Крупнейшая бесплатная информационно-справочная система онлайн доступа к полному собранию технических нормативно-правовых актов РФ. Огромная база технических нормативов (более 150 тысяч документов) и полное собрание национальных стандартов, аутентичное официальной базе Госстандарта. GOSTRF.com - это более 1 Терабайта бесплатной технической информации для всех пользователей интернета. Все электронные копии представленных здесь документов могут распространяться без каких-либо ограничений. Поощряется распространение информации с этого сайта на любых других ресурсах. Каждый человек имеет право на неограниченный доступ к этим документам! Каждый человек имеет право на знание требований, изложенных в данных нормативно-правовых актах!

  


 

Министерство топлива и энергетики Российской Федерации

НАЦИОНАЛЬНЫЙ НАУЧНЫЙ ЦЕНТР ГОРНОГО ПРОИЗВОДСТВА
ИНСТИТУТ ГОРНОГО ДЕЛА им. А.А. СКОЧИНСКОГО

МЕТОДИКА

расчета вредных выбросов (сбросов) для комплекса
оборудования открытых горных работ
(на основе удельных показателей)

Люберцы 1999

ВВЕДЕНИЕ

Настоящий документ:

разработан с целью создания единой методологической основы по определению выбросов вредных веществ при работе различного оборудования открытых горных разработок;

устанавливает порядок определения массы вредных веществ для комплекса оборудования открытых горных работ расчетным методом на основе удельных показателей выделения;

распространяется на источники выбросов вредных веществ в атмосферу и водоемы от комплекса оборудования открытых горных работ на всю горнорудную промышленность;

применяется предприятиями и территориальными комитетами по охране природы, специализированными организациями, проводящими работы по нормированию выбросов и контролю за соблюдением установленных нормативов ПДВ.

Полученные по настоящему документу результаты используются при учете и нормировании выбросов вредных веществ от комплекса оборудования открытых горных работ, а также в экспертных оценках для определения экологических характеристик оборудования.

содержание

1. ссылки на нормативные документы.

2. термины и определения

3. основные технологические процессы и источники выделения вредных веществ.

4. расчет валовых выбросов вредных веществ (пыли) при буровых работах.

5. расчет валовых выбросов вредных веществ при взрывных работах.

6. расчет валовых выбросов вредных веществ при погрузочно-разгрузочных работах.

7. расчет валовых выбросов вредных веществ при транспортировании горной массы

8. расчет валовых выбросов вредных веществ на перегрузочных пунктах и отвалах

9. расчет валовых сбросов вредных веществ в водоемы со сточными водами

10. расчет валовых выбросов вредных веществ с учетом природоохранных мероприятий

11. оценка ущерба от воздействий, оказываемых технологическим оборудованием открытых горных работ на окружающую среду

литература

1. ССЫЛКИ НА НОРМАТИВНЫЕ ДОКУМЕНТЫ.

Методика разработана в соответствии со следующими нормативными документами:

1.1. ГОСТ 17.2.1.01-76 Охрана природы. Атмосфера. Классификация выбросов по составу.

1.2. ГОСТ 17.2.1.04-77 с Изм. 1. Охрана природы. Атмосфера. Источники и метеорологические факторы загрязнения, промышленные выбросы. Термины и определения.

1.3. ГОСТ 17.2.4.02-81 Охрана природы. Атмосфера. Общие требования к методам определения загрязняющих веществ.

1.4. ГОСТ 17.2.3.02-78 Охрана природы. Атмосфера. Правила установления допустимых выбросов вредных веществ промышленными предприятиями.

1.5. ГОСТ 24585-81 Дизели судовые, тепловозные и промышленные. Выбросы вредных веществ с отработавшими газами. Нормы и методы определения.

2. ТЕРМИНЫ И ОПРЕДЕЛЕНИЯ

В настоящей работе приводятся термины и определения в области экологии и охраны окружающей среды (табл. 2.1).

При составлении таблицы использовались ГОСТ 17.2.1.04-77; ГОСТ 17.2.1.02-76; ГОСТ 25150-82, ОСТ 11091.630.6-81.

Таблица 2.1

Термин

Определение

Пояснения и примечания

1

2

3

1 Валовое выделение вредного вещества, количество отходящего вредного вещества

Масса вредного вещества, отходящего от источника выделения за определенный (отчетный) период времени

Количество отходящего вредного вещества определяется без учета степени очистки независимо от того, каким способом и какая часть его попадает в атмосферу; собирается ли отходящий газ в систему газоотводов, направляется ли на установку очистки (газопылеулавливающую) или поступает непосредственно в атмосферу [1]

Валовый выброс вредного вещества

Часть валового выделения вредного вещества, поступающего в атмосферу за отчетный период времени

 

Вредное вещество (загрязняющее вещество)

Вещество, присутствие которого в атмосфере (воде, земле) оказывает неблагоприятное воздействие на окружающую среду и здоровье человека

Термин "вредное вещество" определяется "Инструкцией о порядке составления отчетов об охране воздушного бассейна". В ГОСТ 17.2.1.04-77 в этом значении употребляется термин "загрязняющее вещество"

Загрязнение атмосферы

Изменение состава атмосферы в результате наличия в ней примеси

 

Источник выброса вредных веществ

Источником выброса вредных веществ называется специальное устройство: труба, аэрационный фонарь, вентиляционная шахта и т.п., посредством которых осуществляется выброс этих веществ в атмосферу

Это определение, данное в "Инструкции о порядке составления отчетов об охране  воздушного бассейна", отличается от данного там же определения "организованного источника выделения" тем, что под источником выделения понимается сам производственный объект в действии, а под "источником выбросов" - устройство, задающее скорость и место выбросов вредных веществ от этого объекта [1]

Источник выделения вредных веществ (источник выделения)

Технологическое оборудование (установки, агрегаты, устройства, гальванические ванны, испытательные стенды и др.) или технологические процессы (перемещение сыпучих материалов, переливы летучих веществ, сварочные, окрасочные работы и др.), от которых в ходе производственного цикла отторгаются вредные вещества, а также места хранения сыпучих или жидких веществ, карьеры, отвалы, места складирования промышленных отходов, от которых под воздействием метеорологических факторов отторгаются вредные вещества. Источники выделения в зависимости от того, оснащены ли они специальными газоотводными сооружениями (устройствами), подразделяются на организованные и неорганизованные

Выбросы вредных веществ в зависимости от источника выделения также делятся на организованные и неорганизованные [1]

Количественный анализ вещества

Установление количественных соотношений составных частей данного химического соединения или смеси веществ в исследуемом продукте

 

Количество уловленного вредного вещества

Часть отходящего вредного вещества, извлеченная из отходящего газа (вентиляционного воздуха) при его прохождении через газопылеулавливающую установку. Часть содержащегося в вентиляционном воздухе аэрозоля, который осаждается в воздуховодах, учитывается при расчетах как уловленное вредное вещество

Часть уловленного вредного вещества, используемая в производстве продукции (в статотчетности об охране атмосферного воздуха не учитывается [1])

Концентрация вредного вещества:

 

 

1) для атмосферы массовая

Масса вредного вещества, содержащегося в единице объема газа или воздуха, приведенная к стандартным условиям

 

объемная

Число объемов вредного вещества, содержащегося в 100 объемах анализируемого газа

 

2) для сточных вод объемная

Число граммов или миллиграммов вредного вещества, содержащегося в 1 м3 или 1 л воды

 

Неорганизованный источник выделения вредных веществ (неорганизованный источник)

Источник выделения, от которого вредные вещества, не проходя устройства, дополнительно задающих скорость и место выброса, поступают непосредственно в атмосферу в том случае, если источник находится вне помещения или через оконные и дверные проемы помещений, не оборудованных системой вентиляции (такими источниками могут быть как собственно технологические процессы, операции, оборудование, места хранения сыпучих и жидких веществ, так и нарушения герметичности оборудования, снабженного системой газоотводов, и нарушение герметичности самих газоотводов)

Для расчетов поля концентраций вредных веществ и норм ПДВ источники подразделяются на точечные, линейные, площадные. Эта классификация позволяет определить: необходимую для расчетной схемы локализацию источников и конфигурацию поверхности раздела между производственным объектом и атмосферой. Данная поверхность раздела условно принимается за источник выброса, от которого поток вредных веществ поступает в атмосферу

Охрана вод

Система мер, направленных на предотвращение, устранение последствий загрязнений, засорения и истощения вод

 

Предельно допустимая концентрация (ПДК) вредного вещества

Максимальная концентрация вредного вещества в воздухе рабочей зоны, промышленной площадка

 

Вскрышные породы

Горные породы, покрывающие и вмещающие полезное ископаемое, подлежащее выемке и перемещению как отвальный грунт в процессе открытых горных работ

 

Пробеговый выброс

Показатель, характеризующий количество вещества, поступившего в атмосферу из системы выпуска двигателя автомобиля, мотоцикла, мотороллера, мопеда, мотовелосипеда, отнесенное к единице пройденного пути

 

Отработавшие газы двигателя автомобиля

Смесь газов с примесью взвешенных частиц, удаляемая из цилиндров или камер сгорания двигателя автомобиля

 

Степень очистки отходящего газа, степень улавливания вредного вещества

Отношение массы уловленного вредного вещества к общей массе отходящего вредного вещества, выражается обычно в процентах

При определении степени очистки не учитывается масса извлекаемого из отходящего газа вредного вещества, которая расходуется на производственные цели [1]

Сточные воды:

Воды, которые отводятся за пределы производственных помещений, горных выработок, промплощадок предприятий, городов и поселков после использования их в производственных или бытовых процессах

 

загрязненные

Воды, состав и свойства которых не позволяют использовать их для различных нужд или сбрасывать в водные объекты без предварительной обработки

 

недостаточно очищенные

Воды, не обладающие требуемыми свойствами и составом после проведения специальной обработки

 

нормативно-очищенные сточные воды

Воды, которые получаются после специальной обработки и могут быть использованы для различных нужд или сброшены в водные объекты без отрицательного влияния на их состояние

 

нормативно-чистые сточные воды

Воды, не требующие очистки, которые не загрязнены и могут быть использованы для различных нужд или сброшены в водные объекты без проведения специальной обработки

 

Удельное количество выделяющегося вредного вещества, удельное выделение вредного вещества (удельное выделение)

Определенная расчетным или инструментальным методом масса загрязняющего вещества, выделяющегося в ходе технологического процесса, при переработке единичного количества сырья

 

Уловленное вредное вещество

Загрязняющее или обезвреженное вещество, извлеченное при очистке из отходящего от промышленного источника газового потока

 

Установка очистки газа (газоочистная, пылеулавливающая, газопылеулавливающая установка)

Комплекс сооружений, оборудования или аппаратуры, предназначенный для отделения от поступающего из промышленного источника газа или превращения в безвредное состояние веществ, загрязняющих атмосферу

Данный термин и определение приняты в соответствии с методическими указаниями [2]

3. ОСНОВНЫЕ ТЕХНОЛОГИЧЕСКИЕ ПРОЦЕССЫ И ИСТОЧНИКИ ВЫДЕЛЕНИЯ ВРЕДНЫХ ВЕЩЕСТВ.

