Крупнейшая бесплатная информационно-справочная система онлайн доступа к полному собранию технических нормативно-правовых актов РФ. Огромная база технических нормативов (более 150 тысяч документов) и полное собрание национальных стандартов, аутентичное официальной базе Госстандарта. GOSTRF.com - это более 1 Терабайта бесплатной технической информации для всех пользователей интернета. Все электронные копии представленных здесь документов могут распространяться без каких-либо ограничений. Поощряется распространение информации с этого сайта на любых других ресурсах. Каждый человек имеет право на неограниченный доступ к этим документам! Каждый человек имеет право на знание требований, изложенных в данных нормативно-правовых актах!

  


 

РУКОВОДЯЩИЙ ТЕХНИЧЕСКИЙ МАТЕРИАЛ

КАМЕРЫ ГРЕЮЩИЕ ВЫПАРНЫХ
АППАРАТОВ С ТРУБНЫМИ РЕШЕТКАМИ,
ИМЕЮЩИМИ ОТБОРТОВАННЫЕ КРОМКИ ОТВЕРСТИЙ

РАСЧЕТ НА ПРОЧНОСТЬ

РД РТМ 26-01-141-82

УТВЕРЖДЕН Начальником Союзхиммаша В. А. Черновым.

ВВЕДЕН В ДЕЙСТВИЕ ПРИКАЗОМ по Всесоюзному промышленному объединению № 162 от «3» декабря 1982 г.

ИСПОЛНИТЕЛИ                      П. П. Прядкин (руководитель темы)

                                                    Л. П. Перцев

                                                    П. С. Марченко

СОГЛАСОВАН

Министерством по производству минеральных удобрений

Начальник Управления оборудования                                                         В. Н. Назаров

НИИхиммашем

Зам. директора                                                                                                П. Ф. Серб

РУКОВОДЯЩИЙ ТЕХНИЧЕСКИЙ МАТЕРИАЛ

КАМЕРЫ ГРЕЮЩИЕ ВЫПАРНЫХ АППАРАТОВ С ТРУБНЫМИ РЕШЕТКАМИ, ИМЕЮЩИМИ ОТБОРТОВАННЫЕ КРОМКИ ОТВЕРСТИЙ

Расчет на прочность

РД РТМ 26-01-141-82

Введен впервые

Приказом по Всесоюзному промышленному объединению от 3 декабря 1982 г. № 162 срок введения установлен

с 01.07.83.

Настоящий руководящий технический материал устанавливает метод расчета на прочность греющих камер выпарных аппаратов с трубными решетками, имеющими отбортованные кромки отверстий под теплообменные трубы. РТМ применим при соблюдении требований ОСТ 26-291-79 и ОСТ 26-01-17-76.

1. УСЛОВНЫЕ ОБОЗНАЧЕНИЯ

D - внутренний диаметр кожуха (черт. 1), мм;

d1 - расстояние от оси аппарата до оси наиболее удаленной теплообменной трубы ( - при треугольной сетке перфорации,  - при квадратной сетке перфорации), мм;

d2 - расстояние от оси аппарата до места присоединения трубной решетки (черт. 2), мм;

Sp - толщина трубной решетки, мм;

i - число теплообменных труб, закрепленных в решетке;

tp - шаг расположения отверстий в решетке под теплообменные трубы, мм;

do - диаметр отверстий в решетке под теплообменныё трубы до отбортовки, мм;

L - длина теплообменных труб (L = 2l), мм;

ln - наибольшее расстояние от решетки до перегородки в межтрубном пространстве (до второй перегородки, если они не перекрывают всю площадь межтрубного пространства), мм;

dт - наружный диаметр теплообменных труб, мм;

Sт - толщина теплообменной трубы, мм;

Sк - толщина стенки кожуха, мм;

S1 - толщина обечайки кожуха в месте присоединения к фланцу, мм;

Для фланцев присоединенных встык (черт. 3) и имеющих коническую втулку, значение S1 определяется по формуле:

Здесь Sвт, So - толщина конической втулки в мосте присоединения к кольцу фланца и кожуху; lвт - высота конической втулки.

hф - высота кольца фланца, мм;

bф - ширина кольца фланца, мм;

Rф - средний радиус кольца фланца, мм;

Rп - средний радиус прокладки, мм;

