать в зависимости от самого холодного отделения прибора.

2. Холодильный прибор с отделением для хранения замороженных продуктов при температуре минус 18°С или ниже следует рассматривать как холодильники с морозильным отделением I и II типов.

Таблица 6

Поправочный коэффициент

Значение

Условие применения коэффициента

Fc

1,2

Для холодильных приборов с отделениями для хранения замороженных продуктов с системой "фрост-фри" (вентилируемая)

1

Для прочих холодильных приборов

Характеристиками энергетической эффективности холодильного прибора являются:

действительное (номинальное) значение энергопотребления в соответствии со стандартами, кВт·ч в год (24 ч 365);

суммарный объем отделений для хранения свежих продуктов (отделение с рабочей температурой не более минус 6°С), л. Маркирование знаком "звездочка" (*), указывается количество звездочек, обозначающие температурные характеристики самого холодного низкотемпературного отделения (при наличии низкотемпературных отделений);

суммарный объем низкотемпературных отделений, которые заслуживает маркирование знаком "звездочка" (отделение, в котором температура хранения не превышает минус 6°С), л;

корректированный уровень звуковой мощности, дБА (при наличии).

Приложение № 2

к Правилам определения

производителями и импортерами

класса энергетической эффективности

товара и иной информации о его

энергетической эффективности

Определение классов энергетической эффективности для бытовых стиральных машин

Для обозначения энергетической эффективности стиральных и стирально-сушильных машин, в зависимости от фактического потребления электроэнергии (С) за каждый полный цикл, установлено семь классов в диапазоне от А (максимальная эффективность) до G (минимальная эффективность) согласно таблицам 1 и 2.

Таблица 1

Стиральные машины

Классы энергетической эффективности

Фактическое потребление электроэнергии (С) на 1 кг белья для стандартной программы "Хлопок при 60°С", кВт·ч, за каждый полный цикл (стирка, полоскание и отжим)

А

С ≤ 0,19

В

0,19 < С ≤ 0,23

С

0,23 < С ≤ 0,27

D

0,27 < С ≤ 0,31

Е

0,31 < С ≤ 0,35

F

0,35 < С ≤ 0,39

G

0,39 < С

Таблица 2

Стирально-сушильные машины

Классы энергетической эффективности

Фактическое потребление электроэнергии (С) на 1 кг белья для стандартной программы "Хлопок при 60°С", кВт·ч, за каждый полный цикл (стирка, полоскание, отжим и сушка)

А

С ≤ 0,68

В

0,68 < С ≤ 0,81

С

0,81 < С ≤ 0,93

D

0,93 < С ≤ 1,05

Е

1,05 < С ≤ 1,17

F

1,17 < С ≤ 1,29

G

1,29 < С

Для обозначения класса качества стирки стиральной (стирально-сушильной) машины установлено семь классов в диапазоне от А (максимальное качество) до G (минимальное качество) согласно таблице 3.

Таблица 3

Класс качества стирки

Эффективность стирки (Р) для стандартной программы "Хлопок 60°С" за каждый полный цикл

А

Р > 1,03

В

1,03 ≥ Р > 1,00

С

1,00 ≥ Р > 0,97

D

0,97 ≥ Р > 0,94

Е

0,94 ≥ Р > 0,91

F

0,91 ≥ Р > 0,88

G

0,88 ≥ Р

Для обозначения класса качества отжима стиральной машины установлено семь классов в диапазоне от А (максимальное качество) до G (минимальное качество) согласно таблице 4.

Таблица 4

Класс качества отжима

Эффективность удаления влаги (D) для стандартной программы "Хлопок 60°С" за каждый полный цикл

А

D < 45

В

45 ≤ D < 54

С

54 ≤ D < 63

D

63 ≤ D < 72

Е

72 ≤ D < 81

F

81 ≤ D < 90

G

90 ≤ D

Характеристиками энергетической эффективности для стиральных машин являются:

фактическое потребление электроэнергии за цикл (стирка и отжим) при полной загрузке при 60°С, кВт·ч;

класс качества стирки (таблица 3);

класс качества отжима (таблица 4);

максимальная частота вращения центрифуги, об/мин;

номинальная загрузка стиральной машины, кг;

расход воды за цикл, л;

корректированный уровень звуковой мощности в режимах стирки и отжим, дБА (при наличии).

