Крупнейшая бесплатная информационно-справочная система онлайн доступа к полному собранию технических нормативно-правовых актов РФ. Огромная база технических нормативов (более 150 тысяч документов) и полное собрание национальных стандартов, аутентичное официальной базе Госстандарта. GOSTRF.com - это более 1 Терабайта бесплатной технической информации для всех пользователей интернета. Все электронные копии представленных здесь документов могут распространяться без каких-либо ограничений. Поощряется распространение информации с этого сайта на любых других ресурсах. Каждый человек имеет право на неограниченный доступ к этим документам! Каждый человек имеет право на знание требований, изложенных в данных нормативно-правовых актах!

  


 
РД 153-39.0-111-2001

РУКОВОДЯЩИЙ ДОКУМЕНТ

МЕТОДИКА
ОПРЕДЕЛЕНИЯ НОРМАТИВНОЙ ПОТРЕБНОСТИ И НОРМ РАСХОДА ПРИРОДНОГО ГАЗА НА СОБСТВЕННЫЕ ТЕХНОЛОГИЧЕСКИЕ НУЖДЫ ГАЗОДОБЫВАЮЩИХ ПРЕДПРИЯТИЙ

Дата введения 2002-01-01

ПРЕДИСЛОВИЕ

РАЗРАБОТАН Обществом с ограниченной ответственностью "Научно-исследовательский институт природных газов и газовых технологий - ВНИИГАЗ"

ИСПОЛНИТЕЛИ И.В. Барцев, Н.В. Даки, Ю.Г. Мутовин, О.А. Потапова, В.И. Радченко, С.А. Сидорова, А.М. Сиротин, В.В. Тюрина, Т.С. Цацулина, В.И. Шулятиков, В.С. Юшина (руководитель темы)

ВНЕСЕН Управлением по добыче газа и газового конденсата (нефти) ОАО "Газпром"

ПРИНЯТ И ВВЕДЕН В ДЕЙСТВИЕ Приказом Минэнерго России от 26 декабря 2001 г. N 372

ВЗАМЕН РД 51-00158623-12-97

Содержание

1 Область применения

2 Нормативные ссылки

3 Определения, обозначения и сокращения

4 Газ на продувку скважин

5 Газ на продувку и опорожнение внутрипромысловых трубопроводов и технологических аппаратов

6 Газ на факельные устройства

7 Уменьшение объема газа за счет извлечения из него целевых и попутных компонентов

8 Газ, выделяющийся при промысловой обработке газового конденсата

9 Газ выветривания (дегазации) жидкостей

11 Утечки газа за счет негерметичности уплотнений оборудования и коммуникаций

12 Топливный газ на компримирование на ДКС, ХС и СОГ

13 Топливный газ на производство тепловой энергии промысловыми котельными

14 Топливный газ на выработку электроэнергии

15 Топливный газ на нагрев жидких, твердых и газообразных продуктов

16 Порядок расчета норм расхода на собственные технологические нужды ГДП

ПРИЛОЖЕНИЕ А (обязательное) КЛАССИФИКАТОР статей расхода газа на собственные технологические нужды газодобывающих предприятий

ПРИЛОЖЕНИЕ Б (справочное) Примеры расчетов

ПРИЛОЖЕНИЕ В (справочное) Библиография

1 Область применения

Настоящий Руководящий документ (далее - РД) устанавливает основные статьи расхода и методы определения нормативного расхода природного газа, используемого на собственные технологические нужды газодобывающих и нефтегазодобывающих предприятий Российской Федерации независимо от форм их собственности и ведомственной подчиненности.

Выбросы газа, связанные с авариями, утечками за счет разрыва трубопроводов, вынужденными остановками технологического оборудования, не нормируются и в настоящем РД не рассматриваются.

2 Нормативные ссылки

В настоящем РД использованы ссылки на следующие законодательные акты и нормативные документы:

- Налоговый кодекс Российской Федерации (часть вторая), утвержденный Федеральным законом от 05.08.2000 N 117-ФЗ (в редакции Федеральных законов от 29.12.2000 N 166-ФЗ, от 07.08.2001 N 118-ФЗ и от 08.08.2001 N 126-ФЗ).

- Постановление Правительства РФ от 22.01.2001 N 45 "О порядке утверждения нормативов использования газодобывающими и газотранспортными организациями природного газа на собственные технологические нужды".

- ГОСТ 30167-95 Ресурсосбережение. Порядок установления показателей ресурсосбережения в документации на продукцию.

- ГОСТ Р 51379-99 Энергосбережение. Энергетический паспорт промышленного потребителя топливно-энергетических ресурсов.

- ГОСТ Р 51380-99 Энергосбережение. Методы подтверждения соответствия показателей энергетической эффективности энергопотребляющей продукции по нормативным значениям.

- ГОСТ 51750-2001* Энергосбережение. Методика определения энергоемкости при производстве продукции и оказания услуг в технологических энергетических системах. Общие положения.

- ПБ 09-12-92 Правила устройства и безопасной эксплуатации факельных систем ПУ и БЭФ-91*. Госгортехнадзор России.

- РД 08-200-98 Правила безопасности в нефтяной и газовой промышленности*. Госгортехнадзор России.

- РД 39-108-91 Методические указания по определению величины технологических потерь нефтяного газа при его добыче, сборе, подготовке и межпромысловом транспортировании. ВНИИСПТнефть.

- РД 39-142-96 Методика расчета выбросов вредных веществ в окружающую среду от неорганизованных источников нефтегазового оборудования. ОАО "НИПИгазпереработка".

- РД 51-120-87 Методические указания по расчету норм потерь природного газа и конденсата при их переработке на газоперерабатывающих заводах Мингазпрома. ВНИПИГАЗ.

- РД 51-31323949-05-2000 Методика определения технологических потерь газового конденсата в процессе промысловой обработки газа. ВНИИГАЗ.

- РД 015900-102-87 Инструкция о порядке учета и отчетности по статьям расхода газа на собственные нужды в газодобывающих предприятиях Главтюменгазпрома. ТЮМЕННИИГИПРОГАЗ.

3 Определения, обозначения и сокращения

3.1 В настоящем РД применяют следующие термины и определения:

Газ - природный газ, добываемый и обрабатываемый газодобывающими предприятиями.

ГДП - газодобывающее предприятие - комплекс основных и вспомогательных газопромысловых объектов на газовом или газоконденсатном месторождении или на группе месторождений, обеспечивающих добычу природного газа (далее - газа) и подготовку его к транспорту.

Объект - газопромысловый объект - комплекс установок и оборудования основного, вспомогательного и общего технологического назначения, находящихся на балансе ГДП или эксплуатируемых ГДП на правах аренды и обеспечивающих добычу сырья (природного газа) и подготовку его к транспорту.

К объектам ГДП относятся скважины, внутрипромысловые трубопроводы, установки подготовки газа и газового конденсата, компримирования и охлаждения газа (при необходимости), регенерации реагентов, насосные, узлы замера газа и пр.

Расход газа на собственные технологические нужды - неизбежный расход газа на технологические топливные и нетопливные нужды и технологические потери ГДП (Приложение А), связанный с проведением обязательных технологических операций по поддержанию требуемого режима эксплуатации и обусловленный степенью совершенства применяемых технологических процессов и качеством эксплуатации газопромысловых объектов.

Газ на технологические топливные нужды - газ, потребляемый в качестве топлива для обеспечения работоспособности объектов ГДП.

Газ на технологические нетопливные нужды - газ, расходуемый для проведения обязательных технологических операций по поддержанию требуемого режима эксплуатации объектов ГДП.

Технологические потери газа - неизбежные потери газа, связанные с принятой схемой и технологией разработки и обустройства месторождения, включая объекты добычи, подготовки и внутрипромысловой транспортировки газа, а также с уровнем техники и технических средств, применяемых на ГДП.

Нормативный расход газа на собственные технологические нужды - расход газа в пределах нормативов, обусловленных технологиями добычи, подготовки и внутрипромысловой транспортировки газа в соответствии с утвержденным проектом обустройства месторождения.

Нормативный расход газа устанавливает предельное значение потребления газа за расчетный период при проектных (регламентных) параметрах эксплуатации газопромысловых объектов и обосновывается соответствующими расчетами и (или) экспериментами.

Величину нормативного расхода газа на собственные технологические нужды ГДП за расчетный период времени (1 год или менее) определяют в м3.

Нормативный плановый (прогнозный) расход газа на технологические нужды рассчитывают на основании проектных и (или) регламентных данных для каждого объекта с учетом намечаемого объема и параметров добываемого газа за расчетный период времени, технического состояния технологических установок и т.д. при соблюдении правил и инструкций по эксплуатации и обслуживанию оборудования, аппаратов и установок.

Норматив расхода газа на собственные технологические нужды ГДП - научно и технически обоснованная величина нормы расхода газа на собственные технологические нужды, устанавливаемая в нормативной и технической документации, характеризующая предельно допустимое значение потребления газа на единицу валовой продукции ГДП (ГОСТ 51750). Величину норматива расхода газа на собственные технологические нужды выражают в м3/тыс.м3.

Норма расхода газа на собственные технические нужды ГДП - удельный показатель нормативного расхода (потребления) газа для производства единицы продукции при проектных (регламентных) условиях эксплуатации объекта в планируемый период (м3/тыс.м3).

Нормативная потребность ГДП в газе - нормативный расход газа для ГДП, необходимый для производства планового объема валовой продукции ГДП при эксплуатации объектов в проектном (регламентном) режиме (м3).

При определении расхода газа на собственные технологические нужды по настоящему РД объем газообразных сред принимают при стандартных условиях: Тст = 293,15 К; Рст = 10125 Па.

