Крупнейшая бесплатная информационно-справочная система онлайн доступа к полному собранию технических нормативно-правовых актов РФ. Огромная база технических нормативов (более 150 тысяч документов) и полное собрание национальных стандартов, аутентичное официальной базе Госстандарта. GOSTRF.com - это более 1 Терабайта бесплатной технической информации для всех пользователей интернета. Все электронные копии представленных здесь документов могут распространяться без каких-либо ограничений. Поощряется распространение информации с этого сайта на любых других ресурсах. Каждый человек имеет право на неограниченный доступ к этим документам! Каждый человек имеет право на знание требований, изложенных в данных нормативно-правовых актах!

  


 

Приказ Федеральной службы государственной статистики от 13 ноября 2010 г. N 391

Об утверждении Указаний по заполнению формы федерального статистического наблюдения N 6-ТП (гидро) "Сведения о работе гидроэлектростанции

В соответствии с п. 5.5 Положения о Федеральной службе государственной статистики, утвержденного постановлением Правительства Российской Федерации от 02 июня 2008 N 420, и во исполнение Федерального плана статистических работ приказываю:

1. Утвердить прилагаемые Указания по заполнению формы федерального статистического наблюдения N 6-ТП (гидро) "Сведения о работе гидроэлектростанции" и ввести их в действие с отчета за 2010 г.

2. С введением указанных в п. 1 настоящего приказа указаний признать утратившим силу постановление Госкомстата России от 29 сентября 1992 N 161.

Временно исполняющий обязанности
руководителя Росстата

К.Э. Лайкам

Указания
по заполнению формы федерального статистического наблюдения N 6-ТП (гидро) "Сведения о работе гидроэлектростанции"

Содержание

I. Общие положения

Форму федерального статистического наблюдения N 6-ТП (гидро) "Сведения о работе гидроэлектростанции" предоставляют юридические лица (кроме субъектов малого предпринимательства) - АО-энерго, АО-электростанции, ОГК (оптовые генерирующие компании), ТГК (территориальные генерирующие компании), РСК (распределительные сетевые компании), имеющие гидроэлектростанции (независимо от мощности), а также другие организации, имеющие гидроэлектростанции мощностью 500 кВт и выше.

Юридическое лицо заполняет настоящую форму и предоставляет ее в территориальный орган Росстата по месту своего нахождения.

При наличии у юридического лица обособленных подразделений настоящая форма заполняется как по каждому обособленному подразделению, так и по юридическому лицу без этих обособленных подразделений.

Заполненная форма предоставляется юридическим лицом в территориальные органы Росстата по месту нахождения соответствующего обособленного подразделения (по обособленному подразделению) и по месту нахождения юридического лица (без обособленных подразделений). Информация по ОГК, ТГК и РСК в целом в территориальные органы Росстата не предоставляется.

В случае, когда юридическое лицо (его обособленное подразделение) не осуществляет деятельность по месту своего нахождения, форма предоставляется по месту фактического осуществления им деятельности.

Руководитель юридического лица назначает должностных лиц, уполномоченных предоставлять статистическую отчетность от имени юридического лица.

В адресной части формы указывается полное наименование отчитывающейся организации в соответствии с учредительными документами, зарегистрированными в установленном порядке, а затем в скобках - краткое ее наименование (при его наличии). На бланке формы, содержащей сведения по обособленному подразделению юридического лица, указывается наименование обособленного подразделения и юридического лица, к которому оно относится.

По строке "Почтовый адрес" указывается наименование субъекта Российской Федерации, юридический адрес с почтовым индексом. Если фактический адрес не совпадает с юридическим, то указывается также фактический почтовый адрес. Для обособленных подразделений, не имеющих юридического адреса, указывается почтовый адрес с почтовым индексом.

Юридическое лицо проставляет в кодовой части формы код Общероссийского классификатора предприятий и организаций (ОКПО) на основании Уведомления о присвоении кода ОКПО, направляемого (выдаваемого) организациям территориальными органами Росстата.

По территориально-обособленным подразделениям юридического лица указывается идентификационный номер, который устанавливается территориальным органом Росстата по месту расположения территориально-обособленного подразделения.

Отчет по форме N 6-ТП (гидро) предоставляется в сроки и адреса, указанные в форме.

