Крупнейшая бесплатная информационно-справочная система онлайн доступа к полному собранию технических нормативно-правовых актов РФ. Огромная база технических нормативов (более 150 тысяч документов) и полное собрание национальных стандартов, аутентичное официальной базе Госстандарта. GOSTRF.com - это более 1 Терабайта бесплатной технической информации для всех пользователей интернета. Все электронные копии представленных здесь документов могут распространяться без каких-либо ограничений. Поощряется распространение информации с этого сайта на любых других ресурсах. Каждый человек имеет право на неограниченный доступ к этим документам! Каждый человек имеет право на знание требований, изложенных в данных нормативно-правовых актах!

  


 

ГОСТ Р ИСО/МЭК 13335-1-2006

Информационная технология. Методы и средства обеспечения безопасности. Часть 1. Концепция и модели менеджмента безопасности информационных и телекоммуникационных технологий

Обозначение:ГОСТ Р ИСО/МЭК 13335-1-2006
Текущий статус документа: действующий
Название документа рус.:Информационная технология. Методы и средства обеспечения безопасности. Часть 1. Концепция и модели менеджмента безопасности информационных и телекоммуникационных технологий
Название документа англ.:Information technology. Security techniques. Part 1. Concepts and models for information and communications technology security management
Дата актуализации текста:01.12.2013
Дата издания:19.02.2007
Дата введения:01.06.2007
Дата последнего изменения:22.05.2013
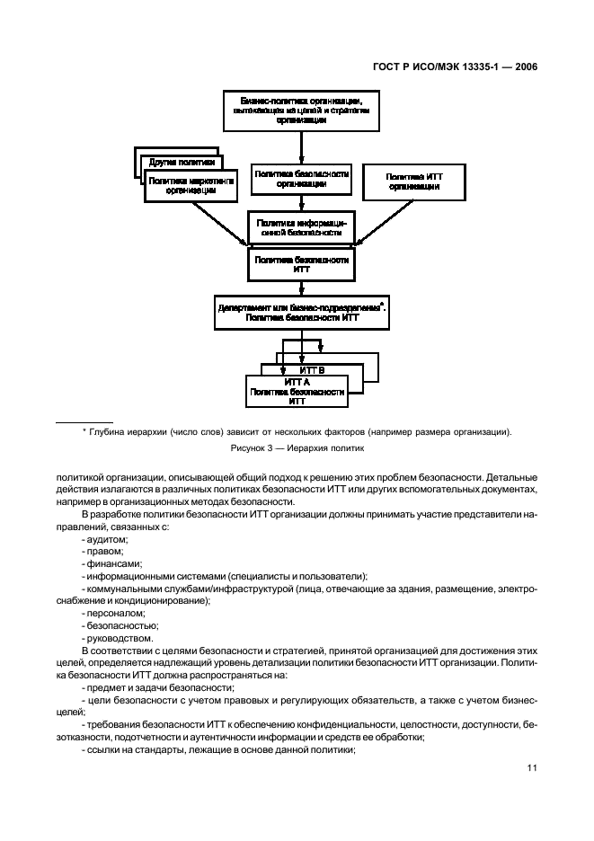
Область применения:Настоящий стандарт представляет собой руководство по управлению безопасностью информационных и телекоммуникационных технологий (ИТТ), устанавливает концепцию и модели, лежащие в основе базового понимания безопасности ИТТ, и раскрывает общие вопросы управления, которые важны для успешного планирования, реализации и поддержки безопасности ИТТ
Список изменений:№0 от 01.07.2007 (рег. 01.07.2007) «Дата введения перенесена»
Приложение №1:Поправка к ГОСТ Р ИСО/МЭК 13335-1-2006
ГОСТ Р ИСО/МЭК 13335-1-2006ГОСТ Р ИСО/МЭК 13335-1-2006ГОСТ Р ИСО/МЭК 13335-1-2006ГОСТ Р ИСО/МЭК 13335-1-2006ГОСТ Р ИСО/МЭК 13335-1-2006ГОСТ Р ИСО/МЭК 13335-1-2006ГОСТ Р ИСО/МЭК 13335-1-2006ГОСТ Р ИСО/МЭК 13335-1-2006ГОСТ Р ИСО/МЭК 13335-1-2006ГОСТ Р ИСО/МЭК 13335-1-2006ГОСТ Р ИСО/МЭК 13335-1-2006ГОСТ Р ИСО/МЭК 13335-1-2006ГОСТ Р ИСО/МЭК 13335-1-2006ГОСТ Р ИСО/МЭК 13335-1-2006ГОСТ Р ИСО/МЭК 13335-1-2006ГОСТ Р ИСО/МЭК 13335-1-2006ГОСТ Р ИСО/МЭК 13335-1-2006ГОСТ Р ИСО/МЭК 13335-1-2006ГОСТ Р ИСО/МЭК 13335-1-2006ГОСТ Р ИСО/МЭК 13335-1-2006ГОСТ Р ИСО/МЭК 13335-1-2006ГОСТ Р ИСО/МЭК 13335-1-2006ГОСТ Р ИСО/МЭК 13335-1-2006

Поправка к ГОСТ Р ИСО/МЭК 13335-1-2006

Обозначение:Поправка к ГОСТ Р ИСО/МЭК 13335-1-2006
Дата введения:01.07.2007


Поправка к ГОСТ Р ИСО/МЭК 13335-1-2006
 




ГОСТЫ, СТРОИТЕЛЬНЫЕ и ТЕХНИЧЕСКИЕ НОРМАТИВЫ.
Некоммерческая онлайн система, содержащая все Российские Госты, национальные Стандарты и нормативы.
В Системе содержится более 150000 файлов нормативно-технической документации, действующей на территории РФ.
Система предназначена для широкого круга инженерно-технических специалистов.

Рейтинг@Mail.ru Яндекс цитирования

Copyright © www.gostrf.com, 2008 - 2026