Rб - радиус болтовой окружности, мм;

g - коэффициент Пуассона (принимается одинаковым для материалов решетки труб, кожуха и фланца);

tPp, tт, tк, tф, tрт, tрм - расчетные температуры трубной решетки, труб, кожуха, фланца и поверхностей трубной решетки со стороны трубного и межтрубного пространства*, °С;

_____________

* При отсутствии расчетных данных tрм и tрт допускается принимать температуру рабочих сред межтрубного и трубного пространства, соприкасающихся с данной решеткой.

aр, aт, aк, aф - коэффициент линейного расширения материалов трубной решетки, труб, кожуха и фланца, К-1;

Ер, Ет, Ек, Еф - модули упругости материалов трубной решетки, труб, кожуха и фланца, МПа;

Рм - давление в межтрубном пространстве, МПа;

Рт - давление в трубном пространстве, МПа;

Рб - усилие затяжки болтов, Н.

Принимается по нормативно-технической документации на фланцевые соединения.

Приближенно

,

где dб - внутренний диаметр резьбы болтов, Zб - число болтов, [s]б - допускаемое напряжение для материала болтов.

G - вес трубного пучка, Н;

Dпр - максимальный диаметр окружности, вписанной в беструбную площадь решетки (черт. 4), мм;

[s] - допускаемое напряжение для рассчитываемого элемента, МПа. Принимается по ГОСТ 14249-80, ОСТ 26-01-Д79-78 или другой нормативно-технической документации по выбору величины допускаемого напряжения;

С - прибавка для компенсации коррозии и возможного минусового допуска материала кожуха*, мм.

______________

* Изготовление трубных решеток и теплообменных труб производится из коррозионностойких материалов.

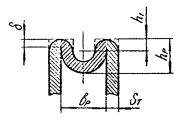
Греющая камера

Черт. 1

Отбортовка отверстий в трубной решетке

Черт. 2

Фланец, присоединенный встык к оболочке

Черт. 3

2. ХАРАКТЕРИСТИКИ ПЕРЕМЫЧКИ МЕЖДУ ОТВЕРСТИЯМИ

2.1. Ширина перемычки (черт. 5)

2.2. Высота перемычки

При штамповке или протяжке высота перемычки может увеличиваться на 10 ¸ 20 %.

2.3. Высота прямолинейного участка отбортовки

2.4. Средний радиус тороидального участка отбортовки

2.5. Высота сварного шва в месте приварки трубы к решетке. Принимается конструктивно, не более

3. РАСЧЕТ КОЭФФИЦИЕНТОВ ПРОЧНОСТИ ТРУБНОЙ РЕШЕТКИ

3.1. Коэффициент прочности при изгибе трубной решетки

где

3.2. Коэффициент прочности при растяжении (сжатии) в плоскости трубной решетки

Беструбная площадь решетки

Черт. 4

Перемычка между отверстиями в трубной решетке

Черт. 5

4. РАСЧЕТ КОЭФФИЦИЕНТОВ ЖЕСТКОСТИ ТРУБНОЙ РЕШЕТКИ

4.1. Вспомогательные величины

4.2. Коэффициент жесткости при изгибе трубной решетки

при

4.3. Коэффициент жесткости при растяжении (сжатии) в плоскости трубной решетки

при

4.4. Вычисление коэффициентов В

где

4.5. Границы применимости формул

5. РАСЧЕТ НАГРУЗОК

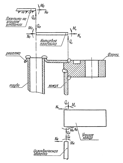
Расчет нагрузок элементов греющей камеры (черт. 6) производится для различных состояний, которые могут иметь место при монтаже, пуске, эксплуатации или гидроиспытаниях греющей камеры. Расчет производится по следующим формулам:

5.1. Осевая сила, распределенная вдоль радиуса а1, трубной решетки

5.2. Изгибающий момент, распределенный вдоль радиуса а1, трубной решетки

5.3. Изгибающий момент, распределенный вдоль радиуса а2, трубной решетки

5.4. Изгибающий момент, возникающий в месте соединения кожуха с фланцем

5.5. Радиальная сила, возникающая в месте соединения кожуха с фланцем

5.6. Радиальная сила, возникающая в месте соединения решетки с фланцем

5.7. Радиальная сила, распределенная вдоль радиуса трубной решетки

5.8. Осевая сила, возникающая в месте соединения решетки с фланцем

5.9. Осевая нагрузка кожуха

5.10. Осевая нагрузка теплообменной трубы

где

5.11. Изгибающий момент, возникающий в место соединения трубы с решеткой

где                                             

5.12. Вспомогательные величины

lпр =  - если нет перегородок или по межтрубному пространству установлена одна перегородка;

lпр = 0,29 lп - если по межтрубному пространству установлено две и более перегородок;