3.2 В РД применены следующие сокращения:

ГПА - газоперекачивающий агрегат,

ГТУ - газотурбинная установка,

ДКС - дожимная компрессорная станция,

КИП - контрольно-измерительные приборы,

КЦ - компрессорный цех,

ПБ - правила безопасности,

РД - руководящий документ,

СОГ - станция охлаждения газа,

СПЧ - сменная проточная часть компрессора,

ТПА - топливопотребляющие агрегаты,

ХС - холодильная станция,

ЭСН - электростанции собственных нужд,

ДЭГ - диэтиленгликоль.

4 Газ на продувку скважин

На ГДП периодически осуществляют продувку скважин, находящихся на балансе ГДП или эксплуатируемых ГДП на правах аренды. Продувка скважин связана с проведением гидрогазодинамических исследований, проверкой забойных клапанов-отсекателей и других технологических и геологических операций (см. п. 2.1 Приложения А), необходимых для поддержания эксплуатационного режима скважин.

4.1 Гидрогазодинамические исследования скважин с выпуском газа в атмосферу производят при отсутствии технической возможности исследований с подачей газа в газосборные сети (отсутствие газосборного коллектора, высокое давление в системе).

Предельно допустимое количество газа, выпускаемое в атмосферу, рассчитывают на основе геолого-технической информации о скважине и продуктивном пласте и указывают в технологическом регламенте на проведение работ на скважине [1]. Величины необходимых предельно допустимых отборов газа из скважин и длительность работы на них рассчитывают на основании требований, обусловленных задачами, решаемыми в ходе проведения работ:

- удаление жидкости и механических примесей из скважины для поддержания ее работы или исключения засорения трубопровода от скважины до установки сбора и подготовки газа к транспорту (ввод в действие после ожидания подключения, после капитального и подземного ремонта, прогрева ствола простаивающих скважин, для ликвидации гидратных пробок);

- определение характеристик продуктивного пласта при давлениях меньших, чем давление в газосборном коллекторе, при проведении гидрогазодинамических и геофизических исследований;

- тарировка и проверка готовности к срабатыванию в случае аварийной ситуации клапанов-отсекателей и другого оборудования для обеспечения надежности эксплуатации скважин.

4.2 Расход газа на продувку скважины Qскв,, м3, определяют по формуле

,                                                                                                             (4.1)

где qi - дебит продуваемой скважины по газу при заданном режиме, м3/сут;

τi - продолжительность продувки скважины при заданном режиме, сут.

Количество режимов при исследовании скважин, продолжительность работы на режимах определяют в соответствии с действующей инструкцией по исследованию скважин. Периодичность проведения исследований регламентируется проектным документом и рекомендациями по результатам авторского сопровождения разработки месторождения.

4.3 Дебит скважины по газу должен обеспечивать стабильность работы скважины и предотвращать ее самопроизвольное глушение из-за накопления жидкости. Величина дебита газа скважины должна быть больше величины базового дебита, при которой потери давления в стволе скважины минимальны, а жидкость выносится с забоя по мере ее поступления из продуктивного пласта. Величину базового дебита qбаз, м3, рассчитывают по [2]

,                                                            (4.2)

где Fr* - комплексный критерий, характеризующий величину потерь давления в вертикальных трубах и учитывающий соотношения плотностей газа и жидкости и числа Фруда, определяемый по формуле

,                                                                                                             (4.3)

где P - давление газа, рассчитываемое по формуле

,                                                                                                         (4.4)

где Рпл - пластовое давление газа, МПа;

Рдепр - депрессия на пласт, МПа;

Ро - атмосферное давление, МПа;

Fr - число Фруда;

ρж - относительная плотность жидкости по воде (для оценочных расчетов ρж = 1);

dвн - внутренний диаметр фонтанной колонны, м;

Кж - коэффициент, учитывающий дебит жидкости (для оценочных расчетов Кж = 1);

Км - коэффициент, учитывающий корректировку критерия Fr* для условий конкретного месторождения (при суточном дебите жидкости менее 5000 кг принимают равным 1, более 5000 кг - равным 1,2);

ρ - относительная плотность газа по воздуху (ρ = 0,56);

В - комплексный коэффициент, определяемый по формуле

,                                                                                                                 (4.5)

где Z - коэффициент сжимаемости газа (принимают равным 0,95);

T - температура газа, К (принимают равной 303 К);

P - давление, рассчитываемое по формуле (4.4).

При значении Fr* = 550 потери давления минимальны (установлено опытным путем). Для ориентировочных расчетов принимают это значение Fr*.

4.4 Продолжительность работы скважины на каждом из устанавливаемых режимов рассчитывают исходя из необходимости подъема от забоя до устья скважины жидкости или механических примесей; она зависит от глубины скважины и скорости газа, необходимой для поддержания выносимой жидкости или песка в подвешенном барботируемом состоянии.

4.4.1 Для удаления жидкости длительность продувки τпр, сут, рассчитывают исходя из условий фактического среднего давления по стволу скважины, площади проходного сечения канала, по которому движется поток газа с жидкостью, и величины базового дебита по формуле

,                                                                                                       (4.6)

где Lc - глубина скважины, м;

F - площадь проходного сечения канала, по которому движется поток газа с жидкостью, м2;

Po - абсолютное атмосферное давление, МПа;

Pср - среднее по стволу скважины давление, МПа, определяемое по формуле

,                                                                                                       (4.7)

где Рзаб - забойное давление, МПа;

Ру - устьевое давление, МПа.

4.4.2 При удалении с забоя скважины механических примесей (например, песка, содержащегося в жидкости) величину необходимого дебита газа устанавливают исходя из увеличенной в 3 раза величины базового дебита, рассчитанного по формуле (4.2), а продолжительность продувки, рассчитанной по формуле (4.6), увеличивают в 2 раза.

5 Газ на продувку и опорожнение внутрипромысловых трубопроводов и технологических аппаратов

5.1 Расход газа на технологические нужды систем сбора и промыслового транспорта углеводородов связан:

- с продувкой шлейфов, газо-, конденсато- и нефтепроводов коллекторов (далее - трубопроводов) в период их ввода в эксплуатацию после проведения гидроиспытаний;

- с продувкой трубопроводов для удаления скопившейся жидкости и мехпримесей в процессе эксплуатации;

- с продувкой шлейфов и газопроводов-коллекторов при ликвидации гидратообразования;

- с опорожнением трубопроводов перед проведением ремонтных работ.

5.2 При опорожнении трубопроводов перед проведением ремонтных работ расход газа на опорожняемом участке , м3, ориентировочно определяют по [4]:

,                                                                                (5.1)

где V - геометрический объем опорожняемого участка, м3;

Zн и Zк - соответствующие коэффициенты сжимаемости газа;

Рн.ср и Рк.ср - среднее абсолютное давление газа перед началом работы и после опорожнения участка, кг/см2.

Среднее давление определяют по формуле

,                                                                                                           (5.2)

где Р1, Р2 - абсолютное давление газа в начале и конце трубопровода, кг/см2.

5.3 После окончания ремонта трубопровода и проведения гидроиспытаний на герметичность, в зависимости от рельефа трассы участка, проводят продувку этого участка для удаления оставшейся жидкости.

Общий расход газа на продувку трубопровода Qпр, м3, определяют по формуле

,                                                                                                     (5.3)

где Qнкр - расход газа при режиме докритического истечения, м3;

Qкр - расход газа при режиме критического истечения, м3.

Критическое истечение - скорость потока газа в сечении диафрагмы, равная скорости звука в данной среде. В общем виде это происходит при условии, когда давление перед диафрагмой в два и более раз выше давления в сечении диафрагмы [1, с. 168-169].

5.3.1 Расход газа при режиме докритического истечения Qнкр, м3, ориентировочно определяют по [4]:

,                                                                                                (5.4)

где F - площадь сечения трубы, через которую производят продувку, м2;

P - давление газа перед сечением трубы, через которую производится продувка, кг/см2;

τнкр - время продувки при докритическом истечении, с.

5.3.2 Расход газа при продувке в режиме критического истечения Qкр, м3, определяют ориентировочно по формуле

,                                                                                                   (5.5)

где τкр - время продувки при критическом истечении, с; остальные обозначения такие же, как для формулы (5.4).

5.3.3 При наличии ДКС, расположенной перед продуваемым участком трубопровода, определение расхода газа на продувку трубопровода Qдкспр, м3, производят по [4]:

,                                                                  (5.6)

где V - объем продуваемого участка трубопровода, м3;

Р1, Р2 - давление газа в начале и конце продуваемого участка, кг/см2;

Z1, Z2 - коэффициент сжимаемости в начале и в конце продуваемого участка;

qдкс - производительность ДКС, работающей для целей продувки, м3/мин;

τдкс - время работы ДКС для продувки трубопровода, мин.

5.3.4 В случае продувки шлейфа с использованием газа, подаваемого от устья скважины, расход газа рассчитывают по формуле (5.6), используя следующие исходные данные:

q - дебит скважины при продувке, м3/мин;

τ - время продувки, мин.

5.4 Расход газа на вытеснение воздуха из продутого участка трубопровода Qв, м3, ориентировочно определяют по формуле [4]:

,                                                                                     (5.7)

где V - геометрический объем участка трубопровода, м3;

Рср - среднее давление газа на участке трубопровода после вытеснения воздуха, кг/см2;

Ратм - конечное давление, равное 1 кг/см2.

5.5 При эксплуатации промысловых трубопроводов при снижении отборов газа и одновременном выносе из скважин жидкости возможно накопление жидкой фазы и механических примесей в рельефных участках трассы. Для повышения эффективности работы таких трубопроводов применяют периодические продувки. В этих случаях расход газа при одной продувке определяют по формулам (5.4) и (5.5) или по (5.7) с учетом уточнений, изложенных в 5.3.4.

