Крупнейшая бесплатная информационно-справочная система онлайн доступа к полному собранию технических нормативно-правовых актов РФ. Огромная база технических нормативов (более 150 тысяч документов) и полное собрание национальных стандартов, аутентичное официальной базе Госстандарта. GOSTRF.com - это более 1 Терабайта бесплатной технической информации для всех пользователей интернета. Все электронные копии представленных здесь документов могут распространяться без каких-либо ограничений. Поощряется распространение информации с этого сайта на любых других ресурсах. Каждый человек имеет право на неограниченный доступ к этим документам! Каждый человек имеет право на знание требований, изложенных в данных нормативно-правовых актах!

  


 

ГОСТ 10354-82

Пленка полиэтиленовая. Технические условия

Обозначение:ГОСТ 10354-82
Текущий статус документа: действующий
Название документа рус.:Пленка полиэтиленовая. Технические условия
Название документа англ.:Polyethylene film. Specifications
Дата актуализации текста:01.12.2013
Дата издания:01.06.2007
Дата введения:30.06.1983
Дата последнего изменения:22.05.2013
Переиздание:переиздание с изм. 1
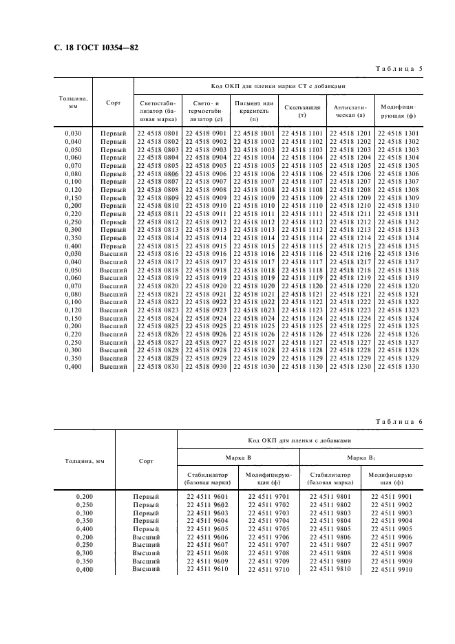
Область применения:Настоящий стандарт распространяется на полиэтиленовую пленку, изготовляемую методом экструзии из полиэтилена высокого давления (низкой плотности) и композиций на его основе, содержащих пигменты (красители), стабилизаторы, скользящие, антистатические и модифицирующие добавки.
Пленка применяется в сельском хозяйстве, в мелиоративном и водохозяйственном строительстве; в качестве упаковочного материала в различных отраслях народного хозяйства; для изготовления товаров народного потребления
Список изменений:№1 от 01.07.1986 (рег. 11.02.1986) «Срок действия продлен»
№2 от 01.07.1988 (рег. 25.11.1987) «Срок действия продлен»
№3 от 01.12.1991 (рег. 05.06.1991) «Срок действия продлен»
№4 от 01.01.1993 (рег. 01.12.1992) «Срок действия продлен»
№5 от 01.01.1999 (рег. 24.11.1998) «Срок действия продлен»
ГОСТ 10354-82ГОСТ 10354-82ГОСТ 10354-82ГОСТ 10354-82ГОСТ 10354-82ГОСТ 10354-82ГОСТ 10354-82ГОСТ 10354-82ГОСТ 10354-82ГОСТ 10354-82ГОСТ 10354-82ГОСТ 10354-82ГОСТ 10354-82ГОСТ 10354-82ГОСТ 10354-82ГОСТ 10354-82ГОСТ 10354-82ГОСТ 10354-82ГОСТ 10354-82ГОСТ 10354-82ГОСТ 10354-82ГОСТ 10354-82ГОСТ 10354-82
 




ГОСТЫ, СТРОИТЕЛЬНЫЕ и ТЕХНИЧЕСКИЕ НОРМАТИВЫ.
Некоммерческая онлайн система, содержащая все Российские Госты, национальные Стандарты и нормативы.
В Системе содержится более 150000 файлов нормативно-технической документации, действующей на территории РФ.
Система предназначена для широкого круга инженерно-технических специалистов.

Рейтинг@Mail.ru Яндекс цитирования

Copyright © www.gostrf.com, 2008 - 2026