Расчетная схема

Черт. 6

Коэффициенты ф1, ф2, ф3 вычисляются по следующим формулам:

Значения ф1, ф2, ф3 приведены в табл. 1 справочного приложения 1. Коэффициенты Aij вычисляются по формулам:

Значения этих коэффициентов g = 0,3 приведены в табл. 2 справочного приложения 1.

6. УЧЕТ ВЛИЯНИЯ МАССЫ ТРУБНОГО ПУЧКА НА ДЕФОРМАЦИЮ РЕШЕТКИ

6.1. Осевая сила, распределенная вдоль радиуса a1 трубной решетки

6.2. Изгибающий момент, распределенный вдоль радиуса трубной решетки

6.3. Изгибающий момент, распределенный вдоль радиуса трубной решетки

6.4. Изгибающий момент, возникающий в месте соединений кожуха с фланцем

6.5. Радиальная сила, возникающая в месте соединения кожуха с фланцем

6.6. Радиальная сила, возникающая в месте соединения решетки с фланцем

6.7. Радиальная сила, распределенная вдоль радиуса трубной решетки

6.8. Осевая сила, возникающая в месте соединения решетки с фланцем

6.9. Осевая нагрузка кожуха

6.10. Осевая нагрузка теплообменной трубы

6.11. Изгибающий момент, возникающий в месте соединений трубы с решеткой

6.12. Вспомогательные величины

Коэффициенты ф1G, ф2G, ф3G, ф4G вычисляются по формулам:

Значения этих коэффициентов при g - 0,3 приведены в табл. 3 справочного приложения 1.

Остальные величины принимаются по п. 5.12.

7. ОЦЕНКА ПРОЧНОСТИ В МЕСТАХ КОНЦЕНТРАЦИИ НАПРЯЖЕНИЙ

7.1. Если рассматриваемый элемент подвергается действию циклически повторяющейся нагрузки, должно выполняться условие:

где                                                        

s - напряжение при максимальной нагрузке;

s0 - напряжение при минимальной нагрузке;

 - допускаемая амплитуда условных упругих напряжений. Принимается по черт. 7 ... 9 или другой нормативно-технической документации по расчетам малоцикловой прочности.

7.2. Если рассчитываемый элемент подвергается действию циклических нагрузок различных типов, должно выполняться условие:

где N1, N2 ... - число циклов нагрузки каждого типа;

 ... - допускаемое число циклов нагрузки каждого типа. Определяется по черт. 7 ... 3 при амплитуде условных упругих напряжений sd, соответствующей данному типу нагрузки (принимается не более 1·106).

7.3. Если в расчете должна учитываться ползучесть металла (температура превышает пределы, указанные на черт. 7 ... 8) или в условиях эксплуатации недопустима работа металла в области пластических деформаций, должно выполняться условие

Расчетная кривая усталости для углеродистых сталей до температуры 380 °C

Черт. 7

Расчетная кривая усталости для низколегированных сталей до температуры 420 °С

Черт. 8

Расчетная кривая усталости для аустенитных сталей до температуры 525 °С

Черт. 9

Коэффициент уменьшения циклической прочности сварных соединений труб с решетками

Черт. 10

8. РАСЧЕТ ТРУБНОЙ РЕШЕТКИ

8.1. Определение необходимой толщины трубной решетки производится по формуле

где                                           

с последующей проверкой условий прочности и жесткости.

8.2. Оценка жесткости трубной решетки производится по формуле:

где                                                           

8.3. Оценка прочности трубной решетки производится по п. 7 в следующих точках:

8.3.1. На внутренней поверхности перфорированной зоны

8.3.2. На наружной поверхности перфорированной зоны

8.3.3. На внутренней поверхности в месте соединения с фланцем

8.3.4. На наружной поверхности в месте соединения с фланцем

Здесь

Kp - эффективный коэффициент концентрации напряжений в месте соединения решетки с фланцем. Принимается по ОСТ 26-1185-82.

