Крупнейшая бесплатная информационно-справочная система онлайн доступа к полному собранию технических нормативно-правовых актов РФ. Огромная база технических нормативов (более 150 тысяч документов) и полное собрание национальных стандартов, аутентичное официальной базе Госстандарта. GOSTRF.com - это более 1 Терабайта бесплатной технической информации для всех пользователей интернета. Все электронные копии представленных здесь документов могут распространяться без каких-либо ограничений. Поощряется распространение информации с этого сайта на любых других ресурсах. Каждый человек имеет право на неограниченный доступ к этим документам! Каждый человек имеет право на знание требований, изложенных в данных нормативно-правовых актах!

  


 

Госстрой России

РАО «Роскоммунэнерго»

МЕТОДИКА
определения количеств тепловой энергии и теплоносителя в водяных системах коммунального теплоснабжения

(практическое пособие к Рекомендациям по организации учета тепловой энергии и теплоносителей на предприятиях, в учреждениях и организациях жилищно-коммунального хозяйства и бюджетной сферы)

МДС 41-4.2000

Москва
2000

Государственный комитет Российской Федерации
по строительству и жилищно-коммунальному комплексу

Российское акционерное общество «Роскоммунэнерго»

Утверждено приказом Госстроя России от 06.05.2000 № 105

МЕТОДИКА
определения количеств тепловой энергии и теплоносителя в водяных системах коммунального теплоснабжения

(практическое пособие к Рекомендациям по организации учета тепловой энергии и теплоносителей на предприятиях, в учреждениях и организациях жилищно-коммунального хозяйства и бюджетной сферы)

МДС 41-4.2000

Москва
2000

«Методика определения количеств тепловой энергии и теплоносителя в водяных системах коммунального теплоснабжения» (Методика) разработана в развитие утвержденных Госстроем России (приказ от 11.10.99 № 73) «Рекомендаций по организации учета тепловой энергии и теплоносителей на предприятиях, в учреждениях и организациях жилищно-коммунального хозяйства и бюджетной сферы» с целью дальнейшего совершенствования методической базы энергоресурсосбережения в жилищно-коммунальном хозяйстве и бюджетной сфере и является практическим пособием для теплоснабжающих организаций системы жилищно-коммунального хозяйства и потребителей (абонентов) - юридических лиц, теплопотребляющие установки которых присоединены к водяным тепловых сетям систем коммунального теплоснабжения, при осуществлении коммерческого учета тепловой энергии и теплоносителя.

При подготовке Методики особое внимание уделено обеспечению достоверности определения количеств тепловой энергии и теплоносителя при использовании расчетного метода, как наименее проработанного. Объем использования расчетного метода и его значение должны последовательно уменьшаться по мере роста оснащенности источников тепла (отопительных котельных) и систем теплопотребления средствами измерений и увеличения доли коммерческих расчетов, основанных на приборном и приборно-расчетном методах.

Методика разработана Российским акционерным обществом закрытого типа «Роскоммунэнерго» при участии Российской ассоциации «Коммунальная энергетика» и специалистов Управления жилищно-коммунального комплекса Госстроя России.

СОДЕРЖАНИЕ

1. введение. 2

2. Общие положения. 3

3. Определение количеств тепловой энергии и теплоносителя, отпущенных в тепловую сеть источником тепла. 4

4. Определение количеств тепловой энергии и теплоносителя, потребленных абонентами, при приборном методе учета. 5

5. Определение количеств тепловой энергии и теплоносителя, потребленных абонентами, при приборно-расчетном методе учета. 8

6. Определение количеств тепловой энергии и теплоносителя, потребленных абонентами, при расчетном методе учета. 9

7. Расчетное определение потерь тепловой энергии и теплоносителя в системах теплоснабжения. 11

Приложение 1 Определение расчетных часовых нагрузок отопления, приточной вентиляции и горячего водоснабжения. 15

Приложение 2 Удельная емкость трубопроводов тепловых сетей. 24

Приложение 3 Список литературы.. 25

1 ВВЕДЕНИЕ

1. «Методика определения количеств тепловой энергии и теплоносителя в водяных системах коммунального теплоснабжения» (Методика) разработана в целях:

· реализации постановления Правительства Российской Федерации от 08.07.97 № 832 «О повышении эффективности использования энергетических ресурсов и воды предприятиями, учреждениями и организациями бюджетной сферы» и «Основных направлений и механизма энергоресурсосбережения в жилищно-коммунальном хозяйстве Российской Федерации»,

· осуществления учета тепловой энергии и теплоносителя в соответствии с действующими правилами;

· осуществления контроля качества тепловой энергии и теплоносителя, соблюдения режимов теплоснабжения и теплопотребления, а также документирования их показателей.

2. Настоящая Методика разработана в развитие «Рекомендаций по организации учета тепловой энергии и теплоносителей на предприятиях, в учреждениях и организациях жилищно-коммунального хозяйства и бюджетной сферы» в качестве практического пособия для коммунальных теплоснабжающих организаций, производящих выработку и отпуск тепловой энергии и теплоносителя потребителям (абонентам), а также для абонентов - юридических лиц, теплоснабжение которых осуществляется водяными системами коммунального теплоснабжения.

В Методике использованы следующие основные понятия:

· баланс тепловой энергии в системе теплоснабжения (тепловой баланс) - итог распределения тепловой энергии, отпущенной источником (источниками) тепла с учетом потерь при транспортировании и распределении до границ эксплуатационной ответственности и использованной абонентами;

· баланс теплоносителя в системе теплоснабжения (водный баланс) - итог распределения теплоносителя (сетевой воды), отпущенного источником (источниками) тепла, с учетом потерь при транспортировании до границ эксплуатационной ответственности, и использованного абонентами;

· расчетный период - установленный договором теплоснабжения промежуток времени, за который должны быть определены и полностью оплачены абонентом потребленная тепловая энергия и израсходованный теплоноситель;

· регистрация - отображение измеряемой величины за определенный интервал времени в цифровой форме или графическом изображении;

· счетчик тепловой энергии и теплоносителей (теплосчетчик) - средство измерений, предназначенное для измерения отпущенных (потребленных) тепловой энергии и теплоносителя, прошедших через подающие (подводящие) и обратные (отводящие) трубопроводы элемента систем теплоснабжения или теплопотребления (объекта измерений), теплосчетчики подразделяются на одно-, двух- и многопоточные в зависимости от количества комплектующих их первичных преобразователей расхода, и на двух-, трех- и многоточечные - в зависимости от количества комплектующих их первичных преобразователей температуры;

· счетчик теплоносителя (горячей воды, холодной воды) - измерительный прибор, предназначенный для измерения массы (объема) теплоносителя за определенный промежуток времени;

· учет тепловой энергии и теплоносителя - определение количеств тепловой энергии и теплоносителя для расчета между теплоснабжающей организацией и абонентами;

· узел учета тепловой энергии и теплоносителя (узел учета) - совокупность аттестованных в установленном порядке средств и систем измерений и других устройств, предназначенных для коммерческого учета тепловой энергии и теплоносителя;

· утечка теплоносителя нормативная - утечка теплоносителя, размер которой не превышает значения, регламентированного требованием Правил технической эксплуатации электрических станций и сетей Российской Федерации;

· потери теплоносителя технологические - потери теплоносителя, обусловленные технологическими решениями и техническим уровнем применяемого оборудования;

· утечка теплоносителя сверхнормативная установленная - слив теплоносителя, факт, локализация и размер которого оформлены соответствующим актом;

· утечка теплоносителя сверхнормативная неустановленная - утечка теплоносителя, размер которой превышает значения, регламентированные нормативными документами, локализация и размер которой не зафиксированы.

2. ОБЩИЕ ПОЛОЖЕНИЯ

4. Отпущенная или потребленная тепловая энергия, Гкал (ГДж), определяется по одной из следующих формул:

;                                  (1)

;                             (2)

;                         (3)

;                         (4)

где m1 и m2 - массовый расход теплоносителя в подающем и обратном трубопроводах, т/ч;

h1, h2 и hхв - энтальпия (удельное теплосодержание) теплоносителя в подающем и обратном трубопроводах, а также исходной холодной воды, поступающей на источник тепла для подпитки тепловой сети, ккал/кг (кДж/кг);

n - продолжительность расчетного периода, ч,

или

;                         (1а)

;                    (2а)

;                     (3а)

;                      (4а)

где V1 и V2 - объемный расход теплоносителя в подающем и обратном трубопроводах, м3/ч;

t1, t2 и tхв - температура теплоносителя в подающем и обратном трубопроводах, а также исходной холодной воды, используемой для подпитки тепловой сети на источнике теплоснабжения, °C;

Кt - тепловой коэффициент по международной рекомендации МОЗМ R75 или другой НТД, Гкал/°Cм3 (ГДж/°См3).

5. Пересчет объемного расхода теплоносителя (м3/ч) в массовый (т/ч) производится по формуле:

,                                                           (5)

где V - объемный расход теплоносителя, м3/ч;

r - плотность теплоносителя при его измеренных температуре и давлении, кг/ч.

6. Значения плотности и энтальпии воды определяются на основе измерений ее температуры и давления при помощи таблиц ГСССД «Плотность, энтальпия и вязкость воды». При определении значений плотности и энтальпии горячей воды (теплоносителя) в подающем и обратном трубопроводах тепловой сети при температуре в диапазоне от 30 до 150°С зависимость плотности и энтальпии воды от давления не учитывается, т.к. эта зависимость незначительна и ею можно пренебречь. Однако в случае определения значений плотности и энтальпии холодной воды, используемой для подготовки подпиточной воды на источнике теплоснабжения, при температуре от 0 до 30°С давление воды необходимо учитывать в силу того, что в этом диапазоне зависимость энтальпии воды существенна с точки зрения требований, предъявляемых к погрешностям измерений количеств отпускаемой и потребляемой тепловой энергии и теплоносителя. В связи с этим необходимо на источнике теплоснабжения, кроме температуры, фиксировать также и давление исходной холодной воды.

