Крупнейшая бесплатная информационно-справочная система онлайн доступа к полному собранию технических нормативно-правовых актов РФ. Огромная база технических нормативов (более 150 тысяч документов) и полное собрание национальных стандартов, аутентичное официальной базе Госстандарта. GOSTRF.com - это более 1 Терабайта бесплатной технической информации для всех пользователей интернета. Все электронные копии представленных здесь документов могут распространяться без каких-либо ограничений. Поощряется распространение информации с этого сайта на любых других ресурсах. Каждый человек имеет право на неограниченный доступ к этим документам! Каждый человек имеет право на знание требований, изложенных в данных нормативно-правовых актах!

  


 

Приказ Федеральной службы по тарифам от 1 сентября 2010 г. N 221-э/8

Об утверждении Методических указаний по регулированию тарифов организаций, оказывающих услуги по передаче тепловой энергии, с применением метода доходности инвестированного капитала и о внесении изменений и дополнений в Методические указания по регулированию тарифов с применением метода доходности инвестированного капитала, утвержденные приказом Федеральной службы по тарифам от 26 июня 2008 года N 231-э

В соответствии с Положением о Федеральной службе по тарифам, утвержденным постановлением Правительства Российской Федерации от 30 июня 2004 года N 332 (Собрание законодательства Российской Федерации, 2004, N 29, ст. 3049; 2006, N 3, ст. 301; N 23, ст. 2522; N 48, ст. 5032; N 50, ст. 5354; 2007, N 16, ст. 1912; N 25, ст. 3039; N 32, ст. 4145; 2008, N 7, ст. 597; N 17, ст. 1897; N 23, ст. 2719; N 38, ст. 4309; N 46, ст. 5337; 2009 N 1, ст. 142; N 3, ст. 378; N 6, ст. 738; N 9, ст. 1119, N 18 (часть 2), ст. 2249; N 33, ст. 4086; 2010, N 9, ст. 960; N 13, ст. 1514; N 25, ст. 3169; N 26, ст. 3350; N 30, ст. 4096), постановлением Правительства Российской Федерации от 26 февраля 2004 года N 109 "О ценообразовании в отношении электрической и тепловой энергии в Российской Федерации" (Собрание законодательства Российской Федерации, 2004, N 9, ст. 791; 2005, N 1 (часть 2), ст. 130; N 43, ст. 4401; N 47, ст. 4930; N 51, ст. 5526; 2006, N 23, ст. 2522; N 36, ст. 3835; N 37, ст. 3876; 2007, N 1 (часть 2), ст. 282; N 14, ст. 1687; N 16, ст. 1909; 2008, N 2, ст. 84; N 25, ст. 2989; N 27, ст. 3285; 2009, N 8, ст. 980; N 8, ст. 981; N 8, ст. 982; N 12, ст. 1429; N 25, ст. 3073; N 26, ст. 3188; N 32, ст. 4040; N 38, ст. 4479; N 38, ст. 4494; N 52 (часть 1), ст. 6575; 2010, N 12, ст. 1333; N 15, ст. 1808; N 21, ст. 2610; N 23, ст. 2837), а также решением Правления ФСТ России (протокол от 31 августа 2010 года N 55-э), приказываю:

1. Утвердить прилагаемые Методические указания по регулированию тарифов организаций, оказывающих услуги по передаче тепловой энергии с применением метода доходности инвестированного капитала, согласно приложению N 1.

2. Внести в Методические указания по регулированию тарифов с применением метода доходности инвестированного капитала, утвержденные приказом Федеральной службы по тарифам от 26 июня 2008 года N 231-э (зарегистрировано Минюстом России 7 июля 2008 года, регистрационный N 11931), изменения и дополнения согласно приложению N 2.

3. Настоящий приказ вступает в силу в установленном порядке.

Руководитель
Федеральной службы по тарифам

С. Новиков

Зарегистрировано в Минюсте РФ 29 сентября 2010 г.

Регистрационный N 18579

Приложение 1

Методические указания
по регулированию тарифов организаций, оказывающих услуги по передаче тепловой энергии, с применением метода доходности инвестированного капитала

Содержание

I. Общие положения

II. Необходимая валовая выручка, принимаемая к расчету при установлении тарифов

2.1. Расходы, связанные с оказанием услуг по передаче тепловой энергии

2.2. Экономия операционных расходов и экономия от снижения потребления энергетических ресурсов и воды

2.3. Возврат инвестированного капитала и доход на инвестированный капитал

2.4. Сглаживание необходимой валовой выручки

2.5. Корректировка необходимой валовой выручки

III. Правила расчета нормы доходности инвестированного капитала

IV. Правила определения стоимости активов и размера инвестированного капитала и ведения их учета

V. Правила определения долгосрочных параметров регулирования с применением метода сравнения аналогов

Приложение 2 Изменения и дополнения в Методические указания по регулированию тарифов с применением метода доходности инвестированного капитала, утвержденные приказом Федеральной службы по тарифам от 26 июня 2008 года N 231-э

I. Общие положения

1. Настоящие Методические указания по регулированию тарифов организаций, оказывающих услуги по передаче тепловой энергии, с применением метода доходности инвестированного капитала (далее - методические указания) разработаны в соответствии с Федеральным законом от 14 апреля 1995 г. N 41-ФЗ "О государственном регулировании тарифов на электрическую и тепловую энергию в Российской Федерации" (Собрание законодательства Российской Федерации, 1995, N 16, ст. 1316; 1999, N 7, ст. 880; 2003, N 2, ст. 158; N 13, ст. 1180; N 28, ст. 2894; 2004, N 35, ст. 3607; 2005, N 1 (часть I), ст. 37; N 49, ст. 5125; N 52 (часть I), ст. 5597; 2006, N 1, ст. 10; 2007, N 43, ст. 5084; N 45, ст. 5427; 2008, N 52 (часть 1), ст. 6236; 2009, N 48, ст. 5711; N 52 (часть 1), ст. 6450; N 2010, N 31, ст. 4206), Федеральным законом от 23 ноября 2009 г. N 261-ФЗ "Об энергосбережении и о повышении энергетической эффективности и о внесении изменений в отдельные законодательные акты Российской Федерации" (Собрание законодательства Российской Федерации, 2009, N 48, ст. 5711; 2010, N 31, ст. 4206), Основами ценообразования в отношении электрической и тепловой энергии в Российской Федерации (далее - Основы ценообразования) и Правилами государственного регулирования и применения тарифов на электрическую и тепловую энергию в Российской Федерации (далее - Правила регулирования), утвержденными постановлением Правительства Российской Федерации от 26 февраля 2004 г. N 109 (Собрание законодательства Российской Федерации, 2004, N 9, ст. 791; 2005, N 1 (часть 2), ст. 130; N 43, ст. 4401; N 47, ст. 4930; N 51, ст. 5526; 2006, N 23, ст. 2522; N 36, ст. 3835; N 37, ст. 3876; 2007, N 1 (часть 2), ст. 282; N 14, ст. 1687; N 16, ст. 1909; 2008, N 2, ст. 84; N 25, ст. 2989; N 27, ст. 3285; 2009, N 8, ст. 980; N 8, ст. 981; N 8, ст. 982; N 12, ст. 1429; N 25, ст. 3073; N 26, ст. 3188; N 32, ст. 4040; N 38, ст. 4479; N 38, ст. 4494; N 52 (часть 1), ст. 6575; 2010, N 12, ст. 1333; N 15, ст. 1808; N 21, ст. 2610; N 23, ст. 2837).

2. Методические указания предназначены для использования органами исполнительной власти субъектов Российской Федерации в области государственного регулирования тарифов (далее - регулирующие органы), а также организациями, оказывающими услуги по передаче тепловой энергии (далее - регулируемые организации) для расчета тарифов методом доходности инвестированного капитала.