Характеристиками энергетической эффективности для стирально-сушильных машин являются:

фактическое потребление электроэнергии за цикл (стирка, отжим и сушка) при полной загрузке при 60°С, кВт·ч;

фактическое потребление электроэнергии в режиме стирки (стирка и отжим) при полной загрузке при 60°С, кВт·ч;

класс качества стирки (таблица 3);

максимальная частота вращения центрифуги, об/мин;

номинальная загрузка стирально-сушильной машины во время стирки, кг;

номинальная загрузка стирально-сушильной машины во время сушки, кг;

расход воды за цикл, л;

корректированный уровень звуковой мощности в режимах стирки, отжима и сушки, дБА (при наличии).

Приложение № 3

к Правилам определения

производителями и импортерами

класса энергетической эффективности

товара и иной информации о его

энергетической эффективности

Определение классов энергетической эффективности для бытовых кондиционеров, электовоздухоохладителей

Для обозначения энергетической эффективности бытовых кондиционеров в режиме охлаждения, в зависимости от индекса энергетической эффективности, установлено семь классов в диапазоне от А (максимальная эффективность) до G (минимальная эффективность) согласно таблицам 1 - 5.

Таблица 1

Раздельные кондиционеры с воздушным охлаждением

Класс энергетической эффективности

Индекс энергетической эффективности (Ic)

А

Ic < 3,20

В

3,20 ≤ Ic < 3,00

С

3,00 ≤ Ic < 2,80

D

2,80 ≤ Ic < 2,60

Е

2,60 ≤ Ic < 2,40

F

2,40 ≤ Ic < 2,20

G

2,20 ≤ Ic

Таблица 2

Моноблочные кондиционеры с воздушным охлаждением

Класс энергетической эффективности

Индекс энергетической эффективности (Ic)

А

Ic < 3,00

В

3,00 ≤ Ic < 2,80

С

2,80 ≤ Ic < 2,60

D

2,60 ≤ Ic < 2,40

Е

2,40 ≤ Ic < 2,20

F

2,20 ≤ Ic < 2,00

G

2,00 ≤ Ic

Таблица 3

Одноканальные кондиционеры с воздушным охлаждением

Класс энергетической эффективности

Индекс энергетической эффективности (Ic)

А

Ic < 2,60

В

2,60 ≤ Ic < 2,40

С

2,40 ≤ Ic < 2,20

D

2,20 ≤ Ic < 2,00

Е

2,00 ≤ Ic < 1,80

F

1,80 ≤ Ic < 1,60

G

1,60 ≤ Ic

Таблица 4

Одноканальные кондиционеры с водяным охлаждением

Класс энергетической эффективности

Индекс энергетической эффективности (Ic)

А

Ic < 3,60

В

3,60 ≤ Ic < 3,30

С

3,30 ≤ Ic < 3,10

D

3,10 ≤ Ic < 2,80

Е

2,80 ≤ Ic < 2,50

F

2,50 ≤ Ic < 2,20

G

2,20 ≤ Ic

Таблица 5

Моноблочные кондиционеры с водяным охлаждением

Класс энергетической эффективности

Индекс энергетической эффективности (Ic)

А

Ic < 4,40

В

4,40 ≤ Ic < 4,10

С

4,10 ≤ Ic < 3,80

D

3,80 ≤ Ic < 3,50

Е

3,50 ≤ Ic < 3,20

F

3,20 ≤ Ic < 2,90

G

2,90 ≤ Ic

Индекс энергетической эффективности Ic в режиме охлаждения вычисляют по формуле

,                                                                                                                     (1)

где: Qc - холодопроизводительность изделия, кВт;

Ec - фактическое потребление электроэнергии изделием в режиме охлаждения, кВт.

Для обозначения энергетической эффективности бытовых кондиционеров в режиме обогрева, в зависимости от индекса энергетической эффективности, установлено семь классов в диапазоне от А (максимальная эффективность) до G (минимальная эффективность) согласно таблицам 6 - 10.