7. Количество отпущенного или потребленного теплоносителя, т, определяется по формуле:

                                          (6)

8. Приведенные ниже рекомендации по определению количеств потребленных тепловой энергии и теплоносителя соответствуют размещению узлов учета на границе балансовой принадлежности теплоснабжающей организации и абонентов. В случае, если узел учета тепловой энергии и теплоносителя размещен не на границе балансовой принадлежности, необходимо учитывать потери тепловой энергии и теплоносителя на участке тепловой сети между местом размещения узла учета и указанной границей, размер которых определяется расчетным путем (Раздел 7) и указывается в договоре теплоснабжения.

9. Методика разработана для случаев:

1) приборного метода учета, когда вся информация для определения количеств тепловой энергии и теплоносителя принимается только в результате измерений;

2) приборно-расчетного метода учета, когда часть информации для определения количеств потребленных тепловой энергии и теплоносителя принимается в результате измерений на узле учета, неизмеряемая часть - из прочих источников информации о значениях величин, необходимых для определения;

3) расчетного метода учета, когда вся информация для определения количеств потребленных тепловой энергии и теплоносителя принимается из соответствующих источников информации без непосредственных измерений.

3. ОПРЕДЕЛЕНИЕ КОЛИЧЕСТВ ТЕПЛОВОЙ ЭНЕРГИИ И ТЕПЛОНОСИТЕЛЯ, ОТПУЩЕННЫХ В ТЕПЛОВУЮ СЕТЬ ИСТОЧНИКОМ ТЕПЛА

10. Определение количеств отпущенных в тепловую сеть тепловой энергии и теплоносителя на источнике тепла должно производиться только приборным методом.

11. Отпуск тепловой энергии необходимо определять по каждому из выводов тепловой сети отдельно, реализуя одну из вышеприведенных формул - (1) - (4) или (1а) - (4а). В этих формулах:

m1 и m2(V1 и V2) - массовый (объемный) расход теплоносителя в подающем и обратном трубопроводах на выводах источника тепла, т/ч (м3/ч);

h1, h2 и hхв(t1, t2 и tхв) - энтальпия (температура) теплоносителя в подающем, обратном трубопроводах тепловой сети на выводах источника тепла и исходной холодной воды, используемой для подготовки подпиточной воды, ккал/кг (кДж/кг) (°C);

n - продолжительность отпуска тепловой энергии и теплоносителя в расчетном периоде, ч.

12. Суммарный отпуск тепловой энергии источником тепла, имеющим несколько выводов тепловой сети, определяется суммированием результатов по всем выводам тепловой сети.

13. Количество отпущенного в тепловую сеть и невозвращенного теплоносителя на источнике тепла за расчетный период определяется по показаниям теплосчетчиков (водосчетчиков) согласно формуле:

                                      (6а)

14. При определении отпущенных в тепловую сеть тепловой энергии и теплоносителя допустимо вместо разности m1-m2 (или V1-V2) использовать измеренное значение массы (объема) подпиточной воды mп (или Vп), направленной в тепловую сеть, при обязательном соблюдении условия mп £ m1-m2 (или Vп £ V1-V2).

15. В случае комплектации узла учета на источнике тепла двухпоточным трехточечным теплосчетчиком, измеряющим значения величин m1, m2, t1, t2 и tхв и реализующим формулу (1), количество отпущенной тепловой энергии определяется непосредственно теплосчетчиком.

16. При оборудовании узла учета источника тепла регистрирующими приборами расхода (или водосчетчиками) и температуры теплоносителя, установленными на подающем, обратном трубопроводах и на подпиточном трубопроводе, количество отпущенной тепловой энергии определяется по результатам измерений в соответствии с формулами (1) - (4) или (1а) - (4а).

4. ОПРЕДЕЛЕНИЕ КОЛИЧЕСТВ ТЕПЛОВОЙ ЭНЕРГИИ И ТЕПЛОНОСИТЕЛЯ, ПОТРЕБЛЕННЫХ АБОНЕНТАМИ, ПРИ ПРИБОРНОМ МЕТОДЕ УЧЕТА

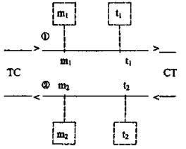
17. При оснащении узла учета регистрирующими приборами расхода (или водосчетчиками) и температуры теплоносителя (рис 1a, ) определение количества потребленной тепловой энергии производится по одной из формул, приведенных в п. 4.

Рис. 1а

Рис. 1б

Для рисунков приняты обозначения:

ТС - тепловая сеть

СТ - система теплопотребления

 - трубопровод подающий (подводящий)

 - трубопровод обратный (отводящий)

m, t - измеряемые величины

 - прибор регистрирующий

 - теплосчетчик

 - водосчетчик

Значения величин m1, m2, а также h1, h2 следует принимать по результатам измерений на узле учета потребителей тепловой энергии, значение hхв - как среднее за отчетный период значение по результатам измерений на источнике тепла.

При выявлении равенства расходов теплоносителя в подающем и обратном трубопроводах (m1=m2=m) определение потребленной тепловой энергии, Гкал (ГДж), может производиться по формуле:

                                            (7)

18. При оснащении узла учета абонента двухпоточным двухточечным теплосчетчиком (рис 2) определение количества потребленной тепловой энергии осуществляется по формуле:

                                                        (8)

где Qизм - количество тепловой энергии, измеренное теплосчетчиком за расчетный период, Гкал (ГДж),

Qн - тепловая энергия, неучтенная теплосчетчиком вследствие того, что фактическая энтальпия исходной холодной воды, используемой для подпитки тепловой сети на источнике тепла, теплосчетчиком не определяется, Гкал (ГДж)

Рис. 2

Значение величины Qн Гкал (ГДж), определяется в зависимости от формулы, реализуемой теплосчетчиком:

1) при  неучтенная тепловая энергия определяется по формуле:

                                       (9)

где m1 и m2 - определяются по показаниям теплосчетчика, т,

hхв - принимается как среднее за расчетный период значение энтальпии исходной холодной воды по результатам измерений на источнике тепла, ккал/кг (кДж/кг);

2) при введении в теплосчетчик с помощью задатчика фиксированной температуры (энтальпии) холодной исходной воды на источнике теплоснабжения tхв.з (hхв.з) и реализации теплосчетчиком формулы

                      (10)

неучтенная тепловая энергия определяется по формуле:

                                             (11)

19. При оснащении узла учета абонента однопоточным двухточечным теплосчетчиком на одном из трубопроводов и водосчетчиком на другом (рис. 3а, ) количество потребленной тепловой энергии, Гкал (ГДж), определяется по формуле (8), где Qн - тепловая энергия потребленного теплоносителя, невозвращенного в тепловую сеть.

Рис. 3а

Рис. 3б

Значение величины Qн определяется в зависимости от места установки преобразователя расхода теплоносителя и формулы, реализуемой теплосчетчиком:

1) при  (7a), что соответствует установке преобразователя расхода теплоносителя на подающем трубопроводе (рис. 3а), -

                                                (9а)

В этой формуле значения m1, h1 и h2 определяются теплосчетчиком, m2 - водосчетчиком, a hхв принимается как среднее значение по результатам измерений на источнике тепла;

2) при  (7б), что соответствует установке преобразователя расхода теплоносителя на обратном трубопроводе (рис 3б), -

                                                (9б)

Здесь значения m2, h1 и h2 определяются теплосчетчиком, m1 - водосчетчиком, hхв принимается как среднее значение по результатам измерений на источнике тепла.

При выявлении равенства значений расхода теплоносителя в подающем и обратном трубопроводах (m1=m2=m) количество потребленной тепловой энергии определяется показаниями теплосчетчика (Q=Qизм).

20. Количество потребленного теплоносителя определяется за расчетный период по результатам измерений на узле учета по формуле (6).

5. ОПРЕДЕЛЕНИЕ КОЛИЧЕСТВ ТЕПЛОВОЙ ЭНЕРГИИ И ТЕПЛОНОСИТЕЛЯ, ПОТРЕБЛЕННЫХ АБОНЕНТАМИ, ПРИ ПРИБОРНО-РАСЧЕТНОМ МЕТОДЕ УЧЕТА

21. В системах теплопотребления без непосредственного водоразбора на горячее водоснабжение из тепловой сети, при оснащении узла учета одним однопоточным двухточечным теплосчетчиком, с обязательной установкой его преобразователя расхода теплоносителя на подающем трубопроводе (рис. 4), определение потребленной тепловой энергии осуществляется по формуле (8), в которой значение величины Qизм определяется формулой (7) при m=m1, а значение величины Qн - формулой (9б).

При этом количество потребленного теплоносителя (невозвращенного в тепловую сеть) Dm=m1-m2, определяется из водного баланса системы теплоснабжения по методике, приведенной в разделе 7, а hхв - как среднее значение по результатам измерений температуры и давления исходной холодной воды на источнике тепла.

Рис. 4

22. При комплектации узла учета регистрирующими расходомерами или водосчетчиками на подающем и обратном трубопроводах (рис. 5) определение потребленной тепловой энергии в системах теплопотребления как с непосредственным водоразбором на горячее водоснабжение, так и без него производится по формуле (1).

Рис 5

Значения m1 и m2 определяются по показаниям приборов на узле учета, а h1 и h2 - по средним за расчетный период значениям температуры теплоносителя в подающем и обратном трубопроводах на источнике тепла с учетом снижения температуры теплоносителя в трубопроводах на участке тепловой сети от источника до рассматриваемого потребителя. При этом размеры соответствующего снижения температуры теплоносителя в подающем и обратном трубопроводах тепловой сети на этом участке должны быть указаны в договоре теплоснабжения. Среднее значение hхв следует принимать по информации об измерениях температуры и давления исходной холодной воды, используемой для подпитки тепловой сети на источнике тепла.

Определение количества использованного потребителем теплоносителя за расчетный период производится по разнице показаний установленных приборов согласно формуле (6).