3. Методические указания определяют порядок формирования необходимой валовой выручки регулируемых организаций, принимаемой к расчету при установлении тарифов, и включают в себя правила расчета нормы доходности инвестированного капитала, правила определения стоимости активов и размера инвестированного капитала и ведения их учета и правила определения долгосрочных параметров регулирования с применением метода сравнения аналогов.

4. Расчет тарифов регулируемых организаций производится исходя из необходимой валовой выручки, установленной согласно методическим указаниям, в соответствии с Методическими указаниями по расчету регулируемых тарифов и цен на электрическую (тепловую) энергию на розничном (потребительском) рынке, утвержденных приказом ФСТ России от 06 августа 2004 г. N 20-э/2 (зарегистрировано Минюстом России 20 октября 2004 года, регистрационный N 6076) с изменениями, внесенными приказами ФСТ России от 23.11.2004 г. N 193-э/11 (зарегистрировано Минюстом России 16 декабря 2004 года, регистрационный N 6191), от 14.12.2004 г. N 289-э/15 (зарегистрировано Минюстом России 21 декабря 2004 года, регистрационный N 6213), от 28.11.2006 г. N 318-э/15 (зарегистрировано Минюстом России 8 декабря 2006 года, регистрационный N 8574), от 30.01.2007 г. N 14-э/14 (зарегистрировано Минюстом России 6 марта 2007 года, регистрационный N 9041), от 31.07.2007 г. N 138-э/6 (зарегистрировано Минюстом России 20 августа 2007 года, регистрационный N 10030), от 23.11.2007 г. N 385-э/1 (зарегистрировано Минюстом России 29 ноября 2007 года, регистрационный N 10578), от 21.10.2008 г. N 209-э/1 (зарегистрировано Минюстом России 6 ноября 2008 года, регистрационный N 12580), от 22.12.2009 г. N 469-э/8 (зарегистрировано Минюстом России 29 января 2010 года, регистрационный N 16132), от 31.12.2009 г. N 558-э/1 (зарегистрировано Минюстом России 9 февраля 2010 года, регистрационный N 16345).

5. Тарифы по методу доходности инвестированного капитала устанавливаются на долгосрочный период регулирования (далее - долгосрочные тарифы), отдельно на каждый финансовый год в течение этого периода. В течение долгосрочного периода регулирования ежегодно тарифы, установленные на очередной финансовый год, корректируются в порядке, предусмотренном методическими указаниями.

6. Понятия, используемые в настоящих методических указаниях, соответствуют определениям, данным в Федеральном законе от 14 апреля 1995 г. N 41-ФЗ "О государственном регулировании тарифов на электрическую и тепловую энергию в Российской Федерации", Федеральном законе от 23 ноября 2009 г. N 261-ФЗ "Об энергосбережении и о повышении энергетической эффективности и о внесении изменений в отдельные законодательные акты Российской Федерации" и в Основах ценообразования.

II. Необходимая валовая выручка, принимаемая к расчету при установлении тарифов

7. При расчете тарифов методом доходности инвестированного капитала необходимая валовая выручка, принимаемая к расчету при установлении тарифов, определяется в следующей последовательности.

Перед началом долгосрочного периода регулирования устанавливаются долгосрочные параметры регулирования, которые в течение долгосрочного периода регулирования не меняются и к которым относятся:

1) базовый уровень операционных расходов, устанавливаемый регулирующими органами;

2) индекс эффективности операционных расходов, устанавливаемый регулирующими органами;

3) размер инвестированного капитала, установленный при переходе к регулированию тарифов с применением метода доходности инвестированного капитала;

4) чистый оборотный капитал, устанавливаемый регулирующими органами;

5) норма доходности инвестированного капитала, устанавливаемая регулирующими органами в соответствии с разделом III настоящих методических указаний, включая норму доходности на капитал, инвестированный до перехода к установлению тарифов методом доходности инвестированного капитала;

6) срок возврата инвестированного капитала, определяемый в соответствии с настоящими методическими указаниями;

7) уровень надежности и качества реализуемых товаров (услуг), устанавливаемый и применяемый в соответствии с Основами ценообразования.

Также на долгосрочный период определяются и в течение этого периода не пересматриваются следующие параметры регулирования:

1) коэффициент эластичности расходов по количеству активов, определяемый настоящими методическими указаниями;

2) изменение необходимой валовой выручки, производимое в целях сглаживания роста тарифов, устанавливаемое регулирующими органами.

Определяемый на долгосрочный период объем потерь тепловой энергии пересматривается в течение указанного долгосрочного периода только по основаниям, предусмотренным пунктом 19 настоящих методических указаний.

Перед началом долгосрочного периода регулирования определяются планируемые значения параметров расчета тарифов:

1) индекс потребительских цен, индекс роста цен на электрическую энергию (мощность) в соответствии с параметрами прогноза социально-экономического развития Российской Федерации;

2) количество активов, определяемое регулирующими органами;

3) расходы, включаемые в необходимую валовую выручку в фактическом объеме (неподконтрольные расходы), определяемые регулирующими органами;

4) стоимость и сроки начала строительства (реконструкции) и ввода в эксплуатацию объектов, предусмотренных утвержденной инвестиционной программой регулируемой организации, источники финансирования утвержденной инвестиционной программы, включая плату за подключение к системе теплоснабжения;

6) полезный отпуск тепловой энергии, определяемый регулирующими органами;

7) стоимость потерь тепловой энергии, определяемая регулирующими органами с учетом пункта 19 настоящих методических указаний.

На основе долгосрочных параметров регулирования и планируемых значений параметров расчета тарифов, определяемых на долгосрочный период регулирования, регулирующие органы рассчитывают необходимую валовую выручку регулируемой организации на каждый год очередного долгосрочного периода регулирования.

В течение долгосрочного периода регулирования регулирующими органами ежегодно производится корректировка необходимой валовой выручки, устанавливаемой на очередной финансовый год, с учетом отклонения фактических значений параметров расчета тарифов от планировавшихся значений параметров расчета тарифов. При осуществлении корректировки также учитываются:

1) изменение доходности долгосрочных государственных обязательств;

2) изменение состава активов регулируемой организации, произошедшее в том числе в результате покупки или продажи активов;

3) выбытия активов до установленного срока их использования;

4) исполнения утвержденных инвестиционных программ.

Величина корректировки, учитываемая в очередном году долгосрочного периода регулирования, рассчитывается как разница между товарной выручкой регулируемой организации за прошедший год и необходимой валовой выручкой, установленной на прошедший год, с учетом ее корректировки на отклонения фактических значений параметров расчета тарифов от планировавшихся значений параметров расчета тарифов.

Необходимая валовая выручка, принимаемая к расчету при установлении тарифов в очередном году долгосрочного периода регулирования, рассчитывается как сумма необходимой валовой выручки, установленной на очередной год долгосрочного периода регулирования, и величины корректировки, рассчитанной по итогам года, предшествовавшего текущему году.

8. Необходимая валовая выручка, принимаемая к расчету при установлении тарифов, рассчитывается по формуле:

                 (1)

где:

 - необходимая валовая выручка, определенная в году i - 1, принимаемая к расчету при установлении тарифов на год i;

 - необходимая валовая выручка, определенная при установлении долгосрочных тарифов на год i;

 - величина корректировки необходимой валовой выручки в году i, рассчитываемая в году i - 1 на основе данных о фактических значениях параметров расчета тарифов в четвертом квартале года i - 2;

 - величина изменения необходимой валовой выручки в году i, на основе данных о фактических значениях параметров расчета тарифов за 9 месяцев i-1 года и прогнозных значений параметров за четвертый квартал i-1 года, рассчитываемая в соответствии с пунктами 33-34 настоящих методических указаний;

 - индекс потребительских цен, определенный на основании параметров прогноза социально-экономического развития Российской Федерации на год i-1 при расчете долгосрочных тарифов;

 - индекс потребительских цен, определенный на основании параметров прогноза социально-экономического развития Российской Федерации на год i при расчете долгосрочных тарифов.