Таблица 6

Раздельные кондиционеры с воздушным охлаждением

Класс энергетической эффективности

Индекс энергетической эффективности (IH)

А

IH < 3,60

В

3,60 ≤ IH < 3,40

С

3,40 ≤ IH < 3,20

D

3,20 ≤ IH < 2,80

Е

2,80 ≤ IH < 2,60

F

2,60 ≤ IH < 2,40

G

2,40 ≤ IH

Таблица 7

Моноблочные кондиционеры с воздушным охлаждением

Класс энергетической эффективности

Индекс энергетической эффективности (IH)

А

IH < 3,40

В

3,40 ≤ IH < 3,20

С

3,20 ≤ IH < 3,00

D

3,00 ≤ IH < 2,60

Е

2,60 ≤ IH < 2,40

F

2,40 ≤ IH < 2,20

G

2,20 ≤ IH

Таблица 8

Одноканальные кондиционеры с воздушным охлаждением

Класс энергетической эффективности

Индекс энергетической эффективности (IH)

А

IH < 4,00

В

4,00 ≤ IH < 3,70

С

3,70 ≤ IH < 3,40

D

3,40 ≤ IH < 3,10

E

3,10 ≤ IH < 2,80

F

2,80 ≤ IH < 2,50

G

2,50 ≤ IH

Таблица 9

Раздельные кондиционеры с водяным охлаждением

Класс энергетической эффективности

Индекс энергетической эффективности (IH)

А

IH < 3,60

В

3,60 ≤ IH < 3,30

С

3,30 ≤ IH < 3,10

D

3,10 ≤ IH < 2,80

Е

2,80 ≤ IH < 2,50

F

2,50 ≤ IH < 2,20

G

2,20 ≤ IH

Таблица 10

Моноблочные кондиционеры с водяным охлаждением

Класс энергетической эффективности

Индекс энергетической эффективности (IH)

А

IH < 4,70

В

4,70 ≤ IH < 4,40

С

4,40 ≤ IH < 4,10

D

4,10 ≤ IH H< 3,80

Е

3,80 ≤ IH < 3,50

F

3,50 ≤ IH < 3,20

G

3,20 ≤ IH

Индекс энергетической эффективности IH в режиме обогрева определяют по формуле

,                                                                                                                    (2)

где: QH - теплопроизводительность изделия, кВт;

EH - фактическое потребление электроэнергии изделием в режиме нагрева, кВт.

Характеристиками энергетической эффективности для кондиционеров, работающих в режиме охлаждения являются:

ежегодный расход электроэнергии в режиме охлаждения (приблизительно 500 рабочих часов в год при полной нагрузке), кВт;

холодопроизводительность, кВт;

коэффициент энергетической эффективности (индекс энергетической эффективности) в режиме охлаждения при полной нагрузке;

тип кондиционера (набор рабочих режимов - охлаждение или охлаждение/нагрев) (напротив соответствующего типа должна быть расположена стрелка);

способ охлаждения: воздушное или водяное (напротив соответствующего типа должна быть расположена стрелка);

корректированный уровень звуковой мощности, дБА (при наличии);

Характеристиками энергетической эффективности для кондиционеров, работающих в режиме охлаждения или нагрева, являются:

класс энергетической эффективности;

ежегодный расход электроэнергии в режиме охлаждения (приблизительно 500 рабочих часов в год при полной нагрузке), кВт;

холодопроизводительность, кВт;

коэффициент энергетической эффективности (индекс энергетической эффективности) в режиме охлаждения при полной нагрузке;

тип кондиционера (набор рабочих режимов - охлаждение или охлаждение/нагрев) (напротив соответствующего типа должна быть расположена стрелка);

способ охлаждения: воздушное или водяное (напротив соответствующего типа должна быть расположена стрелка);

теплопроизводительность, кВт;

класс энергетической эффективности (в режиме нагрева);

корректированный уровень звуковой мощности, дБА (при наличии).

Приложение № 4

к Правилам определения

производителями и импортерами

класса энергетической эффективности

товара и иной информации о его

энергетической эффективности

Определение классов энергетической эффективности для машин посудомоечных бытовых

Для обозначения энергетической эффективности посудомоечных машин, в зависимости от индекса энергетической эффективности, установлено семь классов в диапазоне от А (максимальная эффективность) до G (минимальная эффективность) согласно таблице 1.