23. При оснащении узла учета только водосчетчиком на подающем трубопроводе (или регистрирующим расходомером) в системе теплопотребления без непосредственного водоразбора на горячее водоснабжение (рис. 6) определение количества тепловой энергии производится по формуле (2).

В этом случае значение m1 принимается по показаниям установленного прибора, а значение Dm=m1-m2, являющегося утечкой теплоносителя, определяется из водного баланса системы теплоснабжения (раздел 7). Значения энтальпии h1, h2 и hхв следует принимать в соответствии с указаниями п. 22.

Рис 6

6. ОПРЕДЕЛЕНИЕ КОЛИЧЕСТВ ТЕПЛОВОЙ ЭНЕРГИИ И ТЕПЛОНОСИТЕЛЯ, ПОТРЕБЛЕННЫХ АБОНЕНТАМИ, ПРИ РАСЧЕТНОМ МЕТОДЕ УЧЕТА

24. При временном отсутствии у потребителя тепловой энергии (абонента) приборов учета, или в период до их установки, для определения потребленных тепловой энергии и теплоносителя применяется расчетный метод учета.

25. Количество тепловой энергии и теплоносителя, использованных отдельным абонентом без приборов учета, рассматривается как соответствующая часть общего количества тепловой энергии и теплоносителя, потребленного всеми абонентами без приборов учета в системе теплоснабжения.

Общее количество тепловой энергии и теплоносителя, потребленное за расчетный период всеми абонентами без приборов учета, определяется из теплового и водного балансов системы теплоснабжения, а отдельным потребителем - пропорционально его расчетным часовым тепловой и массовой (объемной) нагрузкам, указанным в договоре теплоснабжения, с учетом различия в характере теплового потребления: отопительно-вентиляционная тепловая нагрузка переменна и зависит от метеоусловий, тепловая нагрузка горячего водоснабжения в течение отопительного периода постоянна.

Тепловые потери через изоляцию трубопроводов на участках тепловой сети, находящихся на балансе соответствующего абонента, включаются в количество тепловой энергии, потребленной этим абонентом, так же как и потери тепловой энергии со всеми видами утечки и сливом теплоносителя из систем теплопотребления и трубопроводов его участка тепловой сети.

26. Суммарное теплопотребление всех абонентов без приборов учета Qр во всех системах теплопотребления, включая все виды тепловых потерь на участках тепловой сети, находящихся на балансе этих абонентов, определяется из уравнения теплового баланса системы теплоснабжения:

                             (12)

где Qотп - тепловая энергия, отпущенная источником теплоснабжения в тепловую сеть за расчетный период, Гкал (ГДж);

Qп - суммарное количество тепловой энергии, потребленной абонентами, теплопотребление которых определено приборным и приборно-расчетным методами учета, включая все виды тепловых потерь на участках тепловой сети, находящихся на балансе этих абонентов, за расчетный период, Гкал (ГДж);

Qут - потери тепловой энергии трубопроводами тепловой сети теплоснабжающей организации, связанные со всеми видами утечки и слива теплоносителя, Гкал (ГДж);

Qиз - тепловые потери трубопроводами тепловой сети теплоснабжающей организации через тепловую изоляцию, Гкал (ГДж).

27. Потери тепловой энергии Qут в формуле (12) складываются из тепловых потерь, обусловленных нормативной и технологической утечкой теплоносителя, а также тепловых потерь вследствие сверхнормативной установленной (зафиксированной соответствующими актами) и неустановленной утечки теплоносителя из трубопроводов тепловой сети теплоснабжающей организации за расчетный период.

Величины, составляющие формулу (12), определяются:

Qотп - по указаниям раздела 3;

Qп - по указаниям разделов 4 и 5;

Qут, Qиз - по указаниям раздела 7.

28. Общее количество тепловой энергии, приходящейся в тепловом балансе системы теплоснабжения на теплопотребление абонентов без приборов учета, складывается из тепловой энергии, использованной этими абонентами на отопление и приточную вентиляцию, горячее водоснабжение, а также тепловой энергии, потерянной на участках тепловой сети, находящейся на их балансе, т.е. тепловых потерь через изоляцию трубопроводов и с утраченным теплоносителем, что связано со всеми видами его утечки и слива:

                     (13)

где Qр.о-в - тепловая энергия, использованная за расчетный период абонентами без приборов учета на покрытие отопительно-вентиляционной тепловой нагрузки, Гкал (ГДж);

Qр.г - то же, на горячее водоснабжение, Гкал (ГДж);

Qр.из - потери тепловой энергии через изоляцию трубопроводов на участке тепловой сети, находящейся на балансе абонентов без приборов учета, за расчетный период, Гкал (ГДж);

Qр.ут - потери тепловой энергии со всеми видами утечки теплоносителя из систем теплопотребления абонентов без приборов учета и участков тепловой сети на их балансе за расчетный период, Гкал (ГДж).

29. Для определения количества тепловой энергии, использованной каждым из рассматриваемых абонентов на отопление и приточную вентиляцию, необходимо предварительно выделить расчетным путем из общего количества, тепловой энергии, приходящейся в тепловом балансе системы теплоснабжения на эти абоненты, часть тепловой энергии, использованной ими на горячее водоснабжение, а также часть тепловой энергии, потерянной на участках тепловой сети, находящихся на их балансе, в соответствии с выражением:

                 (13а)

Количество тепловой энергии, использованной абонентами без приборов учета на горячее водоснабжение, определяется по средним часовым значениям их нагрузки горячего водоснабжения (Приложение 1).

Величины Qр.из и Qр.ут определяются по указаниям раздела 7.

30. Тепловая энергия, Гкал (ГДж), использованная за расчетный период на отопление и приточную вентиляцию абонентом без приборов учета, определяется пропорционально его расчетной часовой тепловой отопительно-вентиляционной нагрузке по формуле:

                                      (14)

где Qр.о-в - суммарное теплопотребление всех абонентов без приборов учета на отопление и приточную вентиляцию за расчетный период, Гкал (ГДж);

Qр.о-в.д - расчетная часовая тепловая нагрузка рассматриваемого абонента на отопление и приточную вентиляцию, внесенная в договор теплоснабжения, Гкал/ч (ГДж/ч);

S Qр.о-в.д - суммарная расчетная часовая тепловая нагрузка на отопление и приточную вентиляцию всех абонентов без приборов учета, Гкал/ч (ГДж/ч).

Методические рекомендации по определению расчетных часовых тепловых нагрузок отопления, приточной вентиляции и горячего водоснабжения приведены в Приложении 1 к настоящим Рекомендациям.

31. Общее количество тепловой энергии, Гкал (ГДж), потребленной отдельным абонентом без приборов учета за расчетный период, определяется как:

              (13б)

В этой формуле значения входящих величин относятся к каждому абоненту без приборов учета.

32. Суммарное количество теплоносителя, невозвращенного в тепловую сеть за расчетный период всеми абонентами без приборов учета, в системе теплоснабжения без непосредственного водоразбора на горячее водоснабжение, т.е. часть суммарной утечки теплоносителя в системе теплоснабжения, определяется из уравнения водного баланса системы теплоснабжения:

                        (15)

где Dmотп - общее количество отпущенного в тепловую сеть и невозвращенного на источник тепла теплоносителя в системе теплоснабжения (полная утечка), т;

Dmп - количество теплоносителя, невозвращенного в тепловую сеть, определенное приборами учета абонентов, т;

Dmут.с - количество теплоносителя, утраченного в тепловой сети теплоснабжающей организации вследствие утечки всех видов, т, определяется по указаниям раздела 7.

33. Суммарное количество теплоносителя, невозвращенного в тепловую сеть за расчетный период всеми абонентами без приборов учета, в системе теплоснабжения без непосредственного водоразбора складывается:

               (16)

где Dmут.н - потери теплоносителя вследствие нормативной утечки из систем теплопотребления абонентов без приборов учета и участков тепловой сети, находящихся на их балансе, за расчетный период, т;

Dmр.ут.сн.нуст - то же, вследствие неустановленной сверхнормативной утечки, т;

Dmр.т - то же, технологические, т;

Dmр.ут.сн.уст - то же, вследствие сверхнормативной установленной утечки, т.

Определение, указанных выше величин, а также их значений для каждого абонента без приборов учета производится по указаниям раздела 7.

34. В системе теплоснабжения с непосредственным водоразбором на горячее водоснабжение количество теплоносителя, невозвращенного в тепловую сеть за расчетный период такими абонентами, кроме того количества теплоносителя, которое представляет собой утечку, включает количество теплоносителя, который отбирается из тепловой сети на горячее водоснабжение (водоразбор):

                                      (17)

где Dmр.г - количество теплоносителя, отбираемого за расчетный период на горячее водоснабжение (водоразбор) всеми абонентами без приборов учета, т.

35. Количество теплоносителя, отбираемого на горячее водоснабжение из тепловой сети отдельным абонентом без приборов учета, т, может быть определено расчетным путем по средней часовой нагрузке горячего водоснабжения рассматриваемого абонента:

                                                  (18)

где Dmг.ср.д - средняя часовая нагрузка горячего водоснабжения рассматриваемого абонента по договору теплоснабжения (расчетный водоразбор), т/ч.

Методические рекомендации по определению средних часовых нагрузок горячего водоснабжения абонентов приведены в приложении 1.

7. РАСЧЕТНОЕ ОПРЕДЕЛЕНИЕ ПОТЕРЬ ТЕПЛОВОЙ ЭНЕРГИИ И ТЕПЛОНОСИТЕЛЯ В СИСТЕМАХ ТЕПЛОСНАБЖЕНИЯ

Определение потерь теплоносителя

36. Потери теплоносителя трубопроводами тепловой сети теплоснабжающей организации и участков тепловой сети абонентов, а также их системами теплопотребления, за расчетный период в системе теплоснабжения без непосредственного водоразбора на горячее водоснабжение могут быть представлены формулой, аналогичной формуле (16):

                 (16а)

где Dmут.н - потери теплоносителя вследствие нормативной утечки, т;

Dmут.сн.нуст - потери теплоносителя вследствие неустановленной сверхнормативной утечки, т;

Dmт - потери теплоносителя технологические, т;

Dmут.сн.уст - потери теплоносителя вследствие установленной сверхнормативной утечки, т.

