|
|
|
Открытое акционерное общество "Газпром" ВЕДОМСТВЕННЫЙ РУКОВОДЯЩИЙ ДОКУМЕНТ КОНЦЕПЦИЯ ВРД 39-1.13-011-2000 Москва 2000 Система нормативных документов в газовой промышленности ВЕДОМСТВЕННЫЙ РУКОВОДЯЩИЙ ДОКУМЕНТ КОНЦЕПЦИЯ ВРД 39-1.13-011-2000 Открытое акционерное общество "Газпром" Всероссийский научно-исследовательский институт Москва 2000 ПРЕДИСЛОВИЕРАЗРАБОТАН Управлением науки, новой техники и экологии ОАО "Газпром"; Обществом с ограниченной ответственностью "Научно-исследовательский институт природных газов и газовых технологий - ВНИИГАЗ" СОГЛАСОВАН Управлением науки, новой техники и экологии ОАО "Газпром" и Научно-исследовательским центром "Экобезопасность" Госкомэкологии РФ ВНЕСЕН Управлением науки, новой техники и экологии ОАО "Газпром" УТВЕРЖДЕН Постановлением Правления ОАО "Газпром" № 14 от 20 апреля 2000 г. и Заместителем Председателя Государственного комитета РФ по охране окружающей среды ВВЕДЕН В ДЕЙСТВИЕ Постановлением Правления ОАО "Газпром" № 14 от 20 апреля 2000 г. ВВОДИТСЯ ИЗДАН Обществом с ограниченной ответственностью "Информационно-рекламный центр газовой промышленности" (ООО "ИРЦ Газпром") Работа выполнена авторским коллективом: ОАО "Газпром" Седых А.Д., Дедиков Е.В., Кобзев Ю.В. НИЦ "Экобезопасность" Карелов А. М. , Головашкин М.А., Драган А.В. ВНИИГАЗ Мурин В.И., Кисленко Н.Н., Бахметьев П.И., Овчинников Г.А. (рук. темы, отв. исп.), Кайванова Л.Н., Быстрова Е.А., Акопова Г.С., Соловьева Н.А., Яценко П.Е. и Шестоперова А.В. (компьютерная верстка) СОДЕРЖАНИЕ ВВЕДЕНИЕВ последние годы проблемы экологической безопасности поставлены под международный контроль в связи с присоединением России к ряду международных конвенций, в частности, о трансграничном загрязнении воздуха и контроле за эмиссией парниковых газов (метан, двуокись углерода, закись азота и др.), задерживающих инфракрасное излучение Земли и способствующих изменению климата и повышению температуры. Объекты ОАО "Газпром" являются высокорисковыми и экологически опасными, воздействующими практически на все основные элементы природной среды. Сбросы и выбросы веществ загрязняют почву и земли, иногда с нарушением растительного покрова и рельефа, а отходы, попутные, побочные продукты и вторичные материалы отрицательно воздействуют на окружающую среду за счет повышенной концентрации. В целом для отрасли характерна добыча, транспортировка, переработка и хранение больших объемов взрыво, пожаро и токсически опасных ингредиентов сырья и продукции, где, начиная с открытия месторождения до подачи газа потребителям, проявляется специфика, связанная с особенностями физико-химических свойств газа, его повышенной миграционной способностью и возможностью фазовых изменений в пласте, скважине, промысловых и газотранспортных системах. По токсикологической характеристике природные газы относят к веществам 4-го класса опасности, малотоксичным, но пожаро- и взрывоопасным. Предельно допустимая концентрация природного газа в воздухе рабочей зоны в пересчете на углерод составляет 300 мг/м3, сероводорода в смеси с углеводородом - 3 мг/м3, массовая доля сероводорода и меркаптановой серы (в %) не должна превышать 0,013, в том числе сероводорода не более 0,003. Нижний и верхний концентрационные пределы воспламенения (по метану) в смеси с воздухом составляют соответственно 5 и 15 %. К основным объектам загрязнения в газовой отрасли относят: - воздушный бассейн, загрязняемый вредными веществами в результате выбросов газа из скважин, естественных геологических нарушений и утечек из промысловых и транспортных систем, особенно на газоперерабатывающих заводах и газокомпрессорных станциях; - поверхностные и литосферные воды, загрязняемые в результате сброса жидких отходов, гидроразрыва, формирования ограниченных зон дренирования; - нарушение почвенно-растительного слоя, трансформация ландшафтов, природного режима многолетнемерзлых грунтов, нарушения природных условий обитания животных, их отравление вредными веществами за счет внедрения технологических объектов в природную экосистему. При разведочных работах и разработке месторождений газа ущерб окружающей среде наносится в связи с авариями на скважинах. Это приводит к прямому выбросу в атмосферу углеводородных и неуглеводородных соединений и потере первичной пластовой энергии. Источниками загрязнения окружающей среды являются также грифоны, образующиеся в результате прорыва газа по трещинам на месторождениях с нарушенными сводовыми частями и плохой изоляцией нефте-газоводонасыщенных пластов. Прорывы газа и его распространение на значительной площади в этом случае создают взрывоопасную обстановку в районе работ, угрожают здоровью людей и животных, особенно если в газе содержится большая доля сероводорода. Работы по бурению скважин, обустройству и эксплуатации промысла загрязняют территории и локальные экосистемы, в этом случае опасность представляют отходы бурения, которые хранятся, как правило, в грунтовых амбарах. Одна из форм негативного воздействия на окружающую среду заключается в образовании техногенных геодинамических процессов и деформаций (просадок) земной поверхности, обусловленных длительной разработкой газового месторождения и потерей начального пластового давления. Последствиями таких деформаций являются нарушения природного гидродинамического режима верхних горизонтов, искусственно вызываемые неконтролируемые перетоки пластовых и приповерхностных вод, а также нарушения устойчивости промысловых сооружений (скважины, оборудование), способные создать аварийные ситуации. Существенный экологический урон наносят аварии на газопроводах. При разрушении газопровода и высвобождении энергии газа возникают механические повреждения природного ландшафта и рельефа, нарушается целостность почвенно-растительного покрова. Примерно половина аварий сопровождается возгоранием газа. Значительные проблемы экологического характера возникают при прокладке газопроводов, особенно при речных и болотных переходах. При строительстве подводных траншей загрязняется вода, а в скальных грунтах, где выполняют буровзрывные работы, происходит массовая гибель ихтиофауны. Источником загрязнения окружающей среды является процедура очистки полости при испытании газопроводов перед сдачей в эксплуатацию. При транспортировке газа создастся также шумовой эффект газоперекачивающими агрегатами, который воздействует на обслуживающий персонал и обитание местных животных. Однако, главным источником экологической опасности в газовой промышленности являются газотранспортные магистрали, особенно компрессорные станции с газотурбинными установками, на которых при сгорании выделяется ряд вредных веществ, включая окислы азота, серы, углекислый газ и пр., поэтому ОАО "Газпром" занимает активную позицию в достижении экологически и экономически сбалансированного технологического процесса. Мероприятия, ранее проводимые ОАО "Газпром" в этом направлении, касались лишь отдельных, хотя и важных направлений в достижении поставленной цели. Объединить эти направления и повысить их эффективность планируется за счет комплексных мер, долговременно связанных с внедрением систем управления окружающей средой и основывающихся на декларированном соответствии требованиям МС ИСО серии 14000, аналогичных отечественным стандартам ГОСТ Р ИСО 14000, всех технологических элементов производства. Поскольку экологическое управление в отрасли находится среди высших приоритетов, такой подход на всех руководящих уровнях обеспечивает эффективность функционирования систем экологического управления, а главное, централизованно проводится комплекс необходимых корректирующих мер. Постановление Правления ОАО "Газпром" № 40 от 09.04.98 "Деятельность ОАО "Газпром" в области охраны окружающей среды за 1997 г." - п. 12 "О внедрении стандартов ГОСТ Р ИСО 14000" и Приказ ОАО "Газпром" № 10 от 05.02.99 "О создании отраслевой Системы сертификации "Газпромсерт" вывели на новый качественный уровень комплекс требований к системам экологического управления с точки зрения проведения единой политики, что позволит упорядочить и унифицировать деятельность в этом направлении. Учитывая вышеприведенные соображения, целью настоящей Концепции является определение целей, задач, структуры и механизма реализации Системы экологического управления в отрасли. В приложениях А, Б и В к Концепции... приведены термины и определения, используемые в стандартах ГОСТ Р ИСО 14000, блок-схема и требования к Системе экологического управления, совместимые с ГОСТ Р ИСО 9000. СИСТЕМА НОРМАТИВНЫХ ДОКУМЕНТОВ В ГАЗОВОЙ ПРОМЫШЛЕННОСТИ ВЕДОМСТВЕННЫЙ РУКОВОДЯЩИЙ ДОКУМЕНТ КОНЦЕПЦИЯ Дата введения 2000-04-20 НАЗНАЧЕНИЕ, ЦЕЛИ И ОСНОВНЫЕ ПРИНЦИПЫ СИСТЕМЫ ЭКОЛОГИЧЕСКОГО УПРАВЛЕНИЯЭкологическое управление - составная часть общей системы административного управления, представляет собой организационную структуру, осуществляющую деятельность по планированию, созданию, внедрению и обеспечению норм и требований, ограничивающих вредное воздействие процессов производства и выпускаемой продукции на окружающую среду, а также по рациональному использованию природных ресурсов, их восстановлению и воспроизводству. Система экологического управления (далее - СЭУ) распространяется на: · деятельность подразделений по использованию, восстановлению и воспроизводству природных ресурсов; · этапы разработки и изготовления продукции, на которых определяются экологические и гигиенические свойства продукции; · все технологические этапы производства, при которых возможно появление сырьевых, попутных, побочных, основных продуктов и вторичных материалов, загрязняющих и вредно воздействующих на окружающую среду непосредственно своим появлением либо за счет увеличения концентрации за определенный интервал времени. Экологическое управление осуществляется на основании нормативной документации, устанавливающей практические методы, процедуры, скоординированные с подразделениями по обеспечению качества продукции и другими службами (финансирование, материально-техническое