Разработка месторождений полезных ископаемых открытым способом оказывает негативное влияние на все важнейшие компоненты, составляющие среду обитания человека: атмосферу, гидросферу, литосферу. Влияние это неоднозначно и зависит от множества факторов. Основными источниками пыле - и газообразования являются: буровые станки, взрывы, экскаваторы, автосамосвалы, локомотивосоставы, бульдозеры, конвейеры, отвалообразователи, дробильные и сортировочные установки, автодороги, отвалы внутренние и внешние.

3.1. Бурение.

Буровые работы оказывают негативное влияние на окружающую среду главным образом за счет запыления атмосферного воздуха. Незначителен ущерб от загрязнения грунтовых (подземных) вод, что объясняется естественным понижением уровня грунтовых вод при ведении открытых горных работ.

Наибольшую опасность для окружающей среды представляет выделение в атмосферу мелкодисперсной пыли, образующейся в процессе бурения. При бурении скважин станками шарошечного бурения с очисткой сжатым воздухом количество образовавшейся мелкодисперсной пыли достигает сотен килограмм. Для наиболее типичных условий бурения вскрышных пород доля частиц с линейными размерами менее 0,05 мм составляет в среднем 12-15% от общей массы образующихся продуктов разрушения. Без применения пылеподавляющих и пылеулавливающих устройств при бурении скважин Ø 320 мм, при сетке скважин 8×8м, объем запыленного воздушного пространства приходящийся на каждый куб. метр подготовленной к взрыву породы составит 8000÷10000 м3 (при этом концентрация пыли в воздухе составляет 50 мг/м3) [3].

Применяемые в настоящее время на буровых станках системы сухого пылеулавливания обладают одним существенным недостатком: уловленная и аккумулированная в специальных емкостях пыль периодически сбрасывается на поверхность блока. В последующем она может быть поднята в атмосферу сильным ветром или взрывными работами.

Другой распространенный способ бурения - с помощью режущих долот, применяется при бурении, главным образом, мягких пород и угля. Разрушение здесь протекает при относительно небольших нагрузках и происходит за счет скалывающих и сминающих воздействий на породу. При этом доля мелкодисперсных частиц в 2,5-3,0 раза меньше, чем при шарошечном способе бурения. Такой способ бурения не приводит к столь значительному выбросу пыли, как шарошечный, поэтому шнековые станки не оснащаются пылеулавливающими устройствами.

3.2. Взрывание.

Массовый взрыв на разрезе (карьере) является мощным периодическим источником выброса в атмосферу большого количества пыли и газов. В настоящее время заряд массового взрыва достигает 800-1200 т, а количество взорванной горной массы за один взрыв достигает 6 млн. т. По данным замеров установлено, что удельное количество пыли изменяется в диапазоне 30-160 г/м3 [4], в зависимости от рецептуры ВВ и свойств взрываемых пород. Установлено также, что с увеличением крепости пород удельное количество пыли на единицу объема горной массы возрастает, а так как с ростом глубины разработки увеличивается крепость разрабатываемых пород, то, следовательно, будет расти и запыленность.

Вредные примеси выделяются в атмосферу в виде пылегазового облака. Часть вредных газов (около одной трети) остается во взорванной горной массе и затем выделяется в атмосферу, загрязняя район взорванного блока и прилегающие к нему участки. Выделившаяся пыль, выпадая из пылегазового облака, оседает на уступах, на площадях около разреза (карьера) и в близлежащих поселках, являясь в дальнейшем источником пылевыделения, а также при атмосферных осадках образует так называемые дождевые сточные воды. Растворение взрывчатых веществ, применяемых при взрывных работах на разрезах, приводит к увеличению концентрации NOx в производственных водах.

3.3. Погрузочно-разгрузочные работы.

Погрузочно-разгрузочные работы сопровождаются значительным выделением пыли. Максимальное количество пыли выделяется при работе экскаваторов, несколько меньшее - при работе бульдозеров.

Концентрация пыли при выемочно-погрузочных работах, также как и при буровзрывных, зависит от крепости и естественной влажности горных пород.

Результаты замеров концентрации пыли в кабине машиниста и в забое на рудных карьерах [5] показали, что часто она одинакова зимой и летом или выше в период отрицательных температур. Это связано как с отсутствием средств гидрообеспыливания, так и за счет большей ветровой активности в зимний период. На увеличение запыленности зимой влияет также частое осыпание смерзшихся кусков породы с верхней части забоя.

3.4. Транспортирование.

Негативное воздействие на окружающую среду существующих видов транспорта проявляется в виде отчуждения территорий при сооружении транспортных коммуникаций, загрязнения воды подвижным составом и обслуживающим хозяйством, загрязнения атмосферы пылью в результате сдувания ее с поверхности транспортируемого материала. Автомобильный транспорт, помимо этого загрязняет атмосферу при движении в результате взаимодействия автомобильных колес с поверхностью дороги. Интенсивность пылеобразования зависит от скорости движения, грузоподъемности автомашин, а также от состояния дороги, материала верхнего покрытия. Запыленность воздуха в зоне автодороги может достигать десятков и сотен миллиграмм на 1 м3.

При работе автомобильного и железнодорожного (тепловозы) транспорта загрязнение атмосферы карьера происходит также за счет выброса вредных веществ при сжигании топлива в двигателях внутреннего сгорания. При этом в атмосферу с отработавшими газами поступают аэрозольные и газообразные компоненты. Наиболее опасными из газообразных выбросов дизельных двигателей являются нормируемые вредные вещества: оксиды азота NOx - сумма NO и NO2 в пересчете на NO2; оксид углерода (II) - СО; углеводороды СН - пары несгоревшего топлива и смазочного масла в пересчете на CH1,88; частицы - твердый фильтрат (углерод) С и аэрозоли несгоревшего топлива и смазочного масла. К ненормируемым вредным веществам относятся: оксиды серы SOx - сумма SO2 и SO3 в пересчете на SO2.

При использовании конвейерного транспорта на карьерах появляются новые источники выделения пыли: дробильные и грохотильные установки, запыленность воздуха при работе которых достигает сотен миллиграмм на 1 м3.

3.5. Отвалообразование.

Выброс вредных веществ (пыли) при отвалообразовании вскрышных пород осуществляется, независимо от способов отвалообразования, точечными, линейными и плоскостными источниками. Точечные источники - экскаваторы, бульдозеры. При их работе выделяется значительное количество пыли, причем при экскаваторном способе отвалообразования запыленность воздуха выше, чем при бульдозерном. Линейные источники - конвейеры, железнодорожные составы, автодороги.

Общим для всех способов отвалообразования является образование больших незакрепленных поверхностей (плоскостных источников), которые при неблагоприятных условиях приводят к интенсивному пылеобразованию, зависящему от вида материала, гранулометрического состава, метеорологических условий.

4. РАСЧЕТ ВАЛОВЫХ ВЫБРОСОВ ВРЕДНЫХ ВЕЩЕСТВ (ПЫЛИ) ПРИ БУРОВЫХ РАБОТАХ.

4.1. Масса пыли, выделяющейся при бурении скважин

                                                 (4.1)

где Qoпi - объемная производительность i-го станка по выбуриванию породы из скважины, м3/ч; qi - удельное пылевыделение с 1 м3 выбуренной породы i-м станком, кг/м3 (табл. 4.1, 4.2); Ti - чистое время работы бурового станка в год, ч/год; n - общее число работающих станков на разрезе; К2 - коэффициент, учитывающий влажность материала.

Величина Qoпi для любого типа станков может быть получена из показателей технической (линейной) производительности по формуле

                                                                     (4.2)

где Qлп - техническая производительность станка, м/ч; d - диаметр скважины, м.

Величина Qлп, в свою очередь, может быть получена из отчетных фактических данных, либо расчетным путем, исходя из данных по скорости бурения и времени вспомогательных операций по формуле

                                           (4.3)

где tо - время бурения 1 м скважины, мин/м; tв - удельное время вспомогательных оперений при бурении, мин/м; υ - скорость бурения, м/ч.

4.2. Для группы однотипных станков, работающих в одинаковых условиях эксплуатации

                                                          (4.4)

где: nст - общее количество однотипных станков.

