Крупнейшая бесплатная информационно-справочная система онлайн доступа к полному собранию технических нормативно-правовых актов РФ. Огромная база технических нормативов (более 150 тысяч документов) и полное собрание национальных стандартов, аутентичное официальной базе Госстандарта. GOSTRF.com - это более 1 Терабайта бесплатной технической информации для всех пользователей интернета. Все электронные копии представленных здесь документов могут распространяться без каких-либо ограничений. Поощряется распространение информации с этого сайта на любых других ресурсах. Каждый человек имеет право на неограниченный доступ к этим документам! Каждый человек имеет право на знание требований, изложенных в данных нормативно-правовых актах!

  


 

Российское акционерное общество «Газпром»

Всероссийский научно-исследовательский институт природных
газов и газовых технологий (ВНИИГАЗ)

УТВЕРЖДАЮ

Член правления

РАО «Газпром»

_____________ В.Г. Падюк

Методические указания
по расчету выбросов загрязняющих веществ в атмосферу
от установок малой производительности по термической переработке
твердых бытовых отходов и промотходов

СОГАСОВАНО:

Начальник Управления

прогресса и экологии

РАО «Газпром»

______________ А.Д. Седых

РАЗРАБОТЧИКИ:

Генеральный директор

ВНИИГАЗа

______________ А.И. Гриценко

Директор отделения

«Экология» ВНИИГАЗа

______________ В.В. Немков

Начальник лаборатории защиты

окружающей среды ВНИИГАЗа

______________ Г.С. Акопова

 

Москва 1998

Содержание

1. Введение

2. Понятия и определения

3. Общие положения

4. Расчет параметров выбросов вредных веществ.

4.1. Расчет элементного состава отходов *

4.2. Расчет теплоты сгорания отходов

4.3. Расчет объема продуктов сгорания

5. Расчет валовых выбросов загрязняющих веществ.

5.1. Расчет выбросов летучей золы

5.2. Расчет выбросов оксидов серы

5.3. Расчет выбросов оксида углерода

5.4. Расчет выбросов оксидов азота

5.5. Расчет выбросов хлористого водорода

5.6. Расчет выбросов фтористого водорода

5.7. Расчет выбросов оксидов ванадии

Приложение 1. Элементный состав, выход летучих продуктов и удельная теплота сгорания отдельных компонентов бытовых отходов

Приложение 2. Пример расчета выбросов загрязняющих веществ

Приложение 3. Установки по термической переработке твердых бытовых отходов и промотходов небольшой производительности.

Приложение 4. Устройства но нейтрализации и улавливанию загрязняющих веществ.

Приложение 5. Номенклатурный ряд установок для сжигания промышленных и бытовых отходов

Список использованной литературы

Нормативный документ «Методические указания по расчету выбросов загрязняющих веществ в атмосферу от установок малой производительности по термической переработке твердых бытовых отходов и промотходов» разработаны с целью оценки, контроля выбросов загрязняющих веществ и выбора наиболее оптимальных систем нейтрализации и улавливания продуктов сгорания технологическим оборудованием установок для термической переработки и утилизации отходов малой производительности на объектах газовой отрасли.

Разработчики:

Всероссийский научно-исследовательский институт природных газов и газовых технологии (к.т.н. Акопова Г.С., Атаманов Б.А., Бородина Я.В.);

Акционерное общество "Промэкология" (д.т.н. Холпанов Л.П.);

АО "Научно-исследовательский институт по промышленной и санитарной очистке газа" (академик Приходько В.П.)

Академия коммунального хозяйства им. К.Д. Памфилова (к.т.н. Семилетов В.Н., Тарасов Н.М.);

1. Введение

1.1 Настоящий документ:

разработан в целях получения исходных данных для оценки воздействия на качество атмосферного воздуха выбросов загрязняющих веществ (ЗВ) от установок для термической переработки твердых бытовых отходов и промышленных отходов малой производительности на объектах добычи, переработки и транспорта газа и конденсата;

устанавливает методику расчета выбросов твердых частиц, оксидов серы, углерода, азота, хлористого водорода и фтористого водорода от установок по термической переработке отходов;

распространяется на установки для термической переработки и утилизации твердых бытовых отходов (ТБО), некоторых видов промышленных отходов (ПО) и осадков сточных вод (ОСВ) производительностью до 1,5 т/час;

разработаны для предприятий РАО «ГАЗПРОМ» смежных отраслей и территориальных органов Госкомэкологии РФ.