Таблица 1

Класс энергетической эффективности

Индекс энергетической эффективности (I)

А

I < 0,64

В

0,64 ≤ I < 0,76

С

0,76 ≤ I < 0,88

D

0,88 ≤ I < 1,00

Е

1,00 ≤ I < 1,12

F

1,12 ≤ I < 1,24

G

I ≥ 1,24

Индекс экономичности энергопотребления I вычисляют по формуле

,                                                                                                                   (1)

где: Ефакт - фактическое потребление электроэнергии посудомоечной машины, кВт·ч;

Естанд - стандартное потребление электроэнергии посудомоечной машины, определяемое расчетным путем, кВт·ч.

Стандартное потребление электроэнергии посудомоечной машины Естанд, кВт·ч, вычисляют по формуле

, если                                                                           (1)

, если                                                                               (2)

где: S - номинальная емкость машины (количество столовых комплектов), шт.

Для обозначения класса качества мытья посудомоечной машины установлено семь классов в диапазоне от А (максимальное качество) до G (минимальное качество) согласно таблице 2.

Таблица 2

Класс качества мытья

Показатель качества мытья (РС)

А

РС > 1,12

В

1,12 ≥ РС > 1,00

С

1,00 ≥ РС > 0,88

D

0,88 ≥ РС > 0,76

Е

0,76 ≥ РС > 0,64

F

0,64 ≥ РС > 0,52

G

0,52 ≥ РС

Для обозначения класса качества сушки посудомоечной машины установлено семь классов в диапазоне от А (максимальное качество) до G (минимальное качество) согласно таблице 3.

Таблица 3

Класс качества сушки

Показатель качества сушки (PD)

А

PD > 1,08

В

1,08 ≥ PD > 0,93

С

0,93 ≥ PD > 0,78

D

0,78 ≥ PD > 0,63

Е

0,63 ≥ PD > 0,48

F

0,48 ≥ PD > 0,33

G

0,33 ≥ PD

Характеристиками энергетической эффективности посудомоечной машины являются:

фактическое потребление электроэнергии за цикл мойки для стандартной программы при заполнении холодной водой, кВт·ч;

номинальная емкость (количество столовых комплектов), шт.;

расход воды за цикл мойки, л;

корректированный уровень звуковой мощности, дБА (при наличии).

Приложение № 5

к Правилам определения

производителями и импортерами

класса энергетической эффективности

товара и иной информации о его

энергетической эффективности

Определение классов энергетической эффективности для бытовых кухонных электроплит

В зависимости от размера полезного объема, л, бытовые кухонные электроплиты подразделяют на типы:

малый: 12 ≤ объем < 35;

средний: 35 ≤ объем < 65;

большой: 65 ≤ объем.

Для обозначения энергетической эффективности для бытовых кухонных электроплит, в зависимости от фактической потребляемой электроэнергии при стандартной загрузке, установлено семь классов в диапазоне от А (максимальная эффективность) до G (минимальная эффективность) согласно таблицам 1 - 3.

Таблица 1

Кухонные электроплиты с малым полезным объемом

Класс энергетической эффективности

Фактическое потребление электроэнергии (Е) при стандартной загрузке, кВт·ч

А

Е < 0,60

В

0,60 ≤ Е < 0,80

С

0,80 ≤ Е < 1,00

D

1,00 ≤ Е < 1,20

Е

1,20 ≤ Е < 1,40

F

1,40 ≤ Е < 1,60

G

Е ≥ 1,60

Таблица 2

Кухонные электроплиты со средним полезным объемом

Классы энергетической эффективности

Фактическое потребление электроэнергии (Е) при стандартной загрузке, кВт·ч

А

Е < 0,80

В

0,80 ≤ Е < 1,00

С

1,00 ≤ Е < 1,20

D

1,20 ≤ Е < 1,40

Е

1,40 ≤ Е < 1,60

F

1,60 ≤ Е < 1,80

G

Е ≥ 1,80

Таблица 3

Кухонные электроплиты с большим полезным объемом

Классы энергетической эффективности

Фактическое потребление электроэнергии (Е) при стандартной загрузке, кВт·ч

А

Е < 1,00

В

1,00 ≤ Е < 1,20

С

1,20 ≤ Е < 1,40

D

1,40 ≤ Е < 1,60

Е

1,60 ≤ Е < 1,80

F

1,80 ≤ Е < 2,00

G

Е ≥ 2,00

Характеристиками энергетической эффективности электроплиты являются: коэффициент полезного действия конфорки при достижении температуры кипения η вычисляют по формуле