4.3. Максимальный из разовых выброс вредных веществ при бурении скважин

                                                     (4.5)

Таблица 4.1

Удельное пылевыделение при работе буровых станков

Типы станков

Средняя объемная производительность, м3/ч, при крепости пород по шкале проф. М.М. Протодъяконова

Средст­ва подав­ления или улавли­вания пыли

Удельное пылевыделение, кг/м3

Породы угольных месторождений

угли

Извест­няки, углис­тые сланцы, конгло­мераты

Алевро­литы, аргил­литы, слабо­сцеме­нтиро­ванные извест­няки

Алевро­литы плотные аргил­литы средней плотно­сти колче­даны

Песчаники крепкие, доломиты плотные аргиллиты плотные, аргиллиты весьма плотные, амфибо­литы

f=1-2

f=2-4

f=4-6

f=6-8

f=8-10

f=1-2

f=2-4

f=4-6

f=6-8

f=8-10

СБШ-200

1,46

1,41

1,21

0,98

0,83

ВВП*

0,5

0,6

0,9

1,4

2,4

УСП*

0,7

0,8

1,3

2,0

3,4

БСП*

15,5

20,0

32,0

49,5

84,5

СБШ-250

2,18

2,02

1,80

1,50

1,29

ВВП

0,4

0,5

0,7

1,1

1,9

УСП

0,5

0,6

0,9

1,3

2,4

БСП

14,0

18,0

23,5

35,5

61,0

СБШ-320

4,07

3,61

3,161

2,65

2,29

ВВП

0,5

0,6

0,9

1,4

2,4

УСП

0,6

0,8

1,3

1,8

3,1

БСП

13,5

15,0

29,0

44,5

77,5

*ВВП водо-воздушное пылеподавление; УСП - сухое пылеулавливание

БСП - без средств пылеподавления, недопустимый или аварийный режим работы станка.

Таблица 4.2

Удельное пылевыделение при работе буровых станков

Типы станков

Средняя объемная производительность, м3/ч, при крепости пород по шкале проф. М.М. Протодъяконова

Средст­ва подав­ления или улавли­вания пыли

Удельное пылевыделение, кг/м3

Породы угольных месторождений

Сланцы

безру­дные рого­вики

магне­тито­вые рого­вики

магне­тито­вые рого­вики

плотные магне­титовые рого­вики

f=4-6

f=6-8

f=8-19

f=10-12

f=12-14

f=4-6

f=6-8

f=8-19

f=10-12

f=12-14

СБШ-200

1,46

1,41

1,21

0,98

0,83

ВВП*

0,9

1,9

2,4

3,7

4,2

УСП*

1,3

2,6

3,3

5,2

5,9

БСП*

32,3

64,6

83,1

129,2

147,6

СБШ-250

2,18

2,02

1,80

1,50

1,29

ВВП

0,8

1,5

1,9

3,0

3,5

УСП

1,0

1,9

2,5

3,9

4,4

БСП

24,1

48,3

62,5

96,5

110,4

СБШ-320

4,07

3,61

3,161

2,65

2,29

ВВП

0,9

1,9

2,4

3,7

4,2

УСП

1,2

2,3

3,0

4,7

5,3

БСП

29,3

58,5

75,3

117,1

133,8

*ВВП - водо-воздушное пылеподавление; УСП - сухое пылеулавливание;

БСП - без средств пылеподавления, недопустимый или аварийный режим работы станка.

5. РАСЧЕТ ВАЛОВЫХ ВЫБРОСОВ ВРЕДНЫХ ВЕЩЕСТВ ПРИ ВЗРЫВНЫХ РАБОТАХ.

Основными вредными газами взрыва промышленных ВВ являются оксид углерода СО и оксиды азота Noх (NO + NO2). Загрязнение окружающей среды происходит за счет выделения вредных газов и пыли из пылегазового облака (ПГО) и газов из взорванной горной массы (ГМ).

Для определения количества загрязняющих веществ, выделяющихся при производстве взрывных работ на открытых разработках, наиболее масштабные исследования в промышленных условиях были проведены под руководством П.В. Бересневича (ВНИИБТГ). Исследования проводились на карьерах черной и цветной металлургии и относятся к породам, коэффициент крепости которых по М.М. Протодьяконову изменяется в интервале 6-20. Породы угольных разрезов имеют крепость в интервале 1-10.

Полученные П.В. Бересневичем и его сотрудниками результаты содержания вредных веществ в ПГО и взорванной горной массе в зависимости от крепости пород, после взрыва граммонита 79/21, граммонита 50/50 и гранулотола подтверждаются данными, полученными в лабораторных и полигонных условиях другими авторами [6, 7, 8, 9].

Близость результатов лабораторных испытаний тротила в бомбе Долгова, расчетных величин и замеров вредных веществ, полученных при промышленных взрывах, позволяет использовать их для оценки новых типов ВВ, а также прогнозировать выделение вредных веществ при взрывных работах на разрезах.

На основании изложенного построены зависимости выделения вредных веществ с ПГО при производстве взрывов от крепости пород (f=6-20), проведена экстраполяция до крепости f = 4-2 и установлены удельные значения выделения вредных веществ при разработке пород угольных разрезов.

5.1. Масса вредных газов (оксид углерода, оксиды азота) выбрасываемых с пылегазовым облаком (ПГО) [10].

                                                                 (5.1)

где К - переводной коэффициент, зависящий от определяемого вредного газа (для СО: К = 1,25 г/л, для NOx: K = 1,4 г/л); qудi - удельное содержание вредных газов в ПГО при взрыве 1 кг взрывчатых веществ (ВВ) л/кг (табл. 5.1.); А - количество взрываемого ВВ, кг.

5.2. Масса вредных газов, оставшихся во взорванной горной массе (ГМ) и постепенно выделяющаяся в атмосферу

                                                                                 (5.2)

где Cгмi - концентрация вредного газа во взорванной горной массе, мг/м3; Qгм - объем взорванной горной массы, м3.

                                               (5.3)

где qгмi - удельное содержание вредных газов в отбитой горной массе (ГМ) в зависимости от крепости пород и рецептуры ВВ, л/кг (табл. 5.1); Кр - коэффициент разрыхления горной массы (отношение породы в разрыхленном виде к ее объему в массиве).

Продолжительность выделения в атмосферу вредных веществ до уровня ПДК оценивается в конкретных условиях эксплуатации.

5.3. Расчет общей массы вредных газов, выделившихся при взрыве (по условной СО)

                                                   (5.4)

где 6,5 - переводной коэффициент к СО.

5.4. Масса твердых частиц (пыли), выбрасываемых с ПГО

                                                                                     (5.5)

где qп - удельное пылевыделение из 1 м3 горной массы в зависимости от крепости пород и рецептуры ВВ: для эмульсионных ВВ при f=5-6 qп = 0,02 кг/м3; для ВВ не содержащих воды:

крепость пород (f)

2-4

4-6

8-10

12-14

удельное пылевыделение (qп, кг/м3)

0,03

0,04

0,06-0,08

0,09-0,11

Таблица 5.1

Содержание вредных веществ в пылегазовом облаке (ПГО) и взорванной горной массе (ГМ) при различных коэффициентах крепости пород, л/кг

 

Коэффициент крепости

Вредные вещества

пго (qуд)

пго (qгм)

Всего

со

NOх

со

NOх

со

NOх

Coусл

1

2

3

4

5

6

7

8

9

 

14-16

11,0

1,8

4,5

0,74

15,5

2,54

32,0

 

13-15

9,4

2,4

3,8

0,93

13,0

3,38

34,6

 

12-13

8,7

2,4

3,5

1,08

12,2

3,48

34,8

 

10-12

7,0

4,8

3,2

2,20

10,2

7,00

55,7

Граммонит

9-10

6,1

5,0

3,3

2,70

9,4

7,70

59,4

79/21

6-8

5,8

5,7

2,5

2,5

83

8,20

61,6

 

2-5

5,3

6,9

2,3

2,9

7,6

9,8

71,3

Граммонит

13-15

23,6

2,0

9,6

0,82

33,2

2,82

51,5

50/50

12-13

21,3

2,3

9,5

1,04

30,8

3,34

52,4

 

16-18

52,0

1,5

18,2

0,52

70,2

2,02

83,1

Гранулотол

14-16

47,2

18,2

0,81

65,4

2,91

84,4

 

13-15

41,0

1,8

16,8

0,74

57,0

2,34

74,3

 

12-14

36,0

2,2

16,2

0,99

52,2

3,19

72,8

Игданит*

8-10

9,0

4,5

3,8

1,3

12,8

5,8

50,5

Гранулит С-6М

5-7

7,6

5,0

2,3

2,2

9,9

7,2

56,7

 

2-4

6,0

6,7

1,8

2,6

8,6

8,7

65,0

 

8-10

21,0

4,6

9,0

1,9

30,0

6,5

72,2

Гранулит УП

5-7

15,0

7,0

6,4

3,0

21,0

10,0

86,0

 

2-4

12,1

8,2

5,1

3,5

17,1

11,7

93,0

Эмульсионные

вв**

 

3,3

0,8

1,4

0,4

4,7

1,2

12,5

___________

*) Данные относятся только к игданиту на пористой селитре или с загущающими тонкодисперсными добавками.

**) Приведены данные лабораторно-полигонных испытаний ВостНИИ эмульсионных ВВ: порэмита-1 и аналогичной рецептуры опытного образца- эмульсита (содержание СО - 4,7 л/кг, NOx -1,2 л/кг ВВ в газообразных продуктах взрыва открытого заряда ВВ без работы разрушения). Эти итоговые результаты разнесены по ПГО и ГМ в тех же соотношениях, что и для ВВ других рецептур: 70% газов - в ПГО и 30% - в ГМ. Влияние прочности разрушаемых горных пород на содержание вредных веществ в продуктах взрыва эмульсионных ВВ в СССР и РФ не исследовано, но ожидать больших колебаний из-за весьма малого содержания вредных веществ нет оснований.

