Крупнейшая бесплатная информационно-справочная система онлайн доступа к полному собранию технических нормативно-правовых актов РФ. Огромная база технических нормативов (более 150 тысяч документов) и полное собрание национальных стандартов, аутентичное официальной базе Госстандарта. GOSTRF.com - это более 1 Терабайта бесплатной технической информации для всех пользователей интернета. Все электронные копии представленных здесь документов могут распространяться без каких-либо ограничений. Поощряется распространение информации с этого сайта на любых других ресурсах. Каждый человек имеет право на неограниченный доступ к этим документам! Каждый человек имеет право на знание требований, изложенных в данных нормативно-правовых актах!

  


 

ГОСТ Р ИСО 5496-2005

Органолептический анализ. Методология. Обучение испытателей обнаружению и распознаванию запахов

Обозначение:ГОСТ Р ИСО 5496-2005
Текущий статус документа: действующий
Название документа рус.:Органолептический анализ. Методология. Обучение испытателей обнаружению и распознаванию запахов
Название документа англ.:Sensory analysis. Methodology. Training of assessors in the detection and recognition of odours
Дата актуализации текста:01.12.2013
Дата издания:01.02.2007
Дата введения:01.01.2007
Дата последнего изменения:22.05.2013
Переиздание:переиздание
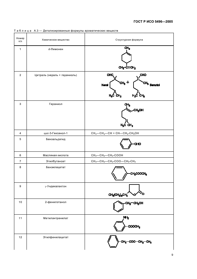
Область применения:Настоящий стандарт предназначен для применения во всех областях промышленности, где используется органолептическая оценка продуктов с помощью органов чувств, и устанавливает набор объективных методик для ознакомления испытателей с органолептическим анализом.
Описанные методы тестирования применяются для того, чтобы определить способности испытателей и обучить их идентифицировать и описывать ароматические продукты
ГОСТ Р ИСО 5496-2005ГОСТ Р ИСО 5496-2005ГОСТ Р ИСО 5496-2005ГОСТ Р ИСО 5496-2005ГОСТ Р ИСО 5496-2005ГОСТ Р ИСО 5496-2005ГОСТ Р ИСО 5496-2005ГОСТ Р ИСО 5496-2005ГОСТ Р ИСО 5496-2005ГОСТ Р ИСО 5496-2005ГОСТ Р ИСО 5496-2005ГОСТ Р ИСО 5496-2005ГОСТ Р ИСО 5496-2005ГОСТ Р ИСО 5496-2005ГОСТ Р ИСО 5496-2005ГОСТ Р ИСО 5496-2005ГОСТ Р ИСО 5496-2005ГОСТ Р ИСО 5496-2005ГОСТ Р ИСО 5496-2005
 




ГОСТЫ, СТРОИТЕЛЬНЫЕ и ТЕХНИЧЕСКИЕ НОРМАТИВЫ.
Некоммерческая онлайн система, содержащая все Российские Госты, национальные Стандарты и нормативы.
В Системе содержится более 150000 файлов нормативно-технической документации, действующей на территории РФ.
Система предназначена для широкого круга инженерно-технических специалистов.

Рейтинг@Mail.ru Яндекс цитирования

Copyright © www.gostrf.com, 2008 - 2026