Крупнейшая бесплатная информационно-справочная система онлайн доступа к полному собранию технических нормативно-правовых актов РФ. Огромная база технических нормативов (более 150 тысяч документов) и полное собрание национальных стандартов, аутентичное официальной базе Госстандарта. GOSTRF.com - это более 1 Терабайта бесплатной технической информации для всех пользователей интернета. Все электронные копии представленных здесь документов могут распространяться без каких-либо ограничений. Поощряется распространение информации с этого сайта на любых других ресурсах. Каждый человек имеет право на неограниченный доступ к этим документам! Каждый человек имеет право на знание требований, изложенных в данных нормативно-правовых актах!

  


 

Приказ Федеральной службы по тарифам от 13 октября 2010 г. N 486-э

Об утверждении Порядка определения цены на мощность вводимых в эксплуатацию новых атомных и гидроэлектростанций (в том числе гидроаккумулирующих электростанций)

В соответствии с постановлением Правительства Российской Федерации от 24 февраля 2010 г. N 89 "О некоторых вопросах организации долгосрочного отбора мощности на конкурентной основе на оптовом рынке электрической энергии (мощности)" (Собрание законодательства Российской Федерации, 2010, N 15, ст. 1803), приказываю:

1. Утвердить Порядок определения цены на мощность вводимых в эксплуатацию новых атомных и гидроэлектростанций (в том числе гидроаккумулирующих электростанций) в соответствии с приложением.

2. Настоящий приказ вступает в силу в установленном порядке.

Руководитель

С. Новиков

Зарегистрировано в Минюсте РФ 17 декабря 2010 г.

Регистрационный N 19232

Приложение

Порядок
определения цены на мощность вводимых в эксплуатацию новых атомных станций и гидроэлектростанций (в том числе гидроаккумулирующих электростанций)

1. Настоящий Порядок определения цены на мощность вводимых в эксплуатацию новых атомных и гидростанций (в том числе гидроаккумулирующих электростанций) (далее - Порядок) разработан в соответствии с постановлением Правительства Российской Федерации от 24 февраля 2010 года N 89 "О некоторых вопросах организации долгосрочного отбора мощности на конкурентной основе на оптовом рынке электрической энергии (мощности)" (Собрание законодательства Российской Федерации, 2010, N 15, ст. 1803), а также на основании Федерального закона от 26 марта 2003 года N 35-ФЗ "Об электроэнергетике" (Собрание законодательства Российской Федерации, 2003, N 13, ст. 1177; 2004, N 35, ст. 3607; 2005, N 1 (часть 1), ст. 37; 2006, N 52 (часть 1), ст. 5498; 2007, N 45, ст. 5427; 2008, N 29 (часть 1), ст. 3418; N 52 (часть 1), ст. 6236; 2009, N 48, ст. 5711; 2010, N 11, ст. 1175; N 31, ст. 4156; N 31, ст. 4157; N 31, ст. 4160) (далее - Закон об электроэнергетике), Правил оптового рынка электрической энергии (мощности) переходного периода, утвержденных постановлением Правительства Российской Федерации от 24 октября 2003 года N 643 (Собрание законодательства Российской Федерации, 2003, N 44, ст. 4312; 2005, N 7, ст. 560; N 8, ст. 658; N 17, ст. 1554; N 43, ст. 4401; N 46, ст. 4677; N 47, ст. 4930; 2006, N 36, ст. 3835; 2007, N 1 (часть 2), ст. 282; N 16, ст. 1909; 2008, N 2, ст. 84; N 3, ст. 182; N 27, ст. 3285; 2009, N 9, ст. 1103; N 23, ст. 2822; N 32, ст. 4040; N 38, ст. 4479; N 43, ст. 5066; N 46, ст. 5500; N 47, ст. 5667; N 52 (часть 1), ст. 6575; 2010, N 15, ст. 1803; N 12, ст. 1333; N 11, ст. 1216; N 18, ст. 2239; N 21, ст. 2610; N 23, ст. 2848; N 25, ст. 3175; N 37, ст. 4708) (далее - Правила оптового рынка), Основ ценообразования в отношении электрической и тепловой энергии в Российской Федерации, утвержденных постановлением Правительства Российской Федерации от 26 февраля 2004 года N 109 (Собрание законодательства Российской Федерации, 2004, N 9, ст. 791; 2005, N 1 (часть 2), ст. 130; N 43, ст. 4401; N 47, ст. 4930; N 51, ст. 5526; 2006, N 23, ст. 2522; N 36, ст. 3835; N 37, ст. 3876; 2007, N 1 (часть 2), ст. 282; N 14, ст. 1687; N 16, ст. 1909; 2008, N 2, ст. 84; N 25, ст. 2989; N 27, ст. 3285; 2009, N 8, ст. 980; N 8, ст. 981; N 8, ст. 982; N 12, ст. 1429; N 25, ст. 3073; N 26, ст. 3188; N 32, ст. 4040; N 38, ст. 4479; N 38, ст. 4494; N 52 (часть 1), ст. 6575; 2010, N 12, ст. 1333; N 15, ст. 1808; N 21, ст. 2610; N 23, ст. 2837; N 37, ст. 4708) (далее - Основы ценообразования).