снабжение, метрология, охрана здоровья и др.) с целью: · формирования и соблюдения гигиенически и экологически обоснованных требований к выпускаемой продукции; · функционирования системы контроля элементов окружающей среды; · снижения норм расхода воды; · уменьшения до регламентированного уровня или до полной ликвидации загрязнения атмосферы выбросами; · уменьшения до регламентированного уровня или до полной ликвидации загрязнения водных объектов сбросами; · уменьшения до регламентированного уровня или до полной ликвидации загрязнения почвы и недр; · уменьшения до регламентированного уровня или до полной ликвидации воздействия шумов, излучений и других физических факторов; · организации работ по утилизации попутных и побочных продуктов и вторичных материалов. Экологическое управление недропользованием основывается на: · рациональности - достижении хозяйственных целей при минимальном воздействии на окружающую среду; · ответственности - поиске и идентификации источников экологического ущерба, ответственности за нарушения технологических регламентов и норм; · превентивности - постоянном мониторинге, проведении мероприятий по предотвращению вредного воздействия на среду; · мотивации (административной и экономической) эффективного недропользования; · компенсации нанесенного ущерба окружающей природной среде и ущерба в социальной сфере вследствие недропользования; · рациональном использовании запасов с обеспечением наиболее полного их извлечения в пределах, установленных лицензией на недропользование; · минимизации загрязнения недр при выполнении работ, связанных с освоением и эксплуатацией месторождения; · обеспечении безопасной эксплуатации месторождения, снижении роли факторов, ухудшающих качество извлекаемых ресурсов; · соблюдении установленных технологических регламентов. Методические основы экологического управления должны строится на основе совокупности научно обоснованных и проверенных практикой принципов, таких как: · комплексность - построение СЭУ, охватывающей все области деятельности, все функции управления, все стадии жизненного цикла продукции, все этапы производственного процесса; · делимость - последовательное членение структуры СЭУ на элементы; · иерархичность - формирование многоуровневой организационно-функциональной структуры СЭУ в соответствии с ее делением на элементы и делегирования полномочий принятия управленческих решений соответствующему уровню управления; · замкнутость цикла управления - осуществление в СЭУ в целом и в каждом ее элементе полного управленческого цикла (прогнозирование, планирование, организация, координация, регулирование, учет, контроль, анализ). Для обеспечения комплексности управления необходимо осуществить рациональное сочетание целевого, функционального управления и линейного руководства. При практической реализации экологического управления необходимо соблюдать следующие условия: · экологическое управление должно находится среди высших приоритетов; · экологическая политика должна строиться на анализе состояния окружающей среды, необходимости выполнения требований законодательных и нормативных актов, принятия мер по предотвращению экологических аварий и катастроф и др.; · четко определить цели и задачи по экологическому оздоровлению, формированию программ и планов действий с указанием конкретного содержания работ, ответственных исполнителей, сроков исполнения, потребных ресурсов, разработки планов действий в аварийных ситуациях и др.; · создать соответствующую организационную структуру с выделением необходимых ресурсов, подготовкой и выпуском руководства по управлению качеством окружающей среды, подготовку и обучение кадров, обеспечение коммуникаций и др.; · обеспечить мониторинг производственной системы, окружающей среды, системы экологического управления с определением характеристик и оценкой состояния охраны окружающей среды, проведением корректирующих действий и др.; · проводить периодический анализ состояния системы экологического управления со стороны руководства предприятия и реализацию мероприятии по совершенствованию системы. Успех функционирования систем экологического управления зависит от согласованности действий на всех уровнях управления, особенно со стороны высшего руководства организации. Система такого рода позволяет организации обеспечить эффективность в формировании экологической политики, достижению ее целей, обеспечить соответствие деятельности поставленным целям и продемонстрировать такое соответствие другим. Особенностью систем экологического управления является периодический аудит системы. Аудит должен проводиться с целью определения соответствия системы намеченным планам внедрения и обеспечения функционирования системы. Аудит систем экологического управления должен выполняться персоналом организации и/или внешними организациями или экспертами и должен занимать объективную и независимую позицию. Частота проведения аудита определяется экологическими аспектами и потенциальными воздействиями на среду. Результаты предыдущих аудитов должны рассматриваться с определенной периодичностью до полного устранения выявленных недостатков. Внедрение системы экологического управления позволит ограничить вредное воздействие производственных процессов и выпускаемой продукции на окружающую среду и снизить уровень аварийности, наносящий экологический ущерб. МЕХАНИЗМ ЭКОЛОГИЧЕСКОГО УПРАВЛЕНИЯМодель системы управления охраной окружающей средой (рис. 1) представляет замкнутый цикл в котором соблюдаются следующие принципы: Обязательства и политика Определяется экологическая политика и принимаются обязательства в отношении системы управления окружающей средой. Планирование Формулируется план реализации экологической политики. Реализация С целью эффективной реализации создаются возможности и механизмы поддержки, необходимые для осуществления экологической политики и достижения целевых и плановых экологических показателей. Измерение и оценка Измеряется, контролируется и оценивается экологическая эффективность. Анализ и совершенствование Анализируется и постоянно совершенствуется система управления окружающей средой с целью повышения общей экологической эффективности.
Рис. 1. Механизм управления охраной окружающей среды Для функционирования модели в СЭУ формируется экологическая политика, программа и механизм ее реализации, составляется руководство по качеству и осуществляется контроль (рис. 2, 3). Политика в области охраны окружающей среды устанавливается по общим направлениям деятельности, состоянию окружающей среды, требованиями законодательных и других нормативно-правовых актов. Для контроля окружающей среды (как внутренняя процедура) вводятся и оцениваются характеристики экологичности (рис. 4), основанные на непрерывном сборе, обработке и анализе данных, предусматривающие оценку как текущего состояния, так и оценку изменения этого состояния во времени. В противоположность этому, экологический аудит и т.п. дают информацию об экологических аспектах деятельности, связанную с определенным моментом времени. Оценка характеристик экологичности предполагает учет всей деятельности от использования ресурсов, реализуемых технологических процессов, выпускаемой продукции, получаемых отходов и т.п. Имеются три основные области оценки характеристик экологичности. Первая область - это непосредственно показатели состояния окружающей среды. Информация о показателях окружающей среды организации может быть интерпретирована и использована для оценки характеристик компонентов окружающей среды в локальном, региональном или глобальном масштабах. Следующая область оценки характеристик экологичности - это система административного управления организацией. Третья область - это функциональная или производственная система, имеющая дело с потоками материалов, энергии, информации. Для каждой из этих областей характерна широкая номенклатура возможных показателей экологичности при широком диапазоне рассматриваемых экологических аспектов деятельности. В качестве примера в таблице 1 представлены показатели экологичности в области функциональной производственной системы. Реализация целей и задач СЭУ обеспечивается структурой, включающей подсистемы (рис.5): функциональную, ориентированную на реализацию отдельных составляющих экологического управления (планирование, координация, мониторинг, экономика); объектную, ориентированную на управление экологическими аспектами отдельных стадий технологического процесса (технологическая подготовка производства, производство, материально-техническое снабжение, сбыт, отходы). Рис. 2. Механизм формирования политики в области охраны окружающей среды
Рис. 3. Содержание и последовательность работ по формированию Руководства по экологическому управлению Рис. 4. Схема оценки характеристик экологичности
Рис. 5. Структурная схема системы экологического управления Оценка характеристик экологичности
Примечание: Размерность характеристик экологичности определяется в зависимости от их вида (м/час, баллы, концентрация и т.п.). В качестве компонентов СЭУ подсистемы должны включать следующие виды обеспечения: · организационное - законы, нормативно-правовые документы, руководящие материалы, положения, инструкции, приказы, регламентирующие деятельность и распределение ответственности; · нормативно-правовое - законодательные, нормативные правовые акты нормативно-технические документы, экологические нормативы; · методическое - методики, руководства, в которых представлена экологическая политика предприятия, деятельность по экологическому оздоровлению, экологические программы, планы, процедуры производственно-экологического мониторинга, методики оценки воздействия на окружающую среду, оценки экологического риска, оценки экономической эффективности мероприятий по охране окружающей среды и др., оформленное в виде специального Руководства по экологическому управлению; · информационное - совокупность протоколов, записей, файлов, содержащих данные производственно-экологического мониторинга, экологического аудита, фоновый уровень загрязнения, платежи за загрязнение окружающей среды, нормативные и сверхнормативные выбросы и др.; · кадровое - специалисты, находящиеся на различных уровнях управления предприятием, инженерно-технические работники, специалисты по промышленной экологии, специалисты, занятые обучением и повышением квалификации кадров в области охраны окружающей среды и др.; · техническое - технические средства природоохранного характера, в том числе средства очистки выбросов, сливов, технические средства производственно-экологического мониторинга, компьютеры, периферийное оборудование, средства связи и передачи данных и др.; · ресурсное - средства материально-технического снабжения, финансовые ресурсы. Перечень документации, необходимой для создания и функционирования СЭУ в соответствии со структурой представлен в табл. 2. Определение степени соответствия СЭУ нормативным требованиям осуществляют экологическим аудированием, описанным в следующем разделе. ПЕРЕЧЕНЬ