9. При установлении долгосрочных тарифов необходимая валовая выручка регулируемой организации определяется на долгосрочный период регулирования, составляющий не менее пяти лет (не менее трех лет при первом применении метода доходности инвестированного капитала), отдельно на каждый финансовый год в течение долгосрочного периода регулирования. Необходимая валовая выручка, определяемая при установлении долгосрочных тарифов, рассчитывается по формуле:

                                     (2)

где:

 - необходимая валовая выручка, определяемая при установлении долгосрочных тарифов на год i;

 - расходы, связанные с оказанием услуг по передаче тепловой энергии, определяемые на год i;

 - суммарная экономия от снижения операционных расходов и от снижения потребления энергетических ресурсов, в том числе потерь тепловой энергии, и воды, достигнутая регулируемой организацией в предыдущем долгосрочном периоде регулирования и включаемая в необходимую валовую выручку в году i;

 - возврат инвестированного капитала (амортизация капитала), определяемый на год i;

 - доход на инвестированный капитал, определяемый на год i;

 - величина изменения необходимой валовой выручки, определяемого на год i, производимого в целях сглаживания тарифов;

 - величина, рассчитываемая для первого года первого долгосрочного периода регулирования равной экономически обоснованным расходам регулируемой организации, понесенным в периоды регулирования, предшествовавшие переходу к установлению тарифов методом доходности инвестированного капитала и не возмещенным регулируемой организации (со знаком "+"), или необоснованно полученным в периоды регулирования, предшествовавшие переходу к установлению тарифов методом доходности инвестированного капитала, доходам регулируемой организации, подлежащим исключению из НВВ (со знаком "-"), за исключением расходов или доходов связанных с реализацией утвержденных инвестиционных программ.

2.1. Расходы, связанные с оказанием услуг по передаче тепловой энергии

10. Расходы, связанные с оказанием услуг по передаче тепловой энергии, определяются перед началом долгосрочного периода регулирования и рассчитываются по формуле:

                                                                                                             (3)

где:

 - операционные расходы (подконтрольные расходы) в году i;

 - расходы, включаемые в необходимую валовую выручку в объеме, определяемом регулирующими органами, в году i (далее - неподконтрольные расходы).

11. Операционные расходы (подконтрольные расходы) рассчитываются по формуле:

                                             (4)

где:

 - операционные расходы (подконтрольные расходы) в году i. Для первого года долгосрочного периода регулирования уровень операционных расходов определяется в соответствии с пунктами 15-16 настоящих методических указаний;

ИР - индекс эффективности операционных расходов, выраженный в процентах;

 - индекс потребительских цен, определенный на основании параметров прогноза социально-экономического развития Российской Федерации в процентах на год i при расчете долгосрочных тарифов;

 - индекс изменения количества активов, определяемый в процентах на год i при расчете долгосрочных тарифов в соответствии с пунктом 14 настоящих методических указаний;

Эл - коэффициент эластичности операционных расходов по количеству активов, необходимых для оказания услуг по передаче тепловой энергии, определяемый в соответствии с настоящими методическими указаниями;

12. Неподконтрольные расходы рассчитываются по формуле:

                                                                                                    (5)

где

 - расходы на приобретение энергетических ресурсов и воды в году i;

 - прочие неподконтрольные расходы, определяемые регулирующими органами, за исключением расходов на приобретение энергетических ресурсов и воды.

Расходы на приобретение энергетических ресурсов (воды) рассчитываются по формуле:

                                                                                                           (6)

                                                                                (7)

где:

 - объем потребления j-го энергетического ресурса (воды), планируемый в году i с учетом пункта 19 настоящих методических указаний;

 - цена покупки (производства) j-го энергетического ресурса (воды) в году i-1;

 - индекс роста цен на j-й энергетический ресурс (воду), определяемый регулирующим органом в процентах на год i при расчете долгосрочных тарифов в соответствии с параметрами прогноза социально-экономического развития Российской Федерации.

13. Коэффициент эластичности операционных расходов по количеству активов, необходимых для оказания услуг по передаче тепловой энергии, на первый долгосрочный период регулирования устанавливается равным 0,75.

14. Индекс изменения количества активов применяется при установлении тарифов с целью учета зависимости операционных расходов от количества активов, необходимых для осуществления регулируемой деятельности.

Индекс изменения количества активов рассчитывается по формуле:

,                                                                                                     (8)

где:

 - количество условных единиц, относящихся к активам, необходимым для оказания услуг по передаче тепловой энергии в году i, определяется регулирующим органом исходя из количества условных единиц, относящихся к активам, включенным в регулируемую базу инвестированного капитала, и активам, вводимым в действие в соответствии с утвержденной инвестиционной программой и на основании расчета, представленного регулируемой организацией;

 - количество условных единиц, относящихся к активам, необходимым для осуществления регулируемой деятельности в году i-1.

15. При установлении базового уровня операционных расходов учитываются результаты анализа обоснованности расходов регулируемой организации, понесенных в предыдущем долгосрочном периоде регулирования, и результаты осуществления контрольных мероприятий.

При установлении базового уровня операционных расходов учитываются расходы, связанные с поддержанием (повышением) установленного уровня надежности и качества оказываемых услуг, за исключением расходов, включенных в состав инвестиций, предусмотренных утвержденной инвестиционной программой.

16. При расчете базового уровня операционных расходов, связанных с оказанием услуг по передаче тепловой энергии, учитываются следующие статьи затрат:

1) сырье и материалы, определяемые в соответствии с пунктом 25 Основ ценообразования;

2) ремонт основных средств, определяемый на основе пункта 26 Основ ценообразования;

3) оплата труда, определяемая в соответствии с пунктом 27 Основ ценообразования;

4) прочие расходы, уменьшающие налогооблагаемую базу налога на прибыль организаций, в соответствии с Основами ценообразования.

В операционные расходы не включаются амортизация производственного оборудования, расходы на обслуживание заемных средств, расходы на аренду имущества, используемого для осуществления регулируемой деятельности, расходы на оплату услуг, оказываемых организациями, осуществляющими регулируемые виды деятельности, в том числе расходы на приобретение энергетических ресурсов (в том числе на оплату потерь тепловой энергии) и воды, лизинговые платежи, а также расходы по коллективным договорам и прочие расходы, осуществляемые из прибыли организаций в соответствии с Основами ценообразования.

17. Индекс эффективности операционных расходов устанавливается в пределах от 1 % до 2,5 %, в соответствии с правилами определения долгосрочных параметров регулирования с применением метода сравнения аналогов. При установлении индекса эффективности операционных расходов учитываются мероприятия по повышению эффективности деятельности регулируемой организации, предусмотренные утвержденной инвестиционной программой.

18. В необходимую валовую выручку включаются неподконтрольные расходы, определяемые регулирующим органом (за исключением тех, которые были учтены в составе операционных расходов с учетом пункта 16 настоящих методических указаний), в том числе:

1) расходы на оплату услуг, оказываемых организациями, осуществляющими регулируемые виды деятельности, рассчитанные исходя из размера тарифов, установленных в отношении товаров и услуг указанных организаций;

2) расходы на аренду имущества, используемого для осуществления регулируемой деятельности (в отношении тех видов активов, которые учитываются при определении размера инвестированного капитала), концессионные платежи;

3) налог на прибыль и другие обязательные платежи и сборы;

4) расходы по сомнительным долгам в соответствии с Основами ценообразования;

5) дополнительные расходы (доходы), связанные с изменением законодательства и (или) изменением состава активов регулируемой организации, необходимых для осуществления регулируемой деятельности (в том числе, при получении (сдаче) имущества в аренду), не учтенные при установлении базового уровня операционных расходов.

19. В случае если по данным, представленным регулируемой организацией, более, чем 70 % фактического объема отпуска тепловой энергии потребителям, обслуживаемым регулируемой организацией, определялось по показаниям приборов учета в предыдущем отчетном периоде (далее - базовый год), то в необходимую валовую выручку такой организации на последующие годы включаются расходы на оплату фактического объема потерь, определенного в базовом году, с применением к нему определяемых регулирующими органами темпов снижения, соответствующих утвержденной инвестиционной программе регулируемой организации.