1.2 Полученные по настоящему нормативному документу результаты могут быть использованы при:

- расчете рассеивания вредных веществ, содержащихся в выбросах с дымовыми газами от проектируемых и действующих установок производительностью до 1,5 т/час по сжигаемым отходам;

- инвентаризации выбросов вредных веществ (ВВ), определении норм предельно допустимых и временно согласованных выбросов - в соответствии с действующими в РФ нормативными документами.

- расчете платы за загрязнение атмосферного воздуха;

- оценки воздействия на состояние окружающей среды для действующих и проектируемых установок по термическому обезвреживанию ТБО и ПО;

- планировании работ по снижению выбросов за счет применения более эффективного газоочистного оборудования, совершенствованию технологического процесса переработки и утилизации отходов.

2. Понятия и определения

Отходы производства (промышленные) - остатки сырья, материалов, полуфабрикатов, образовавшиеся при производстве продукции или выполнении работ и утратившие полностью или частично исходные потребительские свойства.

Отходы потребления - отходы бытовые (коммунальные) - твердые (в том числе твердая составляющая сточных вод - их осадок) отбросы и другие, не утилизируемые в быту, образующиеся в результате амортизации предметов быта н самой жизни людей вещества. К отходам потребления могут быть также отнесены изделия и машины, утратившие свои потребительские свойства в результате физического или морального износа. [6]

Вторичные материальные ресурсы, для которых в настоящее время отсутствуют технологические или экологические условия утилизации, представляют собой неиспользуемые отходы. [6]

Для отрасли характерны промышленные отходы четырех классов опасности (I-IV) и бытовые отходы двух классов опасности (IV и О). Промышленные отходы учитывались нами в твердом и жидком состоянии, бытовые только в твердом.

Класс опасности и вид отходов

Наименование отходов

Промышленные:

 

I.

- лампы люминесцентные

II. - жидкие

- электролит отработанный

- твердые

- шлам аккумуляторный

III. - жидкие

- отработанные масла, у/в конденсат, газоконденсат

- твердые

- нефтешламы, песок замазученный, шламовые осадки, осадок н/пр., лакокрасочные материалы

IV. - твердые

- мусор производственный, масляные фильтры, спец. одежда, спец. обувь, шлам очистных сооружений

Бытовые:

 

IV. - твердые

- резинотехнические изделия, технический мусор

О. - твердые

- бытовой мусор, отходы древесины, макулатура,

3. Общие положения

3.1. Настоящие указания устанавливают методику расчета валовых выбросов загрязняющих веществ, от установок по термической переработке твердых бытовых отходов и промотходов небольшой производительности. Указания должны соблюдаться при проектировании предприятий, а также при нормировании выбросов в атмосферу реконструируемых и действующих установок по термической переработке отходов.

3.2. Установки малой производительности по термической переработке твердых бытовых отходов и промотходов относятся к одиночным источникам загрязнения атмосферы, влияние которых на качество атмосферного воздуха регламентировано положениями раздела 2 ОНД-86 и дополнения к ОНД-86 [1-2]. Источником выброса вредных веществ от установок малой производительности по термической переработке твердых бытовых отходов и промотходов является дымовая труба.

3.3. Для расчета валовых выбросов ЗВ, выбрасываемых от установок малой производительности по термической переработке твердых бытовых отходов и промотходов, с последующей оценкой приземной концентрации ЗВ в атмосферном воздухе, настоящим документом предусматривается формирование следующих исходных данных для расчета и определения ряда параметров:

- элементного состава отходов;

- теплоты сгорания отходов;

- объема, выбрасываемой в атмосферу газовоздушной смеси;

- мощности выброса ЗВ (расчет количества загрязняющих веществ).

3.4. Необходимые для выполнения расчетов экспериментальные данные должны быть получены с соблюдением требований закона Российской Федерации «Об обеспечении единства измерений», с применением аттестованных методик выполнения измерений и средств их поверки измерений.

3.5. Количество загрязняющих веществ, выбрасываемых с продуктами сгорания после установок по термической переработке твердых бытовых отходов и промотходов, определяется следующими методами:

- инструментально с помощью приборов, предназначенных специально для контроля вредных веществ в продуктах сгорания установок сжигания отходов небольшой производительности (непосредственными замерами концентраций загрязняющих веществ в заданных местах тракта продуктов сгорания) [1];

- расчетным путем (с помощью методик [2]).