5.6 При ликвидации гидратных пробок с использованием технологии снижения давления количество газа, частично стравливаемого из загидраченного участка газопровода Qгидр, м3, определяют по [4]:

,                                                                     (5.8)

где n - количество стравливаний газа за расчетный период;

V - геометрический объем участка газопровода, м3;

Рн - давление газа на участке газопровода перед стравливанием, кг/см2;

Рк - давление газа на участке газопровода после стравливания, кг/см2;

Тн - температура газа на участке газопровода перед стравливанием, К;

Тк - температура газа на участке газопровода после стравливания, К;

Zн - коэффициент сжимаемости газа на участке газопровода перед стравливанием;

Zк - коэффициент сжимаемости газа на участке газопровода после стравливания.

Наиболее эффективно разложение гидратных пробок происходит при атмосферном давлении; при этом формула (5.8) примет вид

.                                                                                         (5.9)

5.7 При проведении планово-предупредительных и текущих ремонтов в процессах остановки и пуска технологических установок происходит сброс газа в факельную систему или в атмосферу. Суммарный расход газа при остановке и пуске аппарата, участка газопровода или технологической установки в целом Q, м3, состоит из трех составляющих [4]:

,                                                                                                     (5.10)

где Q1 - сброс газа на факел для предварительного опорожнения аппарата или технологической установки при подготовке их к продувке, м3;

Q2 - расход газа, выдуваемого на факел или свечу при продувке аппарата или технологической установки, м3;

Q3 - расход газа на вытеснение инертного газа из продутого аппарата или технологической установки, м3.

5.8 При опорожнении от газа высокого давления технологических аппаратов (в том числе компрессоров) или установок в целом, включая промысловые коммуникации, и стравливании этого газа на факел расход газа Q1, м3, рассчитывают по [4]:

,                                                                                       (5.11)

где V - геометрический объем аппарата, участка газопровода или технологической линии, опорожняемых для ремонта или внутреннего осмотра, м3;

Рн и Рк - соответственно абсолютное давление газа перед началом и после опорожнения, кг/см2;

Zн и Zк - соответствующие коэффициенты сжимаемости газа.

5.9 Продувку технологического оборудования осуществляют при проведении планово-предупредительных и текущих ремонтов с целью очистки внутренней полости и улучшения работы оборудования.

Расход газа для продувки оборудования Q2, м3, определяют по РД 015900-102 и РД 39-108 по формуле

,                                                                         (5.12)

где V - геометрический объем продуваемого участка, м3;

Т1 - средняя температура при продувке, К;

Р1, Р2 - давление в начале и конце продувки, кг/см2;

Z1, Z2 - коэффициенты сжимаемости в начале и конце продувки;

b - кратность продувки, обеспечивающая требования безопасной эксплуатации аппаратуры и оборудования. Если продувку производят в атмосферу, то b = 0.

5.10 Технологическое оборудование, ранее заполненное углеводородными взрывоопасными средами, в соответствии с РД 08-200 должны продувать инертным газом. Расход вытесняемого при этом природного газа, сбрасываемого на свечу, Q3, м3, определяют по формуле

,                                                                                                       (5.13)

где V - геометрический объем аппарата, участка газопровода или технологической линии, м3;

Рp - рабочее давление газа до его вытеснения, кгс/см2;

Тст - температура газа при стандартных условиях (293,15 К);

Рст - давление газа при стандартных условиях, Рст = 1,033 кг/см2;

Тp - рабочая температура газа до его вытеснения, К;

Z - коэффициент сжимаемости газа при рабочих параметрах.

5.11 Затраты газа на продувку аппаратов с жидкостью (вода, газовый конденсат) с целью ее вытеснения Qж, м3, определяют по [4]:

,                                                                                   (5.14)

где F - площадь сечения трубки, по которой сливается жидкость, м2;

Рст - среднее давление газа в аппарате, кг/см2;

τ - время однократной продувки, с;

Vж - объем жидкости, слитой из аппарата, м3;

К - количество газа, растворенного в жидкости, м33 (для конденсата К = N в соответствии с разделом 8; для воды К = r в соответствии с разделом 9).

5.12 Расход газа на технологические нужды компрессорного цеха ДКС Qкц, м3, определяют по [5]

,                                                                                        (5.15)

где Qпуск - расход газа на запуск ГПА (работа пусковой расширительной турбины-турбодетандера и продувка контура нагнетателя), м3;

Qост - расход газа на остановку ГПА (стравливание газа из контура нагнетателя), м3;

Qпр - расход газа на обслуживание установки очистки газа (продувка аппаратов), м3.

5.12.1 Расход газа при пуске ГПА включает в себя потребность газа для работы пускового турбодетандера по данным технических условий (или технических заданий), усредненное количество газа для продувки контура нагнетателя и усредненные затраты импульсного газа для работы кранов [5].

Для разрабатываемых и эксплуатируемых типов ГПА данные о количестве природного газа, необходимого для одного запуска ГПА Qпуск, м3, представлены в таблицах 5.1 и 5.2 [6].

Таблица 5.1 - Расход газа при пуске эксплуатируемых типов ГПА

Тип ГТУ

Расход газа на работу пускового турбодетандера, м3

Расход газа на пуск ГПА, м3

ГТ-6-750

1900

20000

ГПА-Ц-6,3

500

600

ГПА-Ц-8

500

600

ГТН-6

1900

2000

ГПА-Ц-16

300

450

ГПУ-16

-

150

ГПА-Ц-16С

-

150

ГТН-10И

1540

1620

Таблица 5.2 - Расход природного газа при пуске разрабатываемых ГПА

Тип ГТУ

Расход газа на работу пускового турбодетандера, м3

Расход газа на пуск ГПА, м3

ГПА-Ц-16 "Урал"

300

450

5.12.2 Расход газа при остановке ГПА включает в себя газ, стравливаемый через свечи из контура нагнетателя. Геометрический объем контура и количество стравливаемого газа для некоторых типов ГПА при рабочем давлении в газопроводе 7,6 МПа приведены в таблице 5.3 [5] (данные носят справочный характер, так как геометрические характеристики обвязки нагнетателя могут различаться при конкретном проектировании).

Таблица 5.3 - Примерные значения геометрического объема контуров и обвязки ЦБН и расхода газа при остановке ГПА

Тип ГТУ

Геометрический объем контура нагнетателя, м3

Расход газа на стравливание из контура нагнетателя при остановке ГПА, м3

ГТ-6-750

14,3

950

ГПА-Ц-6,3

14,0

950

ГТН-6

14,3

950

ГТН-16

32,5

2175

ГПА-Ц-8

14,0

950

ГПА-Ц-16

32,0

2175

ГПА-Ц-16С

32,0

2175

ГТН-10И

10,8

750

Количество газа, стравливаемого из контура нагнетателя при остановке ГПА, Qост, м3, определяют по [6]:

,                                                                  (5.16)

где Vк - геометрический объем контура нагнетателя и технологических коммуникаций (определяют из проекта), м3;

Р1, Р2 - давление на входе и выходе нагнетателя, МПа;

Т1, Т2 - температура газа на входе и выходе нагнетателя, К;

Z1, Z2 - коэффициент сжимаемости газа при Р1, Т1 и Р2, Т2.

5.12.3 Расход газа на установках очистки включает в себя стравливание газа из коммуникаций и аппаратов (пылеуловителей, фильтров и др.) и их продувку. Количество газа, расходуемого при продувке установок очистки Qпр, принимается равным 240 м3 при рабочем давлении в газопроводе 5,6 МПа [7]. Расчет произведен при следующих условиях: расход при продувке - 8 м3/с; время продувки - 30 с; давление - 5,6 МПа; продувку осуществляют одновременно из всех аппаратов установки очистки через общий коллектор. Пересчет количества газа при другом давлении Qпр, м3, производят по формуле

.                                                                                                         (5.17)

5.12.4 Годовой расход природного газа по компрессорному цеху Qкц, м3, определяют по [7]:

,                                                              (5.18)

где n - число работающих ГПА в цехе;

Кn - наработка на 1 пуск-остановку, ч (принимают Кn = 250 ч по среднестатистическим данным парка газотурбинных ГПА).

5.13 При регенерации или замене адсорбента в адсорберах производят сбрасывание газа из аппарата на факел или свечу.

Величину расхода газа, связанную с регенерацией и заменой адсорбента в одном адсорбере, Qрег, м3, определяют по РД 51-120:

,                                                                                         (5.19)

где Р'н  - абсолютное давление в адсорбере, при котором начинается сброс на факел или свечу, МПа;

Vад - объем адсорбера, заполненный рабочим продуктом, м3, определяемый по формуле

,                                                                                                           (5.20)

где V - геометрический объем адсорбера, м3;

V'ад - истинный объем адсорбента, м3;

Т'н - температура в аппарате в начале сброса на факел или на свечу, К;

Zн - коэффициент сжимаемости газообразного продукта при Р'н и Т'н.

5.14 Расход газа при заправке и работе метанольного устройства Qм, м3, ориентировочно определяют по [4]:

,                                                                                                     (5.21)

где Vм - геометрическая емкость одной метанольницы, м3;

Рм - давление газа при работе метанольницы, кг/см2.

6 Газ на факельные устройства

6.1 Расход газа на эксплуатацию факела определяют расчетом или принимают в соответствии с технологическим регламентом.

Расход газа на факел Qф, м3, определяют по формуле

,                                                                                                     (6.1)

где Qзат - объем затворного (продувочного) газа, подаваемого в факельную систему для предотвращения попадания в нее воздуха, м3;

Qгор - объем газа, подаваемого на дежурные горелки, м3.