,                                                                                                 (1)

где: G - масса алюминиевого блока, кг;

Ср - удельная теплоемкость используемого при измерении алюминиевого блока, равная 0,22 ккал/кг·°С (или 0,214 ккал/кг·°С при 20°С);

ΔТ - превышение температуры, равное 80°С;

Е - потребление энергии, Вт·ч;

К - коэффициент перевода ватт-часов в килокалории, равный 0,86.

При подстановке в формулу (1) известных значений Ср, ΔТ и К она принимает вид

,                                                                                                      (2)

фактическое потребление электроэнергии электроплитой, кВт·ч;

полезный объем жарочного электрошкафа V, входящего в состав электроплиты (при наличии), л;

тип полезного объема электроплиты (маленький, средний, большой). Напротив соответствующего типа должна быть расположена стрелка;

корректированный уровень звуковой мощности жарочного электрошкафа электроплиты (при наличии), дБА (при наличии).

Приложение № 6

к Правилам определения

производителями и импортерами

класса энергетической эффективности

товара и иной информации о его

энергетической эффективности

Определение классов энергетической эффективности для жарочных электрошкафов (электродуховки бытовые)

В зависимости от размера полезного объема, л, жарочные электрошкафы подразделяют на типы:

малый: 12 ≤ объем < 35;

средний: 35 ≤ объем < 65;

большой: 65 ≤ объем.

Для обозначения энергетической эффективности жарочных электрошкафов, в зависимости от фактической потребляемой электроэнергии при стандартной загрузке, установлено семь классов в диапазоне от А (максимальная эффективность) до G (минимальная эффективность) согласно таблицам 1 - 3.

Таблица 1

Жарочный электрошкаф с малым полезным объемом

Классы энергетической эффективности

Фактическое потребление электроэнергии (Е) при стандартной загрузке, кВт·ч

А

Е < 1,00

В

1,00 ≤ Е < 1,20

С

1,20 ≤ Е < 1,40

D

1,40 ≤ Е < 1,60

Е

1,60 ≤ Е < 1,80

F

1,80 ≤ Е < 2,00

G

Е ≥ 2,00

Таблица 2

Жарочный электрошкаф со средним полезным объемом

Классы энергетической эффективности

Фактическое потребление электроэнергии (Е) при стандартной загрузке, кВт·ч

А

Е < 0,80

В

0,80 ≤ Е < 1,00

С

1,00 ≤ Е < 1,20

D

1,20 ≤ Е < 1,40

Е

1,40 ≤ Е < 1,60

F

1,60 ≤ Е < 1,80

G

Е ≥ 1,80

Таблица 3

Жарочный электрошкаф с большим полезным объемом

Классы энергетической эффективности

Фактическое потребление электроэнергии (Е) при стандартной загрузке, кВт·ч

А

Е < 1,00

В

1,00 ≤ Е < 1,20

С

1,20 ≤ Е < 1,40

D

1,40 ≤ Е < 1,60

Е

1,60 ≤ Е < 1,80

F

1,80 ≤ Е < 2,00

G

Е ≥ 2,00

Характеристиками энергетической эффективности жарочного электрошкафа являются:

фактическое потребление электроэнергии при стандартной загрузке, кВт·ч;

полезный объем внутренней камеры жарочного электрошкафа, л;

тип жарочного электрошкафа (маленький, средний, большой). Напротив соответствующего типа должна быть расположена стрелка;

корректированный уровень звуковой мощности, дБА, (при наличии).

Приложение № 7

к Правилам определения

производителями и импортерами

класса энергетической эффективности

товара и иной информации о его

энергетической эффективности

Определение характеристик энергетической эффективности для микроволновых печей

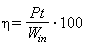
Характеристиками энергетической эффективности микроволновой печи является ее коэффициент полезного действия.