9. РАСЧЕТ ПРОЧНОСТИ КРЕПЛЕНИЯ ТЕПЛООБМЕННЫХ ТРУБ К РЕШЕТКАМ

9.1. Для всех расчетных режимов оценка прочности крепления теплообменных труб к решеткам производится по формуле

где                                          

9.2. Если один из расчетных режимов циклически повторяется, оценка прочности крепления труб к решеткам производится по формуле

где                                             

t0 - напряжение в сварном соединении трубы с решеткой в начале рассматриваемого цикла;

t - напряжение в сварном соединении в конце рассматриваемого цикла;

jс - коэффициент уменьшения циклической прочности сварных соединений труб с решетками. Принимается по черт. 10 или вычисляется по формуле

9.3. Если насколько расчетных режимов циклически повторяются, оценка прочности крепления труб к решеткам производится по формуле

где N1, N2 … - число циклов нагружения каждого типа;

 - допускаемое число циклов нагружения каждого типа. Определяется черт. 10 при .

10. РАСЧЕТ ПРОЧНОСТИ КОЖУХА В МЕСТЕ СОЕДИНЕНИЯ С ФЛАНЦЕМ*

__________________

* Для решеток, вваренных во фланец присоединенный встык к оболочке (черт. 3), этот расчет не производится.

Расчет прочности кожуха в месте соединения с фланцем производится по п. 7 для следующих напряжений:

10.1. Осевое напряжение на внутренней поверхности

10.2. Окружное напряжение на внутренней поверхности

10.3. Приведенное напряжение на внутренней поверхности

10.4. Осевое напряжение на наружной поверхности

10.5. Окружное напряжение на наружной поверхности

10.6. Приведенное напряжение на наружной поверхности

Здесь                        

Кк - эффективный коэффициент концентрации напряжений в месте соединения кожуха с фланцем. Принимается по ОСТ 26-1185-81.

11. АЛГОРИТМ РАСЧЕТА НА ЭВМ

11.1. Исходные данные

Общие для всех вариантов расчета - D, a1, a2, Sp, tp, i, hp, d, L, ln, dт, Sт, Sк, S1, hф, bф, Rф, Rп, Rб, g, Ер, Ет, Ек, Еф, aр, aт, aк, aф.

Для каждого варианта расчета - tPp, tт, tк, tф, tрт, tрм, Рм, Рт, Рб, G.

11.2. Расчет коэффициентов прочности

На печать:                    

11.3. Расчет коэффициентов жесткости

Вычислить:

Полагая

             

             

Вычислить:                              

Полагая                        

вычислить:                                     

здесь:                            

На печать: yр, yм.

11.4. Вычисление вспомогательных величин

Общие для всех вариаторов расчета

Если ln ¹ 0, lпр = 0,29 ln, иначе

Для каждого варианта расчета

11.5. Расчет нагрузок

Производится для каждого варианта

;

где                   

На печать: Na, Qa, Ma, No, Qo, Mo, Nк, Qк, Мк, Nт, Мт.

11.6. Учет влияния массы трубного пучка на деформацию решетки

11.6.1. Вычислить

Остальные вспомогательные величины в п. 11.4.

11.6.2. При G ¹ 0:

11.6.3. При G = 0:

QaG = MaG = MG = MкG = NкG = NG = NaG = QG = QкG = NтG = MтG = 0.

11.6.3. На печать NaG, QaG, MaG, NG, QG, MG, NкG, QкG, MкG, NтG, MтG.

11.7 Расчет прогибов трубной решетки

На печать: Wo, WкG, Wmax.

11.8. Определение напряжений в месте приварки трубы к решетке

На печать: t.

12. Пример расчета прочности греющей камеры приведен в приложении 2.