Доля фактического объема отпуска тепловой энергии потребителям по показаниям приборов учета (далее - доля отпуска) определяется как отношение объема потребления по актам фактического потребления, выставленным регулируемой организацией по показаниям приборов учета, и общего объема потребления, определяемого путем сложения объемов потребления по актам фактического потребления, выставленным регулируемой организацией по показаниям приборов учета, и расчетных объемов потребления, применяемых в случае отсутствия приборов учета тепловой энергии. Фактический объем потерь рассчитывается как разность отпуска тепловой энергии в сеть и фактического объема отпуска тепловой энергии потребителям по показаниям приборов учета, деленного на долю отпуска.

Если по данным, представленным регулируемой организацией, не более, чем 70 % фактического объема отпуска тепловой энергии потребителям, обслуживаемым регулируемой организацией, определялось по показаниям приборов учета, то в необходимую валовую выручку такой организации включаются расходы на оплату нормативных технологических потерь.

При отсутствии нормативных технологических потерь, установленных на долгосрочный период регулирования, для каждого последующего года долгосрочного периода регулирования учитывается объем нормативных технологических потерь, установленный для первого года долгосрочного периода регулирования. При этом объемы потерь, учтенные в тарифах, пересчитываются в случае отклонения фактического значения ИКА и (или) фактического объема отпуска тепловой энергии потребителям от планового значения более чем на 10 %. Пересчет осуществляется путем применения для каждого оставшегося года долгосрочного периода регулирования норматива потерь, с учетом соответствующего изменения состава активов и (или) отпуска тепловой энергии потребителям.

2.2. Экономия операционных расходов и экономия от снижения потребления энергетических ресурсов и воды

20. Экономия операционных расходов возникает в случае, если фактические операционные расходы за прошедший финансовый год выросли на меньшую величину, чем это было предусмотрено регулирующими органами. При достижении экономии операционных расходов необходимая валовая выручка не пересматривается, что обеспечивает регулируемой организации получение выгоды от экономии операционных расходов до конца долгосрочного периода регулирования. Для сохранения за регулируемой организацией выгоды от экономии расходов на протяжении пяти лет после ее достижения необходимая валовая выручка, устанавливаемая на очередной долгосрочный период регулирования, увеличивается на величину экономии операционных расходов, которая в течение долгосрочного периода регулирования индексируется на изменение потребительских цен в соответствии с настоящими методическими указаниями. Аналогичным образом при расчете тарифов на очередной долгосрочный период регулирования учитывается экономия от снижения потребления энергетических ресурсов, в том числе потерь тепловой энергии, и воды, определяемая в соответствии с пунктом 22 настоящих методических указаний.

Регулирующие органы рассчитывают экономию операционных расходов и экономию от снижения потребления энергетических ресурсов, в том числе потерь тепловой энергии, и воды ежегодно, до установления тарифов на очередной период регулирования.

21. Экономия операционных расходов, учитываемая в очередном долгосрочном периоде регулирования, рассчитывается по формуле:

     (9)

где:

 - экономия операционных расходов, учитываемая в очередном долгосрочном периоде регулирования, рассчитываемая в ценах года i1, являющегося последним годом текущего долгосрочного периода регулирования.

Величина экономии принимается равной нулю, если расчет дает отрицательное значение экономии;

 - экономия операционных расходов в году i. Экономия операционных расходов в последний год долгосрочного периода регулирования учитывается в объеме, прогнозируемом регулирующим органом на основании данных, предоставленных регулируемой организацией;

 - прогнозное значение индекса потребительских цен на год i1 - последний год текущего долгосрочного периода регулирования, определенное на основании параметров прогноза социально-экономического развития Российской Федерации;

,  - фактические значения индекса потребительских цен в году i1-1, i1-2, соответственно.

22. Экономия от снижения потребления энергетических ресурсов, в том числе потерь тепловой энергии, и воды, учитываемая в очередном долгосрочном периоде регулирования, рассчитывается по формуле:

(10)

где:

 - экономия расходов от снижения потребления энергетических ресурсов, в том числе потерь тепловой энергии, и воды, учитываемая в очередном долгосрочном периоде регулирования, рассчитанная в ценах года i1, являющегося последним годом текущего долгосрочного периода регулирования. Величина экономии принимается равной нулю, если расчет дает отрицательное значение;

 - экономия от снижения потребления энергетических ресурсов, в том числе потерь тепловой энергии, и воды, в году i;

 - прогнозное значение индекса потребительских цен на год i1 - последний год текущего долгосрочного периода регулирования, определенное на основании параметров прогноза социально-экономического развития Российской Федерации;

,  - фактические значения индекса потребительских цен в году i1-1, i1-2, соответственно.

23. Экономия операционных расходов за прошедший год рассчитывается по формуле:

              (11)

где:

 - экономия операционных расходов в году i. При расчете экономии расходов второго и последующих лет долгосрочного периода регулирования учитывается экономия расходов за предыдущие годы текущего долгосрочного периода регулирования с началом в году i0. Экономия операционных расходов отдельного года может принимать как положительные, так и отрицательные значения;

 - скорректированные в соответствии с пунктом 33 настоящих методических указаний операционные расходы в году i;

 - фактические операционные расходы в году i.

Фактические операционные расходы, учитываемые при расчете экономии операционных расходов, не могут превышать уровня, установленного на данный год регулирующими органами. Из величины фактических операционных расходов исключаются необоснованные расходы, выявленные по результатам контрольных мероприятий;

  - фактическое значение индекса потребительских цен в i0+1,..., i, где i0 - первый год текущего долгосрочного периода регулирования.

24. Экономия от снижения потребления энергетических ресурсов, в том числе потерь тепловой энергии, и воды за прошедший год рассчитывается по следующей формуле:

                                               (12)

где:

 - экономия от снижения потребления j-го энергетического ресурса (воды) в году i. При расчете экономии от снижения потребления энергетических ресурсов (воды) второго и последующих лет долгосрочного периода регулирования учитывается экономия от снижения потребления энергетических ресурсов (воды) за предыдущие годы текущего долгосрочного периода регулирования, (i0 - индекс первого года текущего долгосрочного периода регулирования).

 - объем потребления j-го энергетического ресурса (воды), планируемый в году i, определяемый с учетом пункта 19 настоящих методических указаний;

 - фактический объем потребления j-го энергетического ресурса (воды) в году i;

 - стоимость покупки (производства) j-го энергетического ресурса (воды) в году i, учтенная при установлении тарифов.

25. Суммарная экономия операционных расходов и от снижения потребления энергетических ресурсов, в том числе потерь тепловой энергии, и воды, включаемая в необходимую валовую выручку в году i, определяется по формуле:

                                                                             (13)

где:

ЭОР и ЭП - соответственно величина экономии операционных расходов и величина экономии от снижения потребления энергетических ресурсов, в том числе потерь тепловой энергии, и воды, достигнутые регулируемой организацией в предыдущем долгосрочном периоде и определенные в соответствии с пунктами 20-22 настоящих методических указаний.

2.3. Возврат инвестированного капитала и доход на инвестированный капитал

26. Размер инвестированного капитала устанавливается при первом применении метода доходности инвестированного капитала в соответствии с Правилами определения стоимости активов и размера инвестированного капитала и ведения их учета. В течение долгосрочного периода регулирования размер инвестированного капитала не пересматривается.