Коэффициент полезного действия вычисляют по формуле

,                                                                                                             (1)

где Р - вычисленная выходная мощность микроволновой печи, Вт;

t - время нагрева, с;

Win - фактическое потребление электроэнергии микроволновой печи, Вт·с.

Энергопотребление включает электроэнергию, потребленную в течение нагревания нити магнетрона.

Коэффициент полезного действия вычисляют в процентах, округленных до ближайшего целого числа.

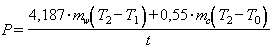
Выходную мощность микроволновой печи Р, Вт, вычисляют по формуле

,                                                             (2)

где: mw - масса воды, г;

mc - масса контейнера, г;

T0 - температура окружающей среды, °С;

T1 - начальная температура воды, °С;

T2 - конечная температура воды, °С;

t - время нагрева, исключая время нагрева нити магнетрона, с.

Выходную мощность микроволновой печи указывают в Вт, округляя до ближайших 50 Вт.

Приложение № 8

к Правилам определения

производителями и импортерами

класса энергетической эффективности

товара и иной информации о его

энергетической эффективности

Определение характеристик энергетической эффективности для телевизоров и аппаратуры телевизионной комбинированной

Характеристиками энергетической эффективности для телевизоров и аппаратуры телевизионной комбинированной является:

удельная мощность рабочего режима, Вт/см2, вычисляют по формуле

,

где: W - потребляемая мощность изделием в рабочем режиме, Вт;

S - площадь видимой части экрана, см2.

потребляемая мощность изделием в режиме ожидания, Вт;

потребляемая мощность изделием в выключенном режиме, Вт.

Приложение № 9

к Правилам определения

производителями и импортерами

класса энергетической эффективности

товара и иной информации о его

энергетической эффективности

Определение характеристик энергетической эффективности для бытовых электроприборов для отопления

Характеристики энергетической эффективности теплоаккумуляционных электрорадиаторов: фактическое потребление электроэнергии для наиболее энергоемкой программы зарядки, кВт·ч.

Характеристики энергетической эффективности электроконверторов, электротепловентиляторов, электрорадиаторов без аккумуляционного сердечника:

номинальная потребляемая мощность, кВт;

корректированный уровень звуковой мощности, дБА (при наличии).

Приложение № 10

к Правилам определения

производителями и импортерами

класса энергетической эффективности

товара и иной информации о его

энергетической эффективности

Определение характеристик энергетической эффективности для бытовых электроприборов для нагревания жидкостей

Характеристиками энергетической эффективности бытовых электробойлеров являются:

фактическое годовое потребление электроэнергии, кВт·ч;

постоянные суточные потери Q, кВт·ч/сут, с учетом превышения температуры на 45 К, вычисляют по формуле

,                                                                                                     (1)

где: ΘМ - средняя температура воды, без отвода воды, °С;

Θamb - температура окружающей среды, °С;

Е - фактическое суточное потребление электроэнергии, кВт·ч/сут.

Результаты вычисления округляют до 0,1 кВт·ч/сут.

средняя температура воды ΘМ, °С, вычисляется по формуле

,                                                                                                         (2)

где: ΘA - средняя температура воды после выключения терморегулятора, °С;

ΘE - средняя температура воды после включения терморегулятора, °С.

потребляемую суточную энергию Е, кВт·ч/сут., вычисляют по формуле

,                                                                                                                (3)

где: Е1 - фактическое потребление электроэнергии за период времени t1, кВт·ч;

t1 - заданный период времени, ч.

Характеристикой энергетической эффективности проточного электроводонагревателя является номинальная потребляемая мощность, кВт.

Приложение № 11

к Правилам определения

производителями и импортерами

класса энергетической эффективности

товара и иной информации о его

энергетической эффективности

Определение классов энергетической эффективности для бытовых электрических ламп

Лампы относят к классу энергетической эффективности "А", если:

потребляемая мощность люминесцентных ламп без встроенного пускорегулирующего устройства (лампы, для подключения которых к сети необходимо пусковое устройство или другая система приборов) удовлетворяет выражению

,                                                                                       (1)

потребляемая мощность других ламп удовлетворяет выражению

,                                                                                       (2)

где: Ф - световой поток лампы, лм;

W - потребляемая мощность лампы, Вт.