ПРИЛОЖЕНИЕ 1

Справочное

Таблица 1

Значение коэффициентов ф1, ф2, ф3

w

0

0,5

1

1,5

2

2,5

3

3,5

4

ф1

2,00

2,00

2,06

2,28

2,79

3,59

4,50

5,39

6,19

ф2

0

0,02

0,19

0,62

1,32

2,16

2,94

3,59

4,13

ф3

0

0,19

0,76

1,65

2,75

3,76

4,65

5,36

6,03

Продолжение табл. 1

w

4,5

5

6

7

8

9

10

более 10

ф1

6,93

7,65

9,08

10,51

11,94

13,36

14,78

ф2

4,63

5,13

6,15

7,17

8,19

9,20

10,21

w

ф3

6,69

7,38

8,81

10,24

11,66

13,08

14,50


Таблица 2

bp

A11

A12

A13

A14

A22

A23

A24

A33

A34

At

близкие к 1,00

0,99

0,0112

1,1061

1,1139

0,554·10-3

109,673

110,442

0,549·10-2

111,227

0,553 ·10-2

0,9967

0,98

0,0227

1,1134

1,1293

0,223·10-3

54,731

55,500

0,0110

56,301

0,0111

0,9933

0,97

0,0345

1,1209

1,1450

0,506·10-3

36,419

37,188

0,0165

38,005

0,0168

0,9899

0,96

0,0467

1,1285

1,1612

0,908·10-3

27,264

28,033

0,0219

28,868

0,0226

0,9864

0,95

0,0593

1,1362

1,1777

0,143·10-2

21,772

22,542

0,0274

23,394

0,0284

0,9829

0,94

0,0723

1,1440

1,1947

0,208·10-2

18,112

18,881

0,0328

19,752

0,0343

0,9794

0,93

0,0858

1,1520

1,2121

0,285·10-2

16,499

16,268

0,0383

17,157

0,0403

0,9758

0,92

0,0996

1,1601

1,2299

0,376·10-2

13,539

14,309

0,0437

15,217

0,0464

0,9722

0,91

0,1139

1,1684

1,2482

0,480·10-2

12,016

12,785

0,0492

13,714

0,0526

0,9686

0,90

0,1287

1,1768

1,2670

0,597·10-2

10,798

11,567

0,0546

12,517

0,0589

0,9649

0,88

0,1597

1,1941

1,3061

0,876·10-2

8,9728

9,7420

0,0654

10,735

0,0717

0,9574

0,86

0,1928

1,2120

1,3475

0,0121

7,6709

8,4401

0,0762

9,4802

0,0850

0,9498

0,84

0,2283

1,2307

1,3911

0,0162

6,6961

7,4654

0,0870

8,5555

0,0988

0,9420

0,82

0,2662

1,2500

1,4374

0,0209

5,9396

6,7088

0,0977

7,8528

0,1130

0,9320

0,80

0,3069

1,2701

1,4865

0,0263

5,3358

6,1050

0,1084

7,3069

0,1279

0,9259

0,78

0,3506

1,2910

1,5386

0,0325

4,8431

5,6124

0,1191

6,8767

0,1433

0,9175

0,76

0,3976

1,3128

1,5940

0,0395

4,4339

5,2031

0,1297

6,5349

0,1594

0,9090

0,74

0,4482

1,3354

1,6532

0,0474

4,0889

4,8581

0,1403

6,2628

0,1762

0,9002

0,72

0,5029

1,3591

1,7164

0,0563

3,7943

4,5635

0,1509

6,0473

0,1939

0,8913

0,70

0,5619

1,3837

1,7840

0,0662

3,5402

4,8094

0,1614

5,8793

0,2124

0,8821

0,68

0,6258

1,4094

1,8566

0,0773

3,3189

4,0882

0,1719

5,7517

0,2320

0,8727

0,66

0,6952

1,4363

1,9347

0,0895

3,1248

3,8941

0,1823

5,6600

0,2527

0,8631

0,64

0,7706

1,4645

2,0189

0,1031

2,9533

3,7226

0,1928

5,6006

0,2746

0,8532

0,62

0,8529

1,4940

2,1099

0,1182

2,8009

3,5702

0,2031

5,5713

0,2979

0,8430

0,60

0,9427

1,5249

2,2086

0,1348

2,6648

3,4341

0,2134

5,5708

0,3228

0,8326


Таблица 3

w1

0

0,5

1

1,5

2

2,5

3

3,5

4

ф1G

1

0,943

0,806

0,648

0,507

0,397

0,313

0,250

0,202

ф2G

1

0,939

0,795

0,629

0,483

0,368

0,283

0,221

0,174

ф3G

1

0,995

0,811

0,657

0.520

0,411

0,328

0,265

0,218

ф4G

1

0,955

0,844

0,716

0,600

0,506

0,433

0,376

0,331

Продолжение табл. 3

w1

4,5

5

6

7

8

9

10

более 10

ф1G

0,167

0,I39

0,100

0,075

0,059

0,047

0,038

-

ф2G

0,140

0,115

0,080

0,058

0,044

0,035

0,029

2,6

ф3G

0,181

0,153

0,112

0,086

0,068

0,055

0,045

ф4G

0,295

0,265

0,221

0,189

0,166

0,147

0,132

w1 - 0,7

ПРИЛОЖЕНИЕ 2

Справочное

ПРИМЕР РАСЧЕТА

Пусть требуется произвести расчет прочности греющей камеры диаметром 800 мм длиной 35 м, изготовленной из стали 10Х17Н13М2Т. Греющая камера подвергается следующим видам нагружения:

- гидроиспытания межтрубного пространства;

- затяжка болтов фланцевого соединения;

- гидроиспытания трубного пространства;

- заполнение аппарата раствором перед пуском;

- стационарные условия эксплуатации;

- промывка аппарата.

Необходимые исходные данные и полученные на ЭВМ основные результаты расчета для всех перечисленных расчетных режимов приведены в табл. 1, 2.

Не останавливаясь на расчетах прочности цилиндрических обечаек, конических элементов, эллиптических днищ, укрепления отверстий для штуцеров и мест установки опор-лап, производимых по утвержденной нормативно-технической документации, перейдем к расчетам тех элементов и узлов, которые регламентируются настоящим РТМ.

Для стали 10Х17Н13М2Т по ГОСТ 14249-80 при максимальной температуре 155 °С имеем [s] = 145 МПа, а при гидроиспытаниях - [s] = 218 МПа.

Трубная решетка имеет Dпр = 68 мм, поэтому толщину ее можно принять равной:

Принимаем Sp = 2,5 мм.

Для дальнейших расчетов необходимы следующие данные, полученные в результате расчетов на ЭВМ:

jp = 0,41404; jм = 0,3196; yр = 2,1682;

yм = 0,2783; wо =8,1296;

NaG = 0,788 кН/м; QaG = 5,385 кН/м; MaG = 140,94 Н;

NG = - 0,973 кН/м; QG = 4,639 кН/м; MG = - 135,25 Н;

NкG = - 1,454 кН/м; QкG = - 4,639 кН/м; MкG = - 59,026 Н

NтG = 62,353 Н; MтG - 10821 мН·м;

WG = 0,0192 мм; WкG = 0,2717мм;

Приварка трубной решетки к фланцу произведена по схеме «г» черт. 9, а кожуха - по схеме «а» черт. 9 (ОСТ 26-1185-61) имеющим Кр = Кк = 1,7. Полученные значения напряжений в трубной решетке и кожухе приведены в табл. 3. В этих расчетах предполагали, что прибавка для компенсации коррозии и возможного минусового допуска материала кожуха составляет С = 2 мм.

За весь срок эксплуатации греющая камера подвергается следующим циклам нагружения:

N1 = 20 - гидроиспытания межтрубного пространства;

N2 = 20 - затяжка болтов и гидроиспытания трубного пространства

N3 = 2000 - заполнение аппарата и вывод на стационарные условия эксплуатации из состояния с затянутыми болтами фланцевого разъема;

N4 = 5000 - промывка аппаратов из состояния стационарных условий эксплуатации.

Значения амплитуд колебаний напряжения и оценка малоцикловой прочности отдельных элементов приводятся в табл. 4 ... 6. Поскольку во всех рассматриваемых точках , условия прочности выполняются.

Таблица 1

ИСХОДНЫЕ ДАННЫЕ

Обозначение

Наименование

Значение

 

Материал решетки

10Х17Н13М2Т

труб

10Х17Н13М2Т

кожуха

10ХГ7Н13М2Т

фланца

10Х17Н13М2Т

D

Внутренний диаметр кожуха , мм

800

a1

Расстояние от оси аппарата до оси наиболее удаленной трубы и места приварки решетки к фланцу, мм

344,6

a2

400

Sp

Толщина решетки, мм

2,5

tp

Шаг размещения отверстий, мм

48

i

Число труб, закрепленных: в решетке

187

hp

Высота перемычки после отбортовки, мм

7,5

d

Высота сварного шва, мм

2

L

Длина теплообменных труб ( =2 ), мм

3500

ln

Расстояние от решетки до перегородки, мм

-

dт

Наружный диаметр трубы, мм

38

Sт

Толщина теплообменной трубы, мм

2

Sк

Толщина кожуха, мм

6

S1

Толщина кожуха в месте присоединения к фланцу, мм

10

hф

Высота, ширина и средний радиус фланца, мм

40

bф

72,5

Rф

436,25

Rп

Средний радиус прокладки, мм

426

Rб

Радиус болтовой окружности, мм

452,5

g

Коэффициент Пуассона

0,3

Ез

Модули упругости материалов решетки труб, кожуха и фланца, МПа

2·105

Ет

2·105

Ек

2·105

Еф

2·105

aр

Коэффициенты линейного расширения материалов решетки, труб, кожуха и фланца, К--1