Наиболее предпочтителен первый метод, так как позволяет получить объективные данные в пределах класса точности применяемой аппаратуры.

Если применение инструментальных методов невозможно, достаточно эффективными могут быть расчетные методы определения, которые с приемлемой точностью позволяют определить значения выбросов ЗВ.

3.5.1 Инструментальные методы измерения.

Измерения содержания в продуктах сгорания твердых частиц, оксидов азота, серы, углерода в установках небольшой производительности, сжигающих твердые бытовые отходы, твердые промышленные отходы, осадок сточных вод, жидкие и гудронообразные отходы нефтегазовых производств и газоконденсатных комплексов, должно производиться в определенных местах газового тракта:

- оксидов серы - после рекуператора (воздухонагревателя) или теплообменного устройства в зоне температур ниже 700 ° С;

- оксидов азота - в зоне температур ниже 800 °С;

- оксидов углерода - в зоне температур ниже 450 °С;

- твердых частиц (летучая зола и продукты неполного сгорания топлива) - после газоочистных устройств в зоне температур после 300 °С.

Пробу газа следует отбирать по возможности в наиболее узком месте газового тракта. Газозаборные трубки не следует располагать на поворотных участках или вблизи мест, где возможны присосы воздуха. Отбор проб газов может производиться как перед так и после дымососа. Для отбора проб продуктов сгорания при температурах выше 400 °С следует применять водоохлаждаемые трубки или трубки из жаропрочного металла.

3.5.2. Расчетный метод.

Расчетным путем по существующим методикам можно определить концентрации летучих твердых частиц, оксидов серы, оксида углерода и оксидов азота

Концентрации других загрязняющих веществ возможно только опытным путем, на основе многочисленных замеров процесса горения на действующих мусоросжигательных заводах.

Настоящая методика предлагает расчетный метод оценки ЗВ в выбросах от установок по термической переработке твердых бытовых отходов и промотходов.

4. Расчет параметров выбросов вредных веществ.

4.1. Расчет элементного состава отходов *

____________________

* Элементный состав отдельных компонентов отходов, полученный инструментальным методом приведен в приложении № 1

При сжигании ТБО с низшей теплотой сгорания менее 4,0 МДж/кг для стабилизации процесса горения используется дополнительное топливо. В качестве дополнительного топлива применяется природный газ или дизельное топливо. Элементарный состав всей массы рассматриваемых отходов рассчитывается по формулам 1-7, [6], %:

Без дополнительного топлива:

где Ср1, Ср2,…., Срn - содержание углерода в рабочей массе каждого компонента отхода, %;

Hp1, Нр2,…., Нрn - содержание водорода в рабочей массе каждого компонента отхода, %;

Оp1, Ор2,…., Орn - содержание кислорода в рабочей" массе каждого компонента отхода, %;

Np1, Nр2,…., Nрn - содержание азота в рабочей массе каждого компонента отхода, %;

Sp1, Sр2,…., Sрn - содержание серы в рабочей массе каждого компонента отхода, %;

Ap1, Aр2,…., Aрn - содержание золы в рабочей массе каждого компонента отхода, %;

Wp1, Wр2,…., Wрn - содержание влаги в рабочей массе каждого компонента отхода, %;

I1, i2,…., in - доли соответствующих компонентов в рабочей массе отходов;

где n - количество отдельных компонентов отходов.

Элементный состав рабочей смеси с учетом дополнительного топлива рассчитывается:

где X - весовая доля дополнительного топлива;

Ср, Нр, Sp, Np, Ор, Ар, Wр - содержание углерода, водорода, азота, кислорода, золы, влаги соответственно в рабочей массе дополнительного топлива.

Проверку полученных результатов расчета компонентов ТБО и смеси, следует производить по формулам 16 и 17 соответственно

4.2. Расчет теплоты сгорания отходов

Теплота сгорания ТБО (без дополнительного топлива), МДж/кг определяется по формуле:

где Qph1, QPH1, QPHn - низшая рабочая теплота сгорания отдельных компонентов отходов, МДж/кг.