37. Потери теплоносителя, т, вследствие нормативной утечки из тепловой сети теплоснабжающей организации, а также из систем теплопотребления и участков тепловой сети абонентов за расчетный период определяются согласно п. 4.12.30 «Правил технической эксплуатации электрических станций и сетей Российской Федерации» [2] по формуле:

                                           (19)

где V - емкость трубопроводов тепловой сети теплоснабжающей организации, а также тепловой сети и систем теплопотребления абонентов, м3;

r - плотность теплоносителя (сетевой воды), кг/м3.

Значение плотности теплоносителя следует принимать в соответствии со средней за расчетный период температурой теплоносителя в подающем и обратном трубопроводах тепловой сети (системах теплопотребления).

38 Потери теплоносителя технологические, а также вследствие установленной сверхнормативной утечки за расчетный период определяются по соответствующим нормативам, а также актам, оформленным в связи с этими потерями.

39. Суммарные потери теплоносителя, связанные с неустановленной сверхнормативной утечкой из вышеперечисленных элементов системы теплоснабжения без непосредственного водоразбора, определяются из водного баланса системы теплоснабжения:

             (20)

где Dmотп - общее количество теплоносителя, невозвращенного в тепловую сеть в расчетном периоде, т;

Dmп - общее количество израсходованного теплоносителя, измеренное и учтенное на узлах учета абонентов, т;

Dmут.н - общее количество теплоносителя, потерянного в связи с нормативной утечкой за отчетный период из тепловой сети теплоснабжающей организации, участков тепловой сети абонентов, где узлы учета расположены не на границах балансовой принадлежности, участков тепловой сети абонентов и их систем теплопотребления, не оснащенных узлами учета, т;

Dmут.т - общее количество теплоносителя, утерянного с технологической утечкой из тепловой сети теплоснабжающей организации, участков тепловой сети абонентов, где узлы учета размещены не на границе балансовой принадлежности, участков тепловой сети абонентов и их систем теплопотребления, не оснащенных узлами учета, (оформляется соответствующими актами),

Dmут.сн.уст - общее количество теплоносителя, потерянного вследствие установленной сверхнормативной утечки, оформленное соответствующими актами, т.

40. В системе теплоснабжения с непосредственным водоразбором на горячее водоснабжение суммарные потери теплоносителя за расчетный период, связанные с неустановленной сверхнормативной утечкой теплоносителя, определяются из уравнения водного баланса системы теплоснабжения:

 (20а)

где Dmр.г - общее количество теплоносителя, приходящегося за расчетный период на водоразбор абонентами без приборов учета потребленных тепловой энергии и теплоносителя, т, определяется по формуле (18).

41. Потери теплоносителя, связанные с неустановленной сверхнормативной утечкой, за расчетный период определяются для следующих элементов системы теплоснабжения:

· тепловая сеть теплоснабжающей организации;

· участки тепловой сети абонентов, узлы учета которых размещены не на границе балансовой принадлежности;

· участки тепловой сети и системы теплопотребления абонентов, не оснащенных приборами учета;

· участки тепловой сети и системы теплопотребления абонентов, использующих приборно-расчетный метод учета в связи с тем, что в одном из трубопроводов узла учета количество теплоносителя не измеряется.

42. Суммарные потери теплоносителя, т, связанные с неустановленными сверхнормативными утечками теплоносителя за отчетный период, распределяются по элементам системы теплоснабжения пропорционально емкости каждого элемента в соответствии с формулой:

                                (21)

где Vэл - емкость элемента системы теплоснабжения (тепловой сети или систем теплопотребления абонентов), м3.

Определение потерь тепловой энергии, обусловленных потерями теплоносителя

43. Тепловые потери за расчетный период, связанные с потерями теплоносителя в тепловой сети теплоснабжающей организации или на участках тепловой сети, находящихся на балансе абонентов, системы теплопотребления которых оснащены узлами учета, но приборы учета размещены не на границе балансовой принадлежности, а также на участках тепловой сети, находящихся на балансе абонентов, системы теплопотребления которых не оснащены приборами учета, определяются по формуле:

                 (16б)

где DQут.в - потери тепловой энергии, обусловленные нормативной утечкой теплоносителя в тепловой сети теплоснабжающей организации или на участках тепловой сети, находящихся на балансе абонентов, где замерить потери теплоносителя не представляется возможным, Гкал (ГДж),

DQут.т - тепловые потери, связанные с технологическими утечками теплоносителя в тепловой сети теплоснабжающей организации или на участках тепловой сети, находящихся на балансе абонентов, где замерить потери теплоносителя не представляется возможным, Гкал (ГДж);

DQут.сн.уст - потери тепловой энергии, связанные с оформленными актами потерями теплоносителя в результате установленной сверхнормативной утечки в тепловой сети теплоснабжающей организации и на участках тепловой сети абонентов, где замерить потери теплоносителя не представляется возможным, Гкал (Гдж);

DQут.сн.нуст - потери тепловой энергии вследствие потерь теплоносителя, связанных с неустановленной сверхнормативной утечкой в тепловой сети теплоснабжающей организации и на участках тепловой сети абонентов, где замерить потери теплоносителя не представляется возможным, Гкал (Гдж).

44. Потери тепловой энергии, Гкал (ГДж), обусловленные потерями теплоносителя, составляющими формулу (16б), определяются формулами:

                                   (22)

                                             (23)

                                    (24)

                           (25)

где h1, h2 и hхв - средние за расчетный период значения энтальпии теплоносителя в подающем и обратном трубопроводах тепловой сети и исходной холодной воды на источнике теплоснабжения, ккал/кг (кДж/кг);

hут.сн.уст - энтальпия потерянного теплоносителя, соответствующая его температуре, указанной в акте на установленные сверхнормативные потери (слив) теплоносителя, ккал/кг (кДж/кг);

hут.т - энтальпия потерянного теплоносителя, соответствующая его температуре, указанной в акте на технологические потери теплоносителя, ккал/кг (кДж/кг).

Определение тепловых потерь через изоляцию трубопроводов тепловой сети

45. Потери тепловой энергии через изоляцию трубопроводов должны быть определены для тепловой сети теплоснабжающей организации, участков тепловой сети, находящихся на балансе абонентов и расположенных между границей балансовой принадлежности тепловой сети теплоснабжающей организации и абонентов и их узлов учета, а также участков тепловой сети, находящихся на балансе абонентов, системы теплопотребления которых не оснащены приборами учета потребленных тепловой энергии и теплоносителя.

46. Тепловые потери через изоляцию трубопроводов тепловой сети, находящейся на балансе теплоснабжающей организации или абонентов, за расчетный период могут быть определены при помощи тепловых испытаний или на базе нормируемых значений средних часовых тепловых потерь за год, определяемых для различных видов прокладки трубопроводов.

Нормируемые значения тепловых потерь трубопроводами тепловых сетей следует принимать согласно «Методическим указаниям по определению тепловых потерь в водяных тепловых сетях» (РД 34.09.255-97) [3]. Для трубопроводов, запроектированных до 1990 г., следует использовать нормативные значения, приведенные в Методических указаниях [3], после 1990 г. - нормативные значения, приведенные в главе СНиП 2.04.14-88 «Тепловая изоляция оборудования и трубопроводов» [4].

Тепловые испытания следует производить в соответствии с упомянутыми выше Методическими указаниями [3].

47. Потери тепловой энергии через изоляцию трубопроводов за расчетный период, Гкал (ГДж), определяются по формуле:

                       (26)

где DQиз.подз - среднее часовое за расчетный период значение тепловых потерь через изоляцию, определяемое суммарно для подающего и обратного трубопроводов тепловой сети подземной прокладки, Гкал/ч (Гдж/ч);

DQиз.надз.п - среднее часовое за расчетный период значение тепловых потерь через изоляцию, определяемое для подающего трубопровода тепловой сети надземной прокладки, Гкал/ч (Гдж/ч);

DQиз.надз.о - то же, для обратного трубопровода тепловой сети надземной прокладки, Гкал/ч (Гдж).

Значения тепловых потерь, Гкал (ГДж), в формуле (26) определяются с помощью пересчета нормируемых значений средних за год часовых потерь тепловой энергии рассматриваемых трубопроводов на средние за расчетный период значения температуры теплоносителя в подающих и обратных трубопроводах и температуры окружающей среды по формулам:

            (27)

                       (28)

                      (28а)

где Qиз.подз.г - среднее за год значение нормируемых часовых тепловых потерь трубопроводами тепловой сети теплоснабжающей организации или абонента, определяемое суммарно для подающего и обратного трубопроводов подземной прокладки, Гкал/ч (ГДж/ч);

Qиз.надз.п.г - среднее за год значение нормируемых часовых тепловых потерь подающего трубопровода тепловой сети надземной прокладки теплоснабжающей организации или абонента, Гкал/ч (ГДж/ч);

Qиз.надз.о.г - то же, обратного трубопровода, Гкал/ч (ГДж/ч);

t1ср и t2ср - средние за расчетный период значения температуры теплоносителя в подающем и обратном трубопроводах тепловой сети, °С;

tгр.ср - среднее за расчетный период значение температуры грунта на глубине заложения трубопроводов тепловой сети, °С;

tн.ср - среднее за расчетный период значение температуры наружного воздуха,°С,

t1ср г и t2ср - средние за год значения температуры теплоносителя в подающем и обратном трубопроводах тепловой сети, °С;

tгр.ср.г - среднее за год значение температуры грунта на глубине заложения трубопроводов тепловой сети, °С;

tн.ср.г - среднее за год значение температуры наружного воздуха, °С;

qиз.подз - удельные потери тепловой энергии обоими трубопроводами тепловой сети подземной прокладки через изоляцию, Гкал/ч°С (ГДж/ч°С);

qиз.надз.п - то же, подающим трубопроводом тепловой сети надземной прокладки, Гкал/ч°С (ГДж/ч°С);

qиз.надз.о - то же, обратным трубопроводом тепловой сети, Гкал/ч°С (ГДж/ч°С).