16,5·10-6

aт

16,5·10-6

aк

16,5·10-6

aф

16,5·10-6

Таблица 2

НАГРУЗКИ И ОСНОВНЫЕ РЕЗУЛЬТАТЫ

Обозначение

Наименование

Расчетный режим

1

2

3

4

5

6

tPp

Средняя температура решетки, труб, кожуха, фланца и поверхностей решетки со стороны трубного и межтрубного пространства, °С

20

20

20

30

145

115

tт

20

20

20

40

145

115

tк

20

20

20

20

155

145

tф

20

20

20

30

150

140

tрт

20

20

20

40

135

115

tрм

20

20

20

20

155

145

Рм

Давление в межтрубном и трубном пространствах, МПа

0,75

0

0

0

0,45

0

Рт

0

0

0,25

0

0,15

0

Рб

Усилие затяжки болтов, Н

0

990000

990000

990000

990000

990000

G

Вес трубного пучка, Н

0

11660

11660

11660

11660

11660

Na

Радиальная и осевая силы (кН/м) и изгибающий момент (Н), распределенные вдоль окружности радиуса а1

- 1,8

58,9

76,3

53,2

59,4

4,5

Qa

13,9

- 1,7

- 6,5

- 7,8

6,8

7,5

Ma

- 27,5

- 15

- 1,3

- 147,4

42,5

184,3

No

Радиальная и осевая силы (кН/м) и изгибающий момент (Н), распределенные вдоль окружности радиуса а2

2,2

- 72,7

- 94,1

- 65,7

- 81,2

- 44,8

Qo

- 26,7

- 1,1

7,3

- 6,7

- 9,6

????

Mo

357

70,2

- 39,2

245,3

132,7

-196,5

Nк

Радиальная и осевая силы (кН/м) и изгибающий момент (Н), возникающие в месте присоединения кожуха к фланцу

15,5

- 116,7

- 152,1

- 131

- 122,7

- 117,4

Qк

26,7

1,5

49,4

6,7

43,7

- 6,4

Mк

208,6

- 4564

- 5928

- 4609

- 5299

- 4944

Nт

Осевая сила (Н) и изгибающий момент (мН·м), действующие на теплообменную трубу

3043

- 465

- 1515

- 2826

1901

3103

Mт

50008

- 14040

29248

- 97169

48105

111470

Wmax

Максимальный прогиб трубной решетки, мм

0,136

0,293

0,379

0,568

0,548

1,148

[W]

Допускаемый прогиб, мм

1,875

-

Условие жесткости Wmax £ [W]

Выполнено

t

Напряжение среза в сварном шве, МПа

34,8

8,1

19,2

54,7

29,2

62,1

[t]

Допускаемое напряжение, МПа

109

109

109

72

72

72

-

Условие прочности t £ [t]

Выполнено

Таблица 3

НАПРЯЖЕНИЯ В РЕШЕТКЕ И КОЖУХЕ

Обозначение

Наименование

Расчетный режим

1

2

3

4

5

6

Маt

Расчетные изгибающие моменты (Н) и мембранные силы (кН/м), возникающие в перфорированной трубной решетке

0

0

0

- 35,5

35,5

53,2

Мар

113,4

125,9

139,6

- 42

218,9

378,5

Nap

- 1,005

59,7

77

54

60,2

5,3

s1в

Напряжения, возникающие в перфорированной области

264

223,5

235,6

- 159,1

438,7

871,5

s1н

- 262

360,1

- 411,9

35,5

- 576,5

- 883,7

Мt

Расчетные изгибающие моменты (Н) и мембранные силы (кН/м), возникающие в перфорированной области трубной решетки

0

0

0

- 49,1

49,1

73,7

Мр

222

- 65

- 174,5

61

46,6

- 258,1

Np

1,24

- 73,7

- 95,1

- 66,7

- 82,2

- 45,8

s2в

Напряжения, возникающие в неперфорированной области трубной решетки, МПа

- 363

- 156,2

- 349,4

54,2

20,2

- 452,4

s2н

- 361

66

220

- 144,8

- 131,9

390,1

Nкp

Расчетные значения радиальной и осевой нагрузок (кН/м) и моменты (Н), возникающие в месте приварки кожуха к решетке

17

- 115,2

- 150,7

- 129,5

- 121,2

- 116

Qкр

22

- 3,16

44,7

2,05

39

- 11,1

Мкt

???

