Крупнейшая бесплатная информационно-справочная система онлайн доступа к полному собранию технических нормативно-правовых актов РФ. Огромная база технических нормативов (более 150 тысяч документов) и полное собрание национальных стандартов, аутентичное официальной базе Госстандарта. GOSTRF.com - это более 1 Терабайта бесплатной технической информации для всех пользователей интернета. Все электронные копии представленных здесь документов могут распространяться без каких-либо ограничений. Поощряется распространение информации с этого сайта на любых других ресурсах. Каждый человек имеет право на неограниченный доступ к этим документам! Каждый человек имеет право на знание требований, изложенных в данных нормативно-правовых актах!

  


 

Методические рекомендации MP 2.6.1.0010-10

Оценка радиологической эффективности защитных мероприятий (контрмер), проводимых в отдаленный период после аварии на Чернобыльской АЭС

Введены в действие с 24 октября 2010 г.

Введены впервые

Содержание

1. Область применения

2. Нормативные ссылки

3. Введение

4. Назначение документа

5. Внешнее облучение

5.1. Источники формирования дозы внешнего облучения

5.2. Методы дезактивации

5.3. Особенности проведения измерений для оценки эффективности контрмер в отношении внешнего излучения

5.4. Оценка предотвращенной дозы и эффективности контрмер

6. Внутреннее облучение

Приложение 1 Модель внешнего облучении населения, проживающего на загрязненных территориях, в отдаленный период времени после радиоактивных выпадений

1. Область применения

Настоящие Методические рекомендации (далее - MP) определяют требования к мониторингу, сопровождающему проведение защитных мероприятий (контрмер), направленных на снижение уровней облучения жителей населенных пунктов (НП) Российской Федерации, подвергшихся радиоактивному загрязнению вследствие аварии на Чернобыльской АЭС (ЧАЭС), а также содержат алгоритмы оценки радиологической эффективности этих контрмер.

2. Нормативные ссылки

- Нормы радиационной безопасности (НРБ-99/2009), СанПиН 2.6.1.2523-09.

- Концепция радиационной, медицинской, социальной защиты и реабилитации населения Российской Федерации, подвергшегося аварийному облучению. РНКРЗ, 1995.

- Закон РФ от 18 июня 1992 г. N 3061-I "О внесении изменений и дополнений в Закон РСФСР "О социальной защите граждан, подвергшихся воздействию радиации вследствие катастрофы на Чернобыльской АЭС" (с изменениями от 24 декабря 1993 г., 24 ноября 1995 г., 11 декабря 1996 г., 16 ноября 1997 г., 17 апреля, 5 июля 1999 г.).

- Федеральный закон "О радиационной безопасности населения" от 9 января 1996 г. N 3-ФЗ (в ред. Федерального закона от 22 июня 2004 N 122-ФЗ).

- Публикации Международной Комиссии по радиологической защите NN 43, 60, 67, 74 и 82.

3. Введение

Обобщенным дозовым критерием необходимости применения контрмер в Российской Федерации является средняя годовая доза у жителей НП, обусловленная последствиями аварии на ЧАЭС при отсутствии мер защиты, равная 1 мЗв. При превышении этого значения рекомендуется применение контрмер. Конкретные меры защиты должны быть выбраны на основе оптимизационного анализа.

Для снижения доз внутреннего облучения жителей наиболее популярными контрмерами, нашедшими распространение на территориях, подвергшихся радиоактивному загрязнению после аварии на ЧАЭС, являются меры, направленные на уменьшение коэффициентов перехода радионуклидов из почвы в растения, и меры, направленные на уменьшение удельной активности радионуклидов в готовых продуктах.

К первым относятся такие меры, как внесение минеральных удобрений и глубокая вспашка почвы. В качестве метода снижения удельной активности радионуклида в готовом продукте можно назвать использование берлинской лазури в качестве добавки в корм скоту или нанесение зерен ферроцина на ткань, используемую в качестве фильтра для очистки молока.

Для снижения дозы внешнего гамма-излучения наиболее эффективными методами оказались такие, как снятие верхнего слоя почвы в некоторых локациях НП, глубокая вспашка, нанесение экранирующего дорожного покрытия.