Данные по низшей теплоте сгорания отельных компонентов бытовых отходов рассчитаны по формуле Менделеева [7] и приведены в приложении № 1

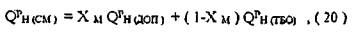
Теплота сгорания смеси ТБО с дополнительным топливом, МДж/кг рассчитывается по формулам:

Для газообразного топлива

Для жидкого топлива

где QPH(см) - теплота сгорания смеси отходов с дополнительным топливом, МДж/кт;

Qph(тбо) - теплота сгорания отходов, МДж/кг; (принимается по таблице 1)

Qрн(доп) - теплота сгорания дополнительного топлива, МДж/кг или МДж/м3;

Хг - расход природного газа, м3/кг (принимается по таблице 1);

Хм - расход дизельного топлива, кг/кг (принимается по таблице 1);

количество дизельного топлива с низшей теплотой сгорания (Qрн(доп) = 39,8 МДж/кг) или количество природного газа (Qрн(доп) = 37,3 КДж/м3) при сжигании отходов с низшей теплотой сгорания от 3,4 до 4,0 МДж/кт.

В таблице 1 приведены данные по теплоте сгорания отходов в зависимости от типа и количества дополнительного топлива:

Таблица 1.

Теплота сгорания отходов Qph(тбо), МДж/кг

Расход природного газа

Хг, м3/кг

Расход дизельного топлива

Хм, кг/кг

4,00

0,0054

0,0056

3,80

0,0107

0,0111

3,60

0,0161

0,0161

3,40

0,0214

0,0220

4.3. Расчет объема продуктов сгорания

Объем сухих продуктов сгорания, выбрасываемых от одного или нескольких агрегатов, Vi 3), рассчитывается по эмпирической формуле С.Я. Корницкого [5]:

где В - производительность установки по сжигаемым отходам, т/ч;

α - коэффициент избытка воздуха; рассчитываемый по содержанию О2 в отходящих газах [6]:

где: О2 - содержание кислорода в дымовых газах

Qph тбо(см) - низшая теплота сгорания отходов, МДж/кг;

WP - содержание обшей влаги в рабочей массе отходов, %;

tr - температура продуктов сгорания, °С.

5. Расчет валовых выбросов загрязняющих веществ.

Валовый выброс io загрязняющего вещества от установок но термической переработке твердых бытовых отходов и промотходов Пi рассчитывается по формуле, т/год:

где τ - продолжительность работы установки, ч/год;

Мi - мощность выброса io загрязняющего вещества, г/с.

5.1. Расчет выбросов летучей золы

Количество летучей золы выбрасываемой в атмосферу с продуктами сгорания после установки для сжигания отходов в единицу времени кг /ч, рассчитывается по формуле, [6]:

где В - производительность установки для сжигания отходов небольшой производительности, т/ч;

аун - доля золы в уносе. Нормативное значение аун для слоевых топок с сухим шлакоудалением при сжигании отходов равно 0,1-0,2;

Qph тбо(см) - низшая теплота сгорания отходов, МДж/кг;

Ар - содержшше золы в рабочей массе отходов, %;

q4 - потеря теплоты от механической неполноты сгорания, %

Рекомендуемое значение для камерных топок с колосниковыми решетками составляет 4% [6];

32,7 - средняя теплота сгорания горючих в уносе, МДж/кг;

η3 - доля твердых частиц, улавливаемая в золоуловителях.

Максимальные выбросы твердых частиц в формуле (24) определяются при номинальной производительности установки по сжигаемым отходам.

5.2. Расчет выбросов оксидов серы

Количество оксидов серы SО2 н SO3 в пересчете на диоксид серы SО2, выбрасываемое в атмосферу с продуктами сгорания в единицу времени кг/ч, рассчитывается по формуле [6]:

где В - производительность установки по сжигаемым отходам, кг/ч;

Sp - содержание серы в рабочей массе отходов, %;

η' - доля оксидов серы, связываемых летучей золой отходов;

SО2 Нормативное значение для слоевых топок с сухим шлакоудалением при низкотемпературном сжигании отходов принимается равным 0,3;

 - доля оксидов серы, улавливаемых в золоулавителях попутно SО2 с улавливанием твердых частиц.

Доля оксидов серы, улавливаемых в сухих золоулавителях (электрофильтрах, батарейных циклонах), принимается равной нулю. В мокрых золоуловителях она зависит в основном от приведенной сернистости отходов SРпр = Sp/QPH, (% кг/МДж) и от расхода и общей щелочности орошаемой воды (по рис. 1) [5]. Расчетные удельные расходы воды на орошение золоуловителей составляют 0,1 - 0,2 мг - экв/дм3. Максимальные выбросы оксидов серы в формуле (25) определяются при поминальной производительности установки по сжигаемым отходам.