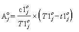
27. В необходимую валовую выручку регулируемой организации в первом долгосрочном периоде регулирования включается доход на инвестированный капитал, рассчитанный по следующей формуле:

                (14)

                                                                                                              (15)

где:

 - доход на инвестированный капитал в году i;

РИК - размер инвестированного капитала, установленный при переходе к регулированию тарифов с применением метода доходности инвестированного капитала;

 - значение базы инвестированного капитала в год i долгосрочного периода регулирования;

ВИК - величина возврата капитала, инвестированного до перехода к регулированию тарифов методом доходности инвестированного капитала, осуществляемого ежегодно с момента перехода к регулированию тарифов до полной выплаты этого капитала;

 - величина чистого оборотного капитала, установленная на год i долгосрочного периода регулирования;

 - объем незавершенных капитальных вложений на начало года i в части объектов, включенных в утвержденную инвестиционную программу регулируемой организации и не включенных в базу инвестированного капитала, срок строительства которых не превысил трех лет;

 - норма доходности капитала, установленная на год i первого долгосрочного периода регулирования для капитала, инвестированного до начала указанного долгосрочного периода регулирования;

НД - норма доходности на инвестированный капитал;

 - остаточная величина инвестированного капитала на начало года i, рассчитанная в соответствии с формулой (42).

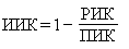
28. В необходимую валовую выручку регулируемой организации включается возврат инвестированного капитала, рассчитываемый по следующей формуле:

                                                                                                         (16)

                                                                                                   (17)

                                                                                                  (18)

где:

 - возврат инвестированного капитала в году i;

 - величина возврата инвестиций, осуществленных после перехода к регулированию тарифов методом доходности инвестированного капитала, в году i;

 - полная величина инвестированного капитала на начало года i, рассчитанная в соответствии с формулой (41);

ИИК - индекс износа активов при переходе к регулированию тарифов методом доходности инвестированного капитала, определяемый в соответствии с правилами определения стоимости активов и размера инвестированного капитала и ведения их учета;

СВК - срок возврата инвестированного капитала, устанавливаемый в соответствии с Правилами определения стоимости активов и размера инвестированного капитала и ведения их учета.

29. Расчет величины чистого оборотного капитала дифференцировано на каждый год долгосрочного периода регулирования производится по формуле:

                                                (19)

где:

 - величина чистого оборотного капитала, устанавливаемая на год i долгосрочного периода регулирования;

 - суммарная величина краткосрочных (текущих) активов регулируемой организации в соответствии с данными бухгалтерской отчетности на начало года, предшествующего началу долгосрочного периода регулирования в году i0;

 - суммарная величина краткосрочных (текущих) пассивов регулируемой организации в соответствии с данными бухгалтерской отчетности на начало года, предшествующего началу долгосрочного периода регулирования в году i0;

 и  - значение индекса потребительских цен на год i0-1 и год j, определяемое на основании параметров прогноза социально-экономического развития Российской Федерации.

30. Величина чистого оборотного капитала на каждый год долгосрочного периода регулирования не может составлять менее 4 % и более 8 % необходимой валовой выручки регулируемой организации, установленной на предыдущий финансовый год.

2.4. Сглаживание необходимой валовой выручки

31. Величина изменения необходимой валовой выручки, производимого в целях сглаживания необходимой валовой выручки, определяется регулирующими органами, но в каждом году составляет не более 12 % от необходимой валовой выручки, рассчитанной без учета сглаживания. Величина изменения необходимой валовой выручки, производимого в целях сглаживания необходимой валовой выручки, в последний год долгосрочного периода регулирования, определяется по формуле:

                                                                   (20)

где:

 - величина изменения необходимой валовой выручки в году i, проводимого в целях сглаживания, где i1 - последний год долгосрочного периода регулирования, i0 - первый год долгосрочного периода регулирования;

НД - норма доходности на капитал, инвестированный после начала долгосрочного периода регулирования.

2.5. Корректировка необходимой валовой выручки

32. Корректировка необходимой валовой выручки осуществляется ежегодно, в том числе и при наступлении нового долгосрочного периода регулирования. При корректировке используются данные за последний год, на который имеются фактические показатели параметров расчета тарифов. Корректировка осуществляется по следующей формуле:

                                                                 (21)

где:

 - величина корректировки необходимой валовой выручки по результатам года i;

 - скорректированная величина необходимой валовой выручки в году i;

 - выручка от реализации услуг по передаче тепловой энергии в году i;

 - корректировка необходимой валовой выручки с учетом надежности и качества оказываемых услуг в году i, осуществляемая в соответствии с Основами ценообразования, и определяемая в процентах. Данная величина не может превышать 3 % от необходимой валовой выручки, установленной на долгосрочный период регулирования, в абсолютном выражении.

33. При корректировке необходимая валовая выручка рассчитывается на основе фактических показателей расчета тарифов, взамен прогнозных значений параметров. Расчет скорректированной необходимой валовой выручки производится по следующим формулам:

                                   (22)

                                                                                                       (23)

                                                (24)

                                                                                              (25)

                                                                                                          (26)

                                                                                  (27)

                                                                                             (28)

                                                                                         (29)

                                                                               (30)

                                             (31)

                                                                                    (32)

где:

 - скорректированные операционные расходы в году i. В первом году корректировка операционных расходов производится путем корректировки базового уровня операционных расходов с учетом отклонения фактической инфляции и фактического количества условных единиц оборудования от значений, учтенных при расчете базового уровня операционных расходов;

 - скорректированные неподконтрольные расходы в году i, которые определяются с учетом документально подтвержденных имевших место неподконтрольных расходов. В данную величину включаются расходы, связанные с изменениями требований законодательства, изменениями состава активов, необходимых для осуществления деятельности по передаче тепловой энергии, и другими изменениями величины неподконтрольных расходов;

 - скорректированная суммарная экономия от снижения операционных расходов и от снижения потребления энергетических ресурсов, в том числе потерь тепловой энергии, и воды, достигнутая регулируемой организацией в предыдущем долгосрочном периоде регулирования и включаемая в необходимую валовую выручку в году i;

 - скорректированные расходы на приобретение энергетических ресурсов в году i;

 - фактическая цена покупки (производства) j-го энергетического ресурса в году i-1, определяемая органом регулирования на основании данных регулируемой организации;

 - скорректированные прочие неподконтрольные расходы в году i;

 - фактическое значение индекса потребительских цен в году i;

,  - фактическое значение индекса роста цен на j-й энергетический ресурс в году i и i-1;

  - фактическое количество условных единиц, относящихся к активам, необходимым для осуществления деятельности по передаче тепловой энергии в году i и i-1, соответственно, рассчитанное с учетом фактической реализации утвержденной инвестиционной программы;

 - корректировка необходимой валовой выручки в первом долгосрочном периоде регулирования в случае, если инвестиционные проекты, предусмотренные утвержденной инвестиционной программой регулируемой организации на год i-1, не были реализованы, или в случае, если инвестиционные проекты были исключены из утвержденной инвестиционной программы; для второго и последующих долгосрочных периодов регулирования  равна нулю;

 - средства для финансирования мероприятий, предусмотренных утвержденной инвестиционной программой регулируемой организации, за счет выручки от оказания услуг по передаче тепловой энергии, учтенные в тарифах на год i долгосрочного периода регулирования;

 - выплаты по процентам по кредитам и займам в году i-1 долгосрочного периода регулирования;

 - расходы, предусмотренные инвестиционной программой регулируемой организации, утвержденной на год i-1 долгосрочного периода регулирования в части, финансируемой за счет выручки от оказания услуг по передаче тепловой энергии;

 - расходы, предусмотренные утвержденной инвестиционной программой регулируемой организации, скорректированные на год i-1 долгосрочного периода регулирования, в части, финансируемой за счет выручки от оказания услуг по передаче тепловой энергии.

34. Если отклонение выручки от реализации услуг по передаче тепловой энергии, полученной за первые девять месяцев текущего года, превышает 10 процентов от трех четвертей величины необходимой валовой выручки, установленной на текущий год долгосрочного периода регулирования, осуществляется корректировка необходимой валовой выручки с использованием данных за первые девять месяцев текущего года.

III. Правила расчета нормы доходности инвестированного капитала

35. Норма доходности инвестированного капитала (далее - норма доходности) устанавливается на долгосрочный период регулирования и в течение этого периода не пересматривается.