Эффективность мероприятий, направленных на снижение доз облучения жителей, характеризуют уменьшением средней индивидуальной дозы жителя НП, и, в конечном итоге, величиной предотвращенной коллективной дозы. В качестве промежуточного параметра, характеризующего эффективность контрмер, может использоваться коэффициент снижения удельной активности радионуклида в пищевом продукте, либо коэффициент снижения мощности дозы внешнего гамма-излучения.

4. Назначение документа

Настоящие MP предназначены для использования органами и учреждениями Федеральной службы по надзору в сфере защиты прав потребителей и благополучия человека - для контроля за дозами облучения населения при проведении защитных мероприятий на территориях, подвергшихся радиоактивному загрязнению вследствие аварии на ЧАЭС. MP могут быть также использованы организациями, осуществляющими контрмеры, направленные на снижение уровней облучения жителей пострадавших НП, и местными органами власти.

5. Внешнее облучение

5.1. Источники формирования дозы внешнего облучения

В отдаленный период времени после Чернобыльской аварии доза внешнего облучения жителей за счет радиоактивного загрязнения местности практически полностью обусловлена гамма-излучением 137Cs. При этом основной вклад (80-100 %) в мощность дозы внешнего излучения* вносит загрязнение почвы. Загрязнение крыш дает заметный вклад в мощность дозы внешнего излучения лишь внутри мансардных помещений, размещенных непосредственно под крышей (до 20 %). Вкладом в мощность дозы внешнего излучения за счет радиоактивного загрязнения стен домов, деревьев, дорог и других объектов в настоящее время можно пренебречь.

5.2. Методы дезактивации

Заметно снизить дозы внешнего облучения жителей можно путем дезактивации почвы и/или крыш зданий (см. п. 5.1). При этом, под дезактивацией понимается не только процедура удаления с загрязненных поверхностей 137Cs, но и любое другое воздействие, приводящее к снижению создаваемой им мощности дозы гамма-излучения.

Эффективность различных технологий дезактивации в отношении уменьшения мощности дозы гамма-излучения над загрязненной поверхностью можно охарактеризовать численно с помощью коэффициента снижения мощности дозы внешнего гамма-излучения (КСМД), определяемого как отношение мощности дозы гамма-излучения на высоте 1 м над загрязненной поверхностью до дезактивации к мощности дозы гамма-излучения после дезактивации.

5.2.1. Дезактивация почвы

Радиоактивное загрязнение почвы в результате аварии на ЧАЭС является основным источником внешнего облучения населения. Для снижения мощности дозы гамма-излучения необходимо либо удалить часть 137Cs, находящегося в верхнем почвенном слое, либо увеличить его заглубление. Технологии дезактивации основаны на использовании одного из этих двух подходов или их комбинации.

Удаление верхнего слоя грунта. Эффективность этого метода достаточно велика в тех случаях, когда большая часть 137Cs локализована в тонком верхнем слое грунта. В реальных условиях такая ситуация характерна для участков, не используемых в хозяйственной деятельности. Например, на целинных участках местности около 80 % 137Cs находится в 5-сантиметровом верхнем слое почвы и более 90 % - в 10-сантиметровом слое. Таким образом, оптимальная толщина снимаемого слоя грунта в этом случае лежит в пределах 5-10 см.

Главное достоинство данного метода - возможность снижения мощности дозы в 10-30 раз (КСМД ~ 0,03-0,1) и удаления части активности, а основные недостатки - удаление плодородного слоя почвы и проблема обращения с большими объемами снимаемого загрязненного грунта.

Засыпка загрязненной поверхности "чистым" грунтом, покрытие асфальтом, бетоном, мощение естественным или искусственным камнем. Этот метод наиболее целесообразно использовать в тех случаях, когда в результате хозяйственной деятельности активность 137Cs распределена в толстом слое почвы, либо заглублена в результате ранее проводившихся подсыпок чистого грунта. При использовании данного метода реально может быть достигнуто 5-10-кратное уменьшение мощности дозы (КСМД ~ 0,1-0,2).

Главные достоинства метода - простота исполнения, сравнительно низкая трудоемкость и отсутствие отходов дезактивации. Главный недостаток - необходимость завоза значительные количества чистого грунта или иного экранирующего материала.

Вспашка (перекопка) почвы, в том числе глубокая вспашка специальным плугом, при которой происходит переворачивание почвы и заглубление 137Cs. Метод может быть достаточно эффективен на ровных открытых участках, не подвергавшихся ранее перепашке. С увеличением глубины перепашки (перекопки) увеличивается эффективность дезактивации, но при этом происходит захоронение плодородного слоя почвы. Мощность дозы гамма-излучения при использовании этого метода на ровных участках местности может быть снижена в 2-5 раз (КСМД ~ 0,2-0,5).