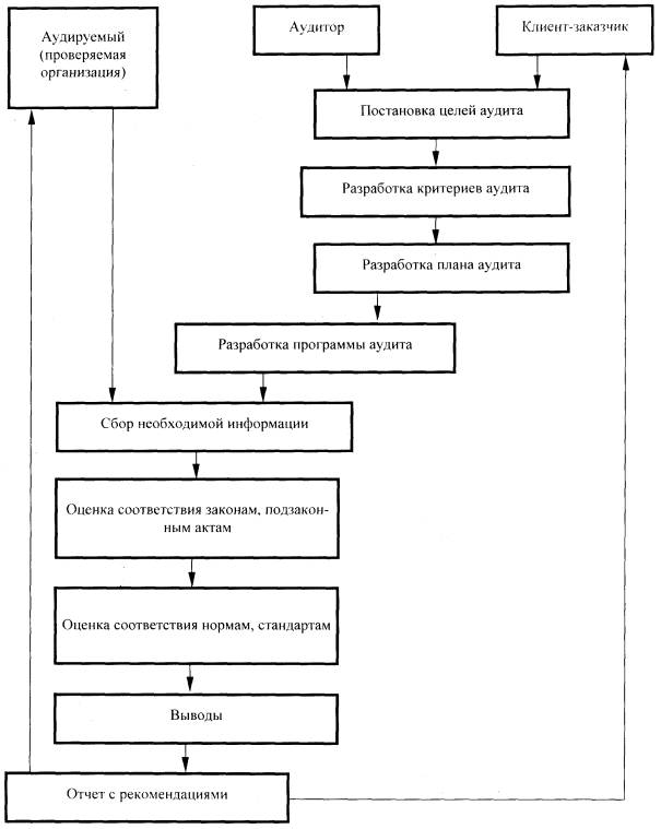
ЭКОЛОГИЧЕСКИЙ АУДИТОбъектом экологического аудита является определение степени соответствия процесса, характера деятельности предприятия законодательным и нормативно-правовым актам в области охраны окружающей среды, природоохранным нормам и правилам. Экологический аудит проводится с целью: · определения соответствия проверяемой системы экологического управления; · идентификации области возможного улучшения проверяемой системы экологического управления; · оценка способности руководства организации анализировать процессы, обеспечивая постоянную готовность к работе; · оценки эффективности системы экологического управления; · оценки качества и научно-технического уровня документации, в частности, - руководства по экологическому управлению. Схема процесса экологического аудита представлена на рис. 6. Экологический аудит должен проводиться в соответствии с документированной методологией и носить системный характер. Критерии аудита при соответствующем уровне детализации должны быть согласованы между руководителем группы аудиторов и руководителем аудируемого объекта. Должна быть собрана, проанализирована, интерпретирована и задокументирована информация, используемая для оценки и определения ее соответствия критериям аудита. Выводы аудита и обобщающие результаты должны быть представлены в виде печатного материала по следующим направлениям: · идентификаторы аудируемой организации и клиента; · согласованные цели и план аудита; · согласованные критерии, на соответствие которым проводится аудит; · продолжительность и сроки проведения аудита; · состав членов группы аудиторов; · перечень лиц, представлявших аудируемую организацию; · итоги процесса аудита, включая встреченные препятствия; · заключение о степени конфиденциальности содержимого; · заключение по аудиту; · ведомость рассылки отчета по аудиту. В Приложениях Г и Д представлен основной перечень материалов для проведения экологического аудирования, который может дополняться и изменяться в зависимости от специфики объекта.
Рис. 6. Схема процесса экологического аудита СОЗДАНИЕ И РАЗВИТИЕ НОРМАТИВНОЙ БАЗЫПродукция оказывает воздействие на окружающую среду во время ее производства, поставки, использования или утилизации, поэтому нормативная документация на нее должна быть актуализирована и гармонизирована с зарубежными и международными нормами, а. также связана с национальными и другими системами сертификации. В стандартах на продукцию необходимо учесть возможность ее воздействия на окружающую среду с целью: · повысить понимание того, что требования в стандартах на продукцию могут оказывать как положительное, так и отрицательное воздействие на окружающую среду; · показать взаимодействие между стандартами на продукцию и стандартами по экологическому управлению; · определить пути, по которым продукция на стадиях ее жизненного цикла может оказать вредное воздействие на окружающую среду; · предусмотреть идентификацию и оценку экологических требований в стандартах на продукцию. Эффекты воздействия продукции на окружающую среду должны быть сбалансированы с другими факторами, включая назначение продукции, технические характеристики, безопасность, охрану здоровья, рыночные возможности сбыта и показатели качества продукции (рис.7). При разработке стандартов на продукцию важно определить, как продукция на различных стадиях ее жизненного цикла может влиять на окружающую среду. Специальные требования в стандартах на продукцию определяют те экологические аспекты, которые непосредственно связаны с продукцией, являющейся объектом стандартизации. Требования не должны быть более жесткими, чем это необходимо для достижения функциональных целей продукции. Это позволяет избежать чрезмерного или неэффективного использования материалов или энергии. Неоправданно же низкие требования могут привести к необходимости частой смены продукции вследствие ее быстрого морального старения. Когда устанавливают требования к продукции, то эти требования определяют выбор соответствующего проектного решения, отражая влияние: потребных расходов материалов и энергии, учитываемых вместе с затратами на их добычу, подготовку или промежуточные производственные процессы; типа и количества отходов, производимых на всех стадиях жизненного цикла; входных и выходных потоков материалов и энергии, связанных с транспортировкой, распределением и использованием; вариантов компенсации потерь энергии, повторного использования бракованной продукции или простоты демонтажа, восстановления или ремонта; вариантов утилизации продукции и связанных с ней отходов. Учитывая вышеизложенное, в отрасли формируется Программа по разработке, пересмотру, актуализации и гармонизации с международными стандартами нормативной документации ОАО "Газпром".
Рис. 7. Стандарты на продукцию и воздействие на окружающую среду СТАНОВЛЕНИЕ И РАЗВИТИЕ
|
|||||||||||||||||||||||||||||||||||||||||||||||||||||||||||||||||||||||||||||||||||||||||||||||||||||||||||||||||||||||||||||||||||||||||||||||||||||||||||||||||||||||||||||||||||||||||||||||||||||||||||||||||||||||||||||||||||||||||||||||||||||||||||||||||||||||||||||||||||||||||||||||||||||||||||||||||||||||||||||||||||||||||||||||||||||||||||||||||||||||||||||||||||||||||||||||||||||||||||||||
|
№ |
Перечень проводимых работ |
ТЮФ |
ВНИИГАЗ и НИЦ |
||
|
Консалтинговая фирма |
Сертификационная фирма |
Консалтинговая фирма |
Сертификационная фирма |
||
|
1 |
2 |
3 |
4 |
5 |
6 |
|
1 |
Разработка исходных данных и организация работ А. Выбор варианта сертификации Б. Решение вопросов организации работ В. Разработка плана работ Г. Подготовка персонала |
|
Выполнение работ со стороны ТЮФ |
|
Выполнение работ со стороны ВНИИГАЗа и НИЦ |
|
2 |
Разработка и ввод в действие систем управления окружающей средой согласно выбранному варианту сертификации |
Выдача исходных материалов. Консультирование |
|
Перечень документов, консультирование, участие в разработке (совместно с ОАО "Газпром") |
|
|
3 |
Оценка состояния сертифицируемых объектов: А. Проведение оценки; Б. Составление планов мероприятий (осуществляется совместно с Заявителем) |
Участие в составлении плана мероприятий |
Проведение оценки на одном выбранном локальном пункте. Передача отчета |
Участие в составлении плана мероприятий. Комплекс корректирующих мероприятий для целей сертификации |
Проведение оценки на всех 16 локальных пунктах и в зависимости от выбранного варианта в обеспечивающих подразделениях. Выдача заключения |
|
4 |
Выполнение мероприятий, разработанных совместно с Заявителем на основе заключений, принятых на этапе 2 при оценке состояния (осуществляется Заявителем) |
Консультирование при выполнении мероприятий |
|
Консультирование при выполнении мероприятий, обеспечение внедрения |
|
|
5 |
Оформление комплекта заявочной сертификационной документации |
|
Консультиро-вание |
|
Консультирование и подготовка кадров |
|
6 |
Проведение сертификационной проверки |
|
Выполнение работ в своей части (1 объект) |
|
Выполнение работ в своей части (комплекс объектов) |
|
7 |
Оформление результатов сертификации |
|
В системе ТЮФ |
|
В системе "Промсертика" |
|
8 |
Проведение инспекционного контроля |
|
В области Распространения сертификата ТЮФа |
|
В области распространения сертификата "Промсертика" |
Результаты опытной эксплуатации системы экологического управления изучаются и анализируются на отраслевом совещании со специалистами отрасли с целью последующего распространения на объектах Единой системы газоснабжения России.
Организация - компания, корпорация, фирма, предприятие, орган власти или институт, часть их или комбинация частей, входящие или не входящие в одну структуру государственного или частного характера, которые выполняют свои собственные функции и имеют свой административный аппарат.
Примечание - Для организаций, включающих более одного функционального блока, каждый отдельный функциональный блок может быть определен как организация.
Окружающая среда - окружение (среда), в которой функционирует организация, включая компоненты: воздух, воду, землю, природные ресурсы, флору, фауну, человека при взаимодействии этих компонентов между собой.
Примечание - Окружение в данном контексте распространяется от среды, в которой функционирует организация, до глобальной системы.
Экологическая политика - заявление (декларация) организации о ее намерениях и принципах деятельности по отношению к общим характеристикам окружающей среды, предусматривающее определенные рамки для реализации мероприятий и достижения поставленных целей и задач в области охраны окружающей среды.
Примечание - К важным экологическим аспектам относятся такие аспекты, которые оказывают или могут оказывать существенное воздействие на окружающую среду.
Экологический аспект деятельности - элемент (характеристика) деятельности организации, ее продукции или услуг, связанный с взаимодействием с окружающей средой.