5.3. Расчет выбросов оксида углерода

Количество оксида углерода, выбрасываемой в атмосферу с продуктами сгорания отходов в единицу времени т/год, вычисляется по формуле [4]:

где Ссо - выход оксида углерода при сжигании отходов определяется по формуле кг/т:

где q3 - потери теплоты от химической неполноты сгорания отходов, %

R - коэффициент, учитывающий долю потери теплоты вследствие химической неполноты сгорания отходов, обусловленной содержанием оксида углерода в продуктах неполного сгорания; Нормативное значение для камерных топок с сухим шлакоудалением при сжигании твердых отходов R =1,0;

Qph - низшая теплота сгорания отходов, МДж/кг;

q4 - потери теплоты от механической неполноты сгорания отходов, %;

q3 и q4 принимаются по эксплуатационным данным или по нормам [8]

Потери теплоты от химической неполноты сгорания отходов при а>1,5-2,0 при интенсивной аэродинамической турбулентности составляют 0,1 - 0,3 %

Максимальные выбросы оксида углерода значения величин, в формулах (26-27), принимаются при номинальной нагрузке установки сжигания отходов.

5.4. Расчет выбросов оксидов азота

Количество оксидов азота в пересчете на диоксид азота, выбрасываемых в атмосферу с продуктами сгорания установки небольшой производительности в единицу времени, кг/ч рассчитывается по формуле [6]:

где К - коэффициент, характеризующий выход оксидов азота, кг/т;

NOx образующихся на 1 ГДж тепла, кг /ГДж, определяется [7];

В - производительность установки по сжигаемым отходам, т/ч;

Qph тбо(см) - низшая теплота сгорания отходов (смеси), МДж/кг;

q4 - потери теплоты от механической неполноты сгорания отходов, %;

ηi > 1 - коэффициент, учитывающий степень дожигания выбросов оксидов азота в результате примененных решений. ηi - принимается равным нулю;

Дном - паропроизводительность котла, т/ч.

5.5. Расчет выбросов хлористого водорода

Количество хлористого водорода в продуктах сгорания после системы газоочистки, г/с рассчитывается по формуле:

где V1 - объем сухих продуктов сгорания, выбрасываемых от одного или нескольких агрегатов, м3/с, рассчитывается по формуле (21)

CHCl содержание хлористого водорода в продуктах сгорания после системы газоочистки. Принимается в среднем равным 0,012 г/м3. [13]

5.6. Расчет выбросов фтористого водорода

Количество фтористого водорода в продуктах сгорания, г/с рассчитывается по формуле:

где V1 - объем сухих продуктов сгорания, выбрасываемых от одного пли нескольких агрегатов, м3, рассчитывается по формуле (21)

CHF - содержание фтористого водорода в продуктах сгорания. Принимается в среднем равным 0,025 г/м3. [13]

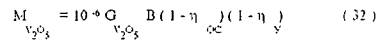
5.7. Расчет выбросов оксидов ванадии

Количество оксидов ванадия в пересчете на пятиокись ванадия (т/год, г/с), выбрасываемых в атмосферу с продуктами сгорания отходов в единицу времени. вычисляется по формуле [4]:

где  - содержание оксидов ванадия в отходах в пересчете на V2O5 г/т;

ηос - коэффициент оседания оксидов ванадия на поверхности нагрева котлов-утилизаторов (кипящих экономайзеров). Для котлов-утилизаторов с промежуточным пароперегревателем очистка поверхностей нагрева которых производится в остановленном состоянии nос = 0,07;

ηу - доля твердых частиц продуктов сгорания жидкого топлива, применяемого в качестве стабилизирующего топлива при сжигании отходов с пониженными теплотехническими свойствами, улавливаемых в устройствах по нейтрализации вредных выбросов после котлов-утилизаторов.

Значение ηу оценивается для средних условий работы газоочистных устройств за год.

При отсутствии результатов анализа дополнительного топлива содержание оксидов ванадия () в сжигаемом топливе определяется ориентировочно по формуле:

где Sp - содержание серы в рабочей массе отходов, %.

Формула дается для отходов с содержанием Sp > 0,4 %.

Максимальные выбросы оксидов ванадия, в формуле (32-33), принимаются при номинальной нагрузке установки сжигания отходов.