К достоинствам метода следует отнести простоту его реализации и отсутствие отходов дезактивации. Главный недостаток - относительно малая величина ослабления мощности дозы и низкая эффективность на неровных участках.

5.2.2. Дезактивация крыш

Эффект от дезактивации крыш в отдаленный период после радиоактивных выпадений значительно ниже, чем при дезактивации почвы. Тем не менее, вклад радиоактивного загрязнения крыши в мощность дозы гамма-излучения в отдельных случаях может достигать 20 % (например, для мансардных жилых помещений внутри домов).

Методы дезактивации крыш определяются исходя из их конфигурации, материала, состояния и плотности загрязнения поверхности 137Cs. В большинстве случаев, крыши домов на загрязненной в результате аварии на ЧАЭС территории покрыты шифером, прочно удерживающим цезий. Дезактивация таких крыш требует использования специальных технологий. В большинстве случаев проще и дешевле снять старый шифер и заменить его новым.

5.3. Особенности проведения измерений для оценки эффективности контрмер в отношении внешнего излучения

Для оценки предотвращенной дозы внешнего облучения за счет проведения контрмер рекомендуется использовать результаты измерений мощностей доз в воздухе в различных локациях внутри НП до и после проведения контрмер с последующим моделированием поведения жителей НП. Такой метод позволяет оценивать предотвращенную дозу единообразно при любой технологии проведения контрмер в НП, используя в качестве исходных данных стандартный набор результатов измерений мощностей доз.

До начала проведения контрмер в НП или в его части должна быть подготовлена детальная программа измерений с учетом принятого плана проведения контрмер. Программа измерений должна включать детальные схемы участков и объектов работ с нанесенными на них точками измерений.

Программа измерений должна включать следующие разделы:

- приборы для проведения измерений;

- выбор точек измерений;

- порядок выполнения измерений;

- мероприятия по обеспечению качества измерений;

- документирование результатов измерений.

Приборы для проведения измерений

Используемые приборы должны соответствовать условиям измерений (вид излучения, интенсивность, энергетический спектр и т.д.) и иметь действующие свидетельства о метрологической поверке.

Выбор точек для проведения измерений

При выборе точек измерений необходимо учитывать следующее:

- точки измерений должны быть представительны для последующей оценки ожидаемого уменьшения мощности дозы внешнего излучения;

- точки измерений должны быть доступны для проведения измерений до и после дезактивации.

При оценке уменьшения мощности дозы в домах необходимо проводить измерения в нескольких комнатах. Точки измерения следует выбирать в центре комнаты, или в том ее месте, где люди проводят большую часть своего времени.

Проведение измерений перед дезактивацией

Измерения перед дезактивацией (первый цикл измерений) следует проводить в соответствии с программой измерений.

До проведения дезактивации осуществляют разметку участка по сетке с шагом не более чем 5´5 м, составляют его схему, проводят измерения мощности дозы гамма-излучения в узлах сетки на высоте 1 м над поверхностью земли и заносят результаты измерений в протокол.

Проведение измерений после дезактивации

После окончания дезактивации должен быть произведен второй цикл измерений. Для этого измерения повторяют в тех же точках, что и в первом цикле измерений, или, по крайней мере, с использованием той же сетки измерений.

Определив отношения измеренных мощностей доз до и после дезактивации можно обнаружить зоны с низкой эффективностью дезактивации и, при необходимости, повторить дезактивацию в этих зонах.

Обеспечение качества измерений

При проведении измерений должны быть приняты все необходимые меры для обеспечения качества, направленные на соблюдение соответствия используемых средств и методик поставленным задачам, на регулярную проверку используемых приборов и контроль качества работы персонала.

Для своевременного выявления неадекватной работы измерительных приборов (разряд батареи питания, отказ компонентов, механическое воздействие, несоответствие спектральных характеристик поля излучения и т.п.) необходимо регулярно проводить тестирование всех используемых приборов в стандартных условиях измерения. Такое тестирование может проводиться двумя способами:

- с использованием специальных калибровочных источников или установок, обеспечивающих стандартные характеристики поля излучения в зоне калибровки (некоторые приборы имеют встроенные калибровочные источники);

- путем проведения регулярных (ежедневных) измерений всеми приборами, используемыми для проведения мониторинга, в специальных калибровочных точках, где поле гамма-излучения хорошо изучено и стабильно.