48. Для расчета тепловых потерь через изоляцию трубопроводов тепловой сети теплоснабжающей организации за расчетный период средние значения температуры теплоносителя в подающем и обратном трубопроводах за этот период следует принимать как средние значения температуры теплоносителя в трубопроводах выводных коллекторов источника тепла.

49. Для расчета потерь тепловой энергии через изоляцию трубопроводов участков тепловой сети, находящихся на балансе абонентов, указанные выше (п. 48) значения температуры теплоносителя следует принимать как средние значения температуры его в соответствующих трубопроводах тепловой сети на границах раздела ее по балансовой принадлежности. В случае, если регистрация значений температуры теплоносителя не производится, можно принимать эти значения равными соответствующим значениям температуры теплоносителя на коллекторах источника тепла.

ПРИЛОЖЕНИЕ 1

Определение расчетных часовых нагрузок отопления, приточной вентиляции и горячего водоснабжения.

Расчетные тепловые нагрузки

1. Отопление

1.1. Расчетную часовую тепловую нагрузку отопления следует принимать по типовым или индивидуальным проектам зданий.

В случае отличия принятого в проекте значения расчетной температуры наружного воздуха для проектирования отопления от действующего нормативного значения для конкретной местности, необходимо произвести пересчет приведенной в проекте расчетной часовой тепловой нагрузки отапливаемого здания по формуле:

                                                    (1)

где Qo - расчетная часовая тепловая нагрузка отопления здания, Гкал/ч (ГДж/ч);

Qо.пр - расчетная часовая тепловая нагрузка отопления здания по типовому или индивидуальному проекту, Гкал/ч (ГДж/ч);

tв - расчетная температура воздуха в отапливаемом здании,°С; принимается в соответствии с главой СНиП 2.04.05-91 [6] и по табл.1;

tн.р.о - расчетная температура наружного воздуха для проектирования отопления в местности, где расположено здание, согласно СНиП 2.04.05-91 [6],°С;

tн.р.о.пр - расчетная температура наружного воздуха для проектирования отопления по типовому или индивидуальному проекту,°С.

Таблица 1. Расчетная температура воздуха в отапливаемых зданиях

Наименование здания

Расчетная температура воздуха в здании tв, °С

Жилое здание

18

Гостиница, общежитие, административное здание

18 - 20

Детский сад, ясли, поликлиника, амбулатория, диспансер, больница

20

Высшее, среднее специальное учебное заведение, школа, школа-интернат, предприятие общественного питания, клуб

16

Театр, магазин, пожарное депо

15

Кинотеатр

14

Гараж

10

Бани

25

В местностях с расчетной температурой наружного воздуха для проектирования отопления -31°С и ниже значение расчетной температуры воздуха внутри отапливаемых жилых зданий следует принимать в соответствии с главой СНиП 2.08.01-85 [7] 20°С.

1.2. При отсутствии проектной информации расчетную часовую тепловую нагрузку отопления отдельного здания можно определить по укрупненным показателям.

                                   (2)

где a - поправочный коэффициент, учитывающий отличие расчетной температуры наружного воздуха для проектирования отопления tп.р.о в местности, где расположено рассматриваемое здание, от tн.р.о= -30°С, при которой определено соответствующее значение qо; принимается по табл. 2;

V - объем здания по наружному обмеру, м3;

qо - удельная отопительная характеристика здания при tп.р= -30°С, ккал/м3ч°С (кДж/м3ч°С); принимается по табл. 3 и 4;

Кн.р - расчетный коэффициент инфильтрации, обусловленной тепловым и ветровым напором, т.е. соотношение тепловых потерь зданием с инфильтрацией и теплопередачей через наружные ограждения при температуре наружного воздуха, расчетной для проектирования отопления.

Таблица 2. Поправочный коэффициент a для жилых зданий

Расчетная температура наружного воздуха tн.р, °С

0

-5

-10

-15

-20

-25

-30

-35

-40

-45

-50

-55

a

2,05

1,67

1,45

1,29

1,17

1,08

1,00

0,95

0,9

0,85

0,82

0,8

таблица 3. Удельная отопительная характеристика жилых зданий

Наружный строительный объем V, м3

Удельная отопительная характеристика qо, ккал/м3ч°С (кДж/м3ч°С)

Наружный строительный объем V, м3

Удельная отопительная характеристика qо, ккал/м3ч°С (кДж/м3ч°С)

постройка до 1958 г.

постройка после 1958г.

постройка до 1958 г.

постройка после 1958г.

100

0,74 (3,1)

0,92 (3,85)

4000

0,4 (1,67)

0,47 (1,97)

200

0,66 (2,76)

0,82 (3,43)

4500

0,39 (1,63)

0,46 (2,93)

300

0,62 (2,6)

0,78 (3,27)

5000

0,38 (1,59)

0,45 (1,88)

400

0,6 (2,51)

0,74 (3,1)

6000

0,37 (1,55)

0,43 (1,8)

500

0,58 (2,43)

0,71 (2,97)

7000

0,36 (1,51)

0,42 (1,76)

600

0,56 (2,34)

0,69 (2,89)

8000

0,35 (1,46)

0,41 (1,72)

700

0,54 (2,26)

0,68 (2,85)

9000

0,34 (1,42)

0,4 (1,67)

800

0,53 (2,22)

0,67 (2,8)

10000

0,33 (1,38)

0,39 (1,63)

900

0,52 (2,18)

0,66 (2,76)

11000

0,32 (1,34)

0,38 (1,59)

1000

0,51 (2,14)

0,65 (2,72)

12000

0,31 (1,3)

0,38 (1,59)

1100

0,5 (2,09)

0,62 (2,6)

13000

0,3 (1,26)

0,37 (1,55)

1200

0,490 (2,05)

0,6 (2,51)

14000

0,3 (1,26)

0,37 (1,55)

1300

0,48 (2,01)

0,59 (2,47)

15000

0,29 (1,21)

0,37 (1,55)

1400

0,47 (1,97)

0,58 (2,43)

20000

0,28 (1,17)

0,37 (1,55)

1500

0,47 (1,97)

0,57 (2,39)

25000

0,28 (1,17)

0,37 (1,55)

1700

0,46 (1,93)

0,55 (2,3)

30000

0,28 (1,17)

0,36 (1,51)

2000

0,45 (1,88)

0,53 (2,22)

35000

0,28 (1,17)

0,35 (1,46)

2500

0,44 (1,84)

0,52 (2,18)

40000

0,27 (1,13)

0,35 (1,46)

3000

0,43 (1,8)

0,5 (2,09)

45000

0,27 (1,13)

0,34 (l,42)

3500

0,42 (1,76)

0,48 (2,01)

50000

0,26 (1,09)

0,34 (1,42)

Таблица 4. Удельная тепловая характеристика административных, лечебных и культурно-просветительных зданий, детских учреждений

Наименование зданий

Объем зданий V, м3

Удельные тепловые характеристики

для отопления qо, ккал/м3ч°С (кДж/м3ч°С)

для вентиляции qв, ккал/м3ч°С (кДж/м3ч°С)

1

2

3

4

Административные здания, конторы

до 5000

0,43 (1,8)

0,09 (0,38)

до 10000

0,38 (1,59)

0,08 (0,33)

до 15000

0,35(1,46)

0,07 (0,29)

более 15000

0,32 (1,34)

0,18 (0,75)

Клубы

до 5000

0,37 (1,55)

0,25 (1,05)

до 10000

0,33 (1,38)

0,23 (0,96)

более 10000

0,3 (1,26)

0,2 (0,84)

Кинотеатры

до 5000

0,36(1,51)

0,43 (1,8)

до 10000

0,32 (1,34)

0,39(1,63)

более 10000

0,3 (1,26)

0,38 (1,59)

Театры

до 10000

0,29 (1,21)

0,41 (1,72)

до 15000

0,27 (1,13)

0,4 (1,67)

до 20000

0,22 (0,92)

0,38 (1,59)

до 30000

0,2 (0,84)

0,36 (1,51)

более 30000

0,18 (0,75)

0,31 (1,3)

Магазины

до 5000

0,38 (1,59)

-

до 10000

0,33 (1,38)

0,08 (0,33)

более 10000

0,31 (1,3)

0,27 (1,13)

Детские сады и ясли

до 5000

0,38 (1,59)

0,11 (0,46)

более 5000

0,34 (1,42)

0,1 (0,42)

Школы в высшие учебные заведения

до 5000

0,39 (1,63)

0,09 (0,38)

до 10000

0,35 (1,46)

0,08 (0,33)

более 10000

0,33 (1,38)

0,07 (0,29)

Больницы

до 5000

0,4 (1,67)

0,29 (1,21)

до 10000

0,36 (1,51)

0,28 (1,17)

до 15000

0,32 (1,34)

0,26 (1,09)

более 15000

0,3 (1,26)

0,25 (1,05)

Баня

до 5000

0,28 (1,17)

1,0 (4,19)

до 10000

0,25 (1,05)

0,95 (3,98)

более 10000

0,23 (0,96)

0,9 (3,77)

Прачечные

до 5000

0,38 (1,59)

0,8(3,35)

до 10000

0,33 (1,38)

0,78 (3,27)

более 10000

0,31 (1,3)

0,75 (3,14)

Предприятия общественного питания, столовые, фабрики-кухни

до 5000

0,35 (1,46)

0,7 (2,93)

до 10000

0,33 (1,38)

0,65 (2,72)

более 10000

0,3 (1,26)

0,6 (2,51)

Лаборатории

до 5000

0,37 (1,55)

1,0 (4,187)

до 10000

0,35 (1,46)

0,95 (3,98)

более 10000

0,33 (1,38)

0,9 (3,77)

Пожарные депо

до 2000

0,48 (2,01)

0,14 (0,59)

до 5000

0,46 (1,93)

0,09 (0,38)

более 5000

0,45 (1,88)

0,09 (0,38)

Гаражи

до 2000

0,7 (2,93)

-

до 3000

0,6 (2,51)

-

до 5000

0,55 (2,3)

0,7 (2,93)

более 5000

0,5 (2,09)

0,65 (2,72)

Значение V, м3, следует принимать по информации типового или индивидуального проектов здания или бюро технической инвентаризации (БТИ).