* Расчет оксидов ванадия производится только для установок постоянно сжигающих гудронообразные нефтесодержащие отходы.

Приложение 1.

Элементный состав, выход летучих продуктов и удельная теплота сгорания отдельных компонентов бытовых отходов

Компонент

Элементарный состав в рабочей массе отходов, %

Выход летучих,

Низшая теплота сгорания, QrH,

Углерод, СрI

Водород, НрI

Кислород, ОрI

Азот, NрI

Сера, SрI

Зола, ΛрI

Влажность, WрI

%

МДж/кг

ккал/кг

1

2

3

4

5

6

7

8

9

10

11

Бумага

27,7

3,7

26,3

0,16

0,14

15

25

79

9,490

2270

Пищевые отходы

12,0

1,8

8

0,95

0,15

4,5

72

65,2

3,430

920

Текстиль

40,4

4,9

23,2

3,4

0,1

8

20

74,3

15,720

3760

Древесина

40,5

4,8

33,8

0,1

-

0,8

20

67,9

14,460

3160

Отсев

13,9

1,9

14,1

-

0,1

50

20

44

4,600

1100

Пластмасса

55,1

7,6

17,5

0,9

0,3

10,6

8

79

24,370

5830

Зола, шлак

55,2

0,45

0,7

-

0,45

63,2

10

2,7

8,650

2070

Кожа, резина

65

5

12,6

0,2

0,67

11,6

5

49

25,790

6170

Прочес

47

5,3

27,7

0,1

0,2

11,7

8

60,2

18,140

4340

Стекло, металл, камни

-

-

-

-

-

100

-

-

-

-

Примечание. 1. Таблица составлена на основании данных АКХ.

2. Выход летучих продуктов определен на сухое вещество.

Приложение 2.

Пример расчета выбросов загрязняющих веществ

В качестве примера приведены результаты расчета выбросов установки небольшой производительности. Расчету предшествовало проведение работ по определению морфологического, фракционного состава отходов, физико-химических свойств, теплоты сгорания.

Результаты расчета приведены в таблице 1.

Таблица 1.

Показатель

Метод замера, размерность

Летучая зола

Оксиды

Оксид углерода

Хлористый водород

Фтористый водород

серы

азота

Количество загрязняющих веществ выбрасываемых из дымовой трубы

Экспериментальный

 

 

 

 

 

 

мг/с

58

41

263

360

1,1

1,9

кг/ч

0,25

0,17

1,02

1,37

0,0051

0,0067

среднее значение

 

 

 

 

 

 

кг/ч

0,21

0,15

0,95

1,3

0,0043

0,0072

По расчету

 

 

 

 

 

 

мг/м3

70

58

275

395

-

-

мг/с

49

41

193

277

-

-

кг/ч

0,18

0,15

0,7

1,0

-

-

Валовый выброс (максимальный)

т/год

1,0

0,84

3,92

5,6

0,024

0,04

19

Приложение 3.

Установки по термической переработке твердых бытовых отходов и промотходов небольшой производительности.

Установки по сжиганию отходов небольшой производительности обеспечивают наилучшие и наиболее перспективные условия по обезвреживанию и утилизации отходов на газовых промыслах газоперерабатывающих предприятиях в городах и поселках газовиков.

Исходя из санитарно-гигиенических требований установки можно располагать вблизи селитебной зоны, что существенно сокращает расходы на вывоз отходов за черту населенных мест. Блочные установки небольшой производительности представляют высокомеханизированные предприятия, что позволяет обслуживать их ограниченным персоналом, в основном не имеющим контакта с отходами и занятым управлением технологическим процессом. При сжигании отходов можно получать тепло, электроэнергию, а также лом черных металлов для вторичного использования.

Блочные установки предназначены для сжигания твердых бытовых и промышленных отходов, допускается сжигание в смеси с отходами осадков сточных вод. Имеют производительность от 0,1 до 1,5 тонны в час по сжигаемым отходам. Установки оснащены трехступенчатой системой нейтрализации и очистки продуктов сгорания.

Как правило, установки состоят из отдельных блоков заводской готовности: устройства загрузочного, камер сгорания и дожигания, устройства по очистке газов, теплоутилизатора, комплекта средств контроля и управления.

Проект установок согласуется с требованиями санитарно-эпидемиологического надзора в месте строительства.