5.5. Суммарная масса вредных веществ, выделившихся при одном взрыве

                                                                           (5.6)

Для определения массы вредных веществ, выделившихся при взрывах в течение года MΣ следует умножить на количество взрывов за этот период.

6. РАСЧЕТ ВАЛОВЫХ ВЫБРОСОВ ВРЕДНЫХ ВЕЩЕСТВ ПРИ ПОГРУЗОЧНО-РАЗГРУЗОЧНЫХ РАБОТАХ.

Погрузочно-разгрузочные работы в разрезе сопровождаются значительным пылевыделением.

На интенсивность пылевыделения оказывают влияние объем одновременно разгружаемой породы, высота разгрузки, угол поворота экскаватора. Так, при высоких забоях чаще происходит обрушение верхней части уступа, что приводит к повышению (в 1,5-5 раз) запыленности [11]. Запыленность воздуха изменяется почти в таких же соотношениях, как и изменение объема одновременно разрушаемой породы. Завышение высоты разгрузки и угла поворота экскаватора ведет к увеличению запыленности воздуха.

Работающее на погрузочно-разгрузочных работах оборудование отличается многообразием с широким диапазоном технологических и эксплуатационных качеств. На предприятиях используется оборудование цикличного и непрерывного действия.

К основному оборудованию цикличного действия относятся механические лопаты и бульдозеры.

К основным машинам непрерывного действия относятся роторные экскаваторы.

В методике рассматриваются машины, действующие или намечаемые к выпуску в ближайшем будущем. Для образцов техники, снятых с производства, но встречающихся, удельные показатели для расчета вредных выбросов следует принимать по аналогии с приведенными в методике.

В табл. 6.1. приведены данные по удельному выделению твердых частиц (пыли) отгружаемого (перегружаемого) материала при работе различных типов применяемого оборудования.

Таблица 6.1.

Удельное пылевыделение экскаваторов при работе в забое и на отвале

Наименование оборудования

Удельное пылевыделение (qуд, г/м3 - для вскрышных пород, qуд г/т - для угля) в зависимости от крепости пород f

порода

Уголь

2

4

6

8

10

1

2

Одноковшовые экскаваторы*

 

 

 

 

 

 

 

ЭКГ-5А

2,4

3,4

4,8

7,2

10,9

1,93

1,93

ЭКГ-8И

2,9

5,8

8,7

13,2

2,78

2,78

ЭКГ-10

3,1

4,4

6,3

9,4

14,3

2,84

2,84

ЭКГ-12,5

3,1

4,4

6,3

9,4

14,3

2,86

2,86 |

ЭКГ-15

3,8

5,4

7,6

11,4

17,3

2,84

2,84

ЭКГ-20

4,2

5,9

8,4

12,7

19,2

-

-

ЭКГ-30

4,8

6,8

9,6

14,4

21,8

-

-

Роторные экскаваторы

 

 

 

 

 

 

 

ЭРГ-1250 ОЦ

-

-

-

-

-

20

28

ЭРГ-1250

-

-

-

-

-

20

28

ЭРП-2500

-

-

-

-

-

11

15

ЭРП-5250

-

-

-

-

-

7

8

Экскаваторы на отвале

 

 

 

 

 

 

 

ЭКГ-5А

3,1

4,4

6,2

9,4

-

-

-

ЭКГ-8И

3,8

5,3

7,5

11,3

-

-

-

ЭШ-6,5 45У

7,2

10,1

14,3

21,4

-

-

-

ЭШ-14.50

7,2

10,1

14,3

21,4

-

-

-

ЭШ-20.65

10,3

14,4

20,4

30,5

-

-

-

ЭШ-11.70

10,8

15,2

21,5

32,2

-

-

-

ЭШ-40.85

12,5

17,4

24,7

36,9

-

-

-

ЭШ-15.90

14,1

19,7

27,9

41,8

-

-

-

ЭШ-20.90

14,1

19,7

27,9

41,8

-

-

-

ЭШ-65.100

14,7

20,5

29,1

43,5

-

-

-

ОШС 4000/125

£=1-1,8 9...18

-

-

-

-

-

-

*Приведены значения qуд при погрузке экскаваторами горной массы в автосамосвалы; qуд при погрузке экскаваторами горной массы в думпкары увеличиваются на 10%.

6.1. Одноковшовые экскаваторы являются основным оборудованием на добычных, вскрышных и отвальных работах. С помощью одноковшовых экскаваторов осуществляются: погрузка вскрышных пород и полезного ископаемого в забое, переэкскавация навалов породы, проведение траншей, нарезка новых горизонтов, погрузка угля и породы на складах и дробильно-перегрузочных пунктах, укладка пород во внутренние и внешние отвалы и т.д. Все процессы сопровождаются значительным выделением пыли.

Масса пыли, выделяющейся при работе одноковшовых экскаваторов, определяется по формуле

                                               (6.1)

где qуд - удельное выделение твердых частиц (пыли) с 1 т отгружаемого (перегружаемого) материала, г/т (табл. 6.1); γ - плотность пород, т/м3; Е - вместимость ковша экскаватора, м3; Тr - чистое время работы экскаватора в год, ч.; Кэ - коэффициент экскавации (табл. 6.2); tц - время цикла экскаватора, с;

K1 - коэффициент, учитывающий скорость ветра, (м/с), определяется по наиболее характерному для данной местности значению скорости ветра [12].

скорость ветра, м/с

до 2

2,1-5

5,1-7

7,1-10

10,1-12

12,1-14

14,1-16

Коэффициент K1

1,0

1,2

1,4

1,7

2

2,3

2,6

К2 - коэффициент, учитывающий влажность материала [13]

Влажность материала, %

до 0,5

0,6-1

1,1-3

3,1-5

5,1-7

7,1-8

8,1-9

9,1-10

>10

Коэффициент К2

2,0

1,5

1,3

1,2

1,0

0,7

0,3

0,2

0,1

Максимальный из разовых выброс вредных веществ при погрузочных работах одноковшовым, экскаватором

                                              (6.2)

Таблица 6.2

Коэффициенты разрыхления горной массы и экскавации (по ЕНВ 1989 г.) [14]

Категория пород по трудности экскавации

Плотность породы в массиве, т/м3

Коэффициенты

Разрыхления горной массы

Экскавации

Прямая лопата

Драглайн

1

1,6

1,15

0,91

0,87

2

1,8

1,25

0,84

0,80

3

2,0

1,35

0,70

0,67

4

2,5

1,50

0,60

0,57

6.2. При добыче полезных ископаемых наряду с одноковшовыми используются роторные экскаваторы.

Масса вредных веществ, выделяющихся при работе роторного экскаватора

                                             (6.3)

где nс - частота ссыпок (частота чередования режущих поясов), мин-1.

Максимальный из разовых выброс вредных веществ при работе роторного экскаватора

                                               (6.4)

6.3. Для зачистки кровли пластов полезного ископаемого, планировки площадок, для послойной разработки горных пород и перемещения их на расстояние до 100-150 м, для работы на отвалах и т.д. используются бульдозеры.

При работе бульдозера происходит выделение пыли и вредных газов в атмосферу.

Масса пыли, выделяющейся при разработке пород или отвалообразовании бульдозером.

                               (6.5)

где qуд - удельное выделение твердых частиц с 1 т перемещаемого материала, г/т (табл. 6.3); tсм - чистое время работы бульдозера в смену, ч; V - объем призмы волочения, м3; tцб - время цикла, с; nсм - количество смен работы бульдозера в год.

Таблица 6.3

Удельное выделение твердых частиц (пыли) с 1т материала, перемещаемого бульдозером

Марка бульдозера

Выделение пыли при крепости пород, г/т

Уголь

Порода

1

2

2

4

6

8

ДЗ-110А

1,00

1,25

0,66

0,85

1,18

1,85

ДЗ-35С

1,15

1,45

0,70

0,91

1,23

1,93

ДЗ-118

1,20

1,50

0,74

0,93

1,30

2,11

Максимальный из разовых выброс вредных веществ при разработке пород или отвалообразовании бульдозером.

                                                     (6.6)

Выброс загрязняющих веществ от сжигания топлива бульдозером зависит от режима его работы.

В среднем дизельный двигатель бульдозера 40% чистого времени смены работает при полной мощности и 40% времени использует мощность частично (30-40%), 20% времени - работает на холостом ходу.

Масса io вредного вещества, выделяющегося при работе дизельного двигателя бульдозера

                           (6.7)

Суммарная масса вредных веществ, выделяющихся при работе двигателя бульдозера

                                                               (6.8)

где qудi - удельный выброс io вредного вещества при работе двигателя в соответствующем режиме, кг/ч (табл. 6.4)*, txx, t40%, t100% - время работы двигателя в течение смены, соответственно на холостом ходу, при частичном использовании мощности двигателя, %,

                        (6.9)

где t1 - процентное распределение времени работы двигателя на различных нагрузочных режимах (см. выше); tсм - чистое время работы бульдозера в смену, ч; Тсм - число смен работы бульдозера в году; Nб -число бульдозеров.

Таблица 6.4

Удельные выбросы вредных веществ дизельными двигателями бульдозеров

Марка бульдозера

Загрязняющие вещества

Удельный выброс, кг/ч, при различных режимах работы

Холостой ход

40% мощности

Максимальная мощность

ДЗ 110А (100)*

СО

0,137

0,205

0,342

NOх

0,054

0,351

0,133

СН

0,072

0,214

0,275

С

0,003

0,019

0,044

ДЗ-35С (150)

СО

0,158

0,396

0,238

NOх

0,061

0,153

0,398

СН

0,137

0,239

0,308

С

0,006

0,030

0,061

ДЗ-118 (250)

СО

0,201

0,504

0,302

NOх

0,079

0,198

0,515

СН

0,180

0,315

0,415

С

0,017

0,049

0,112

___________

* В скобках указан тяговый класс, кН.