2. Порядок предназначен для использования федеральным органом исполнительной власти в области регулирования тарифов для определения цены на мощность вводимых в эксплуатацию в соответствии с договорами купли-продажи (поставки) мощности новых атомных (далее - АЭС) и гидроэлектростанций (в том числе гидроаккумулирующих электростанций) (далее - ГЭС/ГАЭС), расположенных в границах ценовых зон оптового рынка электрической энергии и мощности, объемы производства электрической энергии и мощности которых не были учтены в сводном балансе на 2007 год по состоянию на 1 января 2007 г. (далее - АЭС/ГЭС).

3. Цена на мощность АЭС/ГЭС/ГАЭС, вводимых в эксплуатацию в соответствии с договорами купли-продажи (поставки) мощности новых АЭС/ГЭС/ГАЭС, определяется в целях:

- обеспечения безопасной эксплуатации АЭС, в целях выполнения норм действующего законодательства и обеспечения деятельности и выполнения обязанностей эксплуатирующей организации, осуществляющей деятельность в области использования атомной энергии, - ОАО "Концерн Росэнергоатом"*;

- обеспечения безопасной эксплуатации ГЭС/ГАЭС, в целях выполнения норм действующего законодательства и обеспечения деятельности оптовой генерирующей компании, созданной на основании решений Правительства Российской Федерации путем реорганизации дочерних и зависимых акционерных обществ Российского открытого акционерного общества энергетики и электрификации "Единая энергетическая система России"*, в уставный капитал которой переданы генерирующие объекты гидроэлектростанций;

- обеспечения окупаемости капитальных вложений в сооружение новых АЭС/ГЭС за 25 лет с учетом нормы доходности.

4. Порядок определяет цену на мощность вводимых в эксплуатацию новых АЭС/ГЭС/ГАЭС, рассчитываемую на основе размера денежных средств, необходимых для обеспечения безопасной эксплуатации АЭС/ГЭС/ГАЭС, с учетом аннуитетного платежа, обеспечивающего возвратность и доходность капитальных вложений.

5. Для определения размера денежных средств, необходимых для обеспечения безопасной эксплуатации АЭС, по каждой из них рассчитывается необходимая валовая выручка (далее - ), обеспечивающая компенсацию экономически обоснованных затрат АЭС на их эксплуатацию с соблюдением требований безопасности, в том числе расходов АЭС, определяемых прямым счетом (подпункт 5.1 пункта 5 Порядка), и прочих эксплуатационных затрат генерирующего объекта АЭС (подпункт 5.2 пункта 5 Порядка).

5.1. К расходам, определяемым прямым счетом, относятся:

а) расходы, связанные с закупкой свежего ядерного топлива (далее - СЯТ) и комплектующих активной зоны реакторов для действующих и вновь вводимых энергоблоков, с учетом затрат по обеспечению их поставки и использованию на АЭС.

б) расходы на услуги специализированных организаций по реализации полного цикла обращения с отработавшим ядерным топливом (далее - ОЯТ) и облученными комплектующими активных зон реакторов действующих и вновь введенных энергоблоков, включая затраты по обеспечению их вывоза.

