Крупнейшая бесплатная информационно-справочная система онлайн доступа к полному собранию технических нормативно-правовых актов РФ. Огромная база технических нормативов (более 150 тысяч документов) и полное собрание национальных стандартов, аутентичное официальной базе Госстандарта. GOSTRF.com - это более 1 Терабайта бесплатной технической информации для всех пользователей интернета. Все электронные копии представленных здесь документов могут распространяться без каких-либо ограничений. Поощряется распространение информации с этого сайта на любых других ресурсах. Каждый человек имеет право на неограниченный доступ к этим документам! Каждый человек имеет право на знание требований, изложенных в данных нормативно-правовых актах!

  


 

ГОСТ Р 52179-2003

Маргарины, жиры для кулинарии, кондитерской, хлебопекарной и молочной промышленности. Правила приемки и методы контроля

Обозначение:ГОСТ Р 52179-2003
Текущий статус документа: действующий
Название документа рус.:Маргарины, жиры для кулинарии, кондитерской, хлебопекарной и молочной промышленности. Правила приемки и методы контроля
Название документа англ.:Margarines, cooking fats, fats for confectionery, baking and dairy industry. Sampling rules and methods of control
Дата актуализации текста:01.12.2013
Дата издания:09.02.2010
Дата введения:01.01.2005
Дата последнего изменения:21.11.2013
Дата окончания срока действия:15.02.2015
Переиздание:переиздание с поправками
Область применения:Настоящий стандарт распространяется на маргарины, сливочно-растительные спреды и сливочно-растительные топленые смеси, жиры, предназначенные для кулинарии, кондитерской, хлебопекарной и молочной промышленности, и устанавливает правила приемки и методы:
- определения цвета, запаха и вкуса; определения консистенции; определения прозрачности твердого жира;
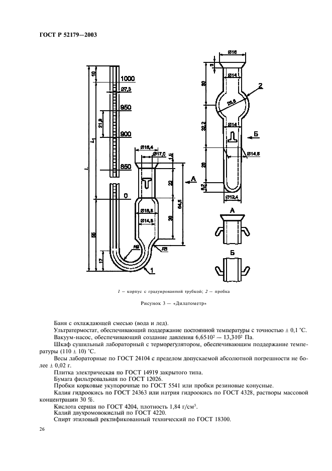
- определения массовой доли влаги и летучих веществ; определения кислотного числа жира; определения кислотности маргарина; определения массовой доли жира; измерения температуры плавления жира; измерения температуры застывания жира; измерения твердости жира; определения массовой доли поваренной соли в маргарине; определения массовой доли линолевой кислоты в маргарине; определения массовой доли транс-изомеров олеиновой кислоты; определения массовой доли витаминов в маргарине; определения массовой доли консервантов в маргарине; определения массовой доли твердых триглицеридов; определения перекисного числа; определения массовой концентрации никеля; измерения рН маргарина
Список изменений:№0 от 25.08.2005 (рег. 25.08.2005) «Дата введения перенесена»
№0 от 13.05.2009 (рег. 13.05.2009) «Дата введения перенесена»
№0 от 01.09.2009 (рег. 01.09.2009) «Дата введения перенесена»
№0 от 20.11.2009 (рег. 20.11.2009) «Дата введения перенесена»
№0 от 15.02.2015 (рег. 28.10.2013) «Текстовое изменение; Изменено заглавие»
Приложение №1:Поправка к ГОСТ Р 52179-2003
Приложение №2:Поправка к ГОСТ Р 52179-2003
Приложение №3:Поправка к ГОСТ Р 52179-2003
Приложение №4:Поправка к ГОСТ Р 52179-2003
ГОСТ Р 52179-2003ГОСТ Р 52179-2003ГОСТ Р 52179-2003ГОСТ Р 52179-2003ГОСТ Р 52179-2003ГОСТ Р 52179-2003ГОСТ Р 52179-2003ГОСТ Р 52179-2003ГОСТ Р 52179-2003ГОСТ Р 52179-2003ГОСТ Р 52179-2003ГОСТ Р 52179-2003ГОСТ Р 52179-2003ГОСТ Р 52179-2003ГОСТ Р 52179-2003ГОСТ Р 52179-2003ГОСТ Р 52179-2003ГОСТ Р 52179-2003ГОСТ Р 52179-2003ГОСТ Р 52179-2003ГОСТ Р 52179-2003ГОСТ Р 52179-2003ГОСТ Р 52179-2003ГОСТ Р 52179-2003ГОСТ Р 52179-2003ГОСТ Р 52179-2003ГОСТ Р 52179-2003ГОСТ Р 52179-2003ГОСТ Р 52179-2003ГОСТ Р 52179-2003ГОСТ Р 52179-2003ГОСТ Р 52179-2003ГОСТ Р 52179-2003ГОСТ Р 52179-2003ГОСТ Р 52179-2003ГОСТ Р 52179-2003ГОСТ Р 52179-2003ГОСТ Р 52179-2003

Поправка к ГОСТ Р 52179-2003

Обозначение:Поправка к ГОСТ Р 52179-2003
Дата введения:20.11.2009


Поправка к ГОСТ Р 52179-2003

Поправка к ГОСТ Р 52179-2003

Обозначение:Поправка к ГОСТ Р 52179-2003
Дата введения:13.05.2009


Поправка к ГОСТ Р 52179-2003Поправка к ГОСТ Р 52179-2003

Поправка к ГОСТ Р 52179-2003

Обозначение:Поправка к ГОСТ Р 52179-2003
Дата введения:01.09.2009


Поправка к ГОСТ Р 52179-2003Поправка к ГОСТ Р 52179-2003

Поправка к ГОСТ Р 52179-2003

Обозначение:Поправка к ГОСТ Р 52179-2003
Дата введения:25.08.2005


Поправка к ГОСТ Р 52179-2003
 




ГОСТЫ, СТРОИТЕЛЬНЫЕ и ТЕХНИЧЕСКИЕ НОРМАТИВЫ.
Некоммерческая онлайн система, содержащая все Российские Госты, национальные Стандарты и нормативы.
В Системе содержится более 150000 файлов нормативно-технической документации, действующей на территории РФ.
Система предназначена для широкого круга инженерно-технических специалистов.

Рейтинг@Mail.ru Яндекс цитирования

Copyright © www.gostrf.com, 2008 - 2026