36. Норма доходности устанавливается в номинальном выражении, после уплаты налога на прибыль.

37. Инвестированный капитал включает в себя заемный и собственный капитал. Собственный капитал включает капитал, использованный организацией для создания активов, необходимых для осуществления деятельности по передаче тепловой энергии, за вычетом заемного капитала. Заемный капитал включает в себя обязательства регулируемой организации перед кредиторами со сроком действия не менее чем один год. Доля заемного и собственного капитала определяется как отношение величины заемного и собственного капитала, соответственно, к базе инвестированного капитала.

На первый долгосрочный период регулирования доля заемного капитала устанавливается равной 0,3, доля собственного капитала устанавливается равной 0,7.

38. Норма доходности рассчитывается по формуле:

                                                                                (33)

где:

НД - норма доходности;

ДЗК - доля заемного капитала в структуре инвестированного капитала;

СЗК - стоимость заемного капитала;

ДСК - доля собственного капитала в структуре инвестированного капитала;

ССК - стоимость собственного капитала.

39. Стоимость заемного капитала определяется по формуле:

                                                                                                  (34)

где

ДГО - средняя доходность долгосрочных государственных обязательств, выраженных в рублях, со сроком до погашения не менее восьми лет и не более десяти лет за год, предшествующий установлению нормы доходности. В первом долгосрочном периоде регулирования значение величины средней доходности долгосрочных государственных обязательств принимается равным 7 %

СЗКм - премия за кредитный риск, устанавливаемая регулирующим органом. В первом долгосрочном периоде регулирования значение премии за кредитный риск не может быть ниже 3 %.

40. Стоимость собственного капитала рассчитывается по формуле:

                                                                                                    (35)

где:

ПРЭ - премия за риск инвестирования в собственный капитал организаций, осуществляющих деятельность по передаче тепловой энергии. Величина премии за риск инвестирования определяется органами регулирования и не может быть ниже 6 % в первый долгосрочный период регулирования.

41. Величина средней доходности долгосрочных государственных обязательств за предшествующий год рассчитывается по следующей формуле:

где:

                                      (36)

 - средняя доходность к погашению по облигации o - облигации федерального займа на Фондовой бирже ММВБ (Закрытое акционерное общество "Фондовая биржа ММВБ"), срок до погашения (срок обязательной оферты) которой составляет не менее восьми лет и не более десяти лет - за период с 1 января по 31 декабря предшествующего года;

 - объем выпуска облигации o - облигации федерального займа на Фондовой бирже ММВБ (Закрытое акционерное общество "Фондовая биржа ММВБ"), срок до погашения (срок обязательной оферты) которой составляет не менее восьми лет и не более десяти лет - за период с 1 января по 31 декабря предшествующего года.

При расчете величины средней доходности долгосрочных государственных обязательств используются данные торгов облигациями федерального займа на Фондовой бирже ММВБ (Закрытое акционерное общество "Фондовая биржа ММВБ"), срок до погашения (срок обязательной оферты) которых составляет не менее восьми лет и не более десяти лет.

Величина средней доходности долгосрочных государственных обязательств определяется исходя из доходности облигаций федерального займа, включенных в котировальный список Фондовой биржи ММВБ и в размещенный на сайте фондовой биржи список ликвидных ценных бумаг (составляется в соответствии с Положением о критериях ликвидности ценных бумаг, утвержденным приказом Федеральной службы по финансовым рынкам от 7 марта 2006 г. N 06-25/пз-н, (зарегистрирован Министерством юстиции Российской Федерации от 17 апреля 2006 г., регистрационный N 7707), с изменениями, внесенными приказами Федеральной службы по финансовым рынкам от 09 октября 2007 г. N 07-102/пз-н (зарегистрирован Министерством юстиции Российской Федерации 14 ноября 2007 г., регистрационный N 10489), от 13 ноября 2008 N 08-52/пз-н (зарегистрирован Министерством юстиции Российской Федерации 15 декабря 2008 г., регистрационный N 12864) за третий квартал года, предшествующего году расчета доходности данных ценных бумаг (далее - предшествующий год).

В случае отсутствия облигаций федерального займа, срок до погашения (срок обязательной оферты) которых составляет не менее восьми лет и не более десяти лет, в опубликованном на сайте фондовой биржи ММВБ списке ликвидных ценных бумаг, для каждой такой облигации федерального займа рассчитывается Итоговый удельный вес ценной бумаги в соответствии с Методикой составления списка ликвидных ценных бумаг, утвержденной приказом Федеральной службы по финансовым рынкам от 7 марта 2006 г. N 06-25/пз-н (зарегистрирован Министерством юстиции Российской Федерации от 17 апреля 2006 г., регистрационный N 7707), с изменениями, внесенными приказами Федеральной службы по финансовым рынкам от 09 октября 2007 г. N 07-102/пз-н (зарегистрирован Министерством юстиции Российской Федерации 14 ноября 2007 г., регистрационный N 10489), от 13 ноября 2008 N 08-52/пз-н (зарегистрирован Министерством юстиции Российской Федерации 15 декабря 2008 г., регистрационный N 12864) (далее - Итоговый удельный вес ценной бумаги), на основании данных торгов на Фондовой бирже ММВБ (Закрытое акционерное общество "Фондовая биржа ММВБ") за период с 1 января по 31 декабря предшествующего года. В этом случае величина средней доходность долгосрочных государственных обязательств рассчитывается на основании данных по облигации федерального займа с указанными характеристиками с наибольшим Итоговым удельным весом ценной бумаги.

Средняя доходность к погашению государственных облигаций за период с 1 января по 31 декабря предшествующего года рассчитывается по следующей формуле:

                                                                  (37)

где:

 - доходность к погашению облигации o за период с 1 января по 31 декабря предшествующего года;

nd - число дней в соответствующем году (365 или 366);

j - индекс дня, принимающий значения от 1 до nd;

 - объем сделок c облигацией o за день торгов j предшествующего года.

 - доходность к погашению облигации o за день торгов j предшествующего года, которая определяется в соответствии с Порядком расчета доходности к погашению по государственным ценным бумагам, утвержденным Положением Центрального Банка Российской Федерации от 25 марта 2003 г. N 219-П (зарегистрирован Министерством юстиции Российской Федерации от 23 апреля 2003, регистрационный N 4438).

 определяется путем решения следующего уравнения:

                                                          (38)

где:

;                                                                                          (39)

;                                                                                             (40)

 - средневзвешенная цена облигации o по объему за день торгов j;

 - накопленный доход облигации o в день торгов j;

 - число дней до выплаты купонного дохода l облигации o по состоянию на день торгов j;

 - величина выплаты купонного дохода l облигации o по состоянию на день торгов j. При l=1 величина соответствует выплате величине ближайшего купонного дохода облигации o, по состоянию на день торгов j;

 - количество купонов облигации o, непогашенных на день торгов j;

 - размер q выплаты номинальной стоимости облигации o, по состоянию на день торгов j;

 - число дней до q выплаты номинальной стоимости облигации o по состоянию на день торгов j;

 - количество платежей по основной сумме долга облигации o, непогашенных по состоянию на день торгов j;

 - величина ближайшего купонного дохода облигации i, по состоянию на день торгов j;

 - длительность текущего купонного периода (дней) облигации o, по состоянию на день торгов j;

 - число дней до выплаты ближайшего купонного дохода облигации o, по состоянию на день торгов j;

 - номинальная стоимость/непогашенная часть номинальной стоимости облигации o перед выплатой купонного дохода l, по состоянию на день торгов j;

 - размер ставки купонного дохода l облигации o, по состоянию на день торгов j. По выпускам облигаций федерального займа с переменным купонным доходом для целей расчета доходности ставки купонного дохода по неизвестным купонам принимаются равными последней известной ставке по данному выпуску;

 - длительность купонного периода l (в днях) облигации o по состоянию на день торгов j

42. На первый долгосрочный период регулирования норма доходности инвестированного капитала устанавливается отдельно для капитала, созданного до и после перехода к регулированию тарифов с применением метода доходности инвестированного капитала.