Приложение 4.

Устройства по нейтрализации и улавливанию загрязняющих веществ.

Для очистки продуктов сгорания от вредных веществ, образующихся при сжигании твердых бытовых и промышленных отходов, устанавливаются многоступенчатые высокоэффективные системы очистки.

Выбор аппаратурного оформления устройств газоочистки определяется производительностью установки сжигания, морфологическим и физико-химическим составом отходов, а также необходимостью реконструкции действующих установок.

Большинство действующих мусоросжигательных заводов большой производительности оборудованы только электрофильтрами, т.е. очистка газов от газообразных веществ не производится.

В связи с возросшими требованиями к охране окружающей среды и необходимостью очистки газов от диоксида серы, фтористого и хлористого водорода, оксидов азота и хлорорганических соединении при модернизации действующих мусоросжигательных заводов большой производительности может быть рекомендован процесс "Е-SOx", переданный американскими специалистами для использования в странах СНГ.

Сущность процесса "Е-SOx" заключается в улавливании газообразных составляющих и твердых частиц в электрофильтре путем впрыска поглотительного раствора в горизонтальную камеру, образованию за счет демонтажа первого поля электрофильтра.

Для увеличения степени очистки практически по всем видам составляющих, включая хлорорганические соединения и тяжелые металлы, по аналогии с установками фирмы " Бишофф эссен " (ФРГ) предполагается после процесса "Е-SOx" устанавливать санитарный скруббер. Особенностью работы такой схемы является получение бессточной технологической очистки, при которой промывной раствор, участвующий в процессе, направляется после циркуляции в распылительную ступень-сушилку.

При строительстве новых установок небольшой производительности для предварительных расчетов следует рекомендовать два варианта аппаратурного оформления системы газоочистки:

I вариант:

- камера дожигания, совмещенная с реактором восстановления оксидов азота;

- скруббер-реактор (мокро-сухой скруббер) для очистки газов от кислых компонентов (SO2, HCL, HF);

- электрофильтр для очистки газов от продуктов реакции и летучей золы;

- санитарный скруббер для доулавливания тяжелых металлов (в основном ртути) и хлорорганических соединений (диоксидов и фуранов).

II вариант:

- камера дожигания, совмещенная с реактором восстановления оксидов азота;

- скруббер-реактор (мокро-сухой скруббер) для о числен газов от кислых компонентов (SOx, HCL, HF);

- рукавный фильтр.

Для улавливания ларов ртути и хлорорганнческнх соединений система во втором варианте дополняется узлом ввода в газоход перед рукавным фильтром активированного угля с расходом 50 мг/м3 очищаемого газа.

Для установок небольшой производительности следует рекомендовать сухие системы газоочистки: камера дожигания, узел охлаждения (теплогенератор) реактор, электрофильтр (фильтр-адсорбер), пли рукавный фильтр.

Эффективность улавливания для рекомендуемых систем очистки представлена в таблице 1.

Таблица 1.

Эффективность улавливания отдельных компонентов для рекомендуемых систем газоочистки, в %.

Аппаратурное оформление процесса

Пыль

Рb+ Cr; Cu+ Mn

Ni + As

Cd + Hg

HCl

HF

so2

СО

NOx

NO2

Органо­соедин. (С)

Хлор-орган. соед.

1. Процесс "Е-SOx"

96-97

98

98

97-99

95-97

85-90

50-55

-

40

90

-

2. Процесс "Е-SOx" + санитарный скруббер

>99

>99

>99

>99

99,5

99

70-80

-

60-70

90

99

3. Камера дожига + реактор + электрофильтр +санитарный скруббер

> 99

>99

>99

>95

99,5

99

70-40

60

60-70

90

99,0

4. Камера дожига + реактор + рукавн. фильтр + эжекция активированного угля

99,5

>99

>99

>99

98,5

99

60

60

-

99,9

99,9

5. Камера дожига + узел охлаждения + реактор кипящего слоя + электрофильтр

97,98

98

98

96-97

95

90

45-50

60

-

90

99

6. Камера дожита + узел охлаждения (увлажнения)+ реактор кипящего слоя + рукавный фильтр

99,5

> 99

>99

>99

98

95

60

60

-

99,0

99,0

Приложение 5.