в) расходы на отчисления для формирования целевых резервов, включающие отчисления для формирования резервов, предназначенных для обеспечения безопасности атомных станций на всех этапах их жизненного цикла и развития в соответствии с постановлением Правительства Российской Федерации от 30.01.2002 N 68 "Об утверждении Правил отчисления предприятиями и организациями, эксплуатирующими особо радиационно опасные и ядерно опасные производства и объекты (атомные станции), средств для формирования резервов, предназначенных для обеспечения безопасности атомных станций на всех стадиях их жизненного цикла и развития" (Собрание законодательства Российской Федерации, 2002, N 5, ст. 534; 2003, N 50, ст. 4900; 2005, N 5, ст. 385; 2009, N 9, ст. 1127) (далее - постановление Правительства Российской Федерации от 30.01.2002 N 68):

- резерв на обеспечение безопасности (ядерной, радиационной, технической и пожарной);

- резерв на обеспечение физической защиты, учета и контроля ядерных материалов;

- резерв по обеспечению вывода из эксплуатации атомных станций и проведения научно-исследовательских и опытно-конструкторских работ по обоснованию и повышению безопасности выводимых из эксплуатации объектов.

г) налоги и сборы (), включающие:

- страховые взносы в Пенсионный фонд Российской Федерации, Фонд социального страхования Российской Федерации, Федеральный фонд обязательного медицинского страхования и территориальные фонды обязательного медицинского страхования, определяемые исходя из расходов на оплату труда, учтенных в составе прочих эксплуатационных затрат генерирующего объекта атомной генерации;

- налог на имущество.

В случае возникновения в периоде регулирования у генерирующих компаний обязанностей по уплате налогов, ранее не оплачиваемых ими, допускается их включение в список налогов и сборов, определяемых прямым счетом.

Планирование налогов и сборов определяется в соответствии с налоговым законодательством Российской Федерации.

д) налог на прибыль ();

е) расходы на мероприятия по охране генерирующих объектов генерирующих компаний ();

ж) расходы на оплату услуг организаций, осуществляющих регулируемую деятельность (). Расходы на оплату указанных услуг определяются исходя из тарифов, установленных регулирующими органами или определенных в установленном Правительством Российской Федерации порядке, и объема оказываемых в расчетном периоде регулирования услуг;

з) пусконаладочные работы под нагрузкой, производимые на атомных энергоблоках на этапах первичного ввода энергоблока в эксплуатацию (энергопуск и/или опытно-промышленная эксплуатация), а также на этапах последующей эксплуатации (в том числе после проведения мероприятий по продлению срока эксплуатации генерирующего объекта и/или программе увеличения выработки), обеспечивающие безопасную эксплуатацию генерирующих объектов ().

5.2. Прочие эксплуатационные затраты генерирующего объекта атомной генерации (Зэj) определяются по формуле (1), при этом используются данные по АЭС на базе энергоблоков с реакторами типа ВВЭР-1000 за 2009 год, подтвержденные бухгалтерской и статистической отчетностью.

                                  (1),

где:

 - экономически обоснованные фактические затраты на оплату труда j-ого генерирующего объекта за 2009 год;

 - экономически обоснованные фактические эксплуатационные расходы j-ого генерирующего объекта за 2009 год, за исключением расходов, перечисленных в подпункте 5.1 пункта 5 Порядка, и расходов на оплату труда;

n - число генерирующих объектов генерирующей компании, учтенных в сводном прогнозном балансе на 2009 год;

 - установленная мощность j-ого генерирующего объекта, учтенная в сводном прогнозном балансе на 2009 год;

 - индекс потребительских цен на 2010 год в соответствии с прогнозом социально-экономического развития Российской Федерации;

 - индекс цен производителей на 2010 год в соответствии с прогнозом социально-экономического развития Российской Федерации.

Для целей учета непропорциональности затрат, связанной с разным количеством энергоблоков на новых АЭС, вводится поправочный коэффициент на количество энергоблоков Кбл (коэффициент блочности). Расчет коэффициента блочности производится исходя из стоимости основных фондов на 1 блок станции, имеющей 4 действующих энергоблока.

Поправочные коэффициенты к расходам на 1 блок

Таблица 1

Количество блоков

1

2

3

4

Кбл

1,6

1,2

1,067

1

Удельные затраты центрального аппарата генерирующей компании (ЗЭЦА10) в составе эксплуатационных затрат АЭС определяются по следующей формуле:

                            (2),

где:

 - экономически обоснованные фактические затраты на оплату труда центрального аппарата генерирующей компании за 2009 год;

 - экономически обоснованные фактические эксплуатационные расходы центрального аппарата генерирующей компании за 2009 год, за исключением расходов на оплату труда.