Если здание имеет чердачное перекрытие, значение V, м3, определяется как произведение площади горизонтального сечения здания на уровне его I этажа (над цокольным этажом) на высоту здания от уровня чистого пола I этажа до верхней плоскости теплоизоляционного слоя чердачного перекрытия, при крышах, совмещенных с чердачными перекрытиями, - до средней отметки верха крыши. Выступающие за поверхности стен архитектурные детали и ниши в стенах здания, а также неотапливаемые лоджии при определении расчетной часовой тепловой нагрузки отопления не учитываются.

При наличии в здании отапливаемого подвала к полученному объему отапливаемого здания необходимо добавить 40% объема этого подвала. Строительный объем подземной части здания (подвал, цокольный этаж) определяется как произведение площади горизонтального сечения здания на уровне его I этажа на высоту подвала (цокольного этажа).

Расчетный коэффициент инфильтрации Кн.р определяется по формуле:

                               (3)

где g - ускорение свободного падения, м/с2;

L - свободная высота здания, м;

wр - расчетная для данной местности скорость ветра в отопительный период, м/с; принимается по СНиП 2.04.05-91 [6].

Вводить в расчет так называемую поправку на ветер не требуется, т.к. эта величина уже учтена в формуле (3).

Для зданий, законченных строительством, расчетную часовую тепловую нагрузку отопления следует увеличивать на первый отопительный период:

для каменных зданий, построенных:

· в мае - июне - на 12%;

· в июле - августе - на 20%;

· в сентябре - на 25%,

· в отопительном периоде - на 30%.

1.3. Удельную отопительную характеристику здания qо, ккал/ м3ч°С (кДж/м3ч°С), при отсутствии в табл. 3 и 4 соответствующего его строительному объему значения qо, можно определить по формуле:

                                                                     (4)

где а=1,66 ккал/м2,83ч°С=1,85 кДж/м2,83ч°С; n=6 - для зданий строительства до 1958 г.;

а=1,3 ккал/м2,875ч°С=1,52 кДж/м2,875ч°С; n=8 - для зданий строительства после 1958 г.

1.4. В случае, если часть жилого здания занята общественным учреждением (контора, магазин, аптека, приемный пункт прачечной и т.д.), расчетная часовая тепловая нагрузка отопления должна быть определена по проекту. Если расчетная часовая тепловая нагрузка в проекте указана только в целом по зданию, или в случае определения ее по укрупненным показателям, тепловую нагрузку отдельных помещений можно определить по площади поверхности теплообмена установленных нагревательных приборов, используя общее уравнение, описывающее их теплоотдачу:

                                                                  (5)

где k - коэффициент теплопередачи нагревательного прибора, ккал/ м2ч°С (кДж/м2ч°С);

F - площадь поверхности теплообмена нагревательного прибора, м2;

Dt - температурный напор нагревательного прибора,°С, определяемый как разность средней температуры нагревательного прибора конвективно-излучающего действия и температуры воздуха в отапливаемом здании -

                                                         (6)

где t1 и t2 - температура теплоносителя на входе и выходе нагревательного прибора, соответствующая расчетным условиям для проектирования отопления, °С.

Методика определения расчетной часовой тепловой нагрузки отопления по поверхности установленных нагревательных приборов систем отопления приведена в [5].

1.5. При подключении полотенцесушителей к системе отопления расчетную часовую тепловую нагрузку этих отопительных приборов можно определить как теплоотдачу неизолированных труб в помещении с расчетной температурой воздуха tв=25°C по методике, приведенной в [5].

1.6. При отсутствии проектных данных и определении расчетной часовой тепловой нагрузки отопления производственных, общественных и других нетиповых зданий (гаражей, подземных отапливаемых переходов, бассейнов, магазинов, киосков, аптек и т.д.) по укрупненным показателям, уточнение значений этой нагрузки следует производить по площади поверхности теплообмена установленных нагревательных приборов систем отопления в соответствии с методикой, приведенной в [5].

2. Приточная вентиляция

2.1. При наличии типового или индивидуального проектов здания и соответствии установленного оборудования системы приточной вентиляции проекту расчетную часовую тепловую нагрузку вентиляции можно принять по проекту с учетом различия значений расчетной температуры наружного воздуха для проектирования вентиляции, принятого в проекте, и действующим нормативным значением для местности, где расположено рассматриваемое здание.

Пересчет производится по формуле, аналогичной формуле (1):

                                                       (1а)

где Qв.р - расчетная часовая тепловая нагрузка приточной вентиляции, Гкал/ч (Гдж/ч);

Qв.пр - расчетная часовая тепловая нагрузка приточной вентиляции по проекту, Гкал/ч (Гдж/ч);

tн.пр.в - расчетная температура наружного воздуха, при которой определена тепловая нагрузка приточной вентиляции в проекте, °C;

tн.р.в. - расчетная температура наружного воздуха для проектирования приточной вентиляции в местности, где расположено здание, °С; принимается по указаниям СНиП 2.04.05-91 [6].

2.2. При отсутствии проектов или несоответствии установленного оборудования проекту расчетная часовая тепловая нагрузка приточной вентиляции должна быть определена по характеристикам оборудования, установленного в действительности, в соответствии с общей формулой, описывающей теплоотдачу калориферных установок:

                                                                  (6а)

где                                                       

В этом выражении t2 и t1 - соответственно расчетные значения температуры воздуха на входе и выходе калориферной установки,°С.

Методика определения расчетной часовой тепловой нагрузки приточных калориферных установок изложена в [5].

Допустимо определять расчетную часовую тепловую нагрузку приточной вентиляции общественных зданий по укрупненным показателям согласно формуле:

                                            (2а)

где qв - удельная тепловая вентиляционная характеристика здания, зависящая от назначения и строительного объема вентилируемого здания, ккал/м3ч°С (кДж/м3ч°С); можно принимать по табл. 4.

3. Горячее водоснабжение

3.1. Средняя часовая тепловая нагрузка горячего водоснабжения потребителя тепловой энергии Qг.ср, Гкал/ч (Гдж/ч), определяется по формуле:

                                        (7)

где а - норма затрат воды на горячее водоснабжение абонента, л/ед. измерения в сутки; должна быть утверждена местным органом самоуправления; при отсутствии утвержденных норм принимается по таблице Приложения 3 (обязательного) СНиП 2.04.01-85 [8];

N - количество единиц измерения, отнесенное к суткам - количество жителей, учащихся в учебных заведениях и т.д.;

tхв - температура холодной водопроводной воды в отопительный период, °С; при отсутствии достоверной информации принимается tхв=5°С;

Qт.п - тепловые потери в местной системе горячего водоснабжения, в подающем и циркуляционном трубопроводах наружной сети горячего водоснабжения Гкал/ч (ГДж/ч).

3.2. Среднюю часовую тепловую нагрузку горячего водоснабжения в межотопительный период, Гкал (Гдж), можно определить из выражения:

                                               (8)

где Qг.ср.в - средняя часовая тепловая нагрузка горячего водоснабжения в отопительный период, Гкал/ч (Гдж/ч);

b - коэффициент, учитывающий снижение средней часовой нагрузки горячего водоснабжения в межотопительный период по сравнению с нагрузкой в отопительный период; при отсутствии утвержденного значения, b принимается равным 0,8 для жилищно-коммунального сектора, 1,2 - 1,5 - для курортных, южных городов и населенных мест, для предприятий - 1,0;

tг.л, tг.в - температура горячей воды соответственно в межотопительный и отопительный период, °С;

tх.л, tх.в - температура холодной водопроводной воды соответственно в межотопительный и отопительный период, °С; при отсутствии достоверных сведений принимается tх.л=15°С, tх.в=5°С.

3.3. Тепловые потери трубопроводами системы горячего водоснабжения могут быть определены по формуле:

                                (9)

где Кi - коэффициент теплопередачи участка неизолированной трубы, ккал/м2ч°С (кДж/м2ч°С); можно принимать Ki=10 ккал/м2ч°С (41,87 кДж/м2ч°С);

di и li - диаметр трубы на участке и его длина, м;

tн и tк - температура горячей воды в начале и конце расчетного участка трубы,°С;

tокр - температура окружающей среды, °С; принимается по виду прокладки труб:

· в бороздах, вертикальных каналах, коммуникационных шахтах сантехкабин tокр=23°C;

· в ванных комнатах tокр=25°C;

· в кухнях и туалетах tокр=21°С;

· на лестничных клетках tокр=16°C;

· в каналах подземкой прокладки наружной сети горячего водоснабжения tокр= tгр;

· в тоннелях tокр= 40°С;

· в неотапливаемых подвалах tокр =5°С;

· на чердаках tокр=9°C (при средней температуре наружного воздуха самого холодного месяца отопительного периода tн= -11 ... - 20°С);

h - коэффициент полезного действия тепловой изоляции трубопроводов; принимается для трубопроводов диаметром до 32 мм h= 0,6; 40 - 70 мм h=0,74, 80 - 200 мм h=0,81.