Масса оксидов серы SO2, выбрасываемых при работе дизельного двигателя, определяется по содержанию серы в топливе и концентрации в отработавших газах. Последняя, в свою очередь, рассчитывается по измеренным значениям расхода воздуха и топлива.

7. РАСЧЕТ ВАЛОВЫХ ВЫБРОСОВ ВРЕДНЫХ ВЕЩЕСТВ ПРИ ТРАНСПОРТИРОВАНИИ ГОРНОЙ МАССЫ [15]

7.1. Масса валовых выбросов при сжигании топлива в двигателях внутреннего сгорания (автосамосвалы, дизель-троллейвозы, тепловозы, тяговые агрегаты).

Общая масса вредных веществ, выделяющихся при сжигании топлива карьерным транспортом, зависит от режима работы двигателя автомобиля или тепловоза в течение рейса.

Рассматривая работу автомобиля или тепловоза на карьере, можно выделить три характерных режима работы двигателя:

холостой ход: а) для автомобиля и тепловоза - при погрузке, ожидании и на спуске; б) для дизель-троллейвоза и тягового агрегата - то же, а также при движении под контактной сетью;

полное использование мощности двигателя: а) для автомобиля и тепловоза - при движении на подъем и при движении груженого автомобиля (поезда) по горизонтальным участкам трассы; б) для дизель-троллейвоза и тягового агрегата - при движении груженого дизель-троллейвоза (поезда) по горизонтальным участкам в забое и на отвале;

частичное (приблизительно 50-процентное) использование мощности двигателя - при движении всех видов автомобилей и локомотивосоставов по горизонтальным участкам трассы в порожнем состоянии и при разгрузке.

Масса годового выброса вредных веществ от сжигания топлива в двигателях автомобилей или тепловозов

                                                                      (7.1)

где n - общее число примесей, выбрасываемых в атмосферу; i - виды примесей, выбрасываемых источником (i = 1...n); mатi - масса i-го вредного вещества, выделяемого при работе автомобиля (тепловоза), т/год.

                                                        (7.2)

где mik - масса io вредного вещества, выделяемого двигателем при работе на различных режимах, кг/сут; k - режим работы двигателя; nгод - число дней работы машины в году; Nap - число работающих автосамосвалов (локомотивосоставов); kt - коэффициент влияния климатических условий работы: для автомобилей, согласно [16] принимается равным 1; для тепловозов, согласно [12] принимается равным 0,8 севернее 60° северной широты, для остальных районов - равным 1; k1 - коэффициент, зависящий от возраста и технического состояния парка; для тепловозов и автосамосвалов со сроком эксплуатации менее 2 лет принимается равным 1, при сроке эксплуатации более 2 лет - 1,2 [12].

Масса io вредного вещества

                                                          (7.3)

где qik - удельный выброс io вредного вещества при работе двигателя на k-м режиме для двигателей тепловозов и тяговых агрегатов (табл. 7.1) и для дизельных двигателей автомобилей (табл. 7.2); tk; - время работы двигателя на k-м режиме в сутки, ч; определяется исходя из времени работы двигателя в данном режиме в течение рейса (табл. 7.3, 7.4) и суммарного времени работы машины в сутки.

Максимальный из разовых выброс io вредного вещества с отработанными газами автомобилей, тепловозов

                                                             (7.4)

Таблица 7.1

Удельные выбросы вредных веществ дизельными двигателями тепловозов и тяговых агрегатов

Марка тягового агрегата или тепловоза и двигателя

Вредные вещества

Значения удельных выбросов вредных веществ дизельными двигателями тепловозов и тяговых агрегатов, кг/ч, с различными режимами работы

Холостой ход

50% мощности

Максимальная мощность

ОПЭ-1 (14ДГУ-2)

СО

0,442

1,603

2,714

NOx

0,383

6,105

10,829

СН

0,081

0,642

1,085

С

0,027

0,208

0,353

ТЭМ-7 ТЭМ-7А (12-26ДГ)

СО

0,424

1,508

2,574

NOx

0,313

6,139

10,666

СН

0,034

0,603

1,070

С

0,011

0,193

0,347

Таблица 7.2

Удельные выбросы вредных веществ дизельными двигателями автомобилей

Марка автомобиля и двигателя

Вредные вещества

Значения удельных выбросов вредных веществ дизельными двигателями автомобилей, кг/ч, с различными режимами работы

Холостой ход

50% мощности

Максимальная мощность

БелАЗ-7540 (ЯМЗ-240ПМ2) (30 т)

СО

0,160

0,219

0,519

NOx

0,115

0,963

1,767

СН

0,044

0,087

0,161

С

0,005

0,024

0,052

БелАЗ-7548 (ЯМЗ-8401.10-02) (42 т)

СО

0,190

0,261

0,617

NOx

0,130

1,148

2,105

СН

0,052

0,104

0,192

С

0,009

0,034

0,052

БелАЗ-7549 (6ДМ-21А) (80 т)

СО

0,371

0,488

0,895

NOx

0,254

2,148

3,398

СН

0,098

0,195

0,358

С

0,017

0,053

0,116

БелАЗ-7512 (8ДМ-21А) (120 т)

СО

0,494

1,081

1,108

NOx

0,363

2,660

4,876

СН

0,121

0,242

0,443

С

0,023

0,079

0,144

БелАЗ-75215 (12ЧН1А26/26) (180 т)

со

0,874

1,413

1,961

NOx

0,642

4,706

8,605

СН

0,214

0,427

0,804

С

0,069

0,139

0,255

Дизель-троллейвоз на базе БелАЗ-7512

СО

0,350

0,834

1,053

NOx

0,239

2,280

3,914

СН

0,114

0,213

0,330

с

0,013

0,060

0,104

Таблица 7.3

Процентное распределение времени работы двигателей при различных нагрузочных режимах

Вид транспорта

Режим работы двигателя

Холостой ход

50% мощности

Максимальная мощность

Автомобили

33-41

18-14

49-45

Дизель-троллейвоз на базе БелАЗ-7512

40-55

30-20

30-25

Таблица 7.4

Процентное распределение времени работы двигателей тепловозов и тяговых агрегатов

Марка тепловоза или тягового агрегата

Режим работы двигателя

Холостой ход

20-30% мощности

Максимальная мощность

ОПЭ-1

55-60

23-20

22-20

ТЭМ-7, ТЭМ-7А

45-50

45-42

12-8

7.2. Масса выбросов вредных веществ при движении транспортных средств.

Масса годового образования пыли на автодорогах при движении автомобилей

                                     (7.5)

где К5 - коэффициент, учитывающий среднюю скорость движения автосамосвалов в карьере (13)

Средняя скорость движения автосамосвала, км/ч

5

10

20

30

Коэффициент К5

0,6

1,0

2,0

3,5

qcp, qcp - удельное выделение пыли при прохождении одним автомобилем 1 км соответственно временной и стационарной дороги (табл. 7.5), кг/км; Lв, Lc - соответственно длина временных и стационарных дорог, км; nра - число рейсов автосамосвала в год; Nap -число работающих автосамосвалов.

Максимальный из разовых выброс пыли при движении автомобилей:

                                             (7.6)

где nра - число рейсов автосамосвала в t ч.

Масса вредных веществ, сдуваемых с поверхности материала, транспортируемого различными средствами транспорта:

автосамосвалом или дизель-троллейвозом

                                                        (7.7)

где qnn - удельная масса твердых частиц, сдуваемых с 1 м2 поверхности горной массы, транспортируемой на расстояние 1 км, г/м2 (значения удельной сдуваемости для различных видов транспорта рассчитаны исходя из запыленности воздуха над грузонесущим органом. Расчетные значения приведены в табл. 7.6); Sa - площадь поверхности транспортируемого материала в кузове автосамосвалов, м2. Она составляет для автомобилей: БелАЗ-7548 - 17; БелАЗ-7540 - 14; БелАЗ-7549 - 31; БелАЗ-7512 - 42; БелАЗ-75215 - 52; дизель-троллейвоз на базе БелАЗ-7512 - 42; Lтp - расстояние транспортирования, км; nрт - число рейсов в год.

Таблица 7.5

Удельное выделение пыли на автодорогах при движении автомобилей, кг/км

Тип покрытия и дорога

Угольная пыль

Угольно-породная пыль

Породная пыль

БелАЗ 7540

БелАЗ 7548

БелАЗ 7549

БелАЗ 7512

БелАЗ 75215

БелАЗ 7540

БелАЗ 7548

БелАЗ 7549

БелАЗ 7512

БелАЗ 75215

БелАЗ 7540

БелАЗ 7548

БелАЗ 7549

БелАЗ 7512

БелАЗ  75215

Щебеноч­ное

0,73

0,86

1,01

1,41

2,20

0,59

0,69

0,82

1,17

1,44

0,36

0,42

0,59

0,79

1,04

Грунто­щебеноч­ное и грунто­гравий­ное

0,92

1,08

1,28

1,94

2,74

0,86

1,01

1,20

1,44

1,94

0,53

0,61

0,72

0,99

1,31

Грунто­вая  на отвале

1,30

1,53

1,80

2,66

3,85

1,16

1,37

1,63

2,03

2,73

0,71

0,85

1,01

1,38

1,84

Грунто­вая в забое

1,59

1,87

2,2

3,29

4,73

1,35

1,59

1,39

2,50

3,33

0,90

1,06

1,26

1,71

2,25

Примечание. При составлении табл. 7.5 использовалась формула интенсивности пылеобразования при движении автосамосвалов и график для определения коэффициента пылеобразующей способности покрытий автодорог, приведенные в работе [18].