Отчет по форме N 6-ТП (гидро) предоставляется также и по гидроэлектростанциям, не законченным строительством, гидроэнергетическое оборудование которых принято в эксплуатацию.

При заполнении формы N 6-ТП (гидро) необходимо руководствоваться следующими положениями.

II. Заполнение показателей формы N 6-ТП (гидро)

Раздел 1. Общие сведения

1.1. Установленная мощность гидроэлектростанции на конец года (графа 1) определяется по сумме номинальной активной мощности всех установленных на гидроэлектростанции гидрогенераторов. В указанную сумму мощностей включается и мощность гидрогенераторов, работающих для рыбоходов, судоходных шлюзов и прочих собственных нужд гидроэлектростанции, если они не принадлежат другим организациям.

В случае, когда мощность турбины меньше номинальной мощности гидрогенератора, установленная мощность гидроагрегата считается по номинальной мощности турбины с поправкой на КПД генератора в номинальном режиме.

Установленная мощность гидроэлектростанции может изменяться только в случае установки новых, вывода из эксплуатации или переоценки (перемаркировки) действующих генераторов или турбин, оформленной соответствующим документом.

1.2. Располагаемая мощность гидроэлектростанции на конец года (графа 2) определяется как установленная мощность генерирующих агрегатов за вычетом имеющихся ограничений по их мощности (в соответствии с графой 6 заполненной формы).

1.3. Средняя за отчетный год рабочая мощность гидроэлектростанции (графа 3) определяется уменьшением средней за год установленной мощности на величину среднего за год снижения мощности из-за плановых и внеплановых (включая аварийные) ремонтов оборудования, вывода оборудования в консервацию и на техническое перевооружение, а также из-за имеющихся на гидростанции ограничений мощности:

,

где:  - средняя за отчетный год рабочая мощность гидроэлектростанции;

 - средняя за год установленная мощность;

 - величина среднего за год снижения мощности из-за плановых ремонтов оборудования;

 - величина среднего за год снижения мощности из-за внеплановых (включая аварийные) ремонтов оборудования;

 - величина среднего за год снижения мощности из-за вывода оборудования в консервацию;

 - величина среднего за год снижения мощности из-за вывода оборудования на техническое перевооружение;

 - величина среднего за год снижения мощности из-за ограничений мощности.

Величина среднего за год снижения мощности из-за плановых ремонтов гидроагрегатов рассчитывается по формуле:

,

где: Pуi - установленная мощность выводимых в ремонт гидроагрегатов;

Tпл.рем - продолжительность (фактическая) плановых ремонтов гидроагрегатов в днях;

365 - продолжительность года в днях (для високосного года - 366);

 - общее число гидроагрегатов.

Аналогично рассчитываются величины среднего за год снижения мощности из-за внеплановых ремонтов, консервации, технического перевооружения и реконструкции.

Величина среднего за год снижения мощности из-за ограничений мощности:

,

где: Рогр. - величина ограничения установленной мощности гидроэлектростанции;

Тогр. - время действия ограничения мощности в днях;

365 - продолжительность года в днях (для високосного года - 366).

1.4. Средняя за отчетный год установленная мощность по гидрогенераторам (графа 4) вычисляется по формуле:

,

где: Р1, Р2,... Рi - мощность ГЭС (кВт) за отрезки времени соответственно t1, t2,... ti (дни), причем сумма t1+ t2…+ ti=365 (или 366 дней в високосном году).

Если на гидроэлектростанции в течение года не устанавливались новые гидроагрегаты и не демонтировались старые, то величина средней за год установленной мощности по гидрогенераторам совпадает с показателем установленной мощности гидроэлектростанции на конец отчетного года.

1.5. Число часов использования средней за отчетный год установленной мощности (графа 5) определяется по формуле:

,

где: Э - суммарная выработка электроэнергии за год всеми гидрогенераторами (раздел 3 графа 1 строка 32).

1.6. Величина ограничения установленной мощности за год (графа 6) - значение вынужденного недоиспользования установленной мощности гидроэлектростанции на конец года.

Раздел 2. Баланс воды

2.1. Запас воды в водохранилище на начало отчетного года (строка 21) - показывается по оперативным данным гидрометслужбы, а в случае их отсутствия - по данным гидроэлектростанции в пределах призмы регулирования.