Это позволит выявить и учесть систематические расхождения в результатах измерения различными приборами, что важно при проведении широкомасштабного мониторинга разными исследователями с использованием различных измерительных приборов.

5.4. Оценка предотвращенной дозы и эффективности контрмер

5.4.1. Оценка предотвращенной дозы

Используя результаты измерений мощностей доз до и после дезактивации, величину индивидуальной предотвращенной дозы (DEik) для представителей i-той группы населения, пребывающих на k-ом дезактивированном участке НП (подворье, школа, детский сад) рассчитывают по формуле:

,                                                                        мЗв (5.1)

где: Kg=2,4×105 коэффициент, учитывающий уменьшение мощности дозы со временем благодаря заглублению 137Cs в почву и его радиоактивному распаду, час;

 - коэффициент перехода от поглощенной дозы в воздухе к эффективной дозе у представителей i-той группы населения, равный 0,75 Зв/Гр, 0,80 Зв/Гр и 0,90 Зв/Гр, для взрослого населения, детей школьного возраста и дошкольников, соответственно;

KS - коэффициент влияния снежного покрова на величину среднегодовой эффективной дозы (равен 0,85-0,95 для различной толщины снежного покрова зимой), отн. ед.;

Pij - фактор поведения i-той группы населения, отн. ед. (приложение 1);

 и  - измеренные значения мощности дозы в j-той локации k-ото участка НП до и после дезактивации, соответственно, (мГр/час).

В формуле (5.1) и далее индекс группы населения соответствует:

i=1 - школьники;

i=2 - дошкольники;

i=3 - взрослые (группа 1)**;

i=4 - взрослые (группа 2)***;

i=5 - пенсионеры.

Для оценки предотвращенной коллективной дозы в НП необходимо просуммировать индивидуальные предотвращенные дозы у представителей различных групп населения, проживающих на отдельных дезактивированных участках НП:

                                                                    (5.2)

где:  - количество жителей i-той группы, проживающих на k-том дезактивированном участке, а DEik определяется выражением (5.1).

При таком подходе к оценке предотвращенной коллективной дозы в НП не учитывается влияние дезактивации, проведенной на отдельном подворье, на жителей, проживающих на соседних, не дезактивированных, подворьях или эпизодически посещающих дезактивированное подворье.

5.4.2. Оценка эффективности контрмер

Эффективность данной технологии контрмер в отношении уменьшения дозы внешнего облучения i-той группы населения (коэффициент снижения дозы внешнего облучения i-той группы населения - ) определяется как отношение предотвращенной дозы у представителей i-той группы населения к дозе, которая была бы накоплена без применения контрмер:

,                                          (5.3)

где:  и  - измеренные мощности доз в j-той локации до и после дезактивации, соответственно, мГр/год;

Pij - фактор поведения i-той группы населения, отн. ед. (см. приложение 1).

В числителе суммирование проводится только по тем местам, где проводились контрмеры, т.к. в других местах разность () будет равна нулю. В знаменателе суммирование проводится по всем представительным локациям НП.

Для обоснования целесообразности проведения дезактивации в выбранном НП следует оценить ожидаемую предотвращенную дозу внешнего гамма-излучения по результатам предварительного радиационного обследования. Прогнозируемое значение предотвращенной дозы можно рассчитать, используя результаты измерений мощностей доз до проведения дезактивации и известные значения факторов КСМД (см. выше) в отношении уменьшения мощности дозы гамма-излучения над j-ой загрязненной поверхностью при применении отдельных технологий контрмер.

,                                                                           (5.4)

Пример

В качестве примера, оценим эффективность дезактивации в отношении представителей группы 1 взрослых жителей НП для следующего сценария:

1. Среднее измеренное значение мощности дозы до дезактивации на подворье вне помещений Pвне=0,5 мкГр×час-1(60 мкГр×час-1), а внутри жилого деревянного дома Pвн=0,17 мкГр×час-1(20 мкГр×час-1).

2. Мощность дозы над целинными участками почвы Pцел=0,9 мкГр×час-1 (100 мкГр×час-1).

3. Измерения мощностей доз проводятся только на личном подворье, которое предполагается дезактивировать; при этом мощности доз в остальных представительных местах НП можно оценить на основе параметров общей модели формирования дозы внешнего облучения как Pj=Pцел×fj (см. приложение 1).