Таблица 5. Удельные тепловые потери трубопроводов систем горячего водоснабжения (по месту и способу прокладки)

Место и способ прокладки

Тепловые потери трубопровода, ккал/чм (кДж/чм) при условном диаметре, мм

1

2

3

4

5

6

7

8

 

15

20

25

32

40

50

70

Главный подающий стояк в штрабе или коммуникационной шахте, изолирован

-

-

-

-

17,0 (71,2)

21,8 (91,3)

19,1 (78,0)

24,5 (102,6)

23,4 (98,0)

30,0 (125,6)

Стояк без полотенцесушителей, изолированный, в шахте сантехкабины, борозде или коммуникационной шахте

9,7 (40,6)

12,8 (53,6)

10,8 (45,2)

14,2 (59,5)

11,9 (49,8)

15,7 (65,7)

13,5 (56,5)

17,8 (74,5)

-

-

-

То же, с полотенцесушителями

-

17,8 (74,5)

23,4 (98,0)

20,7 (86,7)

27,3 (114,3)

25,3 (105,9)

33,3 (139,4)

-

-

-

Стояк неизолированный в шахте сантехкабины, борозде или коммуникационной шахте или открыто в ванной, кухне

20,7 (86,7)

27,3 (114,3)

25,5 (106,8)

35,6 (149,1)

30,2 (126,4)

39,8 (166,6)

37,8 (158,3)

49,8 (208,5)

-

-

-

Распределительные изолированные трубопроводы (подающие) -

 

 

 

 

 

 

 

в подвале и на лестничной клетке

13,5 (56,5)

16,6 (69,5)

15,0 (62,8)

13,4 (56,1)

16,5 (69,1)

20,3 (85,0)

18,8 (78,7)

23,1 (96,7)

20,8 (87,1)

25,6 (107,2)

23,4 (98,0)

26,8 (112,2)

26,8 (112,2)

36,2 (151,6)

на холодном чердаке

16,6 (69,5)

19,7 (82,5)

18,5 (77,5)

21,9 (91,7)

20,3 (83,0)

24,1 (100,9)

23,2 (97,1)

27,5 (115,1)

23,6 (107,2)

30,4 (127,3)

28,8 (120,6)

34,2 (143,2)

35,2 (147,4)

41,8 (175,0)

на теплом чердаке

11,6 (48,4)

14,7 (61,5)

13,0 (54,4)

16,5 (69,1)

14,3 (59,9)

18,1 (75,8)

16,3 (68,2)

20,6 (86,2)

17,9 (74,9)

22,7 (95,0)

20,2 (84,6)

25,6 (107,2)

24,6 (103,0)

31,2 (130,6)

Циркуляционные трубопроводы изолированные -

 

 

 

.

 

 

 

в подвале

10,9 (45,6)

14,0 (58,6)

12,1 (50,7)

15,6 (65,3)

13,3 (55,7)

17,1 (71,6)

15,1 (63,2)

19,4 (81,2)

16,7 (70,0)

21,5 (90,0)

18,8 (78,7)

24,2 (101,3)

23,0 (96,3)

29,6 (123,9)

на теплом чердаке

9,0 (37,7)

12,0 (50,2)

10,0 (41,9)

13,4 (56,1)

11,0 (46,1)

14,8 (62,0)

12,6 (52,8)

16,9 (70,8)

13,8 (57,8)

18,6 (77,9)

15,6 (65,3)

21,0 (87,9)

19,1 (80,0)

25,7 (107,6)

на холодном чердаке

14,0 (58,6)

17,1 (71,6)

15,6 (63,3)

19,1 (80,0)

17,1 (71,6)

20,9 (87,5)

19,4 (81,2)

23,7 (99,2)

21,5 (90,0)

23,7 (99,2)

24,2 (101,3)

29,6 (123,9)

29,6 (123,9)

36,2 (151,6)

Циркуляционные трубопроводы неизолированные:

 

 

 

 

 

 

 

в квартирах

20,0 (83,7)

26,9 (112,6)

24,6 (103,0)

33,1 (138,6)

29,2 (22,3)

39,3 (164,5)

36,6 (153,2)

49,2 (206,0)

43,0 (180,0)

57,8 (242,0)

52,0 (217,7)

69,9 (292,7)

72,0 (301,5)

96,8 (405,3)

на лестничной клетке

23,5 (98,4)

30,4 (127,3)

28,9 (2l,0)

37,4 (156,6)

34,2 (143,2)

44,2 (185,1)

42,8 (179,2)

55,4 (232,0)

50,3 (210,6)

65,1 (272,6)

60,8 (254,6)

78,7 (329,5)

84,5 (353,8)

109,4 (458,1)

Циркуляционные стояки в штрабе сантехнической кабины или ванной:

 

 

 

 

 

 

 

изолированные

 

9,4 (39,4)

12,9 (54,0)

10,3 (43,1)

14,1 (59,0)

11,7 (49,0)

16,0 (67,0)

12,9 (54,0)

17,7 (74,1)

14,6 (61,1)

20,0 (83,7)

17,8 (74,5)

24,4 (101,2)

неизолированные

 

23,0 (96,3)

31,5 (31,9)

27,1 (113,5)

31,5 (131,9)

34,0 (142,4)

46,6 (195,1)

40,0 (167,5)

54,8 (229,4)

48,3 (202,2)

66,2 (277,2)

67,2 (281,4)

92,1 (385,6)

Примечание. В числителе - удельные тепловые потери трубопроводов систем горячего водоснабжения без непосредственного водоразбора в системах теплоснабжения, в знаменателе - с непосредственным водоразбором.

Таблица 6. Удельные тепловые потери трубопроводов систем горячего водоснабжения (по перепаду температуры)

Перепад температур, °С

Тепловые потери трубопровода, ккал/чм (кДж/чм), при условном диаметре, мм

 

15

20

25

32

40

50

70

80

100

125

150

200

30

22,0 (92,1)

28,0 (117,2)

35,0 (146,5)

44,0 (184,2)

48,0 (201,0)

54,0 (226,1)

68,0 (284,7)

80,0 (335,0)

97,0 (406,1)

119,0 (498,3)

143,0 (598,7)

173,0 (724,4)

32

23,0 (96,3)

30,0 (125,6)

37,0 (154,9)

47,0 (196,8)

50,0 (209,4)

58,0 (242,8)

73,3 (305,7)

85,0 (355,9)

103,0 (431,3)

127,0 (531,7)

152,0 (636,4)

185,0 (774,6)

34

25,0 (104,7)

32,0 (134,0)

39,0 (163,3)

50,0 (209,4)

53,0 (211,9)

61,0 (255,4)

77,0 (322,4)

91,0 (381,0)

110,0 (460,6)

135,0 (565,2)

162,0 (678,3)

196,0 (820,7)

36

26,0 (108,9)

33,0 (138,2)

42,0 (175,9)

53,0 (221,9)

56,0 (234,5)

65,0 (272,2)

82,0 (343,3)

95,0 (397,8)

116,0 (485,7)

143,0 (598,7)

171,0 (716,0)

208,0 (870,5)

38

28,0 (117,2)

35,0 (146,5)

44,0 (184,2)

56,0 (234,5)

60,0 (251,2)

68,0 (284,7)

86,0 (360,1)

102,0 (427,1)

123,0 (515,0)

151,0 (632,2)

181,0 (757,8)

219,0 (916,9)

40

29,0 (121,4)

37,0 (154,9)

46,0 (192,6)

59,0 (247,0)

63,0 (263,8)

72,0 (301,5)

91,0 (381,0)

107,0 (448,0)

129,0 (540,11)

159,0 (665,7)

190,0 (795,5)

231,0 (967,2)

42

31,0 (129,8)

39,0 (163,3)

49,0 (205,2)

63,0 (263,8)

67,0 (280,5)

76,0 (318,2)

97,0 (406,1)

114,0 (477,3)

137,0 (573,6)

169,0 (707,6)

202,0 (845,8)

242,0 (1013,3)

44

33,0 (138,2)

42,0 (175,9)

52,0 (217,7)

66,0 (276,3)

71,0 (297,3)

81,0 (339,1)

103,0 (431,3)

121,0 (506,6)

145,0 (607,1)

179,0 (749,5)

214,0 (896,0)

254,0 (1063,5)

46

34,0 (142,4)

44,0 (184,2)

54,0 (226,1)

70,0 (293,1)

75,0 (314,0)

85,0 (355,9)

108,0 (452,2)

127,0 (531,7)

154,0 (644,8)

189,0 (791,3)

226,0 (946,3)

265,0 (1109,6)

48

36,0 (150,7)

46,0 (192,6)

57,0 (238,7)

73,0 (305,6)

79,0 (330,8)

90,0 (376,8)

114,0 (477,3)

134,0 (561,1)

162,0 (678,3)

199,0 (833,2)

238,0 (996,5)

277,0 (1159,8)

50

38,0 (159,1)

48,1 (201,0)

60,0 (251,2)

77,0 (322,4)

83,0 (347,5)

94,0 (393,6)

110,0 (502.4)

140,0 (586,2)

170,0 (711,8)

209,0 (875,1)

250,0 (1046,8)

288,0 (1205,9)

52

40,0 (167,5)

51,0 (213,5)

63,0 (263,8)

81,0 (339,1)

87,0 (364,3)

99,0 (414,5)

126,0 (527,6)

147,0 (615,5)

179,0 (749,5)

220,0 (921,1)

263,0 (1101,2)

300,0 (1256,1)

54

42,0 (175,9)

53,0 (221,9)

66,0 (276,3)

85,0 (355,9)

91,0 (381,0)

104,0 (435,4)

132,0 (552,7)

155,0 (649,0)

188,0 (787,2)

230,0 (963,0)

276,0 (1155,0)

312,0 (1306,3)

56

44,0 (184,2)

56,0 (234,5)

70,0 (293,1)

88,0 (368,5)

95,0 (397,8)

108,0 (452,2)

139,0 (582,0)

162,0 (678,3)

197,0 (824,8)

241,0 (1009,1)

289,0 (1210,0)

323,0 (1352,4)

58

46,0 (192,6)

58,0 (242,8)

73,0 (305,6)

92,0 (385,2)

99,0 (414,5)

113,0 (473,1)

145,0 (607,1)

170,0 (711,8)

206,0 (862,5)

252,0 (1055,1)

302,0 (1264,5)

335,0 (1402,6)

60

48,0 (201,0)

61,0 (255,4)

76,0 (318,2)

96,0 (402,0)

104,0 (435,4)

113,0 (473,1)

151,0 (632,2)

177,0 (741,1)

215,0 (900,2)

263,0 (1101,2)

315,0 (1318,9)

347,0 (1452,9)

Примечание. При перепаде температуры горячей воды отличном от приведенных его значений, удельные тепловые потери следует определять интерполяцией.