железнодорожным транспортом

                                                 (7.8)

где Sв - площадь поверхности транспортируемого материала в вагоне. Значения этого показателя зависят от типов вагонов: ВС-60 -33,4 м2; ВС-85 - 38,0; 2ВС-105 - 48,5; ВС-145 - 59,3; ПС-63 - 34,9; ПС-94 - 42,9; nв - число вагонов в поезде; Nлc - число локомотивосоставов; nрлс - число рейсов локомотивосостава в год;

конвейерным транспортом

                                               (7.9)

где qк - удельная сдуваемость частиц с ленточного конвейера 3·10-2 г/м2с [17]; Тгод - годовое количество рабочих часов; Lк - длина конвейерной линии, м; В - ширина ленты конвейера, м.

Максимальный из разовых выброс пыли с поверхности транспортируемого материала в автосамосвале или в вагонах:

                                                 (7.10)

где S - площадь поверхности транспортируемого материала (автосамосвалом, в вагонах локомотивосостава, м2); nр.ч - число рейсов транспортного средства в 1 ч.

Максимальный из разовых выброс пыли с поверхности транспортируемого материала конвейером:

                                                                 (7.11)

Таблица 7.6

Удельная масса твердых частиц, сдуваемых с 1 м: поверхности горной массы (г/м2 км)

Виды транспорта

Транспортируемый материал

Скорость движения транспортных средств, км/ч

Уголь

Вскрыша

Автомобильный

4,5-9

3-6

15-30

Железнодорожный

6,5-12

4-7

20-35

8. РАСЧЕТ ВАЛОВЫХ ВЫБРОСОВ ВРЕДНЫХ ВЕЩЕСТВ НА ПЕРЕГРУЗОЧНЫХ ПУНКТАХ И ОТВАЛАХ

8.1. Масса валовых выбросов вредных веществ на перегрузочных пунктах.

Места перегрузки горной массы (перегрузка с конвейера на конвейер, разгрузка автосамосвалов в отвал или бункер, разгрузка вагонов в бункер или в приямок экскаватора на отвале и т.д.) являются интенсивными источниками пылевыделения. Причем при работе роторных комплексов, дробильно-перегрузочных пунктов все операции технологического процесса сопровождаются пылевыделением.

Масса твердых частиц (пыли), выделяющихся при проведении всех видов погрузочно-разгрузочных работ

                                             (8.1)

где n1 - количество перегрузок горной массы; К3 - коэффициент, учитывающий местные условия, степень защищенности узла от внешних воздействий; составляет для складов, хранилищ открытых: с четырех сторон - 1,0; с трех сторон - 0,8; с двух сторон частично - 0,5; с одной стороны - 0,1; а закрытого с четырех сторон - 0,1; для забоя -0,55; К4 - коэффициент, учитывающий высоту разгрузки материала;

Высота разгрузки материала, м

0,5

1,0

1,5

2,0

4,0

6,0

8,0

>10

Коэффициент К4

0,4

0,5

0,6

0,7

1,0

1,5

2,0

2,5

qyд - удельное выделение твердых частиц отгружаемого (перегружаемого) материала, г/т (м3) (принимается по табл. 8.1 - для автомобилей и думпкаров, 8.2 - для самоходных дробильных установок) [19]. Пп, Qп - количество отгружаемого перегружаемого материала т/год (м3/год).

Максимальный из разовых выброс твердых частиц при проведении всех видов погрузочно-разгрузочных работ

                                                       (8.2)

где Пп, Qч - количество отгружаемого (перегружаемого материала, т/ч (м3/ч).

Таблица 8.1

Удельное пылевыделение при разгрузке автосамосвалов и думпкаров

Крепость пород

Удельное пылевыделение, г/т

Уголь

Порода

1,0

1,35

-

2,0

1,43

0,78

4,0

-

0,86

6,0

-

0,94

8,0

-

1,02

10,0

-

1,1

Таблица 8.2

Удельное пылевыделение при работе самоходных дробильных установок

Агрегат

Условия работы

Удельное пылевыделение, г/т

СДА-300

Без средств пылеулавливания

1,67-2,45

 

С использованием пылеулавливающей установки

0,37-0,44

СДА-1000

Без средств пылеулавливания

2,4-5,1

 

С использованием системы пылеулавливания

1,5-2,2

ДПА-2000

Без средств пылеулавливания

5,1-7,8

 

С использованием системы пылеулавливания

1,3-1,7

8.2. Масса выбросов вредных веществ на отвалах.

Валовый выброс вредных веществ (пыли) на отвалах вскрышных пород осуществляется точечными, линейными и плоскостными источниками.

К точечным источникам относятся места складирования горной массы, к линейным - транспортные коммуникации, расположенные на отвале, включая и вспомогательные. К плоскостным источникам относятся пылящие поверхности отвала. Дополнительным источником загрязнения воздуха на отвале являются мобильные источники-автомобили и технологические поезда.

Масса вредных веществ, образующихся на отвалах вскрышных пород.

                                           (8.3)

где mв.y - масса твердых частиц, выделяющаяся в зоне выгрузки и укладки пород, т/год; mcот - масса твердых частиц, сдуваемая с 1 м2 свежеотсыпанного отвала за год, т/год; Scот - площадь свежеотсыпанного отвала, равная площади, отсыпаемой за год, м2; mд - масса твердых частиц, сдуваемая с 1 м2 дефлирующих поверхностей отвала, т/год; Sд - площадь дефлирующих поверхностей отвала, м2.

При железнодорожном и автомобильном транспорте масса вредных веществ (пыли) на отвале в зоне выгрузки складывается из массы пыли, образующейся в момент выгрузки из вагона или самосвала и образующейся при складировании вскрышных пород:

                                             (8.4)

где qуд.в, qуд.ск - удельное выделение твердых частиц с 1 т породы, соответственно выгружаемой из транспортного средства (табл. 8.2) и складируемой в отвал (табл. 6.1) г; Qо - объем породы транспортируемый на отвал, т/год.

При конвейерном транспорте укладка пород в отвал производится ленточным отвалообразователем.

                                                       (8.5)

где qуд.в - удельное выделение твердых частиц с 1 т породы при формировании отвала отвалообразователем (табл. 6.1).

Максимальный из разовых выброс вредных веществ на отвале в зоне выгрузки и складирования пород;

при автомобильном и железнодорожном транспорте

                                     (8.6)

где Qч - объем породы, подаваемой в отвал за 1 ч, т/ч; при конвейерном транспорте

                                                         (8.7)

Масса твердых частиц, сдуваемых с 1 м2 свежеотсыпанного отвала

                                                       (8.8)

где qо - удельная сдуваемость твердых частиц с пылящей поверхности свежеотсыпанного отвала (табл. 8.4) или дефлирующих поверхностей отвала, мг/м2·с; Тс - годовое количество дней с устойчивым снежным покровом.

Масса твердых частиц, сдуваемых с 1 м2 дефлирующих поверхностей отвала

где Кб - коэффициент, учитывающий эффективность сдувания твердых частиц с поверхности отвала (0,2 - в первые три года после прекращения эксплуатации; 0,1 - в последующие годы до полного озеленения отвала).

Таблица 8.4

Удельная сдуваемость пыли с поверхностей отвала (скальные смешанные породы) [20]

Приземная скорость ветра м/с

Удельная сдуваемость, мг/м2·с при высоте отвала, м

10

50

100

150

5

3,7

9,3

13,8

17,4

8

14,3

35,8

53,3

67,3

10

26,7

68,2

100,9

127,1

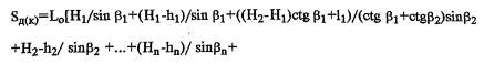
Площадь дефлирующих поверхностей отвала: при железнодорожном транспорте и экскаваторной укладке пород в отвал (рис. 8.1)

Рис. 8.1

                                       (8.9)

где h1 - высота верхнего подуступа, м; Но - общая высота отвала, м; β0 - угол откоса яруса; Lо - длина отвала, м; α - половина ширины верхнего подуступа, м.

При автомобильном транспорте и бульдозерном отвалообразовании

                   (8.10)

где αr, вr - размеры яруса в плане по его поверхности, м; r - порядковый номер яруса; Rя - количество ярусов; внr, αнr - размеры яруса в плане по нижнему основанию, м.

При конвейерном транспорте площадь дефлирующей поверхности на горизонтальном основании:

для одноярусных отвалов (рис. 8.2)

Рис. 8.2

                                                     (8.11)

где Ао - ширина заходки, м;

для многоярусных отвалов (рис. 8.3)

Рис. 8.3

                        

                                (8.12)

где H1, H2...Hn - высота ярусов отвала, м; β1 β2… βn - угол откоса ярусов (1, 2...n).

9. РАСЧЕТ ВАЛОВЫХ СБРОСОВ ВРЕДНЫХ ВЕЩЕСТВ В ВОДОЕМЫ СО СТОЧНЫМИ ВОДАМИ

В процессе подготовки карьерных полей к разработке и при эксплуатации месторождений производится откачка вод, попадающих в горные выработки из массива и с поверхности. Эти воды, а также дождевые и воды, расходуемые на технологические нужды при добыче полезного ископаемого, образуют сточные воды. Они, как правило, сильно загрязнены и должны быть очищены перед выпуском в водоемы,

9.1. Общая масса годового сброса i-ой примеси в водоемы определяется в зависимости от характера поступления в водоем загрязнений из оцениваемого источника.

Если источник сбрасывает сточные воды нескольких типов, различающиеся степенью очистки, то следует определить общую массу mi годового сброса i-ой примеси в водоем, сбрасываемую со всеми типами выпускаемых сточных вод

                                                                                  (9.1)

где mi - масса годового поступления io вещества в водоем от данного источника со сточными водами j-го типа, j = 1, 2,...k, т/год.