Экологическая задача - детальные требования к характеристикам окружающей среды, оцененные по возможности количественно, применимые по отношению к организации или ее части и вытекающие из целей охраны окружающей среды и которые необходимо рассматривать в комплексе и обеспечить их выполнение в процессе достижения этих целей.
Воздействие на окружающую среду - любое изменение в окружающей среде, положительное или отрицательное, полностью или частично являющееся результатом деятельности организации, ее продукции или услуг.
Система экологического управления (СЭУ) - часть общей системы управления, которая включает организационную структуру, деятельность по планированию, распределению ответственности, практическую работу, процедуры, процессы и ресурсы, необходимые для разработки, внедрения, реализации и оценки экологической политики организации.
Непрерывное улучшение - процесс совершенствования системы экологического управления (СЭУ) с целью улучшения состояния окружающей среды в соответствии с экологической политикой организации.
Примечание - Процесс совершенствования не обязательно должен проходить одновременно во всех областях деятельности организации.
Аудит системы экологического управления - систематический и документированный процесс верификации для определения соответствия системы экологического управления организации критериям аудита системы экологического управления и передачи результатов контроля управляющему персоналу.
Цели охраны окружающей среды - общие цели, определяемые экологической политикой, которые организация предполагает достигнуть и которые по мере возможности оцениваются количественно.
Характеристика экологичности - измеренные результаты функционирования системы экологического управления, относящиеся к контролю экологических аспектов деятельности организации, основанных на экологической политике, ее целях и задачах.
Заинтересованная сторона - отдельные лица или группа лиц, имеющие отношение к деятельности по охране окружающей среды или на которые влияют характеристики качества окружающей среды организации.
Предотвращение загрязнения - использование процессов, практической деятельности, материалов или продукции с целью исключения или контроля выделения загрязнителей, которые могут включать переработку отходов, изменение процессов, использование механизмов контроля, эффективное использование ресурсов и замену материалов.
Примечание - Потенциальные выгоды от предотвращения загрязнения включают сокращение отрицательных воздействий на окружающую среду, повышение эффективности и сокращение затрат.
Экологический аудит - системный документированный процесс верификации объективно полученных сведений и определения соответствия установленных направлений деятельности по охране окружающей среды, событий, условий, систем управления или информации о них критериям аудита, и представление заказчику результатов этого процесса.
Аудиторское заключение - профессиональное суждение или точка зрения аудитора об объекте аудита, основанное на результатах аудита и ограниченное той системой аргументации, которую применил аудитор в отношении результатов аудита.
Критерии аудита - политические (экологические), практические, процедурные (методические) аспекты или требования, с которыми аудитор сопоставляет информацию, собранную им об объекте аудита.
Примечание - Требования могут включать, но не ограничиваться стандартами, руководствами, специальными организационными требованиями и законодательными или нормативными актами, действующими в организации.
Информация по аудиту - проверенные сведения, записи или заявление о фактическом положений дел.
Примечания:
1 Информация по аудиту может быть качественного или количественного характера, которая используется аудитором для сопоставления с критериями аудита.
2 Информация по аудиту обычно основывается на интервью, исследовании документов, наблюдениях за деятельностью и условиями, имеющихся результатах измерений и испытаний, или сведениях, полученных другим путем в рамках аудита.
Результаты аудита - результаты оценки собранной информации и сопоставления ее с согласованными критериями аудита.
Примечание - Результаты аудита составляют основу отчета по аудиту.
Группа аудиторов - группа аудиторов или отдельный аудитор, осуществляющие конкретный аудит. Группа, аудиторов может включать также технических экспертов или аудиторов-стажеров.
Примечание - Один из аудиторов в группе выполняет функции руководителя - ведущего аудитора.
Подвергаемый аудиту или аудируемый - организация, аудит которой проводится.
Эколог-аудитор - лицо, аттестованное для осуществления экологического аудита.
Примечание - Квалификационные критерии для экологов-аудиторов приведены в ИСО 14012.
Ведущий эколог-аудитор - лицо, аттестованное для управления и осуществления экологических аудитов.
Клиент (заказчик) - организация, заказавшая аудит.
Примечание - Клиентом может быть аудируемый или другая организация, которая имеет административное или контрактное право на заказ аудита.
Объект рассмотрения - определенная деятельность по экологическому управлению, события, условия, система управления и/или информация по этим аспектам.
Технический эксперт - физическое лицо, обладающее специальными знаниями и опытом работы в группе аудиторов, но не являющееся аудитором.
Критерии аудита систем экологического управления - политические (экологические), практические аспекты, процедуры или требования, содержащиеся в ГОСТ Р ИСО 14001 и дополнительные требования к системе экологического управления, с которыми аудитор сравнивает собранную информацию о системе экологического управления организации.
Уровень образования - признанный национальный или международный уровень (степень) образования или соответствующей квалификации, обычно получаемой в результате среднего образования, продолжающегося в течение, как минимум, трех лет календарного времени или эквивалентной продолжительности занятий.
Среднее образование - та часть национальной системы образования, которая начинается с завершения начального образования (элементарной ступени) и завершается непосредственно перед поступлением в университет или подобное учебное заведение.
Программы экологической маркировки по типу I - добровольная, проводимая на многокритериальной основе уполномоченным органом процедура, дающая право на присвоение продукции знака, свидетельствующего об определенном предпочтении данной продукции в отношении экологической чистоты среди определенной группы однородной продукции.
Группа однородной продукции - группа продукции, обладающей одинаковыми функциями и показателями назначения.
Функциональные характеристики продукции - особенности использования продукции.
Критерии экологической чистоты продукции - требования экологической чистоты продукции, выполнение которых дает право на экологический знак.
Уполномоченный орган - орган, представляющий третью сторону, работающий в рамках программы экологической маркировки.
Третья сторона - лицо или орган, признанный независимым сторонами, участвующими в процессе.
Примечание - Стороны, участвующие в процессе, - обычно это поставщик ("первая сторона") и потребитель ("вторая сторона").
Заинтересованное лицо - любая сторона, заинтересованная в программе экологической маркировки.
Лицензиат - сторона, которой уполномоченным органом предоставлено право использования экологического знака.
Оценка характеристик экологичности - процесс измерения, анализа, оценки и описания характеристик экологичности в соответствии с согласованными критериями для соответствующих целей управления.
Показатель характеристик экологичности - конкретное описание характеристики (компонента) системы экологического управления, производственной системы, окружающей среды в рассматриваемой предметной области.
Заинтересованная сторона - частное лицо или группа лиц, связанных (активно или пассивно) с характеристиками окружающей среды организации.
Продукционная система - совокупность материально и энергетически связанных единичных процессов, реализующих одну или более определенных функций.
Примечание - Под термином "продукция" подразумевается как продукционная система, так и система услуг.
Жизненный цикл - последовательность взаимосвязанных составляющих продукционной системы, начиная с процесса добычи сырья или воспроизводства природных ресурсов до конечной стадии - удаления отходов.
Оценка жизненного цикла - учет и оценка входных и выходных потоков материалов, веществ, энергии продукционной системы, ее воздействия на окружающую среду на всех стадиях жизненного цикла.
Оценка воздействия на стадиях жизненного цикла - составляющая оценки жизненного цикла, когда определяются величина и значимость потенциального воздействия продукционной системы на окружающую среду.
Интерпретация жизненного цикла - составляющая оценки жизненного цикла, когда выводы из параметрического анализа или оценки воздействий или выводы обоих этих этапов сопоставляются с установленными целями и содержанием.
Инвентаризационный анализ жизненного цикла - составляющая оценки жизненного цикла. Он включает учет и количественную оценку входных и выходных потоков для данной продукционной системы на всех стадиях жизненного цикла.
Размещение - разделение и перераспределение входных или выходных потоков процесса в продукционной системе.
Сравнительное суждение - статья экологического норматива, определяющая превосходство или эквивалентность одного вида продукции по отношению к конкурирующему виду, причем оба вида продукции выполняют идентичные функции. Элементарный поток:
(1) материальный или энергетический поток, входящий в исследуемую систему, направленный из окружающей среды и не подвергаемый предшествующему преобразованию со стороны человека;
(2) материальный или энергетический поток, выходящий из исследуемой системы, направленный в окружающую среду без последующего его преобразования человеком.
Вход (входной поток) - материальный или энергетический поток, входящий в единичный процесс.
Примечание - Материальные потоки могут включать как сырьевые материалы, так и продукцию.
Выход (выходной поток) - материальный или энергетический поток, выходящий из единичного процесса.
Примечание - Материальные потоки могут включать сырьевые материалы, продукцию, излучения и отходы.
Сырьевой материал - первичный или вторичный (восстановленный) материал, используемый для получения продукции.
Граница системы - интерфейс (граница) между продукционной системой и окружающей средой или другими продукционными системами.
"Прозрачность" - открытое, объективное и понятное представление информации.
Единичный процесс - наименьшая часть продукционной системы, используемая в качестве самостоятельной функциональной единицы, при проведении оценки жизненного цикла.
Отходы - любой выходной поток из продукционной системы, который удаляется из нее.
Вспомогательный исходный материал - исходный материал, используемый в производстве продукции, но не используемый непосредственно в составе получаемой продукции.
Сопродукция - один, два или более видов продукции, получаемых в ходе одного и того же единичного процесса.
Категория данных - классификация входных и выходных потоков для единичного процесса или продукционной системы.
Качество данных - содержание или характеристики собираемых или агрегируемых данных.
Энергетический поток - входной или выходной поток для единичного процесса или продукционной системы, измеряемый в единицах энергии.
Примечание - Энергетические потоки, входящие в систему, могут называться входной энергией; потоки энергии, выходящие из системы, могут называться выходной энергией.
Потенциальная (внутренняя) энергия - полная теплота сгорания исходного сырьевого материала, который не используется в качестве энергоносителя в продукционной системе.