Для обозначения энергетической эффективности ламп, в зависимости от индекса энергетической эффективности, установлено шесть классов в диапазоне от В (максимальная эффективность) до G (минимальная эффективность) согласно таблице.

Таблица

Класс энергетической эффективности

Индекс энергетической эффективности (EI), %

В

EI < 60

С

60 ≤ EI < 80

D

80 ≤ EI < 95

Е

95 ≤ EI < 110

F

110 ≤ EI < 130

G

EI ≥ 130

Индекс энергетической эффективности EI вычисляют по формуле (1).

,                                                                                                                    (3)

где: W - потребляемая мощность лампы, Вт;

WR - стандартная мощность лампы, Вт.

Стандартную мощность лампы WR, Вт, вычисляют по формуле

 для Ф > 34                                                                      (4)

0,2·Ф, для Ф ≤ 34

Характеристиками энергетической эффективности лампы являются:

световой поток лампы, лм;

потребляемая мощность лампы, Вт;

средний срок службы лампы, ч.

Приложение № 12

к Правилам определения

производителями и импортерами

класса энергетической эффективности

товара и иной информации о его

энергетической эффективности

Определение характеристик энергетической эффективности для компьютерных мониторов

Характеристиками энергетической эффективности монитора компьютерного являются:

удельная мощность рабочего режима, Вт/см2, вычисляют по формуле

,

где: W - потребляемая мощность изделием в рабочем режиме, Вт;

S - площадь видимой части экрана, см2.

потребляемая мощность изделием в режиме ожидания, Вт;

потребляемая мощность изделием в выключенном режиме, Вт.

Приложение № 13

к Правилам определения

производителями и импортерами

класса энергетической эффективности

товара и иной информации о его

энергетической эффективности

Определение характеристик энергетической эффективности для принтеров и копировальных аппаратов

Характеристиками энергетической эффективности для принтеров и копировальных аппаратов являются:

удельная мощность рабочего режима, Вт/лист, вычисляют по формуле

,

где: W - потребляемая мощность изделием в рабочем режиме, Вт;

Q - производительность изделия в минуту, лист.

потребляемая мощность изделием в режиме ожидания, Вт;

потребляемая мощность изделием в выключенном режиме, Вт.

Приложение № 14

к Правилам определения

производителями и импортерами

класса энергетической эффективности

товара и иной информации о его

энергетической эффективности

Определение характеристик энергетической эффективности для лифтов

Характеристиками энергетической эффективности лифта являются:

номинальная потребляемая мощность электропривода лифта, кВт (для лифтов с электроприводом);

коэффициент полезного действия электропривода η, (для лифтов с электроприводом) вычисляют по формуле

,                                                                                                           (1)

где: Wц - полезная энергия, затраченная электроприводом за цикл, кВт;

ΔWц - потери энергии в электроприводе за цикл, кВт;

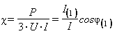
коэффициент мощности электропривода (для лифтов с электроприводом), вычисляют для трехфазной линии по формуле

,                                                                                         (2)

где: Р - активная мощность, Вт;

U - действующее значение напряжения, В;

I - действующее значение тока, А;

I(1) - действующее значение первой гармоники тока, А;

φ(1) - угол сдвига между первыми гармониками напряжения и тока.

номинальная потребляемая мощность дополнительных устройств лифта в режимах движения и ожидания (освещение помещений для размещения оборудования, освещение шахты, освещение кабины, вентиляция кабины, двусторонняя переговорная связь из кабины, аварийная сигнализация), кВт;

номинальная грузоподъемность лифта, кг;

внутренние габариты кабины (ширина·длина·высота), мм;

номинальная скорость движения кабины лифта, м/с;

максимальная высота подъема, м.

 

 




ГОСТЫ, СТРОИТЕЛЬНЫЕ и ТЕХНИЧЕСКИЕ НОРМАТИВЫ.
Некоммерческая онлайн система, содержащая все Российские Госты, национальные Стандарты и нормативы.
В Системе содержится более 150000 файлов нормативно-технической документации, действующей на территории РФ.
Система предназначена для широкого круга инженерно-технических специалистов.

Рейтинг@Mail.ru Яндекс цитирования

Copyright © www.gostrf.com, 2008 - 2026