Если сточные воды сбрасываются в водоем из оцениваемого источника без предварительного смешения со сточными водами других источников и величина концентрации i-ой примеси ci (г/м3) в поступающих в водоем сточных водах в течение года относительно постоянна, то масса годового поступления в водоем i-ой примеси приблизительно может быть определена

                                                                 (9.2)

где vв - объем годового сброса сточных вод данным источником, млн. м3/год.

10. РАСЧЕТ ВАЛОВЫХ ВЫБРОСОВ ВРЕДНЫХ ВЕЩЕСТВ С УЧЕТОМ ПРИРОДООХРАННЫХ МЕРОПРИЯТИЙ

Масса вредных веществ, с учетом средств пылегазоподавления

                                                                                   (10.1)

где m'i - масса io вредного вещества, выделяющегося оборудованием или процессом, с учетом эффективности средств пылегазоподавления, т; mi - масса io вредного вещества, выделяющегося оборудованием или процессом, т; ηi - эффективность средств пылегазоподавления (табл. 10.1) [23].

Таблица 10.1

Эффективность средств пылегазоподавления для различного оборудования и процессов

Источники выделения вредных веществ

Способы пылегазоподавления

Предусмотренное оборудование и средства

Эффективность пылегазоподавления

1

2

3

4

Бурение

Сухое пылеулавливание

Осадительные камера или пылеприемник, циклоны, мультциклоны циклоны ВЗП, Фильтры тонкой очистки, тканевые или картонные УПП-5

0,95-0,97

Водяное пылеподавление

Труба Вентури, циклоны с обратным конусом, система прямого впрыска воды

0,95-0,97

Взрывание

Гидрообеспыливание

Гидропоезда, поливочные машины, оросительно-вентиляционные установки ОВ-3 или УМП-1

Гидрозабойка

0,85-0,90

 

 

газы

0,75-0,80

 

 

твердые

частицы

0,55-0,60

 

 

Гидрогелевая забойка

 

 

 

газы

0,75-0,80

 

 

твердые

частицы

0,45-0,50

Экскавация

Увлажнение отбитой горной массы

Стволы распылители PC, CA, лафетные стволы ЛС-1, оросительно-вентиляционные установки УМП-1А, самоходно-поливочные агрегаты СПА-1

0,80-0,85

 

Предварительное увлажнение массива

Насосные установки 2УГН, УНР, ГР-16/40

0,80-0,85

Транспорт: автомобильный

Гидрообеспыливание нежестких покрытий автодорог

ПМ-130, СПА, УМП-1М, АСП-35, АВР

0,7-0,5

Улучшение автодорог с щебеночным покрытием

То же, универсин-В, лигнодор

0,98-1,0

 

Гидрообеспыливание узлов разгрузки угля

Улиткообразный бункер, водная завеса

0,85-0,90

 

Гидрообеспыливание автодорог с твердым покрытием

Стационарные установки орошения КО-309

0,95-1,0

 

Сухая уборка пыли

АПП

0,85-0,90

 

Нейтрализация ОГ

Каталитические нейтрализаторы

 

 

 

Окись углерода до

0,75 *при

 

 

углеводороды до

0,70 t°ОГ

 

 

альдегиды до

0,80 > 300°

Конвейерный

Укрытие узлов перегрузки горной массы, аспирация и очистка запыленного воздуха

Системы сухого обеспыливания

0,75-0,80

Орошение узлов перегрузки, пеноподавление

Системы орошения, пеногенераторы

0,85-0,90

Железнодорожный

Гидрообеспыливание узлов загрузки

Система гидрообеспыливания

0,85-090

Орошение растворами КНЦ, полиакриламида, латексами

Системы орошения

0,97-1,0

Поверхность отвалов

Орошение латексами

АВР, УМП-1М, АОП-35,СПА

0,85-0,9

Гидрообеспыливание

Тоже

0,85-0,9

11. ОЦЕНКА УЩЕРБА ОТ ВОЗДЕЙСТВИЙ, ОКАЗЫВАЕМЫХ ТЕХНОЛОГИЧЕСКИМ ОБОРУДОВАНИЕМ ОТКРЫТЫХ ГОРНЫХ РАБОТ НА ОКРУЖАЮЩУЮ СРЕДУ

Под экономической оценкой ущерба понимается денежная оценка отрицательных воздействий загрязнения и других нарушении природной среды в результате использования комплекса оборудования для ведения открытых горных работ.

Величина полного экономического ущерба, наносимого технологическим оборудованием разрезов окружающей среде

                                                                      (11.1)

где УА, УВ, УЗ - суммарный ущерб соответственно от выбросов вредных веществ в атмосферу, от сбросов в водоемы, нанесенный земельным ресурсам.

При наличии технической возможности предотвратить образование валовых выбросов (сбросов) затраты на реализацию средозащитного мероприятия исчисляются в форме совокупных эксплуатационных расходов и капитальных вложений, приведенных к годовой размерности с учетом фактора времени.

Величина предотвращенного экономического ущерба от загрязнения среды равна разности между расчетными значениями ущерба, который имел место до осуществления рассматриваемого мероприятия У1 и остаточного ущерба после проведения этого мероприятия У2:

                                                                                                           (11.2)

11.1. В соответствии с существующими методами оценки [22] ущерб, причиняемый годовыми выбросами вредных веществ в атмосферу, для всякого источника

                                                                                                (11.3)

где γА - удельный экономический ущерб (в ценах на 01.01. 1998 г.) от выбросов загрязняющих веществ в атмосферу. Для действующих предприятий - 220 руб./усл.т, для проектируемых - 1100 руб./усл.т. σА - показатель относительной опасности загрязнения атмосферного воздуха (табл. 11.1).

f - безразмерная величина, учитывающая характер рассеяния в атмосфере вредного вещества. Для газообразных вредных веществ (сернистого газа, сероуглерода и т.д.) и мелкодисперсных аэрозолей (пыли, золы и т.п.) скорость упорядоченного оседания которых практически равна нулю - 1; для пыли и золы (кроме указанных выше), если средний эксплуатационный коэффициент очистки равен не менее 90% - 2; от 75 - 90 % - 2,5, менее 75% - 3. Для оценки ущерба от выброса аэрозолей автотранспортными средствами f = 10.

МА - приведенная масса годового выброса вредных веществ, усл. т/год.

Таблица 11.1

Значения показателя относительной опасности загрязнения атмосферного воздуха над территориями различных типов (σа)

1 Тип загрязняемой территории

σа

Территории курортов, санаториев, заповедников, заказников, природных зон отдыха, садовых и дачных кооперативов, а также города со средней плотностью населения свыше 60 чел./га

8-10

Территории промышленных предприятий, промузлов, включая защитные зоны, а также города с плотностью населения 20-60 чел./га или городов с населением более 100 тыс. чел.

4

Территории лесов, пашен, садов, виноградников, а также населенных пунктов с плотностью населения ниже 20 чел./га или рабочих поселков

0,4

Пастбища, сенокосы

0,05

Приведенная масса годового выброса (валовое выделение) вредных веществ в атмосферу

                                                                        (11.5)

где n - общее число примесей, выбрасываемых источником в атмосферу; Ai - показатель относительной агрессивности примеси io вида; усл. т/т (табл. 11.2); mi - масса годового выброса примеси n-го вида в атмосферу, т/год.

Таблица 11.2

Значения показателя относительной агрессивности (Ai)

Вещества

Аi

1

2

Оксид углерода

1,0

Сернистый ангидрид

22,0

Сероводород

54,8

Оксиды азота в пересчете

41,1

по массе на NO2

 

Летучие низкомолекулярные углеводороды (пары жидких топлив - бензинов и др.)

1,26

Ацетальдегид

41,5

Сажа без примесей (пыль углерода без учета примесей)

41,5

11.2. Величина ущерба, наносимого водным объектам технологическим оборудованием угольных разрезов, зависит от концентрации и вредности загрязняющих веществ, которые содержатся в сточных водах, сбрасываемых в водоемы.

Годовой экономический ущерб от сброса сточных вод в поверхностные водоемы

                                                                                  (11.5)

где γв - удельный экономический ущерб (в ценах на 01.01. 1998 г.) от сбросов загрязняющих веществ в водные объекты для текущей оценки 1430 руб./усл. т, для перспективной - 3300 руб./усл. т; σв - константа, определяющая сравнительную вредность загрязнения водных ресурсов для различных водохозяйственных участков (табл. 11.3).

Таблица 11.3

Значение константы σв для различных водохозяйственных участков

№№ п/п

Наименование бассейнов, рек и створов

Значение σв

Азовское море

1.

Дон (Цимлянский г/у - устье)

2,3

Каспийское море

2.

Ока

2,2

3.

Кама

1,6

4.

Урал

1,5

Карское море

5.

Обь (исток - г. Новосибирск)

1,4

6.

Томь

1,4

7.

Чулым

1,1

8.

Иртыш (г. Павлодар - устье)

1,6

9.

Тобол

1,6

10.

Обь (г. Новосибирск - устье)

1,0

11.

Енисей (исток - г. Красноярск)

1,1

12.

Енисей (г. Красноярск - устье)

0,7

Море Лаптевых

13.

Лена

0,4

14.

Озеро Байкал

3,9

15.

Селенга

2,1

Охотское и Японское море

16.

Амур

1,0

17.

Реки о. Сахалин

1,3

Мв - приведенная масса годового сброса сточных вод источником в водохозяйственный участок [24].

                                                                               (11.6)

где Ai - показатель относительной опасности сброса n-го вещества в водоем, усл. т/т; mi - общая масса годового сброса i-й примеси в водоем, т/год; N - общее число сбрасываемых примесей.