2.2. Полный приток (строка 22) - приток воды за отчетный год в водохранилище или к створу гидроузла, показывается по оперативным данным гидрометслужбы, а в случае их отсутствия - по данным гидроэлектростанции.

2.3. Полный расход (строка 23) - весь фактический расход воды из водохранилища за отчетный год через створ гидроэлектростанции (по оперативным данным гидрометслужбы, а в случае их отсутствия - по данным гидроэлектростанции), в том числе:

2.3.1. на выработку электроэнергии (строка 24) - количество воды, прошедшее в течение года через все гидроагрегаты гидроэлектростанции при работе последних в генераторном режиме;

2.3.2. на холостые сбросы (строка 25) - суммарный расход воды за отчетный год, сброшенной через водосбросные сооружения гидроузла при пропуске паводка или сбросе излишков воды из-за невозможности пропуска воды через гидроагрегаты;

2.3.3. фильтрация и утечка через гидроузел (строка 26) - все виды нормированных утечек и измеренных фильтрационных расходов в створе гидроузла;

2.3.4. водопотребление другими отраслями народного хозяйства (строка 27) - определяется как разность между полным расходом и суммарным расходом воды на выработку электроэнергии, на холостые сбросы и фильтрацию через гидроузел.

Стр. 27 = стр. 23 - (стр. 24 + стр. 25 + стр. 26).

Для гидроаккумулирующих электростанций (ГАЭС) необходимо учитывать "Оборотный объем воды" ежесуточный и годовой (полный).

Величины показателей по пунктам 2.3.1, 2.3.2, 2.3.3 определяются в соответствии с "Правилами учета стока воды на гидроэлектростанциях" РД 153-34.2-21.563-00.

Раздел 3. Эксплуатационные данные

3.1. Максимум нагрузки (строка 31) - наибольшее значение активной нагрузки, зарегистрированное в суточной ведомости по приборам, которую гидроэлектростанция несла за отчетный период.

3.2. Выработано электроэнергии (строка 32) - количество выработанной гидроэлектростанцией электроэнергии, которое определяется по показаниям счетчиков гидрогенераторов в конце и начале отчетного года. Введение поправочных коэффициентов, помимо указанных на счетчиках постоянных коэффициентов, в показания счетчиков генераторов не допускается.

3.3. Количество отпущенной электроэнергии с шин (строка 33) - определяется как разность между количеством выработанной электроэнергии и расходом электроэнергии на собственные нужды в соответствии с "Типовой инструкцией по учету электрической энергии при ее производстве, передаче и распределении" РД 34.09.101-94.

3.4. Расходы электроэнергии на собственные нужды (строка 34) - суммарное количество электроэнергии, потребляемое отдельными вспомогательными установками, обеспечивающими работу гидроэлектростанции. Номенклатура элементов собственных нужд гидроэлектростанции приведена в Приложении к настоящим Указаниям.

В собственные нужды гидроэлектростанции не включается:

- расход электроэнергии на монтаж и предварительные испытания вновь установленного оборудования до ввода его в эксплуатацию (относится за счет капитального строительства);

- расход электроэнергии на нужды жилищно-коммунального хозяйства эксплуатационного поселка;

- расход электроэнергии на очистку водохранилища от наносов;

- расход электроэнергии другими потребителями, непосредственно не связанными с технологией производства электроэнергии на гидроэлектростанции.

В собственные нужды ГАЭС не включается расход электроэнергии на производственные нужды.

Раздел 4. Характеристика водотока

4.1. Наименование реки (водоема) - приводится наименование реки или водоема, вода которых используется на выработку электроэнергии.

4.2. Характеристика водного режима в отчетном году (за исключением ГАЭС) с указанием его водности (средний, маловодный, многоводный) - определяется по величине приточности воды в водохранилище, сообщаемой Управлением по гидрометеорологии и мониторингу окружающей среды.

В характеристике водного режима необходимо после определения водности года (маловодный, средний, многоводный) ставить процент его обеспеченности в соответствии с нижеприведенной таблицей:

Обеспеченность, %

Характеристика водности года

Определение водного года, приводимое в форме

1

Катастрофически многоводный

Многоводный

3

Очень многоводный

5

Многоводный

10

Среднемноговодный

25

Умеренно многоводный

50

Средний

Средний

75

Умеренно маловодный

Маловодный

90

Среднемаловодный

95

Маловодный

97

Очень маловодный

99

Катастрофически маловодный

Например, многоводный 10 % обеспеченности,

или - средний 50 % обеспеченности,

или - маловодный 97 % обеспеченности.