Номенклатурный ряд установок для сжигания промышленных и бытовых отходов

тип

А, м

Б, м

В, м

Г, м

Е, м

ширина, м

Общий вес, т

количество сжигаемых отходов кг/ч

утилизация теплоты

МДж/кг

ПО-0,2

3,5

7,6

5,0

4,1

-

2,3

14,3

200

-

3-15

ПО-0,5

3,5

7,6

5,0

4,1

-

2,5

18,9

500

пар или гор. вода

3-15

ПО-0,7

4,1

9,3

8,0

5,2

2,7

2,6

18,9

700

пар 0,9МПа, t=175°C

3-15

ПО-1,0

4,1

9,3

8,0

5,2

2,7

2,6

18,9

1000

пар пли гор. вода

3-15

ПО-1,5

4,1

10,1

8,0

6,0

2,7

2,6

18,9

1500

пар или гор. вода

3-15

Технические характеристики

Производительность по сжигаемым отходам, кг/ч.                                               0,1÷1,5

Низшая теплота сгорания, МДж /кг                                                                         3 - 15

Рабочая влажность, %                                                                                               20 - 65

Удельная концентрация вредных веществ после

газоочистного оборудования (на срезе дымовой трубы), мт/нм3

летучей золы                                                                                                         30

оксида серы                                                                                                           40

хлористого водорода                                                                                            10

фтористого водорода                                                                                            0,8

оксидов азота                                                                                                        120

Количество ступеней нейтрализации вредных выбросов и

очистки продуктов сгорания                                                                                    3

КПД брутто, %                                                                                                           70

Топливо для розжига и стабилизации процесса горения                                     природный газ

Количество стерильных шлаковых остатков в

зависимости от исходной массы, %                                                                        до 10

Суммарная мощность установленных электроприводов, кВт                              50-150

Схема установки для сжигания твердых бытовых отходов

1 - загрузчик; 2 - камера сгорания; 3 - камера дожигания; 4 - газоход; 5 - рекуператор; 6 - газоочистное оборудование; 7 - дымовая труба; 8 - растопочные горелки; 9 - котел-утилизатор; 10 - шлаковыгружатель; 11 - дымосос.

Список использованной литературы

1. Сборник методик по определению концентраций загрязняющих веществ в промышленных выбросах. Л.: Гидрометеоиздат, 1987.

2. Перечень методических документов по расчету выбросов загрязняющих веществ в атмосферный воздух, действующих в 1996 г. С. П.: Гидрометеоиздат, 1996.

3. Типовое положение об организации контроля за выбросами в атмосферу на тепловых электростанциях. М.: СПО Союзтехэнерго, 1985.

4. Методические указания по расчету выбросов загрязняющих веществ в атмосферу с дымовыми газами отопительных и отопительно-производственных котельных. М.: 1991.

5. Сахаев В.Г. Справочник по охране окружающей среды. Киев: Будiвельник, 1986.

6 Методические указания по расчету выбросов загрязняющих веществ в атмосферу от мусоросжигательных и мусороперерабатывающих заводов. М.:ОНТП АКХ, 1989.,

7. Тепловой расчет котельных агрегатов. Нормативный метод. М. - Энергия, 1973 г.

8. ГОСТ 12.1.014-84. Воздух рабочей зоны. Метод измерения концентраций вредных веществ индикаторными трубками.

9. ГОСТ 12.1.016-88. Воздух рабочей зоны. Требования к методикам измерения концентраций вредных веществ.

10. ГОСТ 17.1.4.01-80. Общие требования к методам определения нефтепродуктов в природных и сточных водах.

11. ГОСТ 17.2.1.01-87. Атмосфера. Классификация выбросов но составу.

12. ГОСТ 17.4.3.06-89. Охрана природы. Почвы. Общие требования к классификации почв по влиянию на них химических загрязняющих веществ.

13. Исследования концентраций загрязняющих веществ в уходящих и дымовых газах мусоросжигательного завода. Отчет. АКХ ПО-227/ 91, 1991 г.

 

 




ГОСТЫ, СТРОИТЕЛЬНЫЕ и ТЕХНИЧЕСКИЕ НОРМАТИВЫ.
Некоммерческая онлайн система, содержащая все Российские Госты, национальные Стандарты и нормативы.
В Системе содержится более 150000 файлов нормативно-технической документации, действующей на территории РФ.
Система предназначена для широкого круга инженерно-технических специалистов.

Рейтинг@Mail.ru Яндекс цитирования

Copyright © www.gostrf.com, 2008 - 2026