4. .

При этих исходных данных значение  будет следующим:

Таким образом, при заданном сценарии проведения контрмер возможно предотвратить 54 % от ожидаемой за жизнь дозы внешнего облучения у представителей группы 1. Так как в этом примере были использованы наибольшие численные значения КСМД, достигнутые к настоящему времени на практике, то и оценка эффективности дезактивации является максимальной. Напротив, при значениях  возможно будет предотвратить только 30 % от ожидаемой за жизнь дозы внешнего облучения у представителей группы 1.

6. Внутреннее облучение

Контрмеры, применяемые для снижения доз внутреннего облучения, и их особенности

К контрмерам, направленным на снижение доз внутреннего облучения жителей, могут быть отнесены следующие [6-13]:

- замена радиоактивно загрязненных пищевых продуктов на "чистые";

- агрохимические мероприятия, направленные на снижение перехода 137Cs  и 90Cr  из почвы в растения;

- мероприятия по снижению содержания 137Cs и 90Cr в продукции животноводства;

- переработка сырья для снижения содержания 137Cs и 90Cr в пищевых продуктах.

Замена радиоактивно загрязненных пищевых продуктов на "чистые"

Эта контрмера чаще всего используется на раннем этапе аварии в случаях, когда содержание 137Cs и 90Cr в пищевых продуктах превышает установленные нормативы. Как правило, завозятся мясомолочные продукты и некоторые виды овощей. Контрмера имеет временный характер, а целесообразность ее применения зависит от уровней радиоактивного загрязнения пищевых продуктов. Эффект снижения дозы зависит от видов местных и привозных продуктов, потребляемых населением, и их количественного соотношения в рационе питания.

Агрохимические мероприятия по снижению содержания радионуклидов в продукции растениеводства

Основной недостаток метода замены местных радиоактивно загрязненных пищевых продуктов в течение длительного времени состоит в том, что данная контрмера лишает сельхозпроизводителей стимулов дальнейшего производства и требует значительных финансовых затрат. Сохранение традиционных видов деятельности оказывается возможным при проведении целого ряда агрохимических мероприятий, направленных на уменьшение перехода радионуклидов из почвы в продукцию растениеводства. Примерами таких мероприятий, позволяющих в несколько раз уменьшить уровни радиоактивного загрязнения продукции, являются: известкование кислых почв, внесение дополнительных доз калийных и фосфорных удобрений и пр. В табл. 6.1 представлены обобщенные данные по кратности снижения содержания 137Cs и 90Cr в продукции за счет перечисленных мероприятий.

Таблица 6.1

Эффективность агрохимических приемов снижения содержания 137Cs и 90Cr в растениях [6-9]

Мероприятие

Тип почвы

Кратность снижения

(137)Cs

(90)Sr

Известкование кислых почв

дерново-подзолистая,

1,5-4,0

1,5-2,5

светло-серая лесная, торфяная

1,5-2,5

-

Внесение дополнительных доз фосфорных и калийных удобрений

дерново-подзолистая,

1,5-2,0

1,2-1,5

серая лесная, торфяная

1,5-2,0

-

Внесение органических удобрений, 40 т/га и выше

дерново-подзолистая, серая лесная, торфяная

1,5-3,0

1,5-2,0

Совместное внесение извести, минеральных и органических удобрений

дерново-подзолистая, серая лесная

2,0-5,0

2,0-4,0

Внесение природных минералов-сорбентов (цеолиты, вермикулит, бентонит, палигорскит)

дерново-подзолистая

1,5-2,5

1,5-2,0

Мероприятия по снижению содержания радионуклидов в продукции животноводства

Для снижения содержания 137Cs и 90Cr в продукции животноводства широко применяются мероприятия по снижению перехода этих радионуклидов из почвы в траву в местах выпаса сельскохозяйственных животных, например, окультуривание пастбищ, применение специальных добавок в корм скоту (например, берлинской лазури), создание специальных условий содержания сельскохозяйственных животных перед забоем и пр. В табл. 6.2 представлены обобщенные данные по эффективности мероприятий, направленных на снижение удельной активности радионуклидов в продукции животноводства.