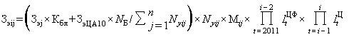
Величина прочих эксплуатационных затрат с учетом доли затрат центрального аппарата генерирующей компании определяется по следующей формуле:

          (3),

где:

n - число генерирующих объектов генерирующей компании, эксплуатируемых в периоде регулирования;

i - календарный год, для которого проводится расчет;

NБ - суммарная установленная мощность генерирующих объектов генерирующей компании, учтенная в сводном балансе на 2010 год;

Nyij - мощность j-ой станции в соответствующем периоде регулирования;

 - число расчетных месяцев в соответствующем периоде регулирования;

 - фактический, плановый индекс цен производителей промышленной продукции в i-м году, определяемый в соответствии с прогнозом социально-экономического развития Российской Федерации.

При расчете цены на мощность на 2011-2012 гг. в формуле (1) произведение  принимается равным 1.

При расчете цены на мощность на 2011 г. в формуле (1) значение планового индекса цен производителей  принимается равным 1.

6. Необходимая валовая выручка () в i-ом году по j-ой станции, покрывающая совокупные расходы за период рассчитывается по формуле:

                            (4),

где:

 - плановые на период регулирования затраты на топливо, включая затраты по подпунктам "а" и "б" подпункта 5.1 пункта 5 Порядка;

 - плановые на период регулирования резервы, формируемые в соответствии с постановлением Правительства Российской Федерации от 30.01.2002 N 68, определяются по следующей формуле:

                                                                                              (5),

где:

 - резервы на обеспечение ядерной, радиационной, технической и пожарной безопасности и на обеспечение физической защиты соответственно. Определяются в соответствии с нормативами, утверждаемыми в порядке, установленном постановлением Правительства Российской Федерации от 30.01.2002 N 68. Общеотраслевые статьи затрат распределяются между генерирующими объектами пропорционально доли установленной мощности объекта в составе суммарной установленной мощности генерирующих объектов генерирующей компании, принятых к регулированию в соответствующем периоде, за исключением генерирующих объектов генерирующей компании, расположенных в технологически изолированных территориальных электроэнергетических системах;

Рвэij - резерв по обеспечению вывода из эксплуатации атомных станций. Определяется в соответствии с нормативом, утверждаемым в порядке, установленном постановлением Правительства Российской Федерации от 30.01.2002 N 68;

Нij- налоги и сборы, кроме налога на прибыль;

Oij - плановые на период регулирования расходы на мероприятия по охране генерирующих объектов генерирующей компании;

Уij - плановые на период регулирования расходы на оплату услуг организаций, осуществляющих регулируемую деятельность, определяемые на основе пункта 24 Основ ценообразования;

Зэij - эксплуатационные затраты, установленные исходя из базового норматива с учетом индексации;

ПНРij - затраты на пусконаладочные работы под нагрузкой;

НПij  - налог на прибыль, рассчитывается по формуле:

                              (6)

где:

m - год начала реализации проекта;

р - усредненный срок бухгалтерской амортизации в отношении оборудования и сооружений АЭС/ГЭС/ГАЭС. Для ГЭС/ГАЭС плановый срок службы принимается равным 50 лет, для АЭС - 25 лет;

Kj - количество очередей строительства j-ой станции (по АЭС очередность не учитывается, расчет производится по каждому энергоблоку раздельно);

 - год ввода k-й очереди j-ой станции в эксплуатацию;

 - ставка налога на прибыль;

 - составляющая цены на мощность, обеспечивающая возврат капитальных вложений в i году, определяемая по формуле (9);

 - капитальные затраты по сооружению k-ой очереди j-ой станции (энергоблока).

7. Для определения размера денежных средств, необходимых для обеспечения безопасной эксплуатации ГЭС/ГАЭС, по каждой из них рассчитывается необходимая валовая выручка (далее - ), обеспечивающая компенсацию экономически обоснованных затрат ГЭС/ГАЭС на их эксплуатацию с соблюдением требований безопасности, в том числе расходов ГЭС/ГАЭС, определяемых прямым счетом (подпункт 7.1 пункта 7 Порядка), и прочих эксплуатационных затрат генерирующего объекта ГЭС/ГАЭС (подпункт 7.2 пункта 7 Порядка).

7.1. К расходам, определяемым прямым счетом, относятся:

а) налоги и сборы (Нij), включающие:

- страховые взносы в Пенсионный фонд Российской Федерации, Фонд социального страхования Российской Федерации, Федеральный фонд обязательного медицинского страхования и территориальные фонды обязательного медицинского страхования, определяемые исходя из расходов на оплату труда, учтенных в составе прочих эксплуатационных затрат генерирующего объекта гидрогенерации;

- плату за пользование водными объектами;

- плату за землю;

- налог на имущество.