6.1.1 Расход затворного газа за расчетный период Qзат, м3, рассчитывают по формуле

,                                                                                                 (6.2)

где w - скорость движения газа, м/с;

F - площадь выходного сечения факельного ствола, м2;

τ - время работы факела, ч.

Скорость движения газа по РД 51-120 и ПБ 09-12 зависит от конструкции факела и должна быть:

≥0,05 м/с - для факелов с лабиринтным уплотнением (с газовым затвором);

не менее 1,0 м/с - для факелов без лабиринтного уплотнения.

6.1.2 Расход газа на горелки за расчетный период Qгор, м3, определяют по формуле

,                                                                                                        (6.3)

где V - расход газа на одну дежурную горелку, м3/ч;

nг - число горелок;

τ - время работы, ч.

Расход газа на одну горелку приводится в техдокументации и зависит от типа горелок. При отсутствии этих данных расход газа на обычную горелку принимают равным 2,2-5 м3/ч. Согласно ПБ 09-12, число горелок определяют по таблице 6.1.

Таблица 6.1 - Количество горелок на факелах различного диаметра

Диаметр факельного оголовка, мм

10-250

300-550

600-1000

1100-1600

Более 1600

Число горелок, шт.

1 и более

Не менее 2

Не менее 3

Не менее 4

Не менее 5

Для факелов, разработанных ТатНИИнефтемашем для объектов газовой промышленности, расход газа на факельную установку определяют по таблице 6.2.

Таблица 6.2 - Расход газа на факел постоянного горения

Диаметр факельной трубы, мм

Количество газа, подаваемого в факельную систему, м3

Количество горелок, шт.

затворный газ

газ на горелку

200

8

2,2

1

300

15

4,4

2

500

50

4,4

2

800

160

8,8

4

1000

320

8,8

4

1200

500

60

1*

1400

650

60

1*

* Кольцевая горелка

7 Уменьшение объема газа за счет извлечения из него целевых и попутных компонентов

7.1 При извлечении тяжелых углеводородов с получением товарного газового конденсата объем обрабатываемого на ГДП газа уменьшается на величину Qк, млн.м3, равную

,                                                                                                     (7.1)

где Gтк - количество получаемого на ГДП товарного конденсата за расчетный период, тыс.т;

Мтк - молекулярный вес товарного конденсата, кг/кмоль;

24,04 - объем одного киломоля газа при стандартных условиях, м3/кмоль.

Количество товарного конденсата за расчетный период определяется замером его или расчетным путем, используя различные программные комплексы: Комфорт-Модельгаз (Россия), NTSK-1 (Россия), PROVISION (США), HYSIM (Канада) и др.

Расчет нормативной величины Qк проводят для проектных или регламентных режимов работы установок получения газового конденсата на основе текущего состава пластового газа при нормативных (паспортных) значениях уноса жидкой фазы из газоразделительных аппаратов.

7.2 При наличии в добываемом газе неуглеводородных компонентов (сероводород, двуокись углерода, меркаптаны и др.) в состав ГДП может входить одна или несколько установок очистки газа от этих примесей, в результате чего объем товарного газа уменьшается на величину объема извлекаемых компонентов. Расход газа, связанный с извлечением примесей (так называемое "оседание") на одной установке очистки Qип, млн.м3, рассчитывается по формуле

,                                                                                                (7.2)

где Q - объем газа, поступающего на установку очистки за расчетный период, млн.м3;

ΣСп - суммарное содержание извлеченных из газа примесей, % от объема газа, поступающего на очистку.

8 Газ, выделяющийся при промысловой обработке газового конденсата

8.1 При стабилизации получаемого на промысле газового конденсата происходит выделение из него газообразных легких углеводородов, использование которых зависит от схемы и параметров стабилизации.

8.1.1 Утилизацию газов по ГОСТ 51379* и ГОСТ 51380** необходимо осуществлять "при условии достижения экономически оправданной эффективности использования их при существующем уровне развития техники и технологий и соблюдения требований к охране окружающей среды". Газы стабилизации, образующиеся при стабилизации конденсата в ректификационных колоннах при давлении более 1,0 МПа, подают, как правило, в общий поток высоконапорного газа с помощью компрессоров, эжекторов или в топливную сеть, и поэтому они не включаются в общую величину расхода газа на технологические нужды.

8.1.2 Низконапорный газ дегазации нестабильного конденсата и нефтяной газ относят к расходу газа на собственные технологические нужды.

8.1.3 Количество газа, образующегося при дегазации (разгазировании) нестабильного конденсата при открытой и полузакрытой системах стабилизации конденсата за расчетный период Qдег, тыс.м3, определяют по РД 51-31323949-05:

,                                                                                                           (8.1)

где Gк - количество стабильного (или условно стабильного) конденсата, полученного в результате дегазации (разгазирования) нестабильного конденсата в течение расчетного периода, тыс.т;

N - газовый фактор, т.е. количество газа дегазации, выделяющегося при получении 1 т стабильного (или условно стабильного) конденсата, м3/т.

8.2 Газовый фактор N определяют на основании термодинамических расчетов или экспериментально [1, 3] в результате разгазирования и анализа пробы сырого (нестабильного) конденсата, отобранного при промысловых параметрах подготовки.

9 Газ выветривания (дегазации) жидкостей

9.1 Природный газ в той или иной степени растворяется в жидкостях, используемых или образующихся в процессах промысловой обработки газа: химические реагенты, применяемые на промысловых установках (метанол, гликоли и др.), конденсационная и пластовая вода. Растворимость газа в жидкостях зависит как от состава газа и жидкости, так и от параметров контакта газа с жидкостью.

9.2 При сбросе пластовой (конденсационной) воды и регенерации жидких химических реагентов (метанол, гликоли и др.) в процессе их выветривания (дегазации) выделяется газ, количество которого за расчетный период Qвж, м3, определяют по формуле

,                                                                                                         (9.1)

где Vж - объем жидкости, подвергаемой выветриванию (дегазации), м3/ч;

r - растворимость газа в жидкости при условиях дегазации, м33 жидкости;

τ - продолжительность расчетного периода, ч.

Растворимость газа в воде, растворах гликолей-осушителей и в растворах метанола зависит от конкретных условий месторождения и может быть определена с помощью термодинамических расчетов или экспериментально; в отдельных случаях допускают использование эмпирических формул.

9.3 Расход газа при выветривании пластовой и конденсационной воды складывается из газа, выделяющегося из воды в процессе выветривания и сбрасываемого на факел, и газа, растворенного в воде, которую сбрасывают в канализацию.

9.3.1 Расход газа с пластовой водой, сбрасываемой из выветривателя в канализацию Qв, м3, определяют исходя из растворимости газа в пластовой воде при атмосферном давлении. Растворимость газа в пластовой (конденсационной) воде зависит от ее температуры, давления и содержания солей. При отсутствии экспериментальных данных о растворимости газа в воде по конкретному месторождению расход газа определяют исходя из растворимости газа в дистиллированной воде при атмосферном давлении (считая на 100-процентное содержание метана) по [1, 7]:

,                                                                                                    (9.2)

где Vв - объем пластовой воды, сбрасываемый в канализацию за расчетный период, м3;

r1 - растворимость газа в дистиллированной воде, определяемая по таблице 9.1, м33;

к - коэффициент Сеченова, учитывающий изменение растворимости газа в присутствии солей (коэффициент высаливания), определяемый по таблице 9.2;

с - концентрация солей в пластовой воде, г-экв/л.

Таблица 9.1 - Растворимость газов в дистиллированной воде при нормальном давлении и различных температурах

Газ

0 °С

20 °С

40 °С

60 °С

Метан

0,05563

0,03376

0,02369

0,01954

Этан

0,09874

0,04724

0,02915

0,02177

Пропан

-

0,03940

-

-

Норм. бутан

-

0,03270

-

-

Двуокись углерода

1,71300

0,87800

0,53000

0,35900

Сероводород

4,67000

2,58200

1,66000

1,19000

Таблица 9.2 - Коэффициенты Сеченова для метана, растворенного в водных растворах хлористого натрия

Температура, °С

Коэффициент Сеченова

0

0,165

20

0,141

40

0,127

60

0,119

80

0,116

100

0,116

9.3.2 Расход газа, выделяющегося из воды в процессе выветривания и направляемого на факел, Q'вж, м3, определяют исходя из разности растворимостей газа в воде при давлении перед выветривателем (Рраб, МПа) и после него (Р = 0,1 МПа) по формуле

,                                                                                         (9.3)

где V'в - объем пластовой воды, направляемой на выветривание за расчетный период, м3;

r1 - растворимость газа в дистиллированной воде при атмосферном давлении, определяемая по таблице 9.1 [7], м33;

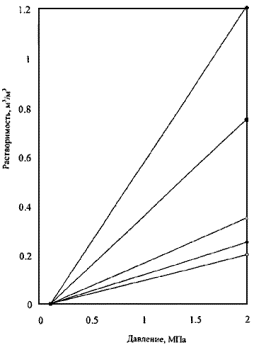
r2 - растворимость газа в дистиллированной воде при давлении, соответствующем давлению газа перед выветривателем (Рраб), определяемая по рисунку 9.1. [1] и по таблице 9.3 [1] с соответствующей экстраполяцией или интерполяцией, м33;

к - коэффициент Сеченова, определяемый по таблице 9.2 [8];

с - концентрация солей в воде, г-экв/л.