Таблица 6.2

Эффективность мероприятий по снижению содержания радионуклидов в продукции животноводства [6-9]

Мероприятие

Кратность снижения

(137)Cs

(90)Sr

Поверхностное улучшение лугов и пастбищ

1,5-6,0

1,5-5,0

Коренное улучшение лугов и пастбищ

1,5-10,0

1,5-5,0

Добавление в корма берлинской лазури (ферроцина)

2,0-8,0

-

Минеральные подкормки

1,5-2,0

2,0-3,0

Перевод животных перед забоем на 1 месяц на радиационно-чистые корма

2,0-4,0

-

Переработка сырья для снижения содержания 137Cs и 90Cr в пищевых продуктах

Удельная активность 137Cs и 90Cr в пищевых продуктах может быть снижена путем переработки исходного сырья. Так, переработка молока в другие молочные продукты, например, в масло, позволяет уменьшить удельную активность этих радионуклидов в нем в несколько раз. В табл. 6.3 приведены обобщенные данные по кратности снижения содержания радионуклидов при некоторых видах обработки сырья.

Таблица 6.3

Эффективность мероприятий по снижению содержания радионуклидов в производимой продукции [6-9]

Мероприятие

Кратность снижения

(137)Cs

(90)Sr

Переработка молока на сливки и масло

6,0-12,0

5,0-10,0

Кулинарная обработка мяса

2,0-4,0

-

Оценка эффективности контрмер по снижению содержания радионуклидов в пищевых продуктах

В настоящее время 137Cs определяет не менее 90-95 % дозы внутреннего облучения населения. Поэтому далее в настоящем документе рассматривается только этот радионуклид.

Основной целью контрмер по снижению содержания радионуклидов в пищевых продуктах является снижение доз облучения населения, потребляющего пищевые продукты, произведенные на территориях, подвергшихся радиоактивному загрязнению. Эффективность контрмер, направленных на снижение доз, принято характеризовать величиной предотвращенной коллективной дозы. Снижение дозы может быть достигнуто за счет снижения удельной активности радионуклидов в потребляемых пищевых продуктах. Поэтому параметры, характеризующие степень этого снижения, тоже могут рассматриваться для оценки эффективности различных контрмер. Численные значения этих параметров могут быть получены по данным о содержании радионуклидов в пищевых продуктах до проведения мероприятия и после его выполнения.

Величина предотвращенной дозы зависит от длительности действия контрмеры и уровней поступления 137Cs в организм жителей в составе пищевого рациона.

Изменение параметров, от которых зависит величина дозы, таких, как удельная активность 137Cs в траве, овощах, мясо-молочных продуктах, пищевых продуктах природного происхождения, может определяться по результатам прямых инструментальных измерений. При этом объектами инструментальных измерений для оценки эффективности контрмер, в первую очередь, должны быть пищевые продукты, на которые распространяется контрмера.

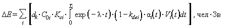
Величину предотвращенной коллективной дозы DЕ для жителей НП, в котором применяются контрмеры, можно оценить с помощью формулы:

,                   (6.1)

где: dk - дозовый коэффициент для пищевого пути поступления 137Cs в организм человека, Зв×Бк-1; (в соответствии с [5,14] dk =1,2×10-8 Зв×Бк-1;

C0i - удельная активность 137Cs в i-ом пищевом продукте до проведения контрмеры, Бк/кг;

Kci - доля потребления i-го продукта, произведенного в НП, его населением (для оценки величины полной предотвращенной коллективной дозы принимают Kci=1), отн. ед.;

kdei - коэффициент снижения величины удельной активности 137Cs в i-ом пищевом продукте в результате применения контрмеры, равный отношению этих величин после и до проведения контрмеры, отн. ед.;

lambda - постоянная радиоактивного распада 137Cs, равная 0,023 год -1;

Affected by the Chernobyl Accident Riso-R-1029(EN). Riso National Laboratory, Roskilde, Denmark. August 1998.

5. Радиационный мониторинг доз облучения населения территорий, подвергшихся радиоактивному загрязнению вследствие аварии на Чернобыльской АЭС. Методические рекомендации по обеспечению радиационной безопасности. Роспотребнадзор, Москва, 2007.

6. Рекомендации по ведению сельского хозяйства в условиях радиоактивного загрязнения территории в результате аварии на Чернобыльской АЭС на период 1991-1995 гг., Москва, 1991.

7. Руководство по применению контрмер в сельском хозяйстве в случае аварийного выброса радионуклидов в окружающую среду. IAEA-TECDOC-745 ISSN 1011-4289, МАГАТЭ, Вена, 1994, 104 с.