3.4. При отсутствии исходной информации, необходимой для расчета тепловых потерь трубопроводами горячего водоснабжения, тепловые потери, Гкал/ч (ГДж/ч) можно определять, применяя специальный коэффициент Кт.п, учитывающий тепловые потери этих трубопроводов, по выражению:

                                                          (10)

Тепловой поток на горячее водоснабжение с учетом тепловых потерь можно определить из выражения:

                                                     (11)

Расчетные весовые нагрузки (расход теплоносителя)

4. Отопление

4.1. Расчетный расход теплоносителя (сетевой воды), т/ч, определяется по формуле:

                                                       (12)

где gот.р - расчетный удельный расход теплоносителя на отопление т/Гкал (т/ГДж);

Qот.р - расчетный тепловой поток на отопление, Гкал/ч (Гдж/ч);

В свою очередь, расчетный удельный расход теплоносителя на отопление определяется в зависимости от расчетного перепада (разности) температуры в подающем и обратном трубопроводах тепловой сети на тепловом пункте потребителя тепловой энергии по формуле:

                                                          (13)

где t, t - значения температуры теплоносителя в подающем и обратном трубопроводах тепловой сети при расчетной температуре наружного воздуха для проектирования отопления, °С.

4.2. Значения расчетного удельного расхода теплоносителя на отопление при подсоединении системы отопления к трубопроводам тепловой сети по зависимой схеме можно принимать по таблице:

Расчетная разность температуры теплоносителя,°С

95-70=25

105-70=35

120-70=50

130-70=60

150-70=80

t1р- t2р=Dtр

Удельный расход теплоносителя. т/Гкал (т/ГДж), gот.р

40,0 (9,55)

28,57 (6,82)

20,0 (4,78)

16,67 (3,98)

12,5 (2,99)

4.3. При подсоединении систем отопления к тепловой сети по независимой схеме (при помощи теплообменника) расчетную температуру теплоносителя в обратном трубопроводе теплообменника (I контур) следует принимать на 5 - 10 °С выше расчетной температуры теплоносителя в обратном трубопроводе отопительных систем при соединенных к тепловой сети по зависимой схеме, т.е. в этих случаях расчетный удельный расход теплоносителя соответственно увеличится при расчетной разности Dtр=150-80=70°С gот.р=14,29 т/Гкал (3,41 т/ГДж).

5. Приточная вентиляция

5.1. Расчетный расход теплоносителя на приточную вентиляцию определяется по формуле аналогичной формуле (13)

                                                           (13а)

где Qв.р - расчетная тепловая нагрузка приточной вентиляции, Гкал/ч (Гдж/ч),

t, t - значения температуры теплоносителя в подающем и обратном трубопроводах тепловой сети по температурному графику регулирования тепловой нагрузки, принятому в системе теплоснабжения, при расчетной температуре наружного воздуха для проектирования вентиляции, °С.

5.2. В случае совпадения расчетных значений температуры наружного воздуха для проектирования отопления и вентиляции (СНиП 2.04.05-91) значения расчетного удельного расхода теплоносителя на отопление и вентиляцию также совпадают.

6. Горячее водоснабжение

6.1. Системы теплопотребления с непосредственным водоразбором на горячее водоснабжение.

6.1.1. Расчетный расход теплоносителя (сетевой воды) на горячее водоснабжение т/ч, для отопительного периода определяется по формуле:

                                                           (13б)

где tг и tхв - температура горячей воды, поступающей на горячее водоснабжение,°С; значение температуры горячей воды принимается равным 60°С, значения tхв принимается для отопительного периода равным 5°С, для межотопительного периода - равным 15°С (при отсутствии достоверных сведений).

6.1.2. Расчетный расход теплоносителя на горячее водоснабжение, т/ч, для межотопительного периода определяется по формуле (13б) с введением коэффициента b=0,8 для жилищно-коммунального сектора городов средней полосы России, b=1,2 - 1,5 для курортных и южных городов и b=1,0 для промышленных потребителей (п. 3.2).

6.2. Система теплопотребления без непосредственного водоразбора на горячее водоснабжение.

6.2.1. Параллельная схема подключения теплообменников горячего водоснабжения.

Расчетный расход теплоносителя (сетевой воды) на горячее водоснабжение, т/ч, для отопительного периода определяется по формуле:

                                                           (14)

где t и t - температура теплоносителя в подающем трубопроводе тепловой сети и в обратном трубопроводе теплообменника в точке излома температурного графика регулирования тепловой нагрузки, °С; при отсутствии проекта допускается принимать t= 30°С.

6.2.2. Двухступенчатая схема подключения теплообменников горячего водоснабжения.

Расчетный расход теплоносителя на горячее водоснабжение, т/ч, для отопительного периода определяется по формуле:

                                      (15)

где t - температура теплоносителя в обратном трубопроводе системы отопления в точке излома температурного графика регулирования тепловой нагрузки, °С,

dн - недогрев водопроводной воды в I ступени водонагревательной установки до температуры теплоносителя в обратном трубопроводе системы отопления в точке излома температурного графика регулирования тепловой нагрузки, °С, можно принимать dн=10°С - для полностью автоматизированного теплового пункта и dн=5°С - для тепловых пунктов без регуляторов постоянства расхода теплоносителя на отопление.

ПРИЛОЖЕНИЕ 2

УДЕЛЬНАЯ ЕМКОСТЬ ТРУБОПРОВОДОВ ТЕПЛОВЫХ СЕТЕЙ

Диаметр труб, мм

Удельная емкость м3

Диаметр труб, мм

Удельная емкость, м3

Диаметр труб, мм

Удельная емкость, м3

условный

наружный

условный

наружный

Условный

Наружный

25

32

0,00057

150

159

0,0177

500

530

0,207

32

38

0,00085

175

194

0,027

600

630

0,296

40

45

0,0013

200

219

0,033

700

720

0,387

50

57

0,002

250

273

0,053

800

820

0,502

70

76

0,0039

300

325

0,075

900

920

0,636

80

89

0,0053

350

377

0,101

1000

1020

0,785

100

108

0,0079

400

426

0,135

1100

1120

0,944

125

133

0,0123

450

480

0,169

1200

1220

1,1234

УДЕЛЬНАЯ ЕМКОСТЬ СИСТЕМ ТЕПЛОПОТРЕБЛЕНИЯ

Теплообменные приборы в системе

Удельная емкость, м3ч/Гкал (м3ч/ГДж) при температурном перепаде, °С

95/70

110/70

130/70

140/70

150/70

Радиаторы чугунные высотой 1000 км

31,0 (7,4)

28,2 (6,7)

24,2 (5,8)

23,2 (5,5)

21,6(5,2)

То же, высотой 500 мм

19,5 (4,7)

17,6 (4,2)

15,1 (3,6)

14,6 (3,5)

13,3 (3,2)

Радиаторы стальные панельные высотой 500 мм

11,7 (2,8)

10,6 (2,5)

9,1 (2,2)

8,8 (2,1)

8,0 (1,9)

То же, высотой 350 мм

10,0 (2,4)

9,0 (2,1)

7,8 (1,9)

7,5 (1,8)

6,8 (1,6)

Радиаторы стальные листотрубные и конвекторы

5,6 (1,3)

5,0 (1,2)

4,3 (1,1)

4,1 (1,0)

3,7 (0,9)

Трубы чугунные ребристые

14,2 (3,4)

12,5 (3,0)

10,8 (2,6)

10,4 (2,5)

9,2 (2,2)

Регистры из стальных труб

37,0 (8,9)

32,0 (7,6)

27,0 (6,5)

26,0 (6,2)

24,0 (5,7)

Калориферные отопительно-вентиляционные агрегаты

8,5 (2,0)

7,5 (1,8)

6,5 (1,6)

6,0 (1,4)

5,5 (1,3)

ПРИЛОЖЕНИЕ 3

СПИСОК ЛИТЕРАТУРЫ

1. Правила учета тепловой энергии и теплоносителя М.: Изд-во МЭИ, I995.

2. Правила технической эксплуатации электрических станций и сетей Российской Федерации РД 34.20.501-95. М.: АО «Энергосервис», 1996.

3. Рекомендации по организации учета тепловой энергии и теплоносителя на предприятиях, в учреждениях и организациях жилищно-коммунального хозяйства и бюджетной сферы М.: РАО «Роскоммунэнерго», 1999.

4. Методические указания по определению тепловых потерь в водяных тепловых сетях. РД 34.09.255-97 М.: СПО ОРГРЭС, 1998.

5. СНиП 2.04.14-88*. Тепловая изоляция оборудования и трубопроводов. - М.: ГУП ЦПП, 1989.

6. СНиП 2.04.05-91*. Отопление, вентиляция и кондиционирование. - М.: ГУП ЦПП, 1999.

7. СНиП 2.08.01-89*. Жилые здания. - М.: ГУП ЦПП, 1999.

8. СНиП 2.04.01-85*. Внутренний водопровод и канализация зданий. - М.: ГУП ЦПП, 2000.

9. Манюк В.И., Каплинский Я.И., Хиж Э.Б. и др. Наладка и эксплуатация водяных тепловых сетей. Справочник М., Стройиздат, 1988.

 




ГОСТЫ, СТРОИТЕЛЬНЫЕ и ТЕХНИЧЕСКИЕ НОРМАТИВЫ.
Некоммерческая онлайн система, содержащая все Российские Госты, национальные Стандарты и нормативы.
В Системе содержится более 150000 файлов нормативно-технической документации, действующей на территории РФ.
Система предназначена для широкого круга инженерно-технических специалистов.

Рейтинг@Mail.ru Яндекс цитирования

Copyright © www.gostrf.com, 2008 - 2026