- 4623

- 5987

- 4668

- 5358

- 5003

sи

Изгибное осевое и мембранное окружное напряжения в кожухе, МПа

14

- 433,4

- 561,3

- 437,6

- 502,3

- 469

sм

- 28,3

43,3

58,9

70,4

25,1

29,1

s1в

Напряжения на внутренней поверхности кожуха, МПа

28,5

- 737,5

- 944,7

- 743,5

- 845,7

- 799,7

s2в

22,8

- 147,5

- 186,1

- 103,5

- 175,3

- 189,8

s3в

5,7

- 590

- 758,7

- 640

- 640,4

- 609,9

s1н

Напряжения на наружной поверхности кожуха, МПа

- 19,1

736,2

973,7

744,4

862,3

795

s2н

8,5

294,6

386,5

342,9

337,1

288,6

s3н

- 27,6

441,6

577,3

401,5

525,2

506,3

Таблица 4

Оценка циклической прочности соединений труб с решетками

Обозначение

Ni

20

20

2000

500

ta

17,4

9,6

23,3

16,5

jc

0,08

0,04

0,16

0,11

[Ni]

22000

33000

8800

15000

0,262

Таблица 5

Оценка циклической прочности решеток

Напряжение

Обозначение

Ni

20

20

2000

500

s1в

sа

132

117,8

298,9

216,4

[Ni]

400000

1000000

11000

40000

0,194

s1н

sа

131

206

306

153,6

[Ni]

400000

45000

10000

150000

0,204

s2в

sа

181,5

174,7

105,2

236,3

[Ni]

75000

90000

1000000

25000

0,022

s2н

sа

180,5

110

100,4

261

[Ni]

75000

1000000

1000000

20000

0,027

Таблица 6

Оценка циклической прочности кожуха в месте соединения с решеткой

Напряжение

Обозначение

Ni

20

20

2000

500

s1в

sа

14,3

472,4

54,1

23

[Ni]

1000000

2500

1000000

1000000

0,011

s2в

sа

11,4

93,1

13,9

7,3

[Ni]

1000000

1000000

1000000

1000000

0,003

s3в

sа

2,9

379,4

40,2

30,3

[Ni]

1000000

5500

1000000

1000000

0,006

s1н

sа

9,6

481,9

63,1

33,7

[Ni]

1000000

2500

1000000

1000000

0,011

s2н

sа

4,3

193,3

24,2

24,3

[Ni]

1000000

60000

1000000

1000000

0,003

s3н

sа

13,8

288,7

41,8

9,5

[Ni]

1000000

12000

1000000

1000000

0,004

СОДЕРЖАНИЕ

1. Условные обозначения. 1

2. Характеристики перемычки между отверстиями. 4

3. Расчет коэффициентов прочности трубной решетки. 4

4. Расчет коэффициентов жесткости трубной решетки. 5

5. Расчет нагрузок. 6

6. Учет влияния массы трубного пучка на деформацию решетки. 9

7. Оценка прочности в местах концентрации напряжений. 10

8. Расчет трубной решетки. 12

9. Расчет прочности крепления теплообменных труб к решеткам.. 13

10. Расчет прочности кожуха в месте соединения с фланцем.. 14

11. Алгоритм расчета на эвм.. 14

Приложение 1 Значение коэффициентов ф1, ф2, ф3 19

Приложение 2 Пример расчета. 21

 

 




ГОСТЫ, СТРОИТЕЛЬНЫЕ и ТЕХНИЧЕСКИЕ НОРМАТИВЫ.
Некоммерческая онлайн система, содержащая все Российские Госты, национальные Стандарты и нормативы.
В Системе содержится более 150000 файлов нормативно-технической документации, действующей на территории РФ.
Система предназначена для широкого круга инженерно-технических специалистов.

Рейтинг@Mail.ru Яндекс цитирования

Copyright © www.gostrf.com, 2008 - 2026