 3,5 МПа

 7 МПа

 10,5 МПа

 

 14 МПа

 17,5 МПа

 

Рисунок 9.1 - Зависимость растворимости природного газа в пресной воде от температуры при различных давлениях

Таблица 9.3 - Изменение растворимости некоторых углеводородных газов от давления при 40 °С

Наименование газа

2,5 МПа

5,0 МПа

7,5 МПа

10,0 МПа

Метан

0,60

1,10

1,52

1,95

Этан

0,57

0,87

0,97

1,00

9.4 Количество газа, выделяющегося при регенерации метанола, рассчитывают по формуле (9.1). При этом растворимость газа в метанольном растворе, поступающем на регенерацию, определяют экспериментально. Для оценочных расчетов растворимость природного газа в водном растворе метанола можно принимать по [9]:

- для бессернистых газов rм = 2,5÷3,5 м33;

- для сероводородсодержащих газов rм = 3÷5 м33.

Растворимость нефтяного газа в водном растворе метанола определяют экспериментально или по РД 39-108 по рисункам 9.2 и 9.3.

 100%

 90%

 80%

 70%

 60%

 50%

Рисунок 9.2 - Зависимость растворимости нефтяного газа в обводненном метаноле от давления и концентрации метанола при температуре 20 °С

 100%

 90%

 80%

 70%

 60%

Рисунок 9.3 - Зависимость растворимости нефтяного газа в обводненном метаноле от давления и концентрации метанола при температуре 50 °С

9.5 В процессе регенерации гликолей осуществляют предварительное разгазирование насыщенного раствора при давлении 0,4÷0,6 МПа.

Выделившийся при этом давлении газ, как правило, используют на местные нужды, а оставшийся в растворе - сбрасывают на факел. Потери газа, сбрасываемого при регенерации, определяют по формуле (9.1), причем величину "r" принимают при давлении 0,4÷0,6 МПа.

9.5.1 Растворимость бессернистого природного газа в растворе ДЭГа rДЭГ, м33 , определяют по эмпирической формуле [10]:

,                                                                                                               (9.4)

где Р - давление, кгс/см2;

А - коэффициент, зависящий от температуры и концентрации ДЭГа, определяют по формуле

                           (9.5)

где С - концентрация ДЭГа, % масс;

Т - температура, °С.

Кроме того, растворимость бессернистого газа в растворах ДЭГа можно определять по графикам 9.4-9.6, рассчитанным по формуле (9.4).

00%

 95%

 85%

 80%

 75%

 70%

 

 100%

 95%

 85%

 80%

 75%

 70%

____________ при температуре 10 °С;

------------------ при температуре 20 °С.

Рисунок 9.4 - Зависимость растворимости газа в растворах ДЭГа от давления при различных концентрациях и температурах 10 °С и 20 °С

 

 95%

  85%

 80%

 75%

 70%

 

 100%

  95%

 85%

 80%

 75%

  70%

____________ при температуре 30 °С;

------------------ при температуре 40 °С.

Рисунок 9.5 - Зависимость растворимости газа в растворах ДЭГа от давления при различных концентрациях и температурах 30 °С и 40 °С

     

 100%

 95%

  85%

 80%

 75%

 70%

 

 100%

  95%

 85%

 80%

 75%

  70%

____________ при температуре 50 °С;

------------------ при температуре 60 °С.

Рисунок 9.6 - Зависимость растворимости газа в растворах ДЭГа от давления при различных концентрациях и температурах 50 °С и 60 °С

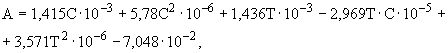
9.5.2 Растворимость сернистого (типа оренбургского) газа в растворах ДЭГа rсДЭГ, м33, определяют по эмпирической формуле [11]

,                                                                                              (9.6)

где Т - температура дегазации, °С.

Значения "" и "" определяют по формулам

,                                                                    (9.7)

,                                                                           (9.8)

где С - концентрация ДЭГа, % масс;

Р - давление дегазации, кг/см2.

10 Расход газа на прочие технологические нужды (при отборе проб, обслуживании предохранительных клапанов, КИП и средств автоматизации, обследовании оборудования)

10.1 Расход газа при осуществлении отбора проб складывается из объема самих проб и затрат газа на продувку пробоотборного штуцера и пробоотборника. К этому расходу добавляют расход газа при обслуживании КИП, представляющий собой затраты на продувку, проводимую согласно инструкции по обслуживанию приборов для обеспечения их нормальной работы [12].

Расход газа при эксплуатации КИП, систем автоматизации и телемеханики определяют по паспортным данным заводов-изготовителей, а при их отсутствии - по опытным данным, на основе замеров по 4-5 однотипным приборам и устройствам [13].

10.2 Для определения соответствия технологического оборудования требованиям стандарта, оценки технического уровня эксплуатируемого оборудования и проведения исследовательских работ на промысле периодически проводят испытания оборудования (технологической нитки или комплекса). Испытания газосепараторов осуществляют в соответствии с [14].

Расход газа (продувка пробоотборной трубки газом, сброс газа с замерного устройства в атмосферу и т.д.) суммируют за весь период испытания оборудования (комплекса).

10.3 Расход газа на проверку работоспособности предохранительного клапана Qпк, м3, по РД 39-108 определяют по формуле

,                                                                       (10.1)

где Fкл - площадь сечения клапана, м2;

Ккл - коэффициент расхода газа клапаном (паспортные данные);

Р - рабочее давление, МПа;

Z - коэффициент сжимаемости газа;

Т - рабочая температура, К;

τкл - время срабатывания предохранительного клапана, с;

n - количество проверок предохранительного клапана за расчетный период.

11 Утечки газа за счет негерметичности уплотнений оборудования и коммуникаций

11.1 Из газопроводов и аппаратов, работающих под давлением, происходят утечки газа через неплотности, связанные с невозможностью достижения на практике абсолютной герметичности соединений оборудования, трубопроводов, арматуры.

Источниками утечек через неплотности являются:

- уплотнения неподвижные фланцевого типа, т.е. фланцы трубопроводов и арматуры, уплотнения крышек люков, лазов и т.п.;

- уплотнения запорно-регулирующей арматуры, т.е. уплотнения штоков и валов регулирующих клапанов, заслонок и задвижек;

- уплотнения подвижные, т.е. уплотнения вращающихся валов компрессоров.

Среднестатистические величины утечек через одно уплотнение для аппаратов (агрегатов) различных типов, а также долю уплотнений, потерявших герметичность в ходе эксплуатации, определяют по РД 39-142; для парогазовых смесей эти величины представлены в таблице 11.1.

Таблица 11.1 - Утечки парогазовых смесей через подвижные и неподвижные соединения

Наименование оборудования

Расчетная величина утечки - А, кг/ч

Расчетная доля уплотнений, потерявших свою герметичность, доли (общее число уплотнений данного типа принято за 1) - а

Фланцевые соединения

0,00073

0,030

Запорно-регулирующая арматура

0,02100

0,293

Предохранительные клапаны

0,13600

0,460

Уплотнения центробежного компрессора*

0,12000

0,765

Уплотнения поршневого компрессора

0,11500

0,700

* Примечание: Утечки через уплотнения валов детандеров приравниваются к аналогичным величинам для компрессоров.

11.2 При расчете и монтаже фланцев, согласно требованиям соответствующих ГОСТов и правил эксплуатации, утечка газа через фланцевые соединения невозможна или пренебрежительно мала. При нарушении правил расчета, изготовления, монтажа и эксплуатации возможна утечка газа через неподвижные уплотнения фланцевого типа, величину которой для одного аппарата за расчетный период Qфл, тыс.м3, определяют по формуле

,                                                                                             (11.1)

где А - величина утечки газового потока через одно неподвижное уплотнение фланцевого типа, кг/ч, определяемая по таблице 11.1;

n - количество фланцев, люков и др. неподвижных соединений в аппарате;

τ - продолжительность работы аппарата в году в течение расчетного периода, ч;

а - доля уплотнений, потерявших герметичность, определяемая по таблице 11.1;

ρг - плотность газа при стандартных условиях, кг/м3.

11.3 Утечки газа от запорно-регулирующей арматуры могут происходить через фланцевые соединения арматуры с трубопроводом или штуцером технологического аппарата, через фланцевые уплотнения вала исполнительного механизма задвижки, клапана, крана, через разъемные соединения конструкции запорно-регулирующей арматуры (например, крышки корпуса задвижки) и т.д.

Утечки газа через фланцевые соединения запорно-регулирующей арматуры рассчитывают, используя среднестатистические данные величин утечек газа и доли негерметичности неподвижных уплотнений фланцевого типа по таблице 11.1. В случае сильфонного уплотнения вала задвижки (клапана) эти утечки равны нулю.

В целом расход газа за счет утечек через сальники и уплотнения запорно-регулирующей арматуры за расчетный период Qарм, тыс.м3, определяют по РД 39-108:

 ,                                                                                  (11.2)

где А - величина утечки газа для фланцевых соединений и сальниковых уплотнений, кг/ч, определяемая по таблице 11.1;

n1 - количество единиц запорной арматуры;

n2 - количество фланцев на одном запорном устройстве;

τ, а, ρг - см. пояснение к формуле (11.1).

11.4 Утечки газа через подвижные уплотнения штоков арматуры и валов центробежных компрессоров и поршневых компрессоров какой-либо нормативно-технической документацией не оговорены; величина утечки определяется степенью износа и качеством обслуживания.

Расход газа за счет утечки через уплотнения компрессоров за расчетный период Qк, тыс.м3, определяют по РД 39-108:

,                                                                                          (11.3)

где Ак - величина утечки газа на один рабочий компрессор, кг/ч, определяемая по таблице 11.1 в зависимости от типа компрессора;

nк - количество компрессоров одного типа;

τ, а, ρг - см. пояснение к формуле (11.1).

11.5 Общую величину утечек газа через неплотности определяют суммированием утечек, рассчитанных для отдельных аппаратов и трубопроводов.