В случае возникновения в периоде регулирования у генерирующих компаний обязанностей по уплате налогов, ранее не оплачиваемых ими, допускается их включение в список налогов и сборов, определяемых прямым счетом.

Планирование налогов и сборов определяется в соответствии с налоговым законодательством Российской Федерации.

б) налог на прибыль ();

в) расходы на мероприятия по охране генерирующих объектов генерирующей компании (Oij);

г) расходы на оплату услуг организации, осуществляющих регулируемую деятельность (Уij). Расходы на оплату указанных услуг определяются исходя из тарифов, установленных регулирующими органами или определенных в установленном Правительством Российской Федерации порядке, и объема оказываемых в расчетном периоде регулирования услуг;

д) расходы на покупку электроэнергии для работы ГАЭС в насосном режиме (Эij), определяемые на основании цен на электрическую энергию на рынке на сутки вперед, рассчитываемых как средневзвешенная по всем группам точек поставки j-ой ГАЭС за предшествующий год цена, и информации об основных макроэкономических показателях прогноза социально-экономического развития Российской Федерации на i-й год, а также на основании информации, представляемой коммерческим оператором оптового рынка, советом рынка.

7.2. Прочие эксплуатационные затраты генерирующего объекта ГЭС/ГАЭС.

Для целей расчета размера денежных средств, необходимых для обеспечения безопасной эксплуатации генерирующих объектов ГЭС/ГАЭС, удельные прочие эксплуатационные затраты генерирующего объекта в ценах 2010 года дифференцируются в зависимости от типа, ГЭС и установленной мощности и определяются по формуле (1), при этом используются данные по ГЭС соответствующего типа за 2009 год, подтвержденные бухгалтерской и статистической отчетностью.

Типы ГЭС/ГАЭС:

A) Плотинные ГЭС:

- установленной мощностью 5000 МВт и более;

- установленной мощностью от 1000 МВт до 4 999 МВт;

- установленной мощностью до 999 МВт.

Б) Деривационные ГЭС.

B) Группы ГЭС, связанные водным трактом в единый технологический объект:

- общей установленной мощностью 1000 МВт и более;

- общей установленной мощностью до 999 МВт.

Г) Гидроаккумулирующие электростанции.

Удельные затраты центрального аппарата генерирующей компании (Зэца10) в составе эксплуатационных затрат ГЭС/ГАЭС определяются по формуле (2).

Величина прочих эксплуатационных затрат с учетом доли затрат центрального аппарата генерирующей компании определяется по формуле (3), при этом коэффициент Кбл для ГЭС принимается равным 1.

8.  определяется суммированием плановых на период регулирования расходов, определяемых прямым счетом (подпункт 7.1 пункта 7 Порядка) и эксплуатационных расходов, рассчитываемых с помощью удельного показателя на единицу мощности (подпункт 7.2 пункта 7 Порядка):

                                                   (7)

9. Расчет возврата инвестированного капитала с учетом нормы доходности.

9.1 Норма доходности инвестированного капитала рассчитывается по формуле:

                                                          (8)

где:

НДi - норма доходности инвестированного капитала за i-й год, рассчитанная с учетом уровня доходности долгосрочных государственных обязательств;

ДГОi-1 - средняя доходность долгосрочных государственных обязательств, выраженных в рублях, со сроком до погашения не менее 8 лет и не более 10 лет за истекший период года, предшествующего регулируемому (или за 12 месяцев, истекших к моменту определения цены мощности).

Доходность долгосрочных государственных обязательств определяется в соответствии с Методикой определения величины средней доходности долгосрочных государственных обязательств, используемой при расчете цены на мощность для поставщиков мощности, утвержденной приказом Минэкономразвития России от 26.07.2010 N 329 (зарегистрировано Минюстом России 16.08.2010 г., регистрационный N 18169).

9.2. Возврат инвестированного капитала в i-ом году по j-ой станции с учетом нормы доходности рассчитывается ежегодно по формуле:

                                                          (9)

                                                                                    (10)

         (11)

где:

Rij  - величина затрат к возмещению;

ri - аннуитетный возврат (в постоянном реальном выражении) инвестированного капитала с учетом 25-летнего срока окупаемости;

 - капитальные затраты в отношении k-ой очереди j-ой станции, приведенные к первому году начала поставки мощности поданной очереди (), определяемые по формуле (13),

 - корректировка величины затрат к возмещению в связи с отклонением фактических значений параметров расчета цен на мощность от учтенных при установлении цены на мощность в i-2 году:

;                  (12)

 - аннуитетная составляющая платы за мощность за (i-2) год, учтенная при определении цен на мощность на (i-2) год, определяемая по формуле (16);

 - фактическая выручка от реализации электрической энергии в (i-2)-ом году по j-ой станции.

