Крупнейшая бесплатная информационно-справочная система онлайн доступа к полному собранию технических нормативно-правовых актов РФ. Огромная база технических нормативов (более 150 тысяч документов) и полное собрание национальных стандартов, аутентичное официальной базе Госстандарта. GOSTRF.com - это более 1 Терабайта бесплатной технической информации для всех пользователей интернета. Все электронные копии представленных здесь документов могут распространяться без каких-либо ограничений. Поощряется распространение информации с этого сайта на любых других ресурсах. Каждый человек имеет право на неограниченный доступ к этим документам! Каждый человек имеет право на знание требований, изложенных в данных нормативно-правовых актах!

  


 

ГОСТ Р 51317.3.12-2006

Совместимость технических средств электромагнитная. Ограничение гармонических составляющих тока, создаваемых техническими средствами с потребляемым током более 16 А, но не более 75 А (в одной фазе), подключаемыми к низковольтным системам электроснабжения общего назначения. Нормы и методы испытаний

Обозначение:ГОСТ Р 51317.3.12-2006
Текущий статус документа: действующий
Название документа рус.:Совместимость технических средств электромагнитная. Ограничение гармонических составляющих тока, создаваемых техническими средствами с потребляемым током более 16 А, но не более 75 А (в одной фазе), подключаемыми к низковольтным системам электроснабжения общего назначения. Нормы и методы испытаний
Название документа англ.:Electromagnetic compatibility of technical equipment. Limitation of harmonic currents produced by equipment with input current greater than 16A and not greater than 75 A per phase connected to public low-voltage supply systems. Limits and test methods
Дата актуализации текста:01.12.2013
Дата издания:27.03.2007
Дата введения:30.06.2007
Дата последнего изменения:21.11.2013
Дата окончания срока действия:01.01.2014
Область применения:Настоящий стандарт предназначен для применения при ограничении гармонических составляющих тока, инжектируемых в системы электроснабжения общего назначения.
Стандарт распространяется на электрические, электронные и радиоэлектронные изделия и оборудование с номинальным потребляемым током более 16 А, но не более 75 А в одной фазе, предназначенные для подключения к низковольтным распределительным электрическим сетям систем электроснабжения общего назначения переменного тока, следующих видов:
- однофазным двух- или трехпроводным номинальным напряжением до 240 В;
- трехфазным трех- или четырехпроводным номинальным напряжением до 600 В;
- номинальной частотой 50 Гц.
Стандарт не распространяется на технические средства (ТС), предназначенные для подключения к электрическим сетям других видов.
Нормы, установленные в настоящем стандарте, применяют для ТС, подключаемых к электрическим сетям систем электроснабжения напряжением 220/380 В частотой 50 Гц
Список изменений:№0 от 01.01.2014 (рег. 22.07.2013) «Текстовое изменение; Изменено заглавие»
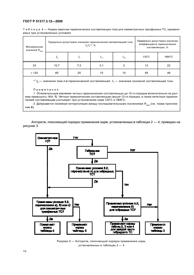
ГОСТ Р 51317.3.12-2006ГОСТ Р 51317.3.12-2006ГОСТ Р 51317.3.12-2006ГОСТ Р 51317.3.12-2006ГОСТ Р 51317.3.12-2006ГОСТ Р 51317.3.12-2006ГОСТ Р 51317.3.12-2006ГОСТ Р 51317.3.12-2006ГОСТ Р 51317.3.12-2006ГОСТ Р 51317.3.12-2006ГОСТ Р 51317.3.12-2006ГОСТ Р 51317.3.12-2006ГОСТ Р 51317.3.12-2006ГОСТ Р 51317.3.12-2006ГОСТ Р 51317.3.12-2006ГОСТ Р 51317.3.12-2006ГОСТ Р 51317.3.12-2006ГОСТ Р 51317.3.12-2006ГОСТ Р 51317.3.12-2006ГОСТ Р 51317.3.12-2006ГОСТ Р 51317.3.12-2006ГОСТ Р 51317.3.12-2006ГОСТ Р 51317.3.12-2006ГОСТ Р 51317.3.12-2006
 




ГОСТЫ, СТРОИТЕЛЬНЫЕ и ТЕХНИЧЕСКИЕ НОРМАТИВЫ.
Некоммерческая онлайн система, содержащая все Российские Госты, национальные Стандарты и нормативы.
В Системе содержится более 150000 файлов нормативно-технической документации, действующей на территории РФ.
Система предназначена для широкого круга инженерно-технических специалистов.

Рейтинг@Mail.ru Яндекс цитирования

Copyright © www.gostrf.com, 2008 - 2026