4.3. Для гидроэлектростанций, работающих в каскаде и имеющих боковую приточность, обеспеченность притока в водохранилище определяется по ряду величин зарегулированного притока за период эксплуатации и рассчитывается по формуле:

где: m - порядковый номер членов ряда зарегулированного притока, расположенных в убывающем порядке;

n - общее число членов ряда.

Раздел 5. Использование гидроагрегатов

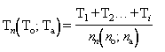
5.1. Коэффициент технического использования гидроагрегатов на гидроэлектростанции рассчитывается по формуле:

,

где: Т - число часов в году, равное 8760 (а в високосном - 8784);

Тn  - средняя продолжительность простоя гидроагрегата в плановом ремонте (включая сверхнормативный), ч;

То - средняя продолжительность простоя гидроагрегата во внеплановом ремонте из- за отказа оборудования, ч;

Та - средняя продолжительность простоя гидроагрегата из-за аварий, ч;

nr - общее число гидроагрегатов на ГЭС;

nn - количество гидроагрегатов, находящихся в отчетном году в плановом ремонте;

nо - количество гидроагрегатов, остановленных в отчетном году из-за отказов оборудования;

nа - количество гидроагрегатов, остановленных в отчетном году из-за аварий.

Величина средней по ГЭС продолжительности простоя гидроагрегата в плановом, внеплановом или аварийном ремонте определяется соответственно по формуле:

,

где: Т1, Т2,..., Тi - фактическая продолжительность простоя каждого из гидроагрегатов соответственно в плановом, внеплановом или аварийном ремонте, ч.

5.2. Простой гидроагрегатов в аварийном ремонте - указывается суммарное время простоя гидроагрегатов гидроэлектростанции из-за аварий в отчетном году.

С введением настоящих Указаний отменяется действие Инструкции по составлению государственной статистической отчетности о работе гидроэлектростанции (форма N 6-ТП (гидро) - годовая), утвержденной постановлением Госкомстата России от 29.09.92 N 161.

 

Управление статистики предприятий

Приложение

Номенклатура элементов собственных нужд гидроэлектростанции

1. Гидротехнические сооружения

Электродвигатели механизмов, обслуживающих плотины, водосбросы, промывные устройства, водозаборы ГЭС, водовыпуски и пр.

Освещение и отопление помещений сооружений ГЭС и деривации.

Обогрев пазов затворов.

2. Напорный бассейн (или аванкамера)

Электродвигатели механизмов, обслуживающих напорный бассейн (аванкамеру), промывные устройства.

Освещение напорного бассейна (аванкамеры) и отопление помещений, относящихся к сооружениям напорного бассейна (аванкамеры).

Электродвигатели механизмов, обслуживающих решетки и пазы затворов напорного фронта.

Обогрев решеток и затворов напорного фронта.

3. Здание ГЭС

Электродвигатели, задействованные в системе регулирования, в системе технического водоснабжения гидроагрегатов, в системе откачки воды из проточного тракта гидроагрегатов и дренажных вод здания ГЭС; электродвигатели масляного и пневматического хозяйства ГЭС, системы пожаротушения генераторов и здания ГЭС; электродвигатели механизма открытия-закрытия затворов напорных механизмов (кранов, лифтов, лебедок) и пр.

Электросварка, электроинструменты, электродвигатели механизмов и станков мастерских по ремонту гидромеханического и электротехнического оборудования.

Освещение, отопление и вентиляция всех без исключения помещений здания ГЭС, а также помещений распределительного устройства и освещение его территории.

 

 




ГОСТЫ, СТРОИТЕЛЬНЫЕ и ТЕХНИЧЕСКИЕ НОРМАТИВЫ.
Некоммерческая онлайн система, содержащая все Российские Госты, национальные Стандарты и нормативы.
В Системе содержится более 150000 файлов нормативно-технической документации, действующей на территории РФ.
Система предназначена для широкого круга инженерно-технических специалистов.

Рейтинг@Mail.ru Яндекс цитирования

Copyright © www.gostrf.com, 2008 - 2026