Начиная со второго долгосрочного периода регулирования, норма доходности инвестированного капитала, созданного до и после перехода к регулированию тарифов с применением метода доходности инвестированного капитала, устанавливается одной ставкой.

IV. Правила определения стоимости активов и размера инвестированного капитала и ведения их учета

43. Определение размера и учет базы инвестированного капитала, применяемого при оказании услуг по передаче тепловой энергии, ведется раздельно от учета стоимости активов организации, включая бухгалтерский и налоговый учет.

44. В составе базы инвестированного капитала учитываются объекты теплосетевой инфраструктуры, необходимые для осуществления деятельности по передаче тепловой энергии. Объекты незавершенного строительства не учитываются при определении размера и базы инвестированного капитала.

При расчете размера и базы инвестированного капитала органы регулирования не учитывают объекты, не используемые для оказания услуг по передаче тепловой энергии в предстоящем периоде регулирования.

45. В случае, если организация осуществляет деятельность по передаче тепловой энергии в нескольких субъектах Российской Федерации, учет инвестированного капитала осуществляется раздельно по каждому субъекту Российской Федерации.

46. При расчете размера инвестированного капитала при первом применении метода доходности инвестированного капитала в размер инвестированного капитала включается стоимость объектов теплосетевой инфраструктуры, принадлежащих регулируемой организации на праве собственности, и необходимых для осуществления деятельности по передаче тепловой энергии, устанавливаемая по результатам независимой оценки этих активов. Данная величина должна учитывать минимально возможную стоимость замещения активов организации, необходимых для осуществления деятельности по передаче тепловой энергии, физический, моральный и внешний износ активов, а также соотношение собственного и заемного капитала, установленное в соответствии с пунктом 37 настоящих методических указаний.

47. При расчете размера инвестированного капитала в части объектов теплосетевой инфраструктуры, эксплуатирующихся регулируемой организацией в соответствии с договором аренды (концессионным соглашением), размер инвестированного капитала устанавливается равным расходам, понесенным регулируемой организацией на строительство и (или) реконструкцию объектов теплосетевой инфраструктуры за счет прибыли организации и заемных средств за весь период деятельности этой организации по договору аренды (концессии) до момента перехода к регулированию тарифов методом доходности инвестированного капитала. Эта величина рассчитывается как сумма стоимости объектов теплосетевой инфраструктуры принадлежащих регулируемой организации на праве собственности, определяемой в соответствии с пунктом 46 настоящих методических указаний, остаточной балансовой стоимости улучшений объектов теплосетевой инфраструктуры, находящихся в аренде (концессии), за вычетом средств, полученных регулируемой организацией на строительство (реконструкцию) объектов теплосетевой инфраструктуры в части, финансируемой за счет выручки от реализации товаров (услуг) по регулируемым тарифам (ценам), надбавок к тарифам организации коммунального комплекса, платы за подключение и бюджетных ассигнований за весь период деятельности этой организации по договору аренды (концессии) до момента перехода к регулированию тарифов методом доходности инвестированного капитала.

48. Размер инвестированного капитала регулируемой организации, эксплуатирующей объекты теплосетевой инфраструктуры на основе права хозяйственного ведения или оперативного управления, устанавливается равным нулю.

49. В случае, если частная собственность на объекты теплосетевой инфраструктуры возникла в результате приватизации, осуществленной после 1 января 2011 года, первоначальный размер инвестированного капитала устанавливается равным объему денежных средств, поступивших в бюджеты бюджетной системы Российской Федерации в результате передачи имущества частному собственнику, но не выше начальной цены указанного имущества, установленной документами о проведении приватизации.

50. Стоимость объектов, используемых регулируемой организацией для осуществления деятельности по передаче тепловой энергии на основании договора лизинга в момент перехода к регулированию тарифов такой организации методом доходности инвестированного капитала, включается в размер инвестированного капитала в объеме, определяемом регулирующим органом на основании договоров лизинга.

51. Передача управления объектами теплосетевой инфраструктуры от одной регулируемой организации другой регулируемой организации при неизменном составе активов регулируемой организации, используемых для осуществления регулируемой деятельности, не приводит к изменению размера инвестированного капитала за исключением случая, предусмотренного пунктом 48 настоящих методических указаний.

52. Доходы, поступившие в качестве платы за подключение к системе теплоснабжения, направленные на возмещение расходов по строительству и (или) реконструкции объектов, вводимых в соответствии с утвержденной инвестиционной программой регулируемой организации, исключаются из базы инвестированного капитала регулируемой организации.

53. Регулирующие органы ежегодно на основе данных о реализации утвержденной инвестиционной программы регулируемой организации, а также учета полной и остаточной величин инвестированного капитала, ежегодно проводимого регулируемыми организациями, рассчитывают величины возврата базы инвестированного капитала и дохода на инвестированный капитал и осуществляют расчет соответствующих тарифов. Изменение стоимости активов, определенное в бухгалтерской и налоговой отчетности, не учитывается при установлении полной и остаточной величин капитала.

54. При включении новых инвестиций в полную и остаточную величины инвестированного капитала определяется величина инвестиций отдельно в отношении каждого построенного или реконструированного объекта.

Полная величина инвестированного капитала рассчитывается на начало каждого года долгосрочного периода регулирования и отражает полную стоимость восстановления (замещения) объектов, используемых для осуществления деятельности по передаче тепловой энергии, за исключением полной стоимости объектов, построенных и реконструированных за счет поступлений от платы за подключение к системе теплоснабжения. Объекты, включенные в расчет размера инвестированного капитала при переходе к регулированию по методу доходности инвестированного капитала, учитываются в полной величине инвестированного капитала в размере полной стоимости восстановления (замещения) за вычетом внешнего и морального износа. Остаточная величина инвестированного капитала рассчитывается на начало каждого года долгосрочного периода регулирования и отражает полную величину инвестированного капитала, уменьшенную на величину возврата инвестированного капитала, в соответствии с формулой (42).

База инвестированного капитала на начало каждого года долгосрочного периода регулирования устанавливается равной остаточной величине инвестированного капитала.

55. Полная величина инвестированного капитала на очередной год долгосрочного периода регулирования рассчитывается по формуле:

                                      (41)

Остаточная величина инвестированного капитала рассчитывается по формуле:

                        (42)

                                                                                                       (43)

где:

,  - полная величина инвестированного капитала в году i и i-1 на начало соответствующего года. При переходе к регулированию методом доходности инвестированного капитала, значение полной величины инвестированного капитала (ПИК) определяется в соответствии с пунктом 54;

,  - остаточная величина инвестированного капитала в году i и i-1 на начало соответствующего года. При переходе к регулированию методом доходности инвестированного капитала, значение остаточной величины инвестированного капитала определяется в соответствии с пунктом 54;

 - стоимость объектов, не включая стоимость объектов незавершенного строительства, введенных в эксплуатацию в установленном порядке в году i-1 в соответствии с утвержденной инвестиционной программой регулируемой организации до года i - 1 включительно;

 - величина возврата капитала в году i-1;

 - корректировка величины инвестированного капитала с учетом отклонения доходности долгосрочных государственных обязательств в году от значения, учтенного при расчете тарифов;

 - доходы, поступившие в качестве платы за подключение к системе теплоснабжения в году i-1, направленные на возмещение понесенных расходов по строительству и (или) реконструкции объектов, вводимых в эксплуатацию в соответствии с утвержденной инвестиционной программой регулируемой организации;

 - полная величина капитала, соответствующая фактическому списанию (выбытию) в году i-1 активов, необходимых для осуществления деятельности по передаче тепловой энергии;

 - остаточная величина капитала, соответствующая фактическому списанию (выбытию) в году i-1 активов, необходимых для осуществления деятельности по передаче тепловой энергии. Указанная величина определяется равной остаточной стоимости выбывающих объектов по состоянию на год i-1.

