Крупнейшая бесплатная информационно-справочная система онлайн доступа к полному собранию технических нормативно-правовых актов РФ. Огромная база технических нормативов (более 150 тысяч документов) и полное собрание национальных стандартов, аутентичное официальной базе Госстандарта. GOSTRF.com - это более 1 Терабайта бесплатной технической информации для всех пользователей интернета. Все электронные копии представленных здесь документов могут распространяться без каких-либо ограничений. Поощряется распространение информации с этого сайта на любых других ресурсах. Каждый человек имеет право на неограниченный доступ к этим документам! Каждый человек имеет право на знание требований, изложенных в данных нормативно-правовых актах!

  


 

ГОСТ 19917-93

Мебель для сидения и лежания. Общие технические условия

Обозначение:ГОСТ 19917-93
Текущий статус документа: действующий
Название документа рус.:Мебель для сидения и лежания. Общие технические условия
Название документа англ.:Furniture for seating and lying. General specifications
Дата актуализации текста:01.12.2013
Дата издания:01.01.2007
Дата введения:01.01.1995
Дата последнего изменения:20.06.2013
Переиздание:переиздание с изм. 1
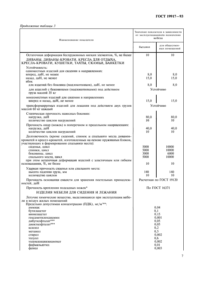
Область применения:Настоящий стандарт распространяется на мебель для сидения и лежания бытовую и для общественных помещений, выпускаемую предприятиями (организациями) любых форм собственности, а также индивидуальными изготовителями
Список изменений:№0 от 14.02.2013 (рег. 14.02.2013) «Дата введения перенесена»
№1 от 01.07.1999 (рег. 11.02.1999) «Срок действия продлен»
№2 от 01.07.2008 (рег. 29.08.2007) «Текстовое изменение; Изменены ссылочные НД»
№3 от 01.11.2011 (рег. 09.02.2011) «Срок действия продлен»
Приложение №1:Изменение №2 к ГОСТ 19917-93
Приложение №2:Изменение №3 к ГОСТ 19917-93
Приложение №3:Поправка к ГОСТ 19917-93
ГОСТ 19917-93ГОСТ 19917-93ГОСТ 19917-93ГОСТ 19917-93ГОСТ 19917-93ГОСТ 19917-93ГОСТ 19917-93ГОСТ 19917-93ГОСТ 19917-93ГОСТ 19917-93ГОСТ 19917-93ГОСТ 19917-93ГОСТ 19917-93ГОСТ 19917-93ГОСТ 19917-93ГОСТ 19917-93ГОСТ 19917-93ГОСТ 19917-93ГОСТ 19917-93ГОСТ 19917-93ГОСТ 19917-93ГОСТ 19917-93ГОСТ 19917-93ГОСТ 19917-93ГОСТ 19917-93ГОСТ 19917-93ГОСТ 19917-93ГОСТ 19917-93ГОСТ 19917-93ГОСТ 19917-93ГОСТ 19917-93ГОСТ 19917-93ГОСТ 19917-93ГОСТ 19917-93ГОСТ 19917-93ГОСТ 19917-93ГОСТ 19917-93ГОСТ 19917-93ГОСТ 19917-93ГОСТ 19917-93ГОСТ 19917-93ГОСТ 19917-93ГОСТ 19917-93ГОСТ 19917-93ГОСТ 19917-93ГОСТ 19917-93ГОСТ 19917-93ГОСТ 19917-93ГОСТ 19917-93ГОСТ 19917-93ГОСТ 19917-93ГОСТ 19917-93ГОСТ 19917-93ГОСТ 19917-93ГОСТ 19917-93ГОСТ 19917-93ГОСТ 19917-93ГОСТ 19917-93ГОСТ 19917-93ГОСТ 19917-93ГОСТ 19917-93

Изменение №2 к ГОСТ 19917-93

Обозначение:Изменение №2 к ГОСТ 19917-93
Дата введения:01.07.2008


Изменение №2 к ГОСТ 19917-93Изменение №2 к ГОСТ 19917-93Изменение №2 к ГОСТ 19917-93Изменение №2 к ГОСТ 19917-93Изменение №2 к ГОСТ 19917-93Изменение №2 к ГОСТ 19917-93Изменение №2 к ГОСТ 19917-93Изменение №2 к ГОСТ 19917-93Изменение №2 к ГОСТ 19917-93Изменение №2 к ГОСТ 19917-93Изменение №2 к ГОСТ 19917-93Изменение №2 к ГОСТ 19917-93Изменение №2 к ГОСТ 19917-93Изменение №2 к ГОСТ 19917-93Изменение №2 к ГОСТ 19917-93Изменение №2 к ГОСТ 19917-93Изменение №2 к ГОСТ 19917-93Изменение №2 к ГОСТ 19917-93Изменение №2 к ГОСТ 19917-93

Изменение №3 к ГОСТ 19917-93

Обозначение:Изменение №3 к ГОСТ 19917-93
Дата введения:01.11.2011


Изменение №3 к ГОСТ 19917-93Изменение №3 к ГОСТ 19917-93Изменение №3 к ГОСТ 19917-93Изменение №3 к ГОСТ 19917-93Изменение №3 к ГОСТ 19917-93Изменение №3 к ГОСТ 19917-93Изменение №3 к ГОСТ 19917-93Изменение №3 к ГОСТ 19917-93Изменение №3 к ГОСТ 19917-93Изменение №3 к ГОСТ 19917-93Изменение №3 к ГОСТ 19917-93Изменение №3 к ГОСТ 19917-93Изменение №3 к ГОСТ 19917-93Изменение №3 к ГОСТ 19917-93Изменение №3 к ГОСТ 19917-93Изменение №3 к ГОСТ 19917-93Изменение №3 к ГОСТ 19917-93Изменение №3 к ГОСТ 19917-93Изменение №3 к ГОСТ 19917-93Изменение №3 к ГОСТ 19917-93Изменение №3 к ГОСТ 19917-93

Поправка к ГОСТ 19917-93

Обозначение:Поправка к ГОСТ 19917-93
Дата введения:14.02.2013


Поправка к ГОСТ 19917-93
 




ГОСТЫ, СТРОИТЕЛЬНЫЕ и ТЕХНИЧЕСКИЕ НОРМАТИВЫ.
Некоммерческая онлайн система, содержащая все Российские Госты, национальные Стандарты и нормативы.
В Системе содержится более 150000 файлов нормативно-технической документации, действующей на территории РФ.
Система предназначена для широкого круга инженерно-технических специалистов.

Рейтинг@Mail.ru Яндекс цитирования

Copyright © www.gostrf.com, 2008 - 2026