8. Фесенко С.В., Алексахин P.M., Санжарова Н.И., Спиридонов С.И., Калмыков М.В. Закономерности изменения содержания  в продукции животноводства на территории Российской Федерации, подвергшейся загрязнению в результате аварии на Чернобыльской АЭС.

9. Радиационная биология. Радиоэкология, т. 35, вып. 3, 1995, с. 316 - 327.

10. Фесенко С.В., Санжарова Н.И., Лисянский К.Б. Оценка эффективности контрмер в сельском хозяйстве после аварии на ЧАЭС. Радиация и риск, вып. 9, 1997, с. 53 - 60.

11. Alexakhin R.M. Countermeasures in Agricultural Production as an Effective Means of Mitigating the Radioecological Consequences of the Chernobyl Accident. The Science of the Total Enviroment, v. 137, 1993, pp. 9 - 20.

12. Handbook of parameter values for the prediction of radionuclide transfer in temperate environments. Technical Report Series, No. 364, IAEA, Vienna, 1994.

13. Modelling of resuspencion, seasonality and losses during food processing. First Report of the VAMP Terrestrial Working Group. IAEA-TECDOC-647, 1992.

14. Self-help countermeasure strategies for population living within contaminated areas of the Former Soviet Union and an assesment of land currently removed from agricultural usage. Ed. by N.A. Beresdorf and S.M. Wright. Joint Deliverable projepts RESTORE (F14-CT95-0021) and RECLAIM (ER-BIC15-CT96-0209), United Kingdom, 1999, 82 p.

15. O.V. Lebedev, V.A. Yacovlev. The correlation between  half-life and age, body mass and height in individuals contaminated from the Chernobyl accident. The Chernobyl Papers, Vol. 1, Research enterprises, Washington, 1993, pp. 219 - 243.

______________________________

* Здесь и далее, если это не оговорено особо, под мощностью дозы внешнего излучения понимается чернобыльский компонент мощности дозы, определяемый гамма-излучением радиоактивных выпадений.

** Группа 1 - лица, работающие преимущественно внутри помещений (бухгалтеры, продавцы, учителя, экономисты, кассиры, работники общественного питания, библиотекари, медперсонал, воспитатели детсадов, работники отделений связи, промышленные рабочие и т.п.).

*** Группа 2 - лица, работающие преимущественно вне помещений (механизаторы, полеводы, агрономы, шофера, плотники, каменщики, пастухи, лесники, доярки, скотники, свинарки, зоотехники, телятницы, фуражиры, неквалифицированные с/х рабочие и т.п.).

Приложение 1

Модель внешнего облучении населения, проживающего на загрязненных территориях, в отдаленный период времени после радиоактивных выпадений

При любой ситуации внешнего облучения человека для оценки эффективной дозы необходима информация, включающая три основных блока данных:

- характеристики поля внешнего гамма-излучения;

- характеристики поведения человека в этом поле;

- коэффициенты перехода от характеристик поля гамма-излучения к эффективной дозе у человека.

В настоящем документе в качестве базовой используется модель облучения человека над открытым целинным участком почвы, а в качестве характеристики поля излучения - поглощенная доза в воздухе на высоте 1 м над подстилающей поверхностью. В этом случае на ее величину, кроме поверхностной активности выпавших радионуклидов, оказывают влияние только такие естественные факторы, как радиоактивный распад, вертикальная миграция долгоживущих радионуклидов, наличие снежного покрова.

При облучении населения в антропогенной среде характеристики поля излучения изменяются. Учет этого в модели внешнего облучения проводится с помощью факторов места fj, определяемых как отношение мощности дозы в воздухе в точке j внутри НП или в его ареале, обусловленной гамма-излучением радиоактивных выпадений, к аналогичной величине над открытым целинным участком почвы.

Поведение человека в поле излучения источника описывается с помощью факторов поведения pij, представляющих собой долю времени, в течение которого представители i-той группы населения находятся в j-той точке НП.

Третий, необходимый для оценки эффективной дозы внешнего облучения, блок данных представлен коэффициентами перехода, связывающими измеряемые на практике величины (поглощенная доза в воздухе) с оцениваемым критерием воздействия излучения - эффективной дозой.

