Крупнейшая бесплатная информационно-справочная система онлайн доступа к полному собранию технических нормативно-правовых актов РФ. Огромная база технических нормативов (более 150 тысяч документов) и полное собрание национальных стандартов, аутентичное официальной базе Госстандарта. GOSTRF.com - это более 1 Терабайта бесплатной технической информации для всех пользователей интернета. Все электронные копии представленных здесь документов могут распространяться без каких-либо ограничений. Поощряется распространение информации с этого сайта на любых других ресурсах. Каждый человек имеет право на неограниченный доступ к этим документам! Каждый человек имеет право на знание требований, изложенных в данных нормативно-правовых актах!

  


 

ГОСТ Р 52742-2007

Каналы и тракты звукового вещания. Типовые структуры. Основные параметры качества. Методы измерений

Обозначение:ГОСТ Р 52742-2007
Текущий статус документа: действующий
Название документа рус.:Каналы и тракты звукового вещания. Типовые структуры. Основные параметры качества. Методы измерений
Название документа англ.:Sound broadcasting channels and sections. Typical structures. Basic quality parameters. Methods for measuring
Дата актуализации текста:01.12.2013
Дата издания:01.07.2008
Дата введения:01.01.2008
Дата последнего изменения:22.05.2013
Переиздание:переиздание
Область применения:Настоящий стандарт распространяется на действующие цифровые и аналоговые каналы и тракты звукового вещания и каналы звукового сопровождения телевидения и устанавливает нормы на их основные параметры качества.
Настоящий стандарт является основополагающим документом при:
- построении сетей звукового вещания, так как определяет типовые структуры каналов и трактов звукового вещания;
- обеспечение целостности сетей звукового вещания, поскольку определяет взаимосвязь между отдельными звеньями каналов звукового вещания;
- обеспечении устойчивости и безаварийности работы всей сети в целом;
- разработке и проектировании каналообразующей аппаратуры звукового вещания;
- сертификации каналообразующей аппаратуры звукового вещания;
- разработке внутренней нормативной документации операторов связи и правил технической эксплуатации аппаратуры звукового вещания
ГОСТ Р 52742-2007ГОСТ Р 52742-2007ГОСТ Р 52742-2007ГОСТ Р 52742-2007ГОСТ Р 52742-2007ГОСТ Р 52742-2007ГОСТ Р 52742-2007ГОСТ Р 52742-2007ГОСТ Р 52742-2007ГОСТ Р 52742-2007ГОСТ Р 52742-2007ГОСТ Р 52742-2007ГОСТ Р 52742-2007ГОСТ Р 52742-2007ГОСТ Р 52742-2007ГОСТ Р 52742-2007ГОСТ Р 52742-2007ГОСТ Р 52742-2007ГОСТ Р 52742-2007ГОСТ Р 52742-2007ГОСТ Р 52742-2007ГОСТ Р 52742-2007ГОСТ Р 52742-2007ГОСТ Р 52742-2007ГОСТ Р 52742-2007ГОСТ Р 52742-2007ГОСТ Р 52742-2007ГОСТ Р 52742-2007ГОСТ Р 52742-2007ГОСТ Р 52742-2007ГОСТ Р 52742-2007ГОСТ Р 52742-2007ГОСТ Р 52742-2007ГОСТ Р 52742-2007ГОСТ Р 52742-2007ГОСТ Р 52742-2007ГОСТ Р 52742-2007ГОСТ Р 52742-2007ГОСТ Р 52742-2007ГОСТ Р 52742-2007ГОСТ Р 52742-2007ГОСТ Р 52742-2007ГОСТ Р 52742-2007ГОСТ Р 52742-2007
 




ГОСТЫ, СТРОИТЕЛЬНЫЕ и ТЕХНИЧЕСКИЕ НОРМАТИВЫ.
Некоммерческая онлайн система, содержащая все Российские Госты, национальные Стандарты и нормативы.
В Системе содержится более 150000 файлов нормативно-технической документации, действующей на территории РФ.
Система предназначена для широкого круга инженерно-технических специалистов.

Рейтинг@Mail.ru Яндекс цитирования

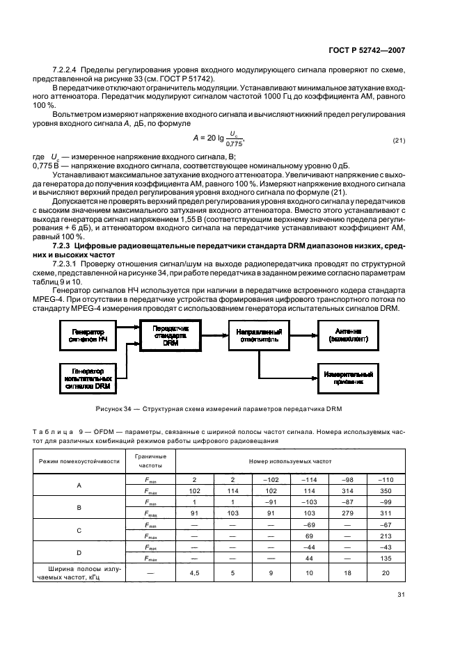
Copyright © www.gostrf.com, 2008 - 2026