В случае, если порядок учета инвестированного капитала организации не позволяет идентифицировать списываемый объект и определить стоимость, соответствующую фактическому списанию (выбытию) в году i-1 указанных активов (в случае мероприятий по реконструкции, замене основных средств), показатели  и  определяются по формулам:

                                                                                         (44)

                                                                              (45)

где:

 - стоимость объектов введенных в эксплуатацию, предусмотренных утвержденной инвестиционной программой регулируемой организации в качестве замены основных средств, подлежащих выбытию;

 - полная стоимость реконструкции (модернизации) объектов основных средств, частью которых является объект основного средства, подлежащий замене в рамках утвержденной инвестиционной программы;

 - полная величина инвестированного капитала объектов основных средств, частью которого является объект основного средства, подлежащий замене в рамках утвержденной инвестиционной программы регулируемой организации;

 - физический износ объектов основных средств, частью которого является объект основного средства, подлежащий замене в рамках утвержденной инвестиционной программы регулируемой организации по данным бухгалтерского учета.

В случае отсутствия данных о стоимости объектов, предусмотренных утвержденной инвестиционной программой регулируемой организации в качестве замены основных средств, подлежащих выбытию, величина  определяется в соответствии с актом о списании объекта основных средств.

56. В полную и остаточную величину капитала включаются инвестиции, осуществленные в рамках утвержденной инвестиционной программы регулируемой организации, и капитальные вложения, не предусмотренные утвержденной инвестиционной программой регулируемой организации, осуществленные по согласованию с регулирующими органами. Инвестиции, осуществленные в рамках утвержденной инвестиционной программы регулируемой организации, учитываются при определении полной и остаточной величины капитала, с момента ввода соответствующих объектов в эксплуатацию в установленном порядке.

После ввода в эксплуатацию объекта незавершенного строительства, в полную величину капитала и в остаточную величину инвестированного капитала включается стоимость этого объекта в соответствии с пунктом 61 настоящих методических указаний.

57. Срок возврата инвестированного капитала составляет 20 лет.

58. При определении размера инвестированного капитала не учитывается капитал, который был возвращен в полном объеме. После возврата капитала, инвестированного в текущем году, в полном объеме, полная величина инвестированного капитала регулируемой организации уменьшается на полную величину возвращенного инвестированного капитала.

59. Корректировка величины инвестированного капитала с учетом отклонения доходности долгосрочных государственных обязательств в году i от значения, учтенного при расчете тарифов, для первого долгосрочного периода регулирования рассчитывается по следующей формуле:

                      (46)

Для второго и последующих долгосрочных периодов регулирования, корректировка величины инвестированного капитала с учетом отклонения доходности долгосрочных государственных обязательств рассчитывается по формуле:

(46)

При этом:

                                                                                          (47)

где:

 - выраженное в процентах изменение средней доходности долгосрочных государственных обязательств выраженных в рублях, со сроком до погашения не менее восьми лет и не более десяти лет, в году i;

 - фактически сложившаяся в году i средняя доходность долгосрочных государственных обязательств, выраженных в рублях, со сроком до погашения не менее восьми лет и не более десяти лет.

60. В полную и остаточную величину инвестированного капитала включаются расходы инвестиционного характера, осуществленные регулируемой организацией и направленные на ликвидацию последствий аварий, чрезвычайных ситуаций и стихийных бедствий в объеме, определенном регулирующими органами на основе данных бухгалтерского учета.

61. Объем инвестиций в основные средства, осуществленных в соответствии с утвержденной инвестиционной программой регулируемой организации, учитываются при определении полной и остаточной величины инвестированного капитала после их ввода в эксплуатацию в установленном порядке.

62. Инвестиции учитываются при определении полной и остаточной величины инвестированного капитала в размере расходов, предусмотренных утвержденной инвестиционной программой регулируемой организации.

63. При передаче в собственность регулируемой организации активов, необходимых для осуществления деятельности по передаче тепловой энергии, ранее учитывавшихся при определении размера (базы) инвестированного капитала другой регулируемой организации, полная и остаточная величины инвестированного капитала, относящегося к этим активам, устанавливаются равными полной и остаточной величинам инвестированного капитала, относящихся к этим активам, регулируемой организации, передавшей указанные активы.

При передаче в собственность регулируемой организации активов, необходимых для осуществления деятельности по передаче тепловой энергии, ранее находившихся в собственности (аренде, концессии) другой регулируемой организации, тарифы которой устанавливаются в соответствии методом регулирования отличным от метода доходности инвестированного капитала, эти активы включаются в базу инвестированного капитала в соответствии с пунктами 45 и 46 настоящих методических указаний.

64. Размер арендных или концессионных платежей за использование имущества, используемого регулируемой организацией для осуществления деятельности по передаче тепловой энергии, не включается в сумму инвестиционных затрат и не учитывается для определения размера инвестированного капитала.

65. Регулирующие органы ежеквартально представляют информацию, необходимую для ведения учета инвестированного капитала в Федеральную службу по тарифам. Регулируемые организации представляют в регулирующие органы субъектов Российской Федерации ежеквартально не позднее 30 дней после окончания отчетного квартала, и ежегодно не позднее 31 марта года, следующего за отчетным, информацию о выполнении утвержденной инвестиционной программы регулируемой организации за истекший квартал (год), вводе объектов в эксплуатацию, начислении платы за подключение к системе теплоснабжения, списании (выбытии) объектов основных средств, учитываемых при определении размера инвестированного капитала.

Не позднее 1 мая года, предшествующего следующему году долгосрочного периода регулирования, регулируемые организации направляют в регулирующие органы предложения по определению полной и остаточной величин инвестированного капитала на начало очередного периода регулирования.

V. Правила определения долгосрочных параметров регулирования с применением метода сравнения аналогов

66. Правила определения долгосрочных параметров регулирования с применением метода сравнения аналогов определяют порядок установления индекса эффективности операционных расходов.

67. Индекс эффективности операционных расходов устанавливается на основе сравнительного анализа расходов в расчете на единицу реализуемой продукции (удельных расходов) регулируемых организаций. Большая величина удельных расходов должна соответствовать большему значению индекса эффективности операционных расходов.

68. При установлении индекса эффективности операционных расходов учитываются инвестиции, осуществляемые в целях снижения операционных расходов. Влияние инвестиций на снижение уровня операционных расходов оценивается на этапе разработки и утверждения инвестиционной программы регулируемой организации.

69. При первом применении метода доходности инвестированного капитала индекс эффективности операционных расходов устанавливается равным 1 %.

Приложение 2

Изменения и дополнения в Методические указания по регулированию тарифов с применением метода доходности инвестированного капитала, утвержденные приказом Федеральной службы по тарифам от 26 июня 2008 года N 231-э

1. Название и пункт 1 приказа ФСТ России от 26 июня 2008 года N 231-э, пункт 1 Методических указаний после слов "по регулированию тарифов" дополнить словами "организаций, оказывающих услуги по передаче электрической энергии,";

2. В пункте 2 Методических указаний после слов "регулируемые виды деятельности" дополнить словами "в сфере электроэнергетики (за исключением деятельности по производству тепловой энергии в режиме комбинированной выработки электрической и тепловой энергии)";

3. В абзаце 7 пункта 7 Методических указаний слова "(органами исполнительной власти субъектов Российской Федерации в области регулирования тарифов при расчете тарифов на тепловую энергию (мощность))" исключить.

 

 




ГОСТЫ, СТРОИТЕЛЬНЫЕ и ТЕХНИЧЕСКИЕ НОРМАТИВЫ.
Некоммерческая онлайн система, содержащая все Российские Госты, национальные Стандарты и нормативы.
В Системе содержится более 150000 файлов нормативно-технической документации, действующей на территории РФ.
Система предназначена для широкого круга инженерно-технических специалистов.

Рейтинг@Mail.ru Яндекс цитирования

Copyright © www.gostrf.com, 2008 - 2026