Уравнение для расчета мощности эффективной дозы  у представителей i-той группы населения имеет следующий вид:

,                                                         (П.1)

где: Pцел - мощность поглощенной дозы в воздухе над открытым целинным участком почвы, мкГр/год;

 - коэффициент перехода от поглощенной дозы в воздухе к эффективной дозе у представителей i-той группы населения, (0,75 мкЗв/мкГр, 0,80 мкЗв/мкГр и 0,90 мкЗв/мкГр для взрослого населения, детей школьного возраста и дошкольников, соответственно);

KS - коэффициент влияния снежного покрова на величину среднегодовой эффективной дозы (0,85-0,95, в зависимости от толщины снежного покрова зимой), отн. ед.;

fj - фактор места, отн. ед.;

Pij - фактор поведения для i-той группы населения отн. ед.

Для расчета D(t) используют выражение:

,                                                  (П.2)

где:  - средняя плотность загрязнения почвы 137Cs в НП на дату окончания радиоактивных выпадений, кБк/м2;

 - мощность дозы в воздухе от плоского источника цезия-137, расположенного на границе раздела воздух - земля;

l137 - постоянная распада 137Cs, год-1;

r(t) - функция, учитывающая уменьшение мощности дозы гамма-излучения 137Cs над целинной почвой из-за процесса естественной миграции:

,                                          (П.3)

где Т1=1,5 года, Т2=50 лет,

В табл. П.1 приведены значения факторов места и факторов поведения для сельского населения средней полосы России в отдаленный период времени после выпадений. При наличии местных данных о значениях этих параметров для оценки дозы внешнего облучения жителей необходимо использовать местные значения.

Таблица П.1

Значения факторов места и факторов поведения для сельского населения средней полосы России в отдаленный период после выпадений

Локация в НП или в его ареале

f_i, отн. ед.

p_ij, отн. ед.

Группа 1

Группа 2

Пенсионеры

Школьники

Дошкольники

Жилая зона

 

 

 

 

 

 

дом (1-эт. деревянный)

0,13

 

 

 

 

 

дом (1-эт. каменный)

0,07

0,49

0,47

0,68

0,58

0,52

многоэтажный дом

0,02

 

 

 

 

 

вне дома

0,55

0,21

0,16

0,30

0,23

0,14

Производственная зона

 

 

 

 

 

 

рабочие помещения

0,07

0,23

0,08

0,00

0,00

0,00

многоэтажные дома

0,02

0,00

0,00

0,00

0,16

0,25

рабочие дворы

0,30

0,03

0,08

0,00

0,00

0,09

пашня

0,50

0,02

0,17

0,00

0,00

0,00

целина

1,0

0,01

0,03

0,00

0,00

0,00

Зона отдыха

 

 

 

 

 

 

лес, луг

1,0

0,01

0,01

0,02

0,03

0,00

Примечание:

- Группа 1 - взрослые лица, работающие преимущественно внутри помещений (бухгалтеры, продавцы, учителя, экономисты, кассиры, работники общественного питания, библиотекари, медперсонал, воспитатели детсадов, работники отделений связи, промышленные рабочие и т.п.).

- Группа 2 - взрослые лица, работающие преимущественно вне помещений (механизаторы, полеводы, агрономы, шофера, плотники, каменщики, пастухи, лесники, доярки, скотники, свинарки, зоотехники, телятницы, фуражиры, неквалифицированные с/х рабочие и т.п.).

Если реальные измерения мощностей доз проводятся только на личном подворье, то мощности доз в остальных представительных местах НП можно оценить следующим образом:

,                                                                (П.4)

,                                                                                 (П.5)

где: Рцел и Pj - мощности доз над целиной и j-ым участком в НП на момент проведения дезактивации, мкГр×год-1;

А137(Т0) - средняя плотность загрязнения почвы 137Cs в НП на момент проведения дезактивационных работ, кБк/м2;

r(Т0) - значение функции r(t) на момент времени проведения дезактивации.

 

 




ГОСТЫ, СТРОИТЕЛЬНЫЕ и ТЕХНИЧЕСКИЕ НОРМАТИВЫ.
Некоммерческая онлайн система, содержащая все Российские Госты, национальные Стандарты и нормативы.
В Системе содержится более 150000 файлов нормативно-технической документации, действующей на территории РФ.
Система предназначена для широкого круга инженерно-технических специалистов.

Рейтинг@Mail.ru Яндекс цитирования

Copyright © www.gostrf.com, 2008 - 2026