12 Топливный газ на компримирование на ДКС, ХС и СОГ

12.1 Расход топливного газа на компримирование газа в расчетный период времени для компрессорных цехов ДКС, использующих газотурбинные ГПА, Qдкстг, м3, определяют по [15]:

,                                                                                               (12.1)

где Нотг - индивидуальная норма расхода топливного газа на 1 кВт·ч работы сжатия, определяемая по таблице 12.1, кг у.т./кВт·ч;

Кк - коэффициент коррекции, учитывающий конкретные условия работы ГПА;

Lдксg - работа сжатия ДКС, кВт·ч.

Таблица 12.1 - Индивидуальные нормы расхода топливного газа на 1 кВт·ч политропной работы сжатия КЦ

Тип ГПА

Нотг, кг у.т./кВт·ч

ГТ-6-750, ГТН-6

0,771

ГПА-Ц-6,3

0,780

ГПА-Ц-6,3 Б (8,0 МВт)

0,591

ГПУ-16

0,619

ГПА-Ц-16

0,632

ГПА-Ц-16С

0,511

ГПА-Ц-18

0,559

ГПА-16УРАЛ

0,467

12.1.1 Индивидуальные нормы расхода топливного газа Нотг для различных типов газотурбинных ГПА, приведенные в таблице 12.1, определены для следующих условий:

- КПД газотурбинных установок приняты с учетом поправок на допуски, нормативное отклонение от оптимума и других эксплуатационных факторов;

- номинальные атмосферные условия - по техническим условиям ГПА.

12.1.2 Коэффициент коррекции Кк определяют как произведение безразмерных коэффициентов

,                                                                                       (12.2)

где Катм - коэффициент, учитывающий влияние атмосферных условий и нормируемый уровень загрузки ГПА, определяют по формуле

,                                                                                 (12.3)

где tатм - средняя температура атмосферного воздуха за планируемый период, °С;

Ку - коэффициент, учитывающий влияние условий эксплуатации котлов-утилизаторов, определяют по формуле

,                                                                                                  (12.4)

где nут/nр - доля агрегатов с котлами-утилизаторами nут от общего числа работающих в цехе агрегатов nр;

Кдкс - коэффициент, учитывающий изменение КПД компрессора и определяемый по формуле

,                                                                                            (12.5)

где τ1 - время работы ДКС по данной технологической схеме (период нормирования), год, квартал и т.д.;

τобщ - общий запланированный период работы ДКС по данной технологической схеме, год, квартал и т.д.;

Ктс - коэффициент калорийности, учитывающий отклонение фактической теплоты сгорания природного газа от расчетной, определяемой по формуле

,                                                                                                               (12.6)

где gнф - фактическая низшая теплота сгорания природного газа, ккал/м3.

12.1.3 Работу сжатия ДКС за расчетный период, Lдксп, кВт·ч, определяют по формуле

,                                                                           (12.7)

где Z1 - коэффициент сжимаемости газа на входе в компрессор;

Т1 - температура газа на входе в компрессор, К;

Q - объем газа, перекачиваемый за расчетный период, млн.м3 (при 293 К и 0,1013 МПа);

εкц - степень сжатия компрессорного цеха, равная отношению среднего абсолютного давления на выходе компрессора к среднему абсолютному давлению его на входе.

Значения Z1, Т1, Q и εкц, принимают по результатам расчета планового режима работы компрессорного цеха.

12.2 Для обеспечения необходимых условий транспортирования природного газа в районах Крайнего Севера используют станции охлаждения газа (СОГ), которые обычно работают 4 месяца в летний период. Расход топливного газа на компримирование холодильного агента в расчетный период времени для СОГ, использующих газотурбинный привод, Qсог, м3, определяют по формуле

,                                                                                                (12.8)

где Нотг - индивидуальная норма расхода топливного газа на 1 кВт·ч работы сжатия, м3/кВт·ч;

Кк - безразмерный коэффициент коррекции, учитывающий конкретные условия работы компрессора;

Lсогn - работа сжатия холодильного компрессора, кВт·ч.

Значения индивидуальной нормы расхода топливного газа для СОГ Нотг приведено в таблице 12.2 в кг у.т./кВт·ч. Пересчет Нотг в м3/кВт·ч осуществляют с учетом низшей теплоты сгорания топливного газа, выраженной в ккал/м3, принимая следующий эквивалент: 7000 ккал = 1 кг у.т.

12.2.1 Индивидуальные нормы Нотг, приведенные в таблице 12.2, определены для следующих условий:

- КПД газотурбинных приводов и центробежных компрессоров приняты с учетом поправок на допуски, нормативное отклонение от оптимума и других эксплуатационных факторов;

- номинальные атмосферные условия - по техническим условиям ГПА.

Таблица 12.2 - Индивидуальные нормы расхода топливного газа газотурбинного привода холодильных компрессоров Нотг, кг у.т./кВт·ч

Тип газотурбинного привода

Нотг

Н К 14СТ (холодильный агент пропан-бутан, СОГ-1, СОГ-3)

0,693

Испано Сюиза, ТНМ 1203 (холодильный агент пропан, СО1-СО6)*

0,512

* "Проект Уренгой. Станции охлаждения. Окончательное техническое предложение", том 1, "Крезо-Луар", "Софрегаз"

12.2.2 Коэффициент коррекции Кк определяют как произведение безразмерных коэффициентов по формуле

,                                                                                                (12.9)

где Катм - см. пояснения к формуле (12.3);

Ктс - см. пояснения к формуле (12.5);

КN - коэффициент, учитывающий влияние относительной загрузки ГПА, определяют по формуле

,                                                                                                                   (12.10)

где τр - время работы СОГ в расчетный период времени, квартал, месяц, день;

τ - время нормирования, квартал, месяц, день.

12.2.3 Работу сжатия холодильного компрессора, Lсог, кВт·ч, рассчитывают по формуле (12.11) для пропан-бутанового компрессора и по формуле (12.12) - для пропанового компрессора:

,                                                           (12.11)

                                                           (12.12)

где к - показатель адиабаты (для пропан-бутана к = 1,142, для пропана к = 1,14);

Z1 - коэффициент сжимаемости на входе в компрессор;

Z2 - коэффициент сжимаемости на входе во вторую ступень компрессора (для пропана);

R - газовая постоянная, кДж/кг·К (для пропан-бутана R = 0,1676, для пропана R = 0,189);

Твх1 - температура на входе в первую ступень, К;

Твх2 - температура на входе во вторую ступень (для пропана), К;

ε - степень сжатия, равная отношению среднего абсолютного давления на выходе компрессора к среднему абсолютному давлению на входе в компрессор;

ε1 - степень сжатия во второй ступени компрессора, равная отношению среднего абсолютного давления на выходе компрессора к среднему абсолютному давлению на входе во вторую ступень компрессора (для пропана);

ηад - адиабатный КПД компрессора (для пропан-бутана ηад = 0,7, для пропана ηад = 0,8);

Gха - расход холодильного агента, кг/ч, определяемый по формуле

,                                                                                                       (12.13)

где Q0 - холодопроизводительность СОГ, кдж/ч, определяемая по формуле

;                                                                                          (12.14)

Gпг - расход охлаждаемого природного газа, кг/ч;

ср - теплоемкость природного газа, кДж/кг·град;

Т1 - температура природного газа на входе в СОГ, °С;

Т2 - температура природного газа на выходе СОГ, °С;

С - массовая доля жидкой фазы после дросселя (для пропан-бутана С = 0,955, для пропана С = 0,91);

r - теплота испарения холодильного агента, кДж/кг, определяемая для пропан-бутана по формуле (12.15), а для пропана - по формуле (12.16):

;                                                                                                     (12.15)

,                                                                                               (12.16)

где Р - давление кипящего в испарителе холодильного агента;

Δх - теплота перегрева холодильного агента, кДж/кг, (для пропан-бутана Δх = 16,8; для пропана Δх = 0).

13 Топливный газ на производство тепловой энергии промысловыми котельными

Объем топливного газа, необходимого для выработки тепловой энергии промысловыми котельными, зависит от типа, количества и производительности котлов, установленных на промысловых объектах. Расход топливного газа на работу одного котла в течение расчетного времени Qктг, м3, определяют по РД 015900-102:

,                                                                                                    (13.1)

где b - производительность котла по пару, т/ч;

q - количество тепла, затрачиваемое на выработку 1 т пара, Гкал/т (данные технического паспорта);

Нтг - индивидуальная норма расхода топливного газа на выработку 1 Гкал тепла, кг у.т./Гкал (данные технического паспорта);

τ - время работы котла за расчетный период, ч;

Кэ - калорийный эквивалент для пересчета теплоты сгорания топливного газа, выраженного в м3, в условное топливо, выраженное в кг у.т. и обратно, кг у.т./м3, рассчитываемый по формуле

,                                                                                                                    (13.2)

где qн - низшая теплота сгорания топливного газа, ккал/м3;

qнр - низшая теплота сгорания условного топлива, равная 7000 ккал/кг у.т.

14 Топливный газ на выработку электроэнергии

Нормативную потребность в топливном газе на выработку электроэнергии на электростанциях собственных нужд (далее - ЭСН) qэснтг, тыс.м3, определяют по [15]:

,                                                                           (14.1)

где Noэсн  - отраслевой норматив располагаемой мощности электроагрегатов, определяемый по таблице 14.1, кВт;

Нэснг - индивидуальная норма расхода топливного газа на выработку электроэнергии на ЭСН, представленная для различных типов агрегатов в таблице 14.1, м3/ кВт·ч;

n - количество электроагрегатов;

τ - время работы ЭСН в расчетный период, ч;

Кз - безразмерный поправочный коэффициент, определяемый по формуле

,                                                                                                       (14.2)

где Ка - коэффициент, учитывающий влияние атмосферных условий и принимаемый по таблице 14.2;

Кн - коэффициент, учитывающий наработку агрегатов с начала эксплуатации и определяемый по таблице 14.3.