Численное значение показателя относительной агрессивности Аi, определяется для каждого загрязняющего вещества (табл. 11.4)

                                                                                               (11.6)

где ПДКicc - предельно допустимая концентрация io вещества.

Таблица 11.4

Значения показателя относительной агрессивности

№ подгруппы

Группы загрязняющих веществ

Ai

1

2

3

А. Неорганические вещества

Общие показатели

1.

Сульфаты, хлориды, соли жесткости

0,05

2.

Взвешенные вещества

0,10

3.

Нитраты, азот аммонийный

0,20

4.

Фосфаты, фосфор (общее количество)

2,0

5.

Железо (общее количество), марганец (общее количество)

2,5

6.

Нитриты

12,5

Промышленные неорганические вещества

(соли тяжелых металлов и цианиды):

7.

Цинк, никель, висмут, свинец, вольфрам, хром 3х вал. и др.

25,0

8.

Цианиды

50,0

9.

Токсичные соединения (ртуть, мышьяк, медь, хром 6-ти вал., селен и до.)

145,0

Б. Органические вещества

Общие показатели

10.

Химическая потребность в кислороде (ХПК)

0,07

11.

Биохимическая потребность в кислороде (БПК полн.), органический углерод

1,0

Промышленная органика

12.

СПАВ (детергенты), этилен, метанол, ацетонитрил и др.

5,0

13.

Нефть и нефтепродукты, жиры, масла

15,0

14.

Формальдегид, бутиловый спирт, ацетофенол, нитрофенолы и др. соединения

80,0

15.

Высокотоксичная металлоорганика (дихлорбутилолово, диэтилртуть и др.) пестициды (бутифос, фазалон, хлорофос, севин и др.), метилмеркаптан, анилин, фенолы и др. соединения

200,0

11.3. Величина ущерба, причиняемого нарушенными землями окружающей среде, определяется природно-техногенными условиями нарушенных земель, их размещением в различных природно-климатических зонах, освоенностью территорий.

Годовой экономический ущерб от загрязняющего воздействия нарушенных земель на почву, воздушных бассейн и водные объекты рассчитывается по следующей формуле

                                         (11.8)

где: j - величина ущерба, наносимого выбросами в атмосферу 1 условной тонны загрязняющих веществ, руб;

ρ - величина ущерба, наносимого водной среде выбросами 1 условной тонны загрязняющих веществ, руб;

σА - безразмерная величина, характеризующая относительную опасность загрязнения атмосферы над территорией распространения выбросов (табл. 11.1).;

σв - безразмерная величина, характеризующая относительную опасность загрязнения различных водохозяйственных участков (табл. 11.3);

10 - безразмерный показатель, учитывающий характер рассеивания в атмосфере, соответственно, твердых (пыли, золы) и газообразных вредных веществ, значение которого принято из практики работы горнодобывающих предприятий;

Мт, Мв - масса годового поступления загрязняющих веществ, соответственно, твердых в атмосферу и в результате водной эрозии (смыв в водные объекты), приведенная к условным тоннам (усл. т/га в год).

j = 220 руб/усл. т - для действующих предприятий и j = 1100 руб/усл. т - для проектируемых;

ρ = 1430 руб/усл. т - для действующих предприятий и ρ = 3300 руб/усл. т - для проектируемых.

Приведенная масса твердых (пылегазообразных) выбросов нарушенных земель определяется по формуле:

                                                                          (11.9)

где: mт - масса выноса пылегазообразных веществ в результате дефляции пород, т/га в год;

αт - показатель относительной агрессивности загрязняющего вещества, усл. т/т (табл. 11.5).

Таблица 11.5

Значения показателей относительной агрессивности

Характеристика пород

Значение показателя, усл. т/т

αт

αв

Трудновыветриваемые скальные, магматические, метаморфические и осадочные геохимические инертные породы

1,0

0,1

Связные несцементированные осадочные геохимически инертные породы

1,0

0,2

Связные осадочные быстровыветриваемые полускальные геохимически инертные породы

2,0

0,2

Связные несцементированные осадочные породы и отходы обогащения кислые или содержащие легкорастворимые соли

10,0

0,5

Несвязанные несцементированные геохимически инертные осадочные породы

11,0

0,2

Сцементированные осадочные карбонатные породы

25,0

0,3

Отходы обогащения несвязные, содержащие сульфидные сернистые, галоидные соединения

89,0

0,3

Отходы обогащения несвязные, содержащие мышьяковистые, ртутные и др. токсичные соединения

100,0

1,0

Приведенная масса загрязняющих веществ, выносимых в результате водной эрозии, определяется по формуле

                                                                  (11.10)

где: mв - масса выноса загрязняющих веществ в результате водной эрозии, т/га в год;

αв - показатель относительной агрессивности (средневзвешенный) выбрасываемых ингредиентов, усл. т/т (табл. 11.5).

ЛИТЕРАТУРА

1. Требования к построению, содержанию и изложению расчетных методик определения выбросов вредных веществ в атмосферу: Письмо ГГО им. А.Н. Воейкова. - Л., 1986. - 17 с.

2. Методические указания по расчету валовых выбросов загрязняющих веществ в атмосферу предприятиями Минсевзапстроя СССР. ч. 6. Автотранспортные предприятия: ВРД66116-87. - М.: ОНТИП-ТИОМЭС, 1987. - 77 с

3. Латкин А.С., Сажин Б.С., Шевкун Е.Б. Пылеулавливание при бурении М., Наука, 1992. - 112 с.

4. Михайлов В.А., Бересневич П.В. Снижение запыленности и загазованности воздуха на открытых горных работах - Киев: Техника, 1975. - 116 с.

5. Бересневич П.В., Михайлов В.А. Аэрология карьеров: Справочник. - М.: Наука, 1990. - 280 с.

6. Ярембаш И.Ф. Очистка рудничной атмосферы после взрывных работ. - М.: Недра, 1979. - 68 с.

7. Кук М.А. Наука о промышленных взрывчатых веществах. Пкр. с англ. М.: Наука, 1980. - 453 с.

8. Миндели Э.О. Разрушение горных пород - М.: Недра, 1975. - 600 с.

9. Дедков С.П., Брюховских О.А. Распространение и осаждение пыли при взрывах в карьере - Известия вузов. Горный журнал. 1994, № 7- 54-62с.

10 Методика расчета выбросов вредных веществ карьеров с учетом нестабильности их технологических процессов. Кривой рог. ВНИИБТГ, 1988. - 55 с,

11. Красавин А. П. Защита окружающей среды в угольной промышленности. М., Недра, 1991. - 221 с.

12. Методика проведения инвентаризации выбросов загрязняющих веществ в атмосферу на предприятиях железнодорожного транспорта (расчетным методом) / МТРФ, НИИАТ - М.: 1992. - 162 с.

13. Отраслевая методика расчета количества отходящих, уловленных и выбрасываемых в атмосферу вредных веществ предприятиями по добыче и переработки угля / Минуглепром СССР, Всес. н.-и. и проектно-конструкт. ин-т охраны окружающей природной среды в угольной пром-сти. - Пермь, 1989. -42 с.

14. Справочник. Открытые горные работы / К.Н. Трубецкой, М.Г. Потапов, К.Е. Виницкий, Н.Н. Мельников и др. - М.: Горное бюро, 1994.-590 с.

15. Методика расчета вредных выбросов (сбросов) и оценки экологического ущерба при эксплуатации различных видов карьерного транспорта - М.: Ин-т горн. дела им.АА. Скочинского, 1994. - 52 с.

16. Методические указания по определению экономической эффективности применения непрерывных и новых специализированных видов транспорта в народном хозяйстве / ИКТП - М.: ИКТП, 1984. - 33 с.

17. Сборник методик по расчету выбросов в атмосферу загрязняющих веществ различными производствами. - Л.: Гидрометеоиздат, 1986. - 183 с.

18. Токмаков М.А., Купин А.Н. Борьба с пылью при работе роторных экскаваторов и автосамосвалов на разрезах. - М.: ЦНИЭИУголь, 1977. -37с.

19. Коваленко B.C. Технологический и экологический аспекты разработки сближенных рудных месторождений. - М.: Недра, 1994. - 144 с.

20. Горлов В.Д. Экологические изменения при формировании высоких и сверхвысоких породных отвалов. - В кн. Экологические проблемы горного производства, переработки и размещения отходов. Вторая научно-техническая конференция. М. 30 января - 3 февраля 1995 г. МГГУ, 1995 - 600 с.

21. Инструкция по разработке норм водопотребления и водоотведения для годового и пятилетнего планирования в угольной промышленности / МУП СССР - Пермь: ВНИИОСуголь, 1980 -96 с.

22. Временная типовая методика определения экономической эффективности осуществления природоохранных мероприятий и оценки экономического ущерба, причиняемого народному хозяйству загрязнением окружающей среды / А.С. Быстров, В.В. Варанкин, М.А. Виленский и др. - М.: Экономика, 1986. - 96 с.

23. Парахонский Э.В. Охрана труда на карьерах. - М.: Недра, 1988. - 197 с.

24. Оценка ущерба от воздействий, оказываемых технологическим оборудованием угольных разрезов на окружающую среду. Отчет по НИР МНИИЭКО ТЭК. Пермь 1999 г.

 

 




ГОСТЫ, СТРОИТЕЛЬНЫЕ и ТЕХНИЧЕСКИЕ НОРМАТИВЫ.
Некоммерческая онлайн система, содержащая все Российские Госты, национальные Стандарты и нормативы.
В Системе содержится более 150000 файлов нормативно-технической документации, действующей на территории РФ.
Система предназначена для широкого круга инженерно-технических специалистов.

Рейтинг@Mail.ru Яндекс цитирования

Copyright © www.gostrf.com, 2008 - 2026