 - необходимая валовая выручка, покрывающая совокупные расходы за год, рассчитываемая на основании фактических данных в соответствии с пунктами 6-8 Порядка.

9.3. Капитальные затраты по j-ой станции, приведенные к первому году поставки мощности рассчитываются по формуле:

                                                                        (13)

                                                                                             (14),

где:

КЗij - общий объем капитальных затрат по j-ой станции (по всем очередям) в i-м году;

УМikj - установленная мощность k-ой очереди j-ой станции;

УМij  - суммарная установленная мощность всех очередей j-ой станции, которые в году i еще не введены в эксплуатацию.

10. Расчет цены мощности.

10.1. Цена на мощность рассчитывается на 20 лет поставки и уточняется ежегодно с учетом актуализированных плановых параметров и фактических данных и особенностей заключаемого договора купли-продажи (поставки) мощности новых АЭС/ГЭС;

10.2. Цена мощности в i-ом году по j-ой станции рассчитывается ежегодно по формуле:

                                                                                       (15)

где:

Npij - установленная (для АЭС)/располагаемая (для ГЭС) мощность в i-ом году j-ой станции (энергоблока) за вычетом норматива потребления мощности на собственные и хозяйственные нужды;

Mi - число месяцев в расчетном периоде регулирования;

АНij - аннуитетная составляющая платы за мощность за i год, рассчитываемая по следующей формуле:

                           (16)

 - плановая выручка от реализации электрической энергии в i-ом году по j-ой станции;

 - год ввода в эксплуатацию последней очереди j-ой станции.

10.3. Выручка от реализации электрической энергии рассчитывается по формуле:

                                                    (17),

где:

 - планируемый в соответствии с утвержденным сводным балансом/фактический полезный отпуск электрической энергии j-ой АЭС/ГЭС/ГАЭС в соответствующем периоде;

 - планируемый в соответствии с утвержденным сводным балансом/фактический полезный отпуск электрической энергии j-ой АЭС/ГЭС/ГАЭС в соответствующем периоде регулирования поставляемой на рынок для обеспечения потребления населения, а также определенным Правительством Российской Федерации субъектам оптового рынка - покупателям электрической энергии (мощности), функционирующим в отдельных частях ценовых зон оптового рынка, для которых Правительством Российской Федерации установлены особенности функционирования оптового и розничных рынков (далее - объем электрической энергии по регулируемым договорам).

 - прогнозная/фактическая цена электрической энергии на рынке на сутки вперед в соответствующем периоде регулирования, рассчитываемая как средневзвешенная по всем группам точек поставки j-ой АЭС/ГЭС/ГАЭС за соответствующий год цена.

- прогнозный тариф на электрическую энергию по регулируемым договорам, определяемый на основании установленного ФСТ России тарифа на электрическую энергию по регулируемым договорам и параметров прогноза социально-экономического развития Российской Федерации. В отсутствие одобренного прогноза социально-экономического развития Российской Федерации на i-ый год применяются значения параметров прогноза социально-экономического развития Российской Федерации, соответствующие последнему году периода, на который был одобрен указанный прогноз.

 - тариф на электрическую энергию по регулируемым договорам, установленный ФСТ России на соответствующий период.

Плановая выручка от реализации электрической энергии рассчитывается на 25 лет поставки и уточняется ежегодно с учетом актуализированных плановых параметров.

_____________________________

* Далее по тексту настоящего Порядка - генерирующие компании.

 

 




ГОСТЫ, СТРОИТЕЛЬНЫЕ и ТЕХНИЧЕСКИЕ НОРМАТИВЫ.
Некоммерческая онлайн система, содержащая все Российские Госты, национальные Стандарты и нормативы.
В Системе содержится более 150000 файлов нормативно-технической документации, действующей на территории РФ.
Система предназначена для широкого круга инженерно-технических специалистов.

Рейтинг@Mail.ru Яндекс цитирования

Copyright © www.gostrf.com, 2008 - 2026