Таблица 14.1 - Индивидуальные нормы расхода топливного газа на выработку электроэнергии для различных агрегатов [16, 17]

Тип агрегата

Номинальная мощность, кВт

Отраслевой норматив располагаемой мощности, Noэск (0,1013 МПа, 15 °С), кВт

Индивидуальная норма расхода топливного газа на выработку электроэнергии на ЭСН, Нэснг, кг у.т./ кВт·ч

Газотурбинные

ПГТЭС-1500-2Г

1500

1200

0,61

ГТУ-2,5П

2500

2000

0,59

ПАЭС-2500М

2500

2000

0,59

ГТЭС-2,5

2500

2000

0,44

ЭГ-2500

2500

2000

0,44

ГТЭС-4

4000

3200

0,53

ЭГ-6000

6000

4800

0,41

БГТЭС-9,5

9500

7600

0,39

ГТЭС-12

12000

9600

0,37

ЭМ-16-25

16000

12800

0,36

ГТЭ-25У

29700

23760

0,33

Поршневые

АСГД-500

500

400

0,30

ЭГ-500

500

400

0,36

ДГ-98М

1000

800

0,39

Таблица 14.2 - Значение коэффициента Ка в зависимости от температуры наружного воздуха

tатм, °C

40

30

25

20

15

10

5

0

-5

-10

-15

-20

-25

-30

Ка

1,063

1,052

1,047

1,042

1,037

1,032

1,027

1,022

1,017

1,012

1,007

1,002

0,988

0,982

Таблица 14.3 - Значение коэффициента Кн в зависимости от наработки агрегата

Тип агрегата

Наработка агрегата с начала эксплуатации, тыс.ч

До 15

от 15 до 30

свыше 30

ГТЭС-1500-2Г

1,0

1,02

1,05

ГТУ-2,5П

 

 

 

ПАЭС-2500М

 

 

 

ГТЭС-2,5

 

 

 

ГТЭС-4

 

 

 

ЭГ-6000

 

 

 

БГТЭС-9,5

 

 

 

ГТЭС-12

 

 

 

ЭМ-20-25

 

 

 

ЭМ-16-25

 

 

 

15 Топливный газ на нагрев жидких, твердых и газообразных продуктов

На ГДП производится подогрев добываемого газа в устьевых подогревателях, газового конденсата при транспорте, подготовке и переработке, насыщенных растворов ингибиторов гидратообразования и абсорбентов и т.д. (см. Приложение А).

Расход сжигаемого в топливопотребляющих агрегатах (далее - ТПА) топливного газа можно определять двумя способами:

- по расчету тепловых нагрузок, т.е. по количеству полезного тепла, передаваемого продукту при осуществлении постоянных замеров параметров нагреваемого продукта (расход, температура и т.д.);

- по установленной мощности или производительности ТПА, работающего в номинальном режиме, когда нагревается номинальное количество продукта при заданной разности температур, используя данные технического паспорта ТПА.

15.1 Расчет объема топливного газа, необходимого для нагрева какого-либо продукта в расчетный период времени, Qт, м3, производят по формуле

,                                                                                                               (15.1)

где Qп - полезное количество тепла, передаваемое продукту, Гкал;

qн - низшая теплота сгорания топливного газа, Гкал/м3;

η - коэффициент полезного действия ТПА.

Полезное количество тепла, необходимое для нагрева продукта, Qп, Гкал, рассчитывают по формуле

,                                                                                               (15.2)

где G - расход продукта, кг/ч;

Н1 - теплосодержание продукта на входе в ТПА, Гкал/кг;

Н2 - теплосодержание продукта на выходе из ТПА, Гкал/кг;

τ - время нагрева продукта в расчетный период, ч.

Полезное количество тепла, необходимое для нагрева газообразного продукта (например, газа регенерации адсорбционных установок) в расчетный период Qгп, Гкал, можно определять по формуле

где М - молекулярная масса продукта, кг/кмоль;

Qгр - расход нагреваемого продукта, м3/ч;

Ср - средняя удельная теплоемкость продукта при рабочем давлении в интервале температур от Т2 до Т1, Гкал/кг·К;

Т1, Т2 - температура продукта на входе и выходе из ТПА, К;

τ - время нагрева продукта в расчетный период, ч;

24,04 - объем одного киломоля газа при стандартных условиях, м3/кмоль.

15.2 Расход топливного газа для нагрева какого-либо продукта за расчетный период, Qт, м3, можно определить исходя из номинальной производительности ТПА по топливному газу, по РД 015900-102:

,                                                                                                                   (15.4)

где q - расход топливного газа на одном ТПА, (принимают по данным технического паспорта ТПА), м3/ч;

τ - время работы ТПА за расчетный период, ч.

16 Порядок расчета норм расхода на собственные технологические нужды ГДП

16.1 В качестве исходной информации для расчета норм расхода газа на собственные технологические нужды ГДП принимают:

- план добычи газа на планируемый период (в целом и по каждому месторождению, если их несколько);

- параметры добываемого газа (состав, давление и т.д.);

- проектные или регламентируемые показатели режима работы газопромысловых объектов;

- показатели технического состояния газопромысловых объектов;

- план ввода (вывода) в эксплуатацию газопромысловых объектов в планируемом периоде;

- план проведения планово-предупредительных ремонтов по объектам ГДП;

- план организационно-технических мероприятий по сокращению потребления газа.

16.2 Порядок расчета норм расхода газа на собственные технологические нужды ГДП за расчетный период:

- по данному РД определяют нормативный расход газа для каждой статьи расхода;

- суммированием расхода газа по всем статьям определяют величину нормативного расхода (потребления) газа для ГДП в целом;

- делением величины нормативного расхода (потребления) газа для ГДП за расчетный период на объем валовой добычи газа ГДП за тот же период определяют норму расхода газа на собственные технологические нужды ГДП, м3/тыс.м3.

16.3 Нормативный расход (потребность) газа и норма расхода газа на собственные технологические нужды одного ГДП колеблются в процессе разработки месторождения в связи с постоянным изменением параметров добываемого газа, вводом в эксплуатацию дополнительных объектов (прежде всего - холодильных и дожимных компрессорных станций), снижением загрузки технологических объектов, периодичностью проведения планово-предупредительных ремонтов и т.д.

ПРИЛОЖЕНИЕ А
(обязательное)

КЛАССИФИКАТОР
статей расхода газа на собственные технологические нужды газодобывающих предприятий

1 Технологические топливные нужды

1.1 На дожимные компрессорные станции (ДКС), газокомпрессионные холодильные станции (ХС) и станции охлаждения газа (СОГ):

- подогрев топливного и пускового газа;

- топливный газ ГПА.

1.2 На выработку тепловой энергии, используемой газопромысловыми объектами, котельными промысла, подогревателями гликоля - теплоносителя и т.д.

1.3 На выработку электроэнергии, используемой газопромысловыми объектами, установленными на промысле электростанциями.

1.4 На устьевые подогреватели.

1.5 Для подогрева:

- газа, газового конденсата и нефти для внутрипромыслового транспорта,

- газового конденсата и нефти при их подготовке и переработке,

- насыщенных растворов абсорбентов и ингибиторов гидратообразования при их регенерации,

- газа регенерации адсорбционных установок,

- воды в резервуарах водоснабжения промысла.

1.6 Для сжигания промстоков.

1.7 Для выработки инертного газа.

2 Технологические нетопливные нужды

2.1 На продувку:

2.1.1 скважин, находящихся на балансе ГДП или принятых ими в аренду:

- при вводе в действие после ожидания подключения,

- после капитального и подземного ремонта,

- при гидрогазодинамических и геофизических исследованиях службами ГДП,

- для прогрева ствола простаивающих скважин как мероприятие от смятия колонн в период ожидания подключения,

- для проверки забойных клапанов-отсекателей,

- для очистки забоя скважин,

- для ликвидации гидратных и жидкостных пробок в стволе скважины;

2.1.2 внутри- и межпромысловых трубопроводов (шлейфов, газовых коллекторов, конденсатопроводов и т.д.) при ликвидации гидратных пробок, производстве планово-предупредительных и текущих ремонтов трубопроводов и установленной на них линейной арматуры, испытании новых газопроводов и т.д.;

2.1.3 агрегатов и аппаратов компрессорных станций (затраты газа, связанные с пусками и остановками ГПА);

2.1.4 аппаратов, емкостей технологических установок при производстве планово-предупредительных и текущих ремонтов, при удалении жидкости и т.д.

2.2 На опорожнение:

- технологических трубопроводов (шлейфов, коллекторов, конденсатопроводов и т.д.),

- аппаратов технологических установок УППГ, УКПГ, ДКС и СОГ.

2.3 На вытеснение воздуха из трубопроводов, аппаратов, технологических линий установок подготовки газа (включая ДКС, ХС и СОГ) после их ремонта.

2.4 Газ выветривания (дегазации) жидкостей:

- нестабильного конденсата и нефти,

- насыщенных растворов абсорбентов и ингибиторов гидратообразования при их регенерации,

- конденсационных (пластовых) вод, сбрасываемых в канализацию.

2.5 На факельные устройства:

- на запальники,

- в качестве затворного газа.

2.6 Газ, расходуемый на работу установок по вводу в скважины и технологические линии ингибитора коррозии, гидратообразования и ПАВ.

2.7 Газ, расходуемый на работу пневмоаппаратуры и пневморегуляторов (при обслуживании КИП и средств автоматизации).

2.8 Газ, расходуемый при осуществлении отбора проб газа и конденсата для аналитического контроля производства и проведения научно-исследовательских работ.

3 Технологические потери газа

3.1 Утечки газа за счет негерметичности уплотнений:

- фланцевых соединений,

- запорно-регулирующей арматуры,

- вращающихся валов компрессоров и др.

ПРИЛОЖЕНИЕ Б
(справочное)

Примеры расчетов

Пример 1.

Расчет нормируемого потребления топливного газа дожимным компрессорным цехом с газотурбинными ГПА, работающими в переменном режиме.

Исходные данные:

- тип агрегата - ГПА-Ц-16;

- число рабочих ГПА - 3;

- тип компрессора (сменной проточной части) - НЦ-16/76-1,7;

- индивидуальная норма расхода топливного газа

 кг у.т./кВт·ч;

- низшая теплота сгорания природного газа - 8000 ккал/м3;

- температура наружного воздуха tатм = +5 °С;

- начальная температура природного газа Т1 = 288 К;

- период работы КЦ τобщ = 5 лет (с первого по пятый годы эксплуатации);

- расчетный период нормирования - одни сутки.

В таблице 1 представлен суточный расход топливного газа по годовым периодам нормирования, рассчитанный по формулам 12.1 - 12.7 при следующих коэффициентах:

;

;

;

;

.

Таблица 1

Периоды нормирования, τ1, годы

Суточная производительность КЦ, Q, млн.м3

Степень сжатия КЦ, ε

Коэффициент

Работа сжатия КЦ, Lкцп, кВт·ч

Суточный расход топливного газа, Vкцп, млн.м3

1

68

1,50

1,30

72,8·104

0,560

2

64

1,55

1,25

74,9·104

0,554

3

60

1,60

1,20

75,2·104

0,534

4

57

1,65

1,15

76,6·104

0,520

5

54

1,70

1,10

77,5·104

0,500

Плановые показатели

Расчетные величины

Пример 2.

Расчет расхода газа при дегазации нестабильного конденсата.

Исходные данные: количество условно стабильного конденсата, полученного в результате дегазации нестабильного конденсата, Gк = 280 т/год, газовый фактор N = 65 м3/т.

Расход газа, получаемого при дегазации конденсата, рассчитывается по формуле (8.1):

 м3/год.

Пример 3.

Расчет расхода газа, направляемого на факел после выветривания пластовых вод, и расхода газа с пластовой водой, сбрасываемой в канализацию.

Исходные данные: объем воды, сбрасываемой в канализацию Vв = 5100 м3/год, растворимость газа в воде r1 = 0,045 м33 (при Т = 10 °С и Р = 0,103 МПа), r2 = 1,18 м33 (при Т = 10 °С и Р = 3,5 МПа), к = 0,153 (при 10 °С), концентрация солей в пластовой воде c = 10 г-экв/л.

Расчет расхода газа с пластовой водой, сбрасываемой в канализацию, производится по формуле (9.2):

 м3/год.

Расход газа, направляемого на факел после выветривания пластовых вод, производится по формуле (9.3):

 м3/год.

Пример 4.

Расчет расхода газа на факел.

Исходные данные: диаметр факельной трубы d = 0,5 м, скорость движения газа W = 1,0 м/с, время работы факела τ = 24 ч, количество горелок nг = 2 шт., количество газа, подаваемого на дежурные горелки, V = 4,4 м3/ч.

Определяют расход затворного газа по формуле (6.2):

 м3.

Определяют суточный расход газа, подаваемого на дежурные горелки, по формуле (6.3):

 м3.

Общий расход газа на факел в течение суток

 м3/сут

или

17161·365=6263765 м3/год (6,3 млн.м3/год).

Пример 5.

Расчет годового расхода газа на заправку метанольных устройств.

Исходные данные: объем одной метанольницы Vм = 40 м3; давление газа при работе метанольницы Рм = 30 кг/см2; количество работающих метанольных устройств nм = 9 шт., количество заправок каждого из метанольных устройств в течение года Км = 48.

По формуле (5.20) определяют расход газа на одну заправку одной метанольницы:

 м3.

С учетом количества метанольниц и числа их заправок в течение года определяют общий расход газа на заправку метанольных устройств:

 м3/год.

Пример 6.

Расчет расхода топливного газа на подогрев теплоносителя.

Исходные данные: На огневых подогревателях теплоносителя установлено по пять горелок с номинальной производительностью 12 м3/ч. Количество подогревателей - 3 шт. Режим работы подогревателя - круглогодичный с месячным ремонтным периодом каждого.

Определяют продолжительность работы огневых подогревателей:

 ч.

Определяют суммарную производительность горелок одного подогревателя:

 м3/ч.

Годовой расход топливного газа на подогрев теплоносителя рассчитывают по формуле (15.4):

 тыс.м3/год.

Пример 7.

Расчет расхода газа на установке сжигания промстоков.

Исходные данные: сжигание промстоков осуществляется в горизонтальных факельных устройствах (ГФУ) с помощью природного газа. Производительность ГФУ достигает 24 м3 промстоков в сутки, расход газа на сжигание 1 м3 промстоков составляет 550 м3 (паспортные данные ГФУ). На одной УКПГ установлено одно ГФУ. Режим работы ГФУ круглосуточный, 365 дней в году. Объем сжигаемых промстоков на одной УКПГ составляет 15 м3 в сутки.

Расчет потребности газа на сжигание промстоков осуществляют по формуле

,

где Qп/ст - расход газа на сжигание промстоков, млн.м3;

в - производительность ГФУ по сжигаемым промстокам, м3/сут;

q - расход газа на сжигание 1 м3 промстоков, м33;

n - количество ГФУ, шт.;

τ - время работы ГФУ, дни.

 тыс.м3/год.

ПРИЛОЖЕНИЕ В
(справочное)

Библиография

1. Гриценко А.И., Алиев З.С., Ермилов О.М. и др. Руководство по исследованию скважин. М.: Наука, 1995. 532 с.

2. Проводникова Н.Г., Кучеров Г.Г. Анализ условий эксплуатации и остановки обводняющихся газоконденсатных скважин и рекомендации по замене лифтовых труб // Вопросы методологии и новых технологий разработки месторождений природного газа. Ч.III. М.: ВНИИГАЗ, 1998. С. 330.

3. Инструкция по комплексному исследованию газовых и газоконденсатных скважин. М.: ВНИИГАЗ, 1971.

4. Временные рекомендации по определению и нормированию технологических затрат газа при эксплуатации промысловых и магистральных газопроводов. Харьков: УКРНИИГАЗ, 1973. 21 с.

5. Щуровский В.А., Синицин Ю.Н., Клубничкин А.К. Анализ состояния и перспектив сокращения затрат природного газа при эксплуатации газотурбинных компрессорных цехов // Обз. инф. Сер. Транспорт и хранение газа. Вып.2. М.: ВНИИЭгазпром, 1982. 59 с.

6. Технологический регламент на проектирование компрессорных станций (раздел "Охрана атмосферного воздуха"). М.: ВНИИГАЗ, 1994.

7. Рябцев Н.К. Природные и искусственные газы. М.: Изд-во литературы по строительству, 1967. 322 с.

8. Намиот А.Ю. Растворимость газов в воде: Справочное пособие. М.: Недра, 1991. 169 с.

9. Инструкция по расчету объемов газа и конденсата, затрачиваемых на технологический процесс промысловой обработки газа. ВНИИГАЗ, 1980.

10. Бородина И.И., Алиев А.Г., Нам Н.К. Растворимость природного газа в диэтиленгликоле и его водных растворах / Труды института. Сер. Геология, разведка и разработка газовых и газоконденсатных месторождений Северного Кавказа. Вып. 1/10. М.: ВНИИЭгазпром, 1976. C.110-114.

11. Хорошилов В.А., Самарин А.А., Бурмистров А.Г. Растворимость оренбургского природного газа в водных растворах диэтиленгликоля // Газовая промышленность. 1974. N 4. С. 41-42.

12. Анализ потерь природного газа и газового конденсата на Оренбургском ГПЗ и пути их сокращения / Ш.А. Шабатаев, Н.В. Руделева, В.И. Хандзель, Т.П. Попруга. Обз. инф. Сер. Подготовка и переработка газа и газового конденсата. Вып.4. М.: ВНИИЭгазпром, 1984.

13. Методические указания по расчету валовых выбросов углеводородов (суммарно) в атмосферу в газовой промышленности. Руководящий нормативный документ. М.: ВНИИГАЗ, 1985.

14. Сепаратор. Программа и методика приемочных испытаний ГП.830.00.000 ПМ. Подольск: ЦКБН, 1986.

15. Инструкция по расчету норм и нормативной потребности в топливе и электроэнергии для транспорта газа. М.: ВНИИГАЗ, 1990. 42 с.

16. Отраслевая методика расчета нормы расхода топлива на выработку 1000 кВт·ч на электростанциях собственных нужд, резервных и аварийных источников объектов газовой промышленности. М.: ВНИИГАЗ, 1983. 17 с.

17. Электроагрегаты с поршневым и газотурбинным приводом, работающие на природном газе, для электростанций малой энергетики. Сборник отраслевых нормативных документов. М.: ВНИИГАЗ, 2000. 257 с.

 

 




ГОСТЫ, СТРОИТЕЛЬНЫЕ и ТЕХНИЧЕСКИЕ НОРМАТИВЫ.
Некоммерческая онлайн система, содержащая все Российские Госты, национальные Стандарты и нормативы.
В Системе содержится более 150000 файлов нормативно-технической документации, действующей на территории РФ.
Система предназначена для широкого круга инженерно-технических специалистов.

Рейтинг@Mail.ru Яндекс цитирования

Copyright © www.gostrf.com, 2008 - 2026