Конечная продукция - продукция, которая не требует дополнительного преобразования перед ее использованием.
Случайные выбросы - неконтролируемые выбросы в воздух, сбросы в воду или почву.
Примечание - В качестве примера можно указать утечки вещества или продукта из соединения трубопроводов.
Полуфабрикат - входная или выходная промежуточная продукция для единичного процесса, которая требует дальнейшей переработки.
Энергия процесса - исходная энергия, необходимая в единичном процессе для протекания этого процесса или обеспечения работы оборудования, реализующего этот процесс, за исключением получения и поставки энергии.
Блок-схема процесса - схема, содержащая помеченные прямоугольники, соединенные линиями со стрелками, представляющие единичные процессы и подсистемы, входящие в продукционную систему, а также представляющие связи между процессами.
Производимая и поставляемая энергия - исходная энергия, используемая в процессе добычи, производства, переработки, поставки энергии.
Анализ "чувствительности" - системная процедура оценки влияния на результаты исследования погрешностей выбранных методов и данных.
Объект (производственный) - объект вместе с занимаемой им площадью, на котором осуществляется производственная деятельность. Он может включать места хранения сырьевых материалов, полуфабрикатов, отходов, оборудование или элементы инфраструктуры, необходимые для обеспечения функционирования.
Орган по сертификации/регистрации - третья сторона, которая оценивает и регистрирует систему экологического управления на предмет соответствия опубликованным стандартам и дополнительной нормативной документации, требуемой для системы.
Сертификат соответствия - документ, удостоверяющий соответствие системы экологического управления объекта требованиям стандартов и дополнительной нормативной документации.
Система сертификации/регистрации - система, имеющая собственные правила и методики выполнения оценки соответствия и принятия решения о выдаче сертификата.
Разработчик стандарта - любое лицо, принимающее участие в подготовке стандарта.

ГОСТ Р ИСО 14001 ГОСТ Р ИСО 9001
Область распространения
|
Основные требования |
Общие положения |
|
Экологическая политика |
Политика в области качества |
Планирование
|
Экологические аспекты |
|
|
Нормативно-правовые и другие требования |
|
|
Цели и задачи |
|
|
Экологические программы |
|
Внедрение и функционирование
|
Организационная структура и распределение ответственности |
Организация |
|
Обучение, опыт, квалификация и компетентность |
Подготовка кадров |
|
Коммуникации |
|
|
Документация системы экологического управления |
Общие положения |
|
Управление документацией |
Управление документацией и информацией |
|
Функциональный контроль |
Процедуры систем качества Анализ контрактов Управление проектированием Закупки Управление продукцией, поставляемой потребителю Управление процессами Погрузочно-разгрузочные работы, хранение, упаковка, консервация, поставки Обслуживание |
|
Подготовленность к аварийным ситуациям и действия по их предотвращению |
Идентификация продукции - |
Контрольные и корректирующие действия
|
Мониторинг и измерения |
Контроль и испытания |
|
Выявление несоответствий, корректирующие и превентивные действия |
Управление контрольно-измерительным и испытательным оборудованием |
|
|
Управление забракованной продукцией |
|
- |
Статус контроля и испытаний |
|
- |
Статистические методы |
Корректирующие и превентивные действия
|
Протоколы |
Управление протоколами качества |
|
Аудит системы экологического управления |
Внутренний аудит системы качества |
Анализ системы
|
Анализ системы со стороны руководства |
Анализ системы со стороны руководства |
Ответственность аппарата управления
|
Экологическая политика |
Политика в области качества |
|
Экологические аспекты |
|
|
Правовые и другие требования |
|
|
Цели и задачи |
|
|
Экологические программы |
|
|
Организационная структура и распределение ответственности |
Организация |
|
Анализ со стороны руководства |
Анализ со стороны руководства |
Система качества
|
Основные требования |
Общие положения |
|
Документация системы экологического контроля |
Процедуры системы качества Планирование качества |
|
Функциональный контроль |
|
|
Функциональный контроль |
Анализ контракта |
|
Функциональный контроль |
Управление проектированием |
|
Контроль и ведение документации |
Управление документацией и информацией |
|
Функциональный контроль |
Закупки |
|
Функциональный контроль |
Управление продукцией, поставляемой потребителю |
|
- |
Идентификация и прослеживаемость продукции |
|
Функциональный контроль |
Управление процессами |
|
Мониторинг и измерения |
Контроль и испытания |
|
Мониторинг и измерения |
Управление контрольно-измерительным и испытательным оборудованием |
|
- |
Статус надзора и испытаний |
|
Выявление отклонений, корректирующие и превентивные действия |
Управление забракованной продукцией |
|
Выявление отклонений, корректирующие и превентивные действия |
Корректирующие и превентивные действия и превентивные действия |
|
Готовность к авариям и действиям по их - предотвращению |
- |
|
Функциональный контроль |
Погрузочно-разгрузочные работы, хранение, упаковка, поставка потребителю |
|
Протоколы (записи) качества |
Управление протоколами качества |
|
Аудит системы экологического управления |
Внутренний аудит систем качества |
|
Обучение, повышение квалификации, компетентности |
Подготовка кадров |
|
Функциональный контроль |
Обслуживание |
|
- |
Статистические методы |
|
Коммуникации |
|
Бурение скважин
Испытания и комплексное исследование разведочных скважин
Предмет (область) ЭА
Оценка состояния ОС и прогнозирование экологических последствий при разведке и опытно-промышленной эксплуатации газовых месторождений.
Оценка экономического ущерба от экологических нарушений при разведке и опытно-промышленной эксплуатации газовых месторождений.
Анализ соответствия деятельности недропользователя требованиям нормативных актов в сфере недропользования и охраны ОС.
Основные источники, процессы и объекты воздействия на ОС
Скважины, амбары-накопители, дороги, вырубка лесов, циркулярные системы жидкостей, тяжелая техника, аварийные выбросы пластовых жидкостей, газа, газовые грифоны.
Нарушение ландшафтов, формирование вторичных форм рельефа, нарушение почвенно-растительного слоя и его загрязнение, нарушение природных условий обитания животных, тепловое воздействие скважин.
Загрязнение воздушной среды: выбросы углеводородных газов, диоксида углерода, оксидов азота, отработанных газов двигателей внутреннего сгорания.
Загрязнение поверхностных и литосферных вод углеводородами, сероводородом, реагентами бурения и испытания скважин; изменение режимов подземной гидросферы и ухудшения ее качества вследствие фильтрации загрязняющих компонентов с буровых площадок, амбаров-емкостей, перетеканию рассолов по заколонному пространству скважин.
Нормативные документы ЭА
Закон РФ "Об охране окружающей природной среды" в ред. от 02.06.93 г. № 5076-1.
Закон РФ "Об экологической экспертизе" от 23.11.98 г.
Закон РФ "О недрах" в ред. от 03.03.95 г. № 27-ФЗ.
Закон РФ "О плате за землю" (в ред. 1995 г.).
Закон РФ "Об охране атмосферного воздуха" от 18.01.85 г.
Закон РФ "О лицензировании отдельных видов деятельности" от 16.09.98 г.
Водный Кодекс РФ (1995 г.).
Лесной Кодекс РФ (1997 г.).
Закон РФ "О животном мире" от 22.03.95 г.
Закон РФ "О газоснабжении в Российской Федерации" от 31.03.99 г. № 69-ФЗ. Государственные, отраслевые, ведомственные нормы, методические рекомендации и т.п. по направлению деятельности.
Критерии ЭА
Условия выполнения работ, которые определены материалами ОВОС и лицензиями (на недропользование и виды деятельности). Нормы статей 3,4, 11, 15, 18-20, 25, 26, 33, 40-45, 54, 68, 71 закона РФ "Об охране окружающей среды" в ред. от 02.06.93 г. № 5076-1;статей 3, 11, 12, 18, 26, 27 закона РФ "Об экологической экспертизе" от 23.11.95 г.; статей 6-8, 11, 22, 23, 24, 37, 38 закона РФ "О недрах" в ред. от 03.03.95 г. № 27-ФЗ; статей 12-17,19. 20, 25, 32, 37 закона РСФСР "Об охране атмосферного воздуха" от 18.01.85 г.; статей 9,20. 22, 55 закона РФ "О животном мире" от 22.03.95 г.; статьи 17 закона РФ "О лицензировании отдельных видов деятельности" от 16.09.98 г.; статей 1,7-11, 17, 76, 80-82, 85, 90, 92, 94, 95, 98, 105-107, 109, 114, 125, 127, 145 Водного Кодекса РФ (1995 г.); статей 5, 66, 101 Лесного Кодекса РФ (1997 г.).
Строительство эксплуатационных, наблюдательных и разведочных скважин, их ремонт, поддержание пластового давления с созданием компрессорного хозяйства.
Интенсификация околоскважинных пространств.
Обработка призабойных зон: гидроразрыв пласта, кислотная обработка для образования каналов разъедания, гидроструйная перфорация.
Промысловая обработка газа с учетом осушения и извлечения механических примесей, высокомолекулярных соединений и кислотных компонентов.
Централизованный сбор газа и его компонентов и их обработка на установках комплексной подготовки газа и газохимических комплексах, позволяющих выделять сероводород, элементарную серу, пропан, бутан, пентан.
Предмет ЭА
Оценка состояния ОС при разработке газовых месторождений. Оценка экономического ущерба и экологических нарушений при разработке газовых месторождений.
Анализ соответствия деятельности недропользователя требованиям нормативных актов в сфере недропользования и охраны окружающей среды.
Основные источники, процессы и объекты воздействия на ОС
Скважины, амбары-накопители, тяжелая техника, аварийные выбросы пластовой жидкости, газа, газовые грифоны, компрессорные установки, склады ингибиторов (в первую очередь метанола), факельные системы, установки комплексной подготовки газа, внутрипромысловые газосборные сети.
Нарушение ландшафтов, почвенно-растительного слоя, техногенные и геодинамические процессы с деформацией земной поверхности, нарушение природного гидродинамического и теплового режимов верхних горизонтов чехла с перетоком пластовых и поверхностных вод, загрязнение почв углеводородами, тяжелыми металлами, метанолом и другими вредными веществами.
Загрязнение воздушной среды: выбросы углеводородных газов, диоксида углерода, сероводорода, оксидов азота; продукты неполного сгорания газа и конденсата факельных устройств, запыленность.
Изменение условий поверхностного, почвенно-грунтового и подземного стока, изменение скорости движения водных масс и водозапасов, их загрязнение в результате сброса жидких отходов, интенсификации околоскважинных пространств, обработки при-забойных зон, смешение водных масс разного генезиса из-за перетоков подземных вод.
Критерии ЭА
Применимы критерии, которые используются при экоаудировании объектов разведки и опытно-промышленной эксплуатации газовых месторождений.
Первичная обработка на промысловых установках комплексной переработки газа. Глубокая переработка газа с целью получения сухого и сжиженного газа, этана, конденсата, серы, ртути, гелия и др. компонентов.
Предмет ЭА
Оценка состояния ОС при промышленной переработке газа.
Оценка экономического ущерба от экологических нарушений при переработке газа. Анализ соответствия деятельности предприятий по промышленной переработке газа требованиям нормативных актов в сфере охраны ОС.
Основные источники, процессы и объекты воздействия на ОС
Установки комплексной и глубокой переработки газа, газоперерабатывающие заводы и газокомпрессорные станции, установки доочистки отходящих газов, факельные системы.
Загрязнение воздушной среды: техногенная загазованность, утечки газа из газоперерабатывающих заводов и газокомпрессорных станций (углеводороды, диоксид углерода, сероводорода, оксиды азота); продукты неполного сгорания газа факельных устройств.
Нормативные документы ЭА
Закон РФ "Об охране окружающей природной среды" в ред. от 02.06.93 г. № 5076-1. Закон РФ "Об экологической экспертизе" от 23.11.98 г. Закон РФ "Об охране атмосферного воздуха" от 18.01.85 г. Закон РФ "О лицензировании отдельных видов деятельности" от 16.09.98 г. Закон РФ "О промышленной безопасности производственных объектов" от 20.06.97 г. Закон РФ "О газоснабжении в Российской Федерации" от 31.03.99г. №б9-ФЗ. Государственные, отраслевые, ведомственные нормы, методические рекомендации и т.п. по направлению деятельности.
Критерии ЭА
Условия выполнения работ, которые определены лицензиями на виды деятельности, экологическим паспортом предприятия.
Нормы статей 3, 4, 11, 15, 18-20, 25, 26, 33, 40-45, 54, 71 закона РФ "Об охране окружающей среды" в ред. от 02.06.93 г. № 5076-1; статей 3, 11, 12 закона РФ "Об экологической экспертизе" от 23.11.95 г.; 12-17, 19, 23, 32 закона РСФСР "Об охране атмосферного воздуха" от 18.01.85 г.; статей 9, 20, 22, 55 закона РФ "О животном мире" от 22.03.95 г.; статьи 17 закона РФ "О лицензировании отдельных видов деятельности" от 16.09.98 г.; статей 9, 11 Закона РФ "О промышленной безопасности опасных производственных объектов" от 20.06.97 г.; статей 31-33 закона РФ "О газоснабжении в Российской Федерации" от 31.03.99 г. №69-ФЗ.
Магистральные газопроводы, полностью или частично заглубленные, подводные. Компрессорные станции.
Предмет ЭА
Оценка состояния ОС при строительстве магистральных газопроводов и транспорте газа.
Оценка экономического ущерба от экологических нарушений при строительстве магистральных газопроводов и транспорте газа.
Основные источники, процессы и объекты воздействия на ОС
Газопроводы, компрессорные и дожимные станции, тяжелая техника, утечка газа и аварии на газопроводах, ремонт газопроводов.
Нарушение ландшафтов, почвенно-растительного слоя, природных условий обитания животных, загрязнение поверхностных вод при речных и болотных переходах при прокладке газопроводов.
Загрязнение площадей при нарушении нормативных положений при очистке полости при испытании газопровода перед сдачей в эксплуатацию, конденсатами и отработанными компрессорными маслами.
Загрязнение атмосферы метаном вследствие утечек на объектах, транспортировки газа, выбросов диоксида углерода, оксидов азота на компрессорных станциях.
Шумовое загрязнение окружающей среды при работе газоперекачивающих агрегатов.
Механическое повреждение природного ландшафта, уничтожение почвенно-растительного покрова, возгорание газа, затрагивающее биохимические процессы в атмосфере, почвах и водоемах при авариях газопровода.
Нормативные документы ЭА
Закон РФ "Об охране окружающей природной среды" в ред. от 02.06.93 г. № 5076-1. Закон РФ "Об экологической экспертизе" от 23.11.98 г. Закон РФ "Об охране атмосферного воздуха" от 18.01.85 г. Закон РФ "О лицензировании отдельных видов деятельности" от 16.09.98 г. Закон РФ "О животном мире" от 22.03.95 г.
Закон РФ "О промышленной безопасности производственных объектов" от 20.06.97 г. Закон РФ "О газоснабжении в Российской Федерации" от 31.03.99 г. №69-ФЗ. Государственные, отраслевые, ведомственные нормы, методические рекомендации и т.п. по направлению деятельности.
Критерии ЭА
Условия выполнения работ, которые определены материалами ОВОС, лицензиями на виды деятельности, экологическим паспортом предприятия
Нормы статей 3, 4, 11, 15, 18-20, 25, 26, 33, 40-45, 53, 54 закона РФ "Об охране окружающей среды" в ред. от 02.06.93 г. № 5076-1; статей 3, 11, 12 закона РФ "Об экологической экспертизе" от 23.11.95 г.; статей 12-17, 19, 23, 32 закона РСФСР "Об охране атмосферного воздуха" от 18.01.85 г.; статьи 22 закона РФ "О животном мире" от 22.03.95 г.; статьи 17 закона РФ "О лицензировании отдельных видов деятельности" от 16.09.98 г.; статьи 99 Водного Кодекса РФ (1995 г.); статей 9, 11 Закона РФ "О промышленной безопасности опасных производственных объектов" от 20.06.97 г.; статей 31-33 закона РФ "О газоснабжении в Российской Федерации" от 31.0399 г. № 69-ФЗ.
Нагнетательно-эксплуатационные скважины.
Компрессорные станции с очисткой, компримированием и закачкой газа в пласт-хранилище; система газопроводов.
Предмет ЭА
Оценка состояния ОС при эксплуатации подземных хранилищ газа. Анализ соответствия эксплуатации подземных хранилищ газа требованиям нормативных актов в сфере охраны ОС.
Основные источники, процессы и объекты воздействия на ОС
Скважины для закачки и отбора, газа, компрессорные станции, системы газопроводов, установки охлаждения, осушки и очистки газа, склады метанола, фильтры сепараторов и свечи продувки пылеуловителей.
Загрязнение почв нефтепродуктами и метанолом и их деградация, вызванные производственными процессами и нарушениями в проведении отдельных технологических процессов.
Загрязнение воздушной среды углеводородными газами, диоксидом углерода и оксидом азота в результате утечки и прорывов газа по тектоническим нарушениям, а также через негерметичные скважины сквозь непроницаемую покрышку.
Нормативные документы ЭА
Перечень нормативных документов ЭА тот же, что и для объектов ЭА при разведке и опытно-промышленной эксплуатации газовых месторождений и разработке месторождений, а также:
СНиП 2.11.04-85 "Подземные хранилища нефти, нефтепродуктов и сжиженных газов". Инструкция по контролю экологического состояния почв на подземных хранилищах газа. - РАО "Газпром", 1998 г.
Критерии ЭА
Применимы критерии, которые используются при экоаудировании объектов разведки и опытно-промышленной эксплуатации газовых месторождений и разработки месторождений.
1. Какая согласованная в государственных и местных органах документация по экологическому обоснованию разведочных и опытно-эксплуатационных работ имеется на предприятии?
2. Принята ли экологическая политика предприятия? Кем она утверждена? Кем осуществляется и контролируется в целом, по видам деятельности и сферам окружающей среды?
3. Какие нормативные документы применяются для улучшения деятельности по охране окружающей среды на предприятии?
4. Имеются ли приказы, распоряжения по предприятию и инструкции, содержащие правила и процедуры по охране окружающей среды?
5. Проводится ли комплексный экологический контроль и каковы его этапы?
6. Осуществляется ли учет расходов предприятия на природоохранную деятельность, за платежи за загрязнение окружающей среды? за природные ресурсы?
7. На каких участках, местах предприятия существует необходимость организации деятельности по охране окружающей среды?
8. Ведется ли экологический паспорт предприятия?
1. Какие вредные и опасные вещества (реагенты) применяются при проходке буровых скважин, их испытании и комплексном исследовании? в составе буровых растворов? при применении активных методов воздействия на газовый пласт, призабойные зоны и околоскважинные пространства? при проведении других технологических процессов?
2. Как документально отслеживается движение вредных и опасных веществ?
3. Имеются ли сведения о местах хранения, захоронения вредных и опасных веществ, о всех установках, где используются эти вещества?
4. Какие мероприятия по возможной замене вредных и опасных веществ проводятся или планируются?
5. Имеются ли на предприятии инструкции по использованию и применению вредных и опасных веществ?
6. Имеются ли (и для каких установок или процессов) разрешения соответствующих надзорных органов на применение, использование, хранение и транспортирование вредных и опасных веществ?
1. Какова площадь изъятых земель?
2. Сколько задействовано разведочных скважин?
3. Сколько скважин участвует в опытно-промышленных испытаниях?
4. Какова продуктивность промышленно-эксплуатационных скважин?
5. Какова глубина разведки?
6. Каков компонентный состав газа месторождения? сероводорода и меркаптановой серы?
7. Имеются ли данные об авариях при проходке буровых скважин и их испытании? Если есть, то каковы причины аварий? проведенные работы по локализации и ликвидации аварий? их результаты?
8. Выплачивались ли штрафные санкции, связанные с загрязнением окружающей среды в результате аварий?
1. Какие вредные воздействия на окружающую среду в виде:
нарушения ландшафтов;
нарушения почвенно-растительного слоя и его загрязнения;
загрязнения воздушной среды;
загрязнения поверхностных и литосферных вод, известны на территории и в непосредственной близости за территорией предприятия?
2. Проводятся ли на территории предприятия или в непосредственной близости за территорией предприятия исследования (взятие проб, измерения, анализы) почвы, воды, воздуха? Если да, то каковы их результаты?
3. Какие вещества оказывают вредное воздействие:
· на почву;
· растительный и животный мир;
· на поверхностные и литосферные воды;
· на атмосферу?
4. Какие мероприятия проводятся по предотвращению отрицательного воздействия веществ на:
· почву;
· растительный и животный мир;
· на поверхностные и литосферные воды;
· на атмосферу? Каковы затраты на их проведение?
5. Имеются ли зафиксированные выбросы вредных веществ по источникам? компонентам? Их удельные показатели?
6. Установлены ли фоновые параметры состояния окружающей среды (качество поверхностных и подземных вод и воздуха, характеристика почвенного покрова и др.)?
7. Каково хозяйственное значение и использование земель, растительного и животного мира?
8. Какие изменения в режимах подземной гидросферы произошли (происходят) при проходке буровых скважин и их комплексных испытаниях и исследованиях?
9. Установлено ли тепловое воздействие скважин на их приустьевое пространство?
10. Производились (производятся) ли работы по очистке загрязненных земель, их рекультивация, рекультивация скважин, карьерных выработок, амбаров буровых сточных вод?
1. Какая согласованная в государственных и местных органах документация по экологическому обоснованию разработки месторождения имеется на предприятии?
2. Принята ли экологическая политика предприятия? Кем она утверждена? Кем осуществляется и контролируется в целом, по видам деятельности и сферам окружающей среды?
3. Какие нормативные документы применяются для улучшения деятельности по охране окружающей среды на предприятии?
4. Имеются ли приказы, распоряжения по предприятию и инструкции, содержащие правила и процедуры по охране окружающей среды?
5. Проводится ли комплексный экологический контроль и каковы его этапы?
6. Осуществляется ли учет расходов предприятия на природоохранную деятельность, за платежи за загрязнение окружающей среды? за природные ресурсы?
7. На каких участках, местах предприятия существует необходимость организации деятельности по охране окружающей среды?
8. Ведется ли экологический паспорт предприятия?
1. Какие вредные и опасные вещества (реагенты) применяются при:
· строительстве эксплуатационных скважин;
· поддержании пластового давления;
· интенсификации оклоскважинного пространства;
· обработки призабойных зон;
· промысловой обработке газа;
· обработки газа на газохимических комплексах;
· проведении других технологических процессов?
2. Как документально отслеживается движение вредных и опасных веществ?
3. Имеются ли сведения о местах хранения, захоронения вредных и опасных веществ, о всех установках, где используются эти вещества?
4. Какие мероприятия по возможной замене вредных и опасных веществ проводятся или планируются?
5. Имеются ли на предприятии инструкции по использованию и применению вредных и опасных веществ?
6. Имеются ли (и для каких установок или процессов) разрешения соответствующих надзорных органов на применение, использование, хранение и транспортирование вредных и опасных веществ?
1. Какова площадь изъятых земель?
2. Каково количество скважин: эксплуатационных, наблюдательных, пьезометрических, действующих, подготовленных к ремонту, ремонтируемых?
3. Сколько скважин участвует в добыче газа и целевых компонентов и какова их продуктивность?
4. Какова глубина разработки газа?
5. Каков режим газовой (ых) залежи (ей)?
6. На каком периоде разработки находится месторождение в настоящее время?
7. Каков заданный уровень добычи газа и целевых компонентов?
8. Каков объем извлекаемой вместе с газом пластовой воды?
9. Каков компонентный состав газа месторождения? сероводорода и меркаптановой серы?
10. Имеются ли данные об авариях, связанных с загрязнением окружающей среды:
при строительстве и ремонте скважин;
при промысловой и комплексной обработке газа;
в системах газоводов и водоводов;
на установках комплексной подготовки газа и газохимических комплексах?
11. Если есть, то каковы причины аварий? проведенные работы по локализации и ликвидации аварий? их результаты?
12. Выплачивались ли штрафные санкции, связанные с загрязнением окружающей среды в результате аварий? В каких объемах? По каким статьям?
13. Имеются ли тенденции к сокращению количества земель, находящихся на балансе предприятия?
1. Какие вредные воздействия на окружающую среду в виде:
нарушения ландшафтов;
нарушения почвенно-растительного слоя и его загрязнения;
загрязнения воздушной среды;
загрязнения поверхностных и литосферных вод известны на территории и в непосредственной близости за территорией предприятия?
2. Проводятся ли на территории предприятия или в непосредственной близости за территорией предприятия исследования (взятие проб, измерения, анализы) почвы, воды, воздуха? Если да, то каковы их результаты?
3. Какие вещества оказывают вредное воздействие:
на почву;
растительный и животный мир;
на поверхностные и литосферные воды?
на атмосферу?
4. Какие мероприятия проводятся по предотвращению отрицательного воздействия веществ на:
почву;
растительный и животный мир;
на поверхностные и литосферные воды;
на атмосферу? Каковы затраты на их проведение?
5. Имеются ли зафиксированные выбросы вредных веществ по источникам? компонентам? Их удельные показатели?
6. Установлены ли фоновые параметры состояния окружающей среды (качество поверхностных и подземных вод и воздуха, характеристика почвенного покрова и др.)?
7. Определен ли перечень вредных химических элементов и соединений в газах и минерализованных пластовых водах и какова их концентрация?
8. Проводится ли закачка попутно извлекаемых подземных вод в глубокие горизонты? Если да, то как обоснована экологически безопасная возможность такой закачки?
9. Имеется ли на месторождении режимная сеть для изучения, контроля и оценки поведения подземных вод в процессе эксплуатации месторождения?
10. Каково хозяйственное значение и использование земель, растительного и животного мира?
11. Фиксируются ли техногенные геодинамические процессы и деформации земной поверхности на газовом промысле?
12. Какие изменения в режимах подземной гидросферы произошли (происходят) при строительстве и добыче газа?
13. Установлено ли тепловое воздействие скважин на их приустьевое пространство?
14. Производились (производятся) ли работы по очистке загрязненных земель, их рекультивация, рекультивация скважин, карьерных выработок, амбаров буровых сточных вод?
1. Какая согласованная в государственных и местных органах документация по экологическому обоснованию деятельности по промышленной переработке газа имеется на предприятии?
2. Принята ли экологическая политика предприятия? Кем она утверждена? Кем осуществляется и контролируется в целом, по видам деятельности и сферам окружающей среды?
3. Какие нормативные документы применяются для улучшения деятельности по охране окружающей среды на предприятии?
4. Имеются ли приказы, распоряжения по предприятию и инструкции, содержащие правила и процедуры по охране окружающей среды?
5. Проводится ли комплексный экологический контроль и каковы его этапы?
6. Осуществляется ли учет расходов предприятия на природоохранную деятельность, за платежи за загрязнение окружающей среды? за природные ресурсы?
7. На каких участках, местах предприятия существует необходимость организации деятельности по охране окружающей среды?
8. Ведется ли экологический паспорт предприятия?
1. Применяются ли вредные и опасные вещества (реагенты) при промышленной переработке газа? Если да, то как документально отслеживается движение вредных и опасных веществ?
2. Имеются ли сведения о местах хранения, захоронения вредных и опасных веществ, о всех установках, где используются эти вещества?
3. Какие мероприятия по возможной замене вредных и опасных веществ проводятся или планируются?
4. Имеются ли на предприятии инструкции по использованию и применению вредных и опасных веществ?
5. Имеются ли (и для каких установок или процессов) разрешения соответствующих надзорных органов на применение, использование, хранение и транспортирование вредных и опасных веществ?
1. Какова площадь изъятых земель, занятых объектами газопереработки?
2. Каков объем перерабатываемого газа в год?
3. Каков компонентный состав перерабатываемого газа?
4. Каковы содержания сероводорода и меркаптановой серы?
5. Перечислите номенклатуру конечных продуктов производства и укажите их объемы.
6. Какие методы переработки исходных продуктов применяются на газоперерабатывающем предприятии?
7. Какие отходы образуются в процессе переработки газа? Их объемы? Места размещения?
8. Имеются ли данные об авариях, связанных с загрязнением окружающей среды на газоперерабатывающих агрегатах? в системах газоводов и водоводов? Если есть, то каковы причины аварий? проведенные работы по локализации и ликвидации аварий? их результаты?
9. Выплачивались ли штрафные санкции, связанные с загрязнением окружающей среды в результате аварий?
1. Какие вредные воздействия на окружающую среду в виде загрязнения:
· почвенно-растительного слоя;
· воздушной среды;
· поверхностных вод известны на территории и в непосредственной близости за территорией предприятия?
2. Проводятся ли на территории предприятия или в непосредственной близости за территорией предприятия исследования (взятие проб, измерения, анализы) почвы, воды, воздуха? Если да, то каковы их результаты?
3. Какие вещества оказывают вредное воздействие:
· на почву;
· растительный и животный мир;
· на поверхностные воды;
· на атмосферу?
4. Какие мероприятия проводятся по предотвращению отрицательного воздействия веществ на:
· почву;
· растительный и животный мир;
· на поверхностные воды;
· на атмосферу? Каковы затраты на их проведение?
5. Имеются ли зафиксированные выбросы вредных веществ по источникам? компонентам? Их удельные показатели?
6. Установлены ли фоновые параметры состояния окружающей среды (качество поверхностных вод и воздуха, характеристика почвенного покрова и др.)?
7. Каково хозяйственное значение и использование земель, растительного и животного мира?
8. Производились (производятся) ли работы по очистке загрязненных земель и их рекультивация?
1. Какая согласованная в государственных и местных органах документация по экологическому обоснованию подземного хранения газа имеется на предприятии?
2. Принята ли экологическая политика предприятия? Кем она утверждена? Кем осуществляется и контролируется в целом, по видам деятельности и сферам окружающей среды?
3. Какие нормативные документы применяются для улучшения деятельности по охране окружающей среды на предприятии?
4. Имеются ли приказы, распоряжения по предприятию и инструкции, содержащие правила и процедуры по охране окружающей среды?
5. Проводится ли комплексный экологический контроль и каковы его этапы?
6. Осуществляется ли учет расходов предприятия на природоохранную деятельность, за платежи за загрязнение окружающей среды? за природные ресурсы?
7. На каких участках, местах предприятия существует необходимость организации деятельности по охране окружающей среды?
8. Ведется ли экологический паспорт предприятия?
1. Какие вредные и опасные вещества (реагенты) применяются при строительстве подземного хранилища газа? проходке и эксплуатации нагнетательно-эксплуатационных скважин? при проведении других технологических процессов?
2. Как документально отслеживается движение вредных и опасных веществ?
3. Имеются ли сведения о местах хранения, захоронения вредных и опасных веществ, о всех установках, где используются эти вещества?
4. Какие мероприятия по возможной замене вредных и опасных веществ проводятся или планируются?
5. Имеются ли на предприятии инструкции по использованию и применению вредных и опасных веществ?
6. Имеются ли (и для каких установок или процессов) разрешения соответствующих надзорных органов на применение, использование, хранение и транспортирование вредных и опасных веществ?
1. Какова площадь земель, отведенных под подземные хранилища газа во временное и постоянное пользование?
2. Каково количество задействованных нагнетательно-эксплуатационных скважин?
3. Какие ремонтно-профилактические работы проводятся на скважинах и в каких объемах?
4. Каковы предельные объемы хранения газа, мощность и глубина залегания пласта-коллектора (полости) для хранения газа?
5. Каков компонентный состав газа, закачиваемого в подземное хранилище?
6. Какие технологические операции (охлаждение, осушка, очистка газа и др.) проводятся перед закачкой газа?
7. Проводится ли закачка промстоков в подземные горизонты? Если да, то на какую глубину? количество скважин, задействованных для закачки промстоков?
8. Имеются ли данные об авариях при строительстве и эксплуатации подземного хранилища газа? если есть, то каковы причины аварий? проведенные работы по локализации и ликвидации аварий? их результаты?
9. Выплачивались ли штрафные санкции, связанные с загрязнением окружающей среды в результате аварий?
1. Какие вредные воздействия на окружающую среду в виде:
· нарушения ландшафтов;
· нарушения почвенно-растительного слоя и его загрязнения;
· загрязнения воздушной среды;
· загрязнения поверхностных и литосферных вод известны на территории и в непосредственной близости за территорией предприятия?
2. Проводятся ли на территории предприятия или в непосредственной близости за территорией предприятия исследования (взятие проб, измерения, анализы) почвы, воды, воздуха? Если да, то каковы их результаты?
3. Как и какими методами осуществляется контроль за герметичностью подземного хранилища газа? результаты контроля?
4. Какие вещества оказывают вредное воздействие:
· на почву;
· растительный и животный мир;
· на поверхностные и литосферные воды?
· на атмосферу?
5. Какие мероприятия проводятся по предотвращению отрицательного воздействия веществ на:
· почву;
· растительный и животный мир;
· на поверхностные и литосферные воды;
· на атмосферу? Каковы затраты на их проведение?
6. Имеются ли зафиксированные выбросы вредных веществ по источникам? компонентам? Их удельные показатели?
7. Установлены ли фоновые параметры состояния окружающей среды (качество поверхностных и подземных вод и воздуха, характеристика почвенного покрова и др.)?
8. Определен ли перечень вредных химических элементов и соединений в газах и минерализованных пластовых водах и какова их концентрация?
9. Проводится ли закачка попутно извлекаемых подземных вод и промстоков в глубокие горизонты? Если да, то как обоснована экологически безопасная возможность такой закачки?
10. Имеется ли на месторождении режимная сеть для изучения, контроля и оценки поведения подземных вод в процессе эксплуатации месторождения?
11. Каково хозяйственное значение и использование земель, растительного и животного мира?
12. Фиксируются ли техногенные геодинамические процессы и деформации земной поверхности на газовом промысле?
13. Какие изменения в режимах подземной гидросферы произошли (происходят) при строительстве и эксплуатации подземного хранилища газа?
14. Производились (производятся) ли работы по очистке загрязненных земель, их рекультивация, рекультивация скважин, карьерных выработок, амбаров буровых сточных вод и других объектов подземного хранилища газа?
1. Какая согласованная в государственных и местных органах документация по экологическому обоснованию деятельности по транспортировке и поставке потребителям природного газа имеется на предприятии?
2. Принята ли экологическая политика предприятия? Кем она утверждена? Кем осуществляется и контролируется в целом, по видам деятельности и сферам окружающей среды?
3. Какие нормативные документы применяются для улучшения деятельности по охране окружающей среды на предприятии?
4. Имеются ли приказы, распоряжения по предприятию и инструкции, содержащие правила и процедуры по охране окружающей среды?
5. Проводится ли комплексный экологический контроль и каковы его этапы?
6. Осуществляется ли учет расходов предприятия на природоохранную деятельность, за платежи за загрязнение окружающей среды? за природные ресурсы?
7. На каких участках, местах предприятия существует необходимость организации деятельности по охране окружающей среды?
8. Ведется ли экологический паспорт предприятия?
1. Какие вредные и опасные вещества (реагенты) применяются в технологических процессах при транспортировке газа?
2. Как документально отслеживается движение вредных и опасных веществ?
3. Имеются ли сведения о местах хранения, захоронения вредных и опасных веществ, о всех установках, где используются эти вещества?
4. Какие мероприятия по возможной замене вредных и опасных веществ проводятся или планируются?
5. Имеются ли на предприятии инструкции по использованию и применению вредных и опасных веществ?
6. Имеются ли ( и для каких установок или процессов) разрешения соответствующих надзорных органов на применение, использование, хранение и транспортирование вредных и опасных веществ?
1. Какова площадь отвода земель под размещение технологических и бытовых объектов, инженерных сетей, магистральных и отводных газопроводов?
2. Каков объем и компонентный состав транспортируемого газа?
3. Какова протяженность магистрального газопровода и отводных газопроводов, обслуживаемых предприятием?
4. Какова глубина заложения газопровода?
5. Имеются ли данные об авариях, связанных с загрязнением окружающей среды, в системах газопроводов, компрессорных и газораспределительных станций? Если есть, то каковы причины аварий? проведенные работы по локализации и ликвидации аварий? их результаты?
6. Выплачивались ли штрафные санкции, связанные с загрязнением окружающей среды в результате аварий?
1. Какие вредные воздействия на окружающую среду в виде загрязнения:
· почвенно-растительного слоя;
· воздушной среды;
· шумового загрязнения известны на территории и в непосредственной близости за территорией предприятия?
2. Проводятся ли на территории предприятия или в непосредственной близости за территорией предприятия исследования (взятие проб, измерения, анализы) почвы, воды, воздуха? Если да, то каковы их результаты?
3. Какие технологические операции и процессы оказывают вредное воздействие:
· почву;
· растительный и животный мир;
· на поверхностные воды
· на атмосферу?
4. Какие мероприятия проводятся по предотвращению отрицательного воздействия на:
· почву;
· растительный и животный мир;
· на поверхностные воды;
· на атмосферу? Каковы затраты на их проведение?
5. Имеются ли зафиксированные выбросы вредных веществ по источникам? компонентам? Их удельные показатели?
6. Установлены ли фоновые параметры состояния окружающей среды (качество поверхностных вод и воздуха, характеристика почвенного покрова и др.)?
7. Какие мероприятия проводятся по обеспечению безопасного состояния окружающей среды на линейных сооружениях проводятся предприятием?
8. Каковы максимальные объемы выбросов (а - залповых; б - неорганизованных) загрязняющих веществ с продуктами сгорания энерготехнологического оборудования и природного газа на компрессорных станциях?
9. Каково максимальное количество газа стравливается в атмосферу при плановом ремонте газопровода, ревизии оборудования врезок отводов?
10. Какая система контроля источников выбросов и загрязнения атмосферы применяются на производстве?
11. Какие мероприятия по регулированию выбросов в периоды неблагоприятных метеоусловий применяются на производстве?
12. Каково хозяйственное значение и использование земель, растительного и животного мира?
13. Производились (производятся) ли работы по очистке загрязненных земель и их рекультивация?
|
ГОСТЫ, СТРОИТЕЛЬНЫЕ и ТЕХНИЧЕСКИЕ НОРМАТИВЫ. Некоммерческая онлайн система, содержащая все Российские Госты, национальные Стандарты и нормативы. В Системе содержится более 150000 файлов нормативно-технической документации, действующей на территории РФ. Система предназначена для широкого круга инженерно-технических специалистов. Copyright © www.